ИННОВАЦИОННАЯ
ДЕЯТЕЛЬНОСТЬ
Публичный доклад за 2013-2014 уч. год
и. о. директора ГБОУ СОШ № 422 «Перово»
Щеголевой Наталии Борисовны
ЧАСТЬ 7
Экологическое образование как основа для устойчивого
развития общества
• Обновление содержания общего и дополнительного
образования средствами экологического образования для
устойчивого развития на основе эколого-образовательного
модуля с 1 по 11 класс
• Разработка новых методик и технологий повышения качества
общего экологического образования.
Научные руководители инновационной деятельности:
- Ягодин Геннадий Алексеевич, доктор химических наук,
профессор, академик РАО, чл.-корр. РАН;
- Аргунова Марина Вячеславовна, доктор педагогических наук,
кандидат биологических наук, профессор, заведующая
кафедрой, директор центра экологического
образования и устойчивого развития МИОО.
Цель инновационного проекта
• Цель экологического образования в ГБОУ СОШ № 422
«Перово» – формирование устойчивой модели
экологического образования для устойчивого развития
(УР), развитие по индивидуальным траекториям и
соразвитие в системе «Учитель-ученик», ведущие к
профориентации учащихся.
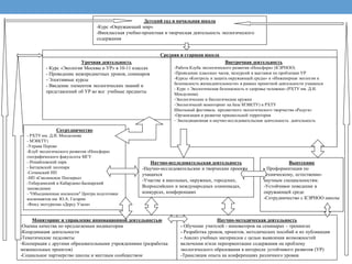
ГБОУ СОШ № 422
«Перово»
Детский сад и начальная школа
-Курс «Окружающий мир»
-Внеклассная учебно-проектная и творческая деятельность экологического
содержания
Урочная деятельность
- Курс «Экология Москвы и УР» в 10-11 классах
- Проведение межпредметных уроков, семинаров
- Элективные курсы
- Введение элементов экологических знаний и
представлений об УР во все учебные предметы
Внеурочная деятельность
-Работа Клуба экологического развития «Ноосфера» (КЭРНОО)
-Проведение классных часов, экскурсий и выставок по проблемам УР
-Курсы «Контроль и защита окружающей среды» и «Инженерная экология и
безопасность жизнедеятельности» в рамках проектной деятельности учащихся
- Курс « Экологическая безопасность и здоровье человека» (РХТУ им. Д.И.
Менделеева)
-Экологические и биологические кружки
-Экологическй мониторинг на базе МЭИ(ТУ) и РХТУ
Школьный фестиваль предметного экологического творчества «Радуга»
-Организация и развитие пришкольной территории
- Экспедиционная и научно-исследовательская деятельность. деятельность
Средняя и старшая школа
Научно-исследовательская деятельность
-Научно-исследовательские и творческие проекты
учащихся
-Участие в школьных, окружных, городских,
Всероссийских и международных олимпиадах,
конкурсах, конференциях
Мониторинг и управление инновационной деятельностью
-Оценка качества по предлагаемым индикаторам
-Координация деятельности
-Тематические педсоветы
-Кооперация с другими образовательными учреждениями (разработка
межшкольных проектов)
-Социальное партнерство школы и местным сообществом
Научно-методическая деятельность
- Обучение учителей - инноваторов на семинарах – тренингах
- Разработка уроков, проектов, методических пособий и их публикация
- Анализ учебных материалов с целью выявления возможностей
включения и/или переориентации содержания на проблему
экологического образования в интересах устойчивого развития (УР)
-Трансляция опыта на конференциях различного уровня.
Выпускник
- Профориентация по
техническому, естественно-
научным специальностям.
-Устойчивое поведение в
окружающей среде
-Сотрудничество с КЭРНОО школы
Сотрудничество
- РХТУ им. Д.И. Менделеева
- МЭИ(ТУ)
-Управа Перово
-Клуб экологического развития «Ноосфера»
географического факультета МГУ
- Измайловский парк
- Битцевский лесопарк
-Сочинский НП
-НП «Смоленское Поозерье»
-Тебердинский и Кабардино-Балкарский
заповедники
- "Объединенные космосом" Центра подготовки
космонавтов им. Ю.А. Гагарин
-Фонд экотуризма «Дерсу Узала»
Проектная и научно-исследовательская деятельность
Название научной работы территория авторы класс итоги
Нитратометрия для
исследования водных
экосистем
Измайловский лесопарк
И. Полунин, 11А Международный молодежный
экологический форум стран СНГ
2 место
Интегральная оценка
почвенного плодородия
и оценка состояния
экосистем
НП Смоленское Поозерье,
Сочинский НП; Тебердинский,
Центрально-черноземный и
Кабардино-Балкарский
высокогорный заповедники;
экологически неблагополучные
районы центральной части
России и Урала.
