Instructor's and Solutions Manual
to accompany
Vector Mechanics for
Engineers, Statics
Eleventh Edition
Ferdinand P. Beer
Late of Lehigh University
E. Russell Johnston, Jr.
Late of University of Connecticut
David F. Mazurek
United States Coast Guard Academy
Prepared by
Amy Mazurek
PROPRIETARY AND CONFIDENTIAL
This Manual is the proprietary property of McGraw-Hill Education and protected by copyright and other state and
federal laws. This is proprietary material solely for authorized instructor use. Not authorized for sale or distribution in
any manner. This document may not be copied, scanned, duplicated, forwarded, distributed, or posted on a website, in
whole or part.
www.elsolucionario.org
TO THE INSTRUCTOR
As indicated in its preface, Vector Mechanics for Engineers: Statics is designed for the
first course in statics offered in the sophomore year of college. New concepts have,
therefore, been presented in simple terms and every step has been explained in detail.
However, because of the large number of optional sections which have been included and
the maturity of approach which has been achieved, this text can also be used to teach a
course which will challenge the more advanced student.
The text has been divided into units, each corresponding to a well-defined topic and
consisting of one or several theory sections, one or several Sample Problems, a section
entitled Solving Problems on Your Own, and a large number of problems to be assigned.
To assist instructors in making up a schedule of assignments that will best fit their
classes, the various topics covered in the text have been listed in Table I and a suggested
number of periods to be spent on each topic has been indicated. Both a minimum and a
maximum number of periods have been suggested, and the topics which form the
standard basic course in statics have been separated from those which are optional. The
total number of periods required to teach the basic material varies from 26 to 39, while
covering the entire text would require from 41 to 65 periods. If allowance is made for the
time spent for review and exams, it is seen that this text is equally suitable for teaching a
basic statics course to students with limited preparation (since this can be done in 39
periods or less) and for teaching a more complete statics course to advanced students
(since 41 periods or more are necessary to cover the entire text). In most instances, of
course, the instructor will want to include some, but not all, of the additional material
presented in the text. In addition, it is noted that the text is suitable for teaching an
abridged course in statics which can be used as an introduction to the study of dynamics
(see Table I).
The problems have been grouped according to the portions of material they illustrate and
have been arranged in order of increasing difficulty, with problems requiring special
attention indicated by asterisks. We note that, in most cases, problems have been
arranged in groups of six or more, all problems of the same group being closely related.
This means that instructors will easily find additional problems to amplify a particular
point which they may have brought up in discussing a problem assigned for homework.
Accessible through Connect are problem sets for each chapter that are designed to be
solved with computational software. Solutions for these problems, including analyses of
the problems and problem solutions and output for the most widely used computational
programs, are also available through Connect.
To assist in the preparation of homework assignments, Table II provides a brief
description of all groups of problems and a classification of the problems in each group
according to the units used. It should also be noted that the answers to all problems are
given at the end of the text, except for those with a number in italic. Because of the large
number of problems available in both systems of units, the instructor has the choice of
assigning problems using SI units and problems using U.S. customary units in whatever
proportion is found to be most desirable for a given class. To illustrate this point, sample
lesson schedules are shown in Tables III, IV, and V, together with various alternative lists
www.elsolucionario.org
of assigned homework problems. Half of the problems in each of the six lists suggested in
Table III and Table V are stated in SI units and half in U.S. customary units. On the other
hand, 75% of the problems in the four lists suggested in Table IV are stated in SI units
and 25% in U.S. customary units.
Since the approach used in this text differs in a number of respects from the approach
used in other books, instructors will be well advised to read the preface to Vector
Mechanics for Engineers, in which the authors have outlined their general philosophy. In
addition, instructors will find in the following pages a description, chapter by chapter, of
the more significant features of this text. It is hoped that this material will help instructors
in organizing their courses to best fit the needs of their students. Acknowledgement and
thanks are given to Amy Mazurek for her careful preparation of the solutions contained in
this manual.
David Mazurek
DESCRIPTION OF THE MATERIAL CONTAINED IN
VECTOR MECHANICS FOR ENGINEERS: STATICS, Eleventh Edition
Chapter 1
Introduction
The material in this chapter can be used as a first assignment or for later reference. The
six fundamental principles listed in Sec. 1.2 are introduced separately and are discussed
at greater length in the following chapters. Section 1.3 deals with the two systems of units
used in the text. The SI metric units are discussed first. The base units are defined and the
use of multiples and submultiples is explained. The various SI prefixes are presented in
Table 1.1, while the principal SI units used in statics and dynamics are listed in Table 1.2.
In the second part of Sec. 1.3, the base U.S. customary units used in mechanics are
defined, and in Sec. l.4, it is shown how numerical data stated in U.S. customary units
can be converted into SI units, and vice versa. The SI equivalents of the principal U.S.
customary units used in statics and dynamics are listed in Table 1.3.
The instructor’s attention is called to the fact that the various rules relating to the use of
SI units have been observed throughout the text. For instance, multiples and submultiples
(such as kN and mm) are used whenever possible to avoid writing more than four digits
to the left of the decimal point or zeros to the right of the decimal point. When 5-digit or
larger numbers involving SI units are used, spaces rather than commas are utilized to
separate digits into groups of three (for example, 20 000 km). Also, prefixes are never
used in the denominator of derived units; for example, the constant of a spring which
stretches 20 mm under a load of 100 N is expressed as 5 kN/m, not as 5 N/mm.
In order to achieve as much uniformity as possible between results expressed respectively
in SI and U.S. customary units, a center point, rather than a hyphen, has been used to
combine the symbols representing U.S. customary units (for example, 10 lb∙ft);
furthermore, the unit of time has been represented by the symbol s, rather than sec,
whether SI or U.S. customary units are involved (for example, 5 s, 50 ft/s, 15 m/s).
www.elsolucionario.org
However, the traditional use of commas to separate digits into groups of three has been
maintained for 5-digit and larger numbers involving U.S. customary units.
Chapter 2
Statics of Particles
This is the first of two chapters dealing with the fundamental properties of force systems.
A simple, intuitive classification of forces has been used: forces acting on a particle
(Chap. 2) and forces acting on a rigid body (Chap. 3).
Chapter 2 begins with the parallelogram law of addition of forces and with the
introduction of the fundamental properties of vectors. In the text, forces and other vector
quantities are always shown in bold-face type. Thus, a force F (boldface), which is a
vector quantity, is clearly distinguished from the magnitude F (italic) of the force, which
is a scalar quantity. On the blackboard and in handwritten work, where bold-face lettering
is not practical, vector quantities can be indicated by underlining. Both the magnitude and
the direction of a vector quantity must be given to completely define that quantity. Thus,
a force F of magnitude F = 280 lb, directed upward to the right at an angle of 25° with
the horizontal, is indicated as F = 280 lb 25° when printed or as F = 280 lb
25° when handwritten. Unit vectors i and j are introduced in Sec. 2.7, where the
rectangular components of forces are considered.
In the early sections of Chap. 2 the following basic topics are presented: the equilibrium
of a particle, Newton’s first law, and the concept of the free-body diagram. These first
sections provide a review of the methods of plane trigonometry and familiarize the
students with the proper use of a calculator. A general procedure for the solution of
problems involving concurrent forces is given: when a problem involves only three
forces, the use of a force triangle and a trigonometric solution is preferred; when a
problem involves more than three forces, the forces should be resolved into rectangular
components and the equations ΣFx = 0, ΣFy = 0 should be used.
The second part of Chap. 2 deals with forces in space and with the equilibrium of
particles in space. Unit vectors are used and forces are expressed in the form F = Fxi + Fyj
+ Fzk = Fλ, where i, j, and k are the unit vectors directed respectively along the x, y, and z
axes, and λ is the unit vector directed along the line of action of F.
Note that since this chapter deals only with particles or bodies which can be considered
as particles, problems involving compression members have been postponed with only a
few exceptions until Chap. 4, where students will learn to handle rigid-body problems in
a uniform fashion and will not be tempted to erroneously assume that forces are
concurrent or that reactions are directed along members.
It should be observed that when SI units are used a body is generally specified by its
mass expressed in kilograms. The weight of the body, however, should be expressed in
newtons. Therefore, in many equilibrium problems involving SI units, an additional
calculation is required before a free-body diagram can be drawn (compare the example in
Sec. 2.3C and Sample Probs. 2.5 and 2.9). This apparent disadvantage of the SI system of
www.elsolucionario.org
units, when compared to the U.S. customary units, will be offset in dynamics, where the
mass of a body expressed in kilograms can be entered directly into the equation F = ma,
whereas with U.S. customary units the mass of the body must first be determined in
lb∙s2
/ft (or slugs) from its weight in pounds.
Chapter 3
Rigid Bodies:
Equivalent Systems of Forces
The principle of transmissibility is presented as the basic assumption of the statics of
rigid bodies. However, it is pointed out that this principle can be derived from Newton’s
three laws of motion (see Sec. 16.1D of Dynamics). The vector product is then introduced
and used to define the moment of a force about a point. The convenience of using the
determinant form (Eqs. 3.19 and 3.21) to express the moment of a force about a point
should be noted. The scalar product and the mixed triple product are introduced and used
to define the moment of a force about an axis. Again, the convenience of using the
determinant form (Eqs. 3.41 and 3.44) should be noted. The amount of time which should
be assigned to this part of the chapter will depend on the extent to which vector algebra
has been considered and used in prerequisite mathematics and physics courses. It is felt
that, even with no previous knowledge of vector algebra, a maximum of four periods is
adequate (see Table I).
In Secs. 3.12 through 3.15 couples are introduced, and it is proved that couples are
equivalent if they have the same moment. While this fundamental property of couples is
often taken for granted, the authors believe that its rigorous and logical proof is necessary
if rigor and logic are to be demanded of the students in the solution of their mechanics
problems.
In Section 3.3, the concept of equivalent systems of forces is carefully presented. This
concept is made more intuitive through the extensive use of free-body-diagram equations
(see Figs. 3.34 through 3.41). Note that the moment of a force is either not shown or is
represented by a green vector (Figs. 3.10 and 3.22). A red vector with the symbol is used
only to represent a couple, that is, an actual system consisting of two forces (Figs. 3.33
through 3.41). Section 3.4D is optional; it introduces the concept of a wrench and shows
how the most general system of forces in space can be reduced to this combination of a
force and a couple with the same line of action.
Since one of the purposes of Chap. 3 is to familiarize students with the fundamental
operations of vector algebra, students should be encouraged to solve all problems in this
chapter (two-dimensional as well as three-dimensional) using the methods of vector
algebra. However, many students may be expected to develop solutions of their own,
particularly in the case of two-dimensional problems, based on the direct computation of
the moment of a force about a given point as the product of the magnitude of the force
and the perpendicular distance to the point considered. Such alternative solutions may
occasionally be indicated by the instructor (as in Sample Prob. 3.9), who may then wish
to compare the solutions of the sample problems of this chapter with the solutions of the
same sample problems given in Chaps. 3 and 4 of the parallel text Mechanics for
www.elsolucionario.org
Engineers. It should be pointed out that in later chapters the use of vector products will
generally be reserved for the solution of three-dimensional problems.
Chapter 4
Equilibrium of Rigid Bodies
In the first part of this chapter, problems involving the equilibrium of rigid bodies in two
dimensions are considered and solved using ordinary algebra, while problems involving
three dimensions and requiring the full use of vector algebra are discussed in the second
part of the chapter. Particular emphasis is placed on the correct drawing and use of free-
body diagrams and on the types of reactions produced by various supports and
connections (see Figs. 4.1 and 4.10). Note that a distinction is made between hinges used
in pairs and hinges used alone; in the first case the reactions consist only of force
components, while in the second case the reactions may, if necessary, include couples.
For a rigid body in two dimensions, it is shown (Sec. 4.1B) that no more than three
independent equations can be written for a given free body, so that a problem involving
the equilibrium of a single rigid body can be solved for no more than three unknowns. It
is also shown that it is possible to choose equilibrium equations containing only one
unknown to avoid the necessity of solving simultaneous equations. Section 4.1C
introduces the concepts of statical indeterminacy and partial constraints. Section 4.2 is
devoted to the equilibrium of two- and three-force bodies; it is shown how these concepts
can be used to simplify the solution of certain problems. This topic is presented only after
the general case of equilibrium of a rigid body to lessen the possibility of students
misusing this particular method of solution.
The equilibrium of a rigid body in three dimensions is considered with full emphasis
placed on the free-body diagram. While the tool of vector algebra is freely used to
simplify the computations involved, vector algebra does not, and indeed cannot, replace
the free-body diagram as the focal point of an equilibrium problem. Therefore, the
solution of every sample problem in this section begins with a reference to the drawing of
a free-body diagram. Emphasis is also placed on the fact that the number of unknowns
and the number of equations must be equal if a structure is to be statically determinate
and completely constrained.
Chapter 5
Distributed Forces:
Centroids and Centers of Gravity
Chapter 5 starts by defining the center of gravity of a body as the point of application of
the resultant of the weights of the various particles forming the body. This definition is
then used to establish the concept of the centroid of an area or line. Section 5.1C
introduces the concept of the first moment of an area or line, a concept fundamental to
the analysis of shearing stresses in beams in a later study of mechanics of materials. All
problems assigned for the first period involve only areas and lines made of simple
geometric shapes; thus, they can be solved without using calculus.
www.elsolucionario.org
Section 5.2A explains the use of differential elements in the determination of centroids by
integration. The theorems of Pappus-Guldinus are given in Sec. 5.2B. Sections 5.3A and
5.3B are optional; they show how the resultant of a distributed load can be determined by
evaluating an area and by locating its centroid. Section 5.4 deals with centers of gravity
and centroids of volumes. Here again the determination of the centroids of composite
shapes precedes the calculation of centroids by integration.
It should be noted that when SI units are used, a given material is generally characterized
by its density (mass per unit volume, expressed in kg/m3
), rather than by its specific
weight (weight per unit volume, expressed in N/m3
). The specific weight of the material
can then be obtained by multiplying its density by g = 9.81 m/s2
(see footnote, page 234
of the text).
Chapter 6
Analysis of Structures
In this chapter students learn to determine the internal forces exerted on the members of
pin-connected structures. The chapter starts with the statement of Newton’s third law
(action and reaction) and is divided into two parts: (a) trusses, that is, structures
consisting of two-force members only, (b) frames and machines, that is, structures
involving multiforce members.
After trusses and simple trusses have been defined in Sec. 6.1A, the method of joints and
the method of sections are explained in detail in Sec. 6.1B and Sec. 6.2A, respectively.
Since a discussion of Maxwell’s diagram is not included in this text, the use of Bow’s
notation has been avoided, and a uniform notation has been used in presenting the
method of joints and the method of sections.
In the method of joints, a free-body diagram should be drawn for each pin. Since all
forces are of known direction, their magnitudes, rather than their components, should be
used as unknowns. Following the general procedure outlined in Chap. 2, joints involving
only three forces are solved using a force triangle, while joints involving more than three
forces are solved by summing x and y components. Sections 6.1C and 6.1D are optional.
It is shown in Sec. 6.1C how the analysis of certain trusses can be expedited by
recognizing joints under special loading conditions, while in Sec. 6.1D the method of
joints is applied to the solution of three-dimensional trusses.
It is pointed out in Sec. 6.1B that forces in a simple truss can be determined by analyzing
the truss joint by joint and that joints can always be found that involve only two unknown
forces. The method of sections (Sec. 6.2A) should be used (a) if only the forces in a few
members are desired, or (b) if the truss is not a simple truss and if the solution of
simultaneous equations is to be avoided (for example, Fink truss). Students should be
urged to draw a separate free-body diagram for each section used. The free body obtained
should be emphasized by shading and the intersected members should be removed and
replaced by the forces they exerted on the free body. It is shown that, through a judicious
choice of equilibrium equations, the force in any given member can be obtained in most
cases by solving a single equation. Section 6.2B is optional; it deals with the trusses
www.elsolucionario.org
obtained by combining several simple trusses and discusses the statical determinacy of
such structures as well as the completeness of their constraints.
Structures involving multiforce members are separated into frames and machines. Frames
are designed to support loads, while machines are designed to transmit and modify
forces. It is shown that while some frames remain rigid after they have been detached
from their supports, others will collapse (Sec. 6.3B). In the latter case, the equations
obtained by considering the entire frame as a free body provide necessary but not
sufficient conditions for the equilibrium of the frame. It is then necessary to dismember
the frame and to consider the equilibrium of its component parts in order to determine the
reactions at the external supports. The same procedure is necessary with most machines
in order to determine the output force Q from the input force P or inversely (Sec. 6.4).
Students should be urged to resolve a force of unknown magnitude and direction into two
components but to represent a force of known direction by a single unknown, namely its
magnitude. While this rule may sometimes result in slightly more complicated arithmetic,
it has the advantage of matching the numbers of equations and unknowns and thus makes
it possible for students to know at any time during the computations what is known and
what is yet to be determined.
Chapter 7
Forces in Beams and Cables
This chapter consists of five groups of sections, all of which are optional. The first three
groups deal with forces in beams and the last two groups with forces in cables. Most
likely the instructor will not have time to cover the entire chapter and will have to choose
between beams and cables.
Section 7.1 defines the internal forces in a member. While these forces are limited to
tension or compression in a straight two-force member, they include a shearing force and
a bending couple in the case of multiforce members or curved two-force members.
Problems in this section do not make use of sign conventions for shear and bending
moment and answers should specify which part of the member is used as the free body.
In Section 7.2 the usual sign conventions are introduced and shear and bending-moment
diagrams are drawn. All problems in these sections should be solved by drawing the free-
body diagrams of the various portions of the beams.
The relations among load, shear, and bending moment are introduced in Sec. 7.3.
Problems in this section should be solved by evaluating areas under load and shear curves
or by formal integration (as in Probs. 7.85 through 7.88). Some instructors may feel that
the special methods used in this section detract from the unity achieved in the rest of the
text through the use of the free-body diagram, and they may wish to omit Sec. 7.3. Others
will feel that the study of shear and bending-moment diagrams is incomplete without this
section, and they will want to include it. The latter view is particularly justified when the
course in statics is immediately followed by a course in mechanics of materials.
www.elsolucionario.org
Section 7.4 is devoted to cables, first with concentrated loads and then with distributed
loads. In both cases, the analysis is based on free-body diagrams. The differential
equation approach is considered in the last problems of this group (Probs. 7.124 through
7.126). Section 7.5 is devoted to catenaries and requires the use of hyperbolic functions.
Chapter 8
Friction
This chapter not only introduces the general topic of friction but also provides an
opportunity for students to consolidate their knowledge of the methods of analysis
presented in Chaps. 2, 3, 4, and 6. It is recommended that each course in statics include at
least a portion of this chapter.
Section 8.1 is devoted to the presentation of the laws of dry friction and to their
application to various problems. The different cases which can be encountered are
illustrated by diagrams in Figs. 8.2, 8.3, and 8.4. Particular emphasis is placed on the fact
that no relation exists between the friction force and the normal force except when
motion is impending or when motion is actually taking place. Following the general
procedure outlined in Chap. 2, problems involving only three forces are solved by a force
triangle, while problems involving more than three forces are solved by summing x and y
components. In the first case the reaction of the surface of contact should be represented
by the resultant R of the friction force and normal force, while in the second case it
should be resolved into its components F and N.
Special applications of friction are considered in Secs. 8.2 through 8.4. They are divided
into the following groups: wedges and screws (Sec. 8.2); axle and disk friction, rolling
resistance (Sec. 8.3); belt friction (Sec. 8.4). The sections on axle and disk friction and on
rolling resistance are not essential to the understanding of the rest of the text and thus
may be omitted.
Chapter 9
Distributed Forces
Moments of Inertia
The purpose of Sec. 9.1A is to give motivation to the study of moments of inertia of
areas. Two examples are considered: one deals with the pure bending of a beam and the
other with the hydrostatic forces exerted on a submerged circular gate. It is shown in each
case that the solution of the problem reduces to the computation of the moment of inertia
of an area. The other sections in the first assignment are devoted to the definition and the
computation of rectangular moments of inertia, polar moments of inertia, and the
corresponding radii of gyration. It is shown how the same differential element can be
used to determine the moment of inertia of an area about each of the two coordinate axes.
Section 9.2introduces the parallel-axis theorem and its application to the determination of
moments of inertia of composite areas. Particular emphasis is placed on the proper use of
the parallel-axis theorem (see Sample Prob. 9.5). Sections 9.3 and 9.4 are optional; they
are devoted to products of inertia and to the determination of principal axes of inertia.
www.elsolucionario.org
Sections 9.5 and 9.6 deal with the moments of inertia of masses. Particular emphasis is
placed on the moments of inertia of thin plates (Sec. 9.5C) and on the use of these plates
as differential elements in the computation of moments of inertia of symmetrical three-
dimensional bodies (Sec. 9.5D). Section 9.6 is optional but should be used whenever the
following dynamics course includes the motion of rigid bodies in three dimensions.
Sections 9.6A and 9.6B introduce the moment of inertia of a body with respect to an
arbitrary axis as well as the concepts of mass products of inertia and principal axes of
inertia. Section 9.6C discusses the determination of the principal axes and principal
moments of inertia of a body of arbitrary shape.
When solving many of the problems of Chap. 5, information on the specific weight of a
material was generally required. This information was readily available in problems
stated in U.S. customary units, while it had to be obtained from the density of the
material in problems stated in SI units (see the last paragraph of our discussion of Chap.
5). In Chap. 9, when SI units are used, the mass and mass moment of inertia of a given
body are respectively obtained in kg and kg∙m2
directly from the dimensions of the body
in meters and from its density in kg/m3
. However, if U.S. customary units are used, the
density of the body must first be calculated from its specific weight or, alternatively, the
weight of the body can be obtained from its dimensions and specific weight and then
converted into the corresponding mass expressed in lb∙s2
/ft (or slugs). The mass moment
of inertia of the body is then obtained in lb∙ft∙s2
(or slug∙ft2
). Sample Problem 9.12
provides an example of such a computation. Attention is also called to the footnote on
page of the 530 regarding the conversion of mass moments of inertia from U.S.
customary units to SI units.
Chapter 10
Method of Virtual Work
While this chapter is optional, the instructor should give serious consideration to its
inclusion in the basic statics course. Indeed, students who learn the method of virtual
work in their first course in mechanics will remember it as a fundamental and natural
principle. They may, on the other hand, consider it as an artificial device if its
presentation is postponed to a more advanced course.
Section 10.1 is devoted to the derivation of the principle of virtual work and to its direct
application to the solution of equilibrium problems. Section 10.2 introduces the concept
of potential energy and shows that equilibrium requires that the derivative of the potential
energy be zero. Section 10.1D defines the mechanical efficiency of a machine and Sec.
10.2D discusses the stability of equilibrium.
The first groups of problems in each assignment utilize the principle of virtual work as an
alternative method for the computation of unknown forces. Subsequent problems call for
the determination of positions of equilibrium, while other problems combine the
conventional methods of statics with the method of virtual work to determine
displacements (Probs. 10.55 through 10.58).
www.elsolucionario.org
xiv
TABLE I: LIST OF THE TOPICS COVERED IN VECTOR MECHANICS FOR ENGINEERS: STATICS
Suggested Number of Periods
Additional Abridged Course to be
Sections Topics Basic Course Topics used as an introduction
to dynamics+
1. INTRODUCTION
1.1–6 This material may be used for the first assignment
or for later reference
2. STATICS OF PARTICLES
2.1 Addition and Resolution of Forces 0.5–1 0.5–1
2.2 Rectangular Components 0.5–1 0.5–1
2.3 Equilibrium of a Particle 1 1
2.4 Forces in Space 1 1
2.5 Equilibrium in Space 1 1
3. RIGID BODIES: EQUIVALENT SYSTEMS OF FORCES
3.1 Vector Product; Moment of a Force about a Point 1–2 1–2
3.2 Scalar Product; Moment of a Force about an Axis 1–2 1–2
3.3 Couples 1 1
3.4A–4C Equivalent Systems of Forces 1–1.5 1–1.5
*3.4D Reduction of a Wrench 0.5–1
4. EQUILIBRIUM OF RIGID BODIES
4.1A–1B Equilibrium in Two Dimensions 1.5–2 1.5–2
4.1C Indeterminate Reactions; Partial Constraints 0.5–1
4.2 Two- and Three-Force Bodies 1
4.3 Equilibrium in Three Dimensions 2 2
5. CENTROIDS AND CENTERS OF GRAVITY
5.1 Centroids and First Moments of Areas and Lines 1–2
5.2 Centroids by Integration 1–2
5.3 Beams and Submerged Surfaces 1–1.5
5.4 Centroids of Volumes 1–2
6. ANALYSIS OF STRUCTURES
6.1A–1B Trusses by Method of Joints 1–1.5
*6.1C Joints under Special Loading Conditions 0.25–0.5
*6.1D Space Trusses 0.5–1
6.2A Trusses by Method of Sections 1–2
6.2B Combined Trusses 0.25–0.5
6.3 Frames 2–3 1–2
6.4 Machines 1–2 0.5–1.5
7. INTERNAL FORCES AND MOMENTS
7.1 Internal Forces in Members 1
7.2 Shear and Moment Diagrams by FB Diagram 1–2
7.3 Shear and Moment Diagrams by Integration 1–2
*7.4 Cables with Concentrated Loads; Parabolic Cable 1–2
*7.5 Catenary 1
8. FRICTION
8.1 Laws of Friction and Applications 1–2 1–2
8.2 Wedges and Screws 1
*8.3 Axle and Disk Friction; Rolling Resistance 1–2
8.4 Belt Friction 1
9. MOMENTS OF INERTIA
9.1 Moments of Inertial of Areas 1
9.2 Composite Areas 1–2
*9.3 Products of Inertia; Principal Axes 1–2
*9.4 Mohr’s Circle 1
9.5 Moments of Inertia of Masses# 1–2
*9.6 Mass Products of Inertia; Principal Axes and Principal 1–2
Moments of Inertia
10. METHOD OF VIRTUAL WORK
10.1A–1C Principle of Virtual Work 1–2
10.1D Mechanical Efficiency 0.5–1
10.2 Potential Energy; Stability 1–1.5
Total Number of Periods 26–39 15–26 14–21
+ A sample assignment schedule for a course in dynamics including this minimum amount of introductory material in statics is given Table V. It is
recommended that a more complete statics course, such as the one outlined in Tables III and IV of this manual, be used in curricula which include
the study of mechanics of materials.
# Mass moments of inertia have not been included in the basic statics course since this material is often taught in dynamics.
www.elsolucionario.org
TABLE II: CLASSIFICATION AND DESCRIPTION OF PROBLEMS
Problem Number*
SI Units U.S. Units Problem Description
* Problems which do not involve any specific system of units have been indicated by underlining their number.
Answers are not given to problems with a number set in italic type.
xv
CHAPTER 2: STATICS OF PARTICLES
FORCES IN A PLANE
Resultant of concurrent forces
2.1, 3 2.2, 4 graphical method
2.5, 8 2.6, 7 law of sines
2.9, 10 2.11, 12
2.14 2.13 special problems
2.16, 18 2.15, 17 laws of cosines and sines
2.19, 20
Rectangular components of force
2.22, 23 2.21, 24 simple problems
2.25, 27 2.26, 28 more advanced problems
2.29, 30
2.32, 34 2.31, 33 Resultant by ΣFx = 0, ΣFy = 0
2.35, 36 2.37, 38
2.39, 40 2.41, 42 Select force so that resultant has a given direction
2.F1, F4 2.F2, F3 Free Body Practice Problems
Equilibrium. Free-Body Diagram
2.44, 45 2.43, 48 equilibrium of 3 forces
2.46, 47
2.49, 50 2.51, 52 equilibrium of 4 forces
2.53, 54 2.55, 56
2.57, 58 2.59, 60 find parameter to satisfy specified conditions
2.61, 62 2.63, 64
2.65, 66 2.67, 68 special problems
2.69, 70
FORCES IN SPACE
Rectangular components of a force in space
2.71, 72 2.75, 76 given F, θ, and φ, find components and direction angles
2.73, 74 2.77, 78
2.80, 82 2.81, 82 relations between components and direction angles
2.83, 84
2.85, 86 2.87, 88 direction of force defined by two points on its line of action
2.89, 90
2.91, 92 2.93, 94 resultant of two or three forces
2.95, 96 2.97, 98
2.F5, F6 2.F7, F8 Free Body Practice Problems
Equilibrium of a particle in space
2.99, 100 2.103, 104 load applied to three cables, introductory problems
2.101, 102
www.elsolucionario.org
TABLE II: CLASSIFICATION AND DESCRIPTION OF PROBLEMS (CONTINUED)
Problem Number*
SI Units U.S. Units Problem Description
* Problems which do not involve any specific system of units have been indicated by underlining their number.
Answers are not given to problems with a number set in italic type.
xvi
2.107, 108 2.105, 106 intermediate problems
2.109, 110 2.111, 112
2.115, 116 2.113, 114 advanced problems
2.117, 118 2.119, 120
2.121, 122 2.123, 124 problems involving cable through ring
2.125, 126 special problems
2.127, 131 2.128, 129 Review problems
2.132, 134 2.130, 133
2.135, 136 2.137, 138
2.C1, C3 2.C2 Computer problems
2.C4 2.C5
CHAPTER 3: RIGID BODIES; EQUIVALENT SYSTEMS OF FORCES
Moment of a force about a point: Two dimensions
3.1, 2 3.3, 6 introductory problems
3.4, 5 3.7, 8
3.9, 10 3.11, 12 direction of a force defined by two points on its line of action
3.13, 14
3.15 derivation of a formula
3.17, 18 3.16 applications of the vector product
Moment of a force about a point: Three dimensions
3.19 3.20 computing M = r × F, introductory problems
3.21, 23 3.22, 25 computing M = r × F, more involved problems
3.24, 26
3.28, 29 3.27, 30 using M to find the perpendicular distance from a point to a line
3.32, 33 3.31, 34
3.35 3.36 Scalar Product
3.37, 38 3.39, 40 Finding the angle between two lines
3.41, 42 3.43, 44
3.45 3.46 Mixed triple product
3.47, 48 3.49, 50 Moment of a force about the coordinate axes
3.51, 52 3.53, 54
3.57, 58 3.55, 56 Moment of a force about an oblique axis
3.59, 60 3.61, 62
3.63
*3.66, *67 *3.64, *65 Finding the perpendicular distance between two lines
*3.68, *69
3.70, 71 3.72, 73 Couples in two dimensions
3.74
3.78, 79 3.75, 76 Couples in three dimensions
3.77, 80
www.elsolucionario.org
TABLE II: CLASSIFICATION AND DESCRIPTION OF PROBLEMS (CONTINUED)
Problem Number*
SI Units U.S. Units Problem Description
* Problems which do not involve any specific system of units have been indicated by underlining their number.
Answers are not given to problems with a number set in italic type.
xvii
3.81, 83 3.82, 84 Replacing a force by an equivalent force-couple system: two dimensions
3.85, 86
3.87, 88 3.89, 91 Replacing a force-couple system by an equivalent force or forces
3.90, 92
3.93, 95 3.94, 97 Replacing a force by an equivalent force-couple system: three dimensions
3.96, 98 3.99, 100
3.101, 102 3.104 Equivalent force-couple systems
3.103
3.107 3.105, 106 Finding the resultant of parallel forces: two dimensions
3.110, 111 3.108, 109 Finding the resultant and its line of action: two dimensions
3.116, 117 3.112, 113
3.118 3.114, 115
3.119, 120 3.121, 122 Reducing a three-dimensional system of forces to a single force-couple system
3.124, 125 3.123, 126
3.127, 128 3.129, 130 Finding the resultant of parallel forces: three dimensions
*3.131, *132
Reducing three-dimensional systems of forces or forces and couples to a wrench
*3.133, *135 *3.134, *136 axis of wrench is parallel to a coordinate axis or passes through O
*3.137 force-couple system parallel to the coordinate axes
*3.139, 140 *3.138 general, three-dimensional case
*3.141 *3.142 special cases where the wrench reduces to a single force
*3.143, *144 *3.145, *146 special, more advanced problems
3.147, 148 3.149, 150 Review problems
3.151, 153 3.152, 154
3.156, 157 3.155, 158
3.C1, C4 3.C2, C3 Computer problems
3.C5 3.C6
CHAPTER 4: EQUILIBRIUM OF RIGID BODIES
EQUILIBRIUM IN TWO DIMENSIONS
4.F1, F4 4.F2, F3 Free Body Practice Problems
4.1, 2 4.3, 4 Parallel forces
4.5, 6 4.7, 8
4.9, 10 4.12, 14 Parallel forces, find range of values of loads to satisfy multiple criteria
4.11, 13
4.15, 16 4.17, 18 Rigid bodies with one reaction of unknown direction and one of known direction
4.19, 20
4.22, 25 4.21, 23
4.26, 28 4.24, 27
4.29, 30 4.33, 34
4.31, 32
4.35, 36 4.37, 38 Rigid bodies with three reactions of known direction
4.39, 40 4.41, 42
www.elsolucionario.org
TABLE II: CLASSIFICATION AND DESCRIPTION OF PROBLEMS (CONTINUED)
Problem Number*
SI Units U.S. Units Problem Description
* Problems which do not involve any specific system of units have been indicated by underlining their number.
Answers are not given to problems with a number set in italic type.
xviii
4.45, 46 4.43, 44 Rigid bodies with a couple included in the reactions
4.47, 50 4.48, 49
4.51, 52 4.53, 54 Find position of rigid body in equilibrium
4.56, 58 4.55, 57
4.59 4.60 Partial constraints, statical indeterminacy
Three-force bodies
4.62, 63 4.61, 64 simple geometry, solution of a right triangle required
4.65, 67 4.66, 68 simple geometry, frame includes a two-force member
4.69, 70 4.71, 72 more involved geometry
4.73, 74
4.75, 76 4.77, 79
4.78, 81 4.80
4.82
4.83, 84 4.86, 87 find position of equilibrium
4.85, 88 4.89, 90
EQUILIBRIUM IN THREE DIMENSIONS
4.F6, F7 4.F5 Free Body Practice Problems
4.91, 92 4.93, 94 Rigid bodies with two hinges along a coordinate axis and
4.95, 96 an additional reaction parallel to another coordinate axis
4.99, 100 4.97, 98 Rigid bodies supported by three vertical wires or by vertical reactions
4.101, 102 4.103, 104
4.106, 107 4.105, 110 Derrick and boom problems involving unknown tension in two cables
4.108, 109 4.111, 112
4.113, 114 4.115, 116 Rigid bodies with two hinges along a coordinate axis and an additional
4.117, 118 reaction not parallel to a coordinate axis
4.119, 122 4.120, 121 Problems involving couples as part of the reaction at a hinge
4.123, 124 4.125, 126 Advanced problems
4.129, 130 4.127, 128
4.131, 132
4.133, 134 4.135, 136 Problems involving taking moments about an oblique line passing
4.138, 139 4.137, 140 through two supports
4.141
4.144, 145 4.142, 143 Review problems
4.146, 148 4.147, 149
4.150, 153 4.151, 152
4.C2, C5 4.C1, C3 Computer problems
4.C6 4.C4
CHAPTER 5: DISTRIBUTED FORCES: CENTROIDS AND CENTERS OF GRAVITY
Centroid of an area formed by combining
5.1, 3 5.2 rectangles and triangles
5.4
5.6, 9 5.5, 7 rectangles, triangles, and portions of circular areas
5.8
www.elsolucionario.org
TABLE II: CLASSIFICATION AND DESCRIPTION OF PROBLEMS (CONTINUED)
Problem Number*
SI Units U.S. Units Problem Description
* Problems which do not involve any specific system of units have been indicated by underlining their number.
Answers are not given to problems with a number set in italic type.
xix
5.11, 12 5.10, 13 triangles, portions of circular or elliptical areas, and areas of analytical
5.14, 15 functions
5.16, 17 5.18, 19 Derive expression for location of centroid
5.20, 22 5.21, 23 First moment of an area
5.24, 25 5.26, 27 Center of gravity of a wire figure
5.29, 30 5.28, 33 Equilibrium of wire figures
5.31, 32 Find dimension to maximize distance to centroid
Use integration to find centroid of
5.36 5.34, 35 simple areas
5.37, 38 5.39 areas obtained by combining shapes of Fig. 5.8A
5.40 5.41
5.42 parabolic area
5.43 5.44 areas defined by different functions over the interval of interest
5.45, 46 *5.47 homogeneous wires
*5.48, *49 areas defined by exponential or cosine functions
5.50, 51 areas defined by a hyperbola
Find areas or volumes by Pappus - Guldinus
5.52, 54 5.53, 56 rotate simple geometric figures
5.55, 57
5.60, 61 5.58, 59 practical applications
5.64, *65 5.62, 63
Distributed load on beams
5.66, 67 resultant of loading
5.71 5.68, 69 reactions at supports
5.70
5.73 5.72 parabolic loadings
5.74, 75 5.76, 77 special problems
5.78, 79
Forces on submerged surfaces
5.81, 82 5.80, 84 reactions on dams or vertical gates
5.83, 86 5.85
5.87
5.88, 89 5.90, 91 reactions on non-vertical gates
5.92, 93 5.94, 95
Centroids and centers of gravity of three-dimensional bodies
5.98, 99 5.96, 97 composite bodies formed from two common shapes
5.100, 101 5.102, 103 composite bodies formed from three or more elements
5.104, 105
5.106, 107 5.108, 109 composite bodies formed from a material of uniform thickness
5.110, 113 5.111, 112
5.114, 116 5.115, 117 composite bodies formed from a wire or structural shape of uniform cross
section
5.118, 121 5.119, 120 composite bodies made of two different materials
use integration to locate the centroid of
5.122 5.123, 124 standard shapes: single integration
5.125, 126 *5.128, *129 bodies of revolution: single integration
5.127
www.elsolucionario.org
TABLE II: CLASSIFICATION AND DESCRIPTION OF PROBLEMS (CONTINUED)
Problem Number*
SI Units U.S. Units Problem Description
* Problems which do not involve any specific system of units have been indicated by underlining their number.
Answers are not given to problems with a number set in italic type.
xx
5.132 *5.130, 131 special applications: single integration
5.133, *134 bodies formed by cutting a standard shape with an oblique
plane: single integration
5.135, 136 special applications: double integration
5.138, 141 5.137, 139 Review problems
5.142, 144 5.140, 143
5.145, 148 5.146, 147
5.C2, C3 5.C1, C4 Computer problems
5.C5, C6 *5.C7
CHAPTER 6: ANALYSIS OF STRUCTURES
TRUSSES
Method of joints
6.2, 4 6.1, 3 simple problems
6.6, 8 6.5, 7
6.9, 10 6.11, 12 problems of average difficulty
6.13, 14
6.17, 18 6.15, 16 more advanced problems
6.21, 24 6.19, 20
6.25, 26 6.22, 23
6.27, 28
6.29, 30 designate simple trusses
6.32, 34 6.31, 33 find zero-force members
*6.36, *37 *6.35, *38 space trusses
*6.39, *40 *6.41, *42
Method of sections
6.43, 44 6.45, 46 two of the members cut are parallel
6.47, 48
6.49, 50 6.51, 52 none of the members cut are parallel
6.53, 54 6.57, 58
6.55, 56 6.59, 60
6.61, 62 6.63, 64 K-type trusses
6.65, 66 6.67, 68 trusses with counters
6.69, 70 6.71, 72 Classify trusses according to constraints
6.73, 74
FRAMES AND MACHINES
6.F1, F4 6.F2, F3 Free Body Practice Problems – Frames
Analysis of Frames
6.75, 77 6.76, 78 easy problems
6.79, 80 6.81, 82
www.elsolucionario.org
TABLE II: CLASSIFICATION AND DESCRIPTION OF PROBLEMS (CONTINUED)
Problem Number*
SI Units U.S. Units Problem Description
* Problems which do not involve any specific system of units have been indicated by underlining their number.
Answers are not given to problems with a number set in italic type.
xxi
6.83, 84 6.87, 88 problems where internal forces are changed by repositioning a couple or by
6.85, 86 6.89 moving a force along its line of action
6.90 replacement of pulleys by equivalent loadings
6.91, 92 6.93, 94 analysis of frames supporting pulleys or pipes
6.95, 96 analysis of highway vehicles
6.97, 98 6.99, 100 analysis of frames consisting of multiforce members
6.101, 102 6.103, 104
6.105, 106
6.107, 108 6.109, 110 problems involving the solution of simultaneous equations
6.112, 113 6.111, 114
6.115 6.116
6.117 6.118 unusual floor systems
6.119, 120 6.121 rigid and non-rigid frames
6.F6, F8 6.F5, F7 Free Body Practice Problems – Machines
Analysis of Machines
6.122, 125 6.123, 124 toggle-type machines
6.126, 127
6.128
6.131, 132 6.129, 130 machines involving cranks
6.133, 134
6.137, 138 6.135, 136 machines involving a crank with a collar
6.139, 140 robotic machines
6.143, 144 6.141, 142 tongs
6.147, 148 6.145, 146 pliers, boltcutters, pruning shears
6.149, 150 6.151, 152 wrench, find force to maintain position of toggle
6.155, 156 6.153, 154 force in hydraulic cylinder
6.157, 158
6.159, 160 *6.161, *162 gears and universal joints
*6.163 special tongs
6.164, 165 6.166, 167 Review problems
6.169, 170 6.168, 171
6.173, 174 6.172, 175
6.C2, C4 6.C1, C3 Computer problems
6.C6 6.C5
www.elsolucionario.org
TABLE II: CLASSIFICATION AND DESCRIPTION OF PROBLEMS (CONTINUED)
Problem Number*
SI Units U.S. Units Problem Description
* Problems which do not involve any specific system of units have been indicated by underlining their number.
Answers are not given to problems with a number set in italic type.
xxii
CHAPTER 7: FORCES IN BEAMS AND CABLES
Internal forces in members
7.3, 4 7.1, 2 simple frames
7.5, 6
7.9, 10 7.7, 8 curved members
7.11, 12 7.13, 14
7.15, 16 7.17, 18 frames with pulleys or pipes
7.19, 20
7.21, 22 effect of supports
7.23, 24 7.25, 26 bending moment in circular rods due to their own weight
7.27, 28
BEAMS
Shear and bending-moment diagrams using portions of beam as free bodies
7.29, 30 7.31, 32 problems involving no numerical values
7.33, 34
7.35, 36 7.37, 38 beams with concentrated loads
7.39, 40 7.41, 42 beams with mixed loads
7.43, 44 7.45, 46 beams resting on the ground
7.47, 48
7.49, 50 7.51, 52 beams subjected to forces and couples
7.53, 54
7.55, 56 7.59, 60 find value of parameter to minimize absolute value of bending moment
7.57, 58 7.61, *62
Shear and bending-moment diagrams using relations among ω, V, and M
7.63, 64 7.65, 66 problems involving no numerical values
7.67, 68
7.69, 70 7.73, 74 problems involving numerical values
7.71, 72 7.75, 76
7.77, 78 7.81, 82 find magnitude and location of maximum bending moment
7.79, 80 7.83, 84
7.85, 88 7.86, 87 Determine V and M by integrating ω twice
7.89, 90 *7.91, *92 Find values of loads given bending moment at two points
CABLES
Cables with concentrated loads
7.93, 94 7.95, 96 vertical loads
7.97, 98 7.99, 100
7.101, 102 7.103, 104 horizontal and vertical loads
7.105, 106
Parabolic cables
7.107, 108 7.109, 110 supports at the same elevation
7.112, 113 7.111, 114
7.115, 116 7.117, 118 supports at different elevations
www.elsolucionario.org
TABLE II: CLASSIFICATION AND DESCRIPTION OF PROBLEMS (CONTINUED)
Problem Number*
SI Units U.S. Units Problem Description
* Problems which do not involve any specific system of units have been indicated by underlining their number.
Answers are not given to problems with a number set in italic type.
xxiii
*7.119 Derive analogy between a beam and a cable
7.120, 121 7.122, 123 use analogy to solve previous problems
*7.124 *7.125, *126 Derive or use d
2
y/dx
2
= w(x) T0
Catenary
7.129, 130 7.127, 128 given length of cable and sag or Tm , find span of cable
7.131, 132
7.133, 136 7.134, 135 given span and length of cable, find sag and/or weight
7.139, 140 7.137, 138 given span, Tm , and w, find sag
7.141, 142 7.143, 144 given T0 , w, and sag or slope, find span or sag
7.145, 146 *7.147, *148
*7.151, *152 7.149, *150 special problems
*7.153
7.154, 155 7.156, 158 Review problems
7.157, 159 7.160, 161
7.163, 164 7.162, 165
7.C2, C4 7.C1, C3 Computer problems
7.C5, C6
CHAPTER 8: FRICTION
8.F1, F4 8.F2, F3 Free Body Practice Problems – Frames
8.1, 2 8.3, 4 For given loading, determine whether block is in equilibrium and find friction force
8.7, 9 8.5, 6 Find minimum force required to start, maintain, or prevent motion
8.10 8.8
8.13, 14 8.11, 12 Analyze motion of several blocks
8.15, 16 8.17, 18 Sliding and/or tipping of a rigid body
8.21, 22 8.19, 20 Problems involving wheels and cylinders
8.25, 26 8.23, 24 Problems involving rods
8.27, 28 8.29, 30 Analysis of mechanisms with friction
8.32, 33 8.31, 34
8.35
8.37, 39 8.36, 38 Analysis of more advanced rod and beam problems
8.40 8.41, 42
8.43, 44 8.46, 47 Analysis of systems with possibility of slippage for various loadings
8.45
8.48, 49 8.52, 53 Wedges, introductory problems
8.50, 51 8.57
8.54, 55
8.56
8.59, 64 8.58, 60 Wedges, more advanced problems
8.65 8.61, 62
*8.66, *67 8.63
www.elsolucionario.org
TABLE II: CLASSIFICATION AND DESCRIPTION OF PROBLEMS (CONTINUED)
Problem Number*
SI Units U.S. Units Problem Description
* Problems which do not involve any specific system of units have been indicated by underlining their number.
Answers are not given to problems with a number set in italic type.
xxiv
8.68 8.69, 70 Square-threaded screws
8.72, 73 8.71, 74
8.75, 76
8.77, 79 8.78, 83 Axle friction
8.80, 81 8.84, 87
8.82, 85 8.88, 89
8.86, 91 8.90
8.92, *94 8.93, 97 Disk friction
*8.95, *96
8.100, 101 8.98, 99 Rolling resistance
8.102
Belt friction
8.105, 106 8.103, 104 belt passing over fixed drum
8.107, 108
8.109, 112 8.110, 111 transmission belts and band brakes
8.113, 114 8.115, 116
8.117
8.118, 119 8.120, 121 advanced problems
8.124, 125 8.122, 123
8.126, 127 8.128, 129
8.132, 133 8.130, 131 derivations, V belts
8.134, 135 8.136, 137 Review problems
8.138, 139 8.140, 141
8.143, 144 8.142, 145
8.C1, C3 8.C2, C5 Computer problems
8.C4, C6 8.C7
8.C8
CHAPTER 9: DISTRIBUTED FORCES: MOMENTS OF INERTIA
MOMENTS OF INERTIA OF AREAS
Find by direct integration
9.1, 3 9.2, 4 moments of inertia of an area
9.6, 8 9.5, 7
9.9, 12 9.10, 11
9.13, 14
9.15, 17 9.16, 18 moments of inertia and radii of gyration of an area
9.19, 20
9.21, 22 9.23, 24 polar moments of inertia and polar radii of gyration of an area
9.25, 26 9.27, 28
*9.29 *9.30 Special problems
Parallel-axis theorem applied to composite areas to find
9.31, 33 9.32, 34 moment of inertia and radius of gyration
9.35, 36
www.elsolucionario.org
TABLE II: CLASSIFICATION AND DESCRIPTION OF PROBLEMS (CONTINUED)
Problem Number*
SI Units U.S. Units Problem Description
* Problems which do not involve any specific system of units have been indicated by underlining their number.
Answers are not given to problems with a number set in italic type.
xxv
9.39, 40 9.37, 38 centroidal moment of inertia, given I or J
9.41, 42 9.43, 44 centroidal moments of inertia
9.47, 48 9.45, 46 centroidal polar moment of inertia
centroidal moments of inertia of composite areas consisting of rolled-steel
shapes:
9.49, 52 9.50, 51 doubly-symmetrical composite areas
9.54, 55 9.53, 56 singly-symmetrical composite areas (first locate centroid of area)
Center of pressure
9.58, *60 9.57, 59 for end panel of a trough
9.61, 62 for a submerged vertical gate or cover
*9.64 *9.63 used to locate centroid of a volume
*9.65 *9.66 special problems
Products of inertia of areas found by
9.67, 68 9.69, 70 direct integration
9.71, 72 9.73, 74 parallel-axis theorem
9.75, 78 9.76, 77
Using the equations defining the moments and products of inertia with respect to
rotated axes to find
9.79, 80 9.81, 83 Ix', Iy', Ix'y' for a given angle of rotation
9.82, 84
9.85, 86 9.87, 89 principal axes and principal moments of inertia
9.88, 90
Using Mohr's circle to find
9.91, 92 9.93, 95 Ix', Iy', Ix'y' for a given angle of rotation
9.94, 96
9.97, 98 9.99, 100 principal axes and principal moments of inertia
9.101, 102
9.104, 105 9.103, *106
9.107, 108 9.109, 110 Special problems
MOMENTS OF INERTIA OF MASSES
Mass moment of inertia
9.111, 112 9.113, 114 of thin plates: two-dimensions
9.117, 118 9.115, 116
9.119, 120 9.121, 122 of simple geometric shapes by direct single integration
9.123, 125 9.124, *126
9.128 9.127 and radius of gyration of composite bodies
9.129, 130 9.131, 134 special problems using the parallel-axis theorem
9.132, 133
9.135, 136 9.138, 139 of bodies formed of sheet metal or of thin plates: three-dimensions
9.137, *140
9.141, 142 9.143, 144 of machine elements and of bodies formed of homogeneous wire
9.145, 148 9.146, 147
Mass products of inertia
9.149, 150 9.151, 152 of machine elements
9.153, 154 of bodies formed of sheet metal or of thin plates
9.155, 156
9.157, 158 9.159, 160 of bodies formed of homogeneous wire
9.162 9.161 Derivation and special problem
www.elsolucionario.org
TABLE II: CLASSIFICATION AND DESCRIPTION OF PROBLEMS (CONTINUED)
Problem Number*
SI Units U.S. Units Problem Description
* Problems which do not involve any specific system of units have been indicated by underlining their number.
Answers are not given to problems with a number set in italic type.
xxvi
9.165, 166 9.163, 164 Mass moment of inertia of a body with respect to a skew axis
9.169, 170 9.167, 168
9.171, 172
9.175, 176 9.173, 174 Ellipsoid of inertia and special problems
9.177, 178
*9.179, *180 *9.182, *183 Principal mass moments of inertia and principal axes of inertia
*9.181, *184
9.187, 188 9.185, 186 Review problems
9.189, 193 9.190, 191
9.194, 195 9.192, 196
9.C3, C5 9.C1, C2 Computer problems
*9.C7, *C8 9.C4, C6
CHAPTER 10: METHOD OF VIRTUAL WORK
For linkages and simple machines, find
10.1, 3 10.2, 4 force or couple required for equilibrium (linear relations among displacements)
10.5, 6 10.7, 8
10.11, 12 10.9, 10 force required for equilibrium (trigonometric relations among displacements)
10.13, 14
10.17, 18 10.15, 16 couple required for equilibrium (trigonometric relations among displacements)
10.21, 22 10.19, 20 force or couple required for equilibrium
Find position of equilibrium
10.23, 24 10.25, 26 for numerical values of loads
10.27, 28
10.29, 32 10.30, 31 linear springs included in mechanism
10.33, 34 10.36, 38
10.35, 37
10.39, 40 torsional spring included in mechanism
10.43, 44 10.41, 42 Problems requiring the use of the law of cosines
10.45, 46
10.48, 50 10.47, 49 Problems involving the effect of friction
10.51, 52
Use method of virtual work to find:
10.53, 54 reactions of a beam
10.55 10.56 internal forces in a mechanism
10.57, 58 movement of a truss joint
Potential energy method used to
10.62, 63 10.59, 60 solve problems from Sec. 10.4
10.64, 65 10.61, 66
10.67 10.68 establish that equilibrium is neutral
find position of equilibrium and determine its stability for a system involving:
10.69, 72 10.70, 71 gears and drums
10.73, 74 torsional springs
10.77, 78 10.75, 76 linear springs
10.79, 82 10.80, 81
10.85, 86 10.87, 88
www.elsolucionario.org
TABLE II: CLASSIFICATION AND DESCRIPTION OF PROBLEMS (CONTINUED)
Problem Number*
SI Units U.S. Units Problem Description
* Problems which do not involve any specific system of units have been indicated by underlining their number.
Answers are not given to problems with a number set in italic type.
xxvii
10.83, 84 two applied forces
determine stability of a known position of equilibrium for a system with
10.89, 93 10.90, 91 one degree of freedom
10.94, 96 10.92, 95
*10.97, *98 *10.99, *100 two degrees of freedom
10.103, 104 10.101, 102 Review problems
10.105, 107 10.106, 108
10.111, 112 10.109, 110
10.C2, C3 10.C1, C4 Computer problems
10.C5, C6
10.C7
www.elsolucionario.org
TABLE III: SAMPLE ASSIGNMENT SCHEDULE FOR A COURSE IN STATICS
This schedule includes all of the material of VECTOR MECHANICS FOR ENGINEERS: STATICS with the exception of Sections 3.4D, 6.1D, 7.4–7.5, 8.3, and 9.6C.
50% OF THE PROBLEMS IN EACH OF THE FOLLOWING LISTS USE SI UNITS AND 50% U.S. CUSTOMARY UNITS
ANSWERS TO ALL OF THESE PROBLEMS ARE GIVEN IN THE BACK OF THE BOOK NO ANSWERS ARE GIVEN IN THE BOOK
FOR ANY OF THESE PROBLEMS
Period Sections Topics List 1 List 2 List 3 List 4 List 5 List 6
1 1.1–6 Introduction
2 2.1–2 Addition and Resolution of Forces 2.5, 15, 27, 31 2.10, 17, 29, 37 2.11, 16, 26, 36 2.6, 19, 28, 35 2.12, 18, 30, 33 2.7, 20, 25, 38
3 2.3 Equilibrium of a Particle 2.43, 50, 63, 65 2.48, 49, 59, 69 2.46, 55, 61, 67 2.44, 51, 62, 68 2.45, 56, 64, 66 2.47, 52, 60, 70
4 2.4 Forces in Space 2.71, 81, 85, 97 2.72, 82, 89, 94 2.75, 84, 88, 92 2.77, 79, 87, 91 2.76, 80, 86, 93 2.78, 83, 90, 98
5 2.5 Equilibrium in Space 2.103, 107, 119, 125 2.104, 108, 113, 121 2.101, 106, 116, 123 2.99, 112, 115, 124 2.102, 105, 120, 126 2.100, 111, 114, 122
6 3.1 Vector Product, Moment of a Force about a Point 3.4, 12, 23, 27 3.5, 11, 26, 30 3.7, 13, 25, 28 3.6, 9, 22, 29 3.3, 14, 21, 31 3.8, 10, 24, 34
7 3.2 Scalar Product, Moment of a Force about an Axis 3.43, 48, 61, *68 3.39, 47, 55, *67 3.41, 53, 57, *64 3.37, 49, 58, *65 3.42, 50, 56, *69 3.38, 54, 62, *66
8 3.3 Couples 3.71, 84, 87, 99 3.70, 82, 90, 97 3.73, 86, 89, 96 3.80, 83, 91, 95 3.75, 85, 88, 100 3.72, 81, 92, 94
9 3.4 Equivalent Systems of Forces 3.106, 111, 126, 127 3.105, 110, 122, 128 3.102, 108, 120, 129 3.101, 114, 119, 130 3.107, 112, 121, 131 3.103, 109, 123, 132
10 EXAM NUMBER ONE
11 4.1 Equilibrium in Two Dimensions 4.1, 14, 19, 23 4.2, 12, 15, 24 4.4, 13, 17, 25 4.7, 9, 18, 22 4.3, 10, 16, 27 4.8, 11, 20, 21
12 4.1 Equilibrium in Two Dimensions 4.34, 36, 43, 52 4.33, 35, 48, 51 4.31, 42, 46, 57 4.32, 41, 47, 55 4.30, 37, 44, 58 4.29, 38, 49, 56
13 4.2 Two- and Three-Force Bodies 4.63, 72, 75, 86 4.62, 71, 81, 90 4.66, 73, 77, 88 4.61, 69, 79, 83 4.68, 74, 76, 87 4.64, 70, 82, 89
14 4.3 Equilibrium in Three Dimensions 4.93, 100, 110, 117 4.94, 99, 105, 113 4.91, 103, 107, 116 4.95, 97, 106, 115 4.92, 104, 111, 118 4.96, 98, 112, 114
15 4.3 Equilibrium in Three Dimensions 4.122, 127, 133 4.119, 128, 138 4.121, 131, 135 4.120, 129, 140 4.126, 132, 134 4.125, 130, 139
16 5.1 Centroids and First Moments 5.1, 10, 24, 33 5.3, 13, 20, 26 5.5, 14, 23, 30 5.2, 11, 21, 31 5.8, 15, 25, 28 5.7, 12, 22, 27
17 5.2 Centroids by Integration 5.34, 43, 58, 64 5.35, 40, 53, 60 5.37, 44, 54, 63 5.39, 41, 52, 62 5.38, 42, 59, *65 5.36, *47, 56, 61
18 5.3 Beams and Submerged Surfaces 5.66, 76, 81, 94 5.67, 77, 82, 90 5.70, 74, 80, 89 5.69, 78, 84, 88 5.72, 75, 83, 95 5.68, 79, 86, 91
19 5.4 Centroids of Volumes 5.102, 107, 119, 122 5.103, 106, 117, 125 5.100, 111, 114, 124 5.104, 109, 116, 123 5.101, 112, 115, 126 5.105, 108, 120, 127
20 EXAM NUMBER TWO
21 6.1 Trusses: Method of Joints 6.2, 11, 21, 30 6.4, 12, 24, 27 6.1, 13, 23, 29 6.3, 9, 22, 28 6.7, 14, 25, 33 6.5, 10, 26, 31
22 6.2 Trusses: Method of Sections 6.45, 54, 68, 69 6.46, 53, 67, 70 6.43, 59, 62, 71 6.44, 60, 61, 72 6.47, 57, 64, 73 6.48, 58, 63, 74
23 6.3 Analysis of Frames 6.75, 88, 102, 109 6.77, 89, 101, 110 6.76, 83, 100, 107 6.81, 85, 99, 108 6.78, 84, 105, 111 6.82, 86, 106, 114
24 6.4 Analysis of Machines 6.123, 134, 145, 149 6.124, 133, 141, 155 6.127, 129, 144, 153 6.122, 130, 143, 154 6.126, 135, 142, 150 6.128, 136, 146, 156
25 6.1–4 Review of Chapter 6 6.15, 52, 91, 151 6.19, 51, 92, 152 6.17, 50, 94, 140 6.18, 49, 93, 137 6.16, 48, 98, 157 6.20, 47, 97, 158
26 7.1 Internal Forces in Members 7.1, 12, 18, 23 7.2, 11, 17, 24 7.3, 8, 19, 26 7.4, 7, 20, 25 7.5, 14, 22, 27 7.6, 13, 21, 28
27 7.2 Beams 7.36, 46, 50, 59 7.35, 45, 49, 59 7.42, 48, 52, 55 7.41, 47, 51, 58 7.38, 43, 54, 60 7.37, 44, 53, 61
28 7.3 Beams 7.65, 70, 81, *89 7.66, 69, 82, *90 7.64, 73, 78, 86 7.63, 74, 77, 87 7.68, 75, 83, 85 7.67, 76, 84, 88
29 EXAM NUMBER THREE
30 8.1 Laws of Friction 8.1, 18, 32, 36 8.2, 17, 27, 41 8.3, 14, 30, 40 8.4, 13, 29, 39 8.8, 16, 33, 38 8.6, 15, 28, 42
31 8.2 Wedges and Screws 8.52, 54, 63, 73 8.53, 55, 62, 72 8.48, 57, 65, 74 8.49, 60, 64, 71 8.50, 58, 70, 76 8.51, 61, 69, 75
32 8.4 Belt Friction 8.104, 109, 121, 126 8.103, 112, 120, 133 8.105, 110, 119, 128 8.106, 111, 118, 129 8.108, 115, 123, 127 8.107, 116, 122, 132
33 9.1 Moments of Inertia of Areas 9.1, 10, 17, 23 9.3, 11, 15, 28 9.4, 12, 16, 21 9.2, 9, 18, 22 9.5, 14, 19, 24 9.7, 13, 20, 27
34 9.2 Composite Areas 9.34, 42, 51, 58 9.32, 41, 50, *60 9.31, 43, 52, 57 9.33, 44, 49, 59 9.35, 45, 56, 61 9.36, 46, 53, 62
35 9.3 Product of Inertia 9.72, 83, 86 9.71, 81, 85 9.76, 79, 87 9.74, 80, 89 9.77, 84, 88 9.73, 82, 90
36 9.4 Mohr’s Circle 9.93, 97, 103 9.95, 98, *106 9.92, 100, 107 9.91, 99, 108 9.94, 102, 110 9.96, 101, 109
37 9.5 Moments of Inertia of Masses 9.112, 121, 135, 147 9.111, 122, 136, 143 9.113, 119, 138, 142 9.114, 120, 139, 141 9.116, 123, *140, 146 9.115, 125, 137, 144
38 9.6 Principal Axes 9.152, 158, 167, 175 9.151, 155, 168, 176 9.149, 159, 165, 174 9.150, 160, 166, 173 9.154, 163, 171, 178 9.153, 164, 172, 177
39 EXAM NUMBER FOUR
40 10.1 Virtual Work 10.1, 9, 18, 20 10.3, 10, 17, 19 10.2, 12, 16, 24 10.4, 14, 15, 23 10.8, 13, 21, 25 10.7, 11, 22, 26
41 10.1 Virtual Work 10.31, 35, 46, 53 10.30, 37, 45, 54 10.32, 36, 43, 57 10.33, 38, 44, 58 10.34, 42, 47, 55 10.29, 41, 51, 56
42 10.2 Potential Energy 10.69, 80, 86, 91 10.72, 81, 83, 92 10.71, 77, 88, 89 10.70, 78, 87, 93 10.76, 79, 84, 95 10.75, 82, 85, 90
www.elsolucionario.org
TABLE IV: SAMPLE ASSIGNMENT SCHEDULE FOR A COURSE IN STATICS
This schedule includes all of the material of VECTOR MECHANICS FOR ENGINEERS: STATICS with the exception of Sections 3.4D, 6.1D, 7.4–7.5, 8.3, and 9.6C.
75% OF THE PROBLEMS IN EACH OF THE FOLLOWING LISTS USE SI UNITS AND 25% U.S. CUSTOMARY UNITS
ANSWERS TO ALL OF THESE PROBLEMS ARE GIVEN IN THE BACK OF THE BOOK
Period Sections Topics List 1a List 2a List 3a List 4a
1 1.1–6 Introduction
2 2.1–2 Addition and Resolution of Forces 2.5, 15, 27, 34 2.10, 17, 29, 32 2.8, 16, 26, 36 2.9, 19, 28, 35
3 2.3 Equilibrium of a Particle 2.43, 50, 57, 65 2.48, 49, 58, 69 2.46, 54, 61, 67 2.44, 53, 62, 68
4 2.4 Forces in Space 2.71, 81, 85, 95 2.72, 82, 89, 96 2.74, 84, 88, 92 2.73, 79, 87, 91
5 2.5 Equilibrium in Space 2.103, 107, 118, 125 2.104, 108, 117, 121 2.101, 109, 116, 123 2.99, 110, 115, 124
6 3.1 Vector Product, Moment of a Force about a Point 3.4, 12, 23, 32 3.5, 11, 26, 33 3.1, 13, 25, 28 3.2, 9, 22, 29
7 3.2 Scalar Product, Moment of a Force about an Axis 3.43, 48, 59, *68 3.39, 47, 60, *67 3.41, 52, 57, *64 3.37, 51, 58, *65
8 3.3 Couples 3.71, 84, 87, 98 3.70, 82, 90, 93 3.74, 86, 89, 96 3.78, 83, 91, 95
9 3.4 Equivalent Systems of Forces 3.106, 111, 125, 127 3.105, 110, 124, 128 3.102, 116, 120, 129 3.101, 117, 119, 130
10 EXAM NUMBER ONE
11 4.1 Equilibrium in Two Dimensions 4.1, 14, 19, 28 4.2, 12, 15, 26 4.5, 13, 17, 25 4.6, 9, 18, 22
12 4.1 Equilibrium in Two Dimensions 4.34, 36, 45, 52 4.33, 35, 50, 51 4.31, 40, 46, 57 4.32, 39, 47, 55
13 4.2 Two- and Three-Force Bodies 4.63, 72, 75, 84 4.62, 71, 81, 85 4.67, 73, 77, 88 4.65, 69, 79, 83
14 4.3 Equilibrium in Three Dimensions 4.93, 100, 108, 117 4.94, 99, 109, 113 4.91, 102, 107, 116 4.95, 101, 106, 115
15 4.3 Equilibrium in Three Dimensions 4.122, 127, 133 4.119, 128, 138 4.124, 131, 135 4.123, 129, 140
16 5.1 Centroids and First Moments 5.1, 10, 24, 29 5.3, 13, 20, 32 5.6, 14, 23, 30 5.9, 11, 21, 31
17 5.2 Centroids by Integration 5.34, 43, 57, 64 5.35, 40, 55, 60 5.37, 46, 54, 63 5.39, 45, 52, 62
18 5.3 Beams and Submerged Surfaces 5.66, 76, 81, 93 5.67, 77, 82, 92 5.73, 74, 80, 89 5.71, 78, 84, 88
19 5.4 Centroids of Volumes 5.102, 107, 118, 122 5.103, 106, 121, 125 5.100, 113, 114, 124 5.104, 110, 116, 123
20 EXAM NUMBER TWO
21 6.1 Trusses: Method of Joints 6.2, 11, 21, 32 6.4, 12, 24, 34 6.6, 13, 23, 29 6.8, 9, 22, 28
22 6.2 Trusses: Method of Sections 6.45, 54, 66, 69 6.46, 53, 65, 70 6.43, 56, 62, 71 6.44, 55, 61, 72
23 6.3 Analysis of Frames 6.75, 88, 102, 113 6.77, 89, 101, 112 6.79, 83, 100, 107 6.80, 85, 99, 108
24 6.4 Analysis of Machines 6.123, 134, 147, 149 6.124, 133, 148, 155 6.127, 132, 144, 153 6.122, 131, 143, 154
25 6.1–4 Review of Chapter 6 6.15, 52, 91, 125 6.19, 51, 92, 139 6.50, 94, 140, 164 6.49, 93, 137, 165
26 7.1 Internal Forces in Members 7.1, 12, 15, 23 7.2, 11, 16, 24 7.3, 10, 19, 26 7.4, 9, 20, 25
27 7.2 Beams 7.36, 46, 50, 57 7.35, 45, 49, 56 7.40, 48, 52, 55 7.39, 47, 51, 58
28 7.3 Beams 7.65, 70, 80, *89 7.66, 69, 79, *90 7.64, 71, 78, 86 7.63, 72, 77, 87
29 EXAM NUMBER THREE
30 8.1 Laws of Friction 8.1, 18, 32, 37 8.2, 17, 27, 43 8.7, 14, 30, 40 8.9, 13, 29, 39
31 8.2 Wedges and Screws 8.52, 54, *67, 73 8.53, 55, *66, 72 8.48, 56, 65, 74 8.49, 59, 64, 71
32 8.4 Belt Friction 8.104, 109, 125, 126 8.103, 112, 124, 133 8.105, 113, 119, 128 8.106, 114, 118, 129
33 9.1 Moments of Inertia of Areas 9.1, 10, 17, 26 9.3, 11, 15, 25 9.8, 12, 16, 21 9.6, 9, 18, 22
34 9.2 Composite Areas 9.34, 42, 55, 58 9.32, 41, 54, *60 9.31, 47, 52, 57 9.33, 48, 49, 59
35 9.3 Product of Inertia 9.72, 83, 86 9.71, 81, 85 9.75, 79, 87 9.78, 80, 89
36 9.4 Mohr’s Circle 9.93, 97, 103 9.95, 98, *106 9.92, 104, 107 9.91, 105, 108
37 9.5 Moments of Inertia of Masses 9.112, 121, 135, 148 9.111, 122, 136, 145 9.117, 119, 138, 142 9.118, 120, 139, 141
38 9.6 Principal Axes 9.152, 158, 170, 175 9.151, 155, 169, 176 9.149, 157, 165, 174 9.150, 156, 166, 173
39 EXAM NUMBER FOUR
40 10.1 Virtual Work 10.1, 9, 18, 28 10.3, 10, 17, 27 10.5, 12, 16, 24 10.6, 14, 15, 23
41 10.1 Virtual Work 10.31, 35, 52, 53 10.30, 37, 48, 54 10.32, 40, 43, 57 10.33, 39, 44, 58
42 10.2 Potential Energy 10.69, 80, 86, 96 10.72, 81, 83, 94 10.74, 77, 88, 89 10.73, 78, 87, 93
www.elsolucionario.org
TABLE V: SAMPLE ASSIGNMENT SCHEDULE FOR A COMBINED COURSE IN STATICS AND DYNAMICS
This schedule is intended for a 4-semester-credit-hour course consisting of (1) the abridged Statics course defined in Table I of this manual and (2) the standard Dynamics course defined in Table I of the Dynamics Instructor’s Manual. Note that the Statics portion
of the course is designed to serve only as an introduction to Dynamics; a more complete coverage of Statics is recommended for curricula including courses in Mechanics of Materials (see Tables III and ff. of the Statics Manual).
50% OF THE PROBLEMS IN EACH OF THE FOLLOWING LISTS USE SI UNITS AND 50% U.S. CUSTOMARY UNITS
ANSWERS TO ALL OF THESE PROBLEMS ARE GIVEN IN THE BACK OF THE BOOK NO ANSWERS ARE GIVEN IN THE BOOK
FOR ANY OF THESE PROBLEMS
Period Sections Topics List 1 List 2 List 3 List 4 List 5 List 6
1 1.1–6 Introduction
2 2.1–2 Addition and Resolution of Forces 2.5, 15, 27, 31 2.10, 17, 29, 37 2.11, 16, 26, 36 2.6, 19, 28, 35 2.12, 18, 30, 33 2.7, 20, 25, 38
3 2.3 Equilibrium of a Particle 2.43, 50, 63, 65 2.48, 49, 59, 69 2.46, 55, 61, 67 2.44, 51, 62, 68 2.45, 56, 64, 66 2.47, 52, 60, 70
4 2.4 Forces in Space 2.71, 81, 85, 97 2.72, 82, 89, 94 2.75, 84, 88, 92 2.77, 79, 87, 91 2.76, 80, 86, 93 2.78, 83, 90, 98
5 2.5 Equilibrium in Space 2.103, 107, 119, 125 2.104, 108, 113, 121 2.101, 106, 116, 123 2.99, 112, 115, 124 2.102, 105, 120, 126 2.100, 111, 114, 122
6 3.1 Vector Product, Moment of a Force about a Point 3.4, 12, 23, 27 3.5, 11, 26, 30 3.7, 13, 25, 28 3.6, 9, 22, 29 3.3, 14, 21, 31 3.8, 10, 24, 34
7 3.2 Scalar Product, Moment of a Force about an Axis 3.43, 48, 61, *68 3.39, 47, 55, *67 3.41, 53, 57, *64 3.37, 49, 58, *65 3.42, 50, 56, *69 3.38, 54, 62, *66
8 3.3 Couples 3.71, 84, 87, 99 3.70, 82, 90, 97 3.73, 86, 89, 96 3.80, 83, 91, 95 3.75, 85, 88, 100 3.72, 81, 92, 94
9 3.4 Equivalent Systems of Forces 3.106, 111, 126, 127 3.105, 110, 122, 128 3.102, 108, 120, 129 3.101, 114, 119, 130 3.107, 112, 121, 131 3.103, 109, 123, 132
10 EXAM NUMBER ONE
11 4.1 Equilibrium in Two Dimensions 4.1, 14, 19, 23 4.2, 12, 15, 24 4.4, 13, 17, 25 4.7, 9, 18, 22 4.3, 10, 16, 27 4.8, 11, 20, 21
12 4.1 Equilibrium in Two Dimensions 4.34, 36, 43, 52 4.33, 35, 48, 51 4.31, 42, 46, 57 4.32, 41, 47, 55 4.30, 37, 44, 58 4.29, 38, 49, 56
13 6.3 Analysis of Frames 6.75, 88, 102, 109 6.77, 89, 101, 110 6.76, 83, 100, 107 6.81, 85, 99, 108 6.78, 84, 105, 111 6.82, 86, 106, 114
14 6.4 Analysis of Machines 6.123, 134, 145, 149 6.124, 133, 141, 155 6.127, 129, 144, 153 6.122, 130, 143, 154 6.126, 135, 142, 150 6.128, 136, 146, 156
15 4.3 Equilibrium in Three Dimensions 4.93, 100, 110, 117 4.94, 99, 105, 113 4.91, 103, 107, 116 4.95, 97, 106, 115 4.92, 104, 111, 118 4.96, 98, 112, 114
16 4.3 Equilibrium in Three Dimensions 4.122, 127, 133 4.119, 128, 138 4.121, 131, 135 4.120, 129, 140 4.126, 132, 134 4.125, 130, 139
17 8.1 Laws of Friction 8.1, 18, 32, 36 8.2, 17, 27, 41 8.3, 14, 30, 40 8.4, 13, 29, 39 8.8, 16, 33, 38 8.6, 15, 28, 42
18 8.2 Wedges and Screws 8.52, 54, 63, 73 8.53, 55, 62, 72 8.48, 57, 65, 74 8.49, 60, 64, 71 8.50, 58, 70, 76 8.51, 61, 69, 75
19 EXAM NUMBER TWO
20 11.1 Rectilinear Motion
21 11.2 Uniformly Accelerated Motion
22 11.4 Curvilinear Motion (Rect. Comps)
23 11.5 Curvilinear Motion (Other Comp.)
24 12.1 Equations of Motion
25 12.2 Angular Momentum
26 Review
27 EXAM NUMBER THREE
28 13.1 Work and Energy, Power
29 13.2 Conservation of Energy
30 13.2D Application to Space Mechanics
31 13.3 Impulse and Momentum
32 13.4 Impact
33 14.1 Systems of Particles
34 14.2 Systems of Particles
35 EXAM NUMBER FOUR
36 15.1 Translation, Rotation
37 15.2 General Plane Motion
38 15.3 Instantaneous Center
39 15.4 Acceleration in Plane Motion
40 15.5 Coriolis Acceleration in Plane Motion
41 9.5 Moments of Inertia of Masses 9.112, 121, 135, 147 9.111, 122, 136, 143 9.113, 119, 138, 142 9.114, 120, 139, 141 9.116, 123, *140, 146 9.115, 125, 137, 144
42 Review
43 EXAM NUMBER FIVE
44 16.1 Plane Motion of Rigid Bodies
45 16.1 Plane Motion of Rigid Bodies
46 16.2 Constrained Plane Motion
47 16.2 Constrained Plane Motion
48 17.1 Work and Energy
49 17.2 Impulse and Momentum
50 17.3 Eccentric Impact
51 Review
52 EXAM NUMBER SIX
53 19.1 Free Vibrations of Particles
54 19.2 Free Vibrations of Rigid Bodies
55 19.3 Energy Methods
56 19.4 Forced Vibrations
www.elsolucionario.org
CHAPTER 2
Copyright © McGraw-Hill Education. Permission required for reproduction or display.
www.elsolucionario.org
Copyright © McGraw-Hill Education. Permission required for reproduction or display.
www.elsolucionario.org
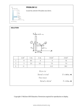
SOLUT
(a) P
(b) T
W
TION
arallelogram l
Triangle rule:
We measure:
PRO
Two
magn
(b) th
law:
OBLEM 2.1
o forces are a
nitude and dir
he triangle rul
139
R =
1
applied as sho
rection of thei
le.
1 kN, 47
α =
own to a hoo
ir resultant us
7.8°
ok. Determine
ing (a) the pa
1391 N
=
R
e graphically
arallelogram la
N 47.8°
the
aw,
Copyright © McGraw-Hill Education. Permission required for reproduction or display.
www.elsolucionario.org
SOLUT
(a) P
(b) T
W
TION
arallelogram l
Triangle rule:
We measure:
PR
Two
grap
(a)
law:
OBLEM 2.2
o forces are
phically the
the parallelo
90
R =
2
applied as s
magnitude
ogram law, (
06 lb, 2
α =
shown to a b
and directio
(b) the triang
26.6°
bracket supp
on of their r
gle rule.
906
R =
ort. Determi
resultant usi
6 lb 26.6°
ine
ing
Copyright © McGraw-Hill Education. Permission required for reproduction or display.
www.elsolucionario.org
PROBLEM 2.3
Two structural members B and C are bolted to bracket A. Knowing that
both members are in tension and that P = 10 kN and Q = 15 kN,
determine graphically the magnitude and direction of the resultant force
exerted on the bracket using (a) the parallelogram law, (b) the triangle
rule.
SOLUTION
(a) Parallelogram law:
(b) Triangle rule:
We measure: 20.1 kN,
R = 21.2
α = ° 20.1kN
=
R 21.2°
Copyright © McGraw-Hill Education. Permission required for reproduction or display.
www.elsolucionario.org
PROBLEM 2.4
Two structural members B and C are bolted to bracket A. Knowing that
both members are in tension and that P = 6 kips and Q = 4 kips,
determine graphically the magnitude and direction of the resultant force
exerted on the bracket using (a) the parallelogram law, (b) the triangle
rule.
SOLUTION
(a) Parallelogram law:
(b) Triangle rule:
We measure: 8.03 kips, 3.8
R α
= = ° 8.03 kips
=
R 3.8°
Copyright © McGraw-Hill Education. Permission required for reproduction or display.
www.elsolucionario.org
PROBLEM 2.5
A stake is being pulled out of the ground by means of two ropes as shown.
Knowing that α = 30°, determine by trigonometry (a) the magnitude of the
force P so that the resultant force exerted on the stake is vertical, (b) the
corresponding magnitude of the resultant.
SOLUTION
Using the triangle rule and the law of sines:
(a)
120 N
sin30 sin 25
P
=
° °
101.4 N
P =
(b) 30 25 180
180 25 30
125
β
β
° + + ° = °
= ° − ° − °
= °
120 N
sin30 sin125
=
° °
R
196.6 N
=
R
Copyright © McGraw-Hill Education. Permission required for reproduction or display.
www.elsolucionario.org
PROBLEM 2.6
A telephone cable is clamped at A to the pole AB. Knowing that the
tension in the left-hand portion of the cable is T1 = 800 lb, determine
by trigonometry (a) the required tension T2 in the right-hand portion if
the resultant R of the forces exerted by the cable at A is to be vertical,
(b) the corresponding magnitude of R.
SOLUTION
Using the triangle rule and the law of sines:
(a) 75 40 180
180 75 40
65
α
α
° + ° + = °
= ° − ° − °
= °
2
800 lb
sin65 sin75
T
=
° °
2 853 lb
T =
(b)
800 lb
sin65 sin 40
R
=
° °
567 lb
R =
Copyright © McGraw-Hill Education. Permission required for reproduction or display.
www.elsolucionario.org
PROBLEM 2.7
A telephone cable is clamped at A to the pole AB. Knowing that the
tension in the right-hand portion of the cable is T2 = 1000 lb, determine
by trigonometry (a) the required tension T1 in the left-hand portion if
the resultant R of the forces exerted by the cable at A is to be vertical,
(b) the corresponding magnitude of R.
SOLUTION
Using the triangle rule and the law of sines:
(a) 75 40 180
180 75 40
65
β
β
° + ° + = °
= ° − ° − °
= °
1
1000 lb
sin75° sin65
T
=
°
1 938 lb
T =
(b)
1000 lb
sin75° sin 40
R
=
°
665 lb
R =
Copyright © McGraw-Hill Education. Permission required for reproduction or display.
www.elsolucionario.org
PROBLEM 2.8
A disabled automobile is pulled by means of two
ropes as shown. The tension in rope AB is 2.2 kN,
and the angle α is 25°. Knowing that the resultant
of the two forces applied at A is directed along the
axis of the automobile, determine by trigonometry
(a) the tension in rope AC, (b) the magnitude of the
resultant of the two forces applied at A.
SOLUTION
Using the law of sines:
2.2 kN
sin30° sin125 sin 25
AC
T R
= =
° D
2.603 kN
4.264 kN
AC
T
R
=
=
(a) 2.60 kN
AC
T =
(b) 4.26 kN
R =
Copyright © McGraw-Hill Education. Permission required for reproduction or display.
www.elsolucionario.org
PROBLEM 2.9
A disabled automobile is pulled by means of two
ropes as shown. Knowing that the tension in rope
AB is 3 kN, determine by trigonometry the tension
in rope AC and the value of α so that the resultant
force exerted at A is a 4.8-kN force directed along
the axis of the automobile.
SOLUTION
Using the law of cosines: 2 2 2
(3 kN) (4.8 kN) 2(3 kN)(4.8 kN)cos 30°
2.6643 kN
AC
AC
T
T
= + −
=
Using the law of sines:
sin sin30
3 kN 2.6643 kN
34.3
α
α
°
=
= °
2.66 kN
AC =
T 34.3°
Copyright © McGraw-Hill Education. Permission required for reproduction or display.
www.elsolucionario.org
SOLUT
Using th
(a)
(b)
TION
he triangle rule
e and law of s
si
5
s
α β
+ +
sin117
R
PROBLEM
Two forces a
magnitude o
angle α if the
be horizonta
ines:
in sin 25
50 N 35 N
sin 0.6037
α
α
°
=
=
37.138
α =
25 180
180
117.862
β
+ ° = °
= ° −
=
35 N
7.862 sin 2
R
=
°
M 2.10
are applied as
of P is 35 N, d
e resultant R o
l, (b) the corre
74
°
8°
25 37.138
2
° − °
°
N
25°
shown to a ho
determine by
of the two forc
esponding mag
ook support. K
trigonometry
ces applied to
gnitude of R.
Knowing that
(a) the requir
the support is
37.1
α = °
73.2 N
R =
the
red
s to
Copyright © McGraw-Hill Education. Permission required for reproduction or display.
www.elsolucionario.org
SOLUT
Using th
(a)
(b)
TION
he triangle rule
e and the law
50
β + °
4
s
4
s
P
A
th
m
fo
m
of sines:
60 180
180
70
β
° + ° = °
= °
= °
425 lb
sin 70 sin6
P
=
°
425 lb
sin 70 sin5
R
=
°
PROBLEM
A steel tank is
hat α = 20°, d
magnitude of
forces applied
magnitude of R
50 60
− ° − °
0°
0°
2.11
to be position
determine by
the force P i
at A is to be v
R.
ned in an excav
trigonometry
if the resultan
vertical, (b) th
vation. Knowi
(a) the requir
nt R of the t
he correspondi
392 lb
P =
346 lb
R =
ing
red
two
ing
Copyright © McGraw-Hill Education. Permission required for reproduction or display.
www.elsolucionario.org
SOLUT
Using th
(a)
(b)
TION
he triangle rule
e and the law
( 3
α +
sin
P
A
th
tr
th
c
of sines:
30 ) 60
sin(90 )
425 lb
β
β
β
α
° + ° +
° −
90 α
° −
(42.598 30
R
° +
PROBLEM
A steel tank is
hat the mag
rigonometry (
he two force
corresponding
180
180 (
90
sin60
500 lb
α
α
= °
= ° − +
= ° −
°
=
47.402
= °
500 lb
0 ) sin60
=
° °
2.12
to be position
gnitude of P
a) the require
s applied at
magnitude of
30 ) 60
° − °
ned in an excav
P is 500 lb,
d angle α if th
A is to be v
f R.
vation. Knowi
, determine
he resultant R
vertical, (b)
42.6
α = °
551 lb
R =
ing
by
R of
the
Copyright © McGraw-Hill Education. Permission required for reproduction or display.
www.elsolucionario.org
SOLUT
The sma
(a) P
(b) R
TION
allest force P w
(425 lb)co
P =
(425 lb)sin
R =
will be perpen
os30°
n30°
P
A
D
d
o
c
ndicular to R.
PROBLEM
A steel tank
Determine by
direction of the
of the two f
corresponding
2.13
is to be p
y trigonometr
e smallest forc
forces applied
magnitude of
positioned in
ry (a) the
ce P for which
d at A is v
f R.
an excavati
magnitude a
h the resultant
vertical, (b)
368 lb
=
P
21
R =
on.
and
t R
the
13 lb
Copyright © McGraw-Hill Education. Permission required for reproduction or display.
www.elsolucionario.org
SOLUT
The sma
(a) P
(b) R
TION
allest force P w
(50 N)sin
P =
(50 N)cos
R =
P
F
m
R
c
will be perpen
25°
25°
PROBLEM
For the hook s
magnitude and
R of the two
orresponding
ndicular to R.
2.14
support of Pro
d direction of t
o forces appli
magnitude of
ob. 2.10, deter
the smallest fo
ied to the su
f R.
rmine by trigo
force P for wh
upport is hor
onometry (a)
hich the result
rizontal, (b)
21.1 N
=
P
45.3 N
R =
the
tant
the
Copyright © McGraw-Hill Education. Permission required for reproduction or display.
www.elsolucionario.org
PROBLEM 2.15
For the hook support shown, determine by trigonometry the
magnitude and direction of the resultant of the two forces applied
to the support.
SOLUTION
Using the law of cosines:
2 2 2
(200 lb) (300 lb)
2(200 lb)(300 lb)cos(45 65 )
413.57 lb
R
R
= +
− + °
=
D
Using the law of sines:
sin sin (45 65 )
300 lb 413.57 lb
42.972
α
α
+ °
=
= °
D
90 25 42.972
β = + − °
D D
414 lb
=
R 72.0°
Copyright © McGraw-Hill Education. Permission required for reproduction or display.
www.elsolucionario.org
PROBLEM 2.16
Solve Prob. 2.1 by trigonometry.
PROBLEM 2.1
Two forces are applied as shown to a hook. Determine graphically the
magnitude and direction of their resultant using (a) the parallelogram law,
(b) the triangle rule.
SOLUTION
Using the law of cosines:
2 2 2
(900N) (600N)
2(900N)(600 N)cos(135 )
1390.57N
R
R
= +
− °
=
Using the law of sines:
sin( 30 ) sin (135 )
600N 1390.57N
30 17.7642
47.764
α
α
α
− °
=
− = °
=
D
D
D
1391N
=
R 47.8°
Copyright © McGraw-Hill Education. Permission required for reproduction or display.
www.elsolucionario.org
SOLUT
Using th
We hav
Then
And
TION
he force triang
e:
P
So
PR
A.
Q
re
(b
gle and the law
180
105
γ =
=
2
(4
64
8.0
R
R
=
=
=
4 kip
sin(25
sin(25
25
°
°
°
ROBLEM 2
olve Problem 2
ROBLEM 2.4
. Knowing tha
= 4 kips, de
sultant force
b) the triangle r
ws of cosines a
0 (50 25
5
° − ° + °
°
2
2
kips) (6 kip
.423 kips
0264 kips
+
ps 8.0264
) sin1
) 0.4813
28.775
3.775
α
α
α
α
=
+
+ =
° + =
= °
2.17
2.4 by trigono
4 Two structu
at both memb
etermine graph
exerted on th
rule.
and sines:
)
°
2
ps) 2(4 kip
−
4 kips
05
37
5
°
°
°
ometry.
ural members
bers are in ten
hically the ma
he bracket usin
s)(6 kips)cos1
B and C are b
nsion and that
agnitude and
ng (a) the par
105°
8.03 k
=
R
bolted to brac
t P = 6 kips a
direction of
rallelogram la
kips 3.8°
ket
and
the
aw,
Copyright © McGraw-Hill Education. Permission required for reproduction or display.
www.elsolucionario.org
PROBLEM 2.18
For the stake of Prob. 2.5, knowing that the tension in one rope is 120 N,
determine by trigonometry the magnitude and direction of the force P so
that the resultant is a vertical force of 160 N.
PROBLEM 2.5 A stake is being pulled out of the ground by means of two
ropes as shown. Knowing that α = 30°, determine by trigonometry (a) the
magnitude of the force P so that the resultant force exerted on the stake is
vertical, (b) the corresponding magnitude of the resultant.
SOLUTION
Using the laws of cosines and sines:
2 2 2
(120 N) (160 N) 2(120 N)(160 N)cos25
72.096 N
P
P
= + − °
=
And
sin sin 25
120 N 72.096 N
sin 0.70343
44.703
α
α
α
°
=
=
= °
72.1 N
=
P 44.7°
Copyright © McGraw-Hill Education. Permission required for reproduction or display.
www.elsolucionario.org
SOLUT
Using th
We have
Then
and
Hence:
TION
he force triang
e
gle and the law
R
48
sin
sin
PROBLE
Two forces
Knowing th
the magnitu
ws of cosines a
180 (2
150
γ = ° −
= °
2 2
(48 N)
2(48 N
104.366 N
R
R
= +
−
=
N 104.366 N
sin150
n 0.22996
13.2947
α
α
α
=
°
=
= °
180
180 13
86.705
φ α
= ° −
= ° −
= °
M 2.19
P and Q are a
hat P = 48 N
ude and directi
and sines:
20 10 )
° + °
2
(60 N)
N)(60 N)cos15
N
+
N
°
80
3.2947 80
− °
° − °
applied to the
and Q = 60 N
ion of the resu
50°
lid of a storag
N, determine
ultant of the tw
104.
=
R
ge bin as show
by trigonome
wo forces.
4 N 86.7°
wn.
etry
°
Copyright © McGraw-Hill Education. Permission required for reproduction or display.
www.elsolucionario.org
SOLUT
Using th
We have
Then
and
Hence:
TION
he force triang
e
P
T
K
m
gle and the law
γ =
=
2
R
R
=
=
60 N
sin
sin
α
α
α
=
=
=
180
180
83.2
φ = °
= °
=
PROBLEM
Two forces P
Knowing that
magnitude and
ws of cosines a
180 (20
150
= ° − ° +
= °
2
(60 N) (4
2(60 N)(48
104.366 N
= +
−
=
104.366 N
sin150
0.28745
16.7054
=
°
=
= °
180
16.7054
295
α
° − − °
° − ° −
°
M 2.20
P and Q are ap
P = 60 N and
d direction of
and sines:
10 )
+ °
2
48 N)
8 N)cos150°
80°
pplied to the l
d Q = 48 N, d
the resultant o
lid of a storag
determine by
of the two forc
104.4
=
R
ge bin as show
trigonometry
ces.
4 N 83.3°
wn.
the
Copyright © McGraw-Hill Education. Permission required for reproduction or display.
www.elsolucionario.org
SOLUT
Comput
29-lb Fo
50-lb Fo
51-lb Fo
TION
te the followin
orce:
orce:
orce:
ng distances:
PROB
Determi
2
2
2
(84)
116 in.
(28)
100 in.
(48)
102 in.
OA
OB
OC
=
=
=
=
=
=
(29 lb
x
F = +
(29 lb
y
F = +
(50 lb
x
F = −
(50 lb
y
F = +
(51 lb
x
F = +
(51 lb
y
F = −
BLEM 2.21
ine the x and y
2 2
2 2
2 2
(80)
.
(96)
.
(90)
.
+
+
+
84
b)
116
80
b)
116
28
b)
100
96
b)
100
48
b)
102
90
b)
102
y components of each of the
F
F
F
F
e forces shown
21.0 lb
x
F = +
20.0 lb
y
F = +
14.00 lb
x
F = −
48.0 lb
y
F = +
24.0 lb
x
F = +
45.0 lb
y
F = −
n.
Copyright © McGraw-Hill Education. Permission required for reproduction or display.
www.elsolucionario.org
SOLUT
Comput
800-N F
424-N F
408-N F
TION
te the followin
Force:
Force:
Force:
ng distances:
PROBL
Determin
2
(600)
1000 m
(560)
1060 m
(480)
1020 m
OA
OB
OC
=
=
=
=
=
=
(800 N
x
F = +
(800 N
y
F = +
(424 N
x
F = −
(424 N
y
F = −
(408 N
x
F = +
(408 N
y
F = −
LEM 2.22
ne the x and y
2 2
2 2
2 2
(800)
mm
(900)
mm
(900)
mm
+
+
+
800
N)
1000
600
N)
1000
560
N)
1060
900
N)
1060
480
N)
1020
900
N)
1020
components o
of each of the
F
forces shown.
640 N
x
F = +
480 N
y
F = +
224 N
x
F = −
360 N
y
F = −
192.0 N
x
F = +
360 N
y
F = −
.
N
N
N
Copyright © McGraw-Hill Education. Permission required for reproduction or display.
www.elsolucionario.org
PROBLEM 2.23
Determine the x and y components of each of the forces shown.
SOLUTION
80-N Force: (80 N)cos40
x
F = + ° 61.3 N
x
F =
(80 N)sin 40
y
F = + ° 51.4 N
y
F =
120-N Force: (120 N)cos70
x
F = + ° 41.0 N
x
F =
(120 N)sin70
y
F = + ° 112.8 N
y
F =
150-N Force: (150 N)cos35
x
F = − ° 122. 9 N
x
F = −
(150 N)sin35
y
F = + ° 86.0 N
y
F =
Copyright © McGraw-Hill Education. Permission required for reproduction or display.
www.elsolucionario.org
PROBLEM 2.24
Determine the x and y components of each of the forces shown.
SOLUTION
40-lb Force: (40 lb)cos60
x
F = + ° 20.0 lb
x
F =
(40 lb)sin60
y
F = − ° 34.6 lb
y
F = −
50-lb Force: (50 lb)sin50
x
F = − ° 38.3lb
x
F = −
(50 lb)cos50
y
F = − ° 32.1 lb
y
F = −
60-lb Force: (60 lb)cos25
x
F = + ° 54.4 lb
x
F =
(60 lb)sin25
y
F = + ° 25.4 lb
y
F =
Copyright © McGraw-Hill Education. Permission required for reproduction or display.
www.elsolucionario.org
PROBLEM 2.25
Member BC exerts on member AC a force P directed along line BC. Knowing
that P must have a 325-N horizontal component, determine (a) the magnitude
of the force P, (b) its vertical component.
SOLUTION
2 2
(650 mm) (720 mm)
970 mm
BC = +
=
(a)
650
970
x
P P
⎛ ⎞
= ⎜ ⎟
⎝ ⎠
or
970
650
970
325 N
650
485 N
x
P P
⎛ ⎞
= ⎜ ⎟
⎝ ⎠
⎛ ⎞
= ⎜ ⎟
⎝ ⎠
=
485 N
P =
(b)
720
970
720
485 N
970
360 N
y
P P
⎛ ⎞
= ⎜ ⎟
⎝ ⎠
⎛ ⎞
= ⎜ ⎟
⎝ ⎠
=
970 N
y
P =
Copyright © McGraw-Hill Education. Permission required for reproduction or display.
www.elsolucionario.org
SOLUT
(a)
(b) V
TION
Vertical compo
PRO
Memb
Know
magni
onent
OBLEM 2.26
ber BD exerts
wing that P mu
itude of the fo
sin35
P ° =
P =
v
P =
=
6
s on member
ust have a 300-
orce P, (b) its v
300 lb
300 lb
sin35°
cos35
P °
(523 lb)cos35
r ABC a forc
-lb horizontal
vertical compo
5°
ce P directed
component, d
onent.
along line B
determine (a) t
523 lb
P =
428 lb
v
P =
BD.
the
Copyright © McGraw-Hill Education. Permission required for reproduction or display.
www.elsolucionario.org
SOLUT
(a)
(b)
TION
PR
Th
dir
com
ma
180 45
180
15
α
° = °
=
= °
cos
cos
60
cos
621
x
P
P
P
P
α =
=
=
=
tan
t
(60
160
y
x
y x
P
P
P P
α =
=
=
=
ROBLEM 2
he hydraulic cy
rected along li
mponent perp
agnitude of the
90 30
45 90
α
+ + ° +
° − ° − ° −
s
00 N
s15
1.17 N
x
P
α
°
tan
00 N)tan15
0.770 N
α
°
2.27
ylinder BC ex
ine BC. Know
pendicular to m
e force P, (b)
0
30
°
− °
xerts on memb
wing that P mu
member AB, d
its component
ber AB a force
ust have a 600
determine (a)
t along line AB
621 N
P =
160.8 N
y
P =
e P
0-N
the
B.
Copyright © McGraw-Hill Education. Permission required for reproduction or display.
www.elsolucionario.org
SOLUT
(a)
(b)
TION
PRO
Cable
that P
of the
OBLEM 2.2
e AC exerts o
P must have a
e force P, (b)
cos 55
y
P
P =
°
350 lb
cos 55
610.21
=
°
=
sin 55
x
P P
=
(610.21
499.85
=
=
28
on beam AB a
a 350-lb vertic
its horizontal
°
lb
5°
1 lb)sin 55
lb
°
a force P dire
cal component
component.
cted along lin
t, determine (a
ne AC. Knowi
a) the magnitu
610 lb
P =
500 lb
x
P =
ing
ude
Copyright © McGraw-Hill Education. Permission required for reproduction or display.
www.elsolucionario.org
SOLUT
(a)
(b)
TION
P
Th
al
pe
P,
PROBLEM 2
he hydraulic
long line BD
erpendicular to
, (b) its compo
750 N sin
P
=
2192
P =
cos
ABC
P P
=
(219
=
2.29
cylinder BD e
D. Knowing
o member AB
onent parallel
n20°
2.9 N
s20°
2.9 N)cos20°
exerts on mem
that P must
C, determine
to ABC.
°
mber ABC a
t have a 75
(a) the magni
A
P
force P direc
0-N compon
tude of the fo
2190 N
P =
2060 N
ABC =
ted
ent
rce
Copyright © McGraw-Hill Education. Permission required for reproduction or display.
www.elsolucionario.org
PROBLEM 2.30
The guy wire BD exerts on the telephone pole AC a force P directed along
BD. Knowing that P must have a 720-N component perpendicular to the pole
AC, determine (a) the magnitude of the force P, (b) its component along line
AC.
SOLUTION
(a)
37
12
37
(720 N)
12
2220 N
=
=
=
x
P P
2.22 kN
P =
(b)
35
12
35
(720 N)
12
2100 N
y x
P P
=
=
=
2.10 kN
=
y
P
Copyright © McGraw-Hill Education. Permission required for reproduction or display.
www.elsolucionario.org
SOLUT
Compon
TION
nents of the fo
F
2
5
5
orces were dete
Force x
29 lb
50 lb
51 lb
R
tan
PROBLE
Determine t
PROBLEM
forces show
ermined in Pro
x Comp. (lb)
+21.0
–14.00
+24.0
31.0
x
R = +
(31.0 lb)
n
23.0
31.0
36.573
23.0 lb
sin(36.57
x y
y
x
R R
R
R
R
α
α
= +
=
=
=
= °
=
i j
i
R
38.601 lb
=
EM 2.31
the resultant o
M 2.21 Determ
wn.
oblem 2.21:
y Comp
+20
+4
–4
2
y
R = +
(23.0 lb)
b
73 )
+
°
i j
b
of the three for
mine the x and
p. (lb)
0.0
8.0
5.0
3.0
rces of Problem
d y componen
38.6
=
R
m 2.21.
nts of each of
6 lb 36.6°
the
Copyright © McGraw-Hill Education. Permission required for reproduction or display.
www.elsolucionario.org
SOLUT
Compon
TION
nents of the fo
F
1
1
orces were det
orce x
80 N
20 N
50 N
R
PROBLE
Determine
PROBLEM
forces show
termined in Pr
x Comp. (N)
+61.3
+41.0
–122.9
20.6
x
R = −
( 20.
tan
250.2
tan
20.6
tan 12.14
85.29
250
sin85
x
y
x
R
R
R
R
α
α
α
α
= +
= −
=
=
=
=
=
R i
EM 2.32
the resultant o
M 2.23 Determ
wn.
roblem 2.23:
y Com
+
+1
+
2
y
R = +
.6 N) (250.2
2 N
6 N
456
93
0.2 N
5.293
y
R
+
+
°
°
j
i
of the three for
mine the x and
mp. (N)
+51.4
112.8
+86.0
250.2
2 N)j
rces of Proble
d y componen
25
=
R
em 2.23.
nts of each of
1 N 85.3°
the
°
Copyright © McGraw-Hill Education. Permission required for reproduction or display.
www.elsolucionario.org
SOLUT
TION
F
4
5
6
orce x
40 lb
50 lb
60 lb
x
R
tan
tan
tan
R
α
α
α
α
R
PROBL
Determin
PROBLE
the forces
x Comp. (lb)
+20.00
–38.30
+54.38
36.08
x = +
( 36.08 lb
41.42 lb
36.08 lb
1.14800
48.942
41.42 lb
sin 48.942
x y
y
x
R R
R
R
R
α
α
α
α
= +
= +
=
=
=
= °
=
°
R i j
LEM 2.33
e the resultant
EM 2.24 Dete
s shown.
y Comp.
–34.6
–32.1
+25.3
41.4
y
R = −
) ( 41.42 lb
+ −
°
i
t of the three f
ermine the x
(lb)
64
14
36
42
b)j
forces of Prob
and y compon
54.9
=
R
lem 2.24.
nents of each
9 lb 48.9°
h of
Copyright © McGraw-Hill Education. Permission required for reproduction or display.
www.elsolucionario.org
SOLUT
Compon
TION
nents of the fo
F
80
42
40
orces were det
orce x
00 lb
24 lb
08 lb
R
tan
PROBL
Determine
PROBLE
forces sho
ermined in Pr
x Comp. (N)
+640
–224
+192
608
x
R = +
(608 lb)
n
240
608
21.541
240 N
sin(21.54
653.65 N
x y
y
x
R R
R
R
R
α
α
= +
=
=
=
= °
=
=
R i j
i
LEM 2.34
e the resultant
EM 2.22 Deter
own.
oblem 2.22:
y Comp. (
+480
–360
–360
240
y
R = −
( 240 lb)
N
41°)
N
+ −
j
j
t of the three f
rmine the x an
(N)
0
0
0
0
forces of Probl
nd y componen
654
=
R
lem 2.22.
nts of each of
4 N 21.5°
the
Copyright © McGraw-Hill Education. Permission required for reproduction or display.
www.elsolucionario.org
SOLUT
100-N F
150-N F
200-N F
TION
Force:
Force:
Force:
Force
100 N
150 N
200 N
PRO
Know
forces
(100
(100
x
y
F
F
= +
= −
(150
(150
x
y
F
F
= +
= −
(200
(200
x
y
F
F
= −
= −
x Com
+
+
−1
x
R = −
ta
OBLEM 2.35
wing that α =
s shown.
N)cos35
N)sin35
° = +
° = −
N)cos65
N)sin65
° = +
° = −
N)cos35
N)sin35
° = −
° = −
mp. (N)
81.915
63.393
63.830
18.522
( 18.52
an
308.02
18.522
86.559
x y
y
x
R R
R
R
α
α
= +
= −
=
=
= °
R i
308.02
sin86.5
R =
5
35°, determi
81.915 N
57.358 N
+
−
63.393 N
135.946 N
+
−
163.830 N
114.715 N
−
−
y Comp. (N
−57.35
−135.94
−114.71
308.02
y
R = −
22 N) ( 308
y
+ −
j
i
N
59
ine the result
N)
58
46
15
2
8.02 N)j
309
=
R
tant of the th
9 N 86.6°
hree
Copyright © McGraw-Hill Education. Permission required for reproduction or display.
www.elsolucionario.org
SOLUT
Determi
Cable fo
500-N F
200-N F
and
Further:
TION
ine force comp
orce AC:
Force:
Force:
ponents:
(365 N
(365 N
= −
= −
x
y
F
F
(500 N)
(500 N)
x
y
F
F
=
=
(200 N)
(200 N
x
y
F
F
=
= −
2
(400 N
474.37
= Σ = −
= Σ = −
= +
=
=
x x
y y
x
R F
R F
R R R
255
tan
400
32.5
α
α
=
= °
PR
Kno
resu
960
N) 24
1460
1100
N) 27
1460
= −
= −
24
) 480 N
25
7
) 140 N
25
=
=
4
) 160 N
5
3
N) 120 N
5
=
= −
2
2
240 N 480
275 N 140 N
N) ( 255 N
N
− +
− +
+ −
y
R
°
ROBLEM 2.
owing that the
ultant of the th
40 N
75 N
N
2
N 160 N 4
N 120 N
N)
+ =
− = −
36
tension in rop
hree forces exe
400 N
255 N
−
pe AC is 365 N
erted at point C
474
=
R
N, determine
C of post BC.
4 N 32.5°
the
Copyright © McGraw-Hill Education. Permission required for reproduction or display.
www.elsolucionario.org
SOLUT
60-lb Fo
80-lb Fo
120-lb F
and
Further:
TION
orce:
orce:
Force:
(60 l
(60 l
x
y
F
F
=
=
(80 l
(80 l
x
y
F
F
=
=
(120
(12
x
y
F
F
=
= −
(20
202.
x x
y y
R F
R F
R
= Σ
= Σ
=
=
29.
tan
200
α =
tan
8.46
α −
=
= °
PRO
Knowi
forces
lb)cos20 5
lb)sin 20 20
° =
° =
lb)cos60 4
lb)sin60 69
° =
° =
0 lb)cos30 1
20 lb)sin30
° =
° =
2
200.305 lb
29.803 lb
00.305 lb) (
.510 lb
=
=
+
803
.305
1 29.803
200.305
°
BLEM 2.37
ing that α =
shown.
6.382 lb
0.521lb
0.000 lb
9.282 lb
103.923 lb
60.000 lb
= −
2
(29.803 lb)
7
40°, determi
ine the result
203
=
R
ant of the th
3 lb 8.46°
hree
Copyright © McGraw-Hill Education. Permission required for reproduction or display.
www.elsolucionario.org
SOLUT
60-lb Fo
80-lb Fo
120-lb F
Then
and
TION
orce:
orce:
Force:
tan
tan
PRO
Know
force
(60 lb)co
(60 lb)si
x
y
F
F
=
=
(80 lb)co
(80 lb)si
x
y
F
F
=
=
(120 lb)c
(120 lb)s
x
y
F
F
=
=
16
11
x x
y y
R F
R F
= Σ =
= Σ =
(168.95
201.976
R =
=
110.676
n
168.953
n 0.65507
33.228
α
α
α
=
=
= °
OBLEM 2.3
wing that α =
es shown.
os 20 56.38
in 20 20.52
° =
° =
os 95 6.97
n 95 79.696
° = −
° =
cos 5 119.54
sin 5 10.459
° =
° =
68.953 lb
10.676 lb
2
53 lb) (110.
lb
+
38
= 75°, determ
82 lb
1 lb
725 lb
6 lb
43 lb
9 lb
2
.676 lb)
mine the result
202
=
R
tant of the th
2 lb 33.2°
ree
Copyright © McGraw-Hill Education. Permission required for reproduction or display.
www.elsolucionario.org
PROBLEM 2.39
For the collar of Problem 2.35, determine (a) the required value
of α if the resultant of the three forces shown is to be vertical,
(b) the corresponding magnitude of the resultant.
SOLUTION
(100 N)cos (150 N)cos( 30 ) (200 N)cos
(100 N)cos (150 N)cos( 30 )
x x
x
R F
R
α α α
α α
= Σ
= + + ° −
= − + + ° (1)
(100 N)sin (150 N)sin ( 30 ) (200 N)sin
(300 N)sin (150 N)sin ( 30 )
y y
y
R F
R
α α α
α α
= Σ
= − − + ° −
= − − + ° (2)
(a) For R to be vertical, we must have 0.
x
R = We make 0
x
R = in Eq. (1):
100cos 150cos( 30 ) 0
100cos 150(cos cos 30 sin sin 30 ) 0
29.904cos 75sin
α α
α α α
α α
− + + ° =
− + ° − ° =
=
29.904
tan
75
0.39872
21.738
α
α
=
=
= ° 21.7
α = °
(b) Substituting for α in Eq. (2):
300sin21.738 150sin51.738
228.89 N
y
R = − ° − °
= −
| | 228.89 N
y
R R
= = 229 N
R =
Copyright © McGraw-Hill Education. Permission required for reproduction or display.
www.elsolucionario.org
PROBLEM 2.40
For the post of Prob. 2.36, determine (a) the required
tension in rope AC if the resultant of the three forces
exerted at point C is to be horizontal, (b) the corresponding
magnitude of the resultant.
SOLUTION
960 24 4
(500 N) (200 N)
1460 25 5
48
640 N
73
x x AC
x AC
R F T
R T
= Σ = − + +
= − + (1)
1100 7 3
(500 N) (200 N)
1460 25 5
55
20 N
73
y y AC
y AC
R F T
R T
= Σ = − + −
= − + (2)
(a) For R to be horizontal, we must have 0.
y
R =
Set 0
y
R = in Eq. (2):
55
20 N 0
73
AC
T
− + =
26.545 N
AC
T = 26.5 N
AC
T =
(b) Substituting for AC
T into Eq. (1) gives
48
(26.545 N) 640 N
73
622.55 N
623 N
= − +
=
= =
x
x
x
R
R
R R 623 N
R =
Copyright © McGraw-Hill Education. Permission required for reproduction or display.
www.elsolucionario.org
SOLUT
Using th
(a) Se
(b) Su
TION
he x and y axes
et 0
y
R = in E
ubstituting for
PRO
Dete
of th
BC,
s shown:
Eq. (2):
r AC
T in Eq. (1
OBLEM 2.4
ermine (a) the
he three forces
(b) the corresp
x x
R F
= Σ
93.6
y y
y
R F
R
= Σ
=
93.631 lb −
1):
x
R
R
41
e required tens
s exerted at P
ponding magn
sin10
sin10
AC
AC
T
T
= ° +
= ° +
(50 lb)sin3
31 lb co
AC
T
=
−
cos10
AC
AC
T
T
° =
=
(95.075 lb)
94.968 lb
x
R
=
=
=
sion in cable A
Point C of boo
nitude of the r
(50 lb)cos35
78.458 lb
+
+
5 (75 lb)sin
s10
° +
°
0
95.075 lb
sin10 78.45
° +
AC, knowing t
om BC must b
esultant.
5 (75 lb)co
° +
n60 co
AC
T
° −
58 lb
that the result
be directed alo
os60°
s10°
95.1 lb
AC
T =
95.0 lb
R =
tant
ong
(1)
(2)
Copyright © McGraw-Hill Education. Permission required for reproduction or display.
www.elsolucionario.org
SOLUT
Select th
Then
and
(a) Se
D
(b) Su
TION
he x axis to be
et 0
y
R = in E
Dividing each t
ubstituting for
R
e along a a′.
x
R
y
R
Eq. (2).
(80 lb
term by cosα
r α in Eq. (1)
60 lb (80
x
R = +
PRO
For th
requir
to be p
the res
(60 l
x
F
= Σ =
(80 l
y
F
= Σ =
b)sin (120
α −
gives:
(80
) gives:
0 lb)cos56.31°
OBLEM 2.42
he block of P
ed value of α
parallel to the
sultant.
lb) (80 lb)co
+
lb)sin (120
α −
lb)cos 0
α =
0 lb)tan 12
12
tan
8
56
α
α
α
=
=
=
(120lb)sin
° +
2
Problems 2.37
α if the resultan
incline, (b) th
os (120 lb)
α +
0 lb)cosα
20 lb
20 lb
80 lb
6.310°
n56.31 204.
° =
7 and 2.38, de
nt of the three
he correspondi
sinα
.22 lb
etermine (a)
e forces shown
ing magnitude
56.3
α = °
204 lb
x
R =
the
n is
e of
(1)
(2)
Copyright © McGraw-Hill Education. Permission required for reproduction or display.
www.elsolucionario.org
PROBLEM 2.43
Two cables are tied together at C and are loaded as shown.
Determine the tension (a) in cable AC, (b) in cable BC.
SOLUTION
Free-Body Diagram Force Triangle
Law of sines:
400 lb
sin60 sin 40 sin80
AC BC
T T
= =
° ° °
(a)
400 lb
(sin60 )
sin80
AC
T = °
°
352 lb
AC
T =
(b)
400 lb
(sin 40 )
sin80
BC
T = °
°
261 lb
BC
T =
Copyright © McGraw-Hill Education. Permission required for reproduction or display.
www.elsolucionario.org
PROBLEM 2.44
Two cables are tied together at C and are loaded as shown. Knowing
that α = 30°, determine the tension (a) in cable AC, (b) in cable BC.
SOLUTION
Free-Body Diagram Force Triangle
Law of sines:
6 kN
sin60 sin35 sin85
AC BC
T T
= =
° ° °
(a)
6 kN
(sin60 )
sin85
AC
T = °
°
5.22 kN
AC
T =
(b)
6 kN
(sin35 )
sin85
BC
T = °
°
3.45 kN
BC
T =
Copyright © McGraw-Hill Education. Permission required for reproduction or display.
www.elsolucionario.org
PROBLEM 2.45
Two cables are tied together at C and loaded as shown.
Determine the tension (a) in cable AC, (b) in cable BC.
SOLUTION
Free-Body Diagram
1.4
tan
4.8
16.2602
1.6
tan
3
28.073
α
α
β
β
=
= °
=
= °
Force Triangle
Law of sines:
1.98 kN
sin61.927 sin73.740 sin 44.333
AC BC
T T
= =
° ° °
(a)
1.98 kN
sin61.927
sin44.333
AC
T = °
°
2.50 kN
AC
T =
(b)
1.98 kN
sin73.740
sin 44.333
BC
T = °
°
2.72 kN
BC
T =
Copyright © McGraw-Hill Education. Permission required for reproduction or display.
www.elsolucionario.org
SOLUT
Law of s
(a)
(b)
TION
Free-Bod
sines:
dy Diagram
PROB
Two cab
Knowing
(a) in ca
sin35 s
AC
T
=
°
5
s
AC
T =
5
si
BC
T =
LEM 2.46
bles are tied
g that P = 50
able AC, (b) in
For
500 N
sin75 sin70
BC
T
=
°
500 N
sin35
in70
°
°
500 N
sin75
in70
°
°
together at C
00 N and α =
n cable BC.
rce Triangle
N
0°
C and are lo
60°, determin
oaded as show
ne the tension
305 N
AC
T =
514 N
BC
T =
wn.
n in
Copyright © McGraw-Hill Education. Permission required for reproduction or display.
www.elsolucionario.org
SOLUT
Law of s
(a)
(b)
TION
Free-Bod
mg
(20
196
W =
=
=
sines:
PRO
Two
tensi
dy Diagram
00 kg)(9.81 m/
62 N
sin
A
T
T
T
OBLEM 2.4
cables are tie
ion (a) in cabl
2
/s )
15 sin 105
AC BC
T
=
° °
(1962 N
sin
AC
T =
(1962 N
sin
BC
T =
47
ed together at
e AC, (b) in ca
F
1962 N
sin 60
=
° °
N) sin 15
n 60
°
°
N)sin 105
n 60
°
°
C and are loa
able BC.
Force Triang
aded as shown
gle
T
n. Determine
586 N
AC
T =
2190 N
BC
T =
the
Copyright © McGraw-Hill Education. Permission required for reproduction or display.
www.elsolucionario.org
SOLUT
Law of s
(a)
(b)
TION
Free
sines:
e-Body Diagra
sin
P
K
AC
am
n 110 sin 5
AC BC
T T
=
°
1200
sin 6
AC
T =
1200
sin 6
BC
T =
PROBLEM 2
Knowing that α
C, (b) in rope
1200 lb
5 sin 65
=
° °
0 lb
sin 110
65
°
°
lb
sin 5
65
°
°
2.48
20 ,
α = ° dete
BC.
Force Triang
rmine the ten
gle
T
T
sion (a) in ca
1244 lb
AC
T =
115.4 lb
BC
T =
ble
Copyright © McGraw-Hill Education. Permission required for reproduction or display.
www.elsolucionario.org
SOLUT
x
F
Σ
For P =
y
F
Σ
Solvin
TION
0 CA
T
= −
200N
= we ha
0
=
0.8
ng equations (
PRO
Two
Know
BC.
sin30 CB
T
+
D
ve,
0.5 CA
T
−
co
CA
T
86603 0.8
CA
T +
1) and (2) sim
BLEM 2.49
cables are
wing that P =
Free-B
sin30 cos
P
−
D
0.5 21
A CB
T
+ +
os30 co
CB
T
° −
86603 21
CB
T −
multaneously g
9
tied togeth
= 300 N, de
Body Diagram
s45 200N
° − =
12.13 200
− =
s30 sin 4
P
−
D
12.13 0
= (2)
ives,
her at C an
etermine the
m
0
=
0 (1)
5 0
=
D
)
nd are load
tension in c
T
T
ded as show
cables AC a
134.6 N
CA
T =
110.4 N
CB
T =
wn.
and
Copyright © McGraw-Hill Education. Permission required for reproduction or display.
www.elsolucionario.org
SOLUT
x
F
Σ
For CA
T
y
F
Σ
Adding
Substitu
And
range of
TION
0 CA
T
= −
0
= we have,
0
= c
CA
T
equations (1)
uting for CB
T =
d 546.40
CA
T =
f 179.315 N an
PRO
Two
Deter
taut.
sin30 CB
T
+
D
,
0.5 CB
T +
cos30 c
CB
T
° −
0.866
and (2) gives
0
= into the eq
0N , 669
P =
nd 669.20 N.
BLEM 2.50
cables are
rmine the ran
Free-B
sin30 cos
P
−
D
0.70711 2
P
+ −
cos30 sin
P
−
D
603 0.707
CB
T −
s, 1.36603 C
T
quilibrium equ
0.5
0.86603
CA
T
−
9.20N Thus fo
0
tied togeth
nge of value
Body Diagram
s45 200N
° − =
200 0
= (1)
45 0
=
D
; aga
711 0
P = (2)
200
CB = henc
uations and sol
0.70711
0.70711
CA
P
T
+ −
−
for both cables
her at C an
es of P for
m
0
=
ain setting CA
T
)
ce 146.4
CB
T =
lving simultan
200 0
1 0
P
− =
=
s to remain ta
nd are load
which both
0
A = yields,
410N and P =
neously gives,
aut, load P mu
179.3 N
ded as show
cables rema
179.315N
=
ust be within
N < < 669 N
P
wn.
ain
the
Copyright © McGraw-Hill Education. Permission required for reproduction or display.
www.elsolucionario.org
SOLUT
Resolvin
Substitu
In the y-
Thus,
In the x-
Thus,
TION
ng the forces i
uting compone
-direction (one
-direction:
into x- and y-d
=
R
ents: =
R
e unknown for
−
(65
P
Tw
co
an
m
directions:
A
= + + +
P Q F
(500 lb)
[(650 lb)si
( c
B A
F F
= − +
−
+ −
j
i
rce):
500 lb (650
− −
500 lb
A
F
+
=
1302.70
=
50 lb)cos50° +
cos50
(1302.70
B A
F F
=
=
419.55 lb
=
PROBLEM 2
wo forces P a
onnection. Kn
nd that P =
magnitudes of t
0
B
+ =
F
[(650 lb)cos5
in50 ]
cos50 ) ( A
F
°
° +
j
i
lb)sin50 F
° +
(650 lb)sin50
sin50
+
°
lb
cos5
B A
F F
+ −
0 (650 lb)c
0 lb)cos50
° −
° −
b
2.51
and Q are ap
nowing that th
500
= lb and
the forces exer
50 ]
sin50 ) 0
A
°
° =
i
j
sin50 0
A
F ° =
0°
50 0
° =
cos50
(650 lb)cos50
°
pplied as show
e connection i
650
Q = lb,
rted on the rod
Free
0°
wn to an aircr
is in equilibriu
determine
ds A and B.
e-Body Diagr
1303lb
A
F =
420 lb
B
F =
raft
um
the
ram
Copyright © McGraw-Hill Education. Permission required for reproduction or display.
www.elsolucionario.org
SOLUT
Resolvin
Substitu
In the x-
In the y-
TION
ng the forces i
uting compone
-direction (one
-direction:
into x- and y-d
=
R P
ents: = −
−
+
R
e unknown for
cos 5
Q
P
− −
P =
=
=
P
T
c
e
o
d
directions:
A
+ + +
P Q F F
cos 50
[(750 lb)cos
[(750 lb)sin
P Q
− +
−
+
j
rce):
50 [(750 lb)
° −
(750 lb
127.710
Q =
=
sin 50
Q
− ° +
sin 50
(127.710 lb
476.70 lb
Q
= − ° +
= −
=
PROBLEM
Two forces P
connection.
equilibrium an
on rods A a
determine the
0
B =
F
0 sin 50
50 ]
50 ] (400 lb
Q
° − °
°
° +
i
i
j
cos 50 ] 400
° +
b)cos 50 40
cos 50
0 lb
° −
°
(750 lb)sin 5
(750 lb)sin 5
b)sin 50 (75
+
° +
M 2.52
and Q are ap
Knowing th
nd that the ma
and B are F
magnitudes o
b)
°j
i
0 lb 0
=
00 lb
0 0
° =
50
50 lb)sin 50
°
°
pplied as show
hat the con
agnitudes of th
750
A
F = lb an
of P and Q.
Free-Bo
477 lb;
P =
wn to an aircr
nnection is
he forces exer
nd 400
B
F =
ody Diagram
127.7 lb
Q =
raft
in
rted
lb,
Copyright © McGraw-Hill Education. Permission required for reproduction or display.
www.elsolucionario.org
SOLUT
With
With FA
TION
A and FB as abo
F
F
Σ
F
F
F
F
Σ
ove: F
PR
A w
the
B
F =
forc
Free-Body Di
3
0:
5
x B
F F
=
8 kN
16 kN
A
B
F
F
=
=
4
(16 kN)
5
C
F =
0:
y D
F F
= −
3
(16 kN)
5
D
F =
ROBLEM 2.
welded connec
four forces
16
= kN, dete
ces.
iagram of Co
3
5
C A
F F
− − =
4
) (8 kN)
5
−
3 3
5 5
B A
F F
+ −
3
) (8 kN)
5
−
53
ction is in equ
shown. Kn
ermine the m
nnection
0
=
0
A =
uilibrium und
nowing that
magnitudes of
F
F
der the action
8
A
F = kN a
f the other t
6.40 kN
C
F =
4.80 kN
D
F =
of
and
two
Copyright © McGraw-Hill Education. Permission required for reproduction or display.
www.elsolucionario.org
SOLUT
or
With
TION
F
y
F
Σ
B
F
A
F
B
F
x
F
Σ
C
F
PRO
A wel
four fo
determ
Free-Body Di
0: D
F
= − −
3
5
D A
F F
= +
5 kN, D
F
=
5 3
6 kN
3 5
⎡
= +
⎢
⎣
0: C
F
= − +
4
(
5
4
(15 kN
5
B A
F F
= −
= −
BLEM 2.54
lded connectio
forces shown.
mine the magn
iagram of Co
3 3
5 5
A B
F F
+ =
8 kN
=
3
(5 kN)
5
⎤
⎥
⎦
4 4
5 5
B A
F F
− =
)
5 kN)
4
on is in equili
Knowing tha
nitudes of the o
nnection
0
=
0
=
ibrium under t
at 5
A
F = kN
other two forc
F
F
the action of
and 6
D
F = k
es.
15.00 kN
B
F =
8.00 kN
C
F =
the
kN,
Copyright © McGraw-Hill Education. Permission required for reproduction or display.
www.elsolucionario.org
SOLUT
(a) Su
(b) Fr
TION
ubstitute (1) in
rom (1):
0:
x
F
Σ =
0:
y
F
Σ =
nto (2): 0.6
A
T
T
P
A
th
on
co
an
bo
de
(b
Free-B
: cos 10
ACB
T
0.137
CD
T =
: sin 10
ACB
T °
0.67365 A
T
67365 0
ACB
T +
269.46 lb
CB =
0.137158
CD
T =
PROBLEM 2
A sailor is be
hat is suspen
n the supp
onstant spee
nd β = 10°
oatswain’s
etermine the
b) in the trac
Body Diagram
0 cos 3
ACB
T
° −
7158 ACB
T
sin 30
ACB
T
° +
0.5
CB CD
T
+ =
0.5(0.137158T
b
8(269.46 lb)
2.55
eing rescued
nded from a
ort cable A
d by cable C
and that the
chair and
e tension (a)
ction cable C
m
30 cos 3
CD
T
° −
0 sin 30
CD
T
° +
200
) 200
ACB
T =
using a boa
pulley that
ACB and is
CD. Knowin
e combined
the sailor
in the suppo
CD.
30 0
° =
0 200 0
° − =
T
T
atswain’s ch
can roll free
s pulled at
ng that α = 3
weight of t
r is 200
ort cable AC
269 lb
ACB
T =
37.0 lb
CD
T =
hair
ely
a
30°
the
lb,
CB,
(1)
(2)
Copyright © McGraw-Hill Education. Permission required for reproduction or display.
www.elsolucionario.org
SOLUT
TION
P
A
su
ca
K
ca
th
su
Free-B
0:
x A
F T
Σ =
A
T
0: (30
y
F
Σ =
+
PROBLEM
A sailor is bein
uspended from
able ACB and
Knowing that α
able CD is 20
he boatswain’s
upport cable A
Body Diagram
cos 15
ACB T
°−
304.04 l
ACB =
04.04 lb)sin 1
(20 lb)sin 25
+
2.56
ng rescued usi
m a pulley that
d is pulled at a
α = 25° and β
0 lb, determin
s chair and th
ACB.
m
cos 25
ACB
T ° −
lb
5 (304.04 l
° +
5 0
215.6
W
W
° − =
=
ing a boatswa
t can roll freel
a constant spe
β = 15° and th
ne (a) the com
he sailor, (b) th
(20 lb)cos 25
lb)sin 25°
64 lb
(a)
(b) T
ain’s chair that
ly on the supp
eed by cable C
hat the tension
mbined weight
he tension in
5 0
° =
216 lb
W =
304 lb
ACB
T =
t is
port
CD.
n in
t of
the
Copyright © McGraw-Hill Education. Permission required for reproduction or display.
www.elsolucionario.org
PROBLEM 2.57
For the cables of prob. 2.44, find the value of α for which the tension
is as small as possible (a) in cable bc, (b) in both cables
simultaneously. In each case determine the tension in each cable.
SOLUTION
Free-Body Diagram Force Triangle
(a) For a minimum tension in cable BC, set angle between cables to 90 degrees.
By inspection, 35.0
α = D
(6 kN)cos35
AC
T = D
4.91 kN
AC
T =
(6 kN)sin35
BC
T = D
3.44 kN
BC
T =
(b) For equal tension in both cables, the force triangle will be an isosceles.
Therefore, by inspection, 55.0
α = D
6 kN
(1/ 2)
cos35
AC BC
T T
= =
°
3.66 kN
AC BC
T T
= =
Copyright © McGraw-Hill Education. Permission required for reproduction or display.
www.elsolucionario.org
SOLUT
(a) L
(b) L
TION
F
Law of cosines
Law of sines
Free-Body D
2
P
P
sin
600 N
β
β
PROB
For the
allowabl
Determi
(b) the c
iagram
2 2
(600) (7
= +
784.02 N
P =
sin(25 4
N 784.02 N
° +
=
46.0
β = °
LEM 2.58
cables of Pro
le tension is 6
ne (a) the ma
corresponding
2
750) 2(600
−
45 )
N
°
46.0
α
∴ = °
oblem 2.46, it
600 N in cabl
aximum force
value of α.
For
)(750)cos(25°
25
° + °
t is known tha
e AC and 750
e P that can b
rce Triangle
45 )
° + °
at the maximu
0 N in cable B
be applied at
784 N
P =
71.0
α = °
um
BC.
C,
Copyright © McGraw-Hill Education. Permission required for reproduction or display.
www.elsolucionario.org
SOLUT
To be sm
(a) T
(b)
TION
F
mallest, BC
T m
Thus,
Free-Body D
must be perpen
α =
BC
T =
P
F
th
as
iagram
ndicular to the
5.00
= °
(1200 lb)sin
=
PROBLEM
or the situatio
he value of α f
s possible, (b)
e direction of
n 5°
2.59
on described i
for which the
) the correspon
For
.
AC
T
n Figure P2.4
tension in rop
nding value of
rce Triangle
α
T
48, determine
pe BC is as sm
f the tension.
5.00
α = °
104.6 lb
BC
T =
(a)
mall
Copyright © McGraw-Hill Education. Permission required for reproduction or display.
www.elsolucionario.org
SOLUT
Free-Bo
TION
ody Diagram
PROBLE
Two cables
range of va
either cable
Requireme
From Eq. (
Requireme
From Eq. (
EM 2.60
s tied together
alues of Q for
e.
0:
x
F
Σ =
0:
y
F
Σ =
ent:
(2): s
Q
ent:
(1): 75 lb −
r at C are loa
which the ten
co
BC
T Q
− −
75 lb
BC
T =
sin
AC
T Q
−
sin
AC
T Q
=
60 lb
AC
T =
sin60 60 lb
° =
69.3
Q =
60 lb
BC
T =
cos60 6
Q
− ° =
30
Q =
aded as shown
nsion will not
os60 75 lb
° + =
b cos60
Q
− °
60 0
° =
n60°
b:
lb
b:
0 lb
0.0 lb 30.0 lb
n. Determine
t exceed 60 lb
0
=
69.3 lb
Q
≤ ≤
the
b in
(1)
(2)
Copyright © McGraw-Hill Education. Permission required for reproduction or display.
www.elsolucionario.org
PROBLEM 2.61
A movable bin and its contents have a combined weight of 2.8 kN. Determine
the shortest chain sling ACB that can be used to lift the loaded bin if the
tension in the chain is not to exceed 5 kN.
SOLUTION
Free-Body Diagram
tan
0.6 m
α =
h
(1)
Isosceles Force Triangle
Law of sines:
1
2
1
2
(2.8 kN)
sin
5 kN
(2.8 kN)
sin
5 kN
16.2602
AC
AC
T
T
α
α
α
=
=
=
= °
From Eq. (1): tan16.2602 0.175000 m
0.6 m
h
h
° = ∴ =
Half-length of chain 2 2
(0.6 m) (0.175 m)
0.625 m
AC
= = +
=
Total length: 2 0.625 m
= × 1.250 m
Copyright © McGraw-Hill Education. Permission required for reproduction or display.
www.elsolucionario.org
PROBLEM 2.62
For W = 800 N, P = 200 N, and d = 600 mm,
determine the value of h consistent with
equilibrium.
SOLUTION
Free-Body Diagram 800 N
AC BC
T T
= =
( )
2 2
AC BC h d
= = +
2 2
0: 2(800 N) 0
y
h
F P
h d
Σ = − =
+
2
800 1
2
P d
h
⎛ ⎞
= + ⎜ ⎟
⎝ ⎠
Data: 200 N, 600 mm
P d
= = and solving for h
2
200 N 600 mm
800 N 1
2 h
⎛ ⎞
= + ⎜ ⎟
⎝ ⎠
75.6 mm
h =
www.elsolucionario.org
SOLUT
(a) F
(b) F
TION
Free Body: Co
Free Body: Co
ollar A
ollar A
PROBLE
Collar A is c
slide on a
magnitude
equilibrium
15 in.
x =
Forc
4.5
P
Forc
15
P
EM 2.63
connected as s
frictionless h
of the force
of the colla
ce Triangle
50 lb
5 20.5
=
ce Triangle
50 lb
25
=
shown to a 50
horizontal rod
P required
ar when (a)
0-lb load and c
d. Determine
to maintain
4.5 in.,
x =
10.98 lb
P =
30.0 lb
P =
can
the
the
(b)
Copyright © McGraw-Hill Education. Permission required for reproduction or display.
www.elsolucionario.org
SOLUT
Similar
TION
Free Bo
Triangles
ody: Collar A
A
2
(50
14
N
N
=
=
48
20 in. 14
x
=
PROBLEM
Collar A is c
slide on a f
distance x fo
P = 48 lb.
F
2 2
0) (48) 1
.00 lb
− =
8 lb
4 lb
M 2.64
connected as s
frictionless ho
or which the
orce Triangle
196
shown to a 50
orizontal rod.
collar is in eq
e
0-lb load and c
. Determine
quilibrium wh
68.6 in.
x =
can
the
hen
Copyright © McGraw-Hill Education. Permission required for reproduction or display.
www.elsolucionario.org
PROBLEM 2.65
Three forces are applied to a bracket as shown. The directions of the two 150-N
forces may vary, but the angle between these forces is always 50°. Determine
the range of values of α for which the magnitude of the resultant of the forces
acting at A is less than 600 N.
SOLUTION
Combine the two 150-N forces into a resultant force Q:
2(150 N)cos25
271.89 N
Q = °
=
Equivalent loading at A:
Using the law of cosines:
2 2 2
(600 N) (500 N) (271.89 N) 2(500 N)(271.89 N)cos(55 )
cos(55 ) 0.132685
α
α
= + + ° +
° + =
Two values for :
α 55 82.375
27.4
α
α
° + =
= °
or
55 82.375
55 360 82.375
222.6
α
α
α
° + = − °
° + = ° − °
= °
For 600 lb:
R < 27.4 222.6
α
° < < D
Copyright © McGraw-Hill Education. Permission required for reproduction or display.
www.elsolucionario.org
SOLUT
Free-Bo
TION
ody Diagram:
PROBL
A 200-kg
Determine
the free en
the same o
Ch. 4.)
: Pulley A
LEM 2.66
g crate is to be
e the magnitu
nd of the rope
on each side o
cos
F
α
α
Σ
For α = +
y
F
Σ =
For α = −
y
F
Σ =
e supported b
ude and direct
to maintain e
of a simple pu
0: 2
0.59655
53.377
x
F P
α
α
⎛
= − ⎜
⎝
=
= ± °
53.377 :
+ °
16
0: 2
2
P
⎛
= ⎜
⎝
53.377 :
− °
16
0: 2
2
P
⎛
= ⎜
⎝
by the rope-an
tion of the for
quilibrium. (H
ulley. This can
5
c
281
P
⎛ ⎞
+
⎟
⎝ ⎠
6
sin53
81
P
⎞
+
⎟
⎠
6
sin( 5
81
P
⎞
+ −
⎟
⎠
nd-pulley arra
rce P that mu
Hint: The tensi
n be proved by
cos 0
α =
3.377 1962 N
° −
724
=
P
53.377 ) 196
° −
17
=
P
ngement show
ust be exerted
ion in the rope
y the methods
N 0
=
4 N 53.4°
62 N 0
=
773 53.4°
wn.
on
e is
s of
Copyright © McGraw-Hill Education. Permission required for reproduction or display.
www.elsolucionario.org
SOLUT
Free-Bo
(a)
(b)
(c)
(d)
(e)
TION
ody Diagram of Pulley
F
Σ
F
Σ
F
Σ
F
Σ
F
Σ
0: 2
y
F T
= −
0: 2
y
F T
= −
0: 3
y
F T
= −
0: 3
y
F T
= −
0: 4
y
F T
= −
PR
A 6
and
for
(Se
(600 lb) 0
1
2
T
− =
=
(600 lb) 0
1
2
T
− =
=
(600 lb) 0
1
(
3
T
− =
=
(600 lb) 0
1
(
3
T
− =
=
(600 lb) 0
1
4
T
− =
=
ROBLEM 2
600-lb crate i
d-pulley arrang
each arrange
ee the hint for
(600 lb)
(600 lb)
(600 lb)
(600 lb)
(600 lb)
.67
is supported b
gements as sh
ement the tens
Problem 2.66
by several rop
hown. Determ
sion in the ro
.)
300 lb
T =
300 lb
T =
200 lb
T =
200 lb
T =
150.0 lb
T =
pe-
ine
pe.
Copyright © McGraw-Hill Education. Permission required for reproduction or display.
www.elsolucionario.org
SOLUT
Free-Bo
(b)
(d)
TION
ody Diagram of Pulley and
d Crate
0:
y
F
Σ =
0:
y
F
Σ =
PR
Solv
that
crat
PR
by
sho
tens
2.66
3 (600 lb
T
T
−
4 (600 lb
T −
ROBLEM 2.
ve Parts b and
t the free end
te.
OBLEM 2.67
several rope
wn. Determin
sion in the rop
6.)
b) 0
1
(600 lb)
3
T
=
=
b) 0
1
(600 lb)
4
T
=
=
.68
d d of Problem
of the rope is
7 A 600-lb cr
e-and-pulley a
ne for each a
pe. (See the h
)
m 2.67, assumi
s attached to
rate is suppor
arrangements
arrangement
hint for Probl
200 lb
T =
150.0 lb
T =
ing
the
rted
as
the
em
Copyright © McGraw-Hill Education. Permission required for reproduction or display.
www.elsolucionario.org
SOLUT
Free-Bo
TION
ody Diagram:
: Pulley C
PRO
A lo
cable
secon
suppo
(a) th
(a) Σ
Henc
(b) F
Σ
or
OBLEM 2.6
ad Q is appli
e ACB. The p
nd cable CAD
orts a load
he tension in c
0:
x ACB
F T
Σ =
ce:
0: (
(1292.88 N)(
y ACB
F T
=
69
ied to the pul
pulley is held
D, which pa
P. Knowing
cable ACB, (b)
(cos25 cos
B ° −
129
ACB
T =
(sin 25 sin5
sin 25 sin5
° +
° +
Q =
lley C, which
d in the posit
asses over the
that 75
P =
) the magnitud
s55 ) (750 N
° −
92.88 N
A
T
5 ) (750 N)
5 ) (750 N)
° +
° +
2219.8 N
=
h can roll on
ion shown by
e pulley A a
50 N, determ
de of load Q.
N)cos55° 0
=
1293 N
ACB
T =
sin55 0
sin55 0
Q
Q
° − =
° − =
2220 N
Q =
the
y a
and
mine
0
0
Copyright © McGraw-Hill Education. Permission required for reproduction or display.
www.elsolucionario.org
SOLUT
Free-Bo
TION
ody Diagram:
: Pulley C
PRO
An 1
on th
a sec
suppo
(b) th
0
x
F
Σ =
or
y
F
Σ =
or
(a) Substit
1.24
Hence:
(b) Using (
OBLEM 2.7
800-N load Q
he cable ACB.
cond cable CA
orts a load P
he magnitude o
0: (cos2
ACB
T
0: (sin2
ACB
T
tute Equation (
4177 0.
ACB
T +
(1), 0.
P =
70
Q is applied to
The pulley is
CAD, which p
. Determine (
of load P.
25 cos55 )
° − ° −
25 sin55 )
° + ° +
1.24177T
(1) into Equat
81915(0.5801
58010(1048.3
o the pulley C
held in the po
passes over th
(a) the tension
cos55 0
P
− ° =
0
P =
sin55 1
P
+ ° −
0.81915
ACB
T +
tion (2):
10 ) 1800
ACB
T =
1048
ACB
T =
A
T
37 N) 608.16
=
C, which can r
osition shown
he pulley A a
n in cable AC
0
0.58010 ACB
T
800 N 0
=
5 1800 N
P =
0 N
8.37 N
1048 N
ACB
T =
6 N
608 N
P =
roll
by
and
CB,
(1)
(2)
Copyright © McGraw-Hill Education. Permission required for reproduction or display.
www.elsolucionario.org
PROBLEM 2.71
Determine (a) the x, y, and z components of the 600-N force,
(b) the angles θx, θy, and θz that the force forms with the
coordinate axes.
SOLUTION
(a) (600 N)sin 25 cos30
x
F = ° D
219.60 N
x
F = 220 N
x
F =
(600 N)cos25°
543.78 N
y
y
F
F
=
= 544 N
y
F =
(380.36 N)sin 25 sin30
126.785 N
z
z
F
F
= °
=
D
126.8 N
z
F =
(b)
219.60 N
cos
600 N
x
x
F
F
θ = = 68.5
x
θ = °
543.78 N
cos
600 N
y
y
F
F
θ = = 25.0
y
θ = °
126.785 N
cos
600 N
z
z
F
F
θ = = 77.8
z
θ = °
Copyright © McGraw-Hill Education. Permission required for reproduction or display.
www.elsolucionario.org
PROBLEM 2.72
Determine (a) the x, y, and z components of the 450-N force,
(b) the angles θx, θy, and θz that the force forms with the
coordinate axes.
SOLUTION
(a) (450 N)cos 35 sin40
x
F = − ° D
236.94 N
x
F = − 237 N
x
F = −
(450 N)sin 35°
258.11 N
y
y
F
F
=
= 258 N
y
F =
(450 N)cos35 cos40
282.38 N
z
z
F
F
= °
=
D
282 N
z
F =
(b)
-236.94 N
cos
450 N
x
x
F
F
θ = = 121.8
x
θ = °
258.11 N
cos
450 N
y
y
F
F
θ = = 55.0
y
θ = °
282.38 N
cos
450 N
z
z
F
F
θ = = 51.1
z
θ = °
Note: From the given data, we could have computed directly
90 35 55 , which checks with the answer obtained.
y
θ = − =
D D D
Copyright © McGraw-Hill Education. Permission required for reproduction or display.
www.elsolucionario.org
PROBLEM 2.73
A gun is aimed at a point A located 35° east of north. Knowing that the barrel of the gun forms an angle
of 40° with the horizontal and that the maximum recoil force is 400 N, determine (a) the x, y, and z
components of that force, (b) the values of the angles θx, θy, and θz defining the direction of the recoil
force. (Assume that the x, y, and z axes are directed, respectively, east, up, and south.)
SOLUTION
Recoil force 400 N
F =
(400 N)cos40
306.42 N
H
F
∴ = °
=
(a) sin35
(306.42 N)sin35
x H
F F
= − °
= − °
175.755 N
= − 175.8 N
x
F = −
sin 40
(400 N)sin 40
257.12 N
y
F F
= − °
= − °
= − 257 N
y
F = −
cos35
(306.42 N)cos35
251.00 N
z H
F F
= + °
= + °
= + 251N
z
F = +
(b)
175.755 N
cos
400 N
x
x
F
F
θ
−
= = 116.1
x
θ = °
257.12 N
cos
400 N
y
y
F
F
θ
−
= = 130.0
y
θ = °
251.00 N
cos
400 N
z
z
F
F
θ = = 51.1
z
θ = °
Copyright © McGraw-Hill Education. Permission required for reproduction or display.
www.elsolucionario.org
PROBLEM 2.74
Solve Problem 2.73, assuming that point A is located 15° north of west and that the barrel of the gun
forms an angle of 25° with the horizontal.
PROBLEM 2.73 A gun is aimed at a point A located 35° east of north. Knowing that the barrel of the
gun forms an angle of 40° with the horizontal and that the maximum recoil force is 400 N, determine
(a) the x, y, and z components of that force, (b) the values of the angles θx, θy, and θz defining the direction
of the recoil force. (Assume that the x, y, and z axes are directed, respectively, east, up, and south.)
SOLUTION
Recoil force 400 N
F =
(400 N)cos25
362.52 N
H
F
∴ = °
=
(a) cos15
(362.52 N)cos15
x H
F F
= + °
= + °
350.17 N
= + 350 N
x
F = +
sin 25
(400 N)sin 25
169.047 N
y
F F
= − °
= − °
= − 169.0 N
y
F = −
sin15
(362.52 N)sin15
93.827 N
z H
F F
= + °
= + °
= + 93.8 N
z
F = +
(b)
350.17 N
cos
400 N
x
x
F
F
θ
+
= = 28.9
x
θ = °
169.047 N
cos
400 N
y
y
F
F
θ
−
= = 115.0
y
θ = °
93.827 N
cos
400 N
z
z
F
F
θ
+
= = 76.4
z
θ = °
Copyright © McGraw-Hill Education. Permission required for reproduction or display.
www.elsolucionario.org
PROBLEM 2.75
The angle between spring AB and the post DA is 30°. Knowing
that the tension in the spring is 50 lb, determine (a) the x, y,
and z components of the force exerted on the circular plate at
B, (b) the angles θx, θy, and θz defining the direction of the
force at B.
SOLUTION
cos 60
(50 lb)cos 60
25.0 lb
h
h
F F
F
= °
= °
=
cos 35 sin60 sin35
( 25.0 lb)cos35 (50.0 lb)sin60 ( 25.0 lb)sin35
20.479 lb 43.301 lb 14.3394 l
x h y z h
x y z
x y z
F F F F F F
F F F
F F F
= − ° = = −
= − = = −
= − = = −
D D
D D D
b
(a)
 20.5 lb
x
F = −
43.3 lb
y
F =
14.33 lb
z
F = −
(b)
20.479 lb
cos
50 lb
x
x
F
F
θ
−
= = 114.2
x
θ = °
43.301 lb
cos
50 lb
y
y
F
F
θ = = 30.0
y
θ = °
-14.3394 lb
cos
50 lb
z
z
F
F
θ = = 106.7
z
θ = °
Copyright © McGraw-Hill Education. Permission required for reproduction or display.
www.elsolucionario.org
PROBLEM 2.76
The angle between spring AC and the post DA is
30°. Knowing that the tension in the spring is 40 lb,
determine (a) the x, y, and z components of the force
exerted on the circular plate at C, (b) the angles θx,
θy, and θz defining the direction of the force at C.
SOLUTION
cos 60
(40 lb)cos 60
20.0 lb
h
h
F F
F
= °
= °
=
(a)
cos 35
x h
F F
= ° sin60
y
F F
= ° sin 35
z h
F F
= − °
(20.0 lb)cos 35°
= (40 lb)sin 60°
= (20.0 lb)sin35
= − °
16.3830 lb
x
F = 34.641 lb
y
F = 11.4715 lb
z
F = −
 16.38 lb
x
F =
34.6 lb
y
F =
11.47 lb
z
F = −
(b)
16.3830 lb
cos
40 lb
x
x
F
F
θ = = 65.8
x
θ = °
34.641 lb
cos
40 lb
y
y
F
F
θ = = 30.0
y
θ = °
-11.4715 lb
cos
40 lb
z
z
F
F
θ = = 106.7
z
θ = °
Copyright © McGraw-Hill Education. Permission required for reproduction or display.
www.elsolucionario.org
SOLUT
TION
P
C
D
c
d
From trian
(a)
(b)
Fro
PROBLEM
Cable AB is
Determine (a)
cable on the a
direction of tha
ngle AOB:
F
F
F
cosθ
om above:
2.77
65 ft long, a
the x, y, and
anchor B, (b)
at force.
cos y
y
θ
θ
sin
(3900 lb
x y
F F θ
= −
= −
cos
y y
F F θ
= +
(3900 lb
z
F = +
18
39
x
x
F
F
θ = = −
30.5
y
θ =
cos z
z
F
F
θ =
and the tensio
d z component
the angles θ
56 ft
65 ft
0.86154
30.51
y
y
=
=
= °
cos20
b)sin30.51 co
°
°
(3900 lb)(0
y =
b)sin 30.51° si
861 lb
0.47
900 lb
= −
51°
677 lb
3900 lb
= + =
on in that ca
ts of the force
,
x
θ ,
y
θ and
os20°
F
0.86154) F
in 20°
771
0.1736
= +
able is 3900
e exerted by
z
θ defining
1861 lb
x
F = −
3360 lb
y
F = +
677 lb
z
F = +
118.5
x
θ = °
30.5
y
θ = °
80.0
z
θ = °
lb.
the
the
Copyright © McGraw-Hill Education. Permission required for reproduction or display.
www.elsolucionario.org
PROBLEM 2.78
Cable AC is 70 ft long, and the tension in that cable is 5250 lb.
Determine (a) the x, y, and z components of the force exerted by the
cable on the anchor C, (b) the angles θx, θy, and θz defining the
direction of that force.
SOLUTION
In triangle AOB: 70 ft
56 ft
5250 lb
AC
OA
F
=
=
=
56 ft
cos
70 ft
36.870
sin
(5250 lb)sin36.870
3150.0 lb
y
y
H y
F F
θ
θ
θ
=
= °
=
= °
=
(a) sin50 (3150.0 lb)sin50 2413.0 lb
x H
F F
= − ° = − ° = −
2410 lb
x
F = −
cos (5250 lb)cos36.870 4200.0 lb
y y
F F θ
= + = + ° = +
4200 lb
y
F = +
cos50 3150cos50 2024.8 lb
z H
F F
= − ° = − ° = − 2025 lb
z
F = −
(b)
2413.0 lb
cos
5250 lb
x
x
F
F
θ
−
= = 117.4
x
θ = °
From above: 36.870
y
θ = ° 36.9
y
θ = °
2024.8 lb
5250 lb
z
z
F
F
θ
−
= = 112.7
z
θ = °
Copyright © McGraw-Hill Education. Permission required for reproduction or display.
www.elsolucionario.org
PROBLEM 2.79
Determine the magnitude and direction of the force F = (240 N)i – (270 N)j + (680 N)k.
SOLUTION
2 2 2
2 2 2
(240 N) ( 270 N) ( 680 N)
x y z
F F F F
F
= + +
= + − + − 770 N
F =
240 N
cos
770 N
x
x
F
F
θ = = 71.8
x
θ = °
270 N
cos
770 N
y
y
F
F
θ
−
= = 110.5
y
θ = °
680 N
cos
770 N
z
y
F
F
θ = = 28.0
z
θ = °
Copyright © McGraw-Hill Education. Permission required for reproduction or display.
www.elsolucionario.org
PROBLEM 2.80
Determine the magnitude and direction of the force F = (320 N)i + (400 N)j − (250 N)k.
SOLUTION
2 2 2
2 2 2
(320 N) (400 N) ( 250 N)
x y z
F F F F
F
= + +
= + + − 570 N
F =
320 N
cos
570 N
x
x
F
F
θ = = 55.8
x
θ = °
400 N
cos
570 N
y
y
F
F
θ = = 45.4
y
θ = °
250 N
cos
570 N
z
y
F
F
θ
−
= = 116.0
z
θ = °
Copyright © McGraw-Hill Education. Permission required for reproduction or display.
www.elsolucionario.org
PROBLEM 2.81
A force acts at the origin of a coordinate system in a direction defined by the angles θx = 69.3° and θz
= 57.9°. Knowing that the y component of the force is –174.0 lb, determine (a) the angle θy, (b) the other
components and the magnitude of the force.
SOLUTION
2 2 2
2 2 2
cos cos cos 1
cos (69.3 ) cos cos (57.9 ) 1
cos 0.7699
x y z
y
y
θ θ θ
θ
θ
+ + =
° + + ° =
= ±
(a) Since 0,
y
F < we choose cos 0.7699
y
θ = − 140.3
y
θ
∴ = °
(b) cos
174.0 lb ( 0.7699)
y y
F F
F
θ
=
− = −
226.0 lb
F = 226 lb
F =
cos (226.0 lb)cos69.3
x x
F F θ
= = ° 79.9 lb
x
F =
cos (226.0 lb)cos57.9
z z
F F θ
= = ° 120.1lb
z
F =
Copyright © McGraw-Hill Education. Permission required for reproduction or display.
www.elsolucionario.org
PROBLEM 2.82
A force acts at the origin of a coordinate system in a direction defined by the angles θx = 70.9° and
θy = 144.9°. Knowing that the z component of the force is –52.0 lb, determine (a) the angle θz, (b) the
other components and the magnitude of the force.
SOLUTION
2 2 2
2 2 2
cos cos cos 1
cos 70.9 cos 144.9 cos 1
cos 0.47282
x y z
z
z
θ θ θ
θ
θ
+ + =
+ ° + ° =
= ±
D
(a) Since 0,
z
F < we choose cos 0.47282
z
θ = − 118.2
z
θ
∴ = °
(b) cos
52.0 ( 0.47282)
z z
F F
lb F
θ
=
− = −
110.0 lb
F = 110.0 lb
F =
cos (110.0 lb)cos70.9
x x
F F θ
= = ° 36.0 lb
x
F =
cos (110.0 lb)cos144.9
y y
F F θ
= = ° 90.0 lb
y
F = −
Copyright © McGraw-Hill Education. Permission required for reproduction or display.
www.elsolucionario.org
PROBLEM 2.83
A force F of magnitude 210 N acts at the origin of a coordinate system. Knowing that Fx = 80 N,
θz = 151.2°, and Fy < 0, determine (a) the components Fy and Fz, (b) the angles θx and θy.
SOLUTION
(a) cos (210 N)cos151.2
z z
F F θ
= = °
184.024 N
= − 184.0 N
z
F = −
Then: 2 2 2 2
x y z
F F F F
= + +
So: 2 2 2 2
(210 N) (80 N) ( ) (184.024 N)
y
F
= + +
Hence: 2 2 2
(210 N) (80 N) (184.024 N)
y
F = − − −
61.929 N
= − 62.0 lb
y
F = −
(b)
80 N
cos 0.38095
210 N
x
x
F
F
θ = = = 67.6
x
θ = °
61.929 N
cos 0.29490
210 N
y
y
F
F
θ = = = −
107.2
y
θ = °
Copyright © McGraw-Hill Education. Permission required for reproduction or display.
www.elsolucionario.org
PROBLEM 2.84
A force F of magnitude 1200 N acts at the origin of a coordinate system. Knowing that
θx = 65°, θy = 40°, and Fz > 0, determine (a) the components of the force, (b) the angle θz.
SOLUTION
2 2 2
2 2 2
cos cos cos 1
cos 65 cos 40 cos 1
cos 0.48432
x y z
z
z
θ θ θ
θ
θ
+ + =
+ ° + ° =
= ±
D
(b) Since 0,
z
F > we choose cos 0.48432, or 61.032
z z
θ θ
= = D
61.0
z
θ
∴ = °
(a) 1200 N
F =
cos (1200 N) cos65
x x
F F θ
= = D
507 N
x
F =
cos (1200 N)cos40
y y
F F θ
= = ° 919 N
y
F =
cos (1200 N)cos61.032
z z
F F θ
= = ° 582 N
z
F =
Copyright © McGraw-Hill Education. Permission required for reproduction or display.
www.elsolucionario.org
PROBLEM 2.85
A frame ABC is supported in part by cable DBE that
passes through a frictionless ring at B. Knowing that the
tension in the cable is 385 N, determine the components
of the force exerted by the cable on the support at D.
SOLUTION
2 2 2
(480 mm) (510 mm) (320 mm)
(480 mm) (510 mm ) (320 mm)
770 mm
385 N
[(480 mm) (510 mm) (320 mm) ]
770 mm
(240 N) (255 N) (160 N)
DB
DB
DB
F
DB
F
DB
= − +
= + +
=
=
=
= − +
= − +
i j k
F λ
i j k
i j k
JJJ
G
JJJ
G
240 N, 255 N, 160.0 N
x y z
F F F
= + = − = +
Copyright © McGraw-Hill Education. Permission required for reproduction or display.
www.elsolucionario.org
PROBLEM 2.86
For the frame and cable of Problem 2.85, determine the
components of the force exerted by the cable on the
support at E.
PROBLEM 2.85 A frame ABC is supported in part by
cable DBE that passes through a frictionless ring at B.
Knowing that the tension in the cable is 385 N, determine
the components of the force exerted by the cable on the
support at D.
SOLUTION
2 2 2
(270 mm) (400 mm) (600 mm)
(270 mm) (400 mm) (600 mm)
770 mm
385 N
[(270 mm) (400 mm) (600 mm) ]
770 mm
(135 N) (200 N) (300 N)
EB
EB
EB
F
EB
F
EB
= − +
= + +
=
=
=
= − +
= − +
i j k
F λ
i j k
F i j k
JJJ
G
JJJ
G
135.0 N, 200 N, 300 N
x y z
F F F
= + = − = +
Copyright © McGraw-Hill Education. Permission required for reproduction or display.
www.elsolucionario.org
PROBLEM 2.87
In order to move a wrecked truck, two cables are attached
at A and pulled by winches B and C as shown. Knowing
that the tension in cable AB is 2 kips, determine the
components of the force exerted at A by the cable.
SOLUTION
Cable AB:
( 46.765 ft) (45 ft) (36 ft)
74.216 ft
46.765 45 36
74.216
AB
AB AB AB
AB
AB
T
− + +
= =
− + +
= =
i j k
λ
i j k
T λ
JJJ
G
( ) 1.260 kips
AB x
T = −
( ) 1.213 kips
AB y
T = +
( ) 0.970 kips
AB z
T = +
Copyright © McGraw-Hill Education. Permission required for reproduction or display.
www.elsolucionario.org
PROBLEM 2.88
In order to move a wrecked truck, two cables are attached
at A and pulled by winches B and C as shown. Knowing
that the tension in cable AC is 1.5 kips, determine the
components of the force exerted at A by the cable.
SOLUTION
Cable AB:
( 46.765 ft) (55.8 ft) ( 45 ft)
85.590 ft
46.765 55.8 45
(1.5 kips)
85.590
AC
AC AC AC
AC
AC
T
− + + −
= =
− + −
= =
i j k
λ
i j k
T λ
JJJG
( ) 0.820 kips
AC x
T = −
( ) 0.978 kips
AC y
T = +
( ) 0.789 kips
= −
AC z
T
Copyright © McGraw-Hill Education. Permission required for reproduction or display.
www.elsolucionario.org
PROBLEM 2.89
A rectangular plate is supported by three cables as
shown. Knowing that the tension in cable AB is 408 N,
determine the components of the force exerted on the
plate at B.
SOLUTION
We have:
(320 mm) (480 mm) (360 mm) 680 mm
BA BA
= + =
i + j- k
JJJ
G
Thus:
8 12 9
F
17 17 17
B BA BA BA BA
BA
T T T
BA
⎛ ⎞
= = = ⎜ ⎟
⎝ ⎠
λ i + j- k
JJJ
G
8 12 9
0
17 17 17
BA BA BA
T T T
⎛ ⎞ ⎛ ⎞ ⎛ ⎞
+ − =
⎜ ⎟ ⎜ ⎟ ⎜ ⎟
⎝ ⎠ ⎝ ⎠ ⎝ ⎠
i j k
Setting 408 N
BA
T = yields,
192.0 N, 288 N, 216 N
x y z
F F F
= + = + = −
Copyright © McGraw-Hill Education. Permission required for reproduction or display.
www.elsolucionario.org
PROBLEM 2.90
A rectangular plate is supported by three cables as
shown. Knowing that the tension in cable AD is 429 N,
determine the components of the force exerted on the
plate at D.
SOLUTION
We have:
(250 mm) (480 mm) (360 mm) 650 mm
DA DA
= − =
i + j+ k
JJJ
G
Thus:
5 48 36
F
13 65 65
D DA DA DA DA
DA
T T T
DA
⎛ ⎞
= = = −
⎜ ⎟
⎝ ⎠
λ i + j+ k
JJJ
G
5 48 36
0
13 65 65
DA DA DA
T T T
⎛ ⎞ ⎛ ⎞ ⎛ ⎞
− + + =
⎜ ⎟ ⎜ ⎟ ⎜ ⎟
⎝ ⎠ ⎝ ⎠ ⎝ ⎠
i j k
Setting 429 N
DA
T = yields,
165.0 N, 317 N, 238 N
x y z
F F F
= − = + = +
Copyright © McGraw-Hill Education. Permission required for reproduction or display.
www.elsolucionario.org
PROBLEM 2.91
Find the magnitude and direction of the resultant of the two forces
shown knowing that P = 300 N and Q = 400 N.
SOLUTION
(300 N)[ cos30 sin15 sin30 cos30 cos15 ]
(67.243 N) (150 N) (250.95 N)
(400 N)[cos50 cos20 sin50 cos50 sin 20 ]
(400 N)[0.60402 0.76604 0.21985]
(241.61 N) (306.42 N) (87.939 N)
(174.
= − ° ° + ° + ° °
= − + +
= ° ° + ° − ° °
= + −
= + −
= +
=
P i j k
i j k
Q i j k
i j
i j k
R P Q
2 2 2
367 N) (456.42 N) (163.011 N)
(174.367 N) (456.42 N) (163.011 N)
515.07 N
R
+ +
= + +
=
i j k
515 N
R =
174.367 N
cos 0.33853
515.07 N
x
x
R
R
θ = = = 70.2
x
θ = °
456.42 N
cos 0.88613
515.07 N
y
y
R
R
θ = = = 27.6
y
θ = °
163.011 N
cos 0.31648
515.07 N
z
z
R
R
θ = = = 71.5
z
θ = °
Copyright © McGraw-Hill Education. Permission required for reproduction or display.
www.elsolucionario.org
PROBLEM 2.92
Find the magnitude and direction of the resultant of the two forces
shown knowing that P = 400 N and Q = 300 N.
SOLUTION
(400 N)[ cos30 sin15 sin30 cos30 cos15 ]
(89.678 N) (200 N) (334.61 N)
(300 N)[cos50 cos20 sin50 cos50 sin 20 ]
(181.21 N) (229.81 N) (65.954 N)
(91.532 N) (429.81 N) (268.66 N)
(91.5
R
= − ° ° + ° + ° °
= − + +
= ° ° + ° − ° °
= + −
= +
= + +
=
P i j k
i j k
Q i j k
i j k
R P Q
i j k
2 2 2
32 N) (429.81 N) (268.66 N)
515.07 N
+ +
= 515 N
R =
91.532 N
cos 0.177708
515.07 N
x
x
R
R
θ = = = 79.8
x
θ = °
429.81 N
cos 0.83447
515.07 N
y
y
R
R
θ = = = 33.4
y
θ = °
268.66 N
cos 0.52160
515.07 N
z
z
R
R
θ = = = 58.6
z
θ = °
Copyright © McGraw-Hill Education. Permission required for reproduction or display.
www.elsolucionario.org
PROBLEM 2.93
Knowing that the tension is 425 lb in cable AB and 510 lb
in cable AC, determine the magnitude and direction of the
resultant of the forces exerted at A by the two cables.
SOLUTION
2 2 2
2 2 2
(40 in.) (45 in.) (60 in.)
(40 in.) (45 in.) (60 in.) 85 in.
(100 in.) (45 in.) (60 in.)
(100 in.) (45 in.) (60 in.) 125 in.
(40 in.) (45 in.) (60 in.)
(425 lb)
85 in.
AB AB AB AB
AB
AB
AC
AC
AB
T T
AB
= − +
= + + =
= − +
= + + =
− +
= = =
i j k
i j k
i j k
T λ
JJJ
G
JJJG
JJJ
G
(200 lb) (225 lb) (300 lb)
(100 in.) (45 in.) (60 in.)
(510 lb)
125 in.
(408 lb) (183.6 lb) (244.8 lb)
(608) (408.6 lb) (544.8 lb)
AB
AC AC AC AC
AC
AB AC
AC
T T
AC
⎡ ⎤
⎢ ⎥
⎣ ⎦
= − +
⎡ ⎤
− +
= = = ⎢ ⎥
⎣ ⎦
= − +
= + = − +
T i j k
i j k
T λ
T i j k
R T T i j k
JJJG
Then: 912.92 lb
R = 913 lb
R =
and
608 lb
cos 0.66599
912.92 lb
x
θ = = 48.2
x
θ = °
408.6 lb
cos 0.44757
912.92 lb
y
θ = = − 116.6
y
θ = °
544.8 lb
cos 0.59677
912.92 lb
z
θ = = 53.4
z
θ = °
Copyright © McGraw-Hill Education. Permission required for reproduction or display.
www.elsolucionario.org
PROBLEM 2.94
Knowing that the tension is 510 lb in cable AB and 425 lb
in cable AC, determine the magnitude and direction of the
resultant of the forces exerted at A by the two cables.
SOLUTION
2 2 2
2 2 2
(40 in.) (45 in.) (60 in.)
(40 in.) (45 in.) (60 in.) 85 in.
(100 in.) (45 in.) (60 in.)
(100 in.) (45 in.) (60 in.) 125 in.
(40 in.) (45 in.) (60 in.)
(510 lb)
85 in.
AB AB AB AB
AB
AB
AC
AC
AB
T T
AB
= − +
= + + =
= − +
= + + =
− +
= = =
i j k
i j k
i j k
T λ
JJJ
G
JJJG
JJJ
G
(240 lb) (270 lb) (360 lb)
(100 in.) (45 in.) (60 in.)
(425 lb)
125 in.
(340 lb) (153 lb) (204 lb)
(580 lb) (423 lb) (564 lb)
AB
AC AC AC AC
AC
AB AC
AC
T T
AC
⎡ ⎤
⎢ ⎥
⎣ ⎦
= − +
⎡ ⎤
− +
= = = ⎢ ⎥
⎣ ⎦
= − +
= + = − +
T i j k
i j k
T λ
T i j k
R T T i j k
JJJG
Then: 912.92 lb
R = 913 lb
R =
and
580 lb
cos 0.63532
912.92 lb
x
θ = = 50.6
x
θ = °
423 lb
cos 0.46335
912.92 lb
y
θ
−
= = − 117.6
y
θ = °
564 lb
cos 0.61780
912.92 lb
z
θ = = 51.8
z
θ = °
Copyright © McGraw-Hill Education. Permission required for reproduction or display.
www.elsolucionario.org
PROBLEM 2.95
For the frame of Problem 2.85, determine the magnitude and
direction of the resultant of the forces exerted by the cable at B
knowing that the tension in the cable is 385 N.
PROBLEM 2.85 A frame ABC is supported in part by cable
DBE that passes through a frictionless ring at B. Knowing that
the tension in the cable is 385 N, determine the components of
the force exerted by the cable on the support at D.
SOLUTION
2 2 2
(480 mm) (510 mm) (320 mm)
(480 mm) (510 mm) (320 mm) 770 mm
BD
BD
= − + −
= + + =
i j k
JJJG
(385 N)
[ (480 mm) (510 mm) (320 mm) ]
(770 mm)
(240 N) (255 N) (160 N)
BD BD BD BD
BD
T T
BD
= =
= − + −
= − + −
F λ
i j k
i j k
JJJ
G
2 2 2
(270 mm) (400 mm) (600 mm)
(270 mm) (400 mm) (600 mm) 770 mm
BE
BE
= − + −
= + + =
i j k
JJJ
G
(385 N)
[ (270 mm) (400 mm) (600 mm) ]
(770 mm)
(135 N) (200 N) (300 N)
BE BE BE BE
BE
T T
BE
= =
= − + −
= − + −
F λ
i j k
i j k
JJJ
G
(375 N) (455 N) (460 N)
BD BE
= + = − + −
R F F i j k
2 2 2
(375 N) (455 N) (460 N) 747.83 N
R = + + = 748 N
R =
375 N
cos
747.83 N
x
θ
−
= 120.1
x
θ = °
455 N
cos
747.83 N
y
θ = 52.5
y
θ = °
460 N
cos
747.83 N
z
θ
−
= 128.0
z
θ = °
Copyright © McGraw-Hill Education. Permission required for reproduction or display.
www.elsolucionario.org
PROBLEM 2.96
For the plate of Prob. 2.89, determine the tensions in cables AB
and AD knowing that the tension in cable AC is 54 N and that
the resultant of the forces exerted by the three cables at A must
be vertical.
SOLUTION
We have:
( )
(320 mm) (480 mm) (360 mm) 680 mm
(450 mm) (480 mm) (360 mm) 750 mm
(250 mm) (480 mm) 360 mm 650 mm
AB AB
AC AC
AD AD
= − − + =
= − + =
= − − =
i j k
i j k
i j k
JJJ
G
JJJG
JJJG
Thus:
( )
( )
( )
320 480 360
680
54
450 480 360
750
250 480 360
650
AB
AB AB AB AB
AC AC AC AC
AD
AD AD AD AD
T
AB
T T
AB
AC
T T
AC
T
AD
T T
AD
= = = − − +
= = = − +
= = = − −
T λ i j k
T λ i j k
T λ i j k
JJJ
G
JJJG
JJJG
Substituting into the Eq. = Σ
R F and factoring , , :
i j k
320 250
32.40
680 650
480 480
34.560
680 650
360 360
25.920
680 650
AB AD
AB AD
AB AD
T T
T T
T T
⎛ ⎞
= − + +
⎜ ⎟
⎝ ⎠
⎛ ⎞
+ − − −
⎜ ⎟
⎝ ⎠
⎛ ⎞
+ + −
⎜ ⎟
⎝ ⎠
R i
j
k
Copyright © McGraw-Hill Education. Permission required for reproduction or display.
www.elsolucionario.org
PROBLEM 2.96 (Continued)
Since R is vertical, the coefficients of i and k are zero:
:
i
320 250
32.40 0
680 650
AB AD
T T
− + + = (1)
:
k
360 360
25.920 0
680 650
AB AD
T T
+ − = (2)
Multiply (1) by 3.6 and (2) by 2.5 then add:
252
181.440 0
680
AB
T
− + =
489.60 N
AB
T =
490 N
AB
T =
Substitute into (2) and solve for :
AD
T
360 360
(489.60 N) 25.920 0
680 650
AD
T
+ − =
514.80 N
AD
T =
515 N
AD
T =
Copyright © McGraw-Hill Education. Permission required for reproduction or display.
www.elsolucionario.org
PROBLEM 2.97
The boom OA carries a load P and is supported by
two cables as shown. Knowing that the tension in
cable AB is 183 lb and that the resultant of the load P
and of the forces exerted at A by the two cables must
be directed along OA, determine the tension in cable
AC.
SOLUTION
Cable AB: 183lb
AB
T =
( 48 in.) (29 in.) (24 in.)
(183 lb)
61in.
(144 lb) (87 lb) (72 lb)
AB AB AB AB
AB
AB
T T
AB
− + +
= = =
= − + +
i j k
T
T i j k
JJJ
G
λ
Cable AC:
( 48 in.) (25 in.) ( 36 in.)
65 in.
48 25 36
65 65 65
AC AC AC AC AC
AC AC AC AC
AC
T T T
AC
T T T
− + + −
= = =
= − + −
i j k
T
T i j k
JJJG
λ
Load P: P
=
P j
For resultant to be directed along OA, i.e., x-axis
36
0: (72 lb) 0
65
z z AC
R F T′
= Σ = − = 130.0 lb
AC
T =
Copyright © McGraw-Hill Education. Permission required for reproduction or display.
www.elsolucionario.org
PROBLEM 2.98
For the boom and loading of Problem. 2.97, determine
the magnitude of the load P.
PROBLEM 2.97 The boom OA carries a load P and is
supported by two cables as shown. Knowing that the
tension in cable AB is 183 lb and that the resultant of
the load P and of the forces exerted at A by the two
cables must be directed along OA, determine the
tension in cable AC.
SOLUTION
See Problem 2.97. Since resultant must be directed along OA, i.e., the x-axis, we write
25
0: (87 lb) 0
65
y y AC
R F T P
= Σ = + − =
130.0 lb
AC
T = from Problem 2.97.
Then
25
(87 lb) (130.0 lb) 0
65
P
+ − = 137.0 lb
P =
Copyright © McGraw-Hill Education. Permission required for reproduction or display.
www.elsolucionario.org
PROBLEM 2.99
A container is supported by three cables that are attached to
a ceiling as shown. Determine the weight W of the container,
knowing that the tension in cable AB is 6 kN.
SOLUTION
Free-Body Diagram at A:
The forces applied at A are: , , , and
AB AC AD
T T T W
where .
W
=
W j To express the other forces in terms of the unit vectors i, j, k, we write
(450 mm) (600 mm) 750 mm
(600 mm) (320 mm) 680 mm
(500 mm) (600 mm) (360 mm) 860 mm
AB AB
AC AC
AD AD
= − + =
= + − =
= + + + =
i j
j k
i j k
JJJ
G
JJJG
JJJG
and
( 450 mm) (600 mm)
750 mm
AB AB AB AB AB
AB
T T T
AB
− +
= = =
i j
T λ
JJJ
G
45 60
75 75
AB
T
⎛ ⎞
= − +
⎜ ⎟
⎝ ⎠
i j
(600 mm) (320 mm)
680 mm
60 32
68 68
(500 mm) (600 mm) (360 mm)
860 mm
50 60 36
86 86 86
−
= = =
⎛ ⎞
= −
⎜ ⎟
⎝ ⎠
+ +
= = =
⎛ ⎞
= + +
⎜ ⎟
⎝ ⎠
JJJG
JJJG
AC AC AC AC AC
AC
AD AD AD AD AD
AD
AC
T T T
AC
T
AD
T T T
AD
T
i j
T λ
j k
i j k
T λ
i j k
Copyright © McGraw-Hill Education. Permission required for reproduction or display.
www.elsolucionario.org
PROBLEM 2.99 (Continued)
Equilibrium condition: 0: 0
AB AC AD
F
Σ = ∴ + + + =
T T T W
Substituting the expressions obtained for , , and ;
AB AC AD
T T T factoring i, j, and k; and equating each of
the coefficients to zero gives the following equations:
From i:
45 50
0
75 86
AB AD
T T
− + = (1)
From j:
60 60 60
0
75 68 86
AB AC AD
T T T W
+ + − = (2)
From k:
32 36
0
68 86
AC AD
T T
− + = (3)
Setting 6 kN
AB
T = in (1) and (2), and solving the resulting set of equations gives
6.1920 kN
5.5080 kN
AC
AC
T
T
=
= 13.98 kN
W =
Copyright © McGraw-Hill Education. Permission required for reproduction or display.
www.elsolucionario.org
PROBLEM 2.100
A container is supported by three cables that are attached to
a ceiling as shown. Determine the weight W of the container,
knowing that the tension in cable AD is 4.3 kN.
SOLUTION
See Problem 2.99 for the figure and analysis leading to the following set of linear algebraic equations:
45 50
0
75 86
AB AD
T T
− + = (1)
60 60 60
0
75 68 86
AB AC AD
T T T W
+ + − = (2)
32 36
0
68 86
AC AD
T T
− + = (3)
Setting 4.3 kN
AD
T = into the above equations gives
4.1667 kN
3.8250 kN
AB
AC
T
T
=
= 9.71kN
W =
Copyright © McGraw-Hill Education. Permission required for reproduction or display.
www.elsolucionario.org
SOLUT
The forc
where P
and
TION
ces applied at A
.
P
=
P j To exp
A are:
press the other
AB
AC
AD
=
=
=
JJJ
G
JJJG
JJJG
AB
AC
AD
=
=
=
T
T
T
PROB
Three c
the vert
tension
FREE-BOD
,
AB
T
r forces in term
(4.20 m)
(2.40 m) (
(5.60 m)
= − −
= −
= − −
i
i
j
AB AB AB
AC AC A
AD AD A
T T
T T
T T
= =
= =
= =
λ
λ
λ
BLEM 2.101
cables are use
tical force P e
in cable AD i
DY DIAGRA
, , and
AC AD
T T
ms of the unit
(5.60 m)
(5.60 m) (4
(3.30 m)
−
+
−
j
j
k
( 0.6
(0.32
( 0.8
B
AC
AD
AB
AB
AC
AC
AD
AD
= −
=
= −
JJJ
G
JJJG
JJJG
1
ed to tether a
exerted by the
s 481 N.
AM AT A
d P
vectors i, j, k
.20 m)
AB
AC
AD
k
0.8 )
2432 0.7567
86154 0.507
AB
T
−
−
−
i j
i
j
balloon as sh
balloon at A k
, we write
7.00 m
7.40 m
6.50 m
D
=
=
=
76 0.56757
769 ) AD
T
+
j k
k
hown. Determ
knowing that
) AC
T
k
ine
the
Copyright © McGraw-Hill Education. Permission required for reproduction or display.
www.elsolucionario.org
Equilibr
Substitu
Equating
Setting
rium condition
uting the expre
(−
g to zero the c
481 N
AD
T =
P
n:
essions obtaine
0.6 0.3
AB
T
− +
coefficients of
0.8 AB
T
− −
in (2) and (3),
PROBLEM 2
0: AB
F
Σ = T
ed for ,
AB A
T T
2432 ) (
(0.56757
AC
T +
+
i
f i, j, k:
0.6 A
T
−
0.75676 AC
T −
0.56757T
, and solving t
43
23
AC
AD
T
T
=
=
2.101 (Con
B AC AD
+ +
T T
, and
AC AD
T an
( 0.8 0.7
7 0.50769
AB
AC
T
T
− −
−
0.32432
AB
T T
+
0.86154 AD
T
− +
0.50769
AC
T T
−
the resulting se
30.26 N
32.57 N
ntinued)
0
P
+ =
j
nd factoring i,
5676 0.8
9 ) 0
AC
AD
T
T
−
=
k
0
AC
T =
0
P
+ =
0
AD
T =
et of equation
, j, and k:
86154 )
AD
T P
+
s gives
)j
926 N
=
P
(1)
(2)
(3)
Copyright © McGraw-Hill Education. Permission required for reproduction or display.
www.elsolucionario.org
PROBLEM 2.102
Three cables are used to tether a balloon as shown. Knowing
that the balloon exerts an 800-N vertical force at A, determine
the tension in each cable.
SOLUTION
See Problem 2.101 for the figure and analysis leading to the linear algebraic Equations (1), (2), and (3).
0.6 0.32432 0
AB AC
T T
− + = (1)
0.8 0.75676 0.86154 0
AB AC AD
T T T P
− − − + = (2)
0.56757 0.50769 0
AC AD
T T
− = (3)
From Eq. (1): 0.54053
AB AC
T T
=
From Eq. (3): 1.11795
AD AC
T T
=
Substituting for AB
T and AD
T in terms of AC
T into Eq. (2) gives
0.8(0.54053 ) 0.75676 0.86154(1.11795 ) 0
AC AC AC
T T T P
− − − + =
2.1523 ; 800 N
800 N
2.1523
371.69 N
AC
AC
T P P
T
= =
=
=
Substituting into expressions for AB
T and AD
T gives
0.54053(371.69 N)
1.11795(371.69 N)
AB
AD
T
T
=
=
201 N, 372 N, 416 N
AB AC AD
T T T
= = =
Copyright © McGraw-Hill Education. Permission required for reproduction or display.
www.elsolucionario.org
PROBLEM 2.103
A 36-lb triangular plate is supported by three wires as shown. Determine
the tension in each wire, knowing that a = 6 in.
SOLUTION
By Symmetry DB DC
T T
= Free-Body Diagram of Point D:
The forces applied at D are: , , , and
DB DC DA
T T T P
where (36 lb) .
P
= =
P j j To express the other forces in terms of the unit vectors i, j, k, we write
(16 in.) (24 in.) 28.844 in.
(8 in.) (24 in.) (6 in.) 26.0 in.
(8 in.) (24 in.) (6 in.) 26.0 in.
DA DA
DB DB
DC DC
= − =
= − − + =
= − − − =
i j
i j k
i j k
JJJ
G
JJJ
G
JJJG
and (0.55471 0.83206 )
( 0.30769 0.92308 0.23077 )
( 0.30769 0.92308 0.23077 )
DA DA DA DA DA
DB DB DB DB DB
DC DC DC DC DC
DA
T T T
DA
DB
T T T
DB
DC
T T T
DC
= = = −
= = = − − +
= = = − − −
T λ i j
T λ i j k
T λ i j k
JJJ
G
JJJ
G
JJJG
Copyright © McGraw-Hill Education. Permission required for reproduction or display.
www.elsolucionario.org
PROBLEM 2.103 (Continued)
Equilibrium condition: 0: (36 lb) 0
DA DB DC
F
Σ = + + + =
T T T j
Substituting the expressions obtained for , , and
DA DB DC
T T T and factoring i, j, and k:
(0.55471 0.30769 0.30769 ) ( 0.83206 0.92308 0.92308 36 lb)
(0.23077 0.23077 ) 0
DA DB DC DA DB DC
DB DC
T T T T T T
T T
− − + − − − +
+ − =
i j
k
Equating to zero the coefficients of i, j, k:
0.55471 0.30769 0.30769 0
DA DB DC
T T T
− − = (1)
0.83206 0.92308 0.92308 36 lb 0
DA DB DC
T T T
− − − + = (2)
0.23077 0.23077 0
DB DC
T T
− = (3)
Equation (3) confirms that DB DC
T T
= . Solving simultaneously gives,
14.42 lb; 13.00 lb
DA DB DC
T T T
= = =
Copyright © McGraw-Hill Education. Permission required for reproduction or display.
www.elsolucionario.org
PROBLEM 2.104
Solve Prob. 2.103, assuming that a = 8 in.
PROBLEM 2.103 A 36-lb triangular plate is supported by three wires
as shown. Determine the tension in each wire, knowing that a = 6 in.
SOLUTION
By Symmetry DB DC
T T
= Free-Body Diagram of Point D:
The forces applied at D are: , , , and
DB DC DA
T T T P
where (36 lb) .
P
= =
P j j To express the other forces in terms of the unit vectors i, j, k, we write
(16 in.) (24 in.) 28.844 in.
(8 in.) (24 in.) (8 in.) 26.533 in.
(8 in.) (24 in.) (8 in.) 26.533 in.
DA DA
DB DB
DC DC
= − =
= − − + =
= − − − =
i j
i j k
i j k
JJJ
G
JJJ
G
JJJG
and (0.55471 0.83206 )
( 0.30151 0.90453 0.30151 )
( 0.30151 0.90453 0.30151 )
DA DA DA DA DA
DB DB DB DB DB
DC DC DC DC DC
DA
T T T
DA
DB
T T T
DB
DC
T T T
DC
= = = −
= = = − − +
= = = − − −
T λ i j
T λ i j k
T λ i j k
JJJ
G
JJJ
G
JJJG
Copyright © McGraw-Hill Education. Permission required for reproduction or display.
www.elsolucionario.org
PROBLEM 2.104 (Continued)
Equilibrium condition: 0: (36 lb) 0
DA DB DC
F
Σ = + + + =
T T T j
Substituting the expressions obtained for , , and
DA DB DC
T T T and factoring i, j, and k:
(0.55471 0.30151 0.30151 ) ( 0.83206 0.90453 0.90453 36 lb)
(0.30151 0.30151 ) 0
DA DB DC DA DB DC
DB DC
T T T T T T
T T
− − + − − − +
+ − =
i j
k
Equating to zero the coefficients of i, j, k:
0.55471 0.30151 0.30151 0
DA DB DC
T T T
− − = (1)
0.83206 0.90453 0.90453 36 lb 0
DA DB DC
T T T
− − − + = (2)
0.30151 0.30151 0
DB DC
T T
− = (3)
Equation (3) confirms that DB DC
T T
= . Solving simultaneously gives,
14.42 lb; 13.27 lb
DA DB DC
T T T
= = =
Copyright © McGraw-Hill Education. Permission required for reproduction or display.
www.elsolucionario.org
Solution
where P
and
Equilibr
n The forces ap
.
P
=
P j To exp
rium Condition
pplied at A are
press the other
AB
AB
AC
AC
AD
AD
=
=
=
=
=
=
JJJ
G
JJJG
JJJG
AB
AC
AD
=
=
=
=
=
=
T
T
T
n with =
W
F
Σ =
PR
A
the
is 5
e:
, ,
AB AC AD
T T T
r forces in term
(36 in.)
75 in.
(60 in.) (3
68 in.
(40 in.) (6
77 in.
= − +
=
= +
=
= +
=
i
j
i
( 0.48 0.8
(0.88235
(0.51948
AB AB A
AC AC A
AD AD A
T T
T T
T T
= =
= − +
= =
= +
= =
= +
λ
i
λ
j
λ
i
W
= − j
0: AB A
= +
T T
ROBLEM 2
crate is suppo
e weight of the
544 lb.
and
D W
ms of the unit
(60 in.) (27
32 in.)
60 in.) (27 in
−
−
j
k
j
8 0.36 )
0.47059 )
0.77922 0.3
B
AB
AC
AC
AD
AB
AB
T
AC
AC
T
AD
AD
−
−
j k
k
j
JJJ
G
JJJG
JJJG
AC AD W
+ −
T j
2.105
orted by three
e crate knowin
vectors i, j, k
in.)
n.)
k
k
35065 )
B
C
AD
T
k
0
=
e cables as sh
ng that the ten
, we write
hown. Determ
nsion in cable A
ine
AC
Copyright © McGraw-Hill Education. Permission required for reproduction or display.
www.elsolucionario.org
PROBLEM 2.105 (Continued)
Substituting the expressions obtained for , , and
AB AC AD
T T T and factoring i, j, and k:
( 0.48 0.51948 ) (0.8 0.88235 0.77922 )
( 0.36 0.47059 0.35065 ) 0
AB AD AB AC AD
AB AC AD
T T T T T W
T T T
− + + + + −
+ − + − =
i j
k
Equating to zero the coefficients of i, j, k:
0.48 0.51948 0
AB AD
T T
− + = (1)
0.8 0.88235 0.77922 0
AB AC AD
T T T W
+ + − = (2)
0.36 0.47059 0.35065 0
AB AC AD
T T T
− + − = (3)
Substituting 544 lb
AC
T = in Equations (1), (2), and (3) above, and solving the resulting set of equations
using conventional algorithms, gives:
374.27 lb
345.82 lb
AB
AD
T
T
=
= 1049 lb
W =
Copyright © McGraw-Hill Education. Permission required for reproduction or display.
www.elsolucionario.org
SOLUT
The forc
where P
and
Equilibr
TION
ces applied at A
.
P
=
P j To exp
rium Condition
A are:
press the other
AB
AB
AC
AC
AD
AD
=
=
=
=
=
=
JJJ
G
JJJG
JJJG
AB
AC
AD
=
=
=
=
=
=
T
T
T
n with =
W
F
Σ =
P
A
D
, ,
AB AC AD
T T T
r forces in term
(36 in.)
75 in.
(60 in.) (3
68 in.
(40 in.) (6
77 in.
= − +
=
= +
=
= +
=
i
j
i
( 0.48 0.8
(0.88235
(0.51948
AB AB A
AC AC A
AD AD A
T T
T T
T T
= =
= − +
= =
= +
= =
= +
λ
i
λ
j
λ
i
W
= − j
0: AB A
= +
T T
PROBLEM 2
A 1600-lb crat
etermine the t
and
D W
ms of the unit
(60 in.) (27
32 in.)
60 in.) (27 in
−
−
j
k
j
8 0.36 )
0.47059 )
0.77922 0.3
B
AB
AC
AC
AD
AB
AB
T
AC
AC
T
AD
AD
−
−
j k
k
j
JJJ
G
JJJG
JJJG
AC AD W
+ −
T j
2.106
te is supporte
tension in each
vectors i, j, k
in.)
n.)
k
k
35065 )
B
C
AD
T
k
0
=
ed by three c
h cable.
, we write
ables as show
wn.
Copyright © McGraw-Hill Education. Permission required for reproduction or display.
www.elsolucionario.org
PROBLEM 2.106 (Continued)
Substituting the expressions obtained for , , and
AB AC AD
T T T and factoring i, j, and k:
( 0.48 0.51948 ) (0.8 0.88235 0.77922 )
( 0.36 0.47059 0.35065 ) 0
AB AD AB AC AD
AB AC AD
T T T T T W
T T T
− + + + + −
+ − + − =
i j
k
Equating to zero the coefficients of i, j, k:
0.48 0.51948 0
AB AD
T T
− + = (1)
0.8 0.88235 0.77922 0
AB AC AD
T T T W
+ + − = (2)
0.36 0.47059 0.35065 0
AB AC AD
T T T
− + − = (3)
Substituting 1600 lb
W = in Equations (1), (2), and (3) above, and solving the resulting set of equations
using conventional algorithms gives,
571 lb
AB
T =
830 lb
AC
T =
528 lb
AD
T =
Copyright © McGraw-Hill Education. Permission required for reproduction or display.
www.elsolucionario.org
PROBLEM 2.107
Three cables are connected at A, where the forces P and Q are
applied as shown. Knowing that 0,
Q = find the value of P for
which the tension in cable AD is 305 N.
SOLUTION
0: 0
A AB AC AD
Σ = + + + =
F T T T P where P
=
P i
(960 mm) (240 mm) (380 mm) 1060 mm
(960 mm) (240 mm) (320 mm) 1040 mm
(960 mm) (720 mm) (220 mm) 1220 mm
AB AB
AC AC
AD AD
= − − + =
= − − − =
= − + − =
i j k
i j k
i j k
JJJ
G
JJJG
JJJG
48 12 19
53 53 53
12 3 4
13 13 13
305 N
[( 960 mm) (720 mm) (220 mm) ]
1220 mm
(240 N) (180 N) (55 N)
AB AB AB AB AB
AC AC AC AC AC
AD AD AD
AB
T T T
AB
AC
T T T
AC
T
⎛ ⎞
= = = − − +
⎜ ⎟
⎝ ⎠
⎛ ⎞
= = = − − −
⎜ ⎟
⎝ ⎠
= = − + −
= − + −
T λ i j k
T λ i j k
T λ i j k
i j k
JJJ
G
JJJG
Substituting into 0,
A
Σ =
F factoring , , ,
i j k and setting each coefficient equal to φ gives:
48 12
: 240 N
53 13
AB AC
P T T
= + +
i (1)
:
j
12 3
180 N
53 13
AB AC
T T
+ = (2)
:
k
19 4
55 N
53 13
AB AC
T T
− = (3)
Solving the system of linear equations using conventional algorithms gives:
446.71 N
341.71 N
AB
AC
T
T
=
= 960 N
P =
Copyright © McGraw-Hill Education. Permission required for reproduction or display.
www.elsolucionario.org
PROBLEM 2.108
Three cables are connected at A, where the forces P and Q
are applied as shown. Knowing that 1200 N,
P = determine
the values of Q for which cable AD is taut.
SOLUTION
We assume that 0
AD
T = and write 0: (1200 N) 0
A AB AC Q
Σ = + + + =
F T T j i
(960 mm) (240 mm) (380 mm) 1060 mm
(960 mm) (240 mm) (320 mm) 1040 mm
AB AB
AC AC
= − − + =
= − − − =
i j k
i j k
JJJ
G
JJJG
48 12 19
53 53 53
12 3 4
13 13 13
AB AB AB AB AB
AC AC AC AC AC
AB
T T T
AB
AC
T T T
AC
⎛ ⎞
= = = − − +
⎜ ⎟
⎝ ⎠
⎛ ⎞
= = = − − −
⎜ ⎟
⎝ ⎠
T λ i j k
T λ i j k
JJJ
G
JJJG
Substituting into 0,
A
Σ =
F factoring , , ,
i j k and setting each coefficient equal to φ gives:
48 12
: 1200 N 0
53 13
AB AC
T T
− − + =
i (1)
12 3
: 0
53 13
AB AC
T T Q
− − + =
j (2)
19 4
: 0
53 13
AB AC
T T
− =
k (3)
Solving the resulting system of linear equations using conventional algorithms gives:
605.71 N
705.71 N
300.00 N
AB
AC
T
T
Q
=
=
= 0 300 N
Q
≤ <
Note: This solution assumes that Q is directed upward as shown ( 0),
Q ≥ if negative values of Q
are considered, cable AD remains taut, but AC becomes slack for 460 N.
Q = −
Copyright © McGraw-Hill Education. Permission required for reproduction or display.
www.elsolucionario.org
SOLUT
We note
Point A.
We have
Thus:
Substitu
TION
e that the we
e:
(4
(2
AB
AC
AD
= −
=
=
JJJ
G
JJJG
JJJG
uting into the E
ight of the pl
F
Σ
(320 mm)
450 mm) (4
250 mm) (4
− −
−
−
i
i
i
AB
AC
AD
=
=
=
T
T
T
Eq. 0
F
Σ = an
PROB
A recta
Knowin
weight
late is equal
0: AB
F = +
T
(
(480 mm) (
480 mm) (3
480 mm) 3
+
+
−
j
j
j
AB AB A
AC AC A
AD AD A
T T
T T
T T
= =
= =
= =
λ
λ
λ
nd factoring ,
i
8
17
12
17
9
17
AB
AB
AB
T
T
T
⎛
− +
⎜
⎝
⎛
+ −
⎜
⎝
⎛
+ +
⎜
⎝
BLEM 2.10
angular plate
ng that the te
of the plate.
in magnitude
AC AD
+ + +
T T
)
(360 mm)
360 mm)
360 mm
A
A
A
k
k
k
(
8
17
0.6
5
13
AB
AC
AD
AB
AB
AC
AC
AD
AD
⎛
= −
⎜
⎝
=
⎛
= ⎜
⎝
i
i
JJJ
G
JJJG
JJJG
, , :
j k
5
0.6
13
0.64
7.
0.48
13
AC A
B AC
AC
T T
T
T
+
− −
+ −
9
is supported
ension in cabl
to the force
0
P =
j
680 mm
750 mm
650 mm
AB
AC
AD
=
=
=
12 9
17 17
0.64 0.48
9.6 7.2
13 13
− +
− +
− −
i j k
j
i j k
9.6
13
.2
0
3
AD
AD
AD
T
T P
T
⎞
⎟
⎠
⎞
+ ⎟
⎠
⎞
=
⎟
⎠
i
j
k
d by three ca
le AC is 60 N
P exerted by
Free
m
m
m
)
8
AB
AC
AD
T
T
T
⎞
⎟
⎠
⎞
⎟
⎠
k
k
k
j
Dim
ables as show
N, determine
y the support
e Body A:
mensions in m
wn.
the
on
mm
Copyright © McGraw-Hill Education. Permission required for reproduction or display.
www.elsolucionario.org
PROBLEM 2.109 (Continued)
Setting the coefficient of i, j, k equal to zero:
:
i
8 5
0.6 0
17 13
AB AC AD
T T T
− + + = (1)
:
j
12 9.6
0.64 0
7 13
AB AC AD
T T T P
− − − + = (2)
:
k
9 7.2
0.48 0
17 13
AB AC AD
T T T
+ − = (3)
Making 60 N
AC
T = in (1) and (3):
8 5
36 N 0
17 13
AB AD
T T
− + + = (1′)
9 7.2
28.8 N 0
17 13
AB AD
T T
+ − = (3′)
Multiply (1′) by 9, (3′) by 8, and add:
12.6
554.4 N 0 572.0 N
13
AD AD
T T
− = =
Substitute into (1′) and solve for :
AB
T
17 5
36 572 544.0 N
8 13
AB AB
T T
⎛ ⎞
= + × =
⎜ ⎟
⎝ ⎠
Substitute for the tensions in Eq. (2) and solve for P:
12 9.6
(544 N) 0.64(60 N) (572 N)
17 13
844.8 N
P = + +
= Weight of plate 845 N
P
= =
Copyright © McGraw-Hill Education. Permission required for reproduction or display.
www.elsolucionario.org
PROBLEM 2.110
A rectangular plate is supported by three cables as shown.
Knowing that the tension in cable AD is 520 N, determine the
weight of the plate.
SOLUTION
See Problem 2.109 for the figure and the analysis leading to the linear algebraic Equations (1), (2), and
(3) below:
8 5
0.6 0
17 13
AB AC AD
T T T
− + + = (1)
12 9.6
0.64 0
17 13
AB AC AD
T T T P
− + − + = (2)
9 7.2
0.48 0
17 13
AB AC AD
T T T
+ − = (3)
Making 520 N
AD
T = in Eqs. (1) and (3):
8
0.6 200 N 0
17
AB AC
T T
− + + = (1′)
9
0.48 288 N 0
17
AB AC
T T
+ − = (3′)
Multiply (1′) by 9, (3′) by 8, and add:
9.24 504 N 0 54.5455 N
AC AC
T T
− = =
Substitute into (1′) and solve for :
AB
T
17
(0.6 54.5455 200) 494.545 N
8
AB AB
T T
= × + =
Substitute for the tensions in Eq. (2) and solve for P:
12 9.6
(494.545 N) 0.64(54.5455 N) (520 N)
17 13
768.00 N
P = + +
= Weight of plate 768 N
P
= =
Copyright © McGraw-Hill Education. Permission required for reproduction or display.
www.elsolucionario.org
PROBLEM 2.111
A transmission tower is held by three guy wires attached
to a pin at A and anchored by bolts at B, C, and D. If the
tension in wire AB is 840 lb, determine the vertical force
P exerted by the tower on the pin at A.
SOLUTION
0: 0
AB AC AD P
Σ = + + + =
F T T T j Free-Body Diagram at A:
= 20 100 25 105 ft
60 100 18 118 ft
20 100 74 126 ft
AB AB
AC AC
AD AD
− − + =
= − + =
= − − − =
i j k
i j k
i j k
JJJ
G
JJJG
JJJG
We write
4 20 5
21 21 21
AB AB AB AB
AB
AB
T T
AB
T
= =
⎛ ⎞
= − − +
⎜ ⎟
⎝ ⎠
T λ
i j k
JJJ
G
30 50 9
59 59 59
AC AC AC AC
AC
AC
T T
AC
T
= =
⎛ ⎞
= − +
⎜ ⎟
⎝ ⎠
T λ
i j k
JJJG
10 50 37
63 63 63
AD AD AD AD
AD
AD
T T
AD
T
= =
⎛ ⎞
= − − −
⎜ ⎟
⎝ ⎠
T λ
i j k
JJJG
Substituting into the Eq. 0
Σ =
F and factoring , , :
i j k
Copyright © McGraw-Hill Education. Permission required for reproduction or display.
www.elsolucionario.org
PROBLEM 2.111 (Continued)
4 30 10
21 59 63
20 50 50
21 59 63
5 9 37
0
21 59 63
AB AC AD
AB AC AD
AB AC AD
T T T
T T T P
T T T
⎛ ⎞
− + −
⎜ ⎟
⎝ ⎠
⎛ ⎞
+ − − − +
⎜ ⎟
⎝ ⎠
⎛ ⎞
+ + − =
⎜ ⎟
⎝ ⎠
i
j
k
Setting the coefficients of , , ,
i j k equal to zero:
:
i
4 30 10
0
21 59 63
AB AC AD
T T T
− + − = (1)
:
j
20 50 50
0
21 59 63
AB AC AD
T T T P
− − − + = (2)
:
k
5 9 37
0
21 59 63
AB AC AD
T T T
+ − = (3)
Set 840 lb
AB
T = in Eqs. (1) – (3):
30 10
160 lb 0
59 63
AC AD
T T
− + − = (1′)
50 50
800 lb 0
59 63
AC AD
T T P
− − − + = (2′)
9 37
200 lb 0
59 63
AC AD
T T
+ − = (3′)
Solving, 458.12 lb 459.53 lb 1552.94 lb
AC AD
T T P
= = = 1553 lb
P =
Copyright © McGraw-Hill Education. Permission required for reproduction or display.
www.elsolucionario.org
PROBLEM 2.112
A transmission tower is held by three guy wires attached
to a pin at A and anchored by bolts at B, C, and D. If the
tension in wire AC is 590 lb, determine the vertical force
P exerted by the tower on the pin at A.
SOLUTION
0: 0
AB AC AD P
Σ = + + + =
F T T T j Free-Body Diagram at A:
= 20 100 25 105 ft
60 100 18 118 ft
20 100 74 126 ft
AB AB
AC AC
AD AD
− − + =
= − + =
= − − − =
i j k
i j k
i j k
JJJ
G
JJJG
JJJG
We write
4 20 5
21 21 21
AB AB AB AB
AB
AB
T T
AB
T
= =
⎛ ⎞
= − − +
⎜ ⎟
⎝ ⎠
T λ
i j k
JJJ
G
30 50 9
59 59 59
AC AC AC AC
AC
AC
T T
AC
T
= =
⎛ ⎞
= − +
⎜ ⎟
⎝ ⎠
T λ
i j k
JJJG
10 50 37
63 63 63
AD AD AD AD
AD
AD
T T
AD
T
= =
⎛ ⎞
= − − −
⎜ ⎟
⎝ ⎠
T λ
i j k
JJJG
Substituting into the Eq. 0
Σ =
F and factoring , , :
i j k
Copyright © McGraw-Hill Education. Permission required for reproduction or display.
www.elsolucionario.org
PROBLEM 2.112 (Continued)
4 30 10
21 59 63
20 50 50
21 59 63
5 9 37
0
21 59 63
AB AC AD
AB AC AD
AB AC AD
T T T
T T T P
T T T
⎛ ⎞
− + −
⎜ ⎟
⎝ ⎠
⎛ ⎞
+ − − − +
⎜ ⎟
⎝ ⎠
⎛ ⎞
+ + − =
⎜ ⎟
⎝ ⎠
i
j
k
Setting the coefficients of , , ,
i j k equal to zero:
:
i
4 30 10
0
21 59 63
AB AC AD
T T T
− + − = (1)
:
j
20 50 50
0
21 59 63
AB AC AD
T T T P
− − − + = (2)
:
k
5 9 37
0
21 59 63
AB AC AD
T T T
+ − = (3)
Set 590 lb
AC
T = in Eqs. (1) – (3):
4 10
300 lb 0
21 63
AB AD
T T
− + − = (1′)
20 50
500 lb 0
21 63
AB AD
T T P
− − − + = (2′)
5 37
90 lb 0
21 63
AB AD
T T
+ − = (3′)
Solving, 1081.82 lb 591.82 lb
AB AD
T T
= = 2000 lb
P =
Copyright © McGraw-Hill Education. Permission required for reproduction or display.
www.elsolucionario.org
PROBLEM 2.113
In trying to move across a slippery icy surface, a 175-lb man uses
two ropes AB and AC. Knowing that the force exerted on the man
by the icy surface is perpendicular to that surface, determine the
tension in each rope.
SOLUTION
Free-Body Diagram at A
16 30
34 34
N
⎛ ⎞
= +
⎜ ⎟
⎝ ⎠
N i j
and (175 lb)
W
= = −
W j j
( 30 ft) (20 ft) (12 ft)
38 ft
15 10 6
19 19 19
AC AC AC AC AC
AC
AC
T T T
AC
T
− + −
= = =
⎛ ⎞
= − + −
⎜ ⎟
⎝ ⎠
i j k
T λ
i j k
JJJG
( 30 ft) (24 ft) (32 ft)
50 ft
15 12 16
25 25 25
AB AB AB AB AB
AB
AB
T T T
AB
T
− + +
= = =
⎛ ⎞
= − + +
⎜ ⎟
⎝ ⎠
i j k
T λ
i j k
JJJ
G
Equilibrium condition: 0
Σ =
F
0
AB AC
+ + + =
T T N W
Copyright © McGraw-Hill Education. Permission required for reproduction or display.
www.elsolucionario.org
PROBLEM 2.113 (Continued)
Substituting the expressions obtained for , , ,
AB AC
T T N and W; factoring i, j, and k; and equating each of
the coefficients to zero gives the following equations:
From i:
15 15 16
0
25 19 34
AB AC
T T N
− − + = (1)
From j:
12 10 30
(175 lb) 0
25 19 34
AB AC
T T N
+ + − = (2)
From k:
16 6
0
25 19
AB AC
T T
− = (3)
Solving the resulting set of equations gives:
30.8 lb; 62.5 lb
AB AC
T T
= =
Copyright © McGraw-Hill Education. Permission required for reproduction or display.
www.elsolucionario.org
PROBLEM 2.114
Solve Problem 2.113, assuming that a friend is helping the man
at A by pulling on him with a force P = −(45 lb)k.
PROBLEM 2.113 In trying to move across a slippery icy
surface, a 175-lb man uses two ropes AB and AC. Knowing that
the force exerted on the man by the icy surface is perpendicular
to that surface, determine the tension in each rope.
SOLUTION
Refer to Problem 2.113 for the figure and analysis leading to the following set of equations, Equation (3)
being modified to include the additional force ( 45 lb) .
= −
P k
15 15 16
0
25 19 34
AB AC
T T N
− − + = (1)
12 10 30
(175 lb) 0
25 19 34
AB AC
T T N
+ + − = (2)
16 6
(45 lb) 0
25 19
AB AC
T T
− − = (3)
Solving the resulting set of equations simultaneously gives:
81.3 lb
AB
T =
22.2 lb
AC
T =
Copyright © McGraw-Hill Education. Permission required for reproduction or display.
www.elsolucionario.org
PROBLEM 2.115
For the rectangular plate of Problems 2.109 and 2.110,
determine the tension in each of the three cables knowing that
the weight of the plate is 792 N.
SOLUTION
See Problem 2.109 for the figure and the analysis leading to the linear algebraic Equations (1), (2), and
(3) below. Setting 792 N
P = gives:
8 5
0.6 0
17 13
AB AC AD
T T T
− + + = (1)
12 9.6
0.64 792 N 0
17 13
AB AC AD
T T T
− − − + = (2)
9 7.2
0.48 0
17 13
AB AC AD
T T T
+ − = (3)
Solving Equations (1), (2), and (3) by conventional algorithms gives
510.00 N
AB
T = 510 N
AB
T =
56.250 N
AC
T = 56.2 N
AC
T =
536.25 N
AD
T = 536 N
AD
T =
Copyright © McGraw-Hill Education. Permission required for reproduction or display.
www.elsolucionario.org
PROBLEM 2.116
For the cable system of Problems 2.107 and 2.108,
determine the tension in each cable knowing that
2880 N
P = and 0.
Q =
SOLUTION
0: 0
A AB AC AD
Σ = + + + + =
F T T T P Q
Where P
=
P i and Q
=
Q j
(960 mm) (240 mm) (380 mm) 1060 mm
(960 mm) (240 mm) (320 mm) 1040 mm
(960 mm) (720 mm) (220 mm) 1220 mm
AB AB
AC AC
AD AD
= − − + =
= − − − =
= − + − =
i j k
i j k
i j k
JJJ
G
JJJG
JJJG
48 12 19
53 53 53
12 3 4
13 13 13
48 36 11
61 61 61
AB AB AB AB AB
AC AC AC AC AC
AD AD AD AD AD
AB
T T T
AB
AC
T T T
AC
AD
T T T
AD
⎛ ⎞
= = = − − +
⎜ ⎟
⎝ ⎠
⎛ ⎞
= = = − − −
⎜ ⎟
⎝ ⎠
⎛ ⎞
= = = − + −
⎜ ⎟
⎝ ⎠
T λ i j k
T λ i j k
T λ i j k
JJJ
G
JJJG
JJJG
Substituting into 0,
A
Σ =
F setting (2880 N)
P = i and 0,
Q = and setting the coefficients of , ,
i j k equal to
0, we obtain the following three equilibrium equations:
48 12 48
: 2880 N 0
53 13 61
AB AC AD
T T T
− − − + =
i (1)
12 3 36
: 0
53 13 61
AB AC AD
T T T
− − + =
j (2)
19 4 11
: 0
53 13 61
AB AC AD
T T T
− − =
k (3)
Copyright © McGraw-Hill Education. Permission required for reproduction or display.
www.elsolucionario.org
PROBLEM 2.116 (Continued)
Solving the system of linear equations using conventional algorithms gives:
1340.14 N
1025.12 N
915.03 N
AB
AC
AD
T
T
T
=
=
= 1340 N
AB
T =
1025 N
AC
T =
915 N
AD
T =
Copyright © McGraw-Hill Education. Permission required for reproduction or display.
www.elsolucionario.org
PROBLEM 2.117
For the cable system of Problems 2.107 and 2.108,
determine the tension in each cable knowing that
2880 N
P = and 576 N.
Q =
SOLUTION
See Problem 2.116 for the analysis leading to the linear algebraic Equations (1), (2), and (3) below:
48 12 48
0
53 13 61
AB AC AD
T T T P
− − − + = (1)
12 3 36
0
53 13 61
AB AC AD
T T T Q
− − + + = (2)
19 4 11
0
53 13 61
AB AC AD
T T T
− − = (3)
Setting 2880 N
P = and 576 N
Q = gives:
48 12 48
2880 N 0
53 13 61
AB AC AD
T T T
− − − + = (1′)
12 3 36
576 N 0
53 13 61
AB AC AD
T T T
− − + + = (2′)
19 4 11
0
53 13 61
AB AC AD
T T T
− − = (3′)
Solving the resulting set of equations using conventional algorithms gives:
1431.00 N
1560.00 N
183.010 N
AB
AC
AD
T
T
T
=
=
= 1431 N
AB
T =
1560 N
AC
T =
183.0 N
AD
T =
Copyright © McGraw-Hill Education. Permission required for reproduction or display.
www.elsolucionario.org
PROBLEM 2.118
For the cable system of Problems 2.107 and 2.108,
determine the tension in each cable knowing that
2880 N
P = and 576
Q = − N. (Q is directed downward).
SOLUTION
See Problem 2.116 for the analysis leading to the linear algebraic Equations (1), (2), and (3) below:
48 12 48
0
53 13 61
AB AC AD
T T T P
− − − + = (1)
12 3 36
0
53 13 61
AB AC AD
T T T Q
− − + + = (2)
19 4 11
0
53 13 61
AB AC AD
T T T
− − = (3)
Setting 2880 N
P = and 576 N
Q = − gives:
48 12 48
2880 N 0
53 13 61
AB AC AD
T T T
− − − + = (1′)
12 3 36
576 N 0
53 13 61
AB AC AD
T T T
− − + − = (2′)
19 4 11
0
53 13 61
AB AC AD
T T T
− − = (3′)
Solving the resulting set of equations using conventional algorithms gives:
1249.29 N
490.31 N
1646.97 N
AB
AC
AD
T
T
T
=
=
= 1249 N
AB
T =
490 N
AC
T =
1647 N
AD
T =
Copyright © McGraw-Hill Education. Permission required for reproduction or display.
www.elsolucionario.org
PROBLEM 2.119
For the transmission tower of Probs. 2.111 and 2.112,
determine the tension in each guy wire knowing that the
tower exerts on the pin at A an upward vertical force of
1800 lb.
PROBLEM 2.111 A transmission tower is held by three
guy wires attached to a pin at A and anchored by bolts at
B, C, and D. If the tension in wire AB is 840 lb, determine
the vertical force P exerted by the tower on the pin at A.
SOLUTION
See Problem 2.111 for the figure and the analysis leading to the linear algebraic Equations (1), (2), and
(3) below:
:
i
4 30 10
0
21 59 63
AB AC AD
T T T
− + − = (1)
:
j
20 50 50
0
21 59 63
AB AC AD
T T T P
− − − + = (2)
:
k
5 9 37
0
21 59 63
AB AC AD
T T T
+ − = (3)
Substituting for 1800 lb
P = in Equations (1), (2), and (3) above and solving the resulting set of equations
using conventional algorithms gives:
4 30 10
0
21 59 63
AB AC AD
T T T
− + − = (1′)
20 50 50
1800 lb 0
21 59 63
AB AC AD
T T T
− − − + = (2′)
5 9 37
0
21 59 63
AB AC AD
T T T
+ − = (3′)
973.64 lb
531.00 lb
532.64 lb
AB
AC
AD
T
T
T
=
=
= 974 lb
AB
T =
531 lb
AC
T =
533 lb
AD
T =
Copyright © McGraw-Hill Education. Permission required for reproduction or display.
www.elsolucionario.org
PROBLEM 2.120
Three wires are connected at point D, which is
located 18 in. below the T-shaped pipe support
ABC. Determine the tension in each wire when
a 180-lb cylinder is suspended from point D as
shown.
SOLUTION
Free-Body Diagram of Point D:
The forces applied at D are:
, , and
DA DB DC
T T T W
where 180.0 lb .
= −
W j To express the other forces in terms of the unit vectors i, j, k, we write
(18 in.) (22 in.)
28.425 in.
(24 in.) (18 in.) (16 in.)
34.0 in.
(24 in.) (18 in.) (16 in.)
34.0 in.
DA
DA
DB
DB
DC
DC
= +
=
= − + −
=
= + −
=
j k
i j k
i j k
JJJ
G
JJJ
G
JJJG
Copyright © McGraw-Hill Education. Permission required for reproduction or display.
www.elsolucionario.org
PROBLEM 2.120 (Continued)
and
(0.63324 0.77397 )
( 0.70588 0.52941 0.47059 )
(0.70588 0.52941 0.47059 )
DA Da DA Da
DA
DB DB DB DB
DB
DC DC DC DC
DC
DA
T T
DA
T
DB
T T
DB
T
DC
T T
DC
T
= =
= +
= =
= − + −
= =
= + −
T λ
j k
T λ
i j k
T λ
i j k
JJJ
G
JJJ
G
JJJG
Equilibrium Condition with W
= −
W j
0: 0
DA DB DC
F W
Σ = + + − =
T T T j
Substituting the expressions obtained for , , and
DA DB DC
T T T and factoring i, j, and k:
( 0.70588 0.70588 )
(0.63324 0.52941 0.52941 )
(0.77397 0.47059 0.47059 )
DB DC
DA DB DC
DA DB DC
T T
T T T W
T T T
− +
+ + −
− −
i
j
k
Equating to zero the coefficients of i, j, k:
0.70588 0.70588 0
DB DC
T T
− + = (1)
0.63324 0.52941 0.52941 0
DA DB DC
T T T W
+ + − = (2)
0.77397 0.47059 0.47059 0
DA DB DC
T T T
− − = (3)
Substituting 180 lb
W = in Equations (1), (2), and (3) above, and solving the resulting set of equations using
conventional algorithms gives,
119.7 lb
DA
T =
98.4 lb
DB
T =
98.4 lb
DC
T =
Copyright © McGraw-Hill Education. Permission required for reproduction or display.
www.elsolucionario.org
PROBLEM 2.121
A container of weight W is suspended from ring
A, to which cables AC and AE are attached. A
force P is applied to the end F of a third cable
that passes over a pulley at B and through ring A
and that is attached to a support at D. Knowing
that 1000 N,
W = determine the magnitude of P.
(Hint: The tension is the same in all portions of
cable FBAD.)
SOLUTION
The (vector) force in each cable can be written as the product of the (scalar) force and the unit vector
along the cable. That is, with
2 2 2
(0.78 m) (1.6 m) (0 m)
( 0.78 m) (1.6 m) (0)
1.78 m
[ (0.78 m) (1.6 m) (0 m) ]
1.78 m
( 0.4382 0.8989 0 )
AB AB AB
AB
AB AB
AB
AB
AB
T T
AB
T
T
= − + +
= − + +
=
= =
= − + +
= − + +
i j k
T λ
i j k
T i j k
JJJ
G
JJJ
G
and
2 2 2
(0) (1.6 m) (1.2 m)
(0 m) (1.6 m) (1.2 m) 2 m
[(0) (1.6 m) (1.2 m) ]
2 m
(0.8 0.6 )
AC
AC AC AC
AC AC
AC
AC
T
AC
T T
AC
T
= + +
= + + =
= = = + +
= +
i j k
T λ i j k
T j k
JJJG
JJJG
and
2 2 2
(1.3 m) (1.6 m) (0.4 m)
(1.3 m) (1.6 m) (0.4 m) 2.1 m
[(1.3 m) (1.6 m) (0.4 m) ]
2.1 m
(0.6190 0.7619 0.1905 )
AD
AD AD AD
AD AD
AD
AD
T
AD
T T
AD
T
= + +
= + + =
= = = + +
= + +
i j k
T λ i j k
T i j k
JJJG
JJJG
Copyright © McGraw-Hill Education. Permission required for reproduction or display.
www.elsolucionario.org
PROBLEM 2.121 (Continued)
Finally,
2 2 2
(0.4 m) (1.6 m) (0.86 m)
( 0.4 m) (1.6 m) ( 0.86 m) 1.86 m
[ (0.4 m) (1.6 m) (0.86 m) ]
1.86 m
( 0.2151 0.8602 0.4624 )
AE AE AE
AE
AE AE
AE
AE
AE
T T
AE
T
T
= − + −
= − + + − =
= =
= − + −
= − + −
i j k
T λ
i j k
T i j k
JJJ
G
JJJ
G
With the weight of the container ,
W
= −
W j at A we have:
0: 0
AB AC AD W
Σ = + + − =
F T T T j
Equating the factors of i, j, and k to zero, we obtain the following linear algebraic equations:
0.4382 0.6190 0.2151 0
AB AD AE
T T T
− + − = (1)
0.8989 0.8 0.7619 0.8602 0
AB AC AD AE
T T T T W
+ + + − = (2)
0.6 0.1905 0.4624 0
AC AD AE
T T T
+ − = (3)
Knowing that 1000 N
W = and that because of the pulley system at B ,
AB AD
T T P
= = where P is the
externally applied (unknown) force, we can solve the system of linear Equations (1), (2) and (3) uniquely
for P.
378 N
P =
Copyright © McGraw-Hill Education. Permission required for reproduction or display.
www.elsolucionario.org
PROBLEM 2.122
Knowing that the tension in cable AC of the
system described in Problem 2.121 is 150 N,
determine (a) the magnitude of the force P, (b)
the weight W of the container.
PROBLEM 2.121 A container of weight W is
suspended from ring A, to which cables AC and
AE are attached. A force P is applied to the end F
of a third cable that passes over a pulley at B and
through ring A and that is attached to a support at
D. Knowing that 1000 N,
W = determine the
magnitude of P. (Hint: The tension is the same in
all portions of cable FBAD.)
SOLUTION
Here, as in Problem 2.121, the support of the container consists of the four cables AE, AC, AD, and AB,
with the condition that the force in cables AB and AD is equal to the externally applied force P. Thus,
with the condition
AB AD
T T P
= =
and using the linear algebraic equations of Problem 2.131 with 150 N,
AC
T = we obtain
(a) 454 N
P =
(b) 1202 N
W =
Copyright © McGraw-Hill Education. Permission required for reproduction or display.
www.elsolucionario.org
PROBLEM 2.123
Cable BAC passes through a frictionless ring A and is
attached to fixed supports at B and C, while cables AD and
AE are both tied to the ring and are attached, respectively, to
supports at D and E. Knowing that a 200-lb vertical load P is
applied to ring A, determine the tension in each of the three
cables.
SOLUTION
Free Body Diagram at A:
Since tension in
BAC
T = cable BAC, it follows that
AB AC BAC
T T T
= =
( 17.5 in.) (60 in.) 17.5 60
62.5 in. 62.5 62.5
(60 in.) (25 in.) 60 25
65 in. 65 65
(80 in.) (60 in.) 4 3
100 in. 5 5
AB BAC AB BAC BAC
AC BAC AC BAC BAC
AD AD AD AD AD
AE AE AE AE
T T T
T T T
T T T
T T
− + −
⎛ ⎞
= = = +
⎜ ⎟
⎝ ⎠
+ ⎛ ⎞
= = = +
⎜ ⎟
⎝ ⎠
+ ⎛ ⎞
= = = +
⎜ ⎟
⎝ ⎠
= =
i j
T λ i j
i k
T λ j k
i j
T λ i j
T λ
(60 in.) (45 in.) 4 3
75 in. 5 5
AE
T
− ⎛ ⎞
= −
⎜ ⎟
⎝ ⎠
j k
j k
Copyright © McGraw-Hill Education. Permission required for reproduction or display.
www.elsolucionario.org
PROBLEM 2.123 (Continued)
Substituting into 0,
A
Σ =
F setting ( 200 lb) ,
= −
P j and setting the coefficients of i, j, k equal to ,
φ we
obtain the following three equilibrium equations:
From
17.5 4
: 0
62.5 5
BAC AD
T T
− + =
i (1)
From
60 60 3 4
: 200 lb 0
62.5 65 5 5
BAC AD AE
T T T
⎛ ⎞
+ + + − =
⎜ ⎟
⎝ ⎠
j (2)
From
25 3
: 0
65 5
BAC AE
T T
− =
k (3)
Solving the system of linear equations using conventional algorithms gives:
76.7 lb; 26.9 lb; 49.2 lb
BAC AD AE
T T T
= = =
Copyright © McGraw-Hill Education. Permission required for reproduction or display.
www.elsolucionario.org
PROBLEM 2.124
Knowing that the tension in cable AE of Prob. 2.123 is 75 lb,
determine (a) the magnitude of the load P, (b) the tension in
cables BAC and AD.
PROBLEM 2.123 Cable BAC passes through a frictionless
ring A and is attached to fixed supports at B and C, while
cables AD and AE are both tied to the ring and are attached,
respectively, to supports at D and E. Knowing that a 200-lb
vertical load P is applied to ring A, determine the tension in
each of the three cables.
SOLUTION
Refer to the solution to Problem 2.123 for the figure and analysis leading to the following set of
equilibrium equations, Equation (2) being modified to include Pj as an unknown quantity:
17.5 4
0
62.5 5
BAC AD
T T
− + = (1)
60 60 3 4
0
62.5 65 5 5
BAC AD AE
T T T P
⎛ ⎞
+ + + − =
⎜ ⎟
⎝ ⎠
(2)
25 3
0
65 5
BAC AE
T T
− = (3)
Substituting for 75 lb
AE
T = and solving simultaneously gives:
(a) 305 lb
P =
(b) 117.0 lb; 40.9 lb
BAC AD
T T
= =
Copyright © McGraw-Hill Education. Permission required for reproduction or display.
www.elsolucionario.org
SOLUT
For both
Here
or
Thus, w
Now
Where y
From th
Setting t
With
Now, fr
Setting t
And usi
TION
h Problems 2.
when y given, z
y and z are in u
he F.B. Diagra
the j coefficie
rom the free bo
the k coefficie
ing the above r
125 and 2.126
(0
z is determined
λ
units of meter
am of collar A:
ent to zero give
ody diagram o
ent to zero giv
result for AB
T
P
C
ca
P
te
of
sy
6:
2 2
( )
AB x
=
2
0.525 m) (0
=
2 2
0.
y z
+ =
d,
1
0.525 m
0.38095
AB
AB
AB
=
=
=
λ
i
JJJ
G
rs, m.
: 0:
Σ =
F
es (1.9
P −
AB
P
T
of collar B:
ves
, we have
PROBLEM 2
ollars A and B
an slide fre
(341 N)
=
P j i
ension in the w
f the force Q
ystem.
2 2 2
y z
+ +
2 2
0.20 m) y
+
2
.23563 m
(0.20
1.90476
y z
y
− +
− +
i j
i j
: x z
N N
+ +
i k
90476 ) AB
y T =
341 N
341 N
1.90476
P
y
=
=
0: N
Σ =
F
(1.9
AB
Q T
−
(
AB
Q T z
= =
2.125
B are connecte
eely on fric
is applied to
wire when y =
required to m
Free
2
z
+
)m
1.90476
z
z
+
k
k
AB AB
P T λ
+ +
j
0
x y
N N Q
+ +
i j k
0476 ) 0
z =
341 N
(1.
(1.90476)y
ed by a 525-m
ctionless rod
collar A, de
155 mm,
= (b
maintain the eq
e-Body Diagr
0
=
0
AB AB
T
− =
k λ
(34
.90476 )
z =
mm-long wire a
ds. If a fo
etermine (a)
b) the magnitu
quilibrium of
rams of Colla
0
41 N)( )
z
y
and
rce
the
ude
the
rs:
Copyright © McGraw-Hill Education. Permission required for reproduction or display.
www.elsolucionario.org
PROBLEM 2.125 (Continued)
Then from the specifications of the problem, 155 mm 0.155 m
y = =
2 2 2
0.23563 m (0.155 m)
0.46 m
z
z
= −
=
and
(a)
341 N
0.155(1.90476)
1155.00 N
AB
T =
=
or 1155 N
=
AB
T
and
(b)
341 N(0.46 m)(0.866)
(0.155 m)
(1012.00 N)
Q =
=
or 1012 N
=
Q
Copyright © McGraw-Hill Education. Permission required for reproduction or display.
www.elsolucionario.org
PROBLEM 2.126
Solve Problem 2.125 assuming that 275 mm.
y =
PROBLEM 2.125 Collars A and B are connected by a
525-mm-long wire and can slide freely on frictionless
rods. If a force (341 N)
=
P j is applied to collar A,
determine (a) the tension in the wire when y 155 mm,
=
(b) the magnitude of the force Q required to maintain the
equilibrium of the system.
SOLUTION
From the analysis of Problem 2.125, particularly the results:
2 2 2
0.23563 m
341 N
1.90476
341 N
AB
y z
T
y
Q z
y
+ =
=
=
With 275 mm 0.275 m,
y = = we obtain:
2 2 2
0.23563 m (0.275 m)
0.40 m
z
z
= −
=
and
(a)
341 N
651.00
(1.90476)(0.275 m)
AB
T = =
or 651 N
AB
T =
and
(b)
341 N(0.40 m)
(0.275 m)
Q =
or 496 N
Q =
Copyright © McGraw-Hill Education. Permission required for reproduction or display.
www.elsolucionario.org
SOLUT
Using th
we have
Then
and
Hence:
TION
he force triang
e
gle and the law
γ
R
R
10 kN
sin
sin
α
α
α
φ
PROB
Two st
shown.
that the
determ
resultan
B.
ws of cosines a
180 (40
120
γ = ° −
= °
2 2
2
(15 kN)
2(15 kN
475 kN
21.794 kN
R
R
= +
−
=
=
N 21.794 kN
sin120
10 kN
21.794 k
0.39737
23.414
α
α
α
=
°
⎛
= ⎜
⎝
=
=
50
φ α
= + ° =
BLEM 2.12
tructural mem
. Knowing th
e force is 15
mine by trigon
nt of the force
and sines,
0 20 )
° + °
2
(10 kN)
N)(10 kN)cos1
N
+
N
N
sin120
kN
⎞
°
⎟
⎠
73.414
27
mbers A and
hat both mem
kN in membe
ometry the m
es applied to t
20°
B are bolted
mbers are in c
er A and 10 k
magnitude and
the bracket by
21.8
=
R
to a bracket
compression a
kN in member
direction of
y members A a
8 kN 73.4°
as
and
r B,
the
and
Copyright © McGraw-Hill Education. Permission required for reproduction or display.
www.elsolucionario.org
PROBLEM 2.128
Determine the x and y components of each of the forces shown.
SOLUTION
Compute the following distances:
2 2
2 2
2 2
(24 in.) (45 in.)
51.0 in.
(28 in.) (45 in.)
53.0 in.
(40 in.) (30 in.)
50.0 in.
OA
OB
OC
= +
=
= +
=
= +
=
102-lb Force:
24 in.
102 lb
51.0 in.
x
F = − 48.0 lb
x
F = −
45 in.
102 lb
51.0 in.
y
F = + 90.0 lb
y
F = +
106-lb Force:
28 in.
106 lb
53.0 in.
= +
x
F 56.0 lb
x
F = +
45 in.
106 lb
53.0 in.
y
F = + 90.0 lb
y
F = +
200-lb Force:
40 in.
200 lb
50.0 in.
x
F = − 160.0 lb
x
F = −
30 in.
200 lb
50.0 in.
y
F = − 120.0 lb
y
F = −
Copyright © McGraw-Hill Education. Permission required for reproduction or display.
www.elsolucionario.org
SOLUT
(a) Fo
S
(b) Si
TION
or R to be ver
et
ince R is to be
rtical, we must
e vertical:
PROBLEM
A hoist troll
α = 40°, det
resultant of
magnitude o
x
R = Σ
1
x
R P
= −
y
R = F
Σ
410.
y
R =
t have 0.
x
R =
0
x
R = in E
0 17
177.86
P
P
= −
=
=
R
M 2.129
ley is subjecte
ermine (a) th
the three forc
f the resultant
(20
x
F P
Σ = +
177.860 lb
(200 lb)c
y
F =
32 lb
.
Eq. (1)
77.860 lb
60 lb
410 lb
= =
y
R
ed to the three
he required ma
ces is to be v
t.
0 lb)sin 40° −
cos40 (400
° +
e forces show
agnitude of th
vertical, (b) th
(400 lb)cos4
lb)sin40°
wn. Knowing t
he force P if
he correspondi
40°
177.9 lb
P =
410 lb
R =
that
the
ing
(1)
(2)
Copyright © McGraw-Hill Education. Permission required for reproduction or display.
www.elsolucionario.org
SOLUT
Law of s
(a)
(b)
TION
Free
sines:
PRO
Know
along
cable
e-Body Diagra
sin
F
OBLEM 2.1
wing that α =
g line AC, dete
BC.
am
n 35 sin 50
AC BC
F T
=
°
300 lb
sin 95
AC
F =
300 lb
sin 95
BC
T =
30
55° and that
ermine (a) the
300 lb
0 sin 95
=
° °
b
sin 35
5
°
°
b
sin 50
5
°
°
boom AC ex
e magnitude o
Force Triang
erts on pin C
of that force, (
gle
F
a force direc
(b) the tension
172.7 lb
AC
F =
231 lb
BC
T =
ted
n in
Copyright © McGraw-Hill Education. Permission required for reproduction or display.
www.elsolucionario.org
SOLUT
(a)
(b)
TION
0:
x
Σ = −
F
0:
1
y
Σ =
F
T
PR
Two
Kno
AC,
Fr
12 4
(3
13 5
AC
T
− +
5
(312 N)
13
T
+
480 N
BC
T = −
ROBLEM 2.
o cables are
owing that P =
(b) in cable B
ee Body: C
360 N) 0
=
3
(360 N
5
BC
T +
120 N 216 N
−
131
tied together
360 N,
= determ
BC.
N) 480 N 0
− =
N
at C and lo
mine the tens
0
T
oaded as show
sion (a) in ca
312 N
AC
T =
144.0 N
BC
T =
wn.
able
Copyright © McGraw-Hill Education. Permission required for reproduction or display.
www.elsolucionario.org
SOLUT
Force tri
(a)
S
(b)
TION
iangle is isosc
ince 0,
P > th
Free-Body D
celes with
he solution is c
PROB
Two cab
the max
determin
applied a
Diagram: C
2 18
4
β
β
=
=
2
P =
correct.
1
α =
LEM 2.132
bles tied togeth
ximum allow
ne (a) the ma
at C, (b) the co
80 85
7.5
° − °
°
2(800 N)cos 47
80 50 47
° − ° −
2
her at C are lo
wable tension
agnitude of th
orresponding
7.5° 1081 N
=
7.5 82.5
° = °
oaded as show
n in each ca
he largest forc
value of α.
Force Trian
wn. Knowing t
able is 800
ce P that can
ngle
1081 N
P =
82.5
α = °
that
N,
be
Copyright © McGraw-Hill Education. Permission required for reproduction or display.
www.elsolucionario.org
PROBLEM 2.133
The end of the coaxial cable AE is attached to the pole AB,
which is strengthened by the guy wires AC and AD. Knowing
that the tension in wire AC is 120 lb, determine (a) the
components of the force exerted by this wire on the pole, (b)
the angles θx, θy, and θz that the force forms with the
coordinate axes.
SOLUTION
(a) (120 lb)cos 60 cos 20
x
F = ° °
56.382 lb
x
F = 56.4 lb
x
F = +
(120 lb)sin 60
103.923 lb
y
y
F
F
= − °
= − 103.9 lb
y
F = −
(120 lb)cos 60 sin 20
20.521 lb
z
z
F
F
= − ° °
= − 20.5 lb
z
F = −
(b)
56.382 lb
cos
120 lb
x
x
F
F
θ = = 62.0
x
θ = °
103.923 lb
cos
120 lb
y
y
F
F
θ
−
= = 150.0
y
θ = °
20.52 lb
cos
120 lb
z
z
F
F
θ
−
= = 99.8
z
θ = °
Copyright © McGraw-Hill Education. Permission required for reproduction or display.
www.elsolucionario.org
PROBLEM 2.134
Knowing that the tension in cable AC is 2130 N, determine
the components of the force exerted on the plate at C.
SOLUTION
2 2 2
(900 mm) (600 mm) (920 mm)
(900 mm) (600 mm) (920 mm)
1420 mm
2130 N
[ (900 mm) (600 mm) (920 mm) ]
1420 mm
(1350 N) (900 N) (1380 N)
CA CA CA
CA
CA
CA
CA
T
CA
T
CA
= − + −
= + +
=
=
=
= − + −
= − + −
i j k
T λ
T i j k
i j k
JJJ
G
JJJ
G
( ) 1350 N, ( ) 900 N, ( ) 1380 N
CA x CA y CA z
T T T
= − = = −
Copyright © McGraw-Hill Education. Permission required for reproduction or display.
www.elsolucionario.org
PROBLEM 2.135
Find the magnitude and direction of the resultant of the two forces
shown knowing that P = 600 N and Q = 450 N.
SOLUTION
(600 N)[sin 40 sin 25 cos40 sin 40 cos25 ]
(162.992 N) (459.63 N) (349.54 N)
(450 N)[cos55 cos30 sin55 cos55 sin30 ]
(223.53 N) (368.62 N) (129.055 N)
(386.52 N) (828.25 N) (220.49 N)
(3
R
= ° ° + ° + ° °
= + +
= ° ° + ° − ° °
= + −
= +
= + +
=
P i j k
i j k
Q i j k
i j k
R P Q
i j k
2 2 2
86.52 N) (828.25 N) (220.49 N)
940.22 N
+ +
= 940 N
R =
386.52 N
cos
940.22 N
x
x
R
R
θ = = 65.7
x
θ = °
828.25 N
cos
940.22 N
y
y
R
R
θ = = 28.2
y
θ = °
220.49 N
cos
940.22 N
z
z
R
R
θ = = 76.4
z
θ = °
Copyright © McGraw-Hill Education. Permission required for reproduction or display.
www.elsolucionario.org
SOLUT
Setting
TION
coefficients of
( 13
13
45
AB AB
T
AB
T
AB
T
T
=
=
−
=
⎛
= −
⎜
⎝
T λ
JJJ
K
( 15
15
49
0:
AC AC
AB
T
AC
T
AC
T
T
F
=
=
−
=
⎛
= −
⎜
⎝
Σ =
T λ
T
JJJK
f i, j, k equal t
13
:
45
T
− −
i
40
:
45
T
+ +
j
16
:
45
T
+ −
k
0 mm) (400
450
3 40 16
5 45 45
+
+ +
i
i j
0 mm) (400
49
5 40 24
9 49 49
B AC
+
+ −
+ + +
i
i j
T Q
to zero:
15
0
49
T P
− + =
40
0
49
T W
− =
24
0
49
T Q
− + =
PROBLE
A containe
Cable BAC
fixed supp
Q Q
= k a
container i
376 N,
=
the same in
0 mm) (160
0 mm
+
⎞
⎟
⎠
j
k
0 mm) ( 24
90 mm
0
+ −
⎞
⎟
⎠
+ + =
j
k
P W
0.595
1.705
0 0.13424
EM 2.136
er of weight
C passes throu
ports at B and
are applied t
in the positio
determine P
n both portions
0 mm)k
40 mm)k
01T P
=
21T W
=
40T Q
=
W is suspend
ugh the ring an
d C. Two for
to the ring t
on shown. K
and Q. (Hint
s of cable BAC
Free-Bod
ded from ring
nd is attached
rces P
=
P i a
to maintain
Knowing that
t: The tension
C.)
dy A:
A.
d to
and
the
W
n is
(1)
(2)
(3)
Copyright © McGraw-Hill Education. Permission required for reproduction or display.
www.elsolucionario.org
PROBLEM 2.136 (Continued)
Data: 376 N 1.70521 376 N 220.50 N
W T T
= = =
0.59501(220.50 N) P
= 131.2 N
P =
0.134240(220.50 N) Q
= 29.6 N
Q =
Copyright © McGraw-Hill Education. Permission required for reproduction or display.
www.elsolucionario.org
SOLUT
A:
Collar A
Substitu
Collar B
Substitu
(a)
Fr
(b) F
TION
A:
ute for AB
λ an
B:
ute for AB
λ and
rom Eq. (2):
From Eq. (1):
A
λ
Σ
nd set coefficie
0: (6
Σ =
F
d set coefficien
9 in.
x =
PROB
Collars A
freely on
B as sh
9 in.
x =
required
Free-Body D
B
AB x
AB
−
= =
i
JJJ
G
0: P N
Σ = +
F i
ent of i equal t
60 lb) x
N′
+ +
k i
nt of k equal to
60 lb
2
T
−
2
(9 in.) +
60 lb
25
A
T
−
(125
P =
LEM 2.137
A and B are co
n frictionless
hown, determ
., (b) the co
d to maintain th
Diagrams of C
B
(20 in.)
25 in.
z
− +
i j
y z
N N T
+ +
j k
to zero:
25 in
AB
T x
P −
y AB AB
N T
′
+ −
j λ
o zero:
0
5 in.
AB
T z
=
2 2
(20 in.) z
z
+
(12 in.)
in.
AB
5.0 lb)(9 in.)
25 in.
7
onnected by a
rods. If a 60-l
mine (a) the
orresponding
he equilibrium
Collars:
B:
zk
0
AB AB
T =
λ
0
.
=
0
B =
2
(25 in.)
12 in.
z
=
=
25-in.-long w
lb force Q is
tension in
magnitude o
m of the system
T
wire and can sl
applied to col
the wire wh
of the force
m.
125.0 lb
AB
T =
45.0 lb
P =
ide
llar
hen
P
(1)
(2)
Copyright © McGraw-Hill Education. Permission required for reproduction or display.
www.elsolucionario.org
PROBLEM 2.138
Collars A and B are connected by a 25-in.-long wire and can slide
freely on frictionless rods. Determine the distances x and z for
which the equilibrium of the system is maintained when
120 lb
P = and 60 lb.
Q =
SOLUTION
See Problem 2.137 for the diagrams and analysis leading to Equations (1) and (2) below:
0
25 in.
AB
T x
P = = (1)
60 lb 0
25 in.
AB
T z
− = (2)
For 120 lb,
P = Eq. (1) yields (25 in.)(20 lb)
AB
T x = (1′)
From Eq. (2): (25 in.)(60 lb)
AB
T z = (2′)
Dividing Eq. (1′) by (2′), 2
x
z
= (3)
Now write 2 2 2 2
(20 in.) (25 in.)
x z
+ + = (4)
Solving (3) and (4) simultaneously,
2 2
2
4 400 625
45
6.7082 in.
z z
z
z
+ + =
=
=
From Eq. (3): 2 2(6.7082 in.)
13.4164 in.
x z
= =
=
13.42 in., 6.71 in.
x z
= =
Copyright © McGraw-Hill Education. Permission required for reproduction or display.
www.elsolucionario.org
PROBLEM 2F1
Two cables are tied together at C and loaded as shown.
Draw the free-body diagram needed to determine the
tension in AC and BC.
SOLUTION
Free-Body Diagram of Point C:
2
3
(1600 kg)(9.81 m/s )
15.6960(10 ) N
=15.696 kN
W
W
W
=
=
Copyright © McGraw-Hill Education. Permission required for reproduction or display.
www.elsolucionario.org
PROBLEM 2.F2
Two forces of magnitude TA = 8 kips and TB = 15 kips are
applied as shown to a welded connection. Knowing that the
connection is in equilibrium, draw the free-body diagram
needed to determine the magnitudes of the forces TC
and TD.
SOLUTION
Free-Body Diagram of Point E:
Copyright © McGraw-Hill Education. Permission required for reproduction or display.
www.elsolucionario.org
PROBLEM 2.F3
The 60-lb collar A can slide on a frictionless vertical rod and is connected
as shown to a 65-lb counterweight C. Draw the free-body diagram needed
to determine the value of h for which the system is in equilibrium.
SOLUTION
Free-Body Diagram of Point A:
Copyright © McGraw-Hill Education. Permission required for reproduction or display.
www.elsolucionario.org
SOLUT
Free-Bo
Free-Bo
TION
ody Diagram
ody Diagram
of Point B:
of Point C:
P
A
sh
N
dr
de
1
1
250 N
8
tan
1
tan
2
E
AB
BC
W
θ
θ
−
−
=
=
=
Use this free
1 1
tan
CD
θ −
=
Use this free
Then weight
PROBLEM 2
A chairlift has
hown. Knowin
N and that the s
raw the free
etermine the w
765 N 101
8.25
30.510
14
10
22.620
24
+ =
= °
= °
body to determ
1.1
10.3889
6
= °
body to determ
of skier WS is
2.F4
been stopped
ng that each c
skier in chair E
e-body diagra
weight of the s
15 N
°
mine TAB and
mine TCD and
found by
S
W =
d in the positi
chair weighs 2
E weighs 765
ams needed
skier in chair F
TBC.
WF.
250 N
F
W
= −
ion
250
N,
to
F.
Copyright © McGraw-Hill Education. Permission required for reproduction or display.
www.elsolucionario.org
PROBLEM 2.F5
Three cables are used to tether a balloon as shown. Knowing that
the tension in cable AC is 444 N, draw the free-body diagram
needed to determine the vertical force P exerted by the balloon at
A.
SOLUTION
Free-Body Diagram of Point A:
Copyright © McGraw-Hill Education. Permission required for reproduction or display.
www.elsolucionario.org
PROBLEM 2.F6
A container of mass m = 120 kg is supported by three cables
as shown. Draw the free-body diagram needed to determine
the tension in each cable
SOLUTION
Free-Body Diagram of Point A:
2
(120 kg)(9.81 m/s )
1177.2 N
W =
=
Copyright © McGraw-Hill Education. Permission required for reproduction or display.
www.elsolucionario.org
PROBLEM 2.F7
A 150-lb cylinder is supported by two cables AC and BC that are
attached to the top of vertical posts. A horizontal force P, which
is perpendicular to the plane containing the posts, holds the
cylinder in the position shown. Draw the free-body diagram
needed to determine the magnitude of P and the force in each
cable.
SOLUTION
Free-Body Diagram of Point C:
Copyright © McGraw-Hill Education. Permission required for reproduction or display.
www.elsolucionario.org
PROBLEM 2.F8
A transmission tower is held by three guy wires attached
to a pin at A and anchored by bolts at B, C, and D.
Knowing that the tension in wire AB is 630 lb, draw the
free-body diagram needed to determine the vertical force
P exerted by the tower on the pin at A.
SOLUTION
Free-Body Diagram of point A:
Copyright © McGraw-Hill Education. Permission required for reproduction or display.
www.elsolucionario.org
CHAPTER 3
www.elsolucionario.org
www.elsolucionario.org
Copyright © McGraw-Hill Education. Permission required for reproduction or display.
PROBLEM 3.1
A crate of mass 80 kg is held in the position shown. Determine
(a) the moment produced by the weight W of the crate about E,
(b) the smallest force applied at B that creates a moment of equal
magnitude and opposite sense about E.
SOLUTION
(a) By definition,
2
80 kg(9.81m/s ) 784.8 N
W mg
  