И. Чучавина,
А. Степанова
10 А Международный молодежный
экологический форум стран СНГ – 3 место
Пиколинат хрома.
Положительное и
отрицательное влияние
на здоровье человека
Рынок БАД
А.Львова,
М. Широбоков
10А Международный молодежный
экологический форум стран СНГ – 2 место
Диплом всероссийского конкурса научно-
исследовательских работ компании
«Сименс»
Оценка комфортности
мест проживания
Квартиры Москвы и Люберец
И. Чучавина,
А. Степанова
10 А ХХ Международная научно-техническая
конференция студентов и аспирантов
«Радиоэлектроника, электротехника и
энергетика» МЭИ (секция экологии)
Диплом II степени
Расчет загрязнения
атмосферы
выхлопными газами
автомобилей в зоне
жилых застроек
Район Перово
А.Львова,
М. Широбоков
11 А Открытая московская естественнонаучная
конференция «Потенциал» (секция
экологии)
Диплом III
Перспективы развития
зеленых насаждений
Измайловский и Кусковский парки,
Истра, Тебердинский заповедник,
национальный парк Смоленское
Поозерье
И. Полунин 11 А Открытая московская естественнонаучная
конференция «Потенциал» (секция
экологии)
Итоги научно-исследовательских конкурсов и конференций 2013-2014 уч. года
Печать тезисов научно-исследовательских работ в
сборниках конференций различного уровня
Название научной
работы
учитель авторы класс итоги
Кокошник – символ
русского народного
костюма
Степанова С.С. Давыденко К. 2г Окружной конкурс «Родина»
1 место
Русский народный
костюм
Степанова С.С. Савенкова И.
Кузьмина И.
2г Окружной конкурс «Родина»
3 место
Матрешка Давыденко Е.Н. Лобкис И. 2б Окружной конкурс «Родина»
2 место
Глиняная игрушка Давыденко Е.Н. Гапонов С. 2б Окружной конкурс «Родина»
2 место
Куклы – обереги Давыденко Е.Н. Михеева Т. 2б Окружной конкурс «Родина»
3 место
Выращивание перца Желнова О.А. Шумкин А. 3б Окружной конкурс «Родина»
2 место
Коровы Желнова О.А. Федорова В. 3б Окружной конкурс «Родина»
призер
Эмбриональное
развитие кур
Пыдрина С.В. Азарнова Н. 3в Окружной конкурс «Родина»
3 место
Хомяк Пыдрина С.В. Соколова К. 3в Окружной конкурс «Родина»
3 место
Итоги проектной деятельности начальной школы
МЭИ (ТУ) и ГБОУ СОШ № 422 «Перово» :по заказуДепартаментаобразованиявыполнено
техническое задание «Практическое освоениешкольниками природоохранныхтехнологий,
формирование и развитие экологического мировоззрения».
Ответственныеисполнители Скибенко В.В.и Герасина Л.А.
В рамках данной работы проведены
школьникамии студентами:
- Мониторинг водоемов Измайловского парка,
- Экологическийпаспорт школы,
- Экологическиепаспорта квартир,
- Изучение экологическойобстановки школы.
* В лицее № 1502 при МЭИ в рамках
Московской естественнонаучной конференции
«Потенциал» команда учащихся школы № 422
(Степанова А., Чучавина И., Львова А.,
Полунин И. – 10А / 11А) заняла 1 место в
олимпиаде по химии и экологии среди команд
Россиии СНГ.
* В окружном этапе олимпиады по экологии
призерами стали:
Короткова Т. – 7в (самостоятельная подготовка),
СвиридовД. – 7а (самостоятельная подготовка),
Степанова А. – 10А,
Карасев М. – 11Б,
Марков И. – 11 Б,
Широбоков М. – 11А.
* Степанова А. – 10А – призер городского этапа
олимпиады по экологии
Фестиваль детского предметного
экологического творчества - 2014
Акции «Я даю кислород»
Специально изготовленные ленты с таким названием были
развешаны в День Земли учениками 5 и 3 классов на
деревья, которые растут на территории старшей и младшей
школы.