We have : (784.8 N)(0.25 m)
E E
M M
 
196.2 N m
E  
M 
(b) For the force at B to be the smallest, resulting in a moment (ME) about E, the line of action of force
FB must be perpendicular to the line connecting E to B. The sense of FB must be such that the force
produces a counterclockwise moment about E.
Note: 2 2
(0.85 m) (0.5 m) 0.98615 m
d   
We have : 196.2 N m (0.98615 m)
E B
M F
  
198.954 N
B
F 
and 1 0.85 m
tan 59.534
0.5 m
   
  
 
 
or 199.0 N
B 
F 59.5° 
www.elsolucionario.org
Copyright © McGraw-Hill Education. Permission required for reproduction or display.
PROBLEM 3.2
A crate of mass 80 kg is held in the position shown. Determine
(a) the moment produced by the weight W of the crate about E,
(b) the smallest force applied at A that creates a moment of equal
magnitude and opposite sense about E, (c) the magnitude, sense,
and point of application on the bottom of the crate of the smallest
vertical force that creates a moment of equal magnitude and
opposite sense about E.
SOLUTION
First note. . .
2
mg (80 kg)(9.81m/s ) 784.8 N
W   
(a) We have / (0.25 m)(784.8 N) 196.2 N m
E H E
M r W
    or 196.2 N m
E  
M 
(b) For FA to be minimum, it must be perpendicular to the line
joining Points A and E. Then with FA directed as shown,
we have / min
( ) ( ) .
E A E A
M r F
 
Where 2 2
/ (0.35 m) (0.5 m) 0.61033 m
A E
r   
then min
196.2 N m (0.61033 m)( )
A
F
 
or min
( ) 321 N
A
F 
Also
0.35 m
tan
0.5 m
  or 35.0
   min
( ) 321 N
A 
F 35.0° 
(c) For Fvertical to be minimum, the perpendicular distance from its line of action to Point E must be
maximum. Thus, apply (Fvertical)min at Point D, and then
/ min
min
( ) ( )
196.2 N m (0.85 m)( )
E D E vertical
vertical
M r F
F
 
  or min
( ) 231 N
vertical 
F at Point D 
www.elsolucionario.org
Copyright © McGraw-Hill Education. Permission required for reproduction or display.
PROBLEM 3.3
It is known that a vertical force of 200 lb is required to remove the
nail at C from the board. As the nail first starts moving, determine
(a) the moment about B of the force exerted on the nail, (b) the
magnitude of the force P that creates the same moment about B if
α  10°, (c) the smallest force P that creates the same moment
about B.
SOLUTION
(a) We have /
(4 in.)(200 lb)
800 lb in.
B C B N
M r F


 
or 800 lb in.
B
M   
(b) By definition, / sin
10 (180 70 )
120
B A B
M r P 


     
 
Then 800 lb in. (18 in.) sin120
P
   
or 51.3 lb
P  
(c) For P to be minimum, it must be perpendicular to the line joining
Points A and B. Thus, P must be directed as shown.
Thus min
/
B
A B
M dP
d r


or min
800 lb in. (18 in.)P
 
or min 44.4 lb
P  min 44.4 lb

P 20° 
www.elsolucionario.org
Copyright © McGraw-Hill Education. Permission required for reproduction or display.
PROBLEM 3.4
A 300-N force is applied at A as shown. Determine
(a) the moment of the 300-N force about D, (b) the
smallest force applied at B that creates the same moment
about D.
SOLUTION
(a) (300 N)cos 25
271.89 N
(300 N)sin 25
126.785 N
(271.89 N) (126.785 N)
x
y
F
F
 

 

 
F i j
(0.1m) (0.2 m)
[ (0.1m) (0.2 m) ] [(271.89 N) (126.785 N) ]
(12.6785 N m) (54.378 N m)
(41.700 N m)
D
D
DA
   
 
    
    
 
r i j
M r F
M i j i j
k k
k


41.7 N m
D  
M 
(b) The smallest force Q at B must be perpendicular to
DB

at 45°
( )
41.700 N m (0.28284 m)
D Q DB
Q

 
M


147.4 N
Q  45.0° 
www.elsolucionario.org
Copyright © McGraw-Hill Education. Permission required for reproduction or display.
PROBLEM 3.5
A 300-N force is applied at A as shown. Determine
(a) the moment of the 300-N force about D, (b) the
magnitude and sense of the horizontal force applied at C
that creates the same moment about D, (c) the smallest
force applied at C that creates the same moment about D.
SOLUTION
(a) See Problem 3.3 for the figure and analysis leading to the determination of MD
41.7 N m
D  
M 
(b) Since C is horizontal C

C i
(0.2 m) (0.125 m)
(0.125 m)
41.7 N m (0.125 m)( )
333.60 N
D
DC
C C
C
C
  
  
 

r i j
M r i k

334 N
C  
(c) The smallest force C must be perpendicular to DC; thus, it forms  with the vertical
2 2
0.125 m
tan
0.2 m
32.0
( ); (0.2 m) (0.125 m)
0.23585 m
D C DC DC



 
  

M
41.70 N m (0.23585 m)
C
  176.8 N

C 58.0° 
www.elsolucionario.org
Copyright © McGraw-Hill Education. Permission required for reproduction or display.
PROBLEM 3.6
A 20-lb force is applied to the control rod AB as shown. Knowing that the length of
the rod is 9 in. and that α  25°, determine the moment of the force about Point B by
resolving the force into horizontal and vertical components.
SOLUTION
Free-Body Diagram of Rod AB:
(9 in.)cos65
3.8036 in.
(9 in.)sin 65
8.1568 in.
x
y
 

 

(20 lb cos25 ) ( 20 lb sin 25 )
(18.1262 lb) (8.4524 lb)
x y
F F
 
    
 
F i j
i j
i j
/ ( 3.8036 in.) (8.1568 in.)
A B BA
   
r i j


/
( 3.8036 8.1568 ) (18.1262 8.4524 )
32.150 147.852
115.702 lb-in.
B A B
 
    
 
 
M r F
i j i j
k k
115.7 lb-in.
B 
M 
www.elsolucionario.org
Copyright © McGraw-Hill Education. Permission required for reproduction or display.
PROBLEM 3.7
A 20-lb force is applied to the control rod AB as shown. Knowing that the length of
the rod is 9 in. and that α  25°, determine the moment of the force about Point B
by resolving the force into components along AB and in a direction perpendicular
to AB.
SOLUTION
Free-Body Diagram of Rod AB:
90 (65 25 )
50
      
 
(20 lb)cos50
12.8558 lb
(9 in.)
(12.8558 lb)(9 in.)
115.702 lb-in.
B
Q
M Q
 



 115.7 lb-in.
B 
M 
www.elsolucionario.org
Copyright © McGraw-Hill Education. Permission required for reproduction or display.
PROBLEM 3.8
A 20-lb force is applied to the control rod AB as shown. Knowing that the length
of the rod is 9 in. and that the moment of the force about B is 120 lb·in. clockwise,
determine the value of α.
SOLUTION
Free-Body Diagram of Rod AB:
25
 
  
(20 lb)cos
Q 

and ( )(9 in.)
B
M Q

Therefore, 120 lb-in. (20 lb)(cos )(9 in.)
120 lb-in.
cos
180 lb-in.




or 48.190
  
Therefore, 48.190 25
     23.2
   
www.elsolucionario.org
Copyright © McGraw-Hill Education. Permission required for reproduction or display.
PROBLEM 3.9
Rod AB is held in place by the cord AC. Knowing that the tension in
the cord is 1350 N and that c = 360 mm, determine the moment about
B of the force exerted by the cord at point A by resolving that force
into horizontal and vertical components applied (a) at point A, (b) at
point C.
SOLUTION
Free-Body Diagram of Rod AB:
(a) 2 2
1350 N (450) (600) 750 mm
F AC
   
450 600
cos 0.6 sin 0.8
750 750
 
   
cos sin
(1350 N)0.6 (1350 N)0.8
(810 N) (1080N)
F F
 

 
 
F i + j
i j
i j


/
(0.45 m) (0.24 m)
A B
  
r i j

/
( 0.45 0.24 ) (810 1080 )
B A B
      
M r F i j i j

  

486 194.4
  
k k
(291.6 N m)
   k 292 N m
B  
M 
(b) (810 N) (1080 N)
 
F i j
/
(0.36 m)
C B

r j
/ 0.36 (810 1080 )
(291.6 N m)
B C B
    
  
M r F j i j
k
292 N m
B  
M 
www.elsolucionario.org
Copyright © McGraw-Hill Education. Permission required for reproduction or display.
PROBLEM 3.10
Rod AB is held in place by the cord AC. Knowing that c = 840 mm
and that the moment about B of the force exerted by the cord at point
A is 756 N·m, determine the tension in the cord.
SOLUTION
Free-Body Diagram of Rod AB:
2 2
(756 N m ) (450) (1080) 1170 mm
B AC
     
M k
450 1080
cos sin
1170 1170
 
 
cos sin
450 1080
1170 1170
F F
F F
 

 
F i + j
i j


/
(0.45 m) (0.24 m)
A B
  
r i j

/
( 0.45 0.24 ) (450 1080 )
1170
B A B
F
      
M r F i j i j

  

( 486 108 )
1170
F
  
k k
378
1170
F
 
 
 
 
k Substituting for :
B
M
378
756
1170
F
   2340 N
F  
www.elsolucionario.org
Copyright © McGraw-Hill Education. Permission required for reproduction or display.
PROBLEM 3.11
The tailgate of a car is supported by the hydraulic lift BC. If
the lift exerts a 125-lb force directed along its centerline on
the ball and socket at B, determine the moment of the force
about A.
SOLUTION
First note 2 2
(12.0 in.) (2.33 in.)
12.2241in.
CB
d  

Then
12.0 in.
cos
12.2241in.
2.33 in.
sin
12.2241in.




and cos sin
125 lb
[(12.0 in.) (2.33 in.) ]
12.2241in.
CB CB CB
F F
 
 
 
F i j
i j
Now /
A B A CB
 
M r F
where / (15.3 in.) (12.0 in. 2.33 in.)
(15.3 in.) (14.33 in.)
B A   
 
r i j
i j
Then
125 lb
[(15.3 in.) (14.33 in.) ] (12.0 2.33 )
12.2241in.
(1393.87 lb in.)
A    
 
M i j i j
k
(116.156 lb ft)
  k or 116.2 lb ft
A  
M 
www.elsolucionario.org
Copyright © McGraw-Hill Education. Permission required for reproduction or display.
PROBLEM 3.12
The tailgate of a car is supported by the hydraulic lift BC. If
the lift exerts a 125-lb force directed along its centerline on
the ball and socket at B, determine the moment of the force
about A.
SOLUTION
First note 2 2
(17.2 in.) (7.62 in.)
18.8123 in.
CB
d  

Then
17.2 in.
cos
18.8123 in.
7.62 in.
sin
18.8123 in.




and ( cos ) ( sin )
125 lb
[(17.2 in.) (7.62 in.) ]
18.8123 in.
CB CB CB
F F
 
 
 
F i j
i j
Now /
A B A CB
 
M r F
where / (20.5 in.) (4.38 in.)
B A  
r i j
Then
125 lb
[(20.5 in.) (4.38 in.) ] (17.2 7.62 )
18.8123 in.
A    
M i j i j
(1538.53 lb in.)
(128.2 lb ft)
 
 
k
k or 128.2 lb ft
A  
M 
www.elsolucionario.org
Copyright © McGraw-Hill Education. Permission required for reproduction or display.
PROBLEM 3.13
It is known that the connecting rod AB exerts on the crank BC a 2.5-kN force
directed down and to the left along the centerline of AB. Determine the moment of
the force about C.
SOLUTION
Using (a):
1 1
( ) ( )
7 24
(0.056 m) 2500 N (0.042 m) 2500 N
25 25
140.0 N m
C AB x AB y
M y F x F
 
   
   
   
   
 
(a)
140.0 N m
C  
M 
Using (b):
2 ( )
7
(0.2 m) 2500 N
25
140.0 N m
C AB x
M y F

 
 
 
 
 
(b)
140.0 N m
C  
M 
www.elsolucionario.org
Copyright © McGraw-Hill Education. Permission required for reproduction or display.
PROBLEM 3.14
It is known that the connecting rod AB exerts on the crank BC a 2.5-kN force
directed down and to the left along the centerline of AB. Determine the moment of
the force about C.
SOLUTION
Using (a):
1 1
( ) ( )
7 24
(0.056 m) 2500 N (0.042 m) 2500 N
25 25
61.6 N m
C AB x AB y
M y F x F
  
   
    
   
   
  
(a)
61.6 N m
C  
M 
Using (b):
2 ( )
7
(0.088 m) 2500 N
25
61.6 N m
C AB x
M y F

 
 
 
 
  
(b)
61.6 N m
C  
M 
www.elsolucionario.org
Copyright © McGraw-Hill Education. Permission required for reproduction or display.
PROBLEM 3.15
Form the vector products B × C and B × C, where B  B, and use the
results obtained to prove the identity
1 1
sin cos sin ( ) sin ( ).
2 2
     
   
SOLUTION
Note: (cos sin )
(cos sin )
(cos sin )
B
B
C
 
 
 
 
  
 
B i j
B i j
C i j
By definition, | | sin ( )
BC  
  
B C (1)
| | sin ( )
BC  
  
B C (2)
Now (cos sin ) (cos sin )
B C
   
    
B C i j i j
(cos sin sin cos )
BC    
  k (3)
and (cos sin ) (cos sin )
B C
   
    
B C i j i j
(cos sin sin cos )
BC    
  k (4)
Equating the magnitudes of 
B C from Equations (1) and (3) yields:
sin( ) (cos sin sin cos )
BC BC
     
   (5)
Similarly, equating the magnitudes of 
B C from Equations (2) and (4) yields:
sin( ) (cos sin sin cos )
BC BC
     
   (6)
Adding Equations (5) and (6) gives:
sin( ) sin( ) 2cos sin
     
   
or
1 1
sin cos sin( ) sin( )
2 2
     
    
www.elsolucionario.org
Copyright © McGraw-Hill Education. Permission required for reproduction or display.
PROBLEM 3.16
The vectors P and Q are two adjacent sides of a parallelogram. Determine the area of the parallelogram
when (a) P = –8i + 4j – 4k and Q = 3i + 3j + 6k, (b) P = 7i – 6j – 3k and Q = –3i + 6j – 2k
SOLUTION
(a) We have | |
A  
P Q
where 8 4 4
   
P i j k
3 3 6
  
Q i j k
Then 8 4 4
3 3 6
[(24 12) ( 12 48) ( 24 12) ]
(36) (36) ( 36)
   
       
   
i j k
P Q
i j k
i j k
2 2 2
(36) (36) ( 36)
A     or 62.4
A  
(b) We have | |
A  
P Q
where 7 6 3
  
P i j k
3 6 2
   
Q i j k
Then 7 6 3
3 6 2
[(12 18) (9 14) (42 18) ]
(30) (23) (24)
   
 
     
  
i j k
P Q
i j k
i j k
2 2 2
(30) (23) (24)
A    or 44.8
A  
www.elsolucionario.org
Copyright © McGraw-Hill Education. Permission required for reproduction or display.
PROBLEM 3.17
A plane contains the vectors A and B. Determine the unit vector normal to the plane when A and B are
equal to, respectively, (a) 2i + 3j – 6k and 5i – 8j – 6k,
(b) 4i – 4j + 3k and –3i + 7j – 5k.
SOLUTION
(a) We have
| |



A B
λ
A B
where 2 3 6
  
A i j k
5 8 6
  
B i j k
Then 2 3 6
5 8 6
( 18 15) ( 30 12) ( 16 15)
( 33 18 31 )
  
 
        
   
i j k
A B
i j k
i j k
and 2 2 2
| | ( 33) ( 18) ( 31) 2374
       
A B
( 33 18 31 )
2374
  

i j k
λ or 0.677 0.369 0.636
   
λ i j k 
(b) We have
| |



A B
λ
A B
where 4 4 3
  
A i j k
3 7 5
   
B i j k
Then 4 4 3
3 7 5
(20 21) ( 9 20) (28 12)
( 11 16 )
  
 
      
   
i j k
A B
i j k
i j k
and 2 2
| | ( 1) (11) (16) 378
     
A B
( 11 16 )
378
  

i j k
λ or 0.0514 0.566 0.823
   
λ i j k 
www.elsolucionario.org
Copyright © McGraw-Hill Education. Permission required for reproduction or display.
PROBLEM 3.18
A line passes through the points (12 m, 8 m) and (–3 m, –5 m). Determine the perpendicular distance d from
the line to the origin O of the system of coordinates.
SOLUTION
2 2
[12 m ( 3 m)] [8 m ( 5 m)]
394 m
AB
d      

Assume that a force F, or magnitude F(N), acts at Point A and is
directed from A to B.
Then AB
F

F 
where
1
(15 13 )
394
B A
AB
AB
d


 
r r
i j

By definition, | |
O A dF
  
M r F
where ( 3 m) ( 5 m)
A   
r i + j
Then [( 3 m) ( 5 m) ] [(15 m) (13 m) ]
394m
[ 39 75 ] N m
394
36
N m
394
O
F
F
F
    
   
 
 
 
 
M i + j i j
k k
k
Finally,
36
( )
394
F d F
 

 
 
36
m
394
d  1.184 m
d  
www.elsolucionario.org
Copyright © McGraw-Hill Education. Permission required for reproduction or display.
PROBLEM 3.19
Determine the moment about the origin O of the force F  4i  3j  5k that acts at a Point A. Assume that
the position vector of A is (a) r  2i  3j  4k, (b) r  8i  6j  10k, (c) r  8i  6j  5k.
SOLUTION
O  
M r F
(a) 2 3 4
4 3 5
O  

i j k
M
(15 12) ( 16 10) ( 6 12)
       
i j k 3 26 18
O   
M i j k 
(b) 8 6 10
4 3 5
O   

i j k
M
(30 30) ( 40 40) (24 24)
      
i j k 0
O 
M 
(c) 8 6 5
4 3 5
O  

i j k
M
( 30 15) (20 40) ( 24 24)
       
i j k 15 20
O   
M i j 
Note: The answer to Part (b) could have been anticipated since the elements of the last two rows of the
determinant are proportional.
www.elsolucionario.org
Copyright © McGraw-Hill Education. Permission required for reproduction or display.
PROBLEM 3.20
Determine the moment about the origin O of the force F  2i  3j  4k that acts at a Point A. Assume that
the position vector of A is (a) r  3i  6j  5k, (b) r  i  4j  2k, (c) r  4i  6j  8k.
SOLUTION
O  
M r F
(a) 3 6 5
2 3 4
O  

i j k
M
(24 15) (10 12) (9 12)
     
i j k 9 22 21
O   
M i j k 
(b) 1 4 2
2 3 4
O   

i j k
M
(16 6) ( 4 4) (3 8)
      
i j k 22 11
O  
M i k 
(c) 4 6 8
2 3 4
O  

i j k
M
( 24 24) ( 16 16) (12 12)
       
i j k 0
O 
M 
Note: The answer to Part (c) could have been anticipated since the elements of the last two rows of the
determinant are proportional.
www.elsolucionario.org
Copyright © McGraw-Hill Education. Permission required for reproduction or display.
PROBLEM 3.21
Before the trunk of a large tree is felled, cables AB and BC are
attached as shown. Knowing that the tensions in cables AB
and BC are 555 N and 660 N, respectively, determine the
moment about O of the resultant force exerted on the tree by
the cables at B.
SOLUTION 2 2 2
2 2 2
( 0.75 m) ( 7 m) (6 m) 9.25 m
(4.25 m) ( 7 m) (1 m) 8.25 m
BA
BC
d
d
     
    
Have A A
A
555 N
( 0.75 m 7 m 6 m )
9.25 m
B B
B
BA
T
d
    
T i j k


(45 N) (420 N) (360 N)
BA    
T i j k
660 N
(4.25 m 7 m )
8.25 m
BC BC
BC
BC
T
d
   
T i j k


(340 N) (540 N) (80 N)
BC   
T i j k
BA BC
 
R T T
     
295 N 980 N 440 N
   
R i j k
/ /
where (7 m)
O B O B O
  
M r R r j
0 7 0 N m
295 980 440
O  

i j k
M
   
3080 N m 2065 N m
   
i k
   
3080 N m 2070 N m
O    
M i k 
www.elsolucionario.org
Copyright © McGraw-Hill Education. Permission required for reproduction or display.
PROBLEM 3.22
The 12-ft boom AB has a fixed end A. A steel cable is stretched from
the free end B of the boom to a point C located on the vertical wall. If
the tension in the cable is 380 lb, determine the moment about A of the
force exerted by the cable at B.
SOLUTION
First note 2 2 2
( 12) (4.8) ( 8)
15.2 ft
BC
d     

Then
380 lb
( 12 4.8 8 )
15.2
BC    
T i j k
We have /
A B A BC
 
M r T
where / (12 ft)
B A 
r i
Then
380 lb
(12 ft) ( 12 4.8 8 )
15.2
A     
M i i j k
or (2400 lb ft) (1440 lb ft)
A    
M j k 
www.elsolucionario.org
Copyright © McGraw-Hill Education. Permission required for reproduction or display.
PROBLEM 3.23
A 200-N force is applied as shown to the bracket ABC.
Determine the moment of the force about A.
SOLUTION
We have /
A C A C
 
M r F
where / (0.06 m) (0.075 m)
(200 N)cos 30 (200 N)sin 30
C A
C
 
    
r i j
F j k
Then 200 0.06 0.075 0
0 cos30 sin 30
200[(0.075sin 30 ) (0.06sin 30 ) (0.06cos 30 ) ]
A 
  
     
i j k
M
i j k
or (7.50 N m) (6.00 N m) (10.39 N m)
A      
M i j k 
www.elsolucionario.org
Copyright © McGraw-Hill Education. Permission required for reproduction or display.
PROBLEM 3.24
The wire AE is stretched between the corners A and E of a
bent plate. Knowing that the tension in the wire is 435 N,
determine the moment about O of the force exerted by the
wire (a) on corner A, (b) on corner E.
SOLUTION
2 2 2
(0.21 m) (0.16 m) (0.12 m)
(0.21 m) ( 0.16 m) (0.12 m) 0.29 m
AE
AE
  
    
i j k


(a)
0.21 0.16 0.12
(435 N)
0.29
(315 N) (240 N) (180 N)
A A AE
AE
F F
AE
 
 

  
F
i j k
i j k



/ (0.09 m) (0.16 m)
A O   
r i j
0.09 0.16 0
315 240 180
O  

i j k
M
28.8 16.20 (21.6 50.4)
   
i j k (28.8 N m) (16.20 N m) (28.8 N m)
O      
M i j k 
(b) (315 N) (240 N) (180 N)
E A
     
F F i j k
/ (0.12 m) (0.12 m)
E O  
r i k
0.12 0 0.12
315 240 180
O 
 
i j k
M
28.8 ( 37.8 21.6) 28.8
     
i j k (28.8 N m) (16.20 N m) (28.8 N m)
O       
M i j k 
www.elsolucionario.org
Copyright © McGraw-Hill Education. Permission required for reproduction or display.
PROBLEM 3.25
A 6-ft-long fishing rod AB is securely anchored in the sand of a beach. After a fish takes the bait, the
resulting force in the line is 6 lb. Determine the moment about A of the force exerted by the line at B.
SOLUTION
We have (6 lb)cos 8 5.9416 lb
xz
T   
Then sin 30 2.9708 lb
sin 8 0.83504 lb
cos 30 5.1456 lb
x xz
y BC
z xz
T T
T T
T T
  
   
   
Now /
A B A BC
 
M r T
where / (6sin 45 ) (6cos 45 )
6 ft
( )
2
B A    
 
r j k
j k
Then
6
0 1 1
2
2.9708 0.83504 5.1456
6 6 6
( 5.1456 0.83504) (2.9708) (2.9708)
2 2 2
A  
 
    
i j k
M
i j k
or (25.4 lb ft) (12.60 lb ft) (12.60 lb ft)
A       
M i j k 
www.elsolucionario.org
Copyright © McGraw-Hill Education. Permission required for reproduction or display.
PROBLEM 3.26
A precast concrete wall section is temporarily held by two
cables as shown. Knowing that the tension in cable BD is 900
N, determine the moment about Point O of the force exerted by
the cable at B.
SOLUTION
where 900 N
BD
F F
BD
 
F


2 2 2
(1 m) (2 m) (2 m)
( 1 m) ( 2 m) (2 m)
3 m
BD
BD
   
    

i j k


/
2 2
(900 N)
3
(300 N) (600 N) (600 N)
(2.5 m) (2 m)
B O
  

   
 
i j k
F
i j k
r i j
/
O B O
 
M r F
2.5 2 0
300 600 600
1200 1500 ( 1500 600)

 
    
i j k
i j k
(1200 N m) (1500 N m) (900 N m)
O      
M i j k 
www.elsolucionario.org
Copyright © McGraw-Hill Education. Permission required for reproduction or display.
PROBLEM 3.27
In Prob. 3.22, determine the perpendicular distance from point A to
cable BC.
PROBLEM 3.22 The 12-ft boom AB has a fixed end A. A steel cable
is stretched from the free end B of the boom to a point C located on
the vertical wall. If the tension in the cable is 380 lb, determine the
moment about A of the force exerted by the cable at B.
SOLUTION
From the solution to problem 3.22 2 2
(2400) (1440)
2798.9 lb ft
A
M  
 
But A B
M F d
 
A
B
M
d
F

2798.9 lb ft
380 lb
d


or 7.37 ft
d  
www.elsolucionario.org
Copyright © McGraw-Hill Education. Permission required for reproduction or display.
PROBLEM 3.28
In Prob. 3.24, determine the perpendicular distance from point
O to wire AE.
PROBLEM 3.24 The wire AE is stretched between the
corners A and E of a bent plate. Knowing that the tension in
the wire is 435 N, determine the moment about O of the force
exerted by the wire (a) on corner A, (b) on corner E.
SOLUTION
From the solution to Prob. 3.24
2 2 2
(28.8 N m) (16.20 N m) (28.8 N m)
(28.8) (16.20) (28.8)
43.8329 N m
O
O
M
     
  
 
M i j k
But or O
O A
A
M
M F d d
F
 
43.8329 N m
435 N
0.100765 m
d



100.8 mm
d  
www.elsolucionario.org
Copyright © McGraw-Hill Education. Permission required for reproduction or display.
PROBLEM 3.29
In Prob. 3.24, determine the perpendicular distance from point
B to wire AE.
PROBLEM 3.24 The wire AE is stretched between the
corners A and E of a bent plate. Knowing that the tension in
the wire is 435 N, determine the moment about O of the force
exerted by the wire (a) on corner A, (b) on corner E.
SOLUTION
From the solution to Prob. 3.24
/
/
(315 N) (240 N) (180 N)
(0.210 m)
0.21 (315 240 180 )
A
A B
B A B A
  
 
      
F i j k
r i
M r F i i j k
50.4 37.8
 
k j
2 2
(50.4) (37.8)
63.0 N m
B
M  
 
or B
B A
A
M
M F d d
F
 
63.0 N m
435 N
0.144829 m
d



144.8 mm
d  
www.elsolucionario.org
Copyright © McGraw-Hill Education. Permission required for reproduction or display.
PROBLEM 3.30
In Prob. 3.25, determine the perpendicular distance from point A to a line drawn through points B and C.
PROBLEM 3.25 A 6-ft-long fishing rod AB is securely anchored in the sand of a beach. After a fish
takes the bait, the resulting force in the line is 6 lb. Determine the moment about A of the force exerted by
the line at B.
SOLUTION
From the solution to Prob. 3.25:
2 2 2
(25.4 lb ft) (12.60 lb ft) (12.60 lb ft)
( 25.4) ( 12.60) ( 12.60)
31.027 lb ft
A
A
M
      
     
 
M i j k
or A
A BC
BC
M
M T d d
T
 
31.027 lb ft
6 lb
5.1712 ft



5.17 ft
d  
www.elsolucionario.org
Copyright © McGraw-Hill Education. Permission required for reproduction or display.
PROBLEM 3.31
In Prob. 3.25, determine the perpendicular distance from point D to a line drawn through points B and C.
PROBLEM 3.25 A 6-ft-long fishing rod AB is securely anchored in the sand of a beach. After a fish
takes the bait, the resulting force in the line is 6 lb. Determine the moment about A of the force exerted by
the line at B.
SOLUTION
6 ft
6 lb
BC
AB
T


We have | |
D BC
T d

M
where d  perpendicular distance from D to line BC.
/ / (6sin 45 ft) (4.2426 ft)
D B D BC B D
    
M r T r j
: ( ) (6 lb)cos8 sin 30 2.9708 lb
BC BC x
T    
T
( ) (6 lb)sin8 0.83504 lb
( ) (6 lb)cos8 cos30 5.1456 lb
BC y
BC z
T
T
    
     
(2.9708 lb) (0.83504 lb) (5.1456 lb)
0 4.2426 0
2.9708 0.83504 5.1456
(21.831 lb ft) (12.6039 lb ft)
BC
D
  

 
    
T i j k
i j k
M
i
2 2
| | ( 21.831) ( 12.6039) 25.208 lb ft
D
M      
25.208 lb ft (6 lb)d
  4.20 ft
d  
www.elsolucionario.org
Copyright © McGraw-Hill Education. Permission required for reproduction or display.
PROBLEM 3.32
In Prob. 3.26, determine the perpendicular distance from point
O to cable BD.
PROBLEM 3.26 A precast concrete wall section is
temporarily held by two cables as shown. Knowing that the
tension in cable BD is 900 N, determine the moment about
Point O of the force exerted by the cable at B.
SOLUTION
From the solution to Prob. 3.26 we have
2 2 2
(1200 N m) (1500 N m) (900 N m)
(1200) ( 1500) ( 900) 2121.3 N m
O
O
O
O
M
M
M Fd d
F
     
      
 
M i j k
2121.3 N m
900 N


2.36 m
d  
www.elsolucionario.org
Copyright © McGraw-Hill Education. Permission required for reproduction or display.
PROBLEM 3.33
In Prob. 3.26, determine the perpendicular distance from point C
to cable BD.
PROBLEM 3.26 A precast concrete wall section is
temporarily held by two cables as shown. Knowing that the
tension in cable BD is 900 N, determine the moment about
Point O of the force exerted by the cable at B.
SOLUTION
From the solution to Prob. 3.26 we have
/
/
(300 N) (600 N) (600 N)
(2 m)
(2 m) ( 300 N 600 N 600 N )
B C
C B C
   

      
F i j k
r j
M r F j i j k
(600 N m) (1200 N m)
   
k i
2 2
(600) (1200) 1341.64 N m
C
M    
C
C
M
M Fd d
F
 
1341.64 N m
900 N


1.491 m
d  
www.elsolucionario.org
Copyright © McGraw-Hill Education. Permission required for reproduction or display.
PROBLEM 3.34
Determine the value of a that minimizes the
perpendicular distance from Point C to a
section of pipeline that passes through Points
A and B.
SOLUTION
Assuming a force F acts along AB,
/
| | | | ( )
C A C F d
  
M r F
where d  perpendicular distance from C to line AB
2 2 2
/
(24 ft) (24 ft) (28 ft)
(24) (24) (28) ft
(6) (6) (7)
11
(3 ft) (10 ft) ( 10 ft)
3 10 10
11
6 6 7
[(10 6 ) (81 6 ) 78 ]
11
AB
A C
C
F
F
F
a
F
a
F
a a

 

 
  
   
 

    
F λ
i j k
i j k
r i j k
i j k
M
i j k
Since 2 2 2
/ /
| | | | or | | ( )
C A C A C dF
   
M r F r F
2 2 2 2
1
(10 6 ) (81 6 ) (78)
121
a a d
    
Setting 2
( ) 0
d
da
d  to find a to minimize d:
1
[2(6)(10 6 ) 2( 6)(81 6 )] 0
121
a a
    
Solving 5.92 ft
a  or 5.92 ft
a  
www.elsolucionario.org
Copyright © McGraw-Hill Education. Permission required for reproduction or display.
PROBLEM 3.35
Given the vectors P = 2i + 3j – k, Q = 5i – 4j + 3k, and S = –3i + 2j – 5k, compute the scalar products
P · Q, P · S, and Q · S.
SOLUTION
(2 3 ) (5 4 3 )
(2)(5) (3)( 4) ( 1)(3)
10 12 3
      
    
  
P Q i j k i j k
5
  
P Q 
(2 3 ) ( 3 2 5 )
(2)( 3) (3)(2) ( 1)( 5)
6 6 5
       
     
   
P S i j k i j k
5
  
P S 
(5 4 3 ) ( 3 2 5 )
(5)( 3) ( 4)(2) (3)( 5)
15 8 15
       
     
   
Q S i j k i j k
38
  
Q S 
www.elsolucionario.org
Copyright © McGraw-Hill Education. Permission required for reproduction or display.
PROBLEM 3.36
Form the scalar product B · C and use the result obtained to prove the
identity
cos (α  β)  cos α cos β  sin α sin β .
SOLUTION
cos sin
B B
 
 
B i j (1)
cos sin
C C
 
 
C i j (2)
By definition:
cos( )
BC  
  
B C (3)
From (1) and (2):
( cos sin ) ( cos sin )
(cos cos sin sin )
B B C C
BC
   
   
    
 
B C i j i j
(4)
Equating the right-hand members of (3) and (4),
cos( ) cos cos sin sin
     
   
www.elsolucionario.org
Copyright © McGraw-Hill Education. Permission required for reproduction or display.
PROBLEM 3.37
Three cables are used to support a container as shown.
Determine the angle formed by cables AB and AD.
SOLUTION
First note: 2 2
2 2 2
(450 mm) (600 mm)
750 mm
( 500 mm) (600 mm) (360 mm)
860 mm
AB
AD
 

   

and (450 mm) (600 mm)
( 500 mm) (600 mm) (360 mm)
AB
AD
 
   
i j
i j k



By definition, ( )( )cos
AB AD AB AD 
 

 
(450 600 ) ( 500 600 360 ) (750)(860)cos
     
i j i j k
(450)( 500) (600)(600) (0)(360) (750)(860)cos
   
or cos 0.20930
  77.9
   
www.elsolucionario.org
Copyright © McGraw-Hill Education. Permission required for reproduction or display.
PROBLEM 3.38
Three cables are used to support a container as shown.
Determine the angle formed by cables AC and AD.
SOLUTION
First note: 2 2
2 2 2
(600 mm) ( 320 mm)
680 mm
( 500 mm) (600 mm) (360 mm)
860 mm
AC
AD
  

   

and (600 mm) ( 320 mm)
( 500 mm) (600 mm) (360 mm)
AC
AD
  
   
j k
i j k


By definition, ( )( )cos
AC AD AC AD 
 
 
(600 320 ) ( 500 600 360 ) (680)(860)cos
     
j k i j k
0( 500) (600)(600) ( 320)(360) (680)(860)cos
    
cos 0.41860
  65.3
   
www.elsolucionario.org
Copyright © McGraw-Hill Education. Permission required for reproduction or display.
PROBLEM 3.39
Knowing that the tension in cable AC is 280 lb, determine
(a) the angle between cable AC and the boom AB, (b) the
projection on AB of the force exerted by cable AC at point
A.
SOLUTION
(a) First note 2 2 2
2 2 2
( 6) (2) (3)
7.00 ft
( 6) ( 4.5) (0)
7.50 ft
AC
AB
   

    

and (6 ft) (2 ft) (3 ft)
(6 ft) (4.5 ft)
AC
AB
   
  
i j k
i j



By definition ( )( )cos
AC AB AC AB 
 
 

or ( 6 2 3 ) ( 6 4.5 ) (7.00)(7.50) cos
       
i j k i j
or ( 6)( 6) (2)( 4.5) (3)(0) 52.50cos
     
or cos 0.51429
  or 59.0
   
(b) We have ( )
cos
(280 lb)(0.51429)
AC AB AC AB
AC
T
T 
 


T 
or ( ) 144.0 lb
AC AB
T  
www.elsolucionario.org
Copyright © McGraw-Hill Education. Permission required for reproduction or display.
PROBLEM 3.40
Knowing that the tension in cable AD is 180 lb, determine
(a) the angle between cable AD and the boom AB, (b) the
projection on AB of the force exerted by cable AD at point
A.
SOLUTION
(a) First note 2 2 2
2 2 2
( 6) (3) ( 6)
9.00 ft
( 6) ( 4.5) (0)
7.50 ft
AD
AB
    

    

and (6 ft) (3 ft) (6 ft)
(6 ft) (4.5 ft)
AD
AB
   
  
i j k
i j



By definition, ( )( )cos
AD AB AD AB 
 
 

( 6 3 6 ) ( 6 4.5 ) (9.00)(7.50)cos
( 6)( 6) (3)( 4.5) ( 6)(0) 67.50cos


      
      
i j k i j
1
cos
3
  70.5
   
(b) ( )
cos
AD AB AD AB
AD
T
T 
 

T 
1
(180 lb)
3
 
  
 
( ) 60.0 lb
AD AB
T  
www.elsolucionario.org
Copyright © McGraw-Hill Education. Permission required for reproduction or display.
PROBLEM 3.41
Ropes AB and BC are two of the ropes used to
support a tent. The two ropes are attached to a
stake at B. If the tension in rope AB is 540 N,
determine (a) the angle between rope AB and
the stake, (b) the projection on the stake of the
force exerted by rope AB at Point B.
SOLUTION
First note: 2 2 2
2 2 2
( 3) (3) ( 1.5) 4.5 m
( 0.08) (0.38) (0.16) 0.42 m
BA
BD
     
    
Then ( 3 3 1.5 )
4.5
( 2 2 )
3
1
( 0.08 0.38 0.16 )
0.42
1
( 4 19 8 )
21
BA
BA
BA
BD
T
T
BD
BD
   
   
    
   
T i j k
i j k
i j k
i j k



(a) We have cos
BA BD BA
T 
 
T 
or
1
( 2 2 ) ( 4 19 8 ) cos
3 21
BA
BA
T
T 
       
i j k i j k
or
1
cos [( 2)( 4) (2)(19) ( 1)(8)]
63
0.60317
      

or 52.9
   
(b) We have ( )
cos
(540 N)(0.60317)
BA BD BA BD
BA
T
T 
 


T 
or ( ) 326 N
BA BD
T  
www.elsolucionario.org
Copyright © McGraw-Hill Education. Permission required for reproduction or display.
PROBLEM 3.42
Ropes AB and BC are two of the ropes used to
support a tent. The two ropes are attached to a
stake at B. If the tension in rope BC is 490 N,
determine (a) the angle between rope BC and
the stake, (b) the projection on the stake of the
force exerted by rope BC at Point B.
SOLUTION
First note: 2 2 2
2 2 2
(1) (3) ( 1.5) 3.5 m
( 0.08) (0.38) (0.16) 0.42 m
BC
BD
    
    
( 3 1.5 )
3.5
(2 6 3 )
7
1
( 0.08 0.38 0.16 )
0.42
1
( 4 19 8 )
21
BC
BC
BC
BD
T
T
BD
BD

  
  
    
   
T i j k
i j k
i j k
i j k


(a) cos
BC BD BC
T
 
 
T
1
(2 6 3 ) ( 4 19 8 ) cos
7 21
BC
BC
T
T 
      
i j k i j k
1
cos [(2)( 4) (6)(19) ( 3)(8)]
147
0.55782
     

56.1
   
(b) ( )
cos
(490 N)(0.55782)
BC BD BC BD
BC
T
T


 


T
( ) 273 N
BC BD
T  
www.elsolucionario.org
Copyright © McGraw-Hill Education. Permission required for reproduction or display.
PROBLEM 3.43
The 20-in. tube AB can slide along a horizontal rod. The ends A
and B of the tube are connected by elastic cords to the fixed point
C. For the position corresponding to x  11 in., determine the
angle formed by the two cords (a) using Eq. (3.32), (b) applying
the law of cosines to triangle ABC.
SOLUTION
(a) Using Eq. (3.32):
2 2 2
2 2 2
11 12 24
(11) ( 12) (24) 29 in.
31 12 24
(31) ( 12) (24) 41 in.
CA
CA
CB
CB
  
    
  
    
i j k
i j k




cos
( )( )
(11 12 24 ) (31 12 24 )
(29)(41)
(11)(31) ( 12)( 12) (24)(24)
(29)(41)
0.89235
CA CB
CA CB



    

   


i j k i j k

 

26.8
   
(b) Law of cosines:
2 2 2
2 2 2
( ) ( ) ( ) 2( )( )cos
(20) (29) (41) 2(29)(41)cos
cos 0.89235
AB CA CB CA CB 


  
  

26.8
   
www.elsolucionario.org
Copyright © McGraw-Hill Education. Permission required for reproduction or display.
PROBLEM 3.44
Solve Prob. 3.43 for the position corresponding to x  4 in.
PROBLEM 3.43 The 20-in. tube AB can slide along a horizontal
rod. The ends A and B of the tube are connected by elastic cords
to the fixed point C. For the position corresponding to x  11 in.,
determine the angle formed by the two cords (a) using Eq. (3.32),
(b) applying the law of cosines to triangle ABC.
SOLUTION
(a) Using Eq. (3.32):
2 2 2
2 2 2
4 12 24
(4) ( 12) (24) 27.129 in.
24 12 24
(24) ( 12) (24) 36 in.
CA
CA
CB
CB
  
    
  
    
i j k
i j k




cos
( )( )
(4 12 24 ) (24 12 24 )
(27.129)(36)
0.83551
CA CB
CA CB



    


i j k i j k

 

33.3
   
(b) Law of cosines:
2 2 2
2 2 2
( ) ( ) ( ) 2( )( )cos
(20) (27.129) (36) 2(27.129)(36)cos
cos 0.83551
AB CA CB CA CB 


  
  

33.3
   
www.elsolucionario.org
Copyright © McGraw-Hill Education. Permission required for reproduction or display.
PROBLEM 3.45
Determine the volume of the parallelepiped of Fig. 3.25 when
(a) P  4i  3j  2k, Q  2i  5j  k, and S  7i  j  k,
(b) P  5i  j  6k, Q  2i  3j  k, and S  3i  2j  4k.
SOLUTION
Volume of a parallelepiped is found using the mixed triple product.
(a)
3
Vol. ( )
4 3 2
2 5 1 in.
7 1 1
(20 21 4 70 6 4)
67
  

  

     

P Q S
or Volume 67.0
 
(b)
3
Vol. ( )
5 1 6
2 3 1 in.
3 2 4
(60 3 24 54 8 10)
111
  


 
     

P Q S
or Volume 111.0
 
www.elsolucionario.org
Copyright © McGraw-Hill Education. Permission required for reproduction or display.
PROBLEM 3.46
Given the vectors P = 3i – j + k, Q = 4i + Qyj – 2k, and S = 2i – 2j + 2k, determine the
value of Qy for which the three vectors are coplanar.
SOLUTION
If P, Q, and S are coplanar, then P must be perpendicular to ( ).

Q S
( ) 0
  
P Q S
(or, the volume of a parallelepiped defined by P, Q, and S is zero).
Then
3 1 1
4 Q 2 0
2 2 2
y

 

or 6 4 8 2 8 12 0
y y
Q Q
      2
y
Q  
www.elsolucionario.org
Copyright © McGraw-Hill Education. Permission required for reproduction or display.
PROBLEM 3.47
A crane is oriented so that the end of the 25-m boom AO lies in
the yz plane. At the instant shown, the tension in cable AB is
4 kN. Determine the moment about each of the coordinate axes
of the force exerted on A by cable AB.
SOLUTION
2 2
2 2
( ) ( )
(25 m) (15 m)
20 m
OC OA AC
 
 

(15 m) (20 m)
A  
r j k
2 2
(2.5 m) (15 m) 15.2069 m
2.5 15
(4 kN)
15.2069
(0.65760 kN) (3.9456 kN)
AB
AB
P
AB
  



 
P
i j
i j


Using Eq. (3.11):
0 15 20
0.65760 3.9456 0
(78.912 kN m) (13.1520 kN m) (9.8640 kN m)
O A
O
  
   
i j k
M r P
M i + j- k
But O x y z
M M M
  
M i j k
Therefore, 78.9 kN m, 13.15 kN m, 9.86 kN m
x y z
M M M
       
www.elsolucionario.org
Copyright © McGraw-Hill Education. Permission required for reproduction or display.
PROBLEM 3.48
The 25-m crane boom AO lies in the yz plane. Determine the
maximum permissible tension in cable AB if the absolute value
of moments about the coordinate axes of the force exerted on A
by cable AB must be
|Mx| ≤ 60 kN·m, |My| ≤ 12 kN·m, |Mz| ≤ 8 kN·m
2 2
2 2
( ) ( )
(25 m) (15 m)
20 m
OC OA AC
 
 

(15 m) (20 m)
A  
r j k
2 2
(2.5 m) (15 m) 15.2069 m
2.5 15
( )
15.2069
(0.164399 kN) (0.98639 kN)
AB
AB
P
AB
P
P P
  



 
P
i j
i j


Using Eq. (3.11):
0 15 20
0.163499 0.98639 0
(19.7278 ) (3.2700 ) (2.4525 )
O A
O
P P
P P P
  


i j k
M r P
M i + j- k
But
60 kN m: 19.7278 60 3.04 kN
12 kN m: 3.270 12 3.67 kN
8 kN m: 2.4525 8 3.15 kN
x
y
z
M P P
M P P
M P P
  
   
   
<
Therefore, the maximum permissible tension is 3.04 kN
P  
www.elsolucionario.org
Copyright © McGraw-Hill Education. Permission required for reproduction or display.
PROBLEM 3.49
To loosen a frozen valve, a force F of magnitude 70 lb is
applied to the handle of the valve. Knowing that 25 ,
  
Mx 61lb ft,
   and 43 lb ft,
z
M    determine  and d.
SOLUTION
We have /
:
O A O O
  
M r F M
where / (4 in.) (11in.) ( )
(cos cos sin cos sin )
A O d
F     
   
  
r i j k
F i j k
For 70 lb, 25
F 
  
(70 lb)[(0.90631cos ) 0.42262 (0.90631sin ) ]
(70 lb) 4 11 in.
0.90631cos 0.42262 0.90631sin
(70 lb)[(9.9694sin 0.42262 ) ( 0.90631 cos 3.6252sin )
(1.69048 9.9694cos ) ] in.
O d
d d
 
 
  

  
  
 
    
 
F i j k
i j k
M
i j
k
and (70 lb)(9.9694sin 0.42262 ) in. (61lb ft)(12 in./ft)
x
M d

     (1)
(70 lb)( 0.90631 cos 3.6252sin ) in.
y
M d  
   (2)
(70 lb)(1.69048 9.9694cos ) in. 43 lb ft(12 in./ft)
z
M 
     (3)
From Equation (3): 1 634.33
cos 24.636
697.86
   
  
 
 
or 24.6
   
From Equation (1):
1022.90
34.577 in.
29.583
d
 
 
 
 
or 34.6 in.
d  
www.elsolucionario.org
Copyright © McGraw-Hill Education. Permission required for reproduction or display.
PROBLEM 3.50
When a force F is applied to the handle of the valve
shown, its moments about the x and z axes are,
respectively, 77 lb ft
x
M    and 81lb ft.
z
M    For
27
d  in., determine the moment My of F about the y axis.
SOLUTION
We have /
:
O A O O
  
M r F M
Where / (4 in.) (11in.) (27 in.)
(cos cos sin cos sin )
A O
F     
   
  
r i j k
F i j k
4 11 27 lb in.
cos cos sin cos sin
[(11cos sin 27sin )
( 27cos cos 4cos sin )
(4sin 11cos cos ) ](lb in.)
O F
F
    
  
   
  
   

 
  
  
i j k
M
i
j
k
and (11cos sin 27sin )(lb in.)
x
M F   
   (1)
( 27cos cos 4cos sin ) (lb in.)
y
M F    
    (2)
(4sin 11cos cos ) (lb in.)
z
M F   
   (3)
Now, Equation (1)
1
cos sin 27sin
11
x
M
F
  
 
 
 
 
(4)
and Equation (3)
1
cos cos 4sin
11
z
M
F
  
 
 
 
 
(5)
Substituting Equations (4) and (5) into Equation (2),
1 1
27 4sin 4 27sin
11 11
x
z
y
M
M
M F
F F
 
 
 
   
 
 
    
 
 
   
 
   
 
   
 
or
1
(27 4 )
11
y z x
M M M
 
www.elsolucionario.org
Copyright © McGraw-Hill Education. Permission required for reproduction or display.
PROBLEM 3.50 (Continued)
Noting that the ratios 27
11
and 4
11
are the ratios of lengths, have
27 4
( 81lb ft) ( 77 lb ft)
11 11
226.82 lb ft
y
M      
  or 227 lb ft
y
M    
www.elsolucionario.org
Copyright © McGraw-Hill Education. Permission required for reproduction or display.
PROBLEM 3.51
To lift a heavy crate, a man uses a block and tackle attached to the
bottom of an I-beam at hook B. Knowing that the moments about
the y and the z axes of the force exerted at B by portion AB of the
rope are, respectively, 120 N  m and 460 N  m, determine the
distance a.
SOLUTION
First note (2.2 m) (3.2 m) ( m)
BA a
  
i j k


Now /
D A D BA
 
M r T
where / (2.2 m) (1.6 m)
(2.2 3.2 ) (N)
A D
BA
BA
BA
T
a
d
 
  
r i j
T i j k
Then 2.2 1.6 0
2.2 3.2
{ 1.6 2.2 [(2.2)( 3.2) (1.6)(2.2)] }
BA
D
BA
BA
BA
T
d
a
T
a a
d

 
     
i j k
M
i j k
Thus 2.2 (N m)
10.56 (N m)
BA
y
BA
BA
z
BA
T
M a
d
T
M
d
 
  
Then forming the ratio
y
z
M
M
2.2 (N m)
120 N m
460 N m 10.56 (N m)
BA
BA
BA
BA
T
d
T
d



   
or 1.252 m
a  
www.elsolucionario.org
Copyright © McGraw-Hill Education. Permission required for reproduction or display.
PROBLEM 3.52
To lift a heavy crate, a man uses a block and tackle attached to the
bottom of an I-beam at hook B. Knowing that the man applies a
195-N force to end A of the rope and that the moment of that force
about the y axis is 132 N  m, determine the distance a.
SOLUTION
First note 2 2 2
2
(2.2) ( 3.2) ( )
15.08 m
BA
d a
a
    
 
and
195 N
(2.2 3.2 )
BA
BA
a
d
  
T i j k
Now /
( )
y A D BA
M   
j r T
where /0 (2.2 m) (1.6 m)
A  
r i j
Then
0 1 0
195
2.2 1.6 0
2.2 3.2
195
(2.2 ) (N m)
y
BA
BA
M
d
a
a
d

 
 
Substituting for My and dBA
2
195
132 N m (2.2 )
15.08
a
a
 

or 2
0.30769 15.08 a a
 
Squaring both sides of the equation
2 2
0.094675(15.08 )
a a
 
or 1.256 m
a  
www.elsolucionario.org
Copyright © McGraw-Hill Education. Permission required for reproduction or display.
PROBLEM 3.53
A farmer uses cables and winch pullers B and E to plumb
one side of a small barn. If it is known that the sum of the
moments about the x-axis of the forces exerted by the
cables on the barn at Points A and D is equal to 4728 lb 
ft, determine the magnitude of TDE when TAB  255 lb.
SOLUTION
The moment about the x-axis due to the two cable forces can be found using the z components of each
force acting at their intersection with the xy plane (A and D). The x components of the forces are parallel
to the x-axis, and the y components of the forces intersect the x-axis. Therefore, neither the x or y
components produce a moment about the x-axis.
We have : ( ) ( ) ( ) ( )
x AB z A DE z D x
M T y T y M
  
where ( )
( )
12 12
255 lb
17
180 lb
AB z AB
AB AB
T
T 
 
 
 
  
 
   
 
 
 

k T
k
i j k
k
( )
( )
1.5 14 12
18.5
0.64865
12 ft
14 ft
4728 lb ft
DE z DE
DE DE
DE
DE
A
D
x
T
T
T
T
y
y
M

 
 
 
 
 
   
 
 
 



 
k T
k
i j k
k
(180 lb)(12 ft) (0.64865 )(14 ft) 4728 lb ft
DE
T
  
and 282.79 lb
DE
T  or 283 lb
DE
T  
www.elsolucionario.org
Copyright © McGraw-Hill Education. Permission required for reproduction or display.
PROBLEM 3.54
Solve Problem 3.53 when the tension in cable AB is 306
lb.
PROBLEM 3.53 A farmer uses cables and winch pullers
B and E to plumb one side of a small barn. If it is known
that the sum of the moments about the x-axis of the forces
exerted by the cables on the barn at Points A and D is equal
to 4728 lb  ft, determine the magnitude of TDE when
TAB  255 lb.
SOLUTION
The moment about the x-axis due to the two cable forces can be found using the z components of each
force acting at the intersection with the xy plane (A and D). The x components of the forces are parallel to
the x-axis, and the y components of the forces intersect the x-axis. Therefore, neither the x or y
components produce a moment about the x-axis.
We have : ( ) ( ) ( ) ( )
x AB z A DE z D x
M T y T y M
  
Where ( )
( )
12 12
306 lb
17
216 lb
AB z AB
AB AB
T
T
 
 
 
  
 
   
 
 
 

k T
k λ
i j k
k
( )
( )
1.5 14 12
18.5
0.64865
12 ft
14 ft
4728 lb ft
DE z DE
DE DE
DE
DE
A
D
x
T
T
T
T
y
y
M
 
 
 
 
 
   
 
 
 



 
k T
k λ
i j k
k
(216 lb)(12 ft) (0.64865 )(14 ft) 4728 lb ft
DE
T
  
and 235.21lb
DE
T  or 235 lb
DE
T  
www.elsolucionario.org
Copyright © McGraw-Hill Education. Permission required for reproduction or display.
PROBLEM 3.55
The 23-in. vertical rod CD is welded to the midpoint C of
the 50-in. rod AB. Determine the moment about AB of the
235-lb force P.
SOLUTION
(32 in.) (30 in.) (24 in.)
AB   
i j k


2 2 2
(32) ( 30) ( 24) 50 in.
AB      
0.64 0.60 0.48
AB
AB
AB
   
i k



We shall apply the force P at Point G:
/ (5 in.) (30 in.)
G B  
r i k
(21 in.) (38 in.) (18 in.)
DG   
i j k

2 2 2
(21) ( 38) (18) 47 in.
DG     
21 38 18
(235 lb)
47
DG
P
DG
 
 
i j k
P

(105 lb) (190 lb) (90 lb)
  
P i j k
The moment of P about AB is given by Eq. (3.46):
/
0.64 0.60 0.48
( ) 5 in. 0 30 in.
105 lb 190 lb 90 lb
AB AB G B P
 
   

M r

0.64[0 (30 in.)( 190 lb)]
0.60[(30 in.)(105 lb) (5 in.)(90 lb)]
0.48[(5 in.)( 190 lb) 0]
2484 lb in.
AB   
 
  
  
M
207 lb ft
AB   
M 
www.elsolucionario.org
Copyright © McGraw-Hill Education. Permission required for reproduction or display.
PROBLEM 3.56
The 23-in. vertical rod CD is welded to the midpoint C of
the 50-in. rod AB. Determine the moment about AB of the
174-lb force Q.
SOLUTION
(32 in.) (30 in.) (24 in.)
AB   
i j k


2 2 2
(32) ( 30) ( 24) 50 in.
AB      
0.64 0.60 0.48
AB
AB
AB
   
i j k



We shall apply the force Q at Point H:
/ (32 in.) (17 in.)
H B   
r i j
(16 in.) (21 in.) (12 in.)
DH    
i j k


2 2 2
(16) ( 21) ( 12) 29 in.
DH      
16 21 12
(174 lb)
29
DH
DH
  
 
i j k
Q


(96 lb) (126 lb) (72 lb)
Q    
i j k
The moment of Q about AB is given by Eq. (3.46):
/
0.64 0.60 0.48
( ) 32 in. 17 in. 0
96 lb 126 lb 72 lb
AB AB H B
 
    
  
M r Q

0.64[(17 in.)( 72 lb) 0]
0.60[(0 ( 32 in.)( 72 lb)]
0.48[( 32 in.)( 126 lb) (17 in.)( 96 lb)]
2119.7 lb in.
AB   
   
    
  
M
176.6 lb ft
AB   
M 
www.elsolucionario.org
Copyright © McGraw-Hill Education. Permission required for reproduction or display.
PROBLEM 3.57
The frame ACD is hinged at A and D and is supported by a
cable that passes through a ring at B and is attached to
hooks at G and H. Knowing that the tension in the cable is
450 N, determine the moment about the diagonal AD of
the force exerted on the frame by portion BH of the cable.
SOLUTION
/
( )
AD AD B A BH
M   
r T

Where
/
1
(4 3 )
5
(0.5 m)
AD
B A
 

i k
r i

and 2 2 2
(0.375) (0.75) ( 0.75)
1.125 m
BH
d    

Then
450 N
(0.375 0.75 0.75 )
1.125
(150 N) (300 N) (300 N)
BH   
  
T i j k
i j k
Finally,
4 0 3
1
0.5 0 0
5
150 300 300
1
[( 3)(0.5)(300)]
5
AD
M



 
or 90.0 N m
AD
M    
www.elsolucionario.org
Copyright © McGraw-Hill Education. Permission required for reproduction or display.
PROBLEM 3.58
In Problem 3.57, determine the moment about the diagonal
AD of the force exerted on the frame by portion BG of the
cable.
PROBLEM 3.57 The frame ACD is hinged at A and D
and is supported by a cable that passes through a ring at B
and is attached to hooks at G and H. Knowing that the
tension in the cable is 450 N, determine the moment about
the diagonal AD of the force exerted on the frame by
portion BH of the cable.
SOLUTION
/
( )
AD AD B A BG
M   
r T

Where
/
1
(4 3 )
5
(0.5 m)
AD
B A
 

i k
r j

and 2 2 2
( 0.5) (0.925) ( 0.4)
1.125 m
BG     

Then
450 N
( 0.5 0.925 0.4 )
1.125
(200 N) (370 N) (160 N)
BG    
   
T i j k
i j k
Finally,
4 0 3
1
0.5 0 0
5
200 370 160
AD
M


 
1
[( 3)(0.5)(370)]
5
  111.0 N m
AD
M    
www.elsolucionario.org
Copyright © McGraw-Hill Education. Permission required for reproduction or display.
PROBLEM 3.59
The triangular plate ABC is supported by ball-and-socket
joints at B and D and is held in the position shown by
cables AE and CF. If the force exerted by cable AE at A is
55 N, determine the moment of that force about the line
joining Points D and B.
SOLUTION
First note: AE AE
AE
T
AE

T


2 2 2
(0.9) ( 0.6) (0.2) 1.1 m
AE     
Then
55 N
(0.9 0.6 0.2 )
1.1
5[(9 N) (6 N) (2 N) ]
AE   
  
T i j k
i j k
Also, 2 2 2
(1.2) ( 0.35) (0)
1.25 m
DB    

Then
1
(1.2 0.35 )
1.25
1
(24 7 )
25
DB
DB
DB

 
 
i j
i j



Now /
( )
DB DB A D AE
M   
r T

where / (0.1 m) (0.2 m)
A D   
r j k
Then
24 7 0
1
(5) 0 0.1 0.2
25
9 6 2
1
( 4.8 12.6 28.8)
5
DB
M

 

   
or 2.28 N m
DB
M   
www.elsolucionario.org
Copyright © McGraw-Hill Education. Permission required for reproduction or display.
PROBLEM 3.60
The triangular plate ABC is supported by ball-and-socket
joints at B and D and is held in the position shown by
cables AE and CF. If the force exerted by cable CF at C is
33 N, determine the moment of that force about the line
joining Points D and B.
SOLUTION
First note: CF CF
CF
T
CF

T


2 2 2
(0.6) ( 0.9) ( 0.2) 1.1 m
CF      
Then
33 N
(0.6 0.9 0.2 )
1.1
3[(6 N) (9 N) (2 N) ]
CF   
  
T i j k
i j k
Also, 2 2 2
(1.2) ( 0.35) (0)
1.25 m
DB    

Then
1
(1.2 0.35 )
1.25
1
(24 7 )
25
DB
DB
DB

 
 
i j
i j



Now /
( )
DB DB C D CF
M   
r T

where / (0.2 m) (0.4 m)
C D  
r j k
Then
24 7 0
1
(3) 0 0.2 0.4
25
6 9 2
3
( 9.6 16.8 86.4)
25
DB
M

 
 
   
or 9.50 N m
DB
M    
www.elsolucionario.org
Copyright © McGraw-Hill Education. Permission required for reproduction or display.
PROBLEM 3.61
A regular tetrahedron has six edges of length a. A force P is
directed as shown along edge BC. Determine the moment of P
about edge OA.
SOLUTION
We have /
( )
OA OA C O
M   
r P

From triangle OBC: ( )
2
1
( ) ( ) tan30
2 3 2 3
x
z x
a
OA
a a
OA OA

 
   
 
 
Since 2 2 2 2
( ) ( ) ( ) ( )
x y z
OA OA OA OA
  
or
2
2
2 2
2 2
2
( )
2 2 3
2
( )
4 12 3
y
y
a a
a OA
a a
OA a a
 
 
    
 
   
   
Then /
2
2 3 2 3
A O
a a
a
  
r i j k
and
1 2 1
2 3 2 3
OA   
i j k

/
( sin30 ) ( cos30 )
( ) ( 3 )
2
BC
C O
a a P
P P
a
a
  
   

i k
P i k
r i

1 2 1
2 3 2 3
( )
1 0 0 2
1 0 3
2
(1)( 3)
2 3 2
OA
P
M a
aP aP
 
  
 

 
   
 
 
  2
OA
aP
M  
www.elsolucionario.org
Copyright © McGraw-Hill Education. Permission required for reproduction or display.
PROBLEM 3.62
A regular tetrahedron has six edges of length a. (a) Show that
two opposite edges, such as OA and BC, are perpendicular to
each other. (b) Use this property and the result obtained in
Problem 3.61 to determine the perpendicular distance between
edges OA and BC.
SOLUTION
(a) For edge OA to be perpendicular to edge BC,
0
OA BC
 

 

From triangle OBC: ( )
2
1
( ) ( ) tan30
2 3 2 3
( )
2 2 3
x
z x
y
a
OA
a a
OA OA
a a
OA OA

 
   
 
 
 
 
    
 
   
i j k


and ( sin30 ) ( cos30 )
3
( 3 )
2 2 2
BC a a
a a a
   
   
i k
i k i k


Then ( ) ( 3 ) 0
2 2
2 3
y
a a a
OA
 
 
    
 
 
 
 
i j k i k
or
2 2
( ) (0) 0
4 4
0
y
a a
OA
OA BC
  
 

 

so that OA


is perpendicular to .
BC



(b) We have ,
OA
M Pd
 with P acting along BC and d the perpendicular distance from OA


to .
BC


From the results of Problem 3.57,
2
2
OA
Pa
M
Pa
Pd

 or
2
a
d  
www.elsolucionario.org
Copyright © McGraw-Hill Education. Permission required for reproduction or display.
PROBLEM 3.63
Two forces 1
F and 2
F in space have the same magnitude F. Prove that the moment of 1
F about the line
of action of 2
F is equal to the moment of 2
F about the line of action of 1
F .
SOLUTION
First note that 1 1 1 2 2 2
and
F F
 
F F
 
Let 1 2
moment of
M  F about the line of action of 1
F and 2 moment
M  of 1
F about the line of
action of 2
F .
Now, by definition, 1 1 / 2
1 / 2 2
2 2 / 1
2 / 1 1
( )
( )
( )
( )
B A
B A
A B
A B
M
F
M
F
  
  
  
  
r F
r
r F
r

 

 
Since 1 2 / /
1 1 / 2
2 2 / 1
and
( )
( )
A B B A
B A
B A
F F F
M F
M F
   
  
   
r r
r
r
 
 
Using Equation (3.39): 1 / 2 2 / 1
( ) ( )
B A B A
     
r r
   
so that 2 1 / 2
( )
B A
M F
  
r
   12 21
M M
 
www.elsolucionario.org
Copyright © McGraw-Hill Education. Permission required for reproduction or display.
PROBLEM 3.64
In Prob. 3.55, determine the perpendicular distance
between rod AB and the line of action of P.
PROBLEM 3.55 The 23-in. vertical rod CD is welded to
the midpoint C of the 50-in. rod AB. Determine the
moment about AB of the 235-lb force P.
SOLUTION
(32 in.) (30 in.) (24 in.)
AB   
i j k


2 2 2
(32) ( 30) ( 24) 50 in.
AB      
0.64 0.60 0.48
AB
AB
AB
   
i j k



105 190 90
235
P
P
 
 
P i j k

Angle  between AB and P:
cos
105 190 90
(0.64 0.60 0.48 )
235
0.58723
AB P
  
 
   

i j k
i j k
 
54.039

  
The moment of P about AB may be obtained by multiplying the projection of P on a plane perpendicular
to AB by the perpendicular distance d from AB to P:
( sin )
AB P d


M
From the solution to Prob. 3.55: 207 lb ft 2484 lb in.
AB    
M
We have 2484 lb in. (235 lb)(sin54.039)d
 
13.06 in.
d  
www.elsolucionario.org
Copyright © McGraw-Hill Education. Permission required for reproduction or display.
PROBLEM 3.65
In Prob. 3.56, determine the perpendicular distance
between rod AB and the line of action of Q.
PROBLEM 3.56 The 23-in. vertical rod CD is welded to
the midpoint C of the 50-in. rod AB. Determine the
moment about AB of the 174-lb force Q.
SOLUTION
(32 in.) (30 in.) (24 in.)
AB   
i j k


2 2 2
(32) ( 30) ( 24) 50 in.
AB      
0.64 0.60 0.48
AB
AB
AB
   
i j k



96 126 72
174
Q
Q
  
 
Q i j k

Angle  between AB and Q:
cos
( 96 126 72 )
(0.64 0.60 0.48 )
174
0.28000
AB Q
  
  
   

i j k
i j k
 
73.740

  
The moment of Q about AB may be obtained by multiplying the projection of Q on a plane perpendicular
to AB by the perpendicular distance d from AB to Q:
( sin )
AB Q d


M
From the solution to Prob. 3.56: 176.6 lb ft 2119.2 lb in.
AB    
M
2119.2 lb in. (174 lb)(sin 73.740 )d
  
12.69 in.
d  
www.elsolucionario.org
Copyright © McGraw-Hill Education. Permission required for reproduction or display.
PROBLEM 3.66
In Problem 3.57, determine the perpendicular distance
between portion BH of the cable and the diagonal AD.
PROBLEM 3.57 The frame ACD is hinged at A and D
and is supported by a cable that passes through a ring at B
and is attached to hooks at G and H. Knowing that the
tension in the cable is 450 N, determine the moment about
the diagonal AD of the force exerted on the frame by
portion BH of the cable.
SOLUTION
From the solution to Problem 3.57: 450 N
(150 N) (300 N) (300 N)
BH
BH
T 
  
T i j k
| | 90.0 N m
AD
M  
1
(4 3 )
5
AD  
i k

Based on the discussion of Section 3.11, it follows that only the perpendicular component of TBH will
contribute to the moment of TBH about line .
AD

Now parallel
( )
1
(150 300 300 ) (4 3 )
5
1
[(150)(4) ( 300)( 3)]
5
300 N
BH BH AD
T  
    
   

T
i j k i k

Also, parallel perpendicular
( ) ( )
BH BH BH
 
T T T
so that 2 2
perpendicular
( ) (450) (300) 335.41 N
BH
T   
Since AD
 and perpendicular
( )
BH
T are perpendicular, it follows that
perpendicular
( )
AD BH
M d T

or 90.0 N m (335.41 N)
d
 
0.26833 m
d  0.268 m
d  
www.elsolucionario.org
Copyright © McGraw-Hill Education. Permission required for reproduction or display.
PROBLEM 3.67
In Problem 3.58, determine the perpendicular distance
between portion BG of the cable and the diagonal AD.
PROBLEM 3.58 In Problem 3.57, determine the moment
about the diagonal AD of the force exerted on the frame by
portion BG of the cable.
PROBLEM 3.57 The frame ACD is hinged at A and D
and is supported by a cable that passes through a ring at B
and is attached to hooks at G and H. Knowing that the
tension in the cable is 450 N, determine the moment about
the diagonal AD of the force exerted on the frame by
portion BH of the cable.
SOLUTION
From the solution to Problem 3.58: 450 N
(200 N) (370 N) (160 N)
BG
BG

   
T i j k

| | 111 N m
AD
M  
1
(4 3 )
5
AD  
i k

Based on the discussion of Section 3.11, it follows that only the perpendicular component of TBG will
contribute to the moment of TBG about line .
AD

Now parallel
( )
1
( 200 370 160 ) (4 3 )
5
1
[( 200)(4) ( 160)( 3)]
5
64 N
BG BG AD
T  
     
    
 
T
i j k i k

Also, parallel perpendicular
( ) ( )
BG BG BG
 
T T T
so that 2 2
perpendicular
( ) (450) ( 64) 445.43 N
BG    
T
Since AD
 and perpendicular
( )
BG
T are perpendicular, it follows that
perpendicular
( )
AD BG
M d T

or 111 N m (445.43 N)
d
 
0.24920 m
d  0.249 m
d  
www.elsolucionario.org
Copyright © McGraw-Hill Education. Permission required for reproduction or display.
PROBLEM 3.68
In Problem 3.59, determine the perpendicular distance
between cable AE and the line joining Points D and B.
PROBLEM 3.59 The triangular plate ABC is supported by
ball-and-socket joints at B and D and is held in the position
shown by cables AE and CF. If the force exerted by cable
AE at A is 55 N, determine the moment of that force about
the line joining Points D and B.
SOLUTION
From the solution to Problem 3.59: 55 N
5[(9 N) (6 N) (2 N) ]
AE
AE

  
T i j k

| | 2.28 N m
DB
M  
1
(24 7 )
25
DB  
i j

Based on the discussion of Section 3.11, it follows that only the perpendicular component of TAE will
contribute to the moment of TAE about line .
DB


Now parallel
( )
1
5(9 6 2 ) (24 7 )
25
1
[(9)(24) ( 6)( 7)]
5
51.6 N
AE AE DB
T  
    
   

T
i j k i j

Also, parallel perpendicular
( ) ( )
AE AE AE
 
T T T
so that 2 2
perpendicular
( ) (55) (51.6) 19.0379 N
AE   
T
Since DB
 and perpendicular
( )
AE
T are perpendicular, it follows that
perpendicular
( )
DB AE
M d T

or 2.28 N m (19.0379 N)
d
 
0.119761
d  0.1198 m
d  
www.elsolucionario.org
Copyright © McGraw-Hill Education. Permission required for reproduction or display.
PROBLEM 3.69
In Problem 3.60, determine the perpendicular distance
between cable CF and the line joining Points D and B.
PROBLEM 3.60 The triangular plate ABC is supported by
ball-and-socket joints at B and D and is held in the position
shown by cables AE and CF. If the force exerted by cable
CF at C is 33 N, determine the moment of that force about
the line joining Points D and B.
SOLUTION
From the solution to Problem 3.60: 33 N
3[(6 N) (9 N) (2 N) ]
CF
CF

  
T i j k

| | 9.50 N m
DB
M  
1
(24 7 )
25
DB  
i j

Based on the discussion of Section 3.11, it follows that only the perpendicular component of TCF will
contribute to the moment of TCF about line .
DB


Now parallel
( )
1
3(6 9 2 ) (24 7 )
25
3
[(6)(24) ( 9)( 7)]
25
24.84 N
CF CF DB
 
    
   

T T
i j k i j

Also, parallel perpendicular
( ) ( )
CF CF CF
 
T T T
so that 2 2
perpendicular
( ) (33) (24.84)
21.725 N
CF  

T
Since DB
 and perpendicular
( )
CF
T are perpendicular, it follows that
perpendicular
| | ( )
DB CF
M d T

or 9.50 N m 21.725 N
d
  
or 0.437 m
d  
www.elsolucionario.org
Copyright © McGraw-Hill Education. Permission required for reproduction or display.
PROBLEM 3.70
Two 80-N forces are applied as shown to the corners B and D of
a rectangular plate. (a) Determine the moment of the couple
formed by the two forces by resolving each force into horizontal
and vertical components and adding the moments of the two
resulting couples. (b) Use the result obtained to determine the
perpendicular distance between lines BE and DF.
SOLUTION
(a) Resolving forces into components:
(80 N)sin50 61.284 N
P  

(80 N)cos50 51.423 N
Q  

(51.423 N)(0.5 m) (61.284 N)(0.3 m)
7.3263 N m
M  
 

  7.33 N m
 
M 
(b) Distance between lines BE and DF
Fd

M
or
7.3263 N m=(80 N)
0.091579 m
d
d


91.6 mm
d  
www.elsolucionario.org
Copyright © McGraw-Hill Education. Permission required for reproduction or display.
PROBLEM 3.71
Two parallel 40-N forces are applied to a lever as shown.
Determine the moment of the couple formed by the two forces
(a) by resolving each force into horizontal and vertical
components and adding the moments of the two resulting
couples, (b) by using the perpendicular distance between the
two forces, (c) by summing the moments of the two forces
about Point A.
SOLUTION
(a) We have 1 2
:
B x y
d C d C
   
M M
where 1
2
(0.270 m)sin55°
0.22117 m
(0.270 m)cos55
0.154866 m
d
d


 

(40 N)cos20
37.588 N
(40 N)sin 20
13.6808 N
x
y
C
C
 

 

(0.22117 m)(37.588 N) (0.154866 m)(13.6808 N)
(6.1946 N m)
  
  
M k k
k or 6.19 N m
 
M 
(b) We have ( )
40 N[(0.270 m)sin(55 20 )]( )
Fd
 
    
M k
k
(6.1946 N m)
   k or 6.19 N m
 
M 
(c) We have / /
: ( )
A A B A B C A C
       
M r F r F r F M
(0.390 m)(40 N) cos55 sin55 0
cos20 sin 20 0
(0.660 m)(40 N) cos55 sin55 0
cos20 sin 20 0
(8.9478 N m 15.1424 N m)
(6.1946 N m)
M   
   
  
 
   
  
i j k
i j k
k
k or 6.19 N m
 
M 
www.elsolucionario.org
Copyright © McGraw-Hill Education. Permission required for reproduction or display.
PROBLEM 3.72
Four 1 1
2 -in.-diameter pegs are attached to a board as shown.
Two strings are passed around the pegs and pulled with the
forces indicated. (a) Determine the resultant couple acting on
the board. (b) If only one string is used, around which pegs
should it pass and in what directions should it be pulled to
create the same couple with the minimum tension in the string?
(c) What is the value of that minimum tension?
SOLUTION
(a) (60 lb)(10.5 in.) (40 lb)(13.5 in.)
630 lb in. 540 lb in.
M  
   
1170 lb in.
M   
(b) With only one string, pegs A and D, or B and C should be used. We
have
9
tan 36.9 90 53.1
12
  
      
Direction of forces:
With pegs A and D: 53.1
   
With pegs B and C: 53.1
   
(c) The distance between the centers of the two pegs is
2 2
12 9 15 in.
 
Therefore, the perpendicular distance d between the forces is
3
15 in. 2 in.
4
16.5 in.
d
 
   
 

We must have 1170 lb in. (16.5 in.)
M Fd F
  
70.9 lb
F  
www.elsolucionario.org
Copyright © McGraw-Hill Education. Permission required for reproduction or display.
PROBLEM 3.73
Four pegs of the same diameter are attached to a board as
shown. Two strings are passed around the pegs and pulled with
the forces indicated. Determine the diameter of the pegs
knowing that the resultant couple applied to the board is
1132.5 lb·in. counterclockwise.
SOLUTION
1132.5 lb in. [(9 ) in.](60 lb) [(12 ) in.](40 lb)
AD AD BC BC
M d F d F
d d
 
     1.125 in.
d  
www.elsolucionario.org
Copyright © McGraw-Hill Education. Permission required for reproduction or display.
PROBLEM 3.74
A piece of plywood in which several holes are being drilled
successively has been secured to a workbench by means of two
nails. Knowing that the drill exerts a 12-N·m couple on the
piece of plywood, determine the magnitude of the resulting
forces applied to the nails if they are located (a) at A and B,
(b) at B and C, (c) at A and C.
SOLUTION
(a)
12 N m (0.45 m)
M Fd
F

 
26.7 N
F  
(b)
12 N m (0.24 m)
M Fd
F

 
50.0 N
F  
(c) 2 2
(0.45 m) (0.24 m)
0.510 m
M Fd d
  

12 N m (0.510 m)
F
 
23.5 N
F  
www.elsolucionario.org
Copyright © McGraw-Hill Education. Permission required for reproduction or display.
PROBLEM 3.75
The two shafts of a speed-reducer unit are subjected to
couples of magnitude M1  15 lb·ft and M2  3 lb·ft,
respectively. Replace the two couples with a single
equivalent couple, specifying its magnitude and the
direction of its axis.
SOLUTION
1 (15 lb ft)
M   k
2 (3 lb ft)
M   i
2 2
1 2
2 2
(15) (3)
15.30 lb ft
M M M
 
 
 
15
tan 5
3
x
  
78.7
x
  
90
y
  
90 78.7
11.30
z
    
 
15.30 lb ft; 78.7 , 90.0 , 11.30
x y z
M   
        
www.elsolucionario.org
Copyright © McGraw-Hill Education. Permission required for reproduction or display.
PROBLEM 3.76
If 0,
P  replace the two remaining couples with a single
equivalent couple, specifying its magnitude and the
direction of its axis.
SOLUTION
1 2 1 2
1
/ 2 /
2 2 2
2
2
; 16 lb, 40 lb
(30 in.) [ (16 lb) ] (480 lb in.)
; (15 in.) (5 in.)
(0) (5) (10) 5 5 in.
40 lb
(5 10 )
5 5
8 5[(1 lb) (2 lb) ]
8 5 15 5 0
0 1 2
8 5[(10 lb in.)
C
E B E B
DE
F F
d
F
   
       
   
   
 
 
 

 
1
2
M M M
M r F i j k
M r F r i j
j k
j k
i j k
M
i (30 lb in.) (15 lb in.) ]
(480 lb in.) 8 5[(10 lb in.) (30 lb in.) (15 lb in.) ]
(178.885 lb in.) (536.66 lb in.) (211.67 lb in.)
   
        
     
j k
M k i j k
i j k
2 2 2
(178.885) (536.66) ( 211.67)
603.99 lb in
M    
  604 lb in.
M   
axis
z
0.29617 0.88852 0.35045
cos 0.29617
cos 0.88852
cos 0.35045
x
y
M



   


 
M
i j k

z
72.8 27.3 110.5
x y
  
      
www.elsolucionario.org
Copyright © McGraw-Hill Education. Permission required for reproduction or display.
PROBLEM 3.77
If 20 lb,
P  replace the three couples with a single
equivalent couple, specifying its magnitude and the
direction of its axis.
SOLUTION
From the solution to Problem. 3.78:
16-lb force: 1 (480 lb in.)
M    k
40-lb force: 2 8 5[(10 lb in.) (30 lb in.) (15 lb in.) ]
M      
i j k
P 20 lb
 3
(30 in.) (20 lb)
(600 lb in.)
C
M P
 
 
 
r
i k
j
1 2 3
2 2 2
(480) 8 5 (10 30 15 ) 600
(178.885 lb in.) (1136.66 lb in.) (211.67 lb in.)
(178.885) (113.66) (211.67)
1169.96 lb in.
M
  
     
     
  
 
M M M M
k i j k j
i j k
1170 lb in.
M   
axis 0.152898 0.97154 0.180921
cos 0.152898
cos 0.97154
cos 0.180921
x
y
z
M



   


 
M
i j k

81.2 13.70 100.4
x y z
  
      
www.elsolucionario.org
Copyright © McGraw-Hill Education. Permission required for reproduction or display.
PROBLEM 3.78
Replace the two couples shown with a single equivalent
couple, specifying its magnitude and the direction of its axis.
SOLUTION
Replace the couple in the ABCD plane with two couples P and Q shown:
160 mm
(50 N) (50 N) 40 N
200 mm
CD
P
CG
 
  
 
 
120 mm
(50 N) (50 N) 30 N
200 mm
CF
Q
CG
 
  
 
 
Couple vector M1 perpendicular to plane ABCD:
1 (40 N)(0.24 m) (30 N)(0.16 m) 4.80 N m
M    
Couple vector M2 in the xy plane:
2 (12.5 N)(0.192 m) 2.40 N m
M     
144 mm
tan 36.870
192 mm
 
  
1 (4.80 cos36.870 ) (4.80 sin36.870 )
3.84 2.88
   
 
M j k
j k
2 2.40
 
M j
1 2 1.44 2.88
   
M M M j k
3.22 N m; 90.0 , 53.1 , 36.9
x y z
  
       
M 
www.elsolucionario.org
Copyright © McGraw-Hill Education. Permission required for reproduction or display.
PROBLEM 3.79
Solve Prob. 3.78, assuming that two 10-N vertical forces
have been added, one acting upward at C and the other
downward at B.
PROBLEM 3.78 Replace the two couples shown with a
single equivalent couple, specifying its magnitude and the
direction of its axis.
SOLUTION
Replace the couple in the ABCD plane with two couples P and Q shown.
160 mm
(50 N) (50 N) 40 N
200 mm
CD
P
CG
 
  
 
 
120 mm
(50 N) (50 N) 30 N
200 mm
CF
Q
CG
 
  
 
 
Couple vector M1 perpendicular to plane ABCD.
1 (40 N)(0.24 m) (30 N)(0.16 m) 4.80 N m
M    
144 mm
tan 36.870
192 mm
 
  
1 (4.80cos36.870 ) (4.80sin36.870 )
3.84 2.88
   
 
M j k
j k
2 (12.5 N)(0.192 m) 2.40 N m
2.40
M     
  j
3 / 3 /
; (0.16 m) (0.144 m) (0.192 m)
(0.16 m) (0.144 m) (0.192 m) ( 10 N)
1.92 1.6
B C B C
M
    
    
  
M r r i j k
i j k j
i k
www.elsolucionario.org
Copyright © McGraw-Hill Education. Permission required for reproduction or display.
PROBLEM 3.79 (Continued)
1 2 3 (3.84 2.88 ) 2.40 ( 1.92 1.6 )
(1.92 N m) (1.44 N m) (1.28 N m)
M M M M
        
      
j k j i k
i j k
2 2 2
( 1.92) (1.44) (1.28) 2.72 N m
M       2.72 N m
M   
cos 1.92/2.72
cos 1.44/2.72
cos 1.28/2.72
x
y
z



 

 134.9 58.0 61.9
x y z
  
      
www.elsolucionario.org
Copyright © McGraw-Hill Education. Permission required for reproduction or display.
PROBLEM 3.80
Shafts A and B connect the gear box to the wheel
assemblies of a tractor, and shaft C connects it to the
engine. Shafts A and B lie in the vertical yz plane,
while shaft C is directed along the x axis. Replace
the couples applied to the shafts by a single
equivalent couple, specifying its magnitude and the
direction of its axis.
SOLUTION
1200sin 20 1200cos20 410.42 1127.63
900sin 20 900cos20 307.82 845.72
840
The single equivalent couple is the sum of the three moments
(840 lb ft) (102.60 lb ft) (1973.35 lb ft
A
B
C
     
   
 
      
M j k j k
M j k j k
M i
M i j
 
 
)k
2 2 2
( 840) ( 102.60) (1973.35)
2147.3 lb ft
M     
  2150 lb ft
M   
axis
z
0.39119 0.047921 0.91899
cos 0.39119
cos 0.047921
cos 0.91899
x
y
M



    
 
 

M
i j k

z
113.0 92.7 23.2
x y
  
      
www.elsolucionario.org
Copyright © McGraw-Hill Education. Permission required for reproduction or display.
PROBLEM 3.81
A 500-N force is applied to a bent plate as shown. Determine
(a) an equivalent force-couple system at B, (b) an equivalent
system formed by a vertical force at A and a force at B.
SOLUTION
(a) Force-couple system at B
(500 N)sin30 (500 N)cos30
(250.0 N) (433.01 N)
 
 
F i k
F i k
 
(0.3 0.175 ) (250 433.01 )
86.153 N m
B    
  
M i j i j
k
The equivalent force-couple system at B is
500 N
B 
F 60.0 86.2 N m
B  
M 
(b) Require
Equivalence requires
86.153 N m (0.125 m); (689.22 N)
or ; (250 N) (433.01 N) (689.22 N)
B B
M M
  
  
    
A A j
F A + B B F - A B i j j
(250 N) (1122.23 N) 1149.74 N
  
B i j 77.4 1150 N

B 77.4 
689 N
 
A 
www.elsolucionario.org
Copyright © McGraw-Hill Education. Permission required for reproduction or display.
PROBLEM 3.82
The tension in the cable attached to the end
C of an adjustable boom ABC is 560 lb.
Replace the force exerted by the cable at C
with an equivalent force-couple system
(a) at A, (b) at B.
SOLUTION
(a) Based on : 560 lb
A
F F T
  
or 560 lb
A 
F 20.0° 
: ( sin 50 )( )
A A A
M M T d
  
(560 lb)sin50 (18 ft)
7721.7 lb ft
 
 
or 7720 lb ft
A  
M 
(b) Based on : 560 lb
B
F F T
  
or 560 lb
B 
F 20.0° 
: ( sin 50 )( )
B B B
M M T d
  
(560 lb)sin50°(10 ft)
4289.8 lb ft

 
or 4290 lb ft
B  
M 
www.elsolucionario.org
Copyright © McGraw-Hill Education. Permission required for reproduction or display.
PROBLEM 3.83
A dirigible is tethered by a cable attached to its cabin at B.
If the tension in the cable is 1040 N, replace the force
exerted by the cable at B with an equivalent system formed
by two parallel forces applied at A and C.
SOLUTION
Require the equivalent forces acting at A and C be parallel and at an
angle of  with the vertical.
Then for equivalence,
: (1040 N)sin 30 sin sin
x A B
F F F
 
    (1)
: (1040 N)cos30 cos cos
y A B
F F F
 
      (2)
Dividing Equation (1) by Equation (2),
( )sin
(1040 N)sin30
(1040 N)cos30 ( )cos
A B
A B
F F
F F





   
Simplifying yields 30 .
  
Based on
: [(1040 N)cos30 ](4 m) ( cos30 )(10.7 m)
C A
M F
   
388.79 N
A
F 
or 389 N
A 
F 60.0° 
Based on
: [(1040 N)cos30 ](6.7 m) ( cos30 )(10.7 m)
A C
M F
    
651.21 N
C
F 
or 651 N
C 
F 60.0° 
www.elsolucionario.org
Copyright © McGraw-Hill Education. Permission required for reproduction or display.
PROBLEM 3.84
A 30-lb vertical force P is applied at A to the bracket shown, which is held
by screws at B and C. (a) Replace P with an equivalent force-couple
system at B. (b) Find the two horizontal forces at B and C that are
equivalent to the couple obtained in part a.
SOLUTION
(a) (30 lb)(5 in.)
150.0 lb in.
B
M 
 
30.0 lb

F , 150.0 lb in.
B  
M 
(b)
150 lb in.
50.0 lb
3.0 in.
B C

  
50.0 lb

B ; 50.0 lb

C 
www.elsolucionario.org
Copyright © McGraw-Hill Education. Permission required for reproduction or display.
PROBLEM 3.85
A worker tries to move a rock by applying a 360-N
force to a steel bar as shown. (a) Replace that force
with an equivalent force-couple system at D. (b) Two
workers attempt to move the same rock by applying a
vertical force at A and another force at D. Determine
these two forces if they are to be equivalent to the
single force of Part a.
SOLUTION
(a) We have : 360 N( sin 40° cos40 ) (231.40 N) (275.78 N)
       
F i j i j F
or 360 N

F 50° 
We have /
:
D B D
  
M r R M
where / [(0.65 m)cos30 ] [(0.65 m)sin30 ]
(0.56292 m) (0.32500 m)
0.56292 0.32500 0 N m
231.40 275.78 0
[155.240 75.206)N m]
B D     
  
  
 
  
r i j
i j
i j k
M
k
(230.45 N m)
  k or 230 N m
 
M 
(b) We have /
:
D A D A
  
M M r F
where / [(1.05 m)cos30 ] [(1.05 m)sin30 ]
(0.90933 m) (0.52500 m)
0.90933 0.52500 0 N m
0 1 0
[230.45 N m]
B D
A
F
    
  
  

 
r i j
i j
i j k
k
(a) (b)
www.elsolucionario.org
Copyright © McGraw-Hill Education. Permission required for reproduction or display.
PROBLEM 3.85 (Continued)
or (0.90933 ) 230.45
A
F 
k k
253.42 N
A
F  or 253 N
A 
F 
We have : A D
  
F F F F
(231.40 N) (275.78 N) (253.42 N) ( cos sin )
D
F  
      
i j j i j
From : 231.40 N cos
D
F 

i (1)
:
j 22.36 N sin
D
F 
 (2)
Equation (2) divided by Equation (1)
tan 0.096629
5.5193 or 5.52

 

   
Substitution into Equation (1)
231.40
232.48 N
cos5.5193
D
F  

or 232 N
D 
F 5.52° 
www.elsolucionario.org
Copyright © McGraw-Hill Education. Permission required for reproduction or display.
PROBLEM 3.86
A worker tries to move a rock by applying a 360-N
force to a steel bar as shown. If two workers attempt
to move the same rock by applying a force at A and a
parallel force at C, determine these two forces so that
they will be equivalent to the single 360-N force
shown in the figure.
SOLUTION
: -360sin40 = sin sin (1)
X A C
F F F
 
  

: -360cos40 cos F cos (2)
Y A C
F F  
  

Dividing (1) by (2) yields 40
  
and then 360 N (3)
A C
F F
 
: 0 (0.4 m) cos10 (0.35 m) cos10
7
(4)
8
Substituting into (3) ....
7
360
8
B A C
A C
C C
F F
F F
F F
  

 
M  
Finally 168.0 N
A 
F 50.0°; 192.0 N
C 
F 50.0°; 
www.elsolucionario.org
Copyright © McGraw-Hill Education. Permission required for reproduction or display.
PROBLEM 3.87
The shearing forces exerted on the cross section of a steel channel can be
represented by a 900-N vertical force and two 250-N horizontal forces as
shown. Replace this force and couple with a single force F applied at
Point C, and determine the distance x from C to line BD. (Point C is
defined as the shear center of the section.)
SOLUTION
Replace the 250-N forces with a couple and move the 900-N force to Point C such that its moment about
H is equal to the moment of the couple
(0.18)(250 N)
45 N m
H
M 
 
Then (900 N)
H
M x

or 45 N m (900 N)
0.05 m
x
x
 

900 N

F 50.0 mm
x  
www.elsolucionario.org
Copyright © McGraw-Hill Education. Permission required for reproduction or display.
PROBLEM 3.88
A force and a couple are applied as shown to the end of a
cantilever beam. (a) Replace this system with a single force
F applied at Point C, and determine the distance d from C to
a line drawn through Points D and E. (b) Solve part a if the
directions of the two 360-N forces are reversed.
SOLUTION
(a) We have : (360 N) (360 N) (600 N)
   
F F j j k
or (600 N)
 
F k 
and : (360 N)(0.15 m) (600 N)( )
D
M d
 
0.09 m
d 
or 90.0 mm below
d ED
 
(b) We have from part a: (600 N)
 
F k 
and : (360 N)(0.15 m) (600 N)( )
D
M d
   
0.09 m
d 
or 90.0 mm above
d ED
 
www.elsolucionario.org
Copyright © McGraw-Hill Education. Permission required for reproduction or display.
PROBLEM 3.89
Three control rods attached to a lever ABC exert on it the
forces shown. (a) Replace the three forces with an
equivalent force-couple system at B. (b) Determine the
single force that is equivalent to the force-couple system
obtained in Part a, and specify its point of application on
the lever.
SOLUTION
(a) First note that the two 20-lb forces form A couple. Then
48 lb

F 
where 180 (60 55 ) 65
        
and
(30 in.)(48 lb)cos55 (70 in.)(20 lb)cos20
489.62 lb in
B
M M
 
   
  
The equivalent force-couple system at B is
48.0 lb

F 65.0°; 490 lb in.
 