Наталья Евгеньевна Кручинина, декан факультета биотехнологии и
промышленной экологии РХТУ им. Д. И. Менделеева, заведующая
кафедрой промышленной экологии – давний и большой друг нашей
школы. В День Земли старшеклассникамрассказалао главных
экологических вызовах нашего времени
День птиц. Орнитология в Кусково
На нашем школьном дворе 7 апреля в день
Благовещения появились необычные птицы
В рамках Клуба экологического развития
«Ноосфера» и школьного музея
состоялась встреча с Алланом Ранну –
выпускником биофака МГУ, художником,
который более 20 лет путешествовал в
Непале, Тибете, Индии и т.д.
Итоги сбора макулатуры
«Книговорот»
на первом этаже
школы: каждый
желающий может
взять бесплатно
книгу, которая
понравилась. Эти
книги мы спасаем
из макулатуры.
В старшей и
начальной
школе
интенсивно
проводится
сбор батареек,
которые мы
отправляем на
переработку в
Челябинскую
область.
Летняя и осенняя экспедиции с фондом
развития экотуризма «Дерсу Узала» в
Тебердинский заповедник, Архыз, Домбай
и Приэльбрусье.
ЭКОЛОГИЧЕСКАЯЭКСПЕДИЦИЯВ БАЛКАРСКИЙВЫСОКОГОРНЫЙ
ЗАПОВЕДНИК,НАЦИОНАЛЬНЫЙПАРКПРИЭЛЬБРУСЬЕ.КУРАТОРОМ
ЭТОЙ ПРОГРАММЫСТАЛДИРЕКТОР АЛЬПЛАГЕРЯ"БЕЗЕНГИ"АЛИЙ
ХУСЕЕВИЧАНАЕВ,ЕГОХОРОШО ЗНАЮТАЛЬПИНИСТЫИ ГОРНЫЕ
ТУРИСТЫ,ЕГО ВЫСОКОГОРНАЯБАЗАСЧИТАЕТСЯЛУЧШЕЙВ РОССИИ
ПО ТРЕНИРОВКАМСПАСАТЕЛЕЙИ СПОРТСМЕНОВ.
В День Землипрошел вечер для учеников 7-8 классов,
на котором ребята , вернувшиеся из весенней
экспедициив национальныйпарк Приэльбрусье и в
Кабардино-Балкарскийгосударственный высокогорный
заповедник,рассказали о своей поездке.
Учителя на
субботнике

422 2014-7

  • 1.
    ИННОВАЦИОННАЯ ДЕЯТЕЛЬНОСТЬ Публичный доклад за2013-2014 уч. год и. о. директора ГБОУ СОШ № 422 «Перово» Щеголевой Наталии Борисовны ЧАСТЬ 7
  • 2.
    Экологическое образование какоснова для устойчивого развития общества • Обновление содержания общего и дополнительного образования средствами экологического образования для устойчивого развития на основе эколого-образовательного модуля с 1 по 11 класс • Разработка новых методик и технологий повышения качества общего экологического образования. Научные руководители инновационной деятельности: - Ягодин Геннадий Алексеевич, доктор химических наук, профессор, академик РАО, чл.-корр. РАН; - Аргунова Марина Вячеславовна, доктор педагогических наук, кандидат биологических наук, профессор, заведующая кафедрой, директор центра экологического образования и устойчивого развития МИОО.
  • 3.
    Цель инновационного проекта •Цель экологического образования в ГБОУ СОШ № 422 «Перово» – формирование устойчивой модели экологического образования для устойчивого развития (УР), развитие по индивидуальным траекториям и соразвитие в системе «Учитель-ученик», ведущие к профориентации учащихся. ГБОУ СОШ № 422 «Перово»
  • 4.