M 
(b) The single equivalent force 
F is equal to F. Further, since the sense of M is clockwise, 
F must be
applied between A and B. For equivalence.
: cos 55
B
M M aF
   
where a is the distance from B to the point of application of F. Then
489.62 lb in. (48.0 lb)cos 55
a
    
or 17.78 in.
a  48.0 lb
 
F 65.0° 
and is applied to the lever 17.78 in. to the left of pin B 
www.elsolucionario.org
Copyright © McGraw-Hill Education. Permission required for reproduction or display.
PROBLEM 3.90
A rectangular plate is acted upon by the force and couple
shown. This system is to be replaced with a single equivalent
force. (a) For   40, specify the magnitude and the line of
action of the equivalent force. (b) Specify the value of  if the line
of action of the equivalent force is to intersect line CD 300 mm
to the right of D.
SOLUTION
(a) The given force-couple system (F, M) at B is
48 N

F
and
(0.4 m)(15 N)cos 40 (0.24 m)(15 N)sin 40
B
M M
 
   
or 6.9103 N m
 
M
The single equivalent force F is equal to F. Further for equivalence
:
B
M M dF
 
or 6.9103 N m 48 N
d
  
or 0.14396 m
d  48.0 N
F  
and the line of action of F intersects line AB 144.0 mm to the right of A. 
(b) Following the solution to Part a but with 0.1 m
d  and  unknown, have
: (0.4 m)(15 N)cos (0.24 m)(15 N)sin
B
M  
 
(0.1 m)(48 N)

or 5cos 3sin 4
 
 
Rearranging and squaring 2 2
25 cos (4 3 sin )
 
 
Using 2 2
cos 1 sin
 
  and expanding
2 2
25(1 sin ) 16 24 sin 9 sin
  
   
or 2
34 sin 24 sin 9 0
 
  
Then
2
24 ( 24) 4(34)( 9)
sin
2(34)
sin 0.97686 or sin 0.27098

 
   

  
77.7 or 15.72
 
     
www.elsolucionario.org
Copyright © McGraw-Hill Education. Permission required for reproduction or display.
PROBLEM 3.91
While tapping a hole, a machinist applies the horizontal
forces shown to the handle of the tap wrench. Show that
these forces are equivalent to a single force, and specify, if
possible, the point of application of the single force on the
handle.
SOLUTION
Since the forces at A and B are parallel, the force at B can be replaced with the sum of two forces with one
of the forces equal in magnitude to the force at A except with an opposite sense, resulting in a force-
couple.
We have 2.9 lb 2.65 lb 0.25 lb,
B
F    where the 2.65-lb force is part of the couple. Combining the two
parallel forces,
couple (2.65 lb)[(3.2 in. 2.8 in.)cos25 ]
14.4103 lb in.
M   
 
and couple 14.4103 lb in.
 
M
A single equivalent force will be located in the negative z direction.
Based on : 14.4103 lb in. [(0.25 lb)cos 25 ]( )
B
M a
    
63.600 in.
a 
F (0.25 lb)(cos 25 sin 25 )
   
i k
F (0.227 lb) (0.1057 lb)
 
i k and is applied on an extension of handle BD at a
distance of 63.6 in. to the right of B. 
www.elsolucionario.org
Copyright © McGraw-Hill Education. Permission required for reproduction or display.
PROBLEM 3.92
A hexagonal plate is acted upon by the force P and the couple shown.
Determine the magnitude and the direction of the smallest force P for
which this system can be replaced with a single force at E.
SOLUTION
From the statement of the problem, it follows that 0
E
M
  for the given force-couple system. Further,
for Pmin, we must require that P be perpendicular to / .
B E
r Then
min
: (0.2 sin 30 0.2)m 300 N
(0.2 m)sin 30 300 N
(0.4 m) 0
E
M
P
   
 
 
or min 300 N
P 
min 300 N

P 30.0° 
www.elsolucionario.org
Copyright © McGraw-Hill Education. Permission required for reproduction or display.
PROBLEM 3.93
An eccentric, compressive 250-kN force P is applied to the end
of a column. Replace P with an equivalent force-couple system
at G.
SOLUTION
Have  
: 250 kN
  
F j F
or  
250 kN
 
F j 
Also have :
G P
  
M r P M
0.030 0 0.060 kN m =
0 250 0
 

i j k
M
   
15 kN m 7.5 kN m
    
M i k
or    
15.00 kN m 7.50 kN m
   
M i k 
www.elsolucionario.org
Copyright © McGraw-Hill Education. Permission required for reproduction or display.
PROBLEM 3.94
A 2.6-kip force is applied at Point D of the cast iron post
shown. Replace that force with an equivalent force-couple
system at the center A of the base section.
SOLUTION
(12 in.) (5 in.) ; 13.00 in.
DE DE
   
j k

(2.6 kips)
DE
DE

F

12 5
(2.6 kips)
13
 

j k
F
(2.40 kips) (1.000 kip)
  
F j k 
/
A D A
 
M r F
where / (6 in.) (12 in.)
D A  
r i j
6 in. 12 in. 0
0 2.4 kips 1.0 kips
A 
 
i j k
M
(12.00 kip in.) (6.00 kip in.) (14.40 kip in.)
A       
M i j k 
www.elsolucionario.org
Copyright © McGraw-Hill Education. Permission required for reproduction or display.
PROBLEM 3.95
Replace the 150-N force with an equivalent force-couple
system at A.
SOLUTION
Equivalence requires : (150 N)( cos 35 sin 35 )
(122.873 N) (86.036 N)
     
  
F F j k
j k
/
:
A D A
  
M M r F
where / (0.18 m) (0.12 m) (0.1 m)
D A   
r i j k
Then 0.18 0.12 0.1 N m
0 122.873 86.036
[( 0.12)( 86.036) (0.1)( 122.873)]
[ (0.18)( 86.036)]
[(0.18)( 122.873)]
(22.6 N m) (15.49 N m) (22.1 N m)
  
 
    
  
 
     
i j k
M
i
j
k
i j k
The equivalent force-couple system at A is
(122.9 N) (86.0 N)
  
F j k 
(22.6 N m) (15.49 N m) (22.1 N m)
     
M i j k 
www.elsolucionario.org
Copyright © McGraw-Hill Education. Permission required for reproduction or display.
PROBLEM 3.96
To keep a door closed, a wooden stick is wedged between the
floor and the doorknob. The stick exerts at B a 175-N force
directed along line AB. Replace that force with an equivalent
force-couple system at C.
SOLUTION
We have
: AB C
 
F P F
where
(33 mm) (990 mm) (594 mm)
(175 N)
1155.00 mm
AB AB AB
P

 

P λ
i j k
or (5.00 N) (150.0 N) (90.0 N)
C   
F i j k 
We have /
:
C B C AB C
  
M r P M
5 0.683 0.860 0 N m
1 30 18
(5){( 0.860)( 18) (0.683)( 18)
[(0.683)(30) (0.860)(1)] }
C   

    
 
i j k
M
i j
k
or (77.4 N m) (61.5 N m) (106.8 N m)
C      
M i j k 
www.elsolucionario.org
Copyright © McGraw-Hill Education. Permission required for reproduction or display.
PROBLEM 3.97
A 46-lb force F and a 2120-lbin. couple
M are applied to corner A of the block
shown. Replace the given force-couple
system with an equivalent force-couple
system at corner H.
SOLUTION
We have 2 2 2
(18) ( 14) ( 3) 23 in.
AJ
d      
Then
46 lb
(18 14 3 )
23
(36 lb) (28 lb) (6 lb)
  
  
F i j k
i j k
Also 2 2 2
( 45) (0) ( 28) 53 in.
AC
d      
Then
2120 lb in.
( 45 28 )
53
(1800 lb in.) (1120 lb in.)

  
    
M i k
i k
Now /
A H
   
M M r F
where / (45 in.) (14 in.)
A H  
r i j
Then ( 1800 1120 ) 45 14 0
36 28 6
    
 
i j k
M i k
( 1800 1120 ) {[(14)( 6)] [ (45)( 6)] [(45)( 28) (14)(36)] }
( 1800 84) (270) ( 1120 1764)
(1884 lb in.) (270 lb in.) (2884 lb in.)
(157 lb ft) (22.5 lb ft) (240 lb ft)
          
      
      
      
i k i j k
i j k
i j k
i j k
The equivalent force-couple system at H is (36.0 lb) (28.0 lb) (6.00 lb)
   
F i j k 
(157.0 lb ft) (22.5 lb ft) (240 lb ft)
       
M i j k 
www.elsolucionario.org
Copyright © McGraw-Hill Education. Permission required for reproduction or display.
PROBLEM 3.98
A 110-N force acting in a vertical plane parallel to the yz-
plane is applied to the 220-mm-long horizontal handle AB
of a socket wrench. Replace the force with an equivalent
force-couple system at the origin O of the coordinate
system.
SOLUTION
We have : B
 
F P F
where 110 N[ (sin15 ) (cos15 ) ]
(28.470 N) (106.252 N)
B     
  
P j k
j k
or (28.5 N) (106.3 N)
  
F j k 
We have /
:
O B O B O
M
  
r P M
where / [(0.22cos35 ) (0.15) (0.22sin35 ) ] m
(0.180213 m) (0.15 m) (0.126187 m)
B O     
  
r i j k
i j k
0.180213 0.15 0.126187 N m
0 28.5 106.3
O
 

i j k
M
[(12.3487) (19.1566) (5.1361) ] N m
O    
M i j k
or (12.35 N m) (19.16 N m) (5.13 N m)
O      
M i j k 
www.elsolucionario.org
Copyright © McGraw-Hill Education. Permission required for reproduction or display.
PROBLEM 3.99
An antenna is guyed by three cables as shown.
Knowing that the tension in cable AB is 288 lb, replace
the force exerted at A by cable AB with an equivalent
force-couple system at the center O of the base of the
antenna.
SOLUTION
We have 2 2 2
( 64) ( 128) (16) 144 ft
AB
d      
Then
288 lb
( 64 128 16 )
144
(32 lb)( 4 8 )
AB    
   
T i j k
i j k
Now /
128 32( 4 8 )
(4096 lb ft) (16,384 lb ft)
O A O AB
  
    
   
M M r T
j i j k
i k
The equivalent force-couple system at O is
(128.0 lb) (256 lb) (32.0 lb)
   
F i j k 
(4.10 kip ft) (16.38 kip ft)
   
M i k 
www.elsolucionario.org
Copyright © McGraw-Hill Education. Permission required for reproduction or display.
PROBLEM 3.100
An antenna is guyed by three cables as shown.
Knowing that the tension in cable AD is 270 lb, replace
the force exerted at A by cable AD with an equivalent
force-couple system at the center O of the base of the
antenna.
SOLUTION
We have 2 2 2
( 64) ( 128) ( 128)
192 ft
AD
d      

Then
270 lb
( 64 128 128 )
192
(90 lb)( 2 2 )
AD    
   
T i j k
i j k
Now /
128 90( 2 2 )
(23,040 lb ft) (11,520 lb ft)
O A O AD
  
    
    
M M r T
j i j k
i k
The equivalent force-couple system at O is
(90.0 lb) (180.0 lb) (180.0 lb)
   
F i j k 
(23.0 kip ft) (11.52 kip ft)
    
M i k 
www.elsolucionario.org
Copyright © McGraw-Hill Education. Permission required for reproduction or display.
PROBLEM 3.101
A 3-m-long beam is subjected to a variety of loadings. (a) Replace each loading with an equivalent force-
couple system at end A of the beam. (b) Which of the loadings are equivalent?
SOLUTION
(a) (a) We have : 300 N 200 N
Y a
F R
   
or 500 N
a 
R 
and : 400 N m (200 N)(3 m)
A a
M M
    
or 1000 N m
a  
M 
(b) We have : 200 N 300 N
Y b
F R
  
or 500 N
b 
R 
and : 400 N m (300 N)(3 m)
A b
M M
    
or 500 N m
b  
M 
(c) We have : 200 N 300 N
Y c
F R
   
or 500 N
c 
R 
and : 400 N m (300 N)(3 m)
A c
M M
   
or 500 N m
c  
M 
www.elsolucionario.org
Copyright © McGraw-Hill Education. Permission required for reproduction or display.
PROBLEM 3.101 (Continued)
(d) We have : 500 N
Y d
F R
  
or 500 N
d 
R 
and : 400 N m (500 N)(3 m)
A d
M M
   
or 1100 N m
d  
M 
(e) We have : 300 N 800 N
Y e
F R
  
or 500 N
e 
R 
and : 400 N m 1000 N m (800 N)(3 m)
A e
M M
     
or 1000 N m
e  
M 
(f ) We have : 300 N 200 N
Y f
F R
   
or 500 N
f 
R 
and : 400 N m (200 N)(3 m)
A f
M M
   
or 200 N m
f  
M 
(g) We have : 800 N 300 N
Y g
F R
   
or 500 N
g 
R 
and : 1000 N m 400 N m (300 N)(3 m)
A g
M M
     
or 2300 N m
g  
M 
(h) We have : 250 N 250 N
Y h
F R
   
or 500 N
h 
R 
and : 1000 N m 400 N m (250 N)(3 m)
A h
M M
     
or 650 N m
h  
M 
(b) Therefore, loadings (a) and (e) are equivalent.
www.elsolucionario.org
Copyright © McGraw-Hill Education. Permission required for reproduction or display.
PROBLEM 3.102
A 3-m-long beam is loaded as shown. Determine the
loading of Prob. 3.101 that is equivalent to this loading.
SOLUTION
We have : 200 N 300 N
Y
F R
   
or 500 N

R
and : 500 N m 200 N m (300 N)(3 m)
A
M M
     
or 200 N m
 
M
Problem 3.101 equivalent force-couples at A:
Case R

M


(a) 500 N 1000 Nm
(b) 500 N 500 Nm
(c) 500 N 500 Nm
(d) 500 N 1100 Nm
(e) 500 N 1000 Nm
(f ) 500 N 200 Nm
(g) 500 N 2300 Nm
(h) 500 N 650 Nm
Equivalent to case (f ) of Problem 3.101 
www.elsolucionario.org
Copyright © McGraw-Hill Education. Permission required for reproduction or display.
PROBLEM 3.103
Determine the single equivalent force and the distance from Point A to its line of action for the beam and
loading of (a) Prob. 3.101a, (b) Prob. 3.101b, (c) Prob. 3.102.
SOLUTION
For equivalent single force at distance d from A:
(a) We have : 300 N 200 N
Y
F R
   
or 500 N

R 
and : 400 N m (300 N)( )
(200 N)(3 ) 0
C
M d
d
   
  
or 2.00 m
d  
(b) We have : 200 N 300 N
Y
F R
  
or 500 N

R 
and : 400 N m (200 N)( )
(300 N)(3 ) 0
C
M d
d
   
  
or 1.000 m
d  
(c) We have : 200 N 300 N
Y
F R
   
or 500 N

R 
and : 500 N m 200 N m
(200 N)( ) (300 N)(3 ) 0
C
M
d d
   
   
or 0.400 m
d  
www.elsolucionario.org
Copyright © McGraw-Hill Education. Permission required for reproduction or display.
PROBLEM 3.104
Five separate force-couple systems act at the corners of a piece of sheet metal, which has been bent into
the shape shown. Determine which of these systems is equivalent to a force F  (10 lb)i and a couple of
moment M  (15 lb  ft)j  (15 lb  ft)k located at the origin.
SOLUTION
First note that the force-couple system at F cannot be equivalent because of the direction of the force [The
force of the other four systems is (10 lb)i]. Next, move each of the systems to the origin O; the forces
remain unchanged.
: (5 lb ft) (15 lb ft) (2 ft) (10 lb)
A O
A        
M M j k k i
(25 lb ft) (15 lb ft)
   
j k
: (5 lb ft) (25 lb ft)
[(4.5 ft) (1 ft) (2 ft) ] 10 lb)
(15 lb ft) (15 lb ft)
D O
D       
   
   
M M j k
i j k i
i k
: (15 lb ft) (15 lb ft)
: (15 lb ft) (5 lb ft)
[(4.5 ft) (1 ft) ] (10 lb)
G O
I I
G
I
     
     
  
M M i j
M M j k
i j j
(15 lb ft) (15 lb ft)
   
j k
The equivalent force-couple system is the system at corner D. 
www.elsolucionario.org
Copyright © McGraw-Hill Education. Permission required for reproduction or display.
PROBLEM 3.105
The weights of two children sitting at ends A and B of a
seesaw are 84 lb and 64 lb, respectively. Where should a
third child sit so that the resultant of the weights of the
three children will pass through C if she weighs (a) 60 lb,
(b) 52 lb.
SOLUTION
(a) For the resultant weight to act at C, 0 60 lb
C C
M W
  
Then (84 lb)(6 ft) 60 lb( ) 64 lb(6 ft) 0
d
  
2.00 ft to the right of
d C
 
(b) For the resultant weight to act at C, 0 52 lb
C C
M W
  
Then (84 lb)(6 ft) 52 lb( ) 64 lb(6 ft) 0
d
  
2.31 ft to the right of
d C
 
www.elsolucionario.org
Copyright © McGraw-Hill Education. Permission required for reproduction or display.
PROBLEM 3.106
Three stage lights are mounted on a pipe as
shown. The lights at A and B each weigh 4.1 lb,
while the one at C weighs 3.5 lb. (a) If d  25 in.,
determine the distance from D to the line of
action of the resultant of the weights of the three
lights. (b) Determine the value of d so that the
resultant of the weights passes through the
midpoint of the pipe.
SOLUTION
For equivalence
: 4.1 4.1 3.5 or 11.7 lb
y
F R
      
R
: (10 in.)(4.1 lb) (44 in.)(4.1 lb)
[(4.4 )in.](3.5 lb) ( in.)(11.7 lb)
D
F
d L
  
   
or 375.4 3.5 11.7 ( , in in.)
d L d L
 
(a) 25 in.
d 
We have 375.4 3.5(25) 11.7 or 39.6 in.
L L
  
The resultant passes through a Point 39.6 in. to the right of D. 
(b) 42 in.
L 
We have 375.4 3.5 11.7(42)
d
  or 33.1 in.
d  
www.elsolucionario.org
Copyright © McGraw-Hill Education. Permission required for reproduction or display.
PROBLEM 3.107
A beam supports three loads of given magnitude and a fourth load whose magnitude is a function of
position. If b  1.5 m and the loads are to be replaced with a single equivalent force, determine (a) the
value of a so that the distance from support A to the line of action of the equivalent force is maximum,
(b) the magnitude of the equivalent force and its point of application on the beam.
SOLUTION
For equivalence,
: 1300 400 400 600
y
a
F R
b
      
or 2300 400 N
a
R
b
 
 
 
 
(1)
: 400 (400) ( )(600)
2
A
a a
M a a b LR
b
 
     
 
 
or
2
1000 600 200
2300 400
a
a b
b
L
a
b
 


Then with
2
4
10 9
3
1.5 m
8
23
3
a a
b L
a
 
 

(2)
where a, L are in m.
(a) Find value of a to maximize L.
2
2
8 8 4 8
10 23 10 9
3 3 3 3
8
23
3
a a a a
dL
da
a
     
     
     
     

 

 
 
www.elsolucionario.org
Copyright © McGraw-Hill Education. Permission required for reproduction or display.
PROBLEM 3.107 (Continued)
or 2 2
184 80 64 80 32
230 24 0
3 3 9 3 9
a a a a a
      
or 2
16 276 1143 0
a a
  
Then
2
276 ( 276) 4(16)(1143)
2(16)
a
  

or 10.3435 m and 6.9065 m
a a
 
Since 9 m,
AB  a must be less than 9 m 6.91 m
a  
(b) Using Eq. (1),
6.9065
2300 400
1.5
R   or 458 N
R  
and using Eq. (2),
2
4
10(6.9065) 9 (6.9065)
3 3.16 m
8
23 (6.9065)
3
L
 
 

R is applied 3.16 m to the right of A. 
www.elsolucionario.org
Copyright © McGraw-Hill Education. Permission required for reproduction or display.
PROBLEM 3.108
A 6 × 12-in. plate is subjected to four loads as shown. Find the resultant
of the four loads and the two points at which the line of action of the
resultant intersects the edge of the plate.
SOLUTION
We have
For equivalence, (40 lb) (20 lb)
  
R i j
44.721 lb

R 44.7 lb

R 26.6° 
/
= (6 in.) (50 lb)(cos45 sin 45 )
= (212.13 lb in.)
C B C
M  
  
 
r B
i i j
k
 
Intersection with edge AC
( ) (20)
212.13 (20 )
10.61 in.
C
M x
x
x
  
  

i j
k k
10.61 in. to the left of C. 
Intersection with edge CD
( ) ( 40 )
213.13 (40 )
5.30 in.
C
M y
y
y
   
  

j i
k k
5.30 in. below .
C 
www.elsolucionario.org
Copyright © McGraw-Hill Education. Permission required for reproduction or display.
PROBLEM 3.109
A 32-lb motor is mounted on the floor. Find the resultant of
the weight and the forces exerted on the belt, and determine
where the line of action of the resultant intersects the floor.
SOLUTION
We have
: (60 lb) (32 lb) (140 lb)(cos30 sin30 )
      
F i j i j R
(181.244 lb) (38.0 lb)
 
R i j
or 185.2 lb

R 11.84° 
We have :
O O y
M M xR
  
[(140 lb)cos30 ][(4 2cos30 )in.] [(140 lb)sin30 ][(2 in.)sin30 ]
      
(60 lb)(2 in.) (38.0 lb)
x
 
1
( 694.97 70.0 120) in.
38.0
x    
and 23.289 in.
x  
Or resultant intersects the base (x-axis) 23.3 in. to the left of
the vertical centerline (y-axis) of the motor. 
www.elsolucionario.org
Copyright © McGraw-Hill Education. Permission required for reproduction or display.
PROBLEM 3.110
To test the strength of a 625  500-mm suitcase, forces are
applied as shown. If P = 88 N, (a) determine the resultant of
the applied forces, (b) locate the two points where the line
of action of the resultant intersects the edge of the suitcase.
SOLUTION
We have
First replace the applied forces and couples with an equivalent force-couple system at B.
(a )Thus,
45
: 100 (212) 180
53
x x
F R
    ; 100 N
x
R 
28
: (212) 88
53
y y
F R
    ; 200 N
y
R  
(100 N) (200 N)
 
R i j
224 N

R 63.4° 
(b)
28
: (0.1 m)(100 N) (0.53 m) (212 N)
53
(0.08 m)(88 N) (0.28 m)(180 N)
B
B
M
M
 
   
 
  
26.0 N m
B
M   (1)
The single equivalent force R must then act as indicated. Then with R at E:
: 26.0 N m (200 N)
B
M x
   
130 mm
x 
2
or 260 mm
1
y
y
x
 
Therefore, the line of action of R intersects top AB 130.0 mm to the left of B and
intersects side BC 260 mm below B. 
www.elsolucionario.org
Copyright © McGraw-Hill Education. Permission required for reproduction or display.
PROBLEM 3.111
Solve Prob. 3.110, assuming that P = 138 N.
Problem 3.110 To test the strength of a 625  500-mm
suitcase, forces are applied as shown. If P = 88 N, (a)
determine the resultant of the applied forces, (b) locate the
two points where the line of action of the resultant
intersects the edge of the suitcase.
SOLUTION
We have
First replace the applied forces and couples with an equivalent force-couple system at B.
(a) Thus,
45
: 100 (212) 180
53
x x
F R
    ; 100 N
x
R 
28
: (212) 138
53
y y
F R
    ; 250 N
y
R  
269 N

R 68.2° 
(b)
28
: (0.1 m)(100 N) (0.53 m) (212 N)
53
(0.08 m)(138 N) (0.28 m)(180 N)
B
B
M
M
 
   
 
  
30.0 N m
B
M  
The single equivalent force R must then act as indicated. Then with R at E:
: 30 N m (250 N)
B
M x
   
120 mm
x 
5
or 300 mm
2
y
y
x
 
Therefore, the line of action of R intersects top AB 120 mm to the left of B and
intersects side BC 300 mm below B. 
www.elsolucionario.org
Copyright © McGraw-Hill Education. Permission required for reproduction or display.
PROBLEM 3.112
Pulleys A and B are mounted on bracket CDEF. The
tension on each side of the two belts is as shown. Replace
the four forces with a single equivalent force, and
determine where its line of action intersects the bottom
edge of the bracket.
SOLUTION
Equivalent force-couple at A due to belts on pulley A
We have : 120 lb 160 lb A
R
   
F
280 lb
A 
R
We have :
A
M 40 lb(2 in.) A
M
 
80 lb in.
A  
M
Equivalent force-couple at B due to belts on pulley B
We have : (210 lb 150 lb)
 
F 25 B
  R
360 lb
B 
R 25°
We have : 60 lb(1.5 in.)
B B
M
  
M
90 lb in.
B  
M
Equivalent force-couple at F
We have : ( 280 lb) (360 lb)(cos25 sin 25 )
F
      
F R j i j
2 2
2 2
1
1
(326.27 lb) (127.857 lb)
(326.27) (127.857)
350.43 lb
tan
127.857
tan
326.27
21.399
F
Fx Fy
Fy
Fx
R R
R R
R
R
 

 

 
 

 
  
 

 
  
 
  
i j
or 350 lb
F  
R R 21.4° 
PROBLEM 3.112 (Continued)
www.elsolucionario.org
Copyright © McGraw-Hill Education. Permission required for reproduction or display.
We have : (280 lb)(6 in.) 80 lb in.
F F
M
    
M
[(360 lb)cos25 ](1.0 in.)
[(360 lb)sin 25 ](12 in.) 90 lb in.
 
   
(350.56 lb in.)
F   
M k
To determine where a single resultant force will intersect line FE,
350.56 lb in.
127 857 lb
2.7418 in.
F y
F
y
M dR
M
d
R


 

 
 or 2.74 in.
d  
www.elsolucionario.org
Copyright © McGraw-Hill Education. Permission required for reproduction or display.
PROBLEM 3.113
A truss supports the loading shown. Determine the
equivalent force acting on the truss and the point of
intersection of its line of action with a line drawn through
Points A and G.
SOLUTION
We have
(240 lb)(cos70 sin 70 ) (160 lb)
(300 lb)( cos40 sin 40 ) (180 lb)
 
    
     
R F
R i j j
i j j
2 2
2 2
1
1
(147.728 lb) (758.36 lb)
(147.728) (758.36)
772.62 lb
tan
758.36
tan
147.728
78.977
x y
y
x
R R R
R
R
 

  
 
 

 
  
 

 
  

 
 
R i j
or 773 lb

R 79.0 
We have A y
M dR
 
where [240 lbcos70 ](6 ft) [240 lbsin 70 ](4 ft)
(160 lb)(12 ft) [300 lbcos40 ](6 ft)
[300 lbsin 40 ](20 ft) (180 lb)(8 ft)
7232.5 lb ft
A
M
     
  
  
  
7232.5 lb ft
758.36 lb
9.5370 ft
d
 


 or 9.54 ft to the right of
d A
 
www.elsolucionario.org
Copyright © McGraw-Hill Education. Permission required for reproduction or display.
PROBLEM 3.114
A couple of magnitude M = 80 lb·in. and the three forces shown are
applied to an angle bracket. (a) Find the resultant of this system of
forces. (b) Locate the points where the line of action of the resultant
intersects line AB and line BC.
SOLUTION
(a) We have : ( 10 ) (25 cos 60 )
(25 sin 60 ) ( 40 )
(27.50 lb) (11.6506 lb)
    
   
  
F R j i
j i
i j
or 29.9 lb

R 23.0° 
(b) First reduce the given forces and couple to an equivalent force-couple system ( , )
B
R M at B.
We have : (80 lb in) (12 in.)(10 lb) (8 in.)(40 lb)
120.0 lb in.
B B
M M
    
  
Then with R at D, : 120.0 lb in (11.6506 lb)
B
M a
   
or 10.30 in.
a 
and with R at E, : 120.0 lb in (27.5 lb)
B
M c
   
or 4.36 in.
c 
The line of action of R intersects line AB 10.30 in. to the left of B and intersects line BC 4.36 in.
below B. 
www.elsolucionario.org
Copyright © McGraw-Hill Education. Permission required for reproduction or display.
PROBLEM 3.115
A couple M and the three forces shown are applied to an angle
bracket. Find the moment of the couple if the line of action of the
resultant of the force system is to pass through (a) point A, (b) point
B, (c) point C.
SOLUTION
In each case, we must have 1 0
R

M
(a) (12 in.)[(25 lb)sin 60 ] (8 in.)(40 lb) 0
B
A A
M M M
      
60.192 lb in.
M    60.2 lb in.
 
M 
(b) (12 in.)(10 lb) (8 in.)(40 lb) 0
R
B B
M M M
     
200 lb in.
M    200 lb in.
 
M 
(c) (12 in.)(10 lb) (8 in.)[(25 lb)cos60 ] 0
R
C C
M M M
      
20.0 lb in.
M    20.0 lb in.
 
M 
www.elsolucionario.org
Copyright © McGraw-Hill Education. Permission required for reproduction or display.
PROBLEM 3.116
A machine component is subjected to the forces and
couples shown. The component is to be held in place by a
single rivet that can resist a force but not a couple. For
P  0, determine the location of the rivet hole if it is to be
located (a) on line FG, (b) on line GH.
SOLUTION
We have
First replace the applied forces and couples with an equivalent force-couple system at G.
Thus, : 200cos15 120cos 70
x x
F P R
     
or (152.142 ) N
x
R P
 
: 200sin 15 120sin 70 80
y y
F R
      
or 244.53 N
y
R  
: (0.47 m)(200 N)cos15 (0.05 m)(200 N)sin15
(0.47 m)(120 N)cos70 (0.19 m)(120 N)sin 70
(0.13 m)( N) (0.59 m)(80 N) 42 N m
40 N m
G
G
M
P
M
    
   
   
  
or (55.544 0.13 ) N m
G
M P
    (1)
Setting 0
P  in Eq. (1):
Now with R at I, : 55.544 N m (244.53 N)
G
M a
    
or 0.227 m
a 
and with R at J, : 55.544 N m (152.142 N)
G
M b
    
or 0.365 m
b 
(a) The rivet hole is 0.365 m above G. 
(b) The rivet hole is 0.227 m to the right of G. 
www.elsolucionario.org
Copyright © McGraw-Hill Education. Permission required for reproduction or display.
PROBLEM 3.117
Solve Problem 3.116, assuming that P  60 N.
PROBLEM 3.116 A machine component is subjected to
the forces and couples shown. The component is to be held
in place by a single rivet that can resist a force but not a
couple. For P  0, determine the location of the rivet hole
if it is to be located (a) on line FG, (b) on line GH.
SOLUTION
See the solution to Problem 3.116 leading to the development of Equation (1):
and
(55.544 0.13 ) N m
(152.142 ) N
G
x
M P
R P
   
 
For 60 N
P 
we have (152.142 60)
212.14 N
[55.544 0.13(60)]
63.344 N m
x
G
R
M
 

  
  
Then with R at I, : 63.344 N m (244.53 N)
G
M a
    
or 0.259 m
a 
and with R at J, : 63.344 N m (212.14 N)
G
M b
    
or 0.299 m
b 
(a) The rivet hole is 0.299 m above G. 
(b) The rivet hole is 0.259 m to the right of G. 
www.elsolucionario.org
Copyright © McGraw-Hill Education. Permission required for reproduction or display.
PROBLEM 3.118
As follower AB rolls along the surface of member C, it exerts
a constant force F perpendicular to the surface. (a) Replace
F with an equivalent force-couple system at Point D
obtained by drawing the perpendicular from the point of
contact to the x-axis. (b) For a  1 m and b  2 m, determine
the value of x for which the moment of the equivalent force-
couple system at D is maximum.
SOLUTION
(a) The slope of any tangent to the surface of member C is
2
2 2
2
1
dy d x b
b x
dx dx a a
 
  
  
 
 
 
 
 
 
Since the force F is perpendicular to the surface,
1 2
1
tan
2
dy a
dx b x


   
  
   
   
For equivalence,
:
F
 
F R
: ( cos )( )
D A D
M F y M

 
where
2 2 2
2
2
3
2
2
4 2 2
2
cos
( ) (2 )
1
2
4
A
D
bx
a bx
x
y b
a
x
Fb x
a
M
a b x
 

 
 
 
 
 
 

 
 


Therefore, the equivalent force-couple system at D is
F

R
2
1
tan
2
a
bx
  
 
 
 

3
2
2
4 2 2
2
4
x
Fb x
a
a b x
 

 
 


M 
www.elsolucionario.org
Copyright © McGraw-Hill Education. Permission required for reproduction or display.
PROBLEM 3.118 (Continued)
(b) To maximize M, the value of x must satisfy 0
dM
dx

where for 1m, 2 m
a b
 
3
2
2 2 3 2 1/2
2
8 ( )
1 16
1
1 16 (1 3 ) ( ) (32 )(1 16 )
2
8 0
(1 16 )
F x x
M
x
x x x x x x
dM
F
dx x




 
    
 
 
 

2 2 3
(1 16 )(1 3 ) 16 ( ) 0
x x x x x
    
or 4 2
32 3 1 0
x x
  
2 2 2
3 9 4(32)( 1)
0.136011 m and 0.22976 m
2(32)
x
   
  
Using the positive value of x2
: 0.36880 m
x  or 0.369 m
x  
www.elsolucionario.org
Copyright © McGraw-Hill Education. Permission required for reproduction or display.
PROBLEM 3.119
A machine component is subjected to the forces shown, each
of which is parallel to one of the coordinate axes. Replace
these forces with an equivalent force-couple system at A.
SOLUTION
For equivalence
: B C D A
   
F F F F R
       
240 N 125 N 300 N 150 N
A     
R j k i k
     
300 N 240 N 25.0 N
A
    
R i j k 
Also for equivalence
/ / /
: B A B C A C D A D A

      
r F r F r F M

or 0 0.12 m 0 0.06 m 0.03 m 0.075 m 0.06 m 0.08 m 0.75 m
0 240 N 125 N 300 N 0 0 0 0 150 N
A
M     
  
i j k i j k i j k
         
15 N m 22.5 N m 9 N m 12 N m 9 N m
     
          
     
i j k i j
or      
3.00 N m 13.50 N m 9.00 N m
A       
M i j k 
www.elsolucionario.org
Copyright © McGraw-Hill Education. Permission required for reproduction or display.
PROBLEM 3.120
Two 150-mm-diameter pulleys are mounted
on line shaft AD. The belts at B and C lie in
vertical planes parallel to the yz-plane.
Replace the belt forces shown with an
equivalent force-couple system at A.
SOLUTION
Equivalent force-couple at each pulley:
Pulley B: (145 N)( cos20 sin 20 ) 215 N
(351.26 N) (49.593 N)
(215 N 145 N)(0.075 m)
(5.25 N m)
B
B
     
  
  
  
R j k j
j k
M i
i
Pulley C: (155 N 240 N)( sin10 cos10 )
(68.591 N) (389.00 N)
(240 N 155 N)(0.075 m)
(6.3750 N m)
C
C
     
  
 
 
R j k
j k
M i
i
Then (419.85 N) (339.41)
B C
    
R R R j k or (420 N) (339 N)
 
R j k 
/ /
(5.25 N m) (6.3750 N m) 0.225 0 0 N m
0 351.26 49.593
+ 0.45 0 0 N m
0 68.591 389.00
(1.12500 N m) (163.892 N m) (109.899 N m)
A B C B A B C A C
     
      


 
     
M M M r R r R
i j k
i i
i j k
i j k
or (1.125 N m) (163.9 N m) (109.9 N m)
A      
M i j k 
www.elsolucionario.org
Copyright © McGraw-Hill Education. Permission required for reproduction or display.
PROBLEM 3.121
As an adjustable brace BC is used to bring a wall into plumb,
the force-couple system shown is exerted on the wall. Replace
this force-couple system with an equivalent force-couple system
at A if 21.2 lb
R  and 13.25 lb · ft.
M 
SOLUTION
We have : A BC

  
F R R R
where
(42 in.) (96 in.) (16 in.)
106 in.
BC
 

i j k
λ
21.2 lb
(42 96 16 )
106
A   
R i j k
or (8.40 lb) (19.20 lb) (3.20 lb)
A   
R i j k 
We have /
:
A C A A
   
M r R M M
where /
1
(42 in.) (48 in.) (42 48 )ft
12
(3.5 ft) (4.0 ft)
C A    
 
r i k i k
i k
(8.40 lb) (19.50 lb) (3.20 lb)
42 96 16
(13.25 lb ft)
106
(5.25 lb ft) (12 lb ft) (2 lb ft)
BC M

  
 
  
 
      
R i j k
M
i j k
i j k
Then 3.5 0 4.0 lb ft ( 5.25 12 2 ) lb ft
8.40 19.20 3.20
A
      
 
i j k
i j k M
(71.55 lb ft) (56.80 lb ft) (65.20 lb ft)
A      
M i j k
or (71.6 lb ft) (56.8 lb ft) (65.2 lb ft)
A      
M i j k 
www.elsolucionario.org
Copyright © McGraw-Hill Education. Permission required for reproduction or display.
PROBLEM 3.122
In order to unscrew the tapped faucet A, a
plumber uses two pipe wrenches as shown.
By exerting a 40-lb force on each wrench, at
a distance of 10 in. from the axis of the pipe
and in a direction perpendicular to the pipe
and to the wrench, he prevents the pipe from
rotating, and thus avoids loosening or further
tightening the joint between the pipe and the
tapped elbow C. Determine (a) the angle θ
that the wrench at A should form with the
vertical if elbow C is not to rotate about the
vertical, (b) the force-couple system at C
equivalent to the two 40-lb forces when this
condition is satisfied.
SOLUTION
We first reduce the given forces to force-couple systems at A and B, noting that
| | | | (40 lb)(10 in.)
400 lb in.
A B
 
 
M M
We now determine the equivalent force-couple system at C.
(40 lb)(1 cos ) (40 lb)sin
 
  
R i j (1)
(15 in.) [ (40 lb)cos (40 lb)sin ]
(7.5 in.) (40 lb)
400 400 600cos 600sin 300
(600 lb in.)sin (300 lb in.)(1 2cos )
R
C A B  
 
 
     
 
     
    
M M M k i j
k i
j i j
i j (2)
(a) For no rotation about vertical, y component of R
C
M must be zero.
1 2cos 0
cos 1/2


 

60.0
   
(b) For 60.0
   in Eqs. (1) and (2),
(20.0 lb) (34.641 lb) ; (519.62 lb in.)
R
C
   
R i j M i
(20.0 lb) (34.6 lb) ; (520 lb in.)
R
C
   
R i j M i 
www.elsolucionario.org
Copyright © McGraw-Hill Education. Permission required for reproduction or display.
PROBLEM 3.123
Assuming θ  60° in Prob. 3.122, replace the
two 40-lb forces with an equivalent force-
couple system at D and determine whether
the plumber’s action tends to tighten or
loosen the joint between (a) pipe CD and
elbow D, (b) elbow D and pipe DE.
Assume all threads to be right-handed.
PROBLEM 3.122 In order to unscrew the
tapped faucet A, a plumber uses two pipe
wrenches as shown. By exerting a 40-lb
force on each wrench, at a distance of 10 in.
from the axis of the pipe and in a direction
perpendicular to the pipe and to the wrench,
he prevents the pipe from rotating, and thus
avoids loosening or further tightening the
joint between the pipe and the tapped elbow
C. Determine (a) the angle θ that the
wrench at A should form with the vertical if
elbow C is not to rotate about the vertical,
(b) the force-couple system at C equivalent
to the two 40-lb forces when this condition
is satisfied.
SOLUTION
The equivalent force-couple system at C for 60
   was obtained in the solution to Prob. 3.122:
(20.0 lb) (34.641 lb)
(519.62 lb in.)
R
C
 
 
R i j
M i
The equivalent force-couple system at D is made of R and R
D
M where
/
(519.62 lb in.) (25.0 in.) [(20.0 lb) (34.641 lb) ]
(519.62 lb in.) (500 lb in.)
R R
D C C D
  
    
   
M M r R
i j i j
i k
Equivalent force-couple at D:
(20.0 lb) (34.6 lb) ; (520 lb in.) (500 lb in.)
R
C
     
R i j M i k 
(a) Since R
D
M has no component along the y-axis, the plumber’s action will neither loosen
nor tighten the joint between pipe CD and elbow. 
(b) Since the x component of R
D
M is , the plumber’s action will tend to tighten
the joint between elbow and pipe DE. 
www.elsolucionario.org
Copyright © McGraw-Hill Education. Permission required for reproduction or display.
PROBLEM 3.124
Four forces are applied to the machine component
ABDE as shown. Replace these forces with an
equivalent force-couple system at A.
SOLUTION
(50 N) (300 N) (120 N) (250 N)
(420 N) (50 N) (250 N)
(0.2 m)
(0.2 m) (0.16 m)
(0.2 m) (0.1 m) (0.16 m)
B
D
E
    
   

 
  
R j i i k
R i j k
r i
r k
i
r i j k
[ (300 N) (50 N) ]
( 250 N) ( 120 N)
0.2 m 0 0 0.2 m 0 0.16 m
300 N 50 N 0 0 0 250 N
0.2 m 0.1 m 0.16 m
120 N 0 0
(10 N m) (50 N m) (19.2 N m) (12 N m)
R
A B
D
   
     
 
  
 

        
M r i j
r k r i
i j k i j k
i j k
k j j k
Force-couple system at A is
(420 N) (50 N) (250 N) (30.8 N m) (22.0 N m)
R
A
       
R i j k M j k 
www.elsolucionario.org
Copyright © McGraw-Hill Education. Permission required for reproduction or display.
PROBLEM 3.125
A blade held in a brace is used to tighten a screw at
A. (a) Determine the forces exerted at B and C,
knowing that these forces are equivalent to a force-
couple system at A consisting of R = (25 N)i + Ryj
+ Rzk and M R
A = – (13.5 N·m)i. (b) Find the
corresponding values of Ry and Rz. (c) What is the
orientation of the slot in the head of the screw for
which the blade is least likely to slip when the brace
is in the position shown?
SOLUTION
(a) Equivalence requires :
  
F R B C
or (25 N) ( )
y z x y z
R R B C C C
        
i j k k i j k
Equating the i coefficients: : 25 N or 25 N
x x
C C
   
i
Also, / /
: R
A A B A C A
    
M M r B r C
or (13.5 N m) [(0.2 m) (0.15 m) ] ( )
(0.4 m) [ (25 N) ]
y z
B
C C
     
    
i i j k
i i j k
Equating coefficients: : 13.5 N m (0.15 m) or 75 N
: 0 (0.4 m) or 0
: 0 (0.2 m)(75 N) (0.4 m) or 37.5 N
y y
z z
B B
C C
C C
    
 
  
i
k
j
(75.0 N) (25.0 N) (37.5 N)
    
B k C i k 
(b) Now we have for the equivalence of forces
(25 N) (75 N) [( 25 N) (37.5 N) ]
y z
R R
       
i j k k i k
Equating coefficients: : 0
y
R 
j 0
y
R  
: 75 37.5
z
R   
k or 37.5 N
z
R   
(c) First note that (25 N) (37.5 N) .
  
R i k Thus, the screw is best able to resist the lateral force z
R
when the slot in the head of the screw is vertical. 
www.elsolucionario.org
Copyright © McGraw-Hill Education. Permission required for reproduction or display.
PROBLEM 3.126
A mechanic uses a crowfoot wrench to loosen a bolt at C.
The mechanic holds the socket wrench handle at Points A
and B and applies forces at these points. Knowing that
these forces are equivalent to a force-couple system at C
consisting of the force (8 lb) + (4 lb)

C i k and the couple
(360 lb ·
C 
M in.)i, determine the forces applied at A and
at B when 2 lb.
z
A 
SOLUTION
We have :
F  
A B C
or : 8 lb
x x x
F A B
 
( 8 lb)
x x
B A
   (1)
: 0
y y y
F A B
  
or y y
A B
  (2)
: 2 lb 4 lb
z z
F B
  
or 2 lb
z
B  (3)
We have / /
:
C B C A C C
    
M r B r A M
8 0 2 8 0 8 lb in. (360 lb in.)
2 2
x y x y
B B A A
   
i j k i j k
i
or (2 8 ) (2 16 8 16)
y y x x
B A B A
    
i j
(8 8 ) (360 lb in.)
y y
B A
   
k i
From i-coefficient: 2 8 360 lb in.
y y
B A
   (4)
j-coefficient: 2 8 32 lb in.
x x
B A
    (5)
k-coefficient: 8 8 0
y y
B A
  (6)
www.elsolucionario.org
Copyright © McGraw-Hill Education. Permission required for reproduction or display.
PROBLEM 3.126 (Continued)
From Equations (2) and (4): 2 8( ) 360
y y
B B
  
36 lb 36 lb
y y
B A
 
From Equations (1) and (5): 2( 8) 8 32
x x
A A
   
1.6 lb
x
A 
From Equation (1): (1.6 8) 9.6 lb
x
B     
(1.600 lb) (36.0 lb) (2.00 lb)
  
A i j k 
(9.60 lb) (36.0 lb) (2.00 lb)
   
B i j k 
www.elsolucionario.org
Copyright © McGraw-Hill Education. Permission required for reproduction or display.
PROBLEM 3.127
Three children are standing on a 5 5-m
 raft. If the
weights of the children at Points A, B, and C are 375 N,
260 N, and 400 N, respectively, determine the magnitude
and the point of application of the resultant of the three
weights.
SOLUTION
We have : A B C
   
F F F F R
(375 N) (260 N) (400 N)
(1035 N)
   
 
j j j R
j R
or 1035 N
R  
We have : ( ) ( ) ( ) ( )
x A A B B C C D
M F z F z F z R z
   
(375 N)(3 m) (260 N)(0.5 m) (400 N)(4.75 m) (1035 N)( )
D
z
  
3.0483 m
D
z  or 3.05 m
D
z  
We have : ( ) ( ) ( ) ( )
z A A B B C C D
M F x F x F x R x
   
375 N(1 m) (260 N)(1.5 m) (400 N)(4.75 m) (1035 N)( )
D
x
  
2.5749 m
D
x  or 2.57 m
D
x  
www.elsolucionario.org
Copyright © McGraw-Hill Education. Permission required for reproduction or display.
PROBLEM 3.128
Three children are standing on a 5 5-m raft.
 The
weights of the children at Points A, B, and C are 375 N,
260 N, and 400 N, respectively. If a fourth child of weight
425 N climbs onto the raft, determine where she should
stand if the other children remain in the positions shown
and the line of action of the resultant of the four weights
is to pass through the center of the raft.
SOLUTION
We have : A B C
   
F F F F R
(375 N) (260 N) (400 N) (425 N)
    
j j j j R
(1460 N)
 
R j
We have : ( ) ( ) ( ) ( ) ( )
x A A B B C C D D H
M F z F z F z F z R z
    
(375 N)(3 m) (260 N)(0.5 m) (400 N)(4.75 m)
(425 N)( ) (1460 N)(2.5 m)
D
z
 
 
1.16471 m
D
z  or 1.165 m
D
z  
We have : ( ) ( ) ( ) ( ) ( )
z A A B B C C D D H
M F x F x F x F x R x
    
(375 N)(1 m) (260 N)(1.5 m) (400 N)(4.75 m)
(425 N)( ) (1460 N)(2.5 m)
D
x
 
 
2.3235 m
D
x  or 2.32 m
D
x  
www.elsolucionario.org
Copyright © McGraw-Hill Education. Permission required for reproduction or display.
PROBLEM 3.129
Four signs are mounted on a frame spanning a
highway, and the magnitudes of the horizontal
wind forces acting on the signs are as shown.
Determine the magnitude and the point of
application of the resultant of the four wind forces
when 1 ft
a  and 12 ft.
b 
SOLUTION
We have
Assume that the resultant R is applied at Point P whose coordinates are (x, y, 0).
Equivalence then requires
: 105 90 160 50
z
F R
      
or 405 lb
R  
: (5 ft)(105 lb) (1 ft)(90 lb) (3 ft)(160 lb)
(5.5 ft)(50 lb) (405 lb)
x
M
y
  
  
or 2.94 ft
y  
: (5.5 ft)(105 lb) (12 ft)(90 lb) (14.5 ft)(160 lb)
(22.5 ft)(50 lb) (405 lb)
y
M
x
  
  
or 12.60 ft
x 
R acts 12.60 ft to the right of member AB and 2.94 ft below member BC. 
www.elsolucionario.org
Copyright © McGraw-Hill Education. Permission required for reproduction or display.
PROBLEM 3.130
Four signs are mounted on a frame spanning a
highway, and the magnitudes of the horizontal
wind forces acting on the signs are as shown.
Determine a and b so that the point of application
of the resultant of the four forces is at G.
SOLUTION
Since R acts at G, equivalence then requires that G
M of the applied system of forces also be zero. Then
at
: : ( 3) ft (90 lb) (2 ft)(105 lb)
(2.5 ft)(50 lb) 0
x
G M a
    
 
or 0.722 ft
a  

: (9 ft)(105 ft) (14.5 ) ft (90 lb)
(8 ft)(50 lb) 0
y
M b
    
 

or 20.6 ft
b  
www.elsolucionario.org
Copyright © McGraw-Hill Education. Permission required for reproduction or display.
PROBLEM 3.131
A concrete foundation mat of 5-m radius supports four equally spaced
columns, each of which is located 4 m from the center of the mat.
Determine the magnitude and the point of application of the resultant of
the four loads.
SOLUTION
Have: : A C D E
    
F F F F F R
       
100 kN 125 kN 25kN 75 kN
    
R j j j j
 
325 kN
  j
(325 kN)
  
R P j or 325 kN
R  
Have:      
:
x C C E E G
M F z F z R z
  
 
125 kN (4 m) (75 kN)(4 m)
 
 
325 kN G
z

0.61539 m
G
z
  
or 0.615 m
G
z   
     
:
z A A D D G
M F x F x R x
  
   
100 kN (4 m) (25 kN) 4 m
  
325 kN G
x
 
or 0.923 m
G
x  
www.elsolucionario.org
Copyright © McGraw-Hill Education. Permission required for reproduction or display.
PROBLEM 3.132
Determine the magnitude and the point of application of the smallest
additional load that must be applied to the foundation mat of Prob. 3.131
if the resultant of the five loads is to pass through the center of the mat.
SOLUTION
The smallest load P will be placed on the edge of the mat at a radius of 5 m. Therefore
2 2 2
(5 m) (1)
P P
x z
 
Have:        
:
x C C E E P G
M F z F z P z R z
   
    
125 kN 4 m 75 kN (4 m) ( ) (0)
P
P z R
   
( ) 200 kN m
G
P z   (2)
Also      
: ( )
z A A D D P G
M F x F x P x R x
   
 
100 kN (4 m) (25 kN)(4 m) ( ) (0)
P
P x R
  
( ) 300 kN m
P
P x  
(3)
Substituting for x and z from equations (2) and (3) into (1),
2 2
2
300 200
(5)
P P
   
 
   
   
2 2
2
2
(300) (200)
5200
(5)
P

  or 72.111 kN
P  72.1 kN
P  
Finally, from (2) and (3) 4.16 m ; z 2.77 m
P P
x   
www.elsolucionario.org
Copyright © McGraw-Hill Education. Permission required for reproduction or display.
PROBLEM 3.133*
Three forces of the same magnitude P act on a cube of side a as
shown. Replace the three forces by an equivalent wrench and
determine (a) the magnitude and direction of the resultant force
R, (b) the pitch of the wrench, (c) the axis of the wrench.
SOLUTION
Force-couple system at O:
( )
P P P P
     
R i j k i j k
R
O a P a P a P
Pa Pa Pa
     
   
M j i k j i k
k i j
( )
R
O Pa
   
M i j k
Since R and R
O
M have the same direction, they form a wrench with 1 .
R
O

M M Thus, the axis of the
wrench is the diagonal OA. We note that
1
cos cos cos
3 3
x y z
a
a
  
   
1
3 54.7
3
x y z
R
O
R P
M M Pa
  
    
  
1 3
Pitch
3
M Pa
p a
R P

    
(a) 3 54.7
x y z
R P   
     
(b) – a
(c) Axis of the wrench is diagonal OA.
www.elsolucionario.org
Copyright © McGraw-Hill Education. Permission required for reproduction or display.
PROBLEM 3.134*
A piece of sheet metal is bent into the shape shown and is
acted upon by three forces. If the forces have the same
magnitude P, replace them with an equivalent wrench and
determine (a) the magnitude and the direction of the
resultant force R, (b) the pitch of the wrench, (c) the axis
of the wrench.
SOLUTION
First reduce the given forces to an equivalent force-couple system  
, R
O
R M at the origin.
We have
: P P P R
    
F j j k
or P

R k
5
: ( ) ( )
2
R
O O
aP aP aP M
 
 
     
 
 
 
 
M j i k
or
5
2
R
O aP
 
   
 
 
M i j k
(a) Then for the wrench,
R P
 
and axis
R
 
R
λ k
cos 0 cos 0 cos 1
x y z
  
  
or 90 90 0
x y z
  
      
(b) Now
1 axis
5
2
5
2
R
O
M
aP
aP
 
 
    
 
 

M
k i j k

Then
5
1 2
aP
P
R P
 
M
or
5
2
P a
 
www.elsolucionario.org
Copyright © McGraw-Hill Education. Permission required for reproduction or display.
PROBLEM 3.134* (Continued)
(c) The components of the wrench are 1
( , ),
R M where 1 1 axis ,
M

M  and the axis of the wrench is
assumed to intersect the xy-plane at Point Q, whose coordinates are (x, y, 0). Thus, we require
z Q R
 
M r R
where 1
z O
 
M M M
Then
5 5
( )
2 2
aP aP x y P
 
      
 
 
i j k k i j k
Equating coefficients:
: or
: or
aP yP y a
aP xP x a
   
   
i
j
The axis of the wrench is parallel to the z-axis and intersects the xy-plane at , .
x a y a
   
www.elsolucionario.org
Copyright © McGraw-Hill Education. Permission required for reproduction or display.
PROBLEM 3.135*
The forces and couples shown are applied to two screws
as a piece of sheet metal is fastened to a block of wood.
Reduce the forces and the couples to an equivalent
wrench and determine (a) the resultant force R, (b) the
pitch of the wrench, (c) the point where the axis of the
wrench intersects the xz-plane.
SOLUTION
First, reduce the given force system to a force-couple system.
We have : (20 N) (15 N) 25 N
R
    
F i j R
We have : ( ) R
O O C O
     
M r F M M
20 N(0.1 m) (4 N m) (1 N m)
(4 N m) (3 N m)
R
O      
    
M j i j
i j
(a) (20.0 N) (15.00 N)
  
R i j 
(b) We have 1
( 0.8 0.6 ) [ (4 N m) (3 N m) ]
5 N m
R
R O
M
R
  
       
 
R
M
i j i j
 
Pitch: 1 5 N m
0.200 m
25 N
M
p
R

  
or 0.200 m
p  
(c) From above, note that
1
R
O

M M
Therefore, the axis of the wrench goes through the origin. The line of action of the wrench lies in
the xy-plane with a slope of
3
4
y x
 
www.elsolucionario.org
Copyright © McGraw-Hill Education. Permission required for reproduction or display.
PROBLEM 3.136*
The forces and couples shown are applied to two screws as a
piece of sheet metal is fastened to a block of wood. Reduce the
forces and the couples to an equivalent wrench and determine
(a) the resultant force R, (b) the pitch of the wrench, (c) the point
where the axis of the wrench intersects the xz-plane.
SOLUTION
First, reduce the given force system to a force-couple at the origin.
We have : (10 lb) (11lb)
   
F j j R
(21lb)
 
R j
We have : ( ) R
O O C O
     
M r F M M
0 0 20 lb in. 0 0 15 lb in. (12 lb in)
0 10 0 0 11 0
(35 lb in.) (12 lb in.)
R
O       
 
   
i j k i j k
M j
i j
(a) (21lb)
 
R j or (21.0 lb)
 
R j 
(b) We have 1
1
( ) [(35 lb in.) (12 lb in.) ]
12 lb in. and (12 lb in.)
R
R O R
M
R
  
     
    
R
λ M λ
j i j
M j
and pitch 1 12 lb in.
0.57143 in.
21lb
M
p
R

   or 0.571in.
p  
www.elsolucionario.org
Copyright © McGraw-Hill Education. Permission required for reproduction or display.
PROBLEM 3.136* (Continued)
(c) We have 1 2
2 1 (35 lb in.)
R
O
R
O
 
   
M M M
M M M i
We require 2 /
(35 lb in.) ( ) [ (21lb) ]
35 (21 ) (21 )
Q O
x z
x z
 
    
  
M r R
i i k j
i k i
From i: 35 21
1.66667 in.
z
z


From k: 0 21
0
x
z
 

The axis of the wrench is parallel to the y-axis and intersects the xz-plane at 0, 1.667 in.
x z
  
www.elsolucionario.org
Copyright © McGraw-Hill Education. Permission required for reproduction or display.
PROBLEM 3.137*
Two bolts at A and B are tightened by applying the forces
and couples shown. Replace the two wrenches with a
single equivalent wrench and determine (a) the resultant
R, (b) the pitch of the single equivalent wrench, (c) the
point where the axis of the wrench intersects the xz-plane.
SOLUTION
First, reduce the given force system to a force-couple at the origin.
We have : (84 N) (80 N) 116 N
R
    
F j k R
and : ( ) R
O O C O
     
M r F M M
0.6 0 0.1 0.4 0.3 0 ( 30 32 ) N m
0 84 0 0 0 80
R
O
     
i j k i j k
j k M
(15.6 N m) (2 N m) (82.4 N m)
R
O       
M i j k
(a) (84.0 N) (80.0 N)
  
R j k 
(b) We have 1
84 80
[ (15.6 N m) (2 N m) (82.4 N m) ]
116
55.379 N m
R
R O R
M
R
  
 
        
 
R
λ M λ
j k
i j k
and 1 1 (40.102 N m) (38.192 N m)
R
M 
     
M j k
Then pitch 1 55.379 N m
0.47741m
116 N
M
p
R

   or 0.477 m
p  
www.elsolucionario.org
Copyright © McGraw-Hill Education. Permission required for reproduction or display.
PROBLEM 3.137* (Continued)
(c) We have 1 2
2 1 [( 15.6 2 82.4 ) (40.102 38.192 )] N m
(15.6 N m) (42.102 N m) (44.208 N m)
R
O
R
O
 
        
      
M M M
M M M i j k j k
i j k
We require 2 /
( 15.6 42.102 44.208 ) ( ) (84 80 )
(84 ) (80 ) (84 )
Q O
x z
z x x
 
      
  
M r R
i j k i k j k
i j k
From i: 15.6 84
0.185714 m
z
z
 
 
or 0.1857 m
z  
From k: 44.208 84
0.52629 m
x
x
  

or 0.526 m
x 
The axis of the wrench intersects the xz-plane at
0.526 m 0 0.1857 m
x y z
    
www.elsolucionario.org
Copyright © McGraw-Hill Education. Permission required for reproduction or display.
PROBLEM 3.138*
Two bolts at A and B are tightened by applying the forces
and couples shown. Replace the two wrenches with a single
equivalent wrench and determine (a) the resultant R,
(b) the pitch of the single equivalent wrench, (c) the point
where the axis of the wrench intersects the xz-plane.
SOLUTION
First, reduce the given force system to a force-couple at the origin at B.
(a) We have
8 15
: (26.4 lb) (17 lb)
17 17
 
    
 
 
F k i j R
(8.00 lb) (15.00 lb) (26.4 lb)
   
R i j k 
and 31.4 lb
R 
We have /
: R
B A B A A B B
    
M r F M M M
8 15
0 10 0 220 238 264 220 14(8 15 )
17 17
0 0 26.4
(152 lb in.) (210 lb in.) (220 lb in.)
R
B
R
B
 
        
 
 

     
i j k
M k i j i k i j
M i j k
(b) We have 1
8.00 15.00 26.4
[(152 lb in.) (210 lb in.) (220 lb in.) ]
31.4
246.56 lb in.
R
R O R
M
R
  
  
      
 
R
λ M λ
i j k
i j k
www.elsolucionario.org
Copyright © McGraw-Hill Education. Permission required for reproduction or display.
PROBLEM 3.138* (Continued)
and 1 1 (62.818 lb in.) (117.783 lb in.) (207.30 lb in.)
R
M 
       
M i j k
Then pitch 1 246.56 lb in.
7.8522 in.
31.4 lb
M
p
R

   or 7.85 in.
p  
(c) We have 1 2
2 1 (152 210 220 ) ( 62.818 117.783 207.30 )
(214.82 lb in.) (92.217 lb in.) (12.7000 lb in.)
R
B
R
B
 
        
     
M M M
M M M i j k i j k
i j k
We require 2 /
Q B
 
M r R
214.82 92.217 12.7000 0
8 15 26.4
(15 ) (8 ) (26.4 ) (15 )
x z
z z x x
  
  
   
i j k
i j k
i j j k
From i: 214.82 15 14.3213 in.
z z
 
From k: 12.7000 15 0.84667 in.
x x
   
The axis of the wrench intersects the xz-plane at 0.847 in. 0 14.32 in.
x y z
   
www.elsolucionario.org
Copyright © McGraw-Hill Education. Permission required for reproduction or display.
PROBLEM 3.139*
Two ropes attached at A and B are used to move the trunk
of a fallen tree. Replace the forces exerted by the ropes
with an equivalent wrench and determine (a) the resultant
force R, (b) the pitch of the wrench, (c) the point where the
axis of the wrench intersects the yz-plane.
SOLUTION
(a) First replace the given forces with an equivalent force-couple system  
, R
O
R M at the origin.
We have
2 2 2
2 2 2
(6) (2) (9) 11 m
(14) (2) (5) 15 m
AC
BD
d
d
   
   
Then
1650 N
(6 2 9 )
11
(900 N) (300 N) (1350 N)
AC
T    
  
i j k
i j k
and
1500 N
(14 2 5 )
15
(1400 N) (200 N) (500 N)
BD
T    
  
i j k
i j k
Equivalence then requires
:
(900 300 1350 )
(1400 200 500 )
(2300 N) (500 N) (1850 N)
AC BD
  
  
  
  
F R T T
i j k
i j k
i j k
: R
O O A AC B BD
    
M M r T r T
(12 m) [(900 N) (300 N) (1350 N) ]
(9 m) [(1400 N) (200 N) (500 N) ]
(3600) (10,800 4500) (1800)
(3600 N m) (6300 N m) (1800 N m)
   
   
    
      
k i j k
i i j k
i j k
i j k
The components of the wrench are 1
( , ),
R M where
(2300 N) (500 N) (1850 N)
  
R i j k 
www.elsolucionario.org
Copyright © McGraw-Hill Education. Permission required for reproduction or display.
PROBLEM 3.139* (Continued)

(b) We have
2 2 2
100 (23) (5) (18.5) 2993.7 N
R    
Let
axis
1
(23 5 18.5 )
29.937
R
   
R
i j k

Then 1 axis
1
(23 5 18.5 ) ( 3600 6300 1800 )
29.937
1
[(23)( 36) (5)(63) (18.5)(18)]
0.29937
601.26 N m
R
O
M  
      
   
  
M
i j k i j k

Finally, 1 601.26 N m
2993.7 N
M
P
R
 
 
or 0.201 m
P   
(c) We have 1 1 axis
1
( 601.26 N m) (23 5 18.5 )
29.937
M M

     
λ
i j k
or 1 (461.93 N m) (100.421 N m) (371.56 N m)
      
M i j k
Now 2 1
( 3600 6300 1800 )
( 461.93 100.421 371.56 )
(3138.1 N m) (6400.4 N m) (2171.6 N m)
R
O
 
   
   
      
M M M
i j k
i j k
i j k
For equivalence:
www.elsolucionario.org
Copyright © McGraw-Hill Education. Permission required for reproduction or display.
PROBLEM 3.139* (Continued)
Thus, we require 2 ( )
P y z
   
M r R r j k
Substituting:
3138.1 6400.4 2171.6 0
2300 500 1850
y z
   
i j k
i j k
Equating coefficients:
: 6400.4 2300 or 2.78 m
: 2171.6 2300 or 0.944 m
z z
y y
 
   
j
k
The axis of the wrench intersects the yz-plane at 0.944 m 2.78 m
y z
   
www.elsolucionario.org
Copyright © McGraw-Hill Education. Permission required for reproduction or display.
PROBLEM 3.140*
A flagpole is guyed by three cables. If the tensions in the
cables have the same magnitude P, replace the forces
exerted on the pole with an equivalent wrench and
determine (a) the resultant force R, (b) the pitch of the
wrench, (c) the point where the axis of the wrench
intersects the xz-plane.
SOLUTION
(a) First reduce the given force system to a force-couple at the origin.
We have : BA DC DE
P P P
   
F λ λ λ R
4 3 3 4 9 4 12
5 5 5 5 25 5 25
P
 

     
      
 
     
     
 
R j k i j i j k
3
(2 20 )
25
P
  
R i j k 
2 2 2
3 27 5
(2) (20) (1)
25 25
P
R P
   
We have : ( ) R
O O
P
   
M r M
4 3 3 4 9 4 12
(24 ) (20 ) (20 )
5 5 5 5 25 5 25
R
O
P P P P P P P
a a a
 
     
         
     
     
j j k j i j j i j k M
24
( )
5
R
O
Pa
  
M i k
www.elsolucionario.org
Copyright © McGraw-Hill Education. Permission required for reproduction or display.
PROBLEM 3.140* (Continued)
(b) We have 1
R
R O
M  M

where
3 25 1
(2 20 ) (2 20 )
25 27 5 9 5
R
P
R P
      
R
i j k i j k

Then 1
1 24 8
(2 20 ) ( )
5
9 5 15 5
Pa Pa
M

      
i j k i k
and pitch 1 8 25 8
81
15 5 27 5
M Pa a
p
R P
 
 
  
 
 
or 0.0988
p a
  
(c) 1 1
8 1 8
(2 20 ) ( 2 20 )
675
15 5 9 5
R
Pa Pa
M
 

       
 
 
M i j k i j k

Then 2 1
24 8 8
( ) ( 2 20 ) ( 430 20 406 )
5 675 675
R
O
Pa Pa Pa
            
M M M i k i j k i j k
We require 2 /
Q O
 
M r R
8 3
( 403 20 406 ) ( ) (2 20 )
675 25
3
[20 ( 2 ) 20 ]
25
Pa P
x z
P
z x z x
   
       
   
   
 
   
 
 
i j k i k i j k
i j k
From i:
3
8( 403) 20 1.99012
675 25
Pa P
z z a
 
   
 
 
From k:
3
8( 406) 20 2.0049
675 25
Pa P
x x a
 
   
 
 
The axis of the wrench intersects the xz-plane at
2.00 , 1.990
x a z a
   
www.elsolucionario.org
Copyright © McGraw-Hill Education. Permission required for reproduction or display.
PROBLEM 3.141*
Determine whether the force-and-couple system shown can
be reduced to a single equivalent force R. If it can,
determine R and the point where the line of action of R
intersects the yz-plane. If it cannot be so reduced, replace
the given system with an equivalent wrench and determine
its resultant, its pitch, and the point where its axis intersects
the yz-plane.
SOLUTION
First, reduce the given force system to a force-couple at the origin.
We have : A G
  
F F F R
(40 mm) (60 mm) (120 mm)
(50 N) 70 N
140 mm
(20 N) (30 N) (10 N)
 
 
   
 
  
i j k
R k
i j k
and 37.417 N
R 
We have : ( ) R
O O C O
     
M r F M M
0
[(0.12 m) (50 N) ] {(0.16 m) [(20 N) (30 N) (60 N) ]}
(160 mm) (120 mm)
(10 N m)
200 mm
(40 mm) (120 mm) (60 mm)
(14 N m)
140 mm
(18 N m) (8.4 N m) (10.8 N m)
R
O
R
     
 

   
 
 
 
   
 
     
M j k i i j k
i j
i j k
M i j k
To be able to reduce the original forces and couples to a single equivalent force, R and M must be
perpendicular. Thus, 0.
 
R M
Substituting
?
(20 30 10 ) (18 8.4 10.8 ) 0
     
i j k i j k
or
?
(20)(18) (30)( 8.4) ( 10)(10.8) 0
    
or 0 0


R and M are perpendicular so that the given system can be reduced to the single equivalent force.
(20.0 N) (30.0 N) (10.00 N)
  
R i j k 
www.elsolucionario.org
Copyright © McGraw-Hill Education. Permission required for reproduction or display.
PROBLEM 3.141* (Continued)

Then for equivalence,
Thus, we require R
O p p y z
   
M r R r j k
Substituting:
18 8.4 10.8 0
20 30 10
y z
  

i j k
i j k
Equating coefficients:
: 8.4 20 or 0.42 m
: 10.8 20 or 0.54 m
z z
y y
   
   
j
k
The line of action of R intersects the yz-plane at 0 0.540 m 0.420 m
x y z
     
www.elsolucionario.org
Copyright © McGraw-Hill Education. Permission required for reproduction or display.
PROBLEM 3.142*
Determine whether the force-and-couple system shown
can be reduced to a single equivalent force R. If it can,
determine R and the point where the line of action of R
intersects the yz-plane. If it cannot be so reduced, replace
the given system with an equivalent wrench and
determine its resultant, its pitch, and the point where its
axis intersects the yz-plane.
SOLUTION
First determine the resultant of the forces at D. We have
2 2 2
2 2 2
( 12) (9) (8) 17 in.
( 6) (0) ( 8) 10 in.
DA
ED
d
d
    
     
Then
34 lb
( 12 9 8 )
17
(24 lb) (18 lb) (16 lb)
DA     
   
F i j k
i j k
and
30 lb
( 6 8 )
10
(18 lb) (24 lb)
ED    
  
F i k
i k
Then
: DA ED
  
F R F F
( 24 18 16 ( 18 24 )
(42 lb) (18 lb) (8 lb)
      
   
i j k i k
i j k
For the applied couple
2 2 2
( 6) ( 6) (18) 6 11 in.
AK
d      
Then
160 lb in.
( 6 6 18 )
6 11
160
[ (1 lb in.) (1 lb in.) (3 lb in.) ]
11

   
      
M i j k
i j k
To be able to reduce the original forces and couple to a single equivalent force, R and M
must be perpendicular. Thus
?
0
 
R M
www.elsolucionario.org
Copyright © McGraw-Hill Education. Permission required for reproduction or display.
PROBLEM 3.142* (Continued)
Substituting
?
160
( 42 18 8 ) ( 3 ) 0
11
       
i j k i j k
or
?
160
[( 42)( 1) (18)( 1) ( 8)(3)] 0
11
      
or 0 0


R and M are perpendicular so that the given system can be reduced to the single equivalent force.
(42.0 lb) (18.00 lb) (8.00 lb)
   
R i j k 
Then for equivalence,
Thus, we require /
P D
 
M r R
where / (12 in.) [( 3)in.] ( in.)
P D y z
    
r i j k
Substituting:
160
( 3 ) 12 ( 3)
11
42 18 8
[( 3)( 8) ( )(18)]
[( )( 42) ( 12)( 8)]
[( 12)(18) ( 3)( 42)]
y z
y z
z
y
     
 
   
    
    
i j k
i j k
i
j
k
Equating coefficients:
160
: 42 96 or 1.137 in.
11
480
: 216 42( 3) or 11.59 in.
11
z z
y y
     
    
j
k
The line of action of R intersects the yz-plane at 0 11.59 in. 1.137 in.
x y z
    
www.elsolucionario.org
Copyright © McGraw-Hill Education. Permission required for reproduction or display.
PROBLEM 3.143*
Replace the wrench shown with an equivalent system consisting of two
forces perpendicular to the y-axis and applied respectively at A and B.
SOLUTION
Express the forces at A and B as
x z
x z
A A
B B
 
 
A i k
B i k
Then, for equivalence to the given force system,
: 0
x x x
F A B
   (1)
:
z z z
F A B R
   (2)
: ( ) ( ) 0
x z z
M A a B a b
    (3)
: ( ) ( )
z x x
M A a B a b M
     (4)
From Equation (1), x x
B A
 
Substitute into Equation (4):
( ) ( )
x x
A a A a b M
   
and
x x
M M
A B
b b
  
From Equation (2), z z
B R A
 
and Equation (3), ( )( ) 0
z z
A a R A a b
   
1
z
a
A R
b
 
 
 
 
and 1
z
a
B R R
b
 
  
 
 
z
a
B R
b
 
Then 1
M a
R
b b
   
  
   
   
A i k 
M a
R
b b
   
  
   
   
B i k 
www.elsolucionario.org
Copyright © McGraw-Hill Education. Permission required for reproduction or display.
PROBLEM 3.144*
Show that, in general, a wrench can be replaced with two forces chosen in such a way that one force
passes through a given point while the other force lies in a given plane.
SOLUTION
First, choose a coordinate system so that the xy-plane coincides with the given plane. Also, position the
coordinate system so that the line of action of the wrench passes through the origin as shown in Figure a.
Since the orientation of the plane and the components (R, M) of the wrench are known, it follows that the
scalar components of R and M are known relative to the shown coordinate system.
A force system to be shown as equivalent is illustrated in Figure b. Let A be the force passing through the
given Point P and B be the force that lies in the given plane. Let b be the x-axis intercept of B.
The known components of the wrench can be expressed as
and
x y z x y z
R R R M M M M
     
R i j k i j k
while the unknown forces A and B can be expressed as
and
x y z x z
A A A B B
    
A i j k B i k
Since the position vector of Point P is given, it follows that the scalar components (x, y, z) of the
position vector rP are also known.
Then, for equivalence of the two systems,
:
x x x x
F R A B
   (1)
:
y y y
F R A
  (2)
:
z z z z
F R A B
   (3)
:
x x z y
M M yA zA
   (4)
:
y y x z z
M M zA xA bB
    (5)
:
z z y x
M M xA yA
   (6)
Based on the above six independent equations for the six unknowns ( , , , , , ),
x y z x z
A A A B B b there
exists a unique solution for A and B.
From Equation (2), y y
A R
 
www.elsolucionario.org
Copyright © McGraw-Hill Education. Permission required for reproduction or display.
PROBLEM 3.144* (Continued)
Equation (6):
1
( )
x y z
A xR M
y
 
 
 
 

Equation (1):
1
( )
x x y z
B R xR M
y
 
  
 
 

Equation (4):
1
( )
z x y
A M zR
y
 
 
 
 

Equation (3):
1
( )
z z x y
B R M zR
y
 
  
 
 

Equation (5):
( )
( )
x y z
x z y
xM yM zM
b
M yR zR
 

 

www.elsolucionario.org
Copyright © McGraw-Hill Education. Permission required for reproduction or display.
PROBLEM 3.145*
Show that a wrench can be replaced with two perpendicular forces, one of which is applied at a given
point.
SOLUTION
First, observe that it is always possible to construct a line perpendicular to a given line so that the
constructed line also passes through a given point. Thus, it is possible to align one of the coordinate axes
of a rectangular coordinate system with the axis of the wrench while one of the other axes passes through
the given point.
See Figures a and b.
We have and
R M
 
R j M j and are known.
The unknown forces A and B can be expressed as
and
x y z x y z
A A A B B B
     
A i j k B i j k
The distance a is known. It is assumed that force B intersects the xz-plane at (x, 0, z). Then for
equivalence,
:
x
F
 0 x x
A B
  (1)
:
y
F
 y y
R A B
  (2)
:
z
F
 0 z z
A B
  (3)
:
x
M
 0 y
zB
  (4)
:
y z z x
M M aA xB zB
     (5)
:
z
M
 0 y y
aA xB
  (6)
Since A and B are made perpendicular,
0 or 0
x x y y z z
A B A B A B
    
A B (7)
There are eight unknowns: , , , , , , ,
x y z x y z
A A A B B B x z
But only seven independent equations. Therefore, there exists an infinite number of solutions.
Next, consider Equation (4): 0 y
zB
 
If 0,
y
B  Equation (7) becomes 0
x x z z
A B A B
 
Using Equations (1) and (3), this equation becomes 2 2
0
x z
A A
 
www.elsolucionario.org
Copyright © McGraw-Hill Education. Permission required for reproduction or display.
PROBLEM 3.145* (Continued)
Since the components of A must be real, a nontrivial solution is not possible. Thus, it is required that
0,
y
B  so that from Equation (4), 0.
z 
To obtain one possible solution, arbitrarily let 0.
x
A 
(Note: Setting , , or
y z z
A A B equal to zero results in unacceptable solutions.)
The defining equations then become
0 x
B
 (1)
y y
R A B
  (2)
0 z z
A B
  (3)
z z
M aA xB
   (5)
0 y y
aA xB
  (6)
0
y y z z
A B A B
  (7)
Then Equation (2) can be written y y
A R B
 
Equation (3) can be written z z
B A
 
Equation (6) can be written
y
y
aA
x
B
 
Substituting into Equation (5),
( )
y
z z
y
R B
M aA a A
B
 

    
 
 
 
or z y
M
A B
aR
  (8)
Substituting into Equation (7),
( ) 0
y y y y
M M
R B B B B
aR aR
  
   
  
  
or
2 3
2 2 2
y
a R
B
a R M


Then from Equations (2), (8), and (3),
2 2 2
2 2 2 2 2 2
2 3 2
2 2 2 2 2 2
2
2 2 2
y
z
z
a R RM
A R
a R M a R M
M a R aR M
A
aR a R M a R M
aR M
B
a R M
  
 
 
   
 
 
 
 


PROBLEM 3.145* (Continued)
www.elsolucionario.org
Copyright © McGraw-Hill Education. Permission required for reproduction or display.
In summary,
2 2 2
( )
RM
M aR
a R M
 

A j k 
2
2 2 2
( )
aR
aR M
a R M
 

B j k 
Which shows that it is possible to replace a wrench with two perpendicular forces, one of which is
applied at a given point.
Lastly, if 0
R  and 0,
M  it follows from the equations found for A and B that 0
y
A  and 0.
y
B 
From Equation (6), 0
x  (assuming 0).
a  Then, as a consequence of letting 0,
x
A  force A lies in a
plane parallel to the yz-plane and to the right of the origin, while force B lies in a plane parallel to the yz-
plane but to the left to the origin, as shown in the figure below.

www.elsolucionario.org
Copyright © McGraw-Hill Education. Permission required for reproduction or display.
PROBLEM 3.146*
Show that a wrench can be replaced with two forces, one of which has a prescribed line of action.
SOLUTION
First, choose a rectangular coordinate system where one axis coincides with the axis of the wrench and
another axis intersects the prescribed line of action (AA). Note that it has been assumed that the line of
action of force B intersects the xz-plane at Point P(x, 0, z). Denoting the known direction of line AA by
A x y z
   
  
i j k
it follows that force A can be expressed as
( )
A x y z
A A
   
   
A i j k
Force B can be expressed as
x y z
B B B
  
B i j k
Next, observe that since the axis of the wrench and the prescribed line of action AA are known, it follows
that the distance a can be determined. In the following solution, it is assumed that a is known.
Then for equivalence,
: 0
x x x
F A B

   (1)
:
y y y
F R A B

   (2)
: 0
z z z
F A B

   (3)
: 0
x y
M zB
   (4)
:
y z x z
M M aA zB xB

     (5)
: 0
x y y
M aA xB

    (6)
Since there are six unknowns (A, Bx, By, Bz, x, z) and six independent equations, it will be possible to
obtain a solution.
www.elsolucionario.org
Copyright © McGraw-Hill Education. Permission required for reproduction or display.
PROBLEM 3.146* (Continued)
Case 1: Let 0
z  to satisfy Equation (4).
Now Equation (2): y y
A R B
  
Equation (3): z z
B A
 
Equation (6): ( )
y
y
y y
aA a
x R B
B B
  
    
 
 
 
Substitution into Equation (5):
( )( )
1
z y z
y
y
z
a
M aA R B A
B
M
A B
aR
 

 
 
 
     
 
 
 
 
 
 
   
 
Substitution into Equation (2):
2
1
y y y
z
z
y
z y
M
R B B
aR
aR
B
aR M



 
 
  
 
 


Then
z y
y z
x
x x
z y
z
z z
z y
MR R
A
aR
aR M
M
MR
B A
aR M
MR
B A
aR M
   


 


 
  
 
  

  

In summary, A
y z
P
aR
M

 


A 
( )
x z z
z y
R
M aR M
aR M
  
 
  

B i j k 
and
2
1
1
y
z y
z
R
x a
B
aR M
a R
aR
 

 
 
 
 
 
 

 
 
 
 
 
 
 
 
or
y
z
M
x
R


 
Note that for this case, the lines of action of both A and B intersect the x-axis.
www.elsolucionario.org
Copyright © McGraw-Hill Education. Permission required for reproduction or display.
PROBLEM 3.146* (Continued)
Case 2: Let 0
y
B  to satisfy Equation (4).
Now Equation (2):
y
R
A


Equation (1): x
x
y
B R


 
   
 
 
Equation (3): z
z
y
B R


 
   
 
 
Equation (6): 0
y
aA  which requires 0
a 
Substitution into Equation (5):
or
x z
z x y
y y
M
M z R x R x z
R
 
  
 
   
     
   
     
     
     
   
   
   
This last expression is the equation for the line of action of force B.
In summary,
A
y
R


 
  
 
 
A 
( )
x x
y
R
 

 
  
 
 
 
B i k 
Assuming that , , 0,
x y z
   . the equivalent force system is as shown below.
Note that the component of A in the xz-plane is parallel to B.
www.elsolucionario.org
Copyright © McGraw-Hill Education. Permission required for reproduction or display.
PROBLEM 3.147
A 300-N force P is applied at Point A of the bell crank shown.
(a) Compute the moment of the force P about O by resolving it
into horizontal and vertical components. (b) Using the result of
part (a), determine the perpendicular distance from O to the
line of action of P.
SOLUTION
(0.2 m)cos40
0.153209 m
(0.2 m)sin 40
0.128558 m
x
y
 

 

/ (0.153209 m) (0.128558 m)
A O
  
r i j
(a) (300 N)sin30
150 N
(300 N)cos30
259.81 N
x
y
F
F
 

 

(150 N) (259.81 N)
 
F i j
/
(0.153209 0.128558 ) m (150 259.81 ) N
(39.805 19.2837 ) N m
(20.521 N m)
O A O
 
   
  
 
M r F
i j i j
k k
k 20.5 N m
O  
M 
(b) O
M Fd

20.521 N m (300 N)( )
0.068403 m
d
d
 
 68.4 mm
d  
www.elsolucionario.org
Copyright © McGraw-Hill Education. Permission required for reproduction or display.
PROBLEM 3.148
A winch puller AB is used to straighten a fence post. Knowing that the tension in cable BC is 1040 N and
length d is 1.90 m, determine the moment about D of the force exerted by the cable at C by resolving that
force into horizontal and vertical components applied (a) at Point C, (b) at Point E.
SOLUTION
(a) Slope of line:
0.875 m 5
1.90 m 0.2 m 12
EC  

Then
12
( )
13
ABx AB
T T

12
(1040 N)
13
960 N

 (a)
and
5
(1040 N)
13
400 N
ABy
T 

Then (0.875 m) (0.2 m)
(960 N)(0.875 m) (400 N)(0.2 m)
D ABx ABy
M T T
 
 
760 N m
  or 760 N m
D  
M 
(b) We have ( ) ( )
D ABx ABx
M T y T x
 
(960 N)(0) (400 N)(1.90 m)
760 N m
 
  (b)
or 760 N m
D  
M 
www.elsolucionario.org
Copyright © McGraw-Hill Education. Permission required for reproduction or display.
PROBLEM 3.149
A small boat hangs from two davits, one of which is shown in
the figure. The tension in line ABAD is 82 lb. Determine the
moment about C of the resultant force RA exerted on the davit
at A.
SOLUTION
We have 2
A AB AD
 
R F F
where (82 lb)
AB  
F j
and
6 7.75 3
(82 lb)
10.25
(48 lb) (62 lb) (24 lb)
AD AD
AD
AD
AD
 