    Детский сад иначальная школа -Курс «Окружающий мир» -Внеклассная учебно-проектная и творческая деятельность экологического содержания Урочная деятельность - Курс «Экология Москвы и УР» в 10-11 классах - Проведение межпредметных уроков, семинаров - Элективные курсы - Введение элементов экологических знаний и представлений об УР во все учебные предметы Внеурочная деятельность -Работа Клуба экологического развития «Ноосфера» (КЭРНОО) -Проведение классных часов, экскурсий и выставок по проблемам УР -Курсы «Контроль и защита окружающей среды» и «Инженерная экология и безопасность жизнедеятельности» в рамках проектной деятельности учащихся - Курс « Экологическая безопасность и здоровье человека» (РХТУ им. Д.И. Менделеева) -Экологические и биологические кружки -Экологическй мониторинг на базе МЭИ(ТУ) и РХТУ Школьный фестиваль предметного экологического творчества «Радуга» -Организация и развитие пришкольной территории - Экспедиционная и научно-исследовательская деятельность. деятельность Средняя и старшая школа Научно-исследовательская деятельность -Научно-исследовательские и творческие проекты учащихся -Участие в школьных, окружных, городских, Всероссийских и международных олимпиадах, конкурсах, конференциях Мониторинг и управление инновационной деятельностью -Оценка качества по предлагаемым индикаторам -Координация деятельности -Тематические педсоветы -Кооперация с другими образовательными учреждениями (разработка межшкольных проектов) -Социальное партнерство школы и местным сообществом Научно-методическая деятельность - Обучение учителей - инноваторов на семинарах – тренингах - Разработка уроков, проектов, методических пособий и их публикация - Анализ учебных материалов с целью выявления возможностей включения и/или переориентации содержания на проблему экологического образования в интересах устойчивого развития (УР) -Трансляция опыта на конференциях различного уровня. Выпускник - Профориентация по техническому, естественно- научным специальностям. -Устойчивое поведение в окружающей среде -Сотрудничество с КЭРНОО школы Сотрудничество - РХТУ им. Д.И. Менделеева - МЭИ(ТУ) -Управа Перово -Клуб экологического развития «Ноосфера» географического факультета МГУ - Измайловский парк - Битцевский лесопарк -Сочинский НП -НП «Смоленское Поозерье» -Тебердинский и Кабардино-Балкарский заповедники - "Объединенные космосом" Центра подготовки космонавтов им. Ю.А. Гагарин -Фонд экотуризма «Дерсу Узала»
  • 5.
  • 6.
    Название научной работытерритория авторы класс итоги Нитратометрия для исследования водных экосистем Измайловский лесопарк И. Полунин, 11А Международный молодежный экологический форум стран СНГ 2 место Интегральная оценка почвенного плодородия и оценка состояния экосистем НП Смоленское Поозерье, Сочинский НП; Тебердинский, Центрально-черноземный и Кабардино-Балкарский высокогорный заповедники; экологически неблагополучные районы центральной части России и Урала. И. Чучавина, А. Степанова 10 А Международный молодежный экологический форум стран СНГ – 3 место Пиколинат хрома. Положительное и отрицательное влияние на здоровье человека Рынок БАД А.Львова, М. Широбоков 10А Международный молодежный экологический форум стран СНГ – 2 место Диплом всероссийского конкурса научно- исследовательских работ компании «Сименс» Оценка комфортности мест проживания Квартиры Москвы и Люберец И. Чучавина, А. Степанова 10 А ХХ Международная научно-техническая конференция студентов и аспирантов «Радиоэлектроника, электротехника и энергетика» МЭИ (секция экологии) Диплом II степени Расчет загрязнения атмосферы выхлопными газами автомобилей в зоне жилых застроек Район Перово А.Львова, М. Широбоков 11 А Открытая московская естественнонаучная конференция «Потенциал» (секция экологии) Диплом III Перспективы развития зеленых насаждений Измайловский и Кусковский парки, Истра, Тебердинский заповедник, национальный парк Смоленское Поозерье И. Полунин 11 А Открытая московская естественнонаучная конференция «Потенциал» (секция экологии) Итоги научно-исследовательских конкурсов и конференций 2013-2014 уч. года
  • 7.
    Печать тезисов научно-исследовательскихработ в сборниках конференций различного уровня
  • 8.
    Название научной работы учитель авторыкласс итоги Кокошник – символ русского народного костюма Степанова С.С. Давыденко К. 2г Окружной конкурс «Родина» 1 место Русский народный костюм Степанова С.С. Савенкова И. Кузьмина И. 2г Окружной конкурс «Родина» 3 место Матрешка Давыденко Е.Н. Лобкис И. 2б Окружной конкурс «Родина» 2 место Глиняная игрушка Давыденко Е.Н. Гапонов С. 2б Окружной конкурс «Родина» 2 место Куклы – обереги Давыденко Е.Н. Михеева Т. 2б Окружной конкурс «Родина» 3 место Выращивание перца Желнова О.А. Шумкин А. 3б Окружной конкурс «Родина» 2 место Коровы Желнова О.А. Федорова В. 3б Окружной конкурс «Родина» призер Эмбриональное развитие кур Пыдрина С.В. Азарнова Н. 3в Окружной конкурс «Родина» 3 место Хомяк Пыдрина С.В. Соколова К. 3в Окружной конкурс «Родина» 3 место Итоги проектной деятельности начальной школы
  • 9.
    МЭИ (ТУ) иГБОУ СОШ № 422 «Перово» :по заказуДепартаментаобразованиявыполнено техническое задание «Практическое освоениешкольниками природоохранныхтехнологий, формирование и развитие экологического мировоззрения». Ответственныеисполнители Скибенко В.В.и Герасина Л.А. В рамках данной работы проведены школьникамии студентами: - Мониторинг водоемов Измайловского парка, - Экологическийпаспорт школы, - Экологическиепаспорта квартир, - Изучение экологическойобстановки школы.
  • 10.
    * В лицее№ 1502 при МЭИ в рамках Московской естественнонаучной конференции «Потенциал» команда учащихся школы № 422 (Степанова А., Чучавина И., Львова А., Полунин И. – 10А / 11А) заняла 1 место в олимпиаде по химии и экологии среди команд Россиии СНГ. * В окружном этапе олимпиады по экологии призерами стали: Короткова Т. – 7в (самостоятельная подготовка), СвиридовД. – 7а (самостоятельная подготовка), Степанова А. – 10А, Карасев М. – 11Б, Марков И. – 11 Б, Широбоков М. – 11А. * Степанова А. – 10А – призер городского этапа олимпиады по экологии
  • 11.
  • 12.
    Акции «Я даюкислород» Специально изготовленные ленты с таким названием были развешаны в День Земли учениками 5 и 3 классов на деревья, которые растут на территории старшей и младшей школы.
  • 13.
    Наталья Евгеньевна Кручинина,декан факультета биотехнологии и промышленной экологии РХТУ им. Д. И. Менделеева, заведующая кафедрой промышленной экологии – давний и большой друг нашей школы. В День Земли старшеклассникамрассказалао главных экологических вызовах нашего времени
  • 14.
  • 15.
    На нашем школьномдворе 7 апреля в день Благовещения появились необычные птицы
  • 16.
    В рамках Клубаэкологического развития «Ноосфера» и школьного музея состоялась встреча с Алланом Ранну – выпускником биофака МГУ, художником, который более 20 лет путешествовал в Непале, Тибете, Индии и т.д.
  • 17.
  • 18.
    «Книговорот» на первом этаже школы:каждый желающий может взять бесплатно книгу, которая понравилась. Эти книги мы спасаем из макулатуры.
  • 19.
    В старшей и начальной школе интенсивно проводится сборбатареек, которые мы отправляем на переработку в Челябинскую область.
  • 20.
    Летняя и осенняяэкспедиции с фондом развития экотуризма «Дерсу Узала» в Тебердинский заповедник, Архыз, Домбай и Приэльбрусье.
  • 21.
    ЭКОЛОГИЧЕСКАЯЭКСПЕДИЦИЯВ БАЛКАРСКИЙВЫСОКОГОРНЫЙ ЗАПОВЕДНИК,НАЦИОНАЛЬНЫЙПАРКПРИЭЛЬБРУСЬЕ.КУРАТОРОМ ЭТОЙ ПРОГРАММЫСТАЛДИРЕКТОРАЛЬПЛАГЕРЯ"БЕЗЕНГИ"АЛИЙ ХУСЕЕВИЧАНАЕВ,ЕГОХОРОШО ЗНАЮТАЛЬПИНИСТЫИ ГОРНЫЕ ТУРИСТЫ,ЕГО ВЫСОКОГОРНАЯБАЗАСЧИТАЕТСЯЛУЧШЕЙВ РОССИИ ПО ТРЕНИРОВКАМСПАСАТЕЛЕЙИ СПОРТСМЕНОВ.
  • 22.
    В День Землипрошелвечер для учеников 7-8 классов, на котором ребята , вернувшиеся из весенней экспедициив национальныйпарк Приэльбрусье и в Кабардино-Балкарскийгосударственный высокогорный заповедник,рассказали о своей поездке.
  • 23.