 
  
i j k
F F
F i j k

Thus 2 (48 lb) (226 lb) (24 lb)
A AB AD
    
R F F i j k
Also / (7.75 ft) (3 ft)
A C  
r j k
Using Eq. (3.21): 0 7.75 3
48 226 24
(492 lb ft) (144.0 lb ft) (372 lb ft)
C 
 
     
i j k
M
i j k
(492 lb ft) (144.0 lb ft) (372 lb ft)
C      
M i j k 
www.elsolucionario.org
Copyright © McGraw-Hill Education. Permission required for reproduction or display.
PROBLEM 3.150
Consider the volleyball net
shown. Determine the angle
formed by guy wires AB and
AC.
SOLUTION
First note: 2 2 2
2 2 2
( 6.5) ( 8) (2) 10.5 ft
(0) ( 8) (6) 10 ft
AB
AC
     
    
and (6.5 ft) (8 ft) (2 ft)
(8 ft) (6 ft)
AB
AC
   
  
i j k
j k



By definition, ( )( )cos
AB AC AB AC 
 

 
or ( 6.5 8 2 ) ( 8 6 ) (10.5)(10)cos
( 6.5)(0) ( 8)( 8) (2)(6) 105cos


      
     
i j k j k
or cos 0.72381
  or 43.6
   
www.elsolucionario.org
Copyright © McGraw-Hill Education. Permission required for reproduction or display.
PROBLEM 3.151
A single force P acts at C in a direction perpendicular to
the handle BC of the crank shown. Determine the moment
Mx of P about the x-axis when θ  65°, knowing that
My  15 N · m and Mz  36 N · m.
SOLUTION
See the solution to Prob. 3.53 for the derivation of the following equations:
(0.2) sin( )
x
M P  
  (1)
tan z
y
M
M
  (4)
2 2
4 y z
P M M
  (5)
Substituting for known data gives:
2 2
36 N m
tan
15 N m
67.380
4 ( 15) ( 36)
156.0 N
0.2 m(156.0 N)sin(65 67.380 )
23.047 N m
x
P
P
M


 

 
 
   

   
 
23.0 N m
x
M   
www.elsolucionario.org
Copyright © McGraw-Hill Education. Permission required for reproduction or display.
PROBLEM 3.152
A small boat hangs from two davits, one of which is shown in
the figure. It is known that the moment about the z-axis of the
resultant force A
R exerted on the davit at A must not exceed
279 lbft in absolute value. Determine the largest allowable
tension in line ABAD when 6
x  ft.
SOLUTION
First note: 2
A AB AD
 
R T T
Also note that only TAD will contribute to the moment about the z-axis.
Now 2 2 2
(6) ( 7.75) ( 3)
10.25 ft
AD     

Then
(6 7.75 3 )
10.25
AD
AD
T
AD
T

  
T
i j k

Now /
( )
z A C AD
M   
k r T
where / (7.75 ft) (3 ft)
A C  
r j k
Then for max,
T max
max
0 0 1
279 0 7.75 3
10.25
6 7.75 3
| (1)(7.75)(6)|
10.25
T
T

 
 
or max 61.5 lb
T  
www.elsolucionario.org
Copyright © McGraw-Hill Education. Permission required for reproduction or display.
PROBLEM 3.153
In a manufacturing operation, three holes are drilled
simultaneously in a workpiece. If the holes are
perpendicular to the surfaces of the workpiece, replace the
couples applied to the drills with a single equivalent
couple, specifying its magnitude and the direction of
its axis.
SOLUTION
1 2 3
2 2 2
(1.5 N m)( cos20 sin 20 ) (1.5 N m)
(1.75 N m)( cos25 sin 25 )
(4.4956 N m) (0.22655 N m)
(0) ( 4.4956) (0.22655)
4.5013 N m
M
  
       
     
    
   
 
M M M M
j k j
j k
j k
4.50 N m
M   
axis (0.99873 0.050330 )
cos 0
cos 0.99873
cos 0.050330
x
y
z
M



   

 

M
j k

90.0 , 177.1 , 87.1
x y z
  
      
www.elsolucionario.org
Copyright © McGraw-Hill Education. Permission required for reproduction or display.
PROBLEM 3.154
A 260-lb force is applied at A to the rolled-steel section shown. Replace that
force with an equivalent force-couple system at the center C of the section.
SOLUTION
2 2
(2.5 in.) (6.0 in.) 6.50 in.
AB   
2.5 in. 5
sin
6.5 in. 13
6.0 in. 12
cos 22.6
6.5 in. 13

 
 
   
sin cos
5 12
(260 lb) (260 lb)
13 13
(100.0 lb) (240 lb)
F F
 
  
  
  
F i j
i j
i j
/
(2.5 4.0 ) ( 100.0 240 )
400 600
(200 lb in.)
C A C
 
    
 
  
M r F
i j i j
k k
k
260 lb

F 67.4°; 200 lb in.
C  
M 
www.elsolucionario.org
Copyright © McGraw-Hill Education. Permission required for reproduction or display.
PROBLEM 3.155
The force and couple shown are to be replaced by an equivalent single force.
Knowing that P  2Q, determine the required value of α if the line of action
of the single equivalent force is to pass through (a) Point A, (b) Point C.
SOLUTION
(a) We must have 0
A
M 
( sin ) ( ) 0
P a Q a
  
1
sin
2 2
Q Q
P Q
   
30.0
   
(b) We must have 0
C
M 
( sin ) ( cos ) ( ) 0
P a P a Q a
 
  
1
sin cos
2 2
Q Q
P Q
 
   
1
sin cos
2
 
  (1)
2 2 1
sin cos cos
4
  
  
2 2 1
1 cos cos cos
4
  
   
2
2cos cos 0.75 0
 
   (2)
Solving the quadratic in cos :

1 7
cos 65.7 or 155.7
4
 
 
   
Only the first value of  satisfies Eq. (1),
therefore 65.7
   
www.elsolucionario.org
Copyright © McGraw-Hill Education. Permission required for reproduction or display.
PROBLEM 3.156
A 77-N force F1 and a 31-N  m
couple M1 are applied to corner E of
the bent plate shown. If F1 and M1
are to be replaced with an equivalent
force-couple system (F2, M2) at
corner B and if (M2)z  0, determine
(a) the distance d, (b) F2 and M2.
SOLUTION
(a) We have 2
: 0
Bz z
M M
 
/ 1 1
( ) 0
H B z
M
   
k r F (1)
where / (0.31 m) (0.0233)
H B  
r i j
1 1
1 1
1 1
2
(0.06 m) (0.06 m) (0.07 m)
(77 N)
0.11m
(42 N) (42 N) (49 N)
(0.03 m) (0.07 m)
(31 N m)
0.0058 m
EH
z
EJ
F
M
M
d
d

 

  
 

  
 

F λ
i j k
i j k
k M
M λ
i j k
Then from Equation (1),
2
0 0 1
( 0.07 m)(31 N m)
0.31 0.0233 0 0
0.0058
42 42 49 d
 
  


Solving for d, Equation (1) reduces to
2
2.17 N m
(13.0200 0.9786) 0
0.0058
d

  

from which 0.1350 m
d  or 135.0 mm
d  
www.elsolucionario.org
Copyright © McGraw-Hill Education. Permission required for reproduction or display.
PROBLEM 3.156 (Continued)
(b) 2 1 (42 42 49 ) N
   
F F i j k or 2 (42.0 N) (42.0 N) (49.0 N)
  
F i j k 
2 / 1 1
2
(0.1350) 0.03 0.07
0.31 0.0233 0 (31 N m)
0.155000
42 42 49
(1.14170 15.1900 13.9986 ) N m
( 27.000 6.0000 14.0000 ) N m
(25.858 N m) (21.190 N m)
H B
  
 
   

   
    
    
M r F M
i j k
i j k
i j k
i j k
M i j
or 2 (25.9 N m) (21.2 N m)
    
M i j 
www.elsolucionario.org
Copyright © McGraw-Hill Education. Permission required for reproduction or display.
PROBLEM 3.157
Three horizontal forces are applied as shown to a vertical cast iron
arm. Determine the resultant of the forces and the distance from the
ground to its line of action when (a) P  200 N, (b) P  2400 N,
(c) P  1000 N.
SOLUTION
(a)
200 N 600 N 400 N 800 N
D
R      
(200 N)(0.450 m) (600 N)(0.300 m) (400 N)(0.1500 m)
150.0 N m
D
M    
  
150 N m
0.1875 m
800 N
D
M
y
R

  
800 N

R ; 187.5 mm
y  
(b)
2400 N 600 N 400 N 1400 N
D
R      
(2400 N)(0.450 m) (600 N)(0.300 m) (400 N)(0.1500 m)
840 N m
D
M    
  
840 N m
0.600 m
1400 N
D
M
y
R

  
1400 N

R ; 600 mm
y  
www.elsolucionario.org
Copyright © McGraw-Hill Education. Permission required for reproduction or display.
PROBLEM 3.157 (Continued)
(c)
1000 600 400 0
D
R     
(1000 N)(0.450 m) (600 N)(0.300 m) (400 N)(0.1500 m)
210 N m
D
M    
  
y
   System reduces to a couple.
210 N m
D  
M 
www.elsolucionario.org
Copyright © McGraw-Hill Education. Permission required for reproduction or display.
PROBLEM 3.158
While using a pencil sharpener, a
student applies the forces and couple
shown. (a) Determine the forces
exerted at B and C knowing that these
forces and the couple are equivalent
to a force-couple system at A
consisting of the force
(2.6 lb) +

R i (0.7
y
R 
j lb)k and
the couple R
A x
M
 
M i
(1.0 lb · ft) 
j (0.72 lb · ft) .
k (b) Find
the corresponding values of y
R and
.
x
M
SOLUTION
(a) From the statement of the problem, equivalence requires
:
  
F B C R
or : 2.6 lb
x x x
F B C
   (1)
:
y y y
F C R
   (2)
: 0.7 lb or 0.7 lb
z z z
F C C
    
and / /
: ( ) R
A B A B C A A
M
     
M r B M r C
or
1.75
: (1 lb ft) ft ( )
12
x y x
C M
 
   
 
 
M (3)
3.75 1.75 3.5
: ft ( ) ft ( ) ft (0.7 lb) 1 lb ft
12 12 12
y x x
M B C
     
    
     
     
or 3.75 1.75 9.55
x x
B C
 
Using Eq. (1): 3.75 1.75(2.6 ) 9.55
x x
B B
 
or 2.5 lb
x
B 
and 0.1 lb
x
C 
3.5
: ft ( ) 0.72 lb ft
12
z y
M C
 
    
 
 
or 2.4686 lb
y
C 
(2.50 lb) (0.1000 lb) (2.47 lb) (0.700 lb)
   
B i C i j k 
(b) Eq. (2)  2.47 lb
y
R   
Using Eq. (3):
1.75
1 (2.4686)
12
x
M
 
 
 
 
or 1.360 lb ft
x
M   
www.elsolucionario.org
CHAPTER 4
www.elsolucionario.org
www.elsolucionario.org
Copyright © McGraw-Hill Education. Permission required for reproduction or display.
PROBLEM 4.1
A gardener uses a 60-N wheelbarrow to transport a 250-N bag
of fertilizer. What force must she exert on each handle?
SOLUTION
Free-Body Diagram:


0: (2 )(1 m) (60 N)(0.15 m) (250 N)(0.3 m) 0
A
M F
    
42.0 N

F 
www.elsolucionario.org
Copyright © McGraw-Hill Education. Permission required for reproduction or display.
PROBLEM 4.2
The gardener of Problem 4.1 wishes to transport a second
250-N bag of fertilizer at the same time as the first one.
Determine the maximum allowable horizontal distance from
the axle A of the wheelbarrow to the center of gravity of the
second bag if she can hold only 75 N with each arm.
PROBLEM 4.1 A gardener uses a 60-N wheelbarrow to
transport a 250-N bag of fertilizer. What force must she exert on
each handle?
SOLUTION
Free-Body Diagram:



0: 2(75 N)(1 m) (60 N)(0.15 m)
(250 N)(0.3 m) (250 N) 0
A
M
x
  
  
0.264 m
x  
www.elsolucionario.org
Copyright © McGraw-Hill Education. Permission required for reproduction or display.
PROBLEM 4.3
A 2100-lb tractor is used to lift 900 lb of gravel.
Determine the reaction at each of the two (a) rear wheels
A, (b) front wheels B.
SOLUTION
(a) Rear wheels 0: (2100 lb)(40 in.) (900 lb)(50 in.) 2 (60 in.) 0
B
M A
     
325 lb
A   325 lb

A 
(b) Front wheels : (2100 lb)(20 in.) (900 lb)(110 in.) 2 (60 in.) 0
A
M B
    
1175 lb
B   1175 lb

B 
Check: 0: 2 2 2100 lb 900 lb 0
y
F A B
     
2(325 lb) 2(1175 lb) 2100 lb 900 0
   
0 0 (Checks)
 
www.elsolucionario.org
Copyright © McGraw-Hill Education. Permission required for reproduction or display.
PROBLEM 4.4
For the beam and loading shown, determine (a) the reaction at A,
(b) the tension in cable BC.
SOLUTION
Free-Body Diagram:
(a) Reaction at A: 0: 0
x x
F A
  
0: (15 lb)(28 in.) (20 lb)(22 in.) (35 lb)(14 in.)
(20 lb)(6 in.) (6 in.) 0
B
y
M
A
   
  
245 lb
y
A   245 lb

A 
(b) Tension in BC: 0: (15 lb)(22 in.) (20 lb)(16 in.) (35 lb)(8 in.)
(15 lb)(6 in.) (6 in.) 0
A
BC
M
F
   
  
140.0 lb
BC
F   140.0 lb
BC
F  
Check: 0: 15 lb 20 lb 35 lb 20 lb 0
105 lb 245 lb 140.0 0
y BC
F A F
        
   
0 0 (Checks)

www.elsolucionario.org
Copyright © McGraw-Hill Education. Permission required for reproduction or display.
PROBLEM 4.5
A load of lumber weighing 25 kN
W  is being raised by a
mobile crane. The weight of the boom ABC and the
combined weight of the truck and driver are as shown.
Determine the reaction at each of the two (a) front wheels
H, (b) rear wheels K.
SOLUTION
Free-Body Diagram:
(a)           
0: 25 kN 5.4 m + 3 kN 3.4 m 2 2.5 m + 50 kN 0.5 m 0
K H
M F
   
2 68.080 kN
H
F  or 34.0 kN
H 
F 
(b)           
0: 25 kN 2.9 m + 3 kN 0.9 m 50 kN 2.0 m + 2 2.5 m 0
H K
M F
   
2 9.9200 kN
K
F  or 4.96 kN
K 
F 
www.elsolucionario.org
Copyright © McGraw-Hill Education. Permission required for reproduction or display.
PROBLEM 4.6
A load of lumber weighing 25 kN
W  is being raised as
shown by a mobile crane. Knowing that the tension is 25
kN in all portions of cable AEF and that the weight of boom
ABC is 3 kN, determine (a) the tension in rod CD, (b) the
reaction at pin B.
SOLUTION
Free-Body Diagram: (boom)
(a)           
0: 25 kN 2.6 m + 3 kN 0.6 m 25 kN 0.4 m 0.7 m 0
B CD
M T
    
81.143 kN
CD
T  or 81.1 kN
CD
T  
(b) 0: 0
x x
F B
   so that y
B B

 
0: 25 3 25 81.143 kN 0
y
F B
       
134.143 kN
B  or 134.1 kN

B 
www.elsolucionario.org
Copyright © McGraw-Hill Education. Permission required for reproduction or display.
PROBLEM 4.7
A T-shaped bracket supports the four loads shown. Determine the
reactions at A and B (a) if 10 in.,
a  (b) if 7 in.
a 
SOLUTION
Free-Body Diagram: 0: 0
x x
F B
  
0: (40 lb)(6 in.) (30 lb) (10 lb)( 8 in.) (12 in.) 0
B
M a a A
      
(40 160)
12
a
A

 (1)
0: (40 lb)(6 in.) (50 lb)(12 in.) (30 lb)( 12 in.)
(10 lb)( 20 in.) (12 in.) 0
A
y
M a
a B
     
   
(1400 40 )
12
y
a
B


Since
(1400 40 )
0,
12
x
a
B B

  (2)
(a) For 10 in.,
a 
Eq. (1):
(40 10 160)
20.0 lb
12
A
 
   20.0 lb

A 
Eq. (2):
(1400 40 10)
150.0 lb
12
B
 
   150.0 lb

B 
(b) For 7 in.,
a 
Eq. (1):
(40 7 160)
10.00 lb
12
A
 
   10.00 lb

A 
Eq. (2):
(1400 40 7)
140.0 lb
12
B
 
   140.0 lb

B 
www.elsolucionario.org
Copyright © McGraw-Hill Education. Permission required for reproduction or display.
PROBLEM 4.8
For the bracket and loading of Problem 4.7, determine the
smallest distance a if the bracket is not to move.
PROBLEM 4.7 A T-shaped bracket supports the four loads
shown. Determine the reactions at A and B (a) if 10 in.,
a  (b) if
7 in.
a 
SOLUTION
Free-Body Diagram:
For no motion, reaction at A must be downward or zero; smallest distance a for no motion
corresponds to 0.

A
0: (40 lb)(6 in.) (30 lb) (10 lb)( 8 in.) (12 in.) 0
B
M a a A
      
(40 160)
12
a
A


0: (40 160) 0
A a
   4.00 in.
a  
www.elsolucionario.org
Copyright © McGraw-Hill Education. Permission required for reproduction or display.
PROBLEM 4.9
Three loads are applied as shown to a light beam supported by
cables attached at B and D. Neglecting the weight of the beam,
determine the range of values of Q for which neither cable becomes
slack when 0.
P 
SOLUTION
Free-Body Diagram:
For min, 0
D
Q T 
    
min
0: 7.5 kN 0.5 m 3 m 0
B
M Q
   
min 1.250 kN
Q 
For max, 0
B
Q T 
    
max
0: 7.5 kN 2.75 m 0.75 m 0
D
M Q
   
max 27.5 kN
Q 
Therefore: 1.250 kN 27.5 kN
Q
  
www.elsolucionario.org
Copyright © McGraw-Hill Education. Permission required for reproduction or display.
PROBLEM 4.10
Three loads are applied as shown to a light beam supported by
cables attached at B and D. Knowing that the maximum allowable
tension in each cable is 12 kN and neglecting the weight of the
beam, determine the range of values of Q for which the loading is
safe when 0.
P 
SOLUTION
Free-Body Diagram:
      
0: 7.5 kN 2.75 m 2.25 m 0.75 m 0
D B
M T Q
    
27.5 3 B
Q T
  (1)
      
0: 7.5 kN 0.5 m + 2.25 m 3 m 0
B D
M T Q
   
 
1.25 0.75 D
Q T
  (2)
For the loading to be safe, cables must not be slack and tension must not exceed 12 kN.
Thus, making 0  TB  12 kN in (1), we have
-8.50 kN  Q  27.5 kN (3)
And making 0  TD  12 kN in (2), we have
1.25  Q  10.25 kN (4)
(3) and (4) now give: 1.250 kN  Q  10.25 kN 
www.elsolucionario.org
Copyright © McGraw-Hill Education. Permission required for reproduction or display.
PROBLEM 4.11
For the beam of Prob. 4.10, determine the range of values of Q for
which the loading is safe when P = 5 kN.
SOLUTION
Free-Body Diagram:
         
0: 7.5 kN 2.75 m 2.25 m + 5 kN 1.5 m 0.75 m 0
D B
M T Q
    
 
37.5 3 kN
B
Q T
  (1)
         
0: 7.5 kN 0.5 m 5 kN 0.75 m + 2.25 m 3 m 0
B D
M T Q
    
 
0.75 kN
D
Q T
 (2)
For the loading to be safe, cables must not be slack and tension must not exceed 12 kN.
Thus, making 0  TB  12 kN in (1), we have
1.500 kN  Q  37.5 kN (3)
And making 0  TD  12 kN in (2), we have
0  Q  9.00 kN (4)
(3) and (4) now give: 1.500 kN  Q  9.00 kN 
www.elsolucionario.org
Copyright © McGraw-Hill Education. Permission required for reproduction or display.
PROBLEM 4.12
For the beam of Sample Prob. 4.2, determine the range of values
of P for which the beam will be safe, knowing that the maximum
allowable value of each of the reactions is 25 kips and that the
reaction at A must be directed upward.
SOLUTION
Free-Body Diagram:
      
0: (3 ft) 9 ft (6 kips) 11ft 6 kips 13 ft 0
A y
M P B
      
 
3B 48 kips
y
Q   (1)
       
0: 9 ft 6 ft (6 kips) 2 ft (6 kips) 4 ft 0
B y
M A P
      
 
1.5 +6 kips
y
P A
 (2)
For the loading to meet the design criteria, the reactions must not exceed 25 kips.
Thus, making 25 kips
y
B  in (1), we have
P  27.0 kips (3)
And making 0  Ay  25 kips in (2), we have
6.00  P  43.5 kips (4)
(3) and (4) now give: 6.00 kips  P  27.0 kips
www.elsolucionario.org
Copyright © McGraw-Hill Education. Permission required for reproduction or display.
PROBLEM 4.13
The maximum allowable value of each of the reactions is 180 N.
Neglecting the weight of the beam, determine the range of the
distance d for which the beam is safe.
SOLUTION
0: 0
x x
F B
  
y
B B

0: (50 N) (100 N)(0.45 m ) (150 N)(0.9 m ) (0.9 m ) 0
A
M d d d B d
        
50 45 100 135 150 0.9 0
d d d B Bd
      
180 N m (0.9 m)
300
B
d
A B
 


(1)
0: (50 N)(0.9 m) (0.9 m ) (100 N)(0.45 m) 0
B
M A d
     
45 0.9 45 0
A Ad
   
(0.9 m) 90 N m
A
d
A
 
 (2)
Since 180 N,
B  Eq. (1) yields
180 (0.9)180 18
0.15 m
300 180 120
d

  

150.0 mm
d  
Since 180 N,
A  Eq. (2) yields
(0.9)180 90 72
0.40 m
180 180
d

   400 mm
d  
Range: 150.0 mm 400 mm
d
  
www.elsolucionario.org
Copyright © McGraw-Hill Education. Permission required for reproduction or display.
PROBLEM 4.14
For the beam and loading shown, determine the range of
the distance a for which the reaction at B does not exceed
100 lb downward or 200 lb upward.
SOLUTION
Assume B is positive when directed .
Sketch showing distance from D to forces.
0: (300 lb)(8 in. ) (300 lb)( 2 in.) (50 lb)(4 in.) 16 0
D
M a a B
       
600 2800 16 0
a B
   
(2800 16 )
600
B
a

 (1)
For 100 lb
B  100 lb,
  Eq. (1) yields:
[2800 16( 100)] 1200
2 in.
600 600
a
 
   2.00 in.
a  
For 200
B  200 lb,
  Eq. (1) yields:
[2800 16(200)] 6000
10 in.
600 600
a

   10.00 in.
a  
Required range: 2.00 in. 10.00 in.
a
  
www.elsolucionario.org
Copyright © McGraw-Hill Education. Permission required for reproduction or display.
PROBLEM 4.15
Two links AB and DE are connected by a bell crank as
shown. Knowing that the tension in link AB is 720 N,
determine (a) the tension in link DE, (b) the reaction
at C.
SOLUTION
Free-Body Diagram:
0: (100 mm) (120 mm) 0
C AB DE
M F F
   
5
6
DE AB
F F
 (1)
(a) For 720 N
AB
F 
5
(720 N)
6
DE
F  600 N
DE
F  
(b)
3
0: (720 N) 0
5
x x
F C
    
432 N
x
C  
4
0: (720 N) 600 N 0
5
1176 N
y y
y
F C
C
     
 
1252.84 N
69.829
C


 
1253 N

C 69.8° 
www.elsolucionario.org
Copyright © McGraw-Hill Education. Permission required for reproduction or display.
PROBLEM 4.16
Two links AB and DE are connected by a bell crank as
shown. Determine the maximum force that may be
safely exerted by link AB on the bell crank if the
maximum allowable value for the reaction at C is
1600 N.
SOLUTION
See solution to Problem 4.15 for F.B.D. and derivation of Eq. (1).
5
6
DE AB
F F
 (1)
3 3
0: 0
5 5
x AB x x AB
F F C C F
     
4
0: 0
5
y AB y DE
F F C F
     
4 5
0
5 6
49
30
AB y AB
y AB
F C F
C F
   

2 2
2 2
1
(49) (18)
30
1.74005
x y
AB
AB
C C C
F
C F
 
 

For 1600 N, 1600 N 1.74005 AB
C F
  920 N
AB
F  
www.elsolucionario.org
Copyright © McGraw-Hill Education. Permission required for reproduction or display.
PROBLEM 4.17
The required tension in cable AB is 200 lb. Determine (a) the
vertical force P that must be applied to the pedal, (b) the
corresponding reaction at C.
SOLUTION
Free-Body Diagram:
7 in.
BC 
(a) 0: (15 in.) (200 lb)(6.062 in.) 0
   
C
M P
80.83 lb
P  80.8 lb

P 
(b) 0: 200 lb 0
y x
F C
    200 lb
x 
C
0: 0 80.83 lb 0
y y y
F C P C
      80.83 lb
y 
C
22.0
215.7 lb
C
  

216 lb

C 22.0 
www.elsolucionario.org
Copyright © McGraw-Hill Education. Permission required for reproduction or display.
PROBLEM 4.18
Determine the maximum tension that can be developed in cable
AB if the maximum allowable value of the reaction at C is 250 lb.
SOLUTION
Free-Body Diagram:
7 in.
BC 
0: (15 in.) (6.062 in.) 0 0.40415
C
M P T P T
    
0: 0 0.40415 0
y y y
F P C P C
       
0.40415
y
C T

0: 0
x x
F T C
     x
C T

2 2 2 2
(0.40415 )
1.0786
x y
C C C T T
C T
   

For 250 lb
C 
250 lb 1.0786T
 232 lb
T  
www.elsolucionario.org
Copyright © McGraw-Hill Education. Permission required for reproduction or display.
PROBLEM 4.19
The bracket BCD is hinged at C and attached to a control
cable at B. For the loading shown, determine (a) the
tension in the cable, (b) the reaction at C.
SOLUTION
At B:
0.18 m
0.24 m
y
x
T
T

3
4
y x
T T
 (1)
(a) 0: (0.18 m) (240 N)(0.4 m) (240 N)(0.8 m) 0
C x
M T
    
1600 N
x
T  
From Eq. (1):
3
(1600 N) 1200 N
4
y
T  
2 2 2 2
1600 1200 2000 N
x y
T T T
     2.00 kN
T  
(b) 0: 0
x x x
F C T
   
1600 N 0 1600 N
x x
C C
    1600 N
x 
C
0: 240 N 240 N 0
y y y
F C T
     
1200 N 480 N 0
y
C   
1680 N
y
C   1680 N
y 
C
46.4
2320 N
C
  
 2.32 kN

C 46.4° 
www.elsolucionario.org
Copyright © McGraw-Hill Education. Permission required for reproduction or display.
PROBLEM 4.20
Solve Problem 4.19, assuming that 0.32 m.
a 
PROBLEM 4.19 The bracket BCD is hinged at C and
attached to a control cable at B. For the loading shown,
determine (a) the tension in the cable, (b) the reaction at C.
SOLUTION
At B:
0.32 m
0.24 m
4
3
y
x
y x
T
T
T T


0: (0.32 m) (240 N)(0.4 m) (240 N)(0.8 m) 0
C x
M T
    
900 N
x
T 
From Eq. (1):
4
(900 N) 1200 N
3
y
T  
2 2 2 2
900 1200 1500 N
x y
T T T
     1.500 kN
T  
0: 0
x x x
F C T
   
900 N 0 900 N
x x
C C
    900 N
x 
C
0: 240 N 240 N 0
y y y
F C T
     
1200 N 480 N 0
y
C   
1680 N
y
C   1680 N
y 
C
61.8
1906 N
C
  
 1.906 kN

C 61.8° 
www.elsolucionario.org
Copyright © McGraw-Hill Education. Permission required for reproduction or display.
PROBLEM 4.21
The 40-ft boom AB weighs 2 kips; the distance from the
axle A to the center of gravity G of the boom is 20 ft. For
the position shown, determine (a) the tension T in the cable,
(b) the reaction at A.
SOLUTION
( )sin10 (40 ft)sin10
6.9459 ft
AD AB
AD
 

 
0: ( ) 2(20cos30 ) 5(40cos30 ) 0
A
M T AD
    
 
29.924 kips
T 
29.9 kips
T  
0: (29.924)cos 20 0
x x
F A
   

28.119 kips
x
A  
0: (29.924)sin 20 2 5 0
y y
F A
     

17.2346 kips
y
A 
2 2
28.119 17.2346 32.980 kips
  
A
1 17.2346
tan
28.119
31.5
   
  
 
  33.0 kips

A 31.5° 
www.elsolucionario.org
Copyright © McGraw-Hill Education. Permission required for reproduction or display.
PROBLEM 4.22
A lever AB is hinged at C and attached to a control cable at A. If
the lever is subjected to a 500-N horizontal force at B,
determine (a) the tension in the cable, (b) the reaction at C.
SOLUTION
Triangle ACD is isosceles with 90 30 120
C      

1
(180 120 ) 30 .
2
A D
      
 
Thus, DA forms angle of 60° with the horizontal axis.
(a) We resolve AD
F into components along AB and perpendicular to AB.
0: ( sin30 )(250 mm) (500 N)(100 mm) 0
C AD
M F
     400 N
AD
F  
(b) 0: (400 N)cos60 500 N 0
x x
F C
       300 N
x
C  
0: (400 N)sin 60° 0
y y
F C
     346.4 N
y
C  
458 N

C 49.1° 
www.elsolucionario.org
Copyright © McGraw-Hill Education. Permission required for reproduction or display.
PROBLEM 4.23
For each of the plates and loadings shown, determine the reactions at A and B.
SOLUTION
(a) Free-Body Diagram:
0: (20 in.) (50 lb)(4 in.) (40 lb)(10 in.) 0
A
M B
    
30 lb
B   30.0 lb

B 
0: 40 lb 0
x x
F A
   
40 lb
x
A   40.0 lb
x 
A
0: 50 lb 0
y y
F A B
    
30 lb 50 lb 0
y
A   
20 lb
y
A   20.0 lb
y 
A
26.56
44.72 lb
A
  
 44.7 lb

A 26.6° 



www.elsolucionario.org
Copyright © McGraw-Hill Education. Permission required for reproduction or display.
PROBLEM 4.23 (Continued)
(b) Free-Body Diagram:
0: ( cos30 )(20 in.) (40 lb)(10 in.) (50 lb)(4 in.) 0
A
M B
     
34.64 lb
B  34.6 lb

B 60.0° 
0: sin30 40 lb
x x
F A B
    
(34.64 lb)sin30 40 lb 0
x
A    
22.68 lb
x
A   22.68 lb
x 
A
0: cos30 50 lb 0
y y
F A B
     
(34.64 lb)cos30 50 lb 0
y
A    
20 lb
y
A   20.0 lb
y 
A
41.4
30.24 lb
A
  
 30.2 lb

A 41.4° 
www.elsolucionario.org
Copyright © McGraw-Hill Education. Permission required for reproduction or display.
PROBLEM 4.24
For each of the plates and loadings shown, determine the reactions at A and B.
SOLUTION
(a) Free-Body Diagram:
0: (20 in.) (50 lb)(16 in.) (40 lb)(10 in.) 0
B
M A
    
20 lb
A   20.0 lb

A 
0: 40 lb 0
x x
F B
   
40 lb
x
B   40 lb
x 
B
0: 50 lb 0
y y
F A B
    
20 lb 50 lb 0
y
B
  
30 lb
y
B   30 lb
y 
B
36.87
   50 lb
B  50.0 lb

B 36.9° 
www.elsolucionario.org
Copyright © McGraw-Hill Education. Permission required for reproduction or display.
PROBLEM 4.24 (Continued)
(b)
0: ( cos30 )(20 in.) (40 lb)(10 in.) (50 lb)(16 in.) 0
A
M A
      
23.09 lb
A  23.1lb

A 60.0° 
0: sin30 40 lb 0
x x
F A B
     
(23.09 lb)sin30 40 lb 8 0
x
   
51.55 lb
x
B   51.55 lb
x 
B
0: cos30 50 lb 0
y y
F A B
     
(23.09 lb)cos30 50 lb 0
y
B
   
30 lb
y
B   30 lb
y 
B
30.2
59.64 lb
B
  
 59.6 lb

B 30.2° 
www.elsolucionario.org
Copyright © McGraw-Hill Education. Permission required for reproduction or display.
PROBLEM 4.25
A rod AB hinged at A and attached at B to cable BD
supports the loads shown. Knowing that 200 mm,
d 
determine (a) the tension in cable BD, (b) the reaction at A.
SOLUTION
Free-Body Diagram:
(a) Move T along BD until it acts at Point D.
0: ( sin 45 )(0.2 m) (90 N)(0.1 m) (90 N)(0.2 m) 0
A
M T
     
190.919 N
T  190.9 N
T  
(b) 0: (190.919 N)cos45 0
x x
F A
    
135.0 N
x
A   135.0 N
x 
A
0: 90 N 90 N (190.919 N)sin 45° 0
y y
F A
     
45.0 N
y
A   45.0 N
y 
A
142.3 N

A 18.43°
www.elsolucionario.org
Copyright © McGraw-Hill Education. Permission required for reproduction or display.
PROBLEM 4.26
A rod AB, hinged at A and attached at B to cable BD,
supports the loads shown. Knowing that 150 mm,
d 
determine (a) the tension in cable BD, (b) the reaction at A.
SOLUTION
Free-Body Diagram:
10
tan ; 33.690°
15
 
 
(a) Move T along BD until it acts at Point D.
0: ( sin33.690 )(0.15 m) (90 N)(0.1 m) (90 N)(0.2 m) 0
A
M T
     
324.50 N
T  324 N
T  
(b) 0: (324.50 N)cos33.690 0
x x
F A
    
270 N
x
A   270 N
x 
A
0: 90 N 90 N (324.50 N)sin 33.690 0
y y
F A
      
0
y
A  270 N

A 
www.elsolucionario.org
Copyright © McGraw-Hill Education. Permission required for reproduction or display.
PROBLEM 4.27
Determine the reactions at A and B when (a)   0, (b)   90,
(c)   30.
SOLUTION
(a) 0
 
0: (20 in.) 75 lb(10 in.) 0
37.5 lb
A
M B
B
   

0: 0
x x
F A
  
 0: 75 lb 37.5 lb 0
37.5 lb
y y
y
F A
A
    

37.5 lb
 
A B 
(b) 90
  
0: (12 in.) 75 lb(10 in.) 0
62.5 lb
A
M B
B
   

0: 0
62.5 lb
x x
x
F A B
A
   

0: 75 lb 0
75 lb
y y
y
F A
A
   

2 2
2 2
(62.5 lb) (75 lb)
97.6 lb
x y
A A A
 
 

75
tan
62.5
50.2



 
97.6 lb

A 50.2 ; 62.51 lb
 
B 


www.elsolucionario.org
Copyright © McGraw-Hill Education. Permission required for reproduction or display.
PROBLEM 4.27 (Continued)
(c) 30
  
0: ( cos 30°)(20 in.) ( sin30 )(12 in.)
(75 lb)(10 in.) 0
A
M B B
   
 
32.161 lb
B 
0: (32.161)sin30 0
16.0805 lb
x x
x
F A
A
    

0: (32.161)cos30 75 0
47.148 lb
y y
y
F A
A
     

2 2
2 2
(16.0805) (47.148)
49.8 lb
x y
A A A
 
 

47.148
tan
16.0805
71.2



 
49.8 lb

A 71.2 ; 32.2 lb
 
B 60.0 
www.elsolucionario.org
Copyright © McGraw-Hill Education. Permission required for reproduction or display.
PROBLEM 4.28
Determine the reactions at A and C when (a) 0,
 
(b) 30 .
  
SOLUTION
(a) 0
 
From F.B.D. of member ABC:
0: (300 N)(0.2 m) (300 N)(0.4 m) (0.8 m) 0
C
M A
    
225 N
A  or 225 N

A 
0: 225 N 0
y y
F C
   
225 N or 225 N
y y
C   
C
0: 300 N 300 N 0
x x
F C
    
600 N or 600 N
x x
C   
C
Then 2 2 2 2
(600) (225) 640.80 N
x y
C C C
    
and 1 1 225
tan tan 20.556
600
y
x
C
C
  
  
 
   
   

 
 
or 641 N

C 20.6 
(b) 30
  
From F.B.D. of member ABC:
0: (300 N)(0.2 m) (300 N)(0.4 m) ( cos30 )(0.8 m)
( sin30 )(20 in.) 0
C
M A
A
    
  
365.24 N
A  or 365 N

A 60.0 
0: 300 N 300 N (365.24 N)sin30 0
x x
F C
      
782.62
x
C  
www.elsolucionario.org
Copyright © McGraw-Hill Education. Permission required for reproduction or display.
PROBLEM 4.28 (Continued)
0: (365.24 N)cos30 0
y y
F C
    
316.31 N or 316 N
y y
C   
C
Then 2 2 2 2
(782.62) (316.31) 884.12 N
x y
C C C
    
and 1 1 316.31
tan tan 22.007
782.62
y
x
C
C
  
  
 
   
   

 
 
or 884 N

C 22.0 
www.elsolucionario.org
Copyright © McGraw-Hill Education. Permission required for reproduction or display.
PROBLEM 4.29
Rod ABC is bent in the shape of an arc of circle of radius R. Knowing the
  30, determine the reaction (a) at B, (b) at C.
SOLUTION
Free-Body Diagram: 0: ( ) ( ) 0
D x
M C R P R
   
x
C P
 
0: sin 0
x x
F C B 
   
sin 0
/sin
P B
B P


 

sin
P


B 
0: cos 0
y y
F C B P

    
( /sin )cos 0
1
1
tan
y
y
C P P
C P
 

  
 
 
 
 
For 30 ,
  
(a) /sin30 2
B P P
   2P

B 60.0° 
(b) x x
C P C P
  
(1 1/tan 30 ) 0.732/
y
C P P
     0.7321
y P

C
1.239P

C 36.2° 
www.elsolucionario.org
Copyright © McGraw-Hill Education. Permission required for reproduction or display.
PROBLEM 4.30
Rod ABC is bent in the shape of an arc of circle of radius R. Knowing that
  60, determine the reaction (a) at B, (b) at C.
SOLUTION
See the solution to Problem 4.33 for the free-body diagram and analysis leading to the following
expressions:
1
1
tan
sin
x
y
C P
C P
P
B


 
 
 
 
 

For 60 ,
  
(a) /sin60 1.1547
B P P
   1.155P

B 30.0° 
(b) x x
C P C P
  
(1 1/tan 60 ) 0.4226
y
C P P
     0.4226
y P

C
1.086P

C 22.9° 
www.elsolucionario.org
Copyright © McGraw-Hill Education. Permission required for reproduction or display.
PROBLEM 4.31
Neglecting friction, determine the tension in cable ABD and the
reaction at C when   60.
SOLUTION
0: (2 cos ) 0
C
M T a a Ta Pa

     
1 cos
P
T


 (1)
0: sin 0
x x
F C T 
   
sin
sin
1 cos
x
P
C T



 

0: cos 0
y y
F C T T P

     
1 cos
(1 cos )
1 cos
0
y
y
C P T P P
C




    


Since 0,
y x
C C C
 
sin
1 cos
P




C
(2)
For 60 :
  
Eq. (1): 1
2
1 cos60 1
P P
T  
  
2
3
T P
 
Eq. (2): 1
2
sin 60 0.866
1 cos60 1
C P P

 
  
0.577P

C 
www.elsolucionario.org
Copyright © McGraw-Hill Education. Permission required for reproduction or display.
PROBLEM 4.32
Neglecting friction, determine the tension in cable ABD and the
reaction at C when   45.
SOLUTION
Free-Body Diagram:
Equilibrium for bracket:
0: ( ) ( ) ( sin 45 )(2 sin 45 )
( cos45 )( 2 cos45 ) 0
C
M T a P a T a
T a a
      
    
0.58579
T  or 0.586
T P
 
0: (0.58579 )sin 45 0
x x
F C P
    
0.41422
x
C P

0: 0.58579 (0.58579 )cos 45 0
y y
F C P P P
      
0
y
C  or 0.414P

C 
www.elsolucionario.org
Copyright © McGraw-Hill Education. Permission required for reproduction or display.
PROBLEM 4.33
A force P of magnitude 90 lb is applied to member ACDE, which is
supported by a frictionless pin at D and by the cable ABE. Since the
cable passes over a small pulley at B, the tension may be assumed to
be the same in portions AB and BE of the cable. For the case when
a  3 in., determine (a) the tension in the cable, (b) the reaction at D.
SOLUTION
Free-Body Diagram:
(a)
5 12
0: (90 lb)(9 in.) (9 in.) (7 in.) (3 in.) 0
13 13
D
M T T T
     
117 lb
T  117.0 lb
T  
(b)
5
0: 117 lb (117 lb) 90 0
13
x x
F D
     
72 lb
x
D  
12
0: lb) 0
13
y y
F D
    
108 lb
y
D   129.8 lb

D 56.3° 

www.elsolucionario.org
Copyright © McGraw-Hill Education. Permission required for reproduction or display.
PROBLEM 4.34
Solve Problem 4.33 for a  6 in.
PROBLEM 4.33 A force P of magnitude 90 lb is applied to member
ACDE, which is supported by a frictionless pin at D and by the cable
ABE. Since the cable passes over a small pulley at B, the tension may
be assumed to be the same in portions AB and BE of the cable. For
the case when a  3 in., determine (a) the tension in the cable, (b) the
reaction at D.
SOLUTION
Free-Body Diagram:
(a)
5 12
0: (90 lb)(6 in.) (6 in.) (7 in.) (6 in.) 0
13 13
D
M T T T
     
195 lb
T  195.0 lb
T  
(b)
5
0: 195 lb (195 lb) 90 0
13
x x
F D
     
180 lb
x
D  
12
0: lb) 0
13
y y
F D
    
180 lb
y
D   255 lb

D 45.0° 
www.elsolucionario.org
Copyright © McGraw-Hill Education. Permission required for reproduction or display.
PROBLEM 4.35
Bar AC supports two 400-N loads as shown. Rollers at A
and C rest against frictionless surfaces and a cable BD is
attached at B. Determine (a) the tension in cable BD, (b) the
reaction at A, (c) the reaction at C.
SOLUTION
Similar triangles: ABE and ACD
0.15 m
; ; 0.075 m
0.5 m 0.25 m
AE BE BE
BE
AD CD
  
(a)
0.075
0: (0.25 m) (0.5 m) (400 N)(0.1 m) (400 N)(0.4 m) 0
0.35
A x x
M T T
 
     
 
 
1400 N
x
T 
0.075
(1400 N)
0.35
300 N
y
T 
 1432 N
T  
www.elsolucionario.org
Copyright © McGraw-Hill Education. Permission required for reproduction or display.
PROBLEM 4.35 (Continued)
(b) 0: 300 N 400 N 400 N 0
y
F A
     
1100 N
A   1100 N

A 
(c) 0: 1400 N 0
x
F C
    
1400 N
C   1400 N

C 
www.elsolucionario.org
Copyright © McGraw-Hill Education. Permission required for reproduction or display.
PROBLEM 4.36
A light bar AD is suspended from a cable BE and supports a
20-kg block at C. The ends A and D of the bar are in contact
with frictionless vertical walls. Determine the tension in cable
BE and the reactions at A and D.
SOLUTION
Free-Body Diagram:
2
(20 kg)(9.81 m/s ) 196.20 N
W  
0:
x
F A D
  
0:
y BE
F T W
   196.2 N
BE
T  
We note that the forces shown form two couples.
0: (200 mm) (196.20 N)(75 mm) 0
B
M A
   
73.575 N
A 
73.6 N

A , 73.6 N

D 
www.elsolucionario.org
Copyright © McGraw-Hill Education. Permission required for reproduction or display.
PROBLEM 4.37
The T-shaped bracket shown is supported by a small wheel at E and pegs at C
and D. Neglecting the effect of friction, determine the reactions at C, D, and E
when 30 .
  
SOLUTION
Free-Body Diagram:
0: cos30 20 40 0
y
F E
     
60 lb
69.282 lb
cos 30°
E   69.3 lb

E 60.0 
0: (20 lb)(4 in.) (40 lb)(4 in.)
(3 in.) sin 30 (3 in.) 0
  
   
D
M
C E
80 3 69.282(0.5)(3) 0
C
   
7.9743 lb
C  7.97 lb

C 
0: sin30 0
x
F E C D
     
(69.282 lb)(0.5) 7.9743 lb 0
D
  
42.615 lb
D  42.6 lb

D 
www.elsolucionario.org
Copyright © McGraw-Hill Education. Permission required for reproduction or display.
PROBLEM 4.38
The T-shaped bracket shown is supported by a small wheel at E and pegs at C
and D. Neglecting the effect of friction, determine (a) the smallest value of  for
which the equilibrium of the bracket is maintained, (b) the corresponding reactions
at C, D, and E.
SOLUTION
Free-Body Diagram:
0: cos 20 40 0
y
F E 
    
60
cos
E

 (1)
0: (20 lb)(4 in.) (40 lb)(4 in.) (3 in.)
60
+ sin 3 in. 0
cos
D
M C


   
 

 
 
1
(180tan 80)
3
C 
 
(a) For 0,
C  180tan 80
 
4
tan 23.962
9
 
   24.0
   
From Eq. (1):
60
65.659
cos23.962
E  

0: sin 0
x
F D C E 
     
(65.659)sin 23.962 26.666 lb
 
D
(b) 0, 26.7 lb,
 
C D 65.7 lb

E 66.0 
www.elsolucionario.org
Copyright © McGraw-Hill Education. Permission required for reproduction or display.
PROBLEM 4.39
A movable bracket is held at rest by a cable attached at C and by
frictionless rollers at A and B. For the loading shown, determine
(a) the tension in the cable, (b) the reactions at A and B.
SOLUTION
Free-Body Diagram:
(a) 0: 600 N 0
y
F T
   
600 N
T  
(b) 0: 0
x
F B A B A
     
Note that the forces shown form two couples.
0: (600 N)(600 mm) (90 mm) 0
M A
   
4000 N
A 
4000 N
B
 
4.00 kN

A ; 4.00 kN

B 
www.elsolucionario.org
Copyright © McGraw-Hill Education. Permission required for reproduction or display.
PROBLEM 4.40
A light bar AB supports a 15-kg block at its midpoint C. Rollers at
A and B rest against frictionless surfaces, and a horizontal cable
AD is attached at A. Determine (a) the tension in cable AD, (b) the
reactions at A and B.
SOLUTION
Free-Body Diagram:
2
(15 kg)(9.81 m/s )
147.150 N
W 

(a) 0: 105.107 N 0
x AD
F T
   
105.1 N
AD
T  
(b) 0: 0
y
F A W
   
147.150 N 0
A 
147.2 N

A 
0: (350 mm) (147.150 N)(250 mm) 0
105.107 N
A
M B
B
   

105.1 N

B 
www.elsolucionario.org
Copyright © McGraw-Hill Education. Permission required for reproduction or display.
PROBLEM 4.41
Two slots have been cut in plate DEF, and the plate has
been placed so that the slots fit two fixed, frictionless
pins A and B. Knowing that P  15 lb, determine (a) the
force each pin exerts on the plate, (b) the reaction at F.
SOLUTION
Free-Body Diagram:
(a) 0: 15 lb sin30 0
x
F B
     30.0 lb

B 60.0° 
(b) 0: (30 lb)(4 in.) sin30 (3 in.) cos30 (11in.) (13 in.) 0
A
M B B F
        
120 lb in. (30 lb)sin30 (3 in.) (30 lb)cos30 (11in.) (13 in.) 0
F
       
16.2145 lb
F   16.21lb

F 
(a) 0: 30 lb cos30 0
y
F A B F
      
30 lb (30 lb)cos30 16.2145 lb 0
A     
20.23 lb
A   20.2 lb

A 
www.elsolucionario.org
Copyright © McGraw-Hill Education. Permission required for reproduction or display.
PROBLEM 4.42
For the plate of Problem 4.41 the reaction at F must be
directed downward, and its maximum allowable value
is 20 lb. Neglecting friction at the pins, determine the
required range of values of P.
PROBLEM 4.41 Two slots have been cut in plate
DEF, and the plate has been placed so that the slots fit
two fixed, frictionless pins A and B. Knowing that
P  15 lb, determine (a) the force each pin exerts on the
plate, (b) the reaction at F.
SOLUTION
Free-Body Diagram:
0: sin30 0
x
F P B
     2P

B 60°
0: (30 lb)(4 in.) sin30 (3 in.) cos30 (11in.) (13 in.) 0
A
M B B F
        
120 lb in.+2 sin30 (3 in.) 2 cos30 (11in.) (13 in.) 0
120 3 19.0525 13 0
P P F
P P F
      
    
13 120
22.0525
F
P

 (1)
For 0:
F 
13(0) 120
5.442 lb
22.0525
P

 
For 20 lb:
P 
13(20) 120
17.232 lb
22.0525
P

 
For 0 20 lb:
F
  5.44 lb 17.23 lb
P
  
www.elsolucionario.org
Copyright © McGraw-Hill Education. Permission required for reproduction or display.
PROBLEM 4.43
The rig shown consists of a 1200-lb horizontal member ABC
and a vertical member DBE welded together at B. The rig is
being used to raise a 3600-lb crate at a distance x  12 ft
from the vertical member DBE. If the tension in the cable is
4 kips, determine the reaction at E, assuming that the cable is
(a) anchored at F as shown in the figure, (b) attached to the
vertical member at a point located 1 ft above E.
SOLUTION
Free-Body Diagram:
0: (3600 lb) (1200 lb)(6.5 ft) (3.75 ft) 0
E E
M M x T
    
3.75 3600 7800
E
M T x
   (1)
(a) For 12 ft and 4000 lbs,
x T
 
3.75(4000) 3600(12) 7800
36,000 lb ft
E
M   
 
0 0
x x
F E
   
0: 3600 lb 1200 lb 4000 0
y y
F E
     
8800 lb
y
E 
8.80 kips

E ; 36.0 kip ft
E  
M 



www.elsolucionario.org
Copyright © McGraw-Hill Education. Permission required for reproduction or display.
PROBLEM 4.43 (Continued)
(b) 0: (3600 lb)(12 ft) (1200 lb)(6.5 ft) 0
E E
M M
    
  51,000 lb ft
E
M   
 0 0
x x
F E
   
0: 3600 lb 1200 lb 0
y y
F E
    
4800 lb
y
E 
4.80 kips

E ; 51.0 kip ft
E  
M 
www.elsolucionario.org
Copyright © McGraw-Hill Education. Permission required for reproduction or display.
PROBLEM 4.44
For the rig and crate of Prob. 4.43, and assuming that cable
is anchored at F as shown, determine (a) the required tension
in cable ADCF if the maximum value of the couple at E as x
varies from 1.5 to 17.5 ft is to be as small as possible, (b) the
corresponding maximum value of the couple.
SOLUTION
Free-Body Diagram:
0: (3600 lb) (1200 lb)(6.5 ft) (3.75 ft) 0
E E
M M x T
    
3.75 3600 7800
E
M T x
   (1)
For 1.5 ft, Eq. (1) becomes
x 
1
( ) 3.75 3600(1.5) 7800
E
M T
   (2)
For 17.5 ft, Eq. (1) becomes
x 
2
( ) 3.75 3600(17.5) 7800
E
M T
  
(a) For smallest max value of | |,
E
M we set
1 2
( ) ( )
E E
M M


3.75 13,200 3.75 70,800
T T
    11.20 kips

T 
(b) From Equation (2), then
3.75(11.20) 13.20
E
M   | | 28.8 kip ft
E
M   
www.elsolucionario.org
Copyright © McGraw-Hill Education. Permission required for reproduction or display.
PROBLEM 4.45
A 175-kg utility pole is used to support at C the end of an electric
wire. The tension in the wire is 600 N, and the wire forms an angle
of 15° with the horizontal at C. Determine the largest and smallest
allowable tensions in the guy cable BD if the magnitude of the
couple at A may not exceed 500 N·m.
SOLUTION
Free-Body Diagram:
Geometry:
Distance BD = 2 2
(1.5) (3.6)
  3.90 m
Note also that: W  mg  (175 kg)(9.81 m/s2
)  1716.75 N
With MA  500 N m
 clockwise: (i.e. corresponding to Tmax )
0:
A
M
  500 N m
  – [(600 N) cos 15o
](4.5 m) + max
1.5
3.90
T
 
 
 
 
 
 
(3.6 m)  0
Tmax  2244.7 N or Tmax  2240 N
With MA  500 N m
 counter-clockwise: (i.e. corresponding to Tmin )
0:
A
M
  500 N m
 – [(600 N) cos 15o
](4.5 m) + min
1.5
3.90
T
 
 
 
 
 
 
(3.6 m)  0
Tmin  1522.44 N or Tmin  1522 N
www.elsolucionario.org
Copyright © McGraw-Hill Education. Permission required for reproduction or display.
PROBLEM 4.46
Knowing that the tension in wire BD is 1300 N, determine the
reaction at the fixed support C of the frame shown.
SOLUTION
1300 N
5
13
500 N
12
13
1200 N
x
y
T
T T
T T





0: 450 N 500 N 0 50 N
x x x
M C C
       50 N
x 
C
0: 750 N 1200 N 0 1950 N
y y y
F C C
      
1950 N
y 
C
1951 N

C 88.5° 
0: (750 N)(0.5 m) (4.50 N)(0.4 m)
(1200 N)(0.4 m) 0
C C
M M
   
 
75.0 N m
C
M    75.0 N m
C  
M 
www.elsolucionario.org
Copyright © McGraw-Hill Education. Permission required for reproduction or display.
PROBLEM 4.47
Determine the range of allowable values of the tension in wire
BD if the magnitude of the couple at the fixed support C is not
to exceed 100 N · m.
SOLUTION
5
0: (750 N)(0.5 m) (450 N)(0.4 m) (0.6 m)
13
12
(0.15 m) 0
13
C
C
M T
T M
 
     
 
 
  
 
 
4.8
375 N m 180 N m m 0
13
C
T M
 
     
 
 
13
(555 )
4.8
C
T M
 
For
13
100 N m: (555 100) 1232 N
4.8
C
M T
     
For
13
100 N m: (555 100) 1774 N
4.8
C
M T
     
For | | 100 N m:
C
M   1.232 kN 1.774 kN
T
  
www.elsolucionario.org
Copyright © McGraw-Hill Education. Permission required for reproduction or display.
PROBLEM 4.48
Beam AD carries the two 40-lb loads shown. The beam is held by a
fixed support at D and by the cable BE that is attached to the
counterweight W. Determine the reaction at D when (a) 100
W 
lb, (b) 90 lb.
W 
SOLUTION
(a) 100 lb
W 
From F.B.D. of beam AD:
0: 0
x x
F D
  
0: 40 lb 40 lb 100 lb 0
y y
F D
     
20.0 lb
y
D   or 20.0 lb

D 
0: (100 lb)(5 ft) (40 lb)(8 ft)
(40 lb)(4 ft) 0
D D
M M
   
 
20.0 lb ft
D
M   or 20.0 lb ft
D  
M 
(b) 90 lb
W 
From F.B.D. of beam AD:
0: 0
x x
F D
  
0: 90 lb 40 lb 40 lb 0
y y
F D
     
10.00 lb
y
D   or 10.00 lb

D 
0: (90 lb)(5 ft) (40 lb)(8 ft)
(40 lb)(4 ft) 0
D D
M M
   
 
30.0 lb ft
D
M    or 30.0 lb ft
D  
M 
www.elsolucionario.org
Copyright © McGraw-Hill Education. Permission required for reproduction or display.
PROBLEM 4.49
For the beam and loading shown, determine the range of values of
W for which the magnitude of the couple at D does not exceed 40
lb  ft.
SOLUTION
For min ,
W 40 lb ft
D
M   
From F.B.D. of beam AD: min
0: (40 lb)(8 ft) (5 ft)
(40 lb)(4 ft) 40 lb ft 0
D
M W
  
   
min 88.0 lb
W 
For max,
W 40 lb ft
D
M  
From F.B.D. of beam AD: max
0: (40 lb)(8 ft) (5 ft)
(40 lb)(4 ft) 40 lb ft 0
D
M W
  
   
max 104.0 lb
W  or 88.0 lb 104.0 lb
W
  
www.elsolucionario.org
Copyright © McGraw-Hill Education. Permission required for reproduction or display.
PROBLEM 4.50
An 8-kg mass can be supported in the three different ways shown. Knowing that the pulleys have a
100-mm radius, determine the reaction at A in each case.
SOLUTION














2
(8 kg)(9.81 m/s ) 78.480 N
W mg
  
(a) 0: 0
x x
F A
  
0: 0
y y
F A W
    78.480 N
y 
A
0: (1.6 m) 0
A A
M M W
   
(78.480 N)(1.6 m)
A
M   125.568 N m
A  
M
78.5 N

A , 125.6 N m
A  
M 
(b) 0: 0
x x
F A W
    78.480
x 
A
0: 0
y y
F A W
    78.480
y 
A
(78.480 N) 2 110.987 N
 
A 45°
0: (1.6 m) 0
A A
M M W
   
(78.480 N)(1.6 m) 125.568 N m
A A
M    
M
111.0 N

A 45°, 125.6 N m
A  
M 
(c) 0: 0
x x
F A
  
0: 2 0
y y
F A W
   
2 2(78.480 N) 156.960 N
y
A W
  
0: 2 (1.6 m) 0
A A
M M W
   
2(78.480 N)(1.6 m)
A
M   251.14 N m
A  
M
157.0 N

A , 251 N m
A  
M 
www.elsolucionario.org
Copyright © McGraw-Hill Education. Permission required for reproduction or display.
PROBLEM 4.51
A uniform rod AB with a length of l and weight of W is suspended
from two cords AC and BC of equal length. Determine the angle θ
corresponding to the equilibrium position when a couple M is applied
to the rod.
SOLUTION
Free-Body Diagram:
Using h  tan
2
l

0:
C
M
  (W)( sin ) 0
M h 
 
or sin
M
Wh
 
2
cot
M
W l

 
  
 
or 1 cot
sin 2M
Wl

   
  
 

www.elsolucionario.org
Copyright © McGraw-Hill Education. Permission required for reproduction or display.
PROBLEM 4.52
Rod AD is acted upon by a vertical force P at end A and by two equal
and opposite horizontal forces of magnitude Q at points B and C.
Neglecting the weight of the rod, express the angle  corresponding to
the equilibrium position in terms of P and Q.
SOLUTION
Free-Body Diagram:
0:
D
M
  (3 sin ) ( cos ) (2 cos ) 0
P a Q a Q a
  
  
3 sin cos
P Q
 

tan
3
Q
P
 
or 1
tan
3
Q
P
   
  
 

www.elsolucionario.org
Copyright © McGraw-Hill Education. Permission required for reproduction or display.
PROBLEM 4.53
A slender rod AB, of weight W, is attached to blocks A and B,
which move freely in the guides shown. The blocks are
connected by an elastic cord that passes over a pulley at C.
(a) Express the tension in the cord in terms of W and .
(b) Determine the value of  for which the tension in the cord is
equal to 3W.
SOLUTION
(a) From F.B.D. of rod AB:
1
0: ( sin ) cos ( cos ) 0
2
C
M T l W T l
  
 
 
    
 
 
 
 
cos
2(cos sin )
W
T

 


Dividing both numerator and denominator by cos ,
1
2 1 tan
W
T

 
  

 
or
 
2
(1 tan )
W
T




(b) For 3 ,
T W

 
2
3
(1 tan )
1
1 tan
6
W
W




 
or 1 5
tan 39.806
6
   
  
 
 
or 39.8
   
www.elsolucionario.org
Copyright © McGraw-Hill Education. Permission required for reproduction or display.
PROBLEM 4.54
A vertical load P is applied at end B of rod BC. (a) Neglecting the
weight of the rod, express the angle  corresponding to the
equilibrium position in terms of P, l, and the counterweight W. (b)
Determine the value of  corresponding to equilibrium if
P  2W.
SOLUTION
Free-Body Diagram:
(a) Triangle ABC is isosceles. We have
( )cos cos
2 2
CD BC l
 
   
 
   
   
0: ( cos ) cos 0
2
C
M P l W l


 
   
 
 
Setting 2
cos 2cos 1:
2

  
2
2cos 1 cos 0
2 2
Pl Wl
 
 
  
 
 
2
2
2
1
cos cos 0
2 2 2 2
1
cos 8
2 4
W
P
W W
P P
 

 
  
 
 
 
 
  
 
 
2
1
2
1
2cos 8
4
W W
P P
 
 
 
 
 
  
 
 
 
 


www.elsolucionario.org
Copyright © McGraw-Hill Education. Permission required for reproduction or display.
PROBLEM 4.54 (Continued)
(b) For 2 ,
P W
  
1 1 1 1
cos 8 1 33
2 4 2 4 8
  
    
 
 
 
cos 0.84307 and cos 0.59307
2 2
32.534 126.375
2 2
 
 
  
   
65.1
   252.75 (discard)
  
65.1
   
www.elsolucionario.org
Copyright © McGraw-Hill Education. Permission required for reproduction or display.
PROBLEM 4.55
A vertical load P is applied at end B of rod BC. (a) Neglecting the weight
of the rod, express the angle  corresponding to the equilibrium position in
terms of P, l, and the counterweight W. (b) Determine the value of 
corresponding to equilibrium if P  2W.
SOLUTION
(a) Triangle ABC is isosceles. We have
( )cos cos
2 2
CD BC l
 
 
0: cos ( sin ) 0
2
C
M W l P l


 
   
 
 
Setting sin 2sin cos : cos 2 sin cos 0
2 2 2 2 2
Wl Pl
    
   
2 sin 0
2
W P

  1
2sin
2
W
P
   
  
 

(b) For 2 ,
P W
 sin 0.25
2 2 4
W W
P W

  
14.5
2

  29.0
   
or 165.5 331 (discard)
2


   
www.elsolucionario.org
Copyright © McGraw-Hill Education. Permission required for reproduction or display.
PROBLEM 4.56
A collar B of weight W can move freely along the vertical rod shown. The
constant of the spring is k, and the spring is unstretched when  0.
 (a)
Derive an equation in , W, k, and l that must be satisfied when the collar is
in equilibrium. (b) Knowing that 300 N,
W  l 500 mm,
 and
800 N/m,
k  determine the value of  corresponding to equilibrium.
SOLUTION
First note: T ks

where spring constant
elongation of spring
cos
(1 cos )
cos
(1 cos )
cos
k
s
l
l
l
kl
T







 
 
 
(a) From F.B.D. of collar B: 0: sin 0
y
F T W

   
or (1 cos )sin 0
cos
kl
W
 

   or tan sin
W
kl
 
  
(b) For 3 lb
6 in.
8 lb/ft
6 in.
0.5 ft
12 in./ft
3 lb
tan sin 0.75
(8 lb/ft)(0.5 ft)
W
l
k
l
 



 
  
Solving numerically, 57.957
   or 58.0
   
www.elsolucionario.org
Copyright © McGraw-Hill Education. Permission required for reproduction or display.
PROBLEM 4.57
Solve Sample Problem 4.5, assuming that the spring is
unstretched when 90 .
  
SOLUTION
First note: tension in spring
T ks
 
where deformation of spring
s
r
F kr





From F.B.D. of assembly: 0 0: ( cos ) ( ) 0
M W l F r

   
or 2
2
cos 0
cos
Wl kr
kr
Wl
 
 
 

For
2
250 lb/in.
3 in.
8 in.
400 lb
(250 lb/in.)(3 in.)
cos
(400 lb)(8 in.)
k
r
l
W
 





or cos 0.703125
 

Solving numerically, 0.89245 rad
 
or 51.134
  
Then 90 51.134 141.134
       or 141.1
   
www.elsolucionario.org
Copyright © McGraw-Hill Education. Permission required for reproduction or display.
PROBLEM 4.58
A vertical load P is applied at end B of rod BC. The constant of the
spring is k, and the spring is unstretched when θ = 60°. (a) Neglecting
the weight of the rod, express the angle θ corresponding to the
equilibrium position terms of P, k, and l. (b) Determine the value of θ
corresponding to equilibrium if P = 4
1
kl.
SOLUTION
Free-Body Diagram:
(a) Triangle ABC is isosceles. We have
2( ) 2 sin ; cos
2 2
AB AD l CD l
 
   
  
   
   
Elongation of spring: ( ) ( ) 60
2 sin 2 sin30
2
x AB AB
l l
 

   
 
  
 
 
1
2 sin
2 2
T k x kl

 
  
 
 
0: cos ( sin ) 0
2
C
M T l P l


 
   
 
 
www.elsolucionario.org
Copyright © McGraw-Hill Education. Permission required for reproduction or display.
PROBLEM 4.58 (Continued)
1
2
1
2 sin cos 2sin cos 0
2 2 2 2 2
cos 0 or 2( )sin 0
2 2
180 (trivial) sin
2
kl l Pl
kl P kl
kl
kl P
   
 


   
  
   
   
   
  

1 1
2sin /( )
2
kl kl P
   
 
 
 

(b) For
1
,
4
P kl

1
2
3
4
2
sin
2 3
kl
kl

 
41.8
2

  83.6
   
www.elsolucionario.org
Copyright © McGraw-Hill Education. Permission required for reproduction or display.
PROBLEM 4.59
Eight identical 500 750-mm
 rectangular plates, each of mass 40 kg,
m  are held in a vertical plane as
shown. All connections consist of frictionless pins, rollers, or short links. In each case, determine whether
(a) the plate is completely, partially, or improperly constrained, (b) the reactions are statically determinate
or indeterminate, (c) the equilibrium of the plate is maintained in the position shown. Also, wherever
possible, compute the reactions.
SOLUTION
1. Three non-concurrent, non-parallel reactions:
(a) Plate: completely constrained
(b) Reactions: determinate
(c) Equilibrium maintained
196.2 N
 
A C
2. Three non-concurrent, non-parallel reactions:
(a) Plate: completely constrained
(b) Reactions: determinate
(c) Equilibrium maintained
0, 196.2 N
  
B C D
3. Four non-concurrent, non-parallel reactions:
(a) Plate: completely constrained
(b) Reactions: indeterminate
(c) Equilibrium maintained
294 N
x 
A , 294 N
x 
D
( 392 N
y y
 
A D )
4. Three concurrent reactions (through D):
(a) Plate: improperly constrained
(b) Reactions: indeterminate
(c) No equilibrium ( 0)
D
M
 
www.elsolucionario.org
Copyright © McGraw-Hill Education. Permission required for reproduction or display.
PROBLEM 4.59 (Continued)
5. Two reactions:
(a) Plate: partial constraint
(b) Reactions: determinate
(c) Equilibrium maintained
196.2 N
 
C D
6. Three non-concurrent, non-parallel reactions:
(a) Plate: completely constrained
(b) Reactions: determinate
(c) Equilibrium maintained
294 N

B , 491 N

D 53.1°
7. Two reactions:
(a) Plate: improperly constrained
(b) Reactions determined by dynamics
(c) No equilibrium ( 0)
y
F
 
8. Four non-concurrent, non-parallel reactions:
(a) Plate: completely constrained
(b) Reactions: indeterminate
(c) Equilibrium maintained
196.2 N
y
 
B D
( 0)
x
 
C D
www.elsolucionario.org
Copyright © McGraw-Hill Education. Permission required for reproduction or display.
PROBLEM 4.60
The bracket ABC can be supported in the eight different ways shown. All connections consist of smooth
pins, rollers, or short links. For each case, answer the questions listed in Problem 4.59, and, wherever
possible, compute the reactions, assuming that the magnitude of the force P is 100 lb.
SOLUTION
1. Three non-concurrent, non-parallel reactions:
(a) Bracket: complete constraint
(b) Reactions: determinate
(c) Equilibrium maintained
120.2 lb

A 56.3°, 66.7 lb

B
2. Four concurrent, reactions (through A):
(a) Bracket: improper constraint
(b) Reactions: indeterminate
(c) No equilibrium ( 0)
A
M
 
3. Two reactions:
(a) Bracket: partial constraint
(b) Reactions: indeterminate
(c) Equilibrium maintained
50 lb

A , 50 lb

C
4. Three non-concurrent, non-parallel reactions:
(a) Bracket: complete constraint
(b) Reactions: determinate
(c) Equilibrium maintained
50 lb

A , 83.3 lb

B 36.9°, 66.7 lb

C
www.elsolucionario.org
Copyright © McGraw-Hill Education. Permission required for reproduction or display.
PROBLEM 4.60 (Continued)
5. Four non-concurrent, non-parallel reactions:
(a) Bracket: complete constraint
(b) Reactions: indeterminate
(c) Equilibrium maintained ( 0) 50 lb
C y
M
  
A
6. Four non-concurrent, non-parallel reactions:
(a) Bracket: complete constraint
(b) Reactions: indeterminate
(c) Equilibrium maintained
66.7 lb
x 
A 66.7 lb
x 
B
( 100 lb
y y
 
A B )
7. Three non-concurrent, non-parallel reactions:
(a) Bracket: complete constraint
(b) Reactions: determinate
(c) Equilibrium maintained
50 lb
 
A C
8. Three concurrent, reactions (through A)
(a) Bracket: improper constraint
(b) Reactions: indeterminate
(c) No equilibrium ( 0)
A
M
 
www.elsolucionario.org
Copyright © McGraw-Hill Education. Permission required for reproduction or display.
PROBLEM 4.61
A 500-lb cylindrical tank, 8 ft in diameter, is to be raised over a 2-ft
obstruction. A cable is wrapped around the tank and pulled
horizontally as shown. Knowing that the corner of the obstruction at A
is rough, find the required tension in the cable and the reaction at A.
SOLUTION
Free-Body Diagram:
Force triangle
2 ft
cos 0.5 60
4 ft
GD
AG
 
    
1
30 ( 60 )
2
(500 lb) tan 30°
T
  
    

T=289 lb
500 lb
cos30
A 

577 lb

A 60.0 
www.elsolucionario.org
Copyright © McGraw-Hill Education. Permission required for reproduction or display.
PROBLEM 4.62
Determine the reactions at A and B when 180 mm.
a 
SOLUTION
Reaction at B must pass through D where A and 300-N load intersect.
:
BCD

240
tan
180
53.13



 
Force triangle
(300 N) tan53.13
400 N
A  
 400 N

A 
300 N
cos 53.13°
500 N
B 
  500 N

B 53.1 
Free-Body Diagram:
(Three-force member)
www.elsolucionario.org
Copyright © McGraw-Hill Education. Permission required for reproduction or display.
PROBLEM 4.63
For the bracket and loading shown, determine the range of values
of the distance a for which the magnitude of the reaction at B does
not exceed 600 N.
SOLUTION
Reaction at B must pass through D where A and 300-N load intersect.
240 mm
tan
a

 (1)
Force Triangle
(with 600 N)
B 
300 N
cos 0.5
600 N
60.0


 
 
Eq. (1)
240 mm
tan 60.0°
138.56 mm
a 

For 600 N
B  138.6 mm
a  
Free-Body Diagram:
(Three-force member)
www.elsolucionario.org
Copyright © McGraw-Hill Education. Permission required for reproduction or display.
PROBLEM 4.64
The spanner shown is used to rotate a shaft. A pin fits in a
hole at A, while a flat, frictionless surface rests against the
shaft at B. If a 60-lb force P is exerted on the spanner at D,
find the reactions at A and B.
SOLUTION
Free-Body Diagram:
(Three-force body)
The line of action of A must pass through D, where B and P intersect.
3sin50
tan
3cos50 15
0.135756
7.7310




 

 
60 lb
sin 7.7310°
446.02 lb
60 lb
tan 7.7310°
441.97 lb
A
B




Force triangle
446 lb

A 7.73 
 442 lb

B 
www.elsolucionario.org
Copyright © McGraw-Hill Education. Permission required for reproduction or display.
PROBLEM 4.65
Determine the reactions at B and C when a = 30 mm.
SOLUTION
Since CD is a two-force member, the force it exerts on member ABD is directed along DC.
Free-Body Diagram of ABD: (Three-Force member)
The reaction at B must pass through E, where D and the 250-N load intersect.
Triangle CFD:
60
tan 0.6
100
30.964


 
 
Triangle EAD: 200tan 120 mm
120 30 90 mm
AE
GE AE AG

 
    
Triangle EGB:
60
tan
90
33.690
GB
GE


 
 
Force triangle
250 N
sin120.964 sin33.690 sin 25.346°
B D
 
 
500.7 N
323.9 N
B
D

 501 N

B 56.3 
 324 N
 
C D 31.0 
www.elsolucionario.org
Copyright © McGraw-Hill Education. Permission required for reproduction or display.
PROBLEM 4.66
A 12-ft wooden beam weighing 80 lb is supported by a pin and
bracket at A and by cable BC. Find the reaction at A and the tension
in the cable.
SOLUTION
Since CB is a two-force member, the force it exerts on member AB is directed along CB.
Free-Body Diagram of AB: (Three-Force member)
The reaction at B must pass through E, where T and the 80-lb load intersect.
Triangle CFD:
 
 
2
6 ft 1.50 ft
8
BG
DG AC
AB
DG

 
Triangle EAD:
1.50
tan
6
14.0362
DG
AE


 
 
Triangle EGB: Force triangle
80 lb
sin53.13 sin75.964 sin 50.906°
A T
 
 
82.5 lb

A 14.04 
 100.0 lb
T  
www.elsolucionario.org
Copyright © McGraw-Hill Education. Permission required for reproduction or display.
PROBLEM 4.67
Determine the reactions at B and D when 60 mm.
b 
SOLUTION
Since CD is a two-force member, the line of action of reaction at D must pass through Points C and D.
Free-Body Diagram:
(Three-force body)
Reaction at B must pass through E, where the reaction at D and the 80-N force intersect.
220 mm
tan
250 mm
41.348



 
Force triangle
Law of sines:
80 N
sin 3.652° sin 45 sin131.348
888.0 N
942.8 N
B D
B
D
 
 

  888 N

B 41.3 943 N

D 45.0 
www.elsolucionario.org
Copyright © McGraw-Hill Education. Permission required for reproduction or display.
PROBLEM 4.68
For the frame and loading shown, determine the reactions at C and D.
SOLUTION
Since BD is a two-force member, the reaction at D must pass through Points B and D.
Free-Body Diagram:
(Three-force body)
Reaction at C must pass through E, where the reaction at D and the 150-lb load intersect.
Triangle CEF:
4.5 ft
tan 56.310
3 ft
 
  
Triangle ABE:
1
tan 26.565
2
 
  
www.elsolucionario.org
Copyright © McGraw-Hill Education. Permission required for reproduction or display.
PROBLEM 4.68 (Continued)
Force Triangle
Law of sines:
150 lb
sin 29.745 sin116.565 sin33.690
C D
 
  
270.42 lb,
167.704 lb
C
D


270 lb

C 56.3 ;
 167.7 lb

D 26.6
www.elsolucionario.org
Copyright © McGraw-Hill Education. Permission required for reproduction or display.
PROBLEM 4.69
A 50-kg crate is attached to the trolley-beam system shown.
Knowing that 1.5 m,
a  determine (a) the tension in cable CD,
(b) the reaction at B.
SOLUTION
Three-force body: W and CD
T intersect at E.
0.7497 m
tan
1.5 m
26.556



 
Three forces intersect at E.
2
(50 kg) 9.81 m/s
490.50 N
W 

Force triangle
Law of sines:
490.50 N
sin 61.556° sin 63.444 sin55
498.99 N
456.96 N
CD
CD
T B
T
B
 
 


(a) 499 N
CD
T  
(b) 457 N

B 26.6 
www.elsolucionario.org
Copyright © McGraw-Hill Education. Permission required for reproduction or display.
PROBLEM 4.70
One end of rod AB rests in the corner A and the other end is attached to
cord BD. If the rod supports a 150-N load at its midpoint C, find the
reaction at A and the tension in the cord.
SOLUTION
Free-Body Diagram: (Three-force body) Dimensions in mm
The line of action of reaction at A must pass through E, where T and the 150-N load intersect.
Force triangle
460
tan
240
62.447
100
tan
240
22.620
EF
AF
EH
DH




 
 
 
 
150 N
sin67.380 sin 27.553 sin 85.067°
A T
 
 
139.0 N

A 62.4 
69.6 N
T  
www.elsolucionario.org
Copyright © McGraw-Hill Education. Permission required for reproduction or display.
PROBLEM 4.71
For the boom and loading shown, determine (a) the tension in cord
BD, (b) the reaction at C.
SOLUTION
Three-force body: 3-kip load and T intersect at E.
Geometry:
32
;
12 48
8 in.
BF CF BF
AG CG
BF
 

32 32 8 24 in.
48
; ; 36 in.
24 32
36 32 4 in.
BH BF
JE DJ JE
JE
BH DH
EG JE JG
    
  
    
4 in.
tan
48 in.
4.7636
24 in.
tan
32 in.
36.870





 

 
Force Triangle
Law of sines:
3 kips
sin94.764 sin32.106 sin53.13
BD
T C
 
  
(a) 5.63 kips
BD
T  
(b) 4.52 kips

C 4.76 
Free-Body Diagram:
www.elsolucionario.org
Copyright © McGraw-Hill Education. Permission required for reproduction or display.
PROBLEM 4.72
A 40-lb roller, of diameter 8 in., which is to be used on a tile floor, is
resting directly on the subflooring as shown. Knowing that the thickness
of each tile is 0.3 in., determine the force P required to move the roller
onto the tiles if the roller is (a) pushed to the left, (b) pulled to the right.
SOLUTION


Force Triangle



Force Triangle


Geometry: For each case as roller comes into contact with
tile,
1 3.7 in.
cos
4 in.
22.332




 
(a) Roller pushed to left (three-force body):
Forces must pass through O.
Law of sines:
40 lb
; 24.87 lb
sin37.668 sin 22.332
P
P
 
 
24.9 lb

P 30.0° 
(b) Roller pulled to right (three-force body):
Forces must pass through O.
Law of sines:
40 lb
; 15.3361 lb
sin97.668 sin 22.332
P
P
 
 
15.34 lb

P 30.0° 

www.elsolucionario.org
Copyright © McGraw-Hill Education. Permission required for reproduction or display.
PROBLEM 4.73
A T-shaped bracket supports a 300-N load as shown. Determine
the reactions at A and C when α  45°.
SOLUTION
Free-Body Diagram:
(Three-force body)
The line of action of C must pass through E, where A and the 300-N force intersect.
Triangle ABE is isosceles: 400 mm
EA AB
 
In triangle CEF:
150 mm
tan
700 mm
CF CF
EF EA AF
   

12.0948
  
www.elsolucionario.org
Copyright © McGraw-Hill Education. Permission required for reproduction or display.
PROBLEM 4.73 (Continued)
Force Triangle
Law of sines:
300 N
sin32.905 sin135 sin12.0948
A C
 
  
778 N

A ; 1012 N

C 77.9 
www.elsolucionario.org
Copyright © McGraw-Hill Education. Permission required for reproduction or display.
PROBLEM 4.74
A T-shaped bracket supports a 300-N load as shown. Determine
the reactions at A and C when α  60°.
SOLUTION
Free-Body Diagram:
(400 mm) tan30°
230.94 mm
EA 

In triangle CEF: tan
CF CF
EF EA AF
  

150
tan
230.94 300
15.7759




 
www.elsolucionario.org
Copyright © McGraw-Hill Education. Permission required for reproduction or display.
PROBLEM 4.74 (Continued)
Force Triangle
Law of sines:
300 N
sin 44.224 sin120 sin15.7759
770 N
956 N
A C
A
C
 
  


770 N

A ; 956 N

C 74.2 
www.elsolucionario.org
Copyright © McGraw-Hill Education. Permission required for reproduction or display.
PROBLEM 4.75
Rod AB is supported by a pin and bracket at A and rests against a frictionless
peg at C. Determine the reactions at A and C when a 170-N vertical force is
applied at B.
SOLUTION
The reaction at A must pass through D where C and the 170-N force intersect.
160 mm
tan
300 mm
28.07



 
We note that triangle ABD is isosceles (since AC  BC) and, therefore,
28.07
CAD 
  

Also, since ,
CD CB
 reaction C forms angle 28.07
  with the horizontal axis.
Force triangle
We note that A forms angle 2 with the vertical axis. Thus, A and C form angle
180 (90 ) 2 90
  
       
Force triangle is isosceles, and we have
170 N
2(170 N)sin
160.0 N
A
C 



170.0 N

A 33.9°; 160.0 N

C 28.1° 
Free-Body Diagram:
(Three-force body)
www.elsolucionario.org
Copyright © McGraw-Hill Education. Permission required for reproduction or display.
PROBLEM 4.76
Solve Problem 4.75, assuming that the 170-N force applied at B is horizontal
and directed to the left.
PROBLEM 4.75 Rod AB is supported by a pin and bracket at A and rests
against a frictionless peg at C. Determine the reactions at A and C when a
170-N vertical force is applied at B.
SOLUTION
Free-Body Diagram: (Three-Force body)
The reaction at A must pass through D, where C and the 170-N force intersect.
160 mm
tan
300 mm
28.07



 
We note that triangle ADB is isosceles (since AC  BC). Therefore 90 .
A B 
   
 
Also 2
ADB 


Force triangle
The angle between A and C must be 2  
 
Thus, force triangle is isosceles and 28.07
  
170.0 N
2(170 N)cos 300 N
A
C 

 
170.0 N

A 56.1° 300 N

C 28.1° 
www.elsolucionario.org
Copyright © McGraw-Hill Education. Permission required for reproduction or display.
PROBLEM 4.77
Member ABC is supported by a pin and bracket at B and by an
inextensible cord attached at A and C and passing over a
frictionless pulley at D. The tension may be assumed to be the
same in portions AD and CD of the cord. For the loading shown
and neglecting the size of the pulley, determine the tension in the
cord and the reaction at B.
SOLUTION
Reaction at B must pass through D.
7 in.
tan
12 in.
30.256
7 in.
tan
24 in.
16.26





 

 
Force Triangle
Law of sines:
72 lb
sin59.744 sin13.996 sin106.26
(sin13.996 ) ( 72 lb)(sin 59.744°)
(0.24185) ( 72)(0.86378)
T T B
T T
T T

 
 
  
 
100.00 lb
T  100.0 lb
T  
sin 106.26°
(100 lb)
sin59.744
111.14 lb
B 

 111.1 lb

B 30.3 
Free-Body Diagram:
www.elsolucionario.org
Copyright © McGraw-Hill Education. Permission required for reproduction or display.
PROBLEM 4.78
Using the method of Section 4.7, solve Problem 4.22.
PROBLEM 4.22 A lever AB is hinged at C and attached to a
control cable at A. If the lever is subjected to a 500-N horizontal
force at B, determine (a) the tension in the cable, (b) the
reaction at C.
SOLUTION
Reaction at C must pass through E, where FAD and 500-N force intersect.
Since 250 mm,
AC CD
  triangle ACD is isosceles.
We have 90 30 120
C      

and
1
(180 120 ) 30
2
A D
      
  Dimensions in mm
On the other hand, from triangle BCF:
( )sin30 200 sin 30 100 mm
250 100 150 mm
CF BC
FD CD CF
    
    
From triangle EFD, and since 30 :
D  

( )tan30 150tan30 86.60 mm
EF FD
    
From triangle EFC:
100 mm
tan
86.60 mm
49.11
CF
EF


 
 
Force triangle
Law of sines
500 N
sin 49.11 sin60 sin 70.89°
400 N, 458 N
AD
AD
F C
F C
 
 
 
(a) 400 N
AD
F  
(b) 458 N

C 49.1° 
Free-Body Diagram:
(Three-Force body)
www.elsolucionario.org
Copyright © McGraw-Hill Education. Permission required for reproduction or display.
PROBLEM 4.79
Knowing that   30, determine the reaction (a) at B, (b) at C.
SOLUTION
Reaction at C must pass through D where force P and reaction at B intersect.
In  CDE:
( 3 1)
tan
3 1
36.2
R
R




 
 
Force Triangle
Law of sines:
sin 23.8 sin126.2 sin30
2.00
1.239
P B C
B P
C P
 
  


(a) 2P

B 60.0° 
(b) 1.239P

C 36.2° 
Free-Body Diagram:
(Three-force body)
www.elsolucionario.org
Copyright © McGraw-Hill Education. Permission required for reproduction or display.
PROBLEM 4.80
Knowing that   60, determine the reaction (a) at B, (b) at C.
SOLUTION
Reaction at C must pass through D where force P and reaction at B intersect.
In CDE: 3
tan
1
1
3
22.9
R
R
R




 
 
Force Triangle
Law of sines:
sin52.9 sin67.1 sin60
1.155
1.086
P B C
B P
C P
 
  


(a) 1.155P

B 30.0° 
(b) 1.086P

C 22.9° 
Free-Body Diagram:
(Three-force body)
www.elsolucionario.org
Copyright © McGraw-Hill Education. Permission required for reproduction or display.
PROBLEM 4.81
Determine the reactions at A and B when 50°.
 
SOLUTION
Free-Body Diagram: (Three-force body)
Reaction A must pass through Point D where the 100-N force
and B intersect.
In right  BCD:
90 75 15
250tan 75 933.01 mm
BD
      
  
In right  ABD:
150 mm
tan
933.01mm
9.1333
AB
BD


 
 
Force Triangle
Law of sines:
100 N
sin9.1333° sin15 sin155.867
163.1 N; 257.6 N
A B
A B
 
 
 
163.1 N

A 74.1° 258 N

B 65.0° 
Dimensions in mm
www.elsolucionario.org
Copyright © McGraw-Hill Education. Permission required for reproduction or display.
PROBLEM 4.82
Determine the reactions at A and B when   80.
SOLUTION
Free-Body Diagram:
(Three-force body)
Reaction A must pass through D where the 100-N force and B intersect.
In right triangle BCD: 90 75 15
      
tan75 250 tan75
933.01 mm
BD BC
BD
   

In right triangle ABD:
150 mm
tan
933.01 mm
AB
BD
   9.1333
  
www.elsolucionario.org
Copyright © McGraw-Hill Education. Permission required for reproduction or display.
PROBLEM 4.82 (Continued)
Force Triangle
Law of sines:
100 N
sin 9.1333° sin15 sin155.867
A B
 
 
 163.1 N

A 55.9 
 258 N

B 65.0 
www.elsolucionario.org
Copyright © McGraw-Hill Education. Permission required for reproduction or display.
PROBLEM 4.83
Rod AB is bent into the shape of an arc of circle and is lodged between two
pegs D and E. It supports a load P at end B. Neglecting friction and the weight
of the rod, determine the distance c corresponding to equilibrium when a  20
mm and R  100 mm.
SOLUTION
Free-Body Diagram:
Since ,
ED ED
y x a
 
slope of ED is 45 ;

slope of HC is 45 .

Also 2
DE a

and
1
2 2
a
DH HE DE
 
  
 
 
For triangles DHC and EHC, 2
sin
2
a
a
R R
  
Now sin(45 )
c R 
  
For 20 mm and 100 mm
20 mm
sin
2(100 mm)
0.141421
8.1301
a R


 


 
and (100 mm)sin(45 8.1301 )
c    
60.00 mm
 or 60.0 mm
c  
www.elsolucionario.org
Copyright © McGraw-Hill Education. Permission required for reproduction or display.
PROBLEM 4.84
A slender rod of length L is attached to collars that can slide freely along
the guides shown. Knowing that the rod is in equilibrium, derive an
expression for the angle  in terms of the angle .
SOLUTION
As shown in the free-body diagram of the slender rod AB, the three forces intersect at C. From the force
geometry:
Free-Body Diagram:
tan GB
AB
x
y
 
where
cos
AB
y L 

and
1
sin
2
GB
x L 

1
2
sin
tan
cos
1
tan
2
L
L





 or tan 2tan
 
 
www.elsolucionario.org
Copyright © McGraw-Hill Education. Permission required for reproduction or display.
PROBLEM 4.85
An 8-kg slender rod of length L is attached to collars that can slide freely
along the guides shown. Knowing that the rod is in equilibrium and that
  30, determine (a) the angle  that the rod forms with the vertical,
(b) the reactions at A and B.
SOLUTION
(a) As shown in the free-body diagram of the slender rod AB, the three forces intersect at C. From the
geometry of the forces:
Free-Body Diagram:
tan CB
BC
x
y
 
where
1
sin
2
CB
x L 

and
cos
1
tan tan
2
BC
y L 
 


or tan 2tan
 

For 30
  
tan 2tan30
1.15470
49.107


 

  or 49.1
   
(b) 2
(8 kg)(9.81 m/s ) 78.480 N
W mg
  
From force triangle: tan
(78.480 N)tan30
A W 

 
45.310 N
 or 45.3 N

A 
and
78.480 N
90.621 N
cos cos30
W
B

  

or 90.6 N

B 60.0 
www.elsolucionario.org
Copyright © McGraw-Hill Education. Permission required for reproduction or display.
PROBLEM 4.86
A uniform rod AB of length 2R rests inside a hemispherical bowl of
radius R as shown. Neglecting friction, determine the angle 
corresponding to equilibrium.
SOLUTION
Based on the F.B.D., the uniform rod AB is a three-force body. Point E is the point of intersection of the
three forces. Since force A passes through O, the center of the circle, and since force C is perpendicular to
the rod, triangle ACE is a right triangle inscribed in the circle. Thus, E is a point on the circle.
Note that the angle  of triangle DOA is the central angle corresponding to the inscribed angle of
triangle DCA.
2
 

The horizontal projections of , ( ),
AE
AE x and , ( ),
AG
AG x are equal.
AE AG A
x x x
 
or ( )cos2 ( )cos
AE AG
 

and (2 )cos2 cos
R R
 

Now 2
cos2 2cos 1
 
 
then 2
4cos 2 cos
 
 
or 2
4cos cos 2 0
 
  
Applying the quadratic equation,
cos 0.84307 and cos 0.59307
 
  
32.534 and 126.375 (Discard)
 
    or 32.5
   
www.elsolucionario.org
Copyright © McGraw-Hill Education. Permission required for reproduction or display.
PROBLEM 4.87
A slender rod BC of length L and weight W is held by two cables as
shown. Knowing that cable AB is horizontal and that the rod forms
an angle of 40 with the horizontal, determine (a) the angle  that
cable CD forms with the horizontal, (b) the tension in each cable.
SOLUTION
Free-Body Diagram:
(Three-force body)
(a) The line of action of TCD must pass through E, where TAB and W intersect.
1
2
tan
sin 40
cos40
2tan 40
59.210
CF
EF
L
L
 



 
 
59.2
   
(b) Force Triangle tan30.790
0.59588
AB
T W
W
 

0.596
AB
T W
 
 cos30.790
1.16408
CD
W
T
W




 1.164
CD
T W
 
www.elsolucionario.org
Copyright © McGraw-Hill Education. Permission required for reproduction or display.
PROBLEM 4.88
A thin ring of mass 2 kg and radius r  140 mm is held against a frictionless
wall by a 125-mm string AB. Determine (a) the distance d, (b) the tension in
the string, (c) the reaction at C.
SOLUTION
Free-Body Diagram:
(Three-force body)
The force T exerted at B must pass through the center G of the ring, since C and W intersect at that point.
Thus, points A, B, and G are in a straight line.
(a) From triangle ACG: 2 2
2 2
( ) ( )
(265 mm) (140 mm)
225.00 mm
d AG CG
 
 

225 mm
d  
Force Triangle
2
(2 kg)(9.81 m/s ) 19.6200 N
W  
Law of sines:
19.6200 N
265 mm 140 mm 225.00 mm
T C
 
(b) 23.1 N
T  
(c) 12.21 N

C 
www.elsolucionario.org
Copyright © McGraw-Hill Education. Permission required for reproduction or display.
PROBLEM 4.89
A slender rod of length L and weight W is attached to a
collar at A and is fitted with a small wheel at B. Knowing
that the wheel rolls freely along a cylindrical surface of
radius R, and neglecting friction, derive an equation in , L,
and R that must be satisfied when the rod is in equilibrium.
SOLUTION
Free-Body Diagram (Three-force body)
Reaction B must pass through D where B and W intersect.
Note that ABC and BGD are similar.
cos
AC AE L 
 
In  ABC: 2 2 2
2 2 2
2
2 2
2
2 2
2
2
( ) ( ) ( )
(2 cos ) ( sin )
4cos sin
4cos 1 cos
3cos 1
CE BE BC
L L R
R
L
R
L
R
L
 
 
 

 
 
 
 
 
 
 
  
 
 
 
 
 
 
2
2 1
cos 1
3
R
L

 
 
 
 
 
 
 

www.elsolucionario.org
Copyright © McGraw-Hill Education. Permission required for reproduction or display.
PROBLEM 4.90
Knowing that for the rod of Problem 4.89, L  15 in., R  20
in., and W  10 lb, determine (a) the angle  corresponding
to equilibrium, (b) the reactions at A and B.
SOLUTION
See the solution to Problem 4.86 for the free-body diagram and analysis leading to the following
equation:
2
2 1
cos 1
3
R
L

 
 
 
 
 
 
 
For 15 in., 20 in., and 10 lb,
L R W
  
(a)
2
2 1 20 in.
cos 1 ; 59.39
3 15 in.
 
 
 
 
   
 
 
 
 
59.4
   
In  ABC:
sin 1
tan tan
2 cos 2
1
tan tan59.39 0.8452
2
40.2
BE L
CE L

 



  
  
 
Force Triangle
tan (10 lb)tan 40.2 8.45 lb
(10 lb)
13.09 lb
cos cos 40.2
A W
W
B


   
  

(b) 8.45 lb

A 
13.09 lb

B 49.8° 
www.elsolucionario.org
Copyright © McGraw-Hill Education. Permission required for reproduction or display.
PROBLEM 4.91
Two transmission belts pass over a double-sheaved pulley
that is attached to an axle supported by bearings at A and
D. The radius of the inner sheave is 125 mm and the radius
of the outer sheave is 250 mm. Knowing that when the
system is at rest, the tension is 90 N in both portions of
belt B and 150 N in both portions of belt C, determine the
reactions at A and D. Assume that the bearing at D does
not exert any axial thrust.
SOLUTION
We replace B
T and B

T by their resultant ( 180 N)
 j and C
T and C

T by their resultant ( 300 N) .
 k
Dimensions in mm
We have five unknowns and six equations of equilibrium. Axle AD is free to rotate about the x-axis, but
equilibrium is maintained ( 0).
x
M
 
0: (150 ) ( 180 ) (250 ) ( 300 ) (450 ) ( ) 0
A y z
D D
          
M i j i k i j k
3 3
27 10 75 10 450 450 0
y z
D D
      
k j k j
Equating coefficients of j and k to zero,
:
j 3
75 10 450 0
z
D
   166.7 N
z
D 
3
: 27 10 450 0
y
D
   
k 60.0 N
y
D 
0:
x
F
  0
x
A 
0: 180 N 0
y y y
F A D
     180 60 120.0 N
y
A   
0: 300 N 0
z z z
F A D
     300 166.7 133.3 N
z
A   
(120.0 N) (133.3 N) ; (60.0 N) (166.7 N)
   
A j k D j k 
www.elsolucionario.org
Copyright © McGraw-Hill Education. Permission required for reproduction or display.
PROBLEM 4.92
Solve Problem 4.91, assuming that the pulley rotates at a
constant rate and that TB  104 N, T′B  84 N, TC  175 N.
PROBLEM 4.91 Two transmission belts pass over a
double-sheaved pulley that is attached to an axle supported
by bearings at A and D. The radius of the inner sheave is
125 mm and the radius of the outer sheave is 250 mm.
Knowing that when the system is at rest, the tension is 90 N
in both portions of belt B and 150 N in both portions of
belt C, determine the reactions at A and D. Assume that the
bearing at D does not exert any axial thrust.
SOLUTION
Dimensions in mm
We have six unknowns and six equations of equilibrium. —OK
0: (150 250 ) ( 104 ) (150 250 ) ( 84 )
(250 125 ) ( 175 ) (250 125 ) ( )
450 ( ) 0
A
C
y z
T
D D
        
       
   
M i k j i k j
j k i j
i
i j k
150(104 84) 250(104 84) 250(175 ) 125(175 )
450 450 0
C C
y z
T T
D D
 
       
  
k i j
k j
Equating the coefficients of the unit vectors to zero,
: 250(104 84) 125(175 ) 0 175 40 135;
C C C
T T T
  
      
i
: 250(175 135) 450 0
z
D
  
j 172.2 N
z
D 
: 150(104 84) 450 0
y
D
   
k 62.7 N
y
D 
www.elsolucionario.org
Copyright © McGraw-Hill Education. Permission required for reproduction or display.
PROBLEM 4.92 (Continued)
0:
x
F
  0
x
A 
0:
y
F
  104 84 62.7 0
y
A     125.3 N
y
A 
0:
z
F
  175 135 172.2 0
z
A     137.8 N
z
A 
(125.3 N) (137.8 N) ; (62.7 N) (172.2 N)
   
A j k D j k 
www.elsolucionario.org
Copyright © McGraw-Hill Education. Permission required for reproduction or display.
PROBLEM 4.93
A small winch is used to raise a 120-lb load.
Find (a) the magnitude of the vertical force P
that should be applied at C to maintain
equilibrium in the position shown, (b) the
reactions at A and B, assuming that the bearing at
B does not exert any axial thrust.
SOLUTION
Dimensions in in.
We have six unknowns and six equations of equilibrium.
(32 in.) (10 in.)cos30 (10 in.)sin30
32 8.6603 5
C   
  
r i j k
i j k
 
0: (10 4 ) ( 120 ) (20 ) ( ) (32 8.6603 5 ) ( ) 0
1200 480 20 20 32 5 0
A y z
y z
B B P
B B P P
             
      
M i k j i j k j k j
i
k i k j k i
Equating the coefficients of the unit vectors to zero,
: 480 5 ) 0 96.0 lb;
P P
  
i ( ) 96.0 lb
a P  
: 20 0
z
B 
j 0
z
B 
: 1200 20 32(96.0) 0
y
B
   
k 213.6 lb
y
B 
0:
x
F
  0
x
A 
0:
y
F
  120 213.6 96.0 0
y
A     2.40 lb
y
A 
0:
z
F
  0
z z
A B
  0
z z
A B
  
(2.40 lb) ; (214 lb)
 
A j B j 
www.elsolucionario.org
Copyright © McGraw-Hill Education. Permission required for reproduction or display.
PROBLEM 4.94
A 4 8-ft
 sheet of plywood weighing 34 lb has been
temporarily placed among three pipe supports. The lower
edge of the sheet rests on small collars at A and B and its
upper edge leans against pipe C. Neglecting friction at all
surfaces, determine the reactions at A, B, and C.
SOLUTION
/
3.75 1.3919
2 2
G B   
r i j k
We have 5 unknowns and 6 Eqs. of equilibrium.
Plywood sheet is free to move in z direction, but equilibrium is maintained ( 0).
z
F
 
/ / /
0: ( ) ( ) ( ) 0
B A B x y C B G B
M r A A r C r w
          
i j i j
0 0 4 3.75 1.3919 2 1.875 0.696 1 0
0 0 0 0 34 0
x y
A A C
  
 
i j k i j k i j k
4 4 2 1.3919 34 63.75 0
y x
A A C C
      
i j j k i k
Equating coefficients of unit vectors to zero:
:
i 4 34 0
y
A
   8.5 lb
y
A 
:
j 2 4 0
x
C A
  
1 1
(45.80) 22.9 lb
2 2
x
A C
  
: 1.3919 63.75 0
C  
k 45.80 lb
C  45.8 lb
C 
0:
x
F
  0:
x x
A B C
   45.8 22.9 22.9 lb
x
B   
0:
y
F
  0:
y y
A B W
   34.0 8.50 25.5 lb
y
B   
(22.9 lb) (8.50 lb) (22.9 lb) (25.5 lb) (45.8 lb)
     
A i j B i j C i 
www.elsolucionario.org
Copyright © McGraw-Hill Education. Permission required for reproduction or display.
PROBLEM 4.95
A 250 × 400-mm plate of mass 12 kg and a 300-mm-diameter
pulley are welded to axle AC that is supported by bearings at A and
B. For  = 30°, determine (a) the tension in the cable, (b) the
reactions at A and B. Assume that the bearing at B does not exert
any axial thrust.
SOLUTION
Free-Body Diagram:
2
(12 kg)(9.81 m/s ) 117.720 N
W mg
      j
/ /A
/
570 ; 150 770 ;
(200sin ) (200cos ) 285
B A D
G A  
   
  
r k r j k
r i j k
/ D/ /
0: ( ) ( ) 0
A B A x y A G A
M B B T W
         
r i j r i r j
0 0 570 0 150 770 200sin 200cos 285 0
0 0 0 0 0
x y
B B T W
 
      
 
i j k i j k i j k
570 570 770 150 285 (200sin ) 0
y x
B B T T W W

     
i j j k i k
Equating the coefficients of the unit vectors to zero,
:
i 570 285(117.72) 0
y
B   58.860 N
y
B 
:
j 570 770 0
x
B T
  
77
; 106.017 N
57
x x
B T B
 
:
k 150 (200sin30 )117.720 0
T  

78.480 N
T  ( ) 78.5 N
a T  
0:
y
F
  0
y y
A B W
   117.720 58.860 58.860 N
y
A   
0:
z
F
  0
z
A 
0:
x
F
  0; 27.537 N
x x x
A B T A
    
(b) (27.5 N) (58.9 N) ; (106.0 N) (58.9 N)
    
A i j B i j 
www.elsolucionario.org
Copyright © McGraw-Hill Education. Permission required for reproduction or display.
PROBLEM 4.96
Solve Prob. 4.95 for  = 60°.
PROBLEM 4.95 A 250 × 400-mm plate of mass 12 kg and a
300-mm-diameter pulley are welded to axle AC that is supported
by bearings at A and B. For  = 30°, determine (a) the tension in
the cable, (b) the reactions at A and B. Assume that the bearing at
B does not exert any axial thrust.
SOLUTION
Free-Body Diagram:
2
(12 kg)(9.81 m/s ) 117.720 N
W mg
      j
/ /A
/
570 ; 150 770 ;
(200sin ) (200cos ) 285
B A D
G A  
   
  
r k r j k
r i j k
/ D/ /
0: ( ) ( ) 0
A B A x y A G A
M B B T W
         
r i j r i r j
0 0 570 0 150 770 200sin 200cos 285 0
0 0 0 0 0
x y
B B T W
 
      
 
i j k i j k i j k
570 570 770 150 285 (200sin ) 0
y x
B B T T W W

     
i j j k i k
:
i 570 285(117.72) 0
y
B   58.860 N
y
B 
:
j 570 770 0
x
B T
  
77
; 183.625 N
57
x x
B T B
 
:
k 150 (200sin60 )117.720 0
T  

135.931 N
T 
( ) 135.9 N
a T  
0:
y
F
  0
y y
A B W
   117.720 58.860 58.860 N
y
A   
0:
z
F
  0
z
A 
0:
x
F
  0; 47.694 N
x x x
A B T A
    
(b) (47.7 N) (58.9 N) ; (183.6 N) (58.9 N)
    
A i j B i j 
www.elsolucionario.org
Copyright © McGraw-Hill Education. Permission required for reproduction or display.
PROBLEM 4.97
The 20 × 20-in. square plate shown weighs 56 lb and is
supported by three vertical wires. Determine the tension in
each wire.
SOLUTION
0
b
W 
j and (56.0 lb)
W   j
/ / /
0: ( ) 0
A B A B C A C G A
M T T W
        
r j r j r j
(16 10 ) (16 10 ) T 10 ( ) 0
B C
T W
        
i k j i k j i j
16 10 16 10 10 0
B B C C
T T T T W
    
k i k i k
Equate coefficients of unit vectors to zero:
: 10 10 0;
B C B C
T T T T
  
i
: 16 16 10 0
16 16 10(56.0 lb)=0
B C
B B
T T W
T T
  
 
k
17.50 lb
B C
T T
 
0: 0
y A B C
F T T T W
     
17.50 17.50 56.0 0
21.0 lb
A
A
T
T
   

21.0 lb
A
T  
17.50 lb
B C
T T
  
www.elsolucionario.org
Copyright © McGraw-Hill Education. Permission required for reproduction or display.
PROBLEM 4.98
The 20 × 20-in. square plate shown weighs 56 lb and is
supported by three vertical wires. Determine the weight and
location of the lightest block that should be placed on the
plate if the tensions in the three wires are to be equal.
SOLUTION
Let be the weight of block; and its coordinates.
b
W x z
 j
Since the tensions in the wires are equal, let A B C
T T T T
  
0: ( ) ( ) ( ) 0
O A B C G b
M T T T W x z W
              
r j r j r j r j i k j
(10 ) (16 ) (16 20 ) (10 10 ) ( ) ( ) ( ) 0
b
T T T W x z W
              
k j i j i k j i k j i k j
10 16 16 20 10 10 0
b b
T T T T W W W x W z
        
i k k i k i k i
Equate coefficients of unit vectors to zero:
: 30 10 0; (1)
b
T W W z
   
i
: 32 10 0 (2)
b
T W W x
  
k
Also,
0: 3 0 (3)
y b
F T W W
    
(1)+10(3): ( 10) 0 since and must be 20 in. 10 in.
b
z W x z z
   
3(2) 32(3) : 2 ( 3 32) 0
2 2
; since 20 in.
3 32 3(20) 32
1
Finally, with 56 lb; (56 lb) 4.00 lb
14
b
b b
b
W x W
W W
x
W x W
W W
    
  
 
  
4.00 lb at 20.0 in., 10.00 in.
b
W x z
   
www.elsolucionario.org
Copyright © McGraw-Hill Education. Permission required for reproduction or display.
PROBLEM 4.99
An opening in a floor is covered by a 1 1.2-m
 sheet of
plywood of mass 18 kg. The sheet is hinged at A and B and
is maintained in a position slightly above the floor by a
small block C. Determine the vertical component of the
reaction (a) at A, (b) at B, (c) at C.
SOLUTION
/
/
/
0.6
0.8 1.05
0.3 0.6
B A
C A
G A

 
 
r i
r i k
r i k
(18 kg)9.81
176.58 N
W mg
W
 

/ / /
0: ( ) 0
A B A C A G A
M B C W
        
r j r j r j
(0.6 ) (0.8 1.05 ) (0.3 0.6 ) ( ) 0
B C W
        
i j i k j i k j
0.6 0.8 1.05 0.3 0.6 0
B C C W W
    
k k i k i
Equate coefficients of unit vectors to zero:
0.6
: 1.05 0.6 0 176.58 N 100.90 N
1.05
C W C
 
   
 
 
i
: 0.6 0.8 0.3 0
B C W
  
k
0.6 0.8(100.90 N) 0.3(176.58 N) 0 46.24 N
B B
    
0: 0
y
F A B C W
     
46.24 N 100.90 N 176.58 N 0 121.92 N
A A
    
( ) 121.9 N ( ) 46.2 N ( ) 100.9 N
a A b B c C
    
www.elsolucionario.org
Copyright © McGraw-Hill Education. Permission required for reproduction or display.
PROBLEM 4.100
Solve Problem 4.99, assuming that the small block C is
moved and placed under edge DE at a point 0.15 m from
corner E.
PROBLEM 4.99 An opening in a floor is covered by a
1 1.2-m
 sheet of plywood of mass 18 kg. The sheet is
hinged at A and B and is maintained in a position slightly
above the floor by a small block C. Determine the vertical
component of the reaction (a) at A, (b) at B, (c) at C.
SOLUTION
/
/
/
0.6
0.65 1.2
0.3 0.6
B A
C A
G A

 
 
r i
r i k
r i k
2
(18 kg) 9.81 m/s
176.58 N
W mg
W
 

/ / /
0: ( ) 0
A B A C A G A
M B C W
        
r j r j r j
0.6 (0.65 1.2 ) (0.3 0.6 ) ( ) 0
B C W
        
i j i k j i k j
0.6 0.65 1.2 0.3 0.6 0
B C C W W
    
k k i k i
Equate coefficients of unit vectors to zero:
0.6
: 1.2 0.6 0 176.58 N 88.29 N
1.2
C W C
 
    
 
 
i
: 0.6 0.65 0.3 0
B C W
  
k
0.6 0.65(88.29 N) 0.3(176.58 N) 0 7.36 N
B B
    
0: 0
y
F A B C W
     
7.36 N 88.29 N 176.58 N 0 95.648 N
A A
    
( ) 95.6 N ( ) 7.36 N ( ) 88.3 N
a A b B c C
    
www.elsolucionario.org
Copyright © McGraw-Hill Education. Permission required for reproduction or display.
PROBLEM 4.101
Two steel pipes AB and BC, each having a mass per unit
length of 8 kg/m, are welded together at B and supported
by three wires. Knowing that 0.4 m,
a  determine the
tension in each wire.
SOLUTION
1
2
0.6
1.2
W m g
W m g




/ / 1 / 2 /
0: ( ) ( ) 0
D A D A E D F D C D C
M T W W T
           
r j r j r j r j
1 2
( 0.4 0.6 ) ( 0.4 0.3 ) ( ) 0.2 ( ) 0.8 0
A C
T W W T
             
i k j i k j i j i j
1 1 2
0.4 0.6 0.4 0.3 0.2 0.8 0
A A C
T T W W W T
      
k i k i k k
Equate coefficients of unit vectors to zero:
1 1
1 1
: 0.6 0.3 0; 0.6 0.3
2 2
A A
T W T W m g m g
 
     
i
1 2
: 0.4 0.4 0.2 0.8 0
A C
T W W T
    
k
0.4(0.3 ) 0.4(0.6 ) 0.2(1.2 ) 0.8 0
C
m g m g m g T
  
    
(0.12 0.24 0.24)
0.15
0.8
C
m g
T m g

 

 
1 2
0: 0
y A C D
F T T T W W
      
0.3 0.15 0.6 1.2 0
1.35
D
D
m g m g T m g m g
T m g
   
    


2
(8 kg/m)(9.81m/s ) 78.480 N/m
m g
  
0.3 0.3 78.480
A
T m g

   23.5 N
A
T  
0.15 0.15 78.480
C
T m g

   11.77 N
C
T  
1.35 1.35 78.480
D
T m g

   105.9 N
D
T  
www.elsolucionario.org
Copyright © McGraw-Hill Education. Permission required for reproduction or display.
PROBLEM 4.102
For the pipe assembly of Problem 4.101, determine (a) the
largest permissible value of a if the assembly is not to tip,
(b) the corresponding tension in each wire.
SOLUTION
1
2
0.6
1.2
W m g
W m g




/ / 1 / 2 /
0: ( ) ( ) 0
D A D A E D F D C D C
M T W W T
           
r j r j r j r j
1 2
( 0.6 ) ( 0.3 ) ( ) (0.6 ) ( ) (1.2 ) 0
A C
a T a W a W a T
               
i k j i k j i j i j
1 1 2
0.6 0.3 (0.6 ) (1.2 ) 0
A A C
T a T W a W W a T a
        
k i k i k k
Equate coefficients of unit vectors to zero:
1 1
1 1
: 0.6 0.3 0; 0.6 0.3
2 2
A A
T W T W m g m g
 
     
i
1 2
: (0.6 ) (1.2 ) 0
A C
T a W a W a T a
      
k
0.3 0.6 1.2 (0.6 ) (1.2 ) 0
C
m ga m ga m g a T a
  
      
0.3 0.6 1.2(0.6 )
1.2
C
a a a
T
a
  


For maximum a and no tipping, 0.
C
T 
(a) 0.3 1.2(0.6 ) 0
0.3 0.72 1.2 0
a a
a a
   
   
1.5 0.72
a  0.480 m
a  
www.elsolucionario.org
Copyright © McGraw-Hill Education. Permission required for reproduction or display.
PROBLEM 4.102 (Continued)
(b) Reactions: 2
(8 kg/m) 9.81m/s 78.48 N/m
m g
  
0.3 0.3 78.48 23.544 N
A
T m g

    23.5 N
A
T  
1 2
0: 0
y A C D
F T T T W W
      
0 0.6 1.2 0
A D
T T m g m g
 
    
1.8 1.8 78.48 23.544 117.72
D A
T m g T

      117.7 N
D
T  
www.elsolucionario.org
Copyright © McGraw-Hill Education. Permission required for reproduction or display.
PROBLEM 4.103
The 24-lb square plate shown is supported by three
vertical wires. Determine (a) the tension in each wire
when 10
a  in., (b) the value of a for which the tension in
each wire is 8 lb.
SOLUTION
/
/
/
30
30
15 15
B A
C A
G A
a
a
 
 
 
r i k
r i k
r i k
By symmetry, .
B C

/ /
0: ( ) 0
A B A C G A
M B C W
        
r j r j r j
( 30 ) (30 ) (15 15 ) ( ) 0
a B a B W
         
i k j i k j i k j
30 30 15 15 0
Ba B B Ba W W
     
k i k i k i
Equate coefficient of unit vector i to zero:
: 30 15 0
B Ba W
   
i
15 15
30 30
W W
B C B
a a
  
 
(1)
0: 0
y
F A B C W
     
15
2 0;
30 30
W aW
A W A
a a
 
   
 
 
 
(2)
(a) For 10 in.
a 
From Eq. (1):
15(24 lb)
9.00 lb
30 10
C B
  

From Eq. (2):
10(24 lb)
6.00 lb
30 10
A  

6.00 lb; 9.00 lb
A B C
   
www.elsolucionario.org
Copyright © McGraw-Hill Education. Permission required for reproduction or display.
PROBLEM 4.103 (Continued)
(b) For tension in each wire  8 lb,
From Eq. (1):
15(24 lb)
8 lb
30 a


30 in. 45
a
  15.00 in.
a  
www.elsolucionario.org
Copyright © McGraw-Hill Education. Permission required for reproduction or display.
PROBLEM 4.104
The table shown weighs 30 lb and has a diameter of 4 ft. It is supported
by three legs equally spaced around the edge. A vertical load P of
magnitude 100 lb is applied to the top of the table at D. Determine the
maximum value of a if the table is not to tip over. Show, on a sketch,
the area of the table over which P can act without tipping the table.
SOLUTION
2 ft sin30 1ft
r b r
   
We shall sum moments about AB.
( ) ( ) 0
b r C a b P bW
    
(1 2) ( 1)100 (1)30 0
C a
    
1
[30 ( 1)100]
3
C a
  
If table is not to tip, 0.
C 
[30 ( 1)100] 0
30 ( 1)100
a
a
  
 
1 0.3 1.3 ft 1.300 ft
a a a
    
Only  distance from P to AB matters. Same condition must be satisfied for each leg. P must be located
in shaded area for no tipping.
www.elsolucionario.org
Copyright © McGraw-Hill Education. Permission required for reproduction or display.
PROBLEM 4.105
A 10-ft boom is acted upon by the 840-lb force shown. Determine
the tension in each cable and the reaction at the ball-and-socket
joint at A.
SOLUTION
We have five unknowns and six equations of equilibrium, but equilibrium is maintained ( 0).
x
M
 
Free-Body Diagram:
( 6 ft) (7 ft) (6 ft) 11ft
( 6 ft) (7 ft) (6 ft) 11ft
( 6 7 6 )
11
( 6 7 6 )
11
BD
BD BD
BE
BE BE
BD BD
BE BE
T
BD
T T
BD
T
BE
T T
BE
    
    
    
    
i j k
i j k
i j k
i j k








0: ( 840 ) 0
A B BD B BE C
M T T
        
r r r j
6 ( 6 7 6 ) 6 ( 6 7 6 ) 10 ( 840 ) 0
11 11
BD BE
T T
            
i i j k i i j k i j
42 36 42 36
8400 0
11 11 11 11
BD BD BE BE
T T T T
    
k j k j k
Equate coefficients of unit vectors to zero:
36 36
: 0
11 11
BD BE BE BD
T T T T
   
i
42 42
: 8400 0
11 11
BD BE
T T
  
k
42
2 8400
11
BD
T
 

 
 
1100 lb
BD
T  
1100 lb
BE
T  
www.elsolucionario.org
Copyright © McGraw-Hill Education. Permission required for reproduction or display.
PROBLEM 4.105 (Continued)
6 6
0: (1100 lb) (1100 lb) 0
11 11
x x
F A
    
1200 lb
x
A 
7 7
0: (1100 lb) (1100 lb) 840 lb 0
11 11
y y
F A
     
560 lb
y
A  
6 6
0: (1100 lb) (1100 lb) 0
11 11
z z
F A
    
0
z
A  (1200 lb) (560 lb)
 
A i j 
www.elsolucionario.org
Copyright © McGraw-Hill Education. Permission required for reproduction or display.
PROBLEM 4.106
The 6-m pole ABC is acted upon by a 455-N force as shown.
The pole is held by a ball-and-socket joint at A and by two
cables BD and BE. For 3 m,
a  determine the tension in
each cable and the reaction at A.
SOLUTION
Free-Body Diagram:
Five unknowns and six Eqs. of equilibrium, but equilibrium is maintained
( 0)
AC
M
 
3
6
B
C


r j
r j
3 6 2 7 m
1.5 3 3 4.5 m
1.5 3 3 4.5 m
CF CF
BD BD
BE BE
    
   
   
i j k
i j k
i j k






( 3 6 2 )
7
(1.5 3 3 ) ( 2 2 )
4.5 3
( 2 2 )
3
BD BD
BD BD
BD
BE BE
CF P
P
CE
T T
BD
T
BD
T
BE
T
BE
    
      
    
P i j k
T i j k i j k
T i j k






0: 0
0 3 0 0 3 0 0 6 0 0
3 3 7
1 2 2 1 2 2 3 6 2
A B BD B BE C
BD BE
M
T T P
       
  
    
r T r T r P
i j k i j k i j k
Coefficient of i:
12
2 2 0
7
BD BE
T T P
    (1)
Coefficient of k:
18
0
7
BD BF
T T P
    (2)
www.elsolucionario.org
Copyright © McGraw-Hill Education. Permission required for reproduction or display.
PROBLEM 4.106 (Continued)
Eq. (1)  2 Eq. (2):
48 12
4 0
7 7
BD BD
T P T P
   
Eq. (2):
12 18 6
0
7 7 7
BE BE
P T P T P
    
Since
12
445 N (455)
7
BD
P T
  780 N
BD
T  
6
(455)
7
BE
T  390 N
BE
T  
0: 0
BD BE
     
F T T P A
Coefficient of i:
780 390 455
(3) 0
3 3 7
x
A
   
260 130 195 0 195.0 N
x x
A A
    
Coefficient of j:
780 390 455
(2) (2) (6) 0
3 3 7
y
A
    
520 260 390 0 1170 N
y y
A A
     
Coefficient of k:
780 390 455
(2) (2) (2) 0
3 3 7
z
A
    
520 260 130 0 130.0 N
z z
A A
      
(195.0 N) (1170 N) (130.0 N)
   
A i j k 
www.elsolucionario.org
Copyright © McGraw-Hill Education. Permission required for reproduction or display.
PROBLEM 4.107
Solve Problem 4.106 for 1.5 m.
a 
PROBLEM 4.106 The 6-m pole ABC is acted upon by a 455-
N force as shown. The pole is held by a ball-and-socket joint
at A and by two cables BD and BE. For 3 m,
a  determine
the tension in each cable and the reaction at A.
SOLUTION
Free-Body Diagram:
Five unknowns and six Eqs. of equilibrium but equilibrium is maintained
( 0)
AC
M
 
3
6
B
C


r j
r j
1.5 6 2 6.5 m
1.5 3 3 4.5 m
1.5 3 3 4.5 m
CF CF
BD BD
BE BE
    
   
   
i j k
i j k
i j k






( 1.5 6 2 ) ( 3 12 4 )
6.5 13
(1.5 3 3 ) ( 2 2 )
4.5 3
( 2 2 )
3
BD BD
BD BD
BD
BE BE
CF P P
P
CE
T T
BD
T
BD
T
BE
T
BE
        
      
    
P i j k i j k
T i j k i j k
T i j k






0: 0
0 3 0 0 3 0 0 6 0 0
3 3 13
1 2 2 1 2 2 3 12 4
A B BD B BE C
BD BE
M
T T P
       
  
     
r T r T r P
i j k i j k i j k
Coefficient of i:
24
2 2 0
13
BD BE
T T P
    (1)
Coefficient of k:
18
0
13
BD BE
T T P
    (2)
www.elsolucionario.org
Copyright © McGraw-Hill Education. Permission required for reproduction or display.
PROBLEM 4.107 (Continued)
Eq. (1) 2 Eq. (2):
60 15
4 0
13 13
BD BD
T P T P
   
Eq (2):
15 18 3
0
13 13 13
BE BE
P T P T P
    
Since
15
445 N (455)
13
BD
P T
  525 N
BD
T  
3
(455)
13
BE
T  105.0 N
BE
T  
0: 0
BD BE
     
F T T P A
Coefficient of i:
525 105 455
(3) 0
3 3 13
x
A
   
175 35 105 0 105.0 N
x x
A A
    
Coefficient of j:
525 105 455
(2) (2) (12) 0
3 3 13
y
A
    
350 70 420 0 840 N
y y
A A
     
Coefficient of k:
525 105 455
(2) (2) (4) 0
3 3 13
z
A
    
350 70 140 0 140.0 N
z z
A A
     
(105.0 N) (840 N) (140.0 N)
   
A i j k 
www.elsolucionario.org
Copyright © McGraw-Hill Education. Permission required for reproduction or display.
PROBLEM 4.108
A 2.4-m boom is held by a ball-and-socket joint at C and by
two cables AD and AE. Determine the tension in each cable
and the reaction at C.
SOLUTION
Free-Body Diagram: Five unknowns and six equations of equilibrium, but equilibrium is maintained
( 0).
AC
M
 
1.2
2.4
B
A


r k
r k
0.8 0.6 2.4 2.6 m
0.8 1.2 2.4 2.8 m
AD AD
AE AE
    
   
i j k
i j k



( 0.8 0.6 2.4 )
2.6
(0.8 1.2 2.4 )
2.8
AD
AD
AE
AE
T
AD
T
AD
T
AE
T
AE
    
   
i j k
i j k



0: ( 3 kN) 0
C A AD A AE B
M
        
r T r T r j
0 0 2.4 0 0 2.4 1.2 ( 3.6 kN) 0
2.6 2.8
0.8 0.6 2.4 0.8 1.2 2.4
AD AE
T T
    
  
i j k i j k
k j
Equate coefficients of unit vectors to zero:
: 0.55385 1.02857 4.32 0
: 0.73846 0.68671 0
AD AE
AD AE
T T
T T
   
  
i
j
(1)
0.92857
AD AE
T T
 (2)
From Eq. (1): 0.55385(0.92857) 1.02857 4.32 0
AE AE
T T
   
1.54286 4.32
2.800 kN
AE
AE
T
T

 2.80 kN
AE
T  
www.elsolucionario.org
Copyright © McGraw-Hill Education. Permission required for reproduction or display.
PROBLEM 4.108 (Continued)
From Eq. (2): 0.92857(2.80) 2.600 kN
AD
T   2.60 kN
AD
T  
0.8 0.8
0: (2.6 kN) (2.8 kN) 0 0
2.6 2.8
0.6 1.2
0: (2.6 kN) (2.8 kN) (3.6 kN) 0 1.800 kN
2.6 2.8
2.4 2.4
0: (2.6 kN) (2.8 kN) 0 4.80 kN
2.6 2.8
x x x
y y y
z z z
F C C
F C C
F C C
     
      
     
(1.800 kN) (4.80 kN)
 
C j k 
www.elsolucionario.org
Copyright © McGraw-Hill Education. Permission required for reproduction or display.
PROBLEM 4.109
Solve Problem 4.108, assuming that the 3.6-kN load is
applied at Point A.
PROBLEM 4.108 A 2.4-m boom is held by a ball-and-
socket joint at C and by two cables AD and AE. Determine
the tension in each cable and the reaction at C.
SOLUTION
Free-Body Diagram: Five unknowns and six equations of equilibrium, but equilibrium is maintained
( 0).
AC
M
 
0.8 0.6 2.4 2.6 m
0.8 1.2 2.4 2.8 m
AD AD
AE AE
    
   
i j k
i j k



( 0.8 0.6 2.4 )
2.6
(0.8 1.2 2.4 )
2.8
AD
AD
AE
AE
T
AD
T
AD
T
AE
T
AE
    
   
i j k
i j k



0: ( 3.6 kN)
C A AD A AE A
M
       
r T r T r j
Factor :
A
r ( (3.6 kN) )
A AD AE
  
r T T j
or (3 kN) 0
AD AE
  
T T j (Forces concurrent at A)
Coefficient of i: (0.8) (0.8) 0
2.6 2.8
AD AE
T T
  
2.6
2.8
AD AE
T T
 (1)
Coefficient of j: (0.6) (1.2) 3.6 kN 0
2.6 2.8
2.6 0.6 1.2
3.6 kN 0
2.8 2.6 2.8
0.6 1.2
3.6 kN
2.8
AD AE
AE AE
AE
T T
T T
T
  
 
  
 
 

 

 
 
5.600 kN
AE
T  5.60 kN
AE
T  
www.elsolucionario.org
Copyright © McGraw-Hill Education. Permission required for reproduction or display.
PROBLEM 4.109 (Continued)
From Eq. (1):
2.6
(5.6) 5.200 kN
2.8
AD
T   5.20 kN
AD
T  
0.8 0.8
0: (5.2 kN) (5.6 kN) 0 0
2.6 2.8
0.6 1.2
0: (5.2 kN) (5.6 kN) 3.6 kN 0 0
2.6 2.8
2.4 2.4
0: (5.2 kN) (5.6 kN) 0 9.60 kN
2.6 2.8
x x x
y y y
z z z
F C C
F C C
F C C
     
      
     
(9.60 kN)

C k 
Note: Since the forces and reaction are concurrent at A, we could have used the methods of Chapter 2.
www.elsolucionario.org
Copyright © McGraw-Hill Education. Permission required for reproduction or display.
PROBLEM 4.110
The 10-ft flagpole AC forms an angle of 30 with the z axis. It
is held by a ball-and-socket joint at C and by two thin braces
BD and BE. Knowing that the distance BC is 3 ft, determine
the tension in each brace and the reaction at C.
SOLUTION
Free-Body Diagram:
Express all forces in terms of rectangular components:
   
3 ft 3 ft
E  
r i j
       
3 ft sin30 3 ft cos30 1.5 ft 2.598 ft
B      
r j k j k
   
3 ft 3 ft
D   
r i j
       
10 ft sin30 10 ft cos30 5 ft 8.66 ft
A      
r j k j k
       
3 ft 3 ft 1.5 ft 2.598 ft
E B
BE      
r r i j j k


or      
3 ft 1.5 ft 2.598 ft ,
BE   
i j k


and 4.243 ft
BE 
       
3 ft 3 ft 1.5 ft 2.598 ft
D B
BD       
r r i j j k


or      
3 ft 1.5 ft 2.598 ft ,
BD    
i j k


and 4.243 ft
BD 
Then
 
0.707 0.3535 0.6123
BD BD BD
BD
T T T
BD
    
i j k




 
0.707 0.3535 0.6123
BE BE BE
BE
T T T
BE
   
i j k




www.elsolucionario.org
Copyright © McGraw-Hill Education. Permission required for reproduction or display.
PROBLEM 4.110 (Continued)
     
0: 5 ft 8.66 ft 75 lb
C B BD B BE  
        
 
M r T r T j k j
or
0 1.5 2.598 0 1.5 2.598 649.5 0
0.707 0.3535 0.6123 0.707 0.3535 0.6123
BD
T   
  
i j k i j k
i
Equating the coefficients of the unit vectors to zero:
: 1.837 1.837 0
BD BE
T T
  
j
: 1.837 1.837 649.5 lb 0
BD BE
T T
   
i
176.8 lb
BD
T  
176.8 lb
BE
T  
Force equations:
     
176.8 0.707 176.8 0.707 0,
x
C     or 0

x
C
     
176.8 0.3535 176.8 0.3535 75 lb 0,
y
C     or 50 lb
y
C  
     
176.8 0.6123 176.8 0.6123 0,
z
C      or 216.5 lb
z
C 
   
50 lb 216.5 lb
  
C j k 
www.elsolucionario.org
Copyright © McGraw-Hill Education. Permission required for reproduction or display.
PROBLEM 4.111
A 48-in. boom is held by a ball-and-socket joint at C and by
two cables BF and DAE; cable DAE passes around a
frictionless pulley at A. For the loading shown, determine
the tension in each cable and the reaction at C.
SOLUTION
Free-Body Diagram:
Five unknowns and six equations of equilibrium, but equilibrium is
maintained ( 0).
AC
M
 
T  Tension in both parts of cable DAE.
30
48
B
A


r k
r k
20 48 52 in.
20 48 52 in.
16 30 34 in.
AD AD
AE AE
BF BF
   
  
  
i k
j k
i k





( 20 48 ) ( 5 12 )
52 13
(20 48 ) (5 12 )
52 13
(16 30 ) (8 15 )
34 17
AD
AE
BF BF
BF BF
AD T T
T
AD
AE T T
T
AE
T T
BF
T
BF
      
    
    
T i k i k
T j k j k
T i k i k





0: ( 320 lb) 0
C A AD A AE B BF B
          
M r T r T r T r j
0 0 48 0 0 48 0 0 30 (30 ) ( 320 ) 0
13 13 17
5 0 12 0 5 12 8 0 15
BF
T
T T
     
   
i j k i j k i j k
k j
Coefficient of i:
240
9600 0 520 lb
13
T T
   
www.elsolucionario.org
Copyright © McGraw-Hill Education. Permission required for reproduction or display.
PROBLEM 4.111 (Continued)
Coefficient of j:
240 240
0
13 17
BD
T T
  
17 17
(520) 680 lb
13 13
BD BD
T T T
  
0: 320 0
AD AE BF C
      
F T T T j
Coefficient of i:
20 8
(520) (680) 0
52 17
x
C
   
200 320 0 120 lb
x x
C C
     
Coefficient of j:
20
(520) 320 0
52
y
C
  
200 320 0 120 lb
y y
C C
   
Coefficient of k:
48 48 30
(520) (520) (680) 0
52 52 34
z
C
    
480 480 600 0
z
C
    
1560 lb
z
C 
Answers: DAE
T T
 520 lb
DAE
T  
680 lb
BD
T  
(120.0 lb) (120.0 lb) (1560 lb)
   
C i j k 
www.elsolucionario.org
Copyright © McGraw-Hill Education. Permission required for reproduction or display.
PROBLEM 4.112
Solve Problem 4.111, assuming that the 320-lb load is
applied at A.
PROBLEM 4.111 A 48-in. boom is held by a ball-and-
socket joint at C and by two cables BF and DAE; cable
DAE passes around a frictionless pulley at A. For the
loading shown, determine the tension in each cable and the
reaction at C.
SOLUTION
Free-Body Diagram:
Five unknowns and six equations of equilibrium, but equilibrium is
maintained ( 0).
AC
M
 
T  tension in both parts of cable DAE.
30
48
B
A


r k
r k
20 48 52 in.
20 48 52 in.
16 30 34 in.
AD AD
AE AE
BF BF
   
  
  
i k
j k
i k





( 20 48 ) ( 5 12 )
52 13
(20 48 ) (5 12 )
52 13
(16 30 ) (8 15 )
34 17
AD
AE
BF BF
BF BF
AD T T
T
AD
AE T T
T
AE
T T
BF
T
BF
      
    
    
T i k i k
T j k j k
T i k i k





0: ( 320 lb) 0
C A AD A AE B BF A
M
          
r T r T r T r j
0 0 48 0 0 48 0 0 30 48 ( 320 ) 0
13 13 17
5 0 12 0 5 12 8 0 15
BF
T
T T
     
   
i j k i j k i j k
k j
Coefficient of i:
240
15,360 0 832 lb
13
T T
   
www.elsolucionario.org
Copyright © McGraw-Hill Education. Permission required for reproduction or display.
PROBLEM 4.112 (Continued)
Coefficient of j:
240 240
0
13 17
BD
T T
  
17 17
(832) 1088 lb
13 13
BD BD
T T T
  
0: 320 0
AD AE BF
      
F T T T j C
Coefficient of i:
20 8
(832) (1088) 0
52 17
x
C
   
320 512 0 192 lb
x x
C C
     
Coefficient of j:
20
(832) 320 0
52
y
C
  
320 320 0 0
y y
C C
   
Coefficient of k:
48 48 30
(832) (852) (1088) 0
52 52 34
z
C
    
768 768 960 0 2496 lb
z z
C C
     
Answers: DAE
T T
 832 lb
DAE
T  
1088 lb
BD
T  
(192.0 lb) (2500 lb)
  
C i k 
www.elsolucionario.org
Copyright © McGraw-Hill Education. Permission required for reproduction or display.
PROBLEM 4.113
A 10-kg storm window measuring 900 × 1500 mm is held by hinges at
A and B. In the position shown, it is held away from the side of the
house by a 600-mm stick CD. Assuming that the hinge at A does not
exert any axial thrust, determine the magnitude of the force exerted by
the stick and the components of the reactions at A and B.
SOLUTION
Free-Body Diagram: Since CD is a two-force member, CD
F
is directed along CD and triangle ACD is isosceles. We have
0.3 m
sin 0.2; 11.5370 and 2 23.074
1.5 m
  
   
 
2
(10 kg)(9.81 m/s ) (98.10 N)
   
W j
(0.75 m)sin 23.074 (0.75 m)cos23.074 (0.45 m)
(0.29394 m) (0.690 m) (0.45 m)
(cos11.5370 sin11.5370 )
(0.97980 0.20 )
G
G
CD CD
CD CD
F
F
  
  
 
 
r i j k
r i j k
F i j
F i j
 
 
0: 0
B A G C CD
M
       
r A r W r F
0.9 ( ) (0.29394 0.690 0.45 ) ( 98.10 )
(1.5 0.9 ) (0.97980 0.20 ) 0
x y
CD
A A
F
      
    
k i j i j k j
j k i j
0.90 0.90 28.836 44.145 1.46970 0.88182 0.180 0
x y CD CD CD
A A F F F
      
j i k i k j i
Equating the coefficients of the unit vectors to zero,
28.836 1.46970 0; 19.6203 N
CD CD
F F
   
k :
www.elsolucionario.org
Copyright © McGraw-Hill Education. Permission required for reproduction or display.
PROBLEM 4.113 (Continued)
0.90 0.88182(19.6203 N) 0; 19.2240 N
x x
A A
   
j:
0.90 44.145 0.180(19.6203 N) 0; 45.123 N
y y
A A
    
i:
19.62 N
CD
F  
(19.22N) (45.1 N)
  
A i j 
0: cos11.5370 0
19.2240 19.6203cos11.5370 0
0
x x x CD
x
x
F A B F
B
B
     
   


0: sin11.5370 0
45.122 19.6230sin11.5370 98.1 0
49.053 N
y y y CD
y
y
F A B F W
B
B
     
   



0: 0
z z
F B
  
(49.1 N)
 
B j 
www.elsolucionario.org
Copyright © McGraw-Hill Education. Permission required for reproduction or display.
PROBLEM 4.114
The bent rod ABEF is supported by bearings at C and D and
by wire AH. Knowing that portion AB of the rod is 250 mm
long, determine (a) the tension in wire AH, (b) the reactions
at C and D. Assume that the bearing at D does not exert any
axial thrust.
SOLUTION
Free-Body Diagram: ABH
 is equilateral.
Dimensions in mm
/
/
/
50 250
300
350 250
(sin30 ) (cos30 ) (0.5 0.866 )
H C
D C
F C
T T T
  

 
     
r i j
r i
r i k
T j k j k
/ /
0: ( 400 ) 0
C H C D F C
        
M r T r D r j
50 250 0 300 0 0 350 0 250 0
0 0.5 0.866 0 0 400 0
y z
T
D D
   
 
i j k i j k i j k
Coefficient i: 3
216.5 100 10 0
T
   
461.9 N
T  462 N
T  
Coefficient of j: 43.3 300 0
z
T D
  
43.3(461.9) 300 0 66.67 N
z z
D D
    
www.elsolucionario.org
Copyright © McGraw-Hill Education. Permission required for reproduction or display.
PROBLEM 4.114 (Continued)
Coefficient of k: 3
25 300 140 10 0
y
T D
    
3
25(461.9) 300 140 10 0 505.1 N
y y
D D
     
(505 N) (66.7 N)
 
D j k 
0: 400 0
     
F C D T j
Coefficient i: 0
x
C  0
x
C 
Coefficient j: (461.9)0.5 505.1 400 0 336 N
y y
C C
     
Coefficient k: (461.9)0.866 66.67 0
z
C    467 N
z
C  (336 N) (467 N)
  
C j k 
www.elsolucionario.org
Copyright © McGraw-Hill Education. Permission required for reproduction or display.
PROBLEM 4.115
The horizontal platform ABCD weighs 60 lb and supports a 240-lb
load at its center. The platform is normally held in position by
hinges at A and B and by braces CE and DE. If brace DE is
removed, determine the reactions at the hinges and the force
exerted by the remaining brace CE. The hinge at A does not exert
any axial thrust.
SOLUTION
Free-Body Diagram:
Express forces, weight in terms of rectangular components:
     
3 ft 4 ft 2 ft
EC   
i j k


     
2 2 2
3 4 2
3 4 2
CE CE CE
EC
F F
EC
 
 
 
i j k
F


0.55709 0.74278 0.37139
CE CE CE
F F F
  
i j k
( ) (300 lb)
mg
   
W j j
       
   
0: 4 ft 1.5 ft 2 ft 300 lb
3 ft 4 ft 0
B
CE
 
      
 
 
   
 
M k A i k j
i k F
or          
4 ft 4 ft 1.5 ft 300 lb 2 ft 300 lb
y z
A A
   
i j k i
 
3 0 4 ft 0
0.55709 0.74278 0.37139
CE
F
 
i j k
www.elsolucionario.org
Copyright © McGraw-Hill Education. Permission required for reproduction or display.
PROBLEM 4.115 (Continued)
Setting the coefficients of the unit vectors equal to zero:
     
: 0.74278 3 ft 300 lb 1.5 ft 0
CE
F  
k
201.94 lb
CE
F 
or 202 lb
CE
F  
         
: 4 ft 0.55709 201.94 lb 4 ft 0.37139 201.94 lb 3 ft 0
x
A    
  
   
j
56.250 lb
x
A  
        
: 4 ft 0.74278 201.94 lb 4 ft 300 lb 2 ft 0
y
A  
   
 
i
0
y
A 
 
0: 56.250 lb 0.55709 201.94 lb 0
x x
F B
     
56.249 lb
x
B  
 
0: 0 300 lb 0.74278 201.94 lb 0
y y
F B
     
150.003 lb
y
B 
 
0: 0.371391 201.94 lb 0
z z
F B
   
74.999 lb
z
B  
Therefore:
 
56.3 lb
 
A i 
     
56.2 lb 150.0 lb 75.0 lb
   
B i j k 
www.elsolucionario.org
Copyright © McGraw-Hill Education. Permission required for reproduction or display.
PROBLEM 4.116
The lid of a roof scuttle weighs 75 lb. It is hinged at corners
A and B and maintained in the desired position by a rod CD
pivoted at C; a pin at end D of the rod fits into one of several
holes drilled in the edge of the lid. For the position shown,
determine (a) the magnitude of the force exerted by rod CD,
(b) the reactions at the hinges. Assume that the hinge at B
does not exert any axial thrust.
SOLUTION
Free-Body Diagram:
Geometry:
Using triangle ACD and the law of sines
sin sin50
or 20.946
7 in. 15 in.


 


20.946 70.946
      
Expressing CD
F in terms of its rectangular coordinates:
sin cos
CD CD CD
F F
 
 
F j k
sin 70.946 cos70.946
CD CD
F F
   
j k
0.94521 0.32646
CD CD CD
F F
 
F j k
         
0: 26 in. 13 in. 16 in. sin50 16 in. cos50 75 lb
B  
           
 
M i A i j k j
   
26 in. 7 in. 0
CD
 
    
 
i k F
or          
26 in. 26 in. 13 in. 75 lb 16 in. 75 lb cos50
y z
A A
    
k j k i
        
26 in. 0.94521 26 in. 0.32646 7 in. 0.94521 0
CD CD CD
F F F
   
k j i
www.elsolucionario.org
Copyright © McGraw-Hill Education. Permission required for reproduction or display.
PROBLEM 4.116 (Continued)
(a) Setting the coefficients of the unit vectors to zero:
      
: 75 lb 16 in. cos50 0.94521 7 in. 0
CD
F
 
  
 
i
116.6 lb
CD
F  
(b) 0: 0
x x
F A
  
        
: 0.94521 116.580 lb 26 in. 75 lb 13 in. 26 in. 0
y
A
 
   
 
k
72.693 lb
y
A  
     
: 0.32646 116.580 lb 26 in. 26 in. 0
z
A
   
 
j
38.059 lb
z
A  
 
0: 72.693 lb 0.94521 116.580 lb 75 lb 0
y y
F B
      
37.500 lb
y
B 
 
0: 38.059 lb 0.32646 116.580 lb 0
z z
F B
     
0

z
B
Therefore:
   
72.7 lb 38.1 lb
  
A j k 
 
37.5 lb

B j 
www.elsolucionario.org
Copyright © McGraw-Hill Education. Permission required for reproduction or display.
PROBLEM 4.117
A 100-kg uniform rectangular plate is supported in the
position shown by hinges A and B and by cable DCE that
passes over a frictionless hook at C. Assuming that the
tension is the same in both parts of the cable, determine (a)
the tension in the cable, (b) the reactions at A and B.
Assume that the hinge at B does not exert any axial thrust.
SOLUTION
/
/
/
(960 180) 780
960 450
90
2 2
390 225
600 450
B A
G A
C A
 
 
  
 
 
 
 
r i i
r i k
i k
r i k
Dimensions in mm
T  Tension in cable DCE
690 675 450 1065 mm
270 675 450 855 mm
CD CD
CE CE
    
   
i j k
i j k




2
( 690 675 450 )
1065
(270 675 450 )
855
(100 kg)(9.81m/s ) (981 N)
CD
CE
T
T
mg
   
  
     
T i j k
T i j k
W i j j
/ / / /
0: ( ) 0
A C A CD C A CE G A B A
W
          
M r T r T r j r B
600 0 450 600 0 450
1065 855
690 675 450 270 675 450
390 0 225 780 0 0 0
0 981 0 0 y z
T T
B B

  
  

i j k i j k
i j k i j k
www.elsolucionario.org
Copyright © McGraw-Hill Education. Permission required for reproduction or display.
PROBLEM 4.117 (Continued)
Coefficient of i: 3
(450)(675) (450)(675) 220.73 10 0
1065 855
T T
    
(a) 344.64 N
T  345 N
T  
Coefficient of j:
344.64 344.64
( 690 450 600 450) (270 450 600 450) 780 0
1065 855
z
B
         
185.516 N
z
B 
Coefficient of k: 3
344.64 344.64
(600)(675) (600)(675) 382.59 10 780 0 113.178 N
1065 855
y y
B B
     
(b) (113.2 N) (185.5 N)
 
B j k 
0: 0
CD CE
      
F A B T T W
Coefficient of i:
690 270
(344.64) (344.64) 0
1065 855
x
A    114.454 N
x
A 
Coefficient of j:
675 675
113.178 (344.64) (344.64) 981 0 377.30 N
1065 855
y y
A A
     
Coefficient of k:
450 450
185.516 (344.64) (344.64) 0
1065 855
z
A     141.496 N
z
A 
(114.4 N) (377 N) (141.5 N)
  
A i j k 
www.elsolucionario.org
Copyright © McGraw-Hill Education. Permission required for reproduction or display.
PROBLEM 4.118
Solve Problem 4.117, assuming that cable DCE is replaced
by a cable attached to Point E and hook C.
PROBLEM 4.117 A 100-kg uniform rectangular plate is
supported in the position shown by hinges A and B and by
cable DCE that passes over a frictionless hook at C.
Assuming that the tension is the same in both parts of the
cable, determine (a) the tension in the cable, (b) the
reactions at A and B. Assume that the hinge at B does not
exert any axial thrust.
SOLUTION
See solution to Problem 4.113 for free-body diagram and analysis leading to the following:
1065 mm
855 mm
CD
CE


Now,
2
( 690 675 450 )
1065
(270 675 450 )
855
(100 kg)(9.81 m/s ) (981 N)
CD
CE
T
T
mg
   
  
     
T i j k
T i j k
W i j j
/ / /
0: ( ) 0
A C A CE G A B A
T W B
        
M r r j r
600 0 450 390 0 225 780 0 0 0
855
270 675 450 0 981 0 0 y z
T
B B
  
 
i j k i j k i j k
Coefficient of i: 3
(450)(675) 220.73 10 0
855
T
   
621.31 N
T  621 N
T  
Coefficient of j:
621.31
(270 450 600 450) 780 0 364.74 N
855
z z
B B
     
Coefficient of k: 3
621.31
(600)(675) 382.59 10 780 0 113.186 N
855
y y
B B
    
(113.2 N) (365 N)
 
B j k 
www.elsolucionario.org
Copyright © McGraw-Hill Education. Permission required for reproduction or display.
PROBLEM 4.118 (Continued)
0: 0
CE
     
F A B T W
Coefficient of i:
270
(621.31) 0
855
x
A   196.2 N
x
A  
Coefficient of j:
675
113.186 (621.31) 981 0
855
y
A     377.3 N
y
A 
Coefficient of k:
450
364.74 (621.31) 0
855
z
A    37.7 N
 
z
A 
  (196.2 N) (377 N) (37.7 N)
   
A i j k 
www.elsolucionario.org
Copyright © McGraw-Hill Education. Permission required for reproduction or display.
PROBLEM 4.119
Solve Prob. 4.113, assuming that the hinge at A has been removed and
that the hinge at B can exert couples about axes parallel to the x and y
axes.
PROBLEM 4.113A 10-kg storm window measuring 900 × 1500 mm is
held by hinges at A and B. In the position shown, it is held away from
the side of the house by a 600-mm stick CD. Assuming that the hinge at
A does not exert any axial thrust, determine the magnitude of the force
exerted by the stick and the components of the reactions at A and B.
SOLUTION
Free-Body Diagram: Since CD is a two-force member, CD
F
is directed along CD and triangle ACD is isosceles. We have
2
(10 kg)(9.81 m/s ) (98.10 N)
   
W j
(0.75 m)sin 23.074 (0.75 m)cos23.074 (0.45 m)
(0.29394 m) (0.690 m) (0.45 m)
(cos11.5370 sin11.5370 )
(0.97980 0.20 )
G
G
CD CD
CD CD
F
F
  
  
 
 
r i j k
r i j k
F i j
F i j
 
 
With hinge at A removed, hinge at B will develop two couples to prevent rotation about the x and z axes.
0: ( ) ( ) 0
B B x B y G C CD
M M M
       
i j r W r F
( ) ( ) (0.29394 0.690 0.45 ) ( 98.10)
(1.5 0.9 ) (0.97980 0.20 ) 0
B x B y
CD
M M
F
     
    
i j i j k j
j k i j
( ) ( ) 28.836 44.145 1.46970 0.88182 0.180 0
B x B y CD CD CD
M M F F F
      
i j k i k j i
www.elsolucionario.org
Copyright © McGraw-Hill Education. Permission required for reproduction or display.
PROBLEM 4.119 (Continued)
Equating the coefficients of the unit vectors to zero,
28.836 1.46970 0; 19.6203 N
CD CD
F F
   
k :
( ) 0.88182(19.6203) 0; ( ) 17.3016 N m
B y B y
M M
    
j:
( ) 44.145 0.180(19.6203) 0; ( ) 40.613 N m
B x B x
M M
     
i:
19.62 N
CD
F  
(40.6 N m) (17.30 N m)
B     
M i j 
0: cos11.5370 0
19.6203cos11.5370 0
19.22 N
x x CD
x
x
F B F
B
B
    
 
 

0: sin11.5370 0
19.6230sin11.5370 98.1 0
94.2 N
y y CD
y
y
F B F W
B
B
    
  



0: 0
z z
F B
  
(19.22 N) (94.2 N)
  
B i j 
www.elsolucionario.org
Copyright © McGraw-Hill Education. Permission required for reproduction or display.
PROBLEM 4.120
Solve Prob. 4.115, assuming that the hinge at B has been removed
and that the hinge at A can exert an axial thrust, as well as couples
about axes parallel to the x and y axes.
PROBLEM 4.115 The horizontal platform ABCD weighs 60 lb
and supports a 240-lb load at its center. The platform is normally
held in position by hinges at A and B and by braces CE and DE. If
brace DE is removed, determine the reactions at the hinges and
the force exerted by the remaining brace CE. The hinge at A does
not exert any axial thrust.
SOLUTION
Free-Body Diagram:
0
x y z
B B B
  
Express forces, weight in terms of rectangular components:
     
3 ft 4 ft 2 ft
EC   
i j k


     
2 2 2
3 4 2
3 4 2
CE CE CE
EC
F F
EC
 
 
 
i j k
F


0.55709 0.74278 0.37139
CE CE CE
F F F
  
i j k
( ) (300 lb)
mg
   
W j j
/ /
0: ( ) ( ) ( ) 0
x y
A G A C A CE A A
W F M M
        
M r j r i j
0: (1.5 2 ) ( 300 ) 3 (0.55709 0.74278 0.37139 )
( ) ( ) 0
x y
A CE
A A
F
M M
        
  
M i k j i i j k
i j
or 450 600 2.2283 1.11417 0
x y
CE CE A A
F F M M
      
k i k j i j
www.elsolucionario.org
Copyright © McGraw-Hill Education. Permission required for reproduction or display.
PROBLEM 4.120 (Continued)
Setting the coefficients of the unit vectors equal to zero:
 
: 450 2.2283 0
CE
F
  
k
201.95 lb
CE
F 
or 202 lb
CE
F  
: 1.11417(201.95) ( ) 0
y
A
M
  
j
225.00 lb ft
y
A
M  
: 600 0
x
A
M
  
i
600 lb ft
x
A
M  
 
0: 0.55709 201.94 lb 0
x x
F A
   
112.499 lb
x
A  
 
0: 300 lb 0.74278 201.94 lb 0
y y
F A
    
150.003 lb
y
A 
 
0: 0.371391 201.94 lb 0
z z
F A
   
74.999 lb
z
A  
Therefore:  
600 lb ft (225 lb ft)
A    
M i j
     
112.5 lb 150.0 lb 75.0 lb
   
A i j k 
www.elsolucionario.org
Copyright © McGraw-Hill Education. Permission required for reproduction or display.
PROBLEM 4.121
The assembly shown is used to control the tension T in a tape that
passes around a frictionless spool at E. Collar C is welded to rods
ABC and CDE. It can rotate about shaft FG but its motion along the
shaft is prevented by a washer S. For the loading shown, determine
(a) the tension T in the tape, (b) the reaction at C.
SOLUTION
Free-Body Diagram:
/
/
4.2 2
1.6 2.4
A C
E C
 
 
r j k
r i j
/ /
0: ( 6 ) ( ) ( ) ( ) 0
         
C A C E C C y C z
M T M M
r j r i k j k
(4.2 2 ) ( 6 ) (1.6 2.4 ) ( ) ( ) ( ) 0
C y C z
T M M
         
j k j i j i k j k
Coefficient of i: 12 2.4 0
 
T 5.00 lb
T  
Coefficient of j: 1.6(5 lb) ( ) 0 ( ) 8 lb in.
C y C y
M M
    
Coefficient of k: 2.4(5 lb) ( ) 0 ( ) 12 lb in.
C z C z
M M
    
(8.00 lb in.) (12.00 lb in.)
C    
M j k 
0: (6 lb) (5 lb) (5 lb) 0
       
x y z
F C C C
i j k j i k
Equate coefficients of unit vectors to zero.
5 lb 6 lb 5 lb
x y z
C C C
     
 (5.00 lb) (6.00 lb) (5.00 lb)
   
C i j k 
www.elsolucionario.org
Copyright © McGraw-Hill Education. Permission required for reproduction or display.
PROBLEM 4.122
The assembly shown is welded to collar A that fits on the
vertical pin shown. The pin can exert couples about the x
and z axes but does not prevent motion about or along the y-
axis. For the loading shown, determine the tension in each
cable and the reaction at A.
SOLUTION
Free-Body Diagram:
First note:
2 2
2 2
(0.08 m) (0.06 m)
(0.08) (0.06) m
( 0.8 0.6 )
(0.12 m) (0.09 m)
(0.12) (0.09) m
(0.8 0.6 )
 
 

  

 

 
CF CF CF CF
CF
DE DE DE DE
DE
T T
T
T T
T
i j
T λ
i j
j k
T λ
j k
(a) From F.B.D. of assembly:
0: 0.6 0.8 480 N 0
    
y CF DE
F T T
or 0.6 0.8 480 N
CF DE
T T
  (1)
0: (0.8 )(0.135 m) (0.6 )(0.08 m) 0
    
y CF DE
M T T
or 2.25
DE CF
T T
 (2)
Substituting Equation (2) into Equation (1),
0.6 0.8[(2.25) ] 480 N
CF CF
T T
 
200.00 N
CF
T 
or 200 N
CF
T  
 and from Equation (2): 2.25(200.00 N) 450.00
DE
T  
or 450 N
DE
T  
www.elsolucionario.org
Copyright © McGraw-Hill Education. Permission required for reproduction or display.
PROBLEM 4.122 (Continued)
(b) From F.B.D. of assembly:
0: (0.6)(450.00 N) 0 270.00 N
    
z z z
F A A
0: (0.8)(200.00 N) 0 160.000 N
    
x x x
F A A
or (160.0 N) (270 N)
 
A i k 
0: (480 N)(0.135 m) [(200.00 N)(0.6)](0.135 m)
[(450 N)(0.8)](0.09 m) 0
   
 
x
x A
M M
16.2000 N m
x
A
M   
0: (480 N)(0.08 m) [(200.00 N)(0.6)](0.08 m)
[(450 N)(0.8)](0.08 m) 0
z
z A
M M
   
 
0
z
A
M 
or (16.20 N m)
A   
M i 
www.elsolucionario.org
Copyright © McGraw-Hill Education. Permission required for reproduction or display.
PROBLEM 4.123
The rigid L-shaped member ABC is
supported by a ball-and-socket joint at A and
by three cables. If a 1.8-kN load is applied at
F, determine the tension in each cable.
SOLUTION
Free-Body Diagram: Dimensions in mm
In this problem: 210 mm
a 
We have (240 mm) (320 mm) 400 mm
(420 mm) (240 mm) (320 mm) 580 mm
(420 mm) (320 mm) 528.02 mm
CD CD
BD BD
BE BE
  
    
  
j k
i j k
i k






Thus, (0.6 0.8 )
( 0.72414 0.41379 0.55172 )
(0.79542 0.60604 )
CD CD CD
BD BD BD
BE BE BE
CD
T T T
CD
BD
T T T
BD
BE
T T T
BE
  
    
  
j k
i j k
i k






0: ( ) ( ) ( ) ( ) 0
         
A C CD B BD B BE W
M r T r T r T r W
www.elsolucionario.org
Copyright © McGraw-Hill Education. Permission required for reproduction or display.
PROBLEM 4.123 (Continued)
Noting that (420 mm) (320 mm)
(320 mm)
(320 mm)
C
B
W a
  

  
r i k
r k
r i k
and using determinants, we write
420 0 320 0 0 320
0 0.6 0.8 0.72414 0.41379 0.55172
0 0 320 0 320 0
0.79542 0 0.60604 0 1.8 0
CD BD
BE
T T
T a
 
  
   
 
i j k i j k
i j k i j k
Equating to zero the coefficients of the unit vectors,
i: 192 132.413 576 0
CD BD
T T
    (1)
:
j 336 231.72 254.53 0
CD BD BE
T T T
    (2)
k: 252 1.8 0
CD
T a
   (3)
Recalling that 210 mm,
a  Eq. (3) yields
1.8(210)
1.500 kN
252
CD
T   1.500 kN
CD
T  
From Eq. (1): 192(1.5) 132.413 576 0
BD
T
   
2.1751 kN
BD
T  2.18 kN
BD
T  
From Eq. (2): 336(1.5) 231.72(2.1751) 254.53 0
BE
T
   
 3.9603 kN
BE
T   3.96 kN
BE
T  
www.elsolucionario.org
Copyright © McGraw-Hill Education. Permission required for reproduction or display.
PROBLEM 4.124
Solve Problem 4.123, assuming that the 1.8-
kN load is applied at C.
PROBLEM 4.123 The rigid L-shaped
member ABC is supported by a ball-and-
socket joint at A and by three cables. If a 1.8-
kN load is applied at F, determine the
tension in each cable.
SOLUTION
See solution of Problem 4.123 for free-body diagram and derivation of Eqs. (1), (2), and (3):
192 132.413 576 0
CD BD
T T
    (1)
336 231.72 254.53 0
CD BD BE
T T T
    (2)
252 1.8 0
CD
T a
   (3)
In this problem, the 1.8-kN load is applied at C and we have 420 mm.
a  Carrying into Eq. (3) and
solving for ,
CD
T
3.00
CD
T  3.00 kN
CD
T  
From Eq. (1): (192)(3) 132.413 576 0
BD
T
    0
BD
T  
From Eq. (2): 336(3) 0 254.53 0
BE
T
     3.96 kN
BE
T  
www.elsolucionario.org
Copyright © McGraw-Hill Education. Permission required for reproduction or display.
PROBLEM 4.125
The rigid L-shaped member ABF is supported by
a ball-and-socket joint at A and by three cables.
For the loading shown, determine the tension in
each cable and the reaction at A.
SOLUTION
Free-Body Diagram:
/
/
/
/
/
12
12 8
12 16
12 24
12 32

 
 
 
 
r i
r j k
r i k
r i k
r i k
B A
F A
D A
E A
F A
12 9
15 in.
0.8 0.6
BG
BG
BG
  

  
i k
λ i k

12 16 ; 20 in.; 0.6 0.8
12 16 ; 20 in.; 0.6 0.8
DH
FJ
DH DH
FJ FJ


      
      
i j i j
i j i j




/ /
/ /
0:
( 24 ) ( 24 ) 0
12 0 0 12 0 16 12 0 32
0.8 0 0.6 0.6 0.8 0 0.6 0.8 0
12 0 8 12 0 24 0
0 24 0 0 24 0
A B A BG BG DH DH DH F A FJ FJ
F A E A
BG DH FJ
T T T
  
      
      
   
  
    
 
M r T r T r T
r j r j
i j k i j k i j k
i j k i j k
Coefficient of i: 12.8 25.6 192 576 0
DH FJ
T T
     (1)
Coefficient of k: 9.6 9.6 288 288 0
DH FJ
T T
     (2)
3
4
Eq. (1)  Eq. (2): 9.6 0
FJ
T  0
FJ
T  
www.elsolucionario.org
Copyright © McGraw-Hill Education. Permission required for reproduction or display.
PROBLEM 4.125 (Continued)
From Eq. (1): 12.8 268 0
DH
T   60 lb
DH
T  
Coefficient of j: 7.2 (16 0.6)(60.0 lb) 0
   
BG
T 80.0 lb
BG
T  
0: 24 24 0
BG BG DH DH FJ
T T T
       
F A j j
 
Coefficient of i: (80)( 0.8) (60.0)( 0.6) 0 100.0 lb
     
x x
A A
Coefficient of j: (60.0)(0.8) 24 24 0
y
A     0
y
A 
Coefficient of k: (80.0)( 0.6) 0
z
A    48.0 lb
z
A  
(100.0 lb) (48.0 lb)
 
A i k 
Note: The value 0
y
A  can be confirmed by considering 0.
BF
M
 
www.elsolucionario.org
Copyright © McGraw-Hill Education. Permission required for reproduction or display.
PROBLEM 4.126
Solve Problem 4.125, assuming that the load
at C has been removed.
PROBLEM 4.125 The rigid L-shaped
member ABF is supported by a ball-and-
socket joint at A and by three cables. For the
loading shown, determine the tension in each
cable and the reaction at A.
SOLUTION
Free-Body Diagram:
/
/
/
/
12
12 16
12 24
12 32
B A
B A
E A
F A

 
 
 
r i
r i k
r i k
r i k
12 9 ; 15 in.; 0.8 0.6
12 16 ; 20 in.; 0.6 0.8
12 16 ; 20 in.; 0.6 0.8
BG
DH
FJ
BG BG
DH DH
FJ FJ
      
      
      
i k i k
i j i j
i j i j








/ /
0:
A B A BG BG D A DH
T T
    
M r r
 / / ( 24 ) 0
DH F A FJ FJ E A
T
     
r r j
 
12 0 0 12 0 16 12 0 32 12 0 24 0
0.8 0 0.6 0.6 0.8 0 0.6 0.8 0 0 24 0
BG DH FJ
T T T
      
   
i j k i j k i j k i j k
: 12.8 25.6 576 0
DH FJ
T T
   
i (1)
:
k 9.6 9.6 288 0
DH FJ
T T
    (2)
www.elsolucionario.org
Copyright © McGraw-Hill Education. Permission required for reproduction or display.
PROBLEM 4.126 (Continued)
Multiply Eq. (1) by 3
4
and subtract Eq. (2):
9.6 144 0
FJ
T   15.00 lb
FJ
T  
From Eq. (1): 12.8 25.6(15.00) 576 0
DH
T    15.00 lb
DH
T  
:
j 7.2 (16)(0.6)(15) (32)(0.6)(15) 0
BG
T
   
7.2 432 0
BG
T
   60.0 lb
BG
T  
0: 24 0
BG BG DA DH FJ FJ
F T T T
      
A j
  
: (60)( 0.8) (15)( 0.6) (15)( 0.6) 0
x
A       
i 66.0 lb
x
A 
:
j (15)(0.8) (15)(0.8) 24 0
y
A     0
y
A 
:
k (60)(0.6) 0
z
A   36.0 lb
z
A  
(66.0 lb) (36.0 lb)
 
A i k 
www.elsolucionario.org
Copyright © McGraw-Hill Education. Permission required for reproduction or display.
PROBLEM 4.127
Three rods are welded together to form a “corner” that is
supported by three eyebolts. Neglecting friction, determine the
reactions at A, B, and C when 240
P  lb, 12 in., 8 in.,
a b
  and
10 in.
c 
SOLUTION
From F.B.D. of weldment:
/ / /
0: 0
O A O B O C O
       
M r A r B r C
12 0 0 0 8 0 0 0 10 0
0 0 0
y z x z x y
A A B B C C
  
i j k i j k i j k
( 12 12 ) (8 8 ) ( 10 10 ) 0
z y z x y x
A A B B C C
       
j k i k i j
From i-coefficient: 8 10 0
z y
B C
 
or 1.25
z y
B C
 (1)
j-coefficient: 12 10 0
z x
A C
  
or 1.2
x z
C A
 (2)
k-coefficient: 12 8 0
y x
A B
 
or 1.5
x y
B A
 (3)
 0: 0
     
F A B C P 
or ( ) ( 240 lb) ( ) 0
x x y y z z
B C A C A B
      
i j k 
From i-coefficient: 0
x x
B C
 
or x x
C B
  (4)
j-coefficient: 240 lb 0
y y
A C
  
or 240 lb
y y
A C
  (5)
www.elsolucionario.org
Copyright © McGraw-Hill Education. Permission required for reproduction or display.
PROBLEM 4.127 (Continued)
k-coefficient: 0
z z
A B
 
or z z
A B
  (6)
Substituting x
C from Equation (4) into Equation (2),
1.2
z z
B A
  (7)
Using Equations (1), (6), and (7),
1
1.25 1.25 1.25 1.2 1.5
x x
z z
y
B B
B A
C
  
   
 
 
(8)
From Equations (3) and (8):
1.5
or
1.5
y
y y y
A
C C A
 
and substituting into Equation (5),
2 240 lb
y
A 
120 lb
y y
A C
  (9)
Using Equation (1) and Equation (9),
1.25(120 lb) 150.0 lb
z
B  
Using Equation (3) and Equation (9),
1.5(120 lb) 180.0 lb
x
B  
From Equation (4): 180.0 lb
x
C  
From Equation (6): 150.0 lb
z
A  
Therefore, (120.0 lb) (150.0 lb)
 
A j k 
 (180.0 lb) (150.0 lb)
 
B i k 
 (180.0 lb) (120.0 lb)
  
C i j 
www.elsolucionario.org
Copyright © McGraw-Hill Education. Permission required for reproduction or display.
PROBLEM 4.128
Solve Problem 4.127, assuming that the force P is removed and is
replaced by a couple (600 lb in.)
  
M j acting at B.
PROBLEM 4.127 Three rods are welded together to form a
“corner” that is supported by three eyebolts. Neglecting friction,
determine the reactions at A, B, and C when 240
P  lb,
12 in., 8 in.,
a b
  and c 10 in.

SOLUTION
From F.B.D. of weldment:
/ / /
0: 0
O A O B O C O
        
M r A r B r C M
12 0 0 0 8 0 0 0 10 (600 lb in.) 0
0 0 0
y z x z x y
A A B B C C
    
i j k i j k i j k
j
( 12 12 ) (8 8 ) ( 10 10 ) (600 lb in.) 0
z y z x y x
A A B B C C
         
j k j k i j j
From i-coefficient: 8 10 0
z y
B C
 
or 0.8
y z
C B
 (1)
j-coefficient: 12 10 600 0
z x
A C
   
or 1.2 60
x z
C A
  (2)
k-coefficient: 12 8 0
y x
A B
 
or 1.5
x y
B A
 (3)
 0: 0
    
F A B C 
 ( ) ( ) ( ) 0
x x y y z z
B C A C A B
     
i j k 
From i-coefficient: x x
C B
  (4)
j-coefficient: y y
C A
  (5)
k-coefficient: z z
A B
  (6)
www.elsolucionario.org
Copyright © McGraw-Hill Education. Permission required for reproduction or display.
PROBLEM 4.128 (Continued)
Substituting x
C from Equation (4) into Equation (2),
50
1.2
x
z
B
A
 
   
 
(7)
Using Equations (1), (6), and (7),
2
0.8 0.8 40
3
y z z x
C B A B
 
    
 
 
(8)
From Equations (3) and (8):
40
y y
C A
 
Substituting into Equation (5), 2 40
y
A 
20.0 lb
y
A 
From Equation (5): 20.0 lb
y
C  
Equation (1): 25.0 lb
z
B  
Equation (3): 30.0 lb
x
B 
Equation (4): 30.0 lb
x
C  
Equation (6): 25.0 lb
z
A 
Therefore, (20.0 lb) (25.0 lb)
 
A j k 
  (30.0 lb) (25.0 lb)
 
B i k 
 (30.0 lb) (20.0 lb)
  
C i j 
www.elsolucionario.org
Copyright © McGraw-Hill Education. Permission required for reproduction or display.
PROBLEM 4.129
Frame ABCD is supported by a ball-and-
socket joint at A and by three cables. For
150 mm,
a  determine the tension in
each cable and the reaction at A.
SOLUTION
First note:
2 2
(0.48 m) (0.14 m)
(0.48) (0.14) m
DG DG DG DG
T T
 
 

i j
T 
0.48 0.14
0.50
(24 7 )
25
DG
DG
T
T
 

 
i j
i j
2 2
(0.48 m) (0.2 m)
(0.48) (0.2) m
BE BE BE BE
T T
 
 

i k
T 
0.48 0.2
0.52
( 12 5 )
13
BE
BE
T
T
 

  
i k
j k
From F.B.D. of frame ABCD:
7
0: (0.3 m) (350 N)(0.15 m) 0
25
x DG
M T
 
   
 
 
or 625 N
DG
T  
24 5
0: 625 N (0.3 m) (0.48 m) 0
25 13
y BE
M T
   
    
   
   
or 975 N
BE
T  
7
0: (0.14 m) 625 N (0.48 m) (350 N)(0.48 m) 0
25
 
     
 
 
z CF
M T
or 600 N
CF
T  
www.elsolucionario.org
Copyright © McGraw-Hill Education. Permission required for reproduction or display.
PROBLEM 4.129 (Continued)
0: ( ) ( ) 0
x x CF BE x DG x
F A T T T
     
12 24
600 N 975 N 625 N 0
13 25
x
A
   
     
   
   
2100 N
x
A 
0: ( ) 350 N 0
y y DG y
F A T
    
7
625 N 350 N 0
25
y
A
 
   
 
 
175.0 N
y
A 
0: ( ) 0
z z BE z
F A T
   
5
975 N 0
13
z
A
 
  
 
 
375 N
z
A  
Therefore, (2100 N) (175.0 N) (375 N)
  
A i j k 
www.elsolucionario.org
Copyright © McGraw-Hill Education. Permission required for reproduction or display.
PROBLEM 4.130
Frame ABCD is supported by a ball-and-
socket joint at A and by three cables.
Knowing that the 350-N load is applied at
D ( 300 mm),
a  determine the tension in
each cable and the reaction at A.
SOLUTION
First note
2 2
(0.48 m) (0.14 m)
(0.48) (0.14) m
DG DG DG DG
T T
 
 

i j
T 
0.48 0.14
0.50
(24 7 )
25
DG
DG
T
T
 

 
i j
i j
2 2
(0.48 m) (0.2 m)
(0.48) (0.2) m
BE BE BE BE
T T
 
 

i k
T 
0.48 0.2
0.52
( 12 5 )
13
BE
BE
T
T
 

  
i k
i k
From f.b.d. of frame ABCD
7
0: (0.3 m) (350 N)(0.3 m) 0
25
x DG
M T
 
   
 
 
or 1250 N
DG
T  
24 5
0: 1250 N (0.3 m) (0.48 m) 0
25 13
y BE
M T
   
    
   
   
or 1950 N
BE
T  
7
0: (0.14 m) 1250 N (0.48 m) (350 N)(0.48 m) 0
25
 
     
 
 
z CF
M T
or 0
CF
T  

www.elsolucionario.org
Copyright © McGraw-Hill Education. Permission required for reproduction or display.
PROBLEM 4.130 (Continued)
0: ( ) ( ) 0
x x CF BE x DG x
F A T T T
     
12 24
0 1950 N 1250 N 0
13 25
x
A
   
     
   
   

 3000 N
x
A  
0: ( ) 350 N 0
y y DG y
F A T
    
7
1250 N 350 N 0
25
y
A
 
   
 
 
0
y
A 
0: ( ) 0
z z BE z
F A T
   
5
1950 N 0
13
z
A
 
  
 
 
750 N
z
A  
Therefore (3000 N) (750 N)
 
A i k 
www.elsolucionario.org
Copyright © McGraw-Hill Education. Permission required for reproduction or display.
PROBLEM 4.131
The assembly shown consists of an 80-
mm rod AF that is welded to a cross
consisting of four 200-mm arms. The
assembly is supported by a ball-and-
socket joint at F and by three short links,
each of which forms an angle of 45 with
the vertical. For the loading shown,
determine (a) the tension in each link,
(b) the reaction at F.
SOLUTION
/
/
/
/
200 80
( ) / 2 80 200
( ) / 2 200 80
( ) / 2 80 200
  
   
    
    
r i j
T i j r j k
T j k r i j
T i j r j k
E F
B B B F
C C C F
D D D E
T
T
T
/ / / /
0: ( ) 0
F B F B C F C D F D E F
M T P
          
r T r T r r j
0 80 200 200 80 0 0 80 200 200 80 0 0
2 2 2
1 1 0 0 1 1 1 1 0 0 0
C
B D
T
T T
P
     
    
i j k i j k i j k i j k
Equate coefficients of unit vectors to zero and multiply each equation by 2.
:
i 200 80 200 0
B C D
T T T
    (1)
:
j 200 200 200 0
B C D
T T T
    (2)
:
k 80 200 80 200 2 0
B C D
T T T P
     (3)
80
(2):
200
80 80 80 0
B C D
T T T
    (4)
Eqs. (3) (4):
 160 280 200 2 0
B C
T T P
    (5)
Eqs. (1) (2):
 400 120 0
B C
T T
  
120
0.3
400
B C C
T T T
   (6)
www.elsolucionario.org
Copyright © McGraw-Hill Education. Permission required for reproduction or display.
PROBLEM 4.131 (Continued)
Eqs. (6) (5): 160( 0.3 ) 280 200 2 0
C C
T T P
    
232 200 2 0
C
T P
  
1.2191
C
T P
 1.219
C
T P
 
From Eq. (6): 0.3(1.2191 ) 0.36574
B
T P P
     0.366
B
T P
  
From Eq. (2): 200( 0.3657 ) 200(1.2191 ) 200 0
D
P P T
    
0.8534
D
T P
  0.853
D
T P
  
0:
 
F 0
B C D P
    
F T T T j
( 0.36574 ) ( 0.8534 )
: 0
2 2
x
P P
F
 
  
i
0.3448 0.345
x x
F P F P
   
( 0.36574 ) (1.2191 ) ( 0.8534 )
: 200 0
2 2 2
y
P P P
F
 
    
j
y y
F P F P
 
(1.2191 )
: 0
2
z
P
F  
k
0.8620 0.862
z z
F P F P
    0.345 0.862
P P P
   
F i j k 
www.elsolucionario.org
Copyright © McGraw-Hill Education. Permission required for reproduction or display.
PROBLEM 4.132
The uniform 10-kg rod AB is supported by a ball-and-socket
joint at A and by the cord CG that is attached to the midpoint G
of the rod. Knowing that the rod leans against a frictionless
vertical wall at B, determine (a) the tension in the cord, (b) the
reactions at A and B.
SOLUTION
Free-Body Diagram:
Five unknowns and six equations of equilibrium, but equilibrium is
maintained ( 0).
AB
M
 
(a)
2
(10 kg)9.81m/s
98.1 N



W mg
W
/
/
300 200 225 425 mm
( 300 200 225 )
425
600 400 150 mm
300 200 75 mm
B A
G A
GC GC
GC T
T
GC
    
    
   
   
i j k
T i j k
r i j
r i j


/ / /
0: ( ) 0
A B A G A G A
M W
        
r B r T r j
600 400 150 300 200 75 300 200 75
425
0 0 300 200 225 0 98.1 0
T
B
    
  
i j k i j k i j k
Coefficient of : ( 105.88 35.29) 7357.5 0
T
   
i
52.12 N
T  52.1 N
T  


www.elsolucionario.org
Copyright © McGraw-Hill Education. Permission required for reproduction or display.
PROBLEM 4.132 (Continued)
(b)
Coefficient of
52.12
: 150 (300 75 300 225) 0
425
B     
j
73.58 N
B  (73.6 N)

B i 
0: 0
W
     
F A B T j
Coefficient of :
i
300
73.58 52.15 0
425
x
A    36.8 N
x
A   
Coefficient of :
j
200
52.15 98.1 0
425
y
A    73.6 N
y
A  
Coefficient of :
k
225
52.15 0
425
z
A   27.6 N
z
A  
www.elsolucionario.org
Copyright © McGraw-Hill Education. Permission required for reproduction or display.
PROBLEM 4.133
The frame ACD is supported by ball-and-socket joints at A
and D and by a cable that passes through a ring at B and is
attached to hooks at G and H. Knowing that the frame
supports at Point C a load of magnitude P  268 N,
determine the tension in the cable.
SOLUTION
Free-Body Diagram:
(1 m) (0.75 m)
1.25 m
0.8 0.6
0.5 0.925 0.4
1.125
0.375 0.75 0.75
1.125
AD
AD
BG BG
BG
BH BH
BH
AD
AD
BG
T
BG
T
BH
T T
BH
T

 
 

  


 

i k
i k
T
i j k
i j k





www.elsolucionario.org
Copyright © McGraw-Hill Education. Permission required for reproduction or display.
PROBLEM 4.133 (Continued)
/ /
(0.5 m) ; (1 m) ; (268 N)
B A C A
   
r i r i P j
To eliminate the reactions at A and D, we shall write
0:
AD
 
M / / /
( ) ( ) ( ) 0
AD B A BG AD B A BH AD C A
        
r T r T r P
   (1)
Substituting for terms in Eq. (1) and using determinants,
0.8 0 0.6 0.8 0 0.6 0.8 0 0.6
0.5 0 0 0.5 0 0 1 0 0 0
1.125 1.125
0.5 0.925 0.4 0.375 0.75 0.75 0 268 0
BG BH
T T
  
  
   
Multiplying all terms by (–1.125),
0.27750 0.22500 180.900
BG BH
T T
  (2)
For this problem, BG BH
T T T
 
(0.27750 0.22500) 180.900
T
  360 N
T  
www.elsolucionario.org
Copyright © McGraw-Hill Education. Permission required for reproduction or display.
PROBLEM 4.134
Solve Prob. 4.133, assuming that cable GBH is replaced by
a cable GB attached at G and B.
PROBLEM 4.133 The frame ACD is supported by ball-
and-socket joints at A and D and by a cable that passes
through a ring at B and is attached to hooks at G and H.
Knowing that the frame supports at Point C a load of
magnitude P  268 N, determine the tension in the cable.
SOLUTION
Free-Body Diagram:
(1 m) (0.75 m)
1.25 m
0.8 0.6
0.5 0.925 0.4
1.125
0.375 0.75 0.75
1.125
AD
AD
BG BG
BG
BH BH
BH
AD
AD
BG
T T
BG
T
BH
T T
BH
T

 
 

  


 

i k
i k
i j k
i j k





www.elsolucionario.org
Copyright © McGraw-Hill Education. Permission required for reproduction or display.
PROBLEM 4.134 (Continued)
/ /
(0.5 m) ; (1 m) ; (268 N)
B A C A
   
r i r i P j
To eliminate the reactions at A and D, we shall write
/ / /
0: ( ) ( ) ( ) 0
AD AD B A BG AD B A BH AD C A
          
M r T r T r P
   (1)
Substituting for terms in Eq. (1) and using determinants,
0.8 0 0.6 0.8 0 0.6 0.8 0 0.6
0.5 0 0 0.5 0 0 1 0 0 0
1.125 1.125
0.5 0.925 0.4 0.375 0.75 0.75 0 268 0
BG BH
T T
  
  
   
Multiplying all terms by (–1.125),
0.27750 0.22500 180.900
BG BH
T T
  (2)
For this problem, 0.
BH
T 
Thus, Eq. (2) reduces to
0.27750 180.900
BG
T  652 N
BG
T  
www.elsolucionario.org
Copyright © McGraw-Hill Education. Permission required for reproduction or display.
PROBLEM 4.135
The bent rod ABDE is supported by ball-and-socket joints
at A and E and by the cable DF. If a 60-lb load is applied
at C as shown, determine the tension in the cable.
SOLUTION
Free-Body Diagram:
/
/
16 11 8 21in.
( 16 11 8 )
21
16
16 14
7 24
25
D E
C E
EA
DF DF
DE T
T
DF
EA
EA
    
    

 

 
i j k
T i j k
r i
r i k
i k
λ




/ /
0: ( ) ( ( 60 )) 0
EA EA B E EA C E
M
        
λ r T λ r j
7 0 24 7 0 24
1
16 0 0 16 0 14 0
21 25 25
16 11 8 0 60 0
24 16 11 7 14 60 24 16 60
0
21 25 25
201.14 17,160 0
T
T
T
 
  

  
       
  

 
85.314 lb
T  85.3 lb
T  
www.elsolucionario.org
Copyright © McGraw-Hill Education. Permission required for reproduction or display.
PROBLEM 4.136
Solve Problem 4.135, assuming that cable DF is replaced
by a cable connecting B and F.
PROBLEM 4.135 The bent rod ABDE is supported by
ball-and-socket joints at A and E and by the cable DF. If a
60-lb load is applied at C as shown, determine the tension
in the cable.
SOLUTION
Free-Body Diagram:
/
/
9
9 10
B A
C A

 
r i
r i k
16 11 16 25.16 in.
( 16 11 16 )
25.16
7 24
AE
BF BF
BF T
T
BF
AE
AE
    
    

 
i j k
T i j k
i k
λ
25






/ /
0: ( ) ( ( 60 )) 0
AE AF B A AE C A
M
        
λ r T λ r j
7 0 24 7 0 24
1
9 0 0 9 0 10 0
25 25.16 25
16 11 16 0 60 0
T
 
 

 
24 9 11 24 9 60 7 10 60
0
25 25.16 25
T
      
  

94.436 17,160 0
 
T 181.7 lb
T  
www.elsolucionario.org
Copyright © McGraw-Hill Education. Permission required for reproduction or display.
PROBLEM 4.137
Two rectangular plates are welded together to form the
assembly shown. The assembly is supported by ball-and-
socket joints at B and D and by a ball on a horizontal
surface at C. For the loading shown, determine the reaction
at C.
SOLUTION
First note:
2 2 2
/
/
(6 in.) (9 in.) (12 in.)
(6) (9) (12) in.
1
( 6 9 12 )
16.1555
(6 in.)
(80 lb)
(8 in.)
( )
  

 
   
 



i j k
i j k
r i
P k
r i
C j
BD
A B
C D
C

From the F.B.D. of the plates:
/ /
0: ( P C 0
BD BD A B BD C D
M
       
r r
   
6 9 12 6 9 12
6(80) (8)
1 0 0 1 0 0 0
16.1555 16.1555
0 0 1 0 1 0
( 9)(6)(80) (12)(8) 0
C
C
   
   
  
   
   
  
45.0 lb
C  or (45.0 lb)

C j 
www.elsolucionario.org
Copyright © McGraw-Hill Education. Permission required for reproduction or display.
PROBLEM 4.138
The pipe ACDE is supported by ball-and-socket joints at A and E
and by the wire DF. Determine the tension in the wire when a
640-N load is applied at B as shown.
SOLUTION
Free-Body Diagram:
Dimensions in mm
/
/
480 160 240
560 mm
480 160 240
560
6 2 3
7
200
480 160
AE
AE
B A
D A
AE
AE
AE
AE
  

 
 
 


 
i j k
i j k
λ
i j k
λ
r i
r i j




480 330 240 ; 630 mm
480 330 240 16 11 8
630 21
DF DF DF DF
DF DF
DF
T T T
DF
    
     
  
i j k
i j k i j k
T


/ /
( ) ( ( 600 )) 0
AE AE D A DF AE B A
M
        
λ r T λ r j
6 2 3 6 2 3
1
480 160 0 200 0 0 0
21 7 7
16 11 8 0 640 0
DF
T
 
 

  
6 160 8 2 480 8 3 480 11 3 160 16 3 200 640
0
21 7 7
DF
T
             
 

3
1120 384 10 0
DF
T
   
342.86 N
DF
T  343 N
DF
T  
www.elsolucionario.org
Copyright © McGraw-Hill Education. Permission required for reproduction or display.
PROBLEM 4.139
Solve Problem 4.138, assuming that wire DF is replaced by a
wire connecting C and F.
PROBLEM 4.138 The pipe ACDE is supported by ball-and-
socket joints at A and E and by the wire DF. Determine the
tension in the wire when a 640-N load is applied at B as shown.
SOLUTION
Free-Body Diagram:
Dimensions in mm
/
/
480 160 240
560 mm
480 160 240
560
6 2 3
7
200
480
480 490 240 ; 726.70 mm
480 490 240
726.70
AE
AE
B A
C A
CF CF
AE
AE
AE
AE
CF CF
CE
T
CF
  

 
 
 



    
  
 
i j k
i j k
λ
i j k
λ
r i
r i
i j k
i j k
T








/ /
0: ( ) ( ( 600 )) 0
AE AE C A CF AE B A
M
        
λ r T λ r j
6 2 3 6 2 3
1
480 0 0 200 0 0 0
726.7 7 7
480 490 240 0 640 0
CF
T
 
 

   
2 480 240 3 480 490 3 200 640
0
726.7 7 7
CF
T
      
 

3
653.91 384 10 0
CF
T
    587 N
CF
T  
www.elsolucionario.org
Copyright © McGraw-Hill Education. Permission required for reproduction or display.
PROBLEM 4.140
Two 2 4-ft
 plywood panels, each of weight 12 lb, are nailed
together as shown. The panels are supported by ball-and-
socket joints at A and F and by the wire BH. Determine
(a) the location of H in the xy plane if the tension in the wire
is to be minimum, (b) the corresponding minimum tension.
SOLUTION
Free-Body Diagram:
1
2
/
/
/
4 2 4 6ft
1
(2 2 )
3
2
4 2
4
   
  
 
  

i j k
λ i j k
r i j
r i j k
r i

AF
G A
G A
B A
AF AF
1 2
/ / /
0: ( ( 12 ) ( ( 12 )) ( ) 0
AF AF G A AF G A AF B A
M T
            
λ r j λ r j λ r
/
2 1 2 2 1 2
1 1
2 1 0 4 1 2 ( ) 0
3 3
0 12 0 0 12 0
   
       
 
λ r T
AF B A
/
1 1
(2 2 12) ( 2 2 12 2 4 12) ( ) 0
3 3
AF B A
            
λ r T
/ / /
( ) 32 or ( ) 32
       
λ r T T λ r
AF B A A F B A (1)
www.elsolucionario.org
Copyright © McGraw-Hill Education. Permission required for reproduction or display.
PROBLEM 4.140 (Continued)
Projection of T on /
( )
AF B A

λ r is constant. Thus, min
T is parallel to
/
1 1
(2 2 ) 4 ( 8 4 )
3 3
AF B A
       
λ r i j k i j k
Corresponding unit vector is 1
5
( 2 ).
 
j k
min
1
( 2 )
5
T T
  
j k (2)
From Eq. (1):
1
( 2 ) (2 2 ) 4 32
3
5
1
( 2 ) ( 8 4 ) 32
3
5
T
T
 
       
 
 
      
j k i j k i
j k j k
3 5(32)
(16 4) 32 4.8 5
20
3 5
T
T
     
10.7331 lb
T 
From Eq. (2): min
min
1
( 2 )
5
1
4.8 5( 2 )
5
(9.6 lb) (4.8 lb )
T T
  
  
  
j k
j k
T j k
Since min
T has no i component, wire BH is parallel to the yz plane, and 4 ft.
x 
(a) 4.00 ft; 8.00 ft
x y
  
(b) min 10.73 lb
T  
www.elsolucionario.org
Copyright © McGraw-Hill Education. Permission required for reproduction or display.
PROBLEM 4.141
Solve Problem 4.140, subject to the restriction that H must lie
on the y-axis.
PROBLEM 4.140 Two 2 4-ft
 plywood panels, each of weight
12 lb, are nailed together as shown. The panels are supported
by ball-and-socket joints at A and F and by the wire BH.
Determine (a) the location of H in the xy plane if the tension
in the wire is to be minimum, (b) the corresponding minimum
tension.
SOLUTION
Free-Body Diagram:
1
2
/
/
/
4 2 4
1
(2 2 )
3
2
4 2
4
AF
G A
G A
B A
AF   
  
 
  

i j k
λ i j k
r i j
r i j k
r i

2
/ / /
0: ( ( 12 ) ( ( 12 )) ( ) 0
AF AF G A AF G A AF B A
M T
            
λ r j λ r j λ r
/
2 1 2 2 1 2
1 1
2 1 0 4 1 2 ( ) 0
3 3
0 12 0 0 12 0
  
       
 
λ r T
AF B A
/
1 1
(2 2 12) ( 2 2 12 2 4 12) ( ) 0
3 3
AF B A
            
λ r T
/
( ) 32
AF B A
   
λ r T (1)
2 1/2
4 4 (32 )
BH y BH y
     
i j k


2 1/2
4 4
(32 )
BH y
T T
BH y
  
 

i j k
T


www.elsolucionario.org
Copyright © McGraw-Hill Education. Permission required for reproduction or display.
PROBLEM 4.141 (Continued)
From Eq. (1):
/ 2 1/2
2 1 2
( ) 4 0 0 32
3(32 )
4 4
AF B A
T
T
y
y
 
    

 
λ r
2 1/2
2 1/2 (32 )
( 16 8 ) 3 32(32 ) 96
8 16

      

y
y T y T
y
(2)
2 1/2 2 1/2
1
2
2
(8 +16) (32 ) (2 ) (32 ) (8)
0: 96
(8 16)
y y y y
dT
dy y

  


Numerator  0: 2
(8 16) (32 )8
y y y
  
2 2
8 16 32 8 8
y y y
    0 ft; 16.00 ft
x y
  
From Eq. (2):
2 1/2
(32 16 )
96 11.3137 lb
8 16 16
T

 
 
min 11.31 lb
T  
www.elsolucionario.org
Copyright © McGraw-Hill Education. Permission required for reproduction or display.
PROBLEM 4.142
A 3200-lb forklift truck is used to lift a 1700-lb crate.
Determine the reaction at each of the two (a) front wheels A,
(b) rear wheels B.
SOLUTION
Free-Body Diagram:
(a) Front wheels: 0: (1700 lb)(52 in.) (3200 lb)(12 in.) 2 (36 in.) 0
B
M A
    
1761.11lb
A   1761lb

A 
(b) Rear wheels: 0: 1700 lb 3200 lb 2(1761.11lb) 2 0
y
F B
      
688.89 lb
B   689 lb

B 
www.elsolucionario.org
Copyright © McGraw-Hill Education. Permission required for reproduction or display.
PROBLEM 4.143
The lever BCD is hinged at C and attached to a control rod at B. If
P  100 lb, determine (a) the tension in rod AB, (b) the reaction at C.
SOLUTION
Free-Body Diagram:
(a) 0: (5 in.) (100 lb)(7.5 in.) 0
C
M T
   
150.0 lb
T  
(b)
3
0: 100 lb (150.0 lb) 0
5
x x
F C
    
190 lb
x
C   190 lb
x 
C
4
0: lb) 0
5
y y
F C
    
120 lb
y
C   120 lb
y 
C
32.3
   225 lb
C  225 lb

C 32.3° 
www.elsolucionario.org
Copyright © McGraw-Hill Education. Permission required for reproduction or display.
PROBLEM 4.144
Determine the reactions at A and B when (a) 0,
h 
(b) 200 mm.
h 
SOLUTION
Free-Body Diagram:
0: ( cos60 )(0.5 m) ( sin 60 ) (150 N)(0.25 m) 0
A
M B B h
      
37.5
0.25 0.866
B
h


(1)
(a) When 0,
h 
From Eq. (1):
37.5
150 N
0.25
B   150.0 N

B 30.0° 
0: sin60 0
y x
F A B
    
(150)sin 60 129.9 N
x
A    129.9 N
x 
A
0: 150 cos60 0
y y
F A B
     
150 (150)cos60 75 N
y
A     75 N
y 
A
30
150.0 N
A
  
 150.0 N

A 30.0° 
(b) When h  200 mm  0.2 m,
From Eq. (1):
37.5
488.3 N
0.25 0.866(0.2)
B  

488 N

B 30.0° 
0: sin 60 0
x x
F A B
    
(488.3)sin 60 422.88 N
x
A    422.88 N
x 
A
0: 150 cos60 0
y y
F A B
     
150 (488.3)cos60 94.15 N
y
A      94.15 N
y 
A
12.55
433.2 N
A
  
 433 N

A 12.55° 
www.elsolucionario.org
Copyright © McGraw-Hill Education. Permission required for reproduction or display.
PROBLEM 4.145
Neglecting friction and the radius of the pulley,
determine (a) the tension in cable ADB, (b) the reaction
at C.
SOLUTION
Free-Body Diagram:
Dimensions in mm
Geometry:
Distance: 2 2
(0.36) (0.150) 0.39 m
AD   
Distance: 2 2
(0.2) (0.15) 0.25 m
BD   
Equilibrium for beam:
(a)
0.15 0.15
0: (120 N)(0.28 m) (0.36 m) (0.2 m) 0
0.39 0.25
C
M T T
   
    
   
   
130.000 N
T 
or 130.0 N
T  
(b)
0.36 0.2
0: (130.000 N) (130.000 N) 0
0.39 0.25
x x
F C
   
    
   
   
224.00 N
x
C  
0.15 0.15
0: (130.00 N) (130.00 N) 120 N 0
0.39 0.25
y y
F C
   
     
   
   
8.0000 N
y
C  
Thus, 2 2 2 2
( 224) ( 8) 224.14 N
x y
C C C
      
and 1 1 8
tan tan 2.0454
224
y
x
C
C
  
    224 N

C 2.05 
www.elsolucionario.org
Copyright © McGraw-Hill Education. Permission required for reproduction or display.
PROBLEM 4.146
Bar AD is attached at A and C to collars that can move
freely on the rods shown. If the cord BE is vertical (  0),
determine the tension in the cord and the reactions at A and
C.
SOLUTION
Free-Body Diagram:
0: cos30 (80 N)cos30 0
y
F T
      
80 N
T  80.0 N
T  
0: ( sin30 )(0.4 m) (80 N)(0.2 m) (80 N)(0.2 m) 0
C
M A
     
160 N
A   160.0 N

A 30.0° 
0: (80 N)(0.2 m) (80 N)(0.6 m) ( sin30 )(0.4 m) 0
A
M C
     
160 N
C   160.0 N

C 30.0° 
www.elsolucionario.org
Copyright © McGraw-Hill Education. Permission required for reproduction or display.
PROBLEM 4.147
A slender rod AB, of weight W, is attached to blocks A and B
that move freely in the guides shown. The constant of the spring
is k, and the spring is unstretched when 0.
  (a) Neglecting the
weight of the blocks, derive an equation in W, k, l, and  that
must be satisfied when the rod is in equilibrium. (b) Determine
the value of  when 75 lb,
W  30 in.,
l  and 3 lb/in.
k 
SOLUTION
Free-Body Diagram:
Spring force: ( cos ) (1 cos )
s
F ks k l l kl
 
    
(a) 0: ( sin ) cos 0
2
D s
l
M F l W
 
 
   
 
 
(1 cos ) sin cos 0
2
W
kl l l
  
  
(1 cos )tan 0
2
W
kl  
   or (1 cos )tan
2
W
kl
 
  
(b) For given values of 75 lb
30 in.
3 lb/in.
(1 cos )tan tan sin
75 lb
2(3 lb/in.)(30 in.)
0.41667
W
l
k
   



  


Solving numerically, 49.710
   or 49.7
   
www.elsolucionario.org
Copyright © McGraw-Hill Education. Permission required for reproduction or display.
PROBLEM 4.148
Determine the reactions at A and B when a  150 mm.
SOLUTION
Free-Body Diagram:
Force triangle
80 mm 80 mm
tan
150 mm
28.072
a


 
 
320 N
sin 28.072
A 

680 N

A 28.1 
320 N
tan 28.072
B 

600 N

B 

www.elsolucionario.org
Copyright © McGraw-Hill Education. Permission required for reproduction or display.
PROBLEM 4.149
For the frame and loading shown, determine the reactions at A and C.
SOLUTION
Since member AB is acted upon by two forces, A and B, they must be colinear, have the same magnitude,
and be opposite in direction for AB to be in equilibrium. The force B acting at B of member BCD will be
equal in magnitude but opposite in direction to force B acting on member AB. Member BCD is a three-
force body with member forces intersecting at E. The F.B.D.’s of members AB and BCD illustrate the
above conditions. The force triangle for member BCD is also shown. The angle  is found from the
member dimensions:
1 6 in.
tan 30.964
10 in.
   
  
 
 
Applying the law of sines to the force triangle for member BCD,
30 lb
sin(45 ) sin sin135
B C
 
 
  
or
30 lb
sin14.036 sin30.964 sin135
B C
 
  
(30 lb)sin30.964
63.641 lb
sin14.036
A B

  

or 63.6 lb

A 45.0 
and
(30 lb)sin135
87.466 lb
sin14.036
C

 

or 87.5 lb

C 59.0 
www.elsolucionario.org
Copyright © McGraw-Hill Education. Permission required for reproduction or display.
PROBLEM 4.150
A 200-mm lever and a 240-mm-diameter pulley
are welded to the axle BE that is supported by
bearings at C and D. If a 720-N vertical load is
applied at A when the lever is horizontal,
determine (a) the tension in the cord, (b) the
reactions at C and D. Assume that the bearing at
D does not exert any axial thrust.
SOLUTION
Dimensions in mm
We have six unknowns and six equations of equilibrium. —OK
0: ( 120 ) ( ) (120 160 ) (80 200 ) ( 720 ) 0
C x y
D D T
            
M k i j j k i k i j
3 3
120 120 120 160 57.6 10 144 10 0
x y
D D T T
        
j i k j i k
Equating to zero the coefficients of the unit vectors:
:
k 3
120 144 10 0
T
    (a) 1200 N
T  
:
i 3
120 57.6 10 0 480 N
y y
D D
    
: 120 160(1200 N) 0
x
D
  
j 1600 N
x
D  
0:
x
F
  0
x x
C D T
   1600 1200 400 N
x
C   
0:
y
F
  720 0
y y
C D
   480 720 1200 N
y
C   
0:
z
F
  0
z
C 
(b) (400 N) (1200 N) ; (1600 N) (480 N)
    
C i j D i j 
www.elsolucionario.org
Copyright © McGraw-Hill Education. Permission required for reproduction or display.
PROBLEM 4.151
The 45-lb square plate shown is supported by three vertical
wires. Determine the tension in each wire.
SOLUTION
Free-Body Diagram:
/ / /
0: ( 45 lb) 0
B C B C A B A G B
M T T
        
r j r j r j
[ (20 in.) (15 in.) ] (20 in.)
C A
T T
    
i k j k j

[ (10 in.) (10 in.) ] [ (45 lb) ] 0
     
i k j
20 15 20 450 450 0
C C A
T T T
     
k i i k i
Equating to zero the coefficients of the unit vectors,
:
k 20 450 0
C
T
   ; 22.5 lb
C
T 
:
i 15(22.5) 20 450 0
A
T
    ; 5.625 lb
A
T 
0:
y
F
  45 lb 0
A B C
T T T
   
5.625 lb 22.5 lb 45 lb 0
B
T
    ; 16.875 lb
B
T  
5.63 lb; 16.88 lb; 22.5 lb
A B C
T T T
   
www.elsolucionario.org
Copyright © McGraw-Hill Education. Permission required for reproduction or display.
PROBLEM 4.152
The rectangular plate shown weighs 75 lb and is held in the
position shown by hinges at A and B and by cable EF.
Assuming that the hinge at B does not exert any axial
thrust, determine (a) the tension in the cable, (b) the
reactions at A and B.
SOLUTION
/
/
/
/ / /
(38 8) 30
(30 4) 20
26 20
38
10
2
19 10
8 25 20
33 in.
(8 25 20 )
33
0: ( 75 ) 0
  
  
 
 
 
  

   
        




B A
E A
G A
A E A G A B A
EF
EF
AE T
T
AE
T B
r i i
r i k
i k
r i k
i k
i j k
T i j k
M r r j r
26 0 20 19 0 10 30 0 0 0
33
8 25 20 0 75 0 0 y z
T
B B
  
 
i j k i j k i j k
Coefficient of i: (25)(20) 750 0:
33
T
   49.5 lb
T  
Coefficient of j:
49.5
(160 520) 30 0: 34 lb
33
z z
B B
   
Coefficient of k:
49.5
(26)(25) 1425 30 0: 15 lb
33
y y
B B
    (15.00 lb) (34.0 lb)
 
B j k 



www.elsolucionario.org
Copyright © McGraw-Hill Education. Permission required for reproduction or display.

PROBLEM 4.152 (Continued)
 0: (75 lb) 0
     
F A B T j 
Coefficient of i:
8
(49.5) 0 12.00 lb
33
x x
A A
   
Coefficient of j:
25
15 (49.5) 75 0 22.5 lb
33
y y
A A
    
Coefficient of k:
20
34 (49.5) 0 4.00 lb
33
z z
A A
     
 (12.00 lb) (22.5 lb) (4.00 lb)
   
A i j k 
www.elsolucionario.org
Copyright © McGraw-Hill Education. Permission required for reproduction or display.
PROBLEM 4.153
A force P is applied to a bent rod ABC, which may be supported in four different ways as shown. In each
case, if possible, determine the reactions at the supports.
SOLUTION
(a) 0: ( sin 45 )2 (cos45 ) 0
A a
M P C a a
       
3
2
C
P

2
3
C P
 0.471P

C 45° 
2 1
0:
3 2
x x
F A P
 
    
 
  3
x
P
A 
2 1 2
0:
3 3
2
y y y
P
F A P P A
 
    
 
 
 
0.745P

A 63.4° 
(b) 0: ( cos 30 )2 ( sin 30 ) 0
       
C
M Pa A a A a
(1.732 0.5) 0.812
A P A P
  
0.812P

A 60.0° 
0: (0.812 )sin30 0
x x
F P C
     0.406
x
C P
 
0: (0.812 )cos30 0
y y
F P P C
      0.297
y
C P
 
0.503P

C 36.2° 
www.elsolucionario.org
Copyright © McGraw-Hill Education. Permission required for reproduction or display.
PROBLEM 4.153 (Continued)
(c) 0: ( cos30 )2 ( sin30 ) 0
C
M Pa A a A a
       
(1.732 0.5) 0.448
A P A P
  
0.448P

A 60.0° 
0: (0.448 )sin30 0 0.224
x x x
F P C C P
      
0: (0.448 )cos30 0 0.612
y y y
F P P C C P
      
0.652P

C 69.9° 

(d) Force T exerted by wire and reactions A and C all intersect at Point D.
0: 0
D a
M P
  
Equilibrium is not maintained.
Rod is improperly constrained. 
www.elsolucionario.org
Copyright © McGraw-Hill Education. Permission required for reproduction or display.
PROBLEM 4.F1
Two crates, each of mass 350 kg, are placed as shown in
the bed of a 1400-kg pick-up truck. Draw the free-body
diagram needed to determine the reactions at each of the
two rear wheels A and front wheels B.
SOLUTION
Free-Body Diagram of Truck:

Weights:
2
(350 kg)(9.81 m/s ) 3.4335 N
W  
2
(1400 kg)(9.81 m/s ) 13.734 N
T
W  



www.elsolucionario.org
Copyright © McGraw-Hill Education. Permission required for reproduction or display.
PROBLEM 4.F2
A lever AB is hinged at C and attached to a control cable at A.
If the lever is subjected to a 75-lb vertical force at B, draw the
free-body diagram needed to determine the tension in the cable
and the reaction at C.
SOLUTION
Free-Body Diagram of Lever AB:

Geometry:

1 1
(10 in.)cos20 9.3969 in.
(10 in.)sin 20 3.4202 in.
12 in. 3.4202 in. 8.5798 in.
8.5798 in.
= tan tan 42.398
9.3969 in.
90 20 42.398 27.602
AC
AC
AD
AD
AC
x
y
y
y
x


 
 
 
  
   
 
   
 
 
   



   

www.elsolucionario.org
Copyright © McGraw-Hill Education. Permission required for reproduction or display.
PROBLEM 4.F3
A light rod AD is supported by frictionless pegs at B and C and
rests against a frictionless wall at A. A vertical 120-lb force is
applied at D. Draw the free-body diagram needed to determine
the reactions at A, B, and C.
SOLUTION
Free-Body Diagram of Rod AD:


www.elsolucionario.org
Copyright © McGraw-Hill Education. Permission required for reproduction or display.
PROBLEM 4.F4
A tension of 20 N is maintained in a tape as it passes
through the support system shown. Knowing that the
radius of each pulley is 10 mm, draw the free-body
diagram needed to determine the reaction at C.
SOLUTION
Free-Body Diagram of Support System:

www.elsolucionario.org
Copyright © McGraw-Hill Education. Permission required for reproduction or display.
PROBLEM 4.F5
Two tape spools are attached to an axle supported by
bearings at A and D. The radius of spool B is 1.5 in. and
the radius of spool C is 2 in. Knowing that TB = 20 lb and
that the system rotates at a constant rate, draw the free-
body diagram needed to determine the reactions at A and
D. Assume that the bearing at A does not exert any axial
thrust and neglect the weights of the spools and axle.
SOLUTION
Free-Body Diagram of Axle-Spool System:

www.elsolucionario.org
Copyright © McGraw-Hill Education. Permission required for reproduction or display.
PROBLEM 4.F6
A 12-m pole supports a horizontal cable CD and is held by a
ball and socket at A and two cables BE and BF. Knowing that
the tension in cable CD is 14 kN and assuming that CD is
parallel to the x axis ( = 0), draw the free-body diagram
needed to determine the tension in cables BE and BF and the
reaction at A.
SOLUTION
Free-Body Diagram of Pole:

www.elsolucionario.org
Copyright © McGraw-Hill Education. Permission required for reproduction or display.
PROBLEM 4.F7
A 20-kg cover for a roof opening is hinged at corners A
and B. The roof forms an angle of 30 with the
horizontal, and the cover is maintained in a horizontal
position by the brace CE. Draw the free-body diagram
needed to determine the magnitude of the force exerted
by the brace and the reactions at the hinges. Assume that
the hinge at A does not exert any axial thrust.
SOLUTION
Geometry of Brace CE:

Free-Body Diagram of Brace CE:

Cover Weight: 2
(20 kg)(9.81 m/s ) 196.2 N
W  


www.elsolucionario.org
CHAPTER 5
www.elsolucionario.org
www.elsolucionario.org
Copyright © McGraw-Hill Education. Permission required for reproduction or display.
PROBLEM 5.1
Locate the centroid of the plane area shown.
SOLUTION
Area 1: Rectangle 72 mm by 45 mm.
Area 2: Triangle b = 27 mm, h = 45 mm.
2
, mm
A , mm
x , mm
y 3
,mm
xA 3
,mm
yA
1 3240 36 22.5 116,640 72,900
2 -607.5 9 215 -5467.5 -9112.5
 2632.5 11,172.5 63,787.5
X A x A
 
2 3
(2632.5 mm ) 11,172.5 mm
X  42.2 mm
X  
Y A y A
  
2 3
(2632.5 mm ) 63787.5 mm
Y  24.2 mm
Y  

www.elsolucionario.org
Copyright © McGraw-Hill Education. Permission required for reproduction or display.
PROBLEM 5.2
Locate the centroid of the plane area shown.
SOLUTION
2
, in
A , in.
x , in.
y 3
,in
xA 3
,in
yA
1 8 0.5 4 4 32
2 3 2.5 2.5 7.5 7.5
 11 11.5 39.5
X A x A
 
2 3
(11in ) 11.5 in
X  1.045 in.
X  
Y A y A
  
2 3
(11 in ) 39.5 in
Y  3.59 in.
Y  

www.elsolucionario.org
Copyright © McGraw-Hill Education. Permission required for reproduction or display.
PROBLEM 5.3
Locate the centroid of the plane area shown.
SOLUTION
Area 1: Rectangle 42 mm by 44 mm.
Area 2: Triangle b = 18 mm, h = 12 mm.
Area 3: Triangle b = 24 mm, h = 12 mm.
2
, mm
A , mm
x , mm
y 3
, mm
xA 3
, mm
yA
1 42 44 1848
  3 22 5544 40,656
2
1
18 12 108
2
     -12 4 1296 -432
3
1
24 12 144
2
     16 4 -2304 -576
 1596 4536 39,648
Then X A xA
  
2 3
(1596 mm ) 4536 mm
X  or 2.84 mm
X  
and Y A yA
  
2 3
(1596 mm ) 39,648 mm
Y  or 24.8 mm
Y  
www.elsolucionario.org
Copyright © McGraw-Hill Education. Permission required for reproduction or display.
PROBLEM 5.4
Locate the centroid of the plane area shown.
SOLUTION
Area 1: Triangle b = 60 mm, h = 75 mm.
Area 2: Four triangles b = 60 mm, h = 75 mm forming the diamond.
2
, mm
A , mm
x , mm
y 3
, mm
xA 3
, mm
yA
1
1
60 75 2250
2
   20 25 45,000 56,250
2
1
4 60 75 9000
2
    60 75 540,000 675,000
 11,250 585,000 731,250
Then X A xA
  
2 3
(11,250 mm ) 585,000 mm
X  or 52.0 mm
X  
and Y A yA
  
2 3
(11,250 m ) 731,250 mm
Y  or 65.0 mm
Y  
www.elsolucionario.org
Copyright © McGraw-Hill Education. Permission required for reproduction or display.
PROBLEM 5.5
Locate the centroid of the plane area shown.
SOLUTION
Area 1: Rectangle 6 in. by 4 in.
Area 2: Triangle b = 6 in., h = 3 in.
2
, in
A , in
x , in
y 3
,in
xA 3
,in
yA
1 24 3 2 72 48
2 9 4 5 36 45
 33 108 93
X A x A
 
2 3
(33in ) 108 in
X  3.27 in.
X  
Y A y A
  
2 3
(33 in ) 93 in
Y  2.82 in.
Y  

www.elsolucionario.org
Copyright © McGraw-Hill Education. Permission required for reproduction or display.
PROBLEM 5.6
Locate the centroid of the plane area shown.
SOLUTION
2
, mm
A , mm
x , mm
y 3
, mm
xA 3
, mm
yA
1 (60)(120) 7200
 –30 60 3
216 10
  3
432 10

2
2
(60) 2827.4
4

 25.465 95.435 3
72.000 10
 3
269.83 10

3
2
(60) 2827.4
4

   –25.465 25.465 3
72.000 10
 3
72.000 10
 
 7200 3
72.000 10
  3
629.83 10

Then 2 3 3
(7200 mm ) 72.000 10 mm
XA x A X
     10.00 mm
X   
2 3 3
(7200 mm ) 629.83 10 mm
YA y A Y
    87.5 mm
Y  
www.elsolucionario.org
Copyright © McGraw-Hill Education. Permission required for reproduction or display.
PROBLEM 5.7
Locate the centroid of the plane area shown.
SOLUTION
Area 1: Rectangle 16 in. by 8 in.
Area 2: Semicircle radius of 5 in.
2
, in
A , in
x , in
y 3
,in
xA 3
,in
yA
1 128 0 4 0 512
2 -39.27 0 5.878 0 -230.83
 88.73 0 281.17
X A x A
 
0 in.
X  
Y A y A
  
2 3
(88.73 in ) 281.17 in
Y  3.17 in.
Y  

www.elsolucionario.org
Copyright © McGraw-Hill Education. Permission required for reproduction or display.
PROBLEM 5.8
Locate the centroid of the plane area shown.
SOLUTION
2
, in
A , in.
x , in.
y 3
, in
xA 3
, in
yA
1
2
(38) 2268.2
2

 0 16.1277 0 36,581
2 20 16 320
   10 8 3200 2560
 1948.23 3200 34,021
Then
3
2
3200 in
1948.23 in
xA
X
A

 

1.643in.
X  
3
2
34,021 in
1948.23 in
yA
Y
A

 

17.46 in.
Y  
www.elsolucionario.org
Copyright © McGraw-Hill Education. Permission required for reproduction or display.
PROBLEM 5.9
Locate the centroid of the plane area shown.
SOLUTION
Area 1: Square 75 mm by 75 mm.
Area 2: Quarter circle radius of 75 mm.
2
, mm
A , mm
x , mm
y 3
,mm
xA 3
,mm
yA
1 75 75 5625
  37.5 37.5 210,938 210,938
2
2
75 4417.9
4

   
43.169

43.169 -190,715 
 1207.10 20,223 20,223
Then by symmetry
xA
X Y
A

 

2 3
(1207.14 mm ) 20,223 mm
X  16.75 mm
X Y
  
www.elsolucionario.org
Copyright © McGraw-Hill Education. Permission required for reproduction or display.
PROBLEM 5.10
Locate the centroid of the plane area shown.
SOLUTION
Area 1: Parabolic Spandrel, refer to fig 5.8A for centroid location.
Area 2: Rectangle 16 in. by 3 in.
2
, in.
A , in.
x , in.
y 3
, in
xA 3
, in
yA
1
1
(10)(16) 53.333
3
 12 6 640 320
2 (3)(16) 48.0
 8 1.5 384 72
 101.333 1024 392
Then XA xA
 
2 3
(101.333 in ) 1024 in
X  10.11in.
X  
2 3
(101.333 in ) 393 in
YA yA
Y
 
 3.88 in.
Y  
www.elsolucionario.org
Copyright © McGraw-Hill Education. Permission required for reproduction or display.
PROBLEM 5.11
Locate the centroid of the plane area shown.
SOLUTION
2
, mm
A , mm
x , mm
y 3
, mm
xA 3
, mm
yA
1
2
(75)(120) 6000
3
 28.125 48 168,750 288,000
2
1
(75)(60) 2250
2
   25 20 –56,250 –45,000
 3750 112,500 243,000
Then X A xA
  
2 3
(3750 mm ) 112,500 mm
X  or 30.0 mm
X  
and Y A yA
  
2 3
(3750 mm ) 243,000 mm
Y  or 64.8 mm
Y  
www.elsolucionario.org
Copyright © McGraw-Hill Education. Permission required for reproduction or display.
PROBLEM 5.12
Locate the centroid of the plane area shown.
SOLUTION
Area 1: Outer semicircle diameter 120 mm.
Area 2: Inner semicircle diameter 72 mm.
2
, mm
A , mm
x , mm
y 3
, mm
xA 3
, mm
yA
1 2
(120) 22,620
2

 -50.93 0 3
1152.04 10
  0
2
2
(72) 8143.0
2

   -30.558 0 3
248.80 10
 0
 14,477 3
903.20 10
  0
Then XA xA
 
2 3 3
(14,477 mm ) 903.20 10 mm
X    62.4 mm
X   
YA yA
  0
Y  
www.elsolucionario.org
Copyright © McGraw-Hill Education. Permission required for reproduction or display.
PROBLEM 5.13
Locate the centroid of the plane area shown.
SOLUTION
Dimensions in in.
2
, in
A , in.
x , in.
y 3
, in
xA 3
, in
yA
1
2
(4)(8) 21.333
3
 4.8 1.5 102.398 32.000
2
1
(4)(8) 16.0000
2
   5.3333 1.33333 85.333 21.333
 5.3333 17.0650 10.6670
Then X A xA
  
2 3
(5.3333in ) 17.0650 in
X  or 3.20 in.
X  
and Y A yA
  
2 3
(5.3333in ) 10.6670 in
Y  or 2.00 in.
Y  
www.elsolucionario.org
Copyright © McGraw-Hill Education. Permission required for reproduction or display.
PROBLEM 5.14
Locate the centroid of the plane area shown.
SOLUTION
First note that symmetry implies 0
X  

2
, m
A , m
y 3
, m
yA
1
4
4.5 3 18
3
   1.2 21.6
2
2
(1.8) 5.0894
2

   0.76394 3.8880
 12.9106 17.7120

Then
3
2
17.7120 m
12.9106 m
y A
Y
A

 

or 1.372 m
Y  
www.elsolucionario.org
Copyright © McGraw-Hill Education. Permission required for reproduction or display.
PROBLEM 5.15
Locate the centroid of the plane area shown.
SOLUTION
2
, mm
A , mm
x , mm
y 3
, mm
xA 3
, mm
yA
1
1
(120)(90) 5400
2
 0 30 0 162,000
2
2
(60 2) 5654.9
4

 0 9.07 0 51,290
3
1
(120)(60) 3600
2
   0 20 0 -72,000
 7454.9 0 141,290
Then XA x A
  0 mm
X  
2 3
(7454.9 mm ) 141,290 mm
YA y A Y
   18.95 mm
Y  
www.elsolucionario.org
Copyright © McGraw-Hill Education. Permission required for reproduction or display.
PROBLEM 5.16
Determine the y coordinate of the centroid of the shaded area
in terms of r1, r2, and .
SOLUTION
First, determine the location of the centroid.
From Figure 5.8A:
 
 
 
2 2
2 2 2 2
2
2
2
sin
2
3 2
2 cos
3
y r A r
r



 




  
  
 
  


Similarly,
 
2
1 1 1 1
2
2 cos
3 2
y r A r

 


 
  
 
  
Then
   
 
2 2
2 2 1 1
2 2
3 3
2 1
2 cos 2 cos
3 2 3 2
2
cos
3
yA r r r r
r r
 
   
 
 

   
   
    
   
   
 
   
   
 
and
 
2 2
2 1
2 2
2 1
2 2
2
A r r
r r
 
 


   
    
   
   
 
  
 
 
Now Y A yA
  
   
2 2 3 3
2 1 2 1
2
cos
2 3
Y r r r r

 
 
 
   
 
 
 
 
3 3
2 1
2 2
2 1
2 2cos
3 2
r r
Y
r r

 
 
  
   
  
  
 

www.elsolucionario.org
Copyright © McGraw-Hill Education. Permission required for reproduction or display.
PROBLEM 5.17
Show that as r1 approaches r2, the location of the centroid
approaches that for an arc of circle of radius 1 2
( )/2.
r r

SOLUTION
First, determine the location of the centroid.
From Figure 5.8A:
 
 
 
2 2
2 2 2 2
2
2
2
sin
2
3 2
2 cos
3
y r A r
r



 




  
  
 
  


Similarly,
 
2
1 1 1 1
2
2 cos
3 2
y r A r

 


 
  
 
  
Then
   
 
2 2
2 2 1 1
2 2
3 3
2 1
2 cos 2 cos
3 2 3 2
2
cos
3
yA r r r r
r r
 
   
 
 

   
   
    
   
   
 
   
   
 
and
 
2 2
2 1
2 2
2 1
2 2
2
A r r
r r
 
 


   
    
   
   
 
  
 
 
Now Y A yA
  
   
2 2 3 3
2 1 2 1
3 3
2 1
2 2
2 1
2
cos
2 3
2 2cos
3 2
Y r r r r
r r
Y
r r

 

 
 
 
   
 
 
 
 
 
  
   
  
  
 
www.elsolucionario.org
Copyright © McGraw-Hill Education. Permission required for reproduction or display.
PROBLEM 5.17 (Continued)
Using Figure 5.8B, Y of an arc of radius 1 2
1
( )
2
r r
 is
2
1 2
2
1 2
2
sin( )
1
( )
2 ( )
1 cos
( )
2 ( )
Y r r
r r








 

 

(1)
Now
 
2 2
3 3
2 1 2 1 2 1
2 1
2 2
2 1 2 1
2 1
2 2
2 1 2 1
2 1
( )
( )( )
r r r r r r
r r
r r r r
r r
r r r r
r r
  


 

 


Let 2
1
r r
r r
  
  
Then 1 2
1
( )
2
r r r
 
and
3 3 2 2
2 1
2 2
2 1
2 2
( ) ( )( )( )
( ) ( )
3
2
r r r r r r
r r
r r
r
r
         

    

 

In the limit as  0 (i.e., 1 2 ),
r r
 then
3 3
2 1
2 2
2 1
1 2
3
2
3 1
( )
2 2
r r
r
r r
r r



  
So that 1 2
2
2 3 cos
( )
3 4
Y r r 


  

or 1 2
cos
( )
2
Y r r

 
 


which agrees with Equation (1).
www.elsolucionario.org
Copyright © McGraw-Hill Education. Permission required for reproduction or display.
PROBLEM 5.18
Determine the x coordinate of the centroid of the trapezoid shown in
terms of h1, h2, and a.
SOLUTION
Area 1:
A x xA
1 1
1
2
h a
1
3
a 2
1
1
6
h a
2 2
1
2
h a
2
3
a 2
2
2
6
h a
 1 2
1
( )
2
a h h

2
1 2
1
( 2 )
6
a h h

2
1
1 2
6
1
1 2
2
( 2 )
( )
a h h
x A
X
A a h h


 
 
1 2
1 2
2
3
h h
a
X
h h

 
   
 

www.elsolucionario.org
Copyright © McGraw-Hill Education. Permission required for reproduction or display.
PROBLEM 5.19
For the semiannular area of Prob. 5.12, determine the ratio r1 to r2 so that the centroid
of the area is located at x = 2
1
2
r
 and y = 0.
SOLUTION
First, determine the location of the centroid.
2 2
4
3
x r

 
Similarly, 1 1
4
3
x r

 
 
2 2
2 1
2
A r r

  
Then
 
2 2
2 1
2 1
3 3
2 1
4 4
2 3 2 3
2
3
r r
xA r r
r r
 
 
 
   
  
   
   
  
Now X A xA
  
     
   
2 2 3 3
2 1 2 1 2 1
2 2
2 1 2 2 1 1
2 2
2 2 1 1
2 1
2
; Dividing by
2 3
2
(1)
2 3
4
3
X r r r r r r
X r r r r r r
r r r r
X
r r



 
    
 
 
 
    
 
 
 
 
 
   
  

  
By symmetry, 0
Y 
www.elsolucionario.org
Copyright © McGraw-Hill Education. Permission required for reproduction or display.
PROBLEM 5.19 (Continued)
Now substituting for 2
1
2
X r
  in equation (1) gives.
  2 2
2 2 1 2 1 2 1
1 2
( r )
2 2 3
r r r r r r

  
     
  
  
(1)
Dividing through by 2 and 2/3,
r

2
1 1 1
2 2 2
3
1 1
2 4
r r r
r r r
    
  
   
   
  
     
Then
2
1 1
2 2
0.1781 0.1781 0
r r
r r
   
  
   
   
Solving the quadratic yields, 1
2
0.520
r
r
 

 
 

www.elsolucionario.org
Copyright © McGraw-Hill Education. Permission required for reproduction or display.
PROBLEM 5.20
A composite beam is constructed by bolting
four plates to four 60  60  12-mm angles as
shown. The bolts are equally spaced along the
beam, and the beam supports a vertical load.
As proved in mechanics of materials, the
shearing forces exerted on the bolts at A and B
are proportional to the first moments with
respect to the centroidal x-axis of the red-
shaded areas shown, respectively, in parts a
and b of the figure. Knowing that the force
exerted on the bolt at A is 280 N, determine
the force exerted on the bolt at B.
SOLUTION
From the problem statement, F is proportional to .
x
Q
Therefore,
( )
, or
( ) ( ) ( )
x B
A B
B A
x A x B x A
Q
F F
F F
Q Q Q
 
For the first moments,
3
3
12
( ) 225 (300 12)
2
831,600 mm
12
( ) ( ) 2 225 (48 12) 2(225 30)(12 60)
2
1,364,688 mm
x A
x B x
Q
Q Q A
 
  
 
 

 
      
 
 

Then
1,364,688
(280 N)
831,600
B
F  or 459 N
B
F  
www.elsolucionario.org
Copyright © McGraw-Hill Education. Permission required for reproduction or display.
PROBLEM 5.21
The horizontal x-axis is drawn through the centroid C of the area shown,
and it divides the area into two component areas A1 and A2. Determine the
first moment of each component area with respect to the x-axis, and
explain the results obtained.
SOLUTION
Length of BD:
0.84in.
0.48 in. (1.44 in. 0.48 in.) 0.48 0.56 1.04 in.
0.84 in. 0.60 in.
BD      

Area above x-axis (consider two triangular areas):
1
3 3
1 1
(0.28 in.) (0.84 in.)(1.04 in.) (0.56 in.) (0.84 in.)(0.48 in.)
2 2
0.122304 in 0.112896 in
A
Q y
   
   
   
   
 
3
1 0.235 in
Q  
Area below x-axis:
2
3 3
1 1
(0.40 in.) (0.60 in.)(1.44 in.) (0.20 in.) (0.60 in.)
2 2
0.1728 in 0.0624 in
Q yA
   
    
   
   
  
3
2 0.235 in
Q   
2
| | | |,
Q Q
 since C is centroid and thus, 0
Q y A
  
www.elsolucionario.org
Copyright © McGraw-Hill Education. Permission required for reproduction or display.
PROBLEM 5.22
The horizontal x-axis is drawn through the centroid C of the area shown,
and it divides the area into two component areas A1 and A2. Determine the
first moment of each component area with respect to the x-axis, and
explain the results obtained.
SOLUTION
Area above x-axis (Area A1):
1
3 3
(25)(20 80) (7.5)(15 20)
40 10 2.25 10
Q y A
     
   
3 3
1 42.3 10 mm
Q   
Area below x-axis (Area A2):
2 ( 32.5)(65 20)
Q y A
     3 3
2 42.3 10 mm
Q    
1 2
| | | |,
Q Q
 since C is centroid and thus, 0
Q y A
   
Dimensions in mm
www.elsolucionario.org
Copyright © McGraw-Hill Education. Permission required for reproduction or display.
PROBLEM 5.23
The first moment of the shaded area with respect to the x-axis is denoted by
Qx. (a) Express Qx in terms of b, c, and the distance y from the base of the
shaded area to the x-axis. (b) For what value of y is x
Q maximum, and what is
that maximum value?
SOLUTION
Shaded area:
( )
1
( )[ ( )]
2
x
A b c y
Q yA
c y b c y
 

  
(a) 2 2
1
( )
2
x
Q b c y
  
(b) For max,
Q
1
0 or ( 2 ) 0
2
dQ
b y
dy
   0
y  
For 0,
y  2
1
( )
2
x
Q bc
 2
1
( )
2
x
Q bc
 
www.elsolucionario.org
Copyright © McGraw-Hill Education. Permission required for reproduction or display.
PROBLEM 5.24
A thin, homogeneous wire is bent to form the perimeter of the figure indicated.
Locate the center of gravity of the wire figure thus formed.
SOLUTION
, mm
L , mm
x , mm
y 2
,mm
xL 2
,mm
yL
1 45 49.5 0 2227.5 0
2 45 72 22.5 3240 1012.5
3 72 36 45 2592 3240
4 52.479 13.5 22.5 708.47 1180.78
 2632.5 8768.0 5433.3
X L x L
 
2
(214.479 mm) 8768.0 mm
X  40.9 mm
X  
Y L yL
  
2
(214.479 mm) 5433.3 mm
Y  25.3 mm
Y  

www.elsolucionario.org
Copyright © McGraw-Hill Education. Permission required for reproduction or display.
PROBLEM 5.25
A thin, homogeneous wire is bent to form the perimeter of the figure
indicated. Locate the center of gravity of the wire figure thus formed.
SOLUTION
L, mm , mm
x , mm
y 2
, mm
xL 2
, mm
yL
1 2 2
24 12 26.833
  12  322 
2 32 24 28 768 896
3 42 3 44 126 1848
4 32 18 28 576 896
5 2 2
18 12 21.633
  9 6 194.697 129.798
 154.466   3930.8
Then X L x L
  
(154.466) 445.30
X  or 2.88 mm
X  
Y L y L
  
(154.466) 3930.8
Y  or 25.4 mm
Y  
www.elsolucionario.org
Copyright © McGraw-Hill Education. Permission required for reproduction or display.
PROBLEM 5.26
A thin, homogeneous wire is bent to form the perimeter of the figure indicated.
Locate the center of gravity of the wire figure thus formed.
SOLUTION
L, in. , in.
x , in.
y 2
, in
xL 2
, in
yL
1 4 0 2 0 8
2 2 2
3 6 6.7082
  3 5.5 20.125 36.894
3 7 6 3.5 42 24.5
4 6 3 0 18 0
 23.708 80.125 69.394
Then (23.708) 80.125
X L x L X
    3.38 in.
X  
(23.708) 69.394
Y L y L Y
    2.93 in.
Y  
www.elsolucionario.org
Copyright © McGraw-Hill Education. Permission required for reproduction or display.
PROBLEM 5.27
A thin, homogeneous wire is bent to form the perimeter of the
figure indicated. Locate the center of gravity of the wire figure
thus formed.
SOLUTION
First note that because the wire is homogeneous, its center of gravity will coincide with the centroid of
the corresponding line.
6
2
(38 in.)
Y


, in.
L , in.
x , in.
y 2
, in.
xL 2
, in.
yL
1 18 –29 0 –522 0
2 16 –20 8 –320 128
3 20 –10 16 –200 320
4 16 0 8 0 128
5 38 19 0 722 0
6 (38) 119.381
  0 24.192 0 2888.1
 227.38 –320 3464.1
Then
320
227.38
x L
X
L
 
 

1.407 in.
X   
3464.1
227.38
yL
Y
L

 

15.23 in.
Y  
www.elsolucionario.org
Copyright © McGraw-Hill Education. Permission required for reproduction or display.
PROBLEM 5.28
The homogeneous wire ABC is bent into a semicircular arc and a straight
section as shown and is attached to a hinge at A. Determine the value of  for
which the wire is in equilibrium for the indicated position.
SOLUTION
First note that for equilibrium, the center of gravity of the wire must lie on a vertical line through A.
Further, because the wire is homogeneous, its center of gravity will coincide with the centroid of the
corresponding line. Thus,
0
X 
so that 0
x L
 
Then
1 2
cos ( ) cos ( ) 0
2
r
r r r r
  

   
   
   
   
or
4
cos
1 2
0.54921





or 56.7
   
www.elsolucionario.org
Copyright © McGraw-Hill Education. Permission required for reproduction or display.
PROBLEM 5.29
The frame for a sign is fabricated from thin, flat steel bar stock of mass
per unit length 4.73 kg/m. The frame is supported by a pin at C and by a
cable AB. Determine (a) the tension in the cable, (b) the reaction at C.
SOLUTION
First note that because the frame is fabricated from uniform bar stock, its center of gravity will coincide
with the centroid of the corresponding line.
L, m , m
x 2
, m
xL
1 1.35 0.675 0.91125
2 0.6 0.3 0.18
3 0.75 0 0
4 0.75 0.2 0.15
5 (0.75) 1.17810
2

 1.07746 1.26936
 4.62810 2.5106
Then
(4.62810) 2.5106
X L x L
X
  

or 0.54247 m
X 
The free-body diagram of the frame is then
where
2
( )
4.73 kg/m 4.62810 m 9.81 m/s
214.75 N
W m L g

 
  

www.elsolucionario.org
Copyright © McGraw-Hill Education. Permission required for reproduction or display.
PROBLEM 5.29 (Continued)
Equilibrium then requires
(a)
3
0: (1.55 m) (0.54247 m)(214.75 N) 0
5
C BA
M T
 
   
 
 
or 125.264 N
BA
T  or 125.3 N
BA
T  
(b)
3
0: (125.264 N) 0
5
x x
F C
   
or 75.158 N
x 
C
4
0: (125.264 N) (214.75 N) 0
5
y y
F C
    
or 114.539 N
y 
C
Then 137.0 N

C 56.7° 
www.elsolucionario.org
Copyright © McGraw-Hill Education. Permission required for reproduction or display.
PROBLEM 5.30
The homogeneous wire ABCD is bent as shown and is attached to
a hinge at C. Determine the length L for which portion BCD of the
wire is horizontal.
SOLUTION
First note that for equilibrium, the center of gravity of the wire must lie on a vertical line through C.
Further, because the wire is homogeneous, the center of gravity of the wire will coincide with the
centroid of the corresponding line. Thus,
0

X so that 0
X L
 
Then ( 40 mm)(80 mm) ( 40 mm)(100 mm) 0
2
    
L
2 2
14,400 mm
L  120.0 mm

L 
www.elsolucionario.org
Copyright © McGraw-Hill Education. Permission required for reproduction or display.
PROBLEM 5.31
The homogeneous wire ABCD is bent as shown and is attached to
a hinge at C. Determine the length L for which portion AB of the
wire is horizontal.
SOLUTION
I II III
80 100
W w W w W Lw
  
0: (80 )(32) (100 )(14) ( )(0.4 ) 0
C
M w w Lw L
    
2
9900
L  99.5 mm
L  
www.elsolucionario.org
Copyright © McGraw-Hill Education. Permission required for reproduction or display.
PROBLEM 5.32
Determine the distance h for which the centroid of the shaded
area is as far above line BB′ as possible when (a) k  0.10,
(b) k  0.80.
SOLUTION
A y yA
1
1
2
ba
1
3
a 2
1
6
a b
2
1
( )
2
kb h

1
3
h 2
1
6
kbh

 ( )
2
b
a kh
 2 2
( )
6
b
a kh

Then
2 2
( ) ( )
2 6
Y A yA
b b
Y a kh a kh
  
 
  
 
 
or
2 2
3( )
a kh
Y
a kh



(1)
and
2 2
2
1 2 ( ) ( )( )
0
3 ( )
dY kh a kh a kh k
dh a kh
    
 

or 2 2
2 ( ) 0
h a kh a kh
    (2)
Simplifying Eq. (2) yields 2 2
2 0
kh ah a
  
www.elsolucionario.org
Copyright © McGraw-Hill Education. Permission required for reproduction or display.
PROBLEM 5.32 (Continued)
Then
2 2
2 ( 2 ) 4( )( )
2
1 1
a a k a
h
k
a
k
k
  

 
  
 
Note that only the negative root is acceptable since .
h a
 Then
(a) 0.10
k 
1 1 0.10
0.10
a
h  
  
 
or 0.513
h a
 
(b) 0.80
k 
1 1 0.80
0.80
a
h  
  
 
or 0.691
h a
 
www.elsolucionario.org
Copyright © McGraw-Hill Education. Permission required for reproduction or display.
PROBLEM 5.33
Knowing that the distance h has been selected to maximize
the distance y from line BB′ to the centroid of the shaded
area, show that 2 /3.
y h

SOLUTION
See solution to Problem 5.32 for analysis leading to the following equations:
2 2
3( )
a kh
Y
a kh



(1)
2 2
2 ( ) 0
h a kh a kh
    (2)
Rearranging Eq. (2) (which defines the value of h which maximizes )
Y yields
2 2
2 ( )
a kh h a kh
  
Then substituting into Eq. (1) (which defines ),
Y
1
2 ( )
3( )
Y h a kh
a kh
  

or
2
3
Y h
 
www.elsolucionario.org
Copyright © McGraw-Hill Education. Permission required for reproduction or display.
PROBLEM 5.34
Determine by direct integration the centroid of the area shown. Express
your answer in terms of a and h.
SOLUTION
We have
h
y x
a

and ( )
1
dA h y dx
x
h dx
a
 
 
 
 
 
1
( )
2
1
2
EL
EL
x x
y h y
h x
a

 
 
 
 
 
Then
2
0
0
1
1
2 2
a
a x x
A dA h dx h x ah
a a
 
 
     
 
 
   
 
and
2 3
2
0
0
1
1
2 3 6
a
a
EL
x x x
x dA x h dx h a h
a a
 
 
 
    
 
 
 
 
   
 
0
2 2 2 3
2
2 2
0
0
1 1
2
1
1
2 2 3
3
a
EL
a
a
h x x
y dA h dx
a a
h x h x
dx x ah
a a
 
   
  
 
   
   
 
   
    
   
 
   
 

2
1 1
:
2 6
EL
xA x dA x ah a h
 
 
 
 

2
3
x a
 
2
1 1
:
2 3
EL
y A y dA y ah ah
 
 
 
 

2
3
y h
 
www.elsolucionario.org
Copyright © McGraw-Hill Education. Permission required for reproduction or display.
PROBLEM 5.35
Determine by direct integration the centroid of the area shown.
Express your answer in terms of a and h.
SOLUTION
At ( , ),
a h 2
1 :
y h ka

or 2
h
k
a

2 :
y h ma

or
h
m
a

Now
1 2
1
( )
2
EL
EL
x x
y y y

 
and 2
2 1 2
2
2
( )
( )
h h
dA y y dx x x dx
a a
h
ax x dx
a
 
   
 
 
 
Then 2 2 3
2 2
0
0
1 1
( )
2 3 6
a
a h h a
A dA ax x dx x x ah
a a
 
     
 
 
 
and
 
2 3 4 2
2 2
0
0
2 2
1 2 2 1 2 1
1 1
( )
3 4 12
1 1
( )[( ) ]
2 2
a
a
EL
EL
h h a
x dA x ax x dx x x a h
a a
y dA y y y y dx y y dx
  
    
  
  
    
 
  
www.elsolucionario.org
Copyright © McGraw-Hill Education. Permission required for reproduction or display.
PROBLEM 5.35 (Continued)
2 2
2 4
2 4
0
2 2
3 5
4
0
2
1
2
1 1
2 3 5
1
15
a
a
h h
x x dx
a a
h a
x x
a
ah
 
 
 
 
 
 
 
 
 


2
1 1
:
6 12
EL
xA x dA x ah a h
 
 
 
 

1
2
x a
 
2
1 1
:
6 15
EL
yA y dA y ah ah
 
 
 
 

2
5
y h
 
www.elsolucionario.org
Copyright © McGraw-Hill Education. Permission required for reproduction or display.
PROBLEM 5.36
Determine by direct integration the centroid of the area shown.
Express your answer in terms of a and h.
SOLUTION
For the element (el) shown at
2 ,
x a y h
  or  2
2
h k a

2
=
4
h
k
a

el
x x

1
2
el
y y

dA ydx

2
3
2 2
2 2
0
0
Then
3
4 4
7
12
a
a
h h x
A dA x dx
a a
ah
 
    
 
 

 
2
4
2 2
2 2
2
and
4
4 4
15
16
a
a
el a
a
h h x
x dA x x dx
a a
ha
 
 
   
   
   

 
 
2 2
2
2 2
2 4
2 4
2
2 5
2
4
1
2
1
2 4 32
31
5 160
32
a
el a
a
a
a
a
y dA y dx
hx h
dx x dx
a a
h x
ah
a

 
 
 
 
 
 
 
 
 
 
 
Then 2
7 15
:
12 16
el
xA x dA x ah a h
 
 
 
 
 or 1.607
x a
 
2
7 31
:
12 160
EL
yA y dA y ah ah
 
 
 
 
 or 0.332
y h
 
www.elsolucionario.org
Copyright © McGraw-Hill Education. Permission required for reproduction or display.
PROBLEM 5.37
Determine by direct integration the centroid of the area shown.
SOLUTION
First note that symmetry implies 0
y  
EL
dA adx
x x


1
( )
2
2
cos
3
EL
dA a ad
x a




Then
2
0
2
2
0
1
2
[ ] [ ] (1 )
2





 

  
   
  
a
a
A dA adx a d
a
a x a
and
2
0
2
3
0
3
2 1
( ) cos
3 2
1
[sin ]
2 3
1 2
sin
2 3




 




 
   
 
 
 
 
 
 
 
 
 
  
a
EL
a
x dA x adx a a d
x
a a
a
2 3 1 2
: [ (1 )] sin
2 3
EL
xA x dA x a a
 
 
   
 
 
 or
3 4sin
6(1 )
x a






www.elsolucionario.org
Copyright © McGraw-Hill Education. Permission required for reproduction or display.
PROBLEM 5.38
Determine by direct integration the centroid of the area shown.
SOLUTION
First note that symmetry implies 0
x  
For the element (EL) shown
2
(Figure 5.8B)
EL
r
y
dA rdr




Then  
2
2
1
1
2
2 2
2 1
2 2
r
r
r
r
r
A dA rdr r r

 
 
    
 
 
 
 
and  
2
2
1
1
3 3 3
2 1
2 1 2
( ) 2
3 3
r
r
EL
r
r
r
y dA rdr r r r


 
   
 
 
 
So    
2 2 3 3
2 1 2 1
2
:
2 3
EL
yA y dA y r r r r

 
   
 
 
 or
3 3
2 1
2 2
2 1
4
3
r r
y
r r





www.elsolucionario.org
Copyright © McGraw-Hill Education. Permission required for reproduction or display.
PROBLEM 5.39
Determine by direct integration the centroid of the area shown.
SOLUTION
For the element (EL) shown, 2 2
b
y a x
a
 
and
 
 
2 2
2 2
( )
1
( )
2
2
EL
EL
dA b y dx
b
a a x dx
a
x x
y y b
b
a a x
a
 
  

 
  
Then
 
2 2
0
a b
A dA a a x dx
a
   
 
To integrate, let 2 2
sin : cos , cos
x a a x a dx a d
   
   
Then
/2
0
/2
2 2
0
( cos )( cos )
2
sin sin
2 4
1
4
b
A a a a d
a
b
a a
a
ab


  
 


 
 
 
  
 
 
 
 
 
 
 
 

and  
2 2
0
/2
2 2 2 3/2
0
3
1
( )
2 3
1
6
a
EL
b
x dA x a a x dx
a
b a
x a x
a
a b

 
  
 
 
 
 
  
 
 
 
 

 
www.elsolucionario.org
Copyright © McGraw-Hill Education. Permission required for reproduction or display.
PROBLEM 5.39 (Continued)
   
2 2 2 2
0
2 2 3
2
2 2
0
0
2
2
( )
3
2 2
1
6
a
EL
a
a
b b
y dA a a x a a x dx
a a
b b x
x dx
a a
ab
 
    
 
 
 
   
 
 

 

2
1
: 1
4 6
EL
xA x dA x ab a b

 
 
  
 
 
 
 

2
or
3(4 )
a
x




2
1
: 1
4 6
EL
yA y dA y ab ab

 
 
  
 
 
 
 

2
or
3(4 )
b
y




www.elsolucionario.org
Copyright © McGraw-Hill Education. Permission required for reproduction or display.
PROBLEM 5.40
Determine by direct integration the centroid of the area shown. Express
your answer in terms of a and b.
SOLUTION
At
2
2
0,
(0 ) or
x y b
b
b k a k
a
 
  
Then
2
2
( )
b
y x a
a
 
Now
2
2
( )
2 2
EL
EL
x x
y b
y x a
a

  
and
2
2
( )
b
dA ydx x a dx
a
  
Then  
3
2
2 2
0 0
1
( )
3
3
a
a b b
A dA x a dx x a ab
a a
 
     
 
 
and  
2 3 2 2
2 2
0 0
4 2
3 2 2
2
2
2 2 5
2 2 4
0
0
2
( ) 2
2 1
4 3 2 12
1
( ) ( ) ( )
5
2 2
1
10
a a
EL
a
a
EL
b b
x dA x x a dx x ax a x dx
a a
b x a
ax x a b
a
b b b
y dA x a x a dx x a
a a a
ab
 
    
 
 
 
   
 
 
 
   
    
   
   

  
 
Hence 2
1 1
:
3 12
EL
xA x dA x ab a b
 
 
 
 

1
4
x a
 
2
1 1
:
3 10
EL
yA y dA y ab ab
 
 
 
 

3
10
y b
 
www.elsolucionario.org
Copyright © McGraw-Hill Education. Permission required for reproduction or display.
PROBLEM 5.41
Determine by direct integration the centroid of the area shown. Express
your answer in terms of a and b.
SOLUTION
2 2 2
1 1 1 1 2
3 3 3
2 2 2 2 3
3
2
2 1 2
1 2
3
2
2
but
but
( )
1
( )
2
2
EL
EL
b
y k x b k a y x
a
b
y k x b k a y x
a
b x
dA y y dx x dx
a
a
x x
y y y
b x
x
a
a
  
  
 
   
 
 
 

 
 
 
 
 
 
3
2
2 0
3 4
2
0
3
2
2
0
4
3
2 0
4 5
2
0
2
3 4
1
12
4 5
1
20
a
a
a
EL
a
a
b x
A dA x dx
a
a
b x x
a
a
ba
b x
x dA x x dx
a
a
b x
x dx
a
a
b x x
a
a
a b
 
  
 
 
 
 
 
 
 

 
 
 
 
 
 
 
 
 
 
 
 
 
 

 
 

www.elsolucionario.org
Copyright © McGraw-Hill Education. Permission required for reproduction or display.
PROBLEM 5.41 (Continued)
3 3
2 2
2 2
0
2 6
4
4 2
0
2 5 7
2
4 2
0
2
2
1
5 35
2 7
a
EL
a
a
b x b x
y dA x x dx
a a
a a
b x
x dx
a a
b x x
ab
a a
   
  
   
   
   
 
 
 
 
 
 
  
 
 
 

2
1 1
:
12 20
EL
xA x dA x ba a b
 
 
 
 

3
5
x a
 
2
1 1
:
12 35
EL
yA y dA y ba ab
 
 
 
 

12
35
y b
 
www.elsolucionario.org
Copyright © McGraw-Hill Education. Permission required for reproduction or display.
PROBLEM 5.42
Determine by direct integration the centroid of the area shown.
SOLUTION
We have
2
2
2
2
1
1
2 2
1
EL
EL
x x
a x x
y y
L L
x x
dA y dx a dx
L L

 
   
 
 
 
 
   
 
 
 
Then
2
2 2 3
2
2 2
0
0
1
2 3
8
3
L
L x x x x
A dA a dx a x
L L
L L
aL
   
      
   
 
   

 
and
2
2 2 3 4
2
2 2
0
0
2
1
2 3 4
10
3
L
L
EL
x x x x x
x dA x a dx a
L L
L L
aL
 
   
     
 
   
 
 
   
 

 
2 2
2
2 2
0
2 2 3 4
2 3 4
0
2
2 2 3 4 5
2 3 4
0
2
1 1
2
1 2 3 2
2
2 2 5
11
5
L
EL
EL
L
a x x x x
y dA a dx
L L
L L
a x x x x
dx
L L L L
a x x x x
x
L L L L
a L
 
   
    
 
   
   
 
   
 
 
    
 
 
 
 
    
 
 

 

Hence, 2
8 10
:
3 3
EL
xA x dA x aL aL
 
 
 
 

5
4
x L
 
2
1 11
:
8 5
EL
yA y dA y a a
 
 
 
 

33
40
y a
 
www.elsolucionario.org
Copyright © McGraw-Hill Education. Permission required for reproduction or display.
PROBLEM 5.43
Determine by direct integration the centroid of the area shown. Express
your answer in terms of a and b.
SOLUTION
For y2 at ,
x a
 2
2
, , or
a
y b a kb k
b
  
Then 1/2
2
b
y x
a

Now EL
x x

and for 0 ,
2
a
x
 
1/2
2
1/2
2
2 2
EL
y b x
y
a
x
dA y dx b dx
a
 
 
For ,
2
a
x a
 
1/2
1 2
1 1
( )
2 2 2
EL
b x x
y y y
a a
 
    
 
 
 
1/2
2 1
1
( )
2
x x
dA y y dx b dx
a
a
 
    
 
 
 
Then
1/2 1/2
/2
0 /2
1
2
a a
a
x x x
A dA b dx b dx
a
a a
 
    
 
 
 
  
/2 3/2 2
3/2
0 /2
3/2 3/2
3/2
2
2
2 2 1
3 3 2 2
2
( )
3 2 2
1 1
( ) ( )
2 2 2 2
13
24
a
a
a
b x x
x b x
a
a a
b a a
a
a
a a
b a a
a
ab
 
 
   
 
 
   
 
   
  
 
   
   
 
 
 
   
 
   
    
 
 
 
   
   
   
 
 
 

www.elsolucionario.org
Copyright © McGraw-Hill Education. Permission required for reproduction or display.
PROBLEM 5.43 (Continued)
and
1/2 1/2
/2
0 /2
1
2
a a
EL
a
x x x
x dA x b dx x b dx
a
a a
 
   
   
 
   
   
 
   
 
  
/2 5/2 3 4
5/2
0 /2
5/2 5/2
5/2
3 2
3 2
2
2 2
5 5 3 4
2
( )
5 2 2
1 1
( ) ( )
3 2 4 2
71
240
a
a
a
b x x x
x b
a
a a
b a a
a
a
a a
b a a
a
a b
 
 
   
 
 
   
 
   
  
 
   
   
 
 
 
   
 
   
    
   
 
   
   
   
 
   
 

1/2 1/2
/2
0
1/2 1/2
/2
/2 3
2 2 2
2
0
/2
2 2 2
2
2
1 1
2 2 2
1 1 1
2 2 2 2 3 2
1
( )
4 2 2 6 2 2
a
EL
a
a
a
a
a
b x x
y dA b dx
a a
b x x x x
b dx
a a
a a
b b x x
x
a a a a
b a a b a
a
a a
 
  
 
 
   
    
 
   
   
 
   
 
 
 
   
 
 
   
 
   
 
   
 
 
 
    
    
 
   
   
 
 
 

3
2
11
48
ab

 
 

Hence, 2
13 71
:
24 240
EL
xA x dA x ab a b
 
 
 
 

17
130
x a
 
2
13 11
:
24 48
EL
yA y dA y ab ab
 
 
 
 

11
26
y b
 
www.elsolucionario.org
Copyright © McGraw-Hill Education. Permission required for reproduction or display.
PROBLEM 5.44
Determine by direct integration the centroid of the area shown.
Express your answer in terms of a and b.
SOLUTION
For y1 at ,
x a
 2
2
2
2 , 2 , or
b
y b b ka k
a
  
Then 2
1 2
2b
y x
a

By observation, 2 ( 2 ) 2
b x
y x b b
a a
 
    
 
 
Now EL
x x

and for 0 ,
x a
  2 2
1 1
2 2
1 2
and
2
EL
b b
y y x dA y dx x dx
a a
   
For 2 ,
a x a
  2 2
1
2 and 2
2 2
EL
b x x
y y dA y dx b dx
a a
   
     
   
   
Then
2
2
2
0
2
2
3
2
0 0
2
2
2 7
2
3 2 6
a a
a
a
a
b x
A dA x dx b dx
a
a
b x a x
b ab
a
a
 
   
 
 
 
   
    
 
   
 
 
   
  
and
2
2
2
0
2
4 3
2
2
0 0
2 2 2 2 3
2
2
2
2
4 3
1 1
(2 ) ( ) (2 ) ( )
2 3
7
6
a a
EL
a
a a
b x
x dA x x dx x b dx
a
a
b x x
b x
a
a
a b b a a a a
a
a b
 
   
  
 
   
   
 
   
  
   
   
 
   
    
 
   
 

  
www.elsolucionario.org
Copyright © McGraw-Hill Education. Permission required for reproduction or display.
PROBLEM 5.44 (Continued)
2
2 2
2 2
0 0
2
3
2 5 2
4
0
2
2
2 2
2
2
2
5 2 3
17
30
a a
EL
a
a
a
b b b x x
y dA x x dx b dx
a a
a a
b x b a x
a
a
ab
 
     
   
 
   
 
     
 
 
   
   
 
   
 
 
   

  
Hence, 2
7 7
:
6 6
EL
xA x dA x ab a b
 
 
 
 
 x a
 
2
7 17
:
6 30
EL
yA y dA y ab ab
 
 
 
 

17
35
y b
 
www.elsolucionario.org
Copyright © McGraw-Hill Education. Permission required for reproduction or display.
PROBLEM 5.45
A homogeneous wire is bent into the shape shown. Determine by direct
integration the x coordinate of its centroid.
SOLUTION
First note that because the wire is homogeneous, its center of gravity coincides with the centroid of the
corresponding line.
Now 3 2 2
cos and
EL
x a dL dx dy

  
where
3 2
3 2
cos : 3 cos sin
sin : 3 sin cos
x a dx a d
y a dy a d
   
   
  
 
Then 2 2 2 2 1/2
2 2 1/2
/2
/2
2
0
0
[( 3 cos sin ) (3 sin cos ) ]
3 cos sin (cos sin )
3 cos sin
1
3 cos sin 3 sin
2
3
2
dL a d a d
a d
a d
L dL a d a
a


     
    
  
   
  
 

 
    
 

 
and
/2
3
0
/2
2 5 2
0
cos (3 cos sin )
1 3
3 cos
5 5
EL
x dL a a d
a a


   


 
  
 
 
 
Hence, 2
3 3
:
2 5
EL
xL x dL x a a
 
 
 
 

2
5
x a
 
Alternative Solution:
2/3
3 2
2/3
3 2
cos cos
sin sin
x
x a
a
y
y a
a
 
 
 
    
 
 
    
 
www.elsolucionario.org
Copyright © McGraw-Hill Education. Permission required for reproduction or display.
PROBLEM 5.45 (Continued)
2/3 2/3
2/3 2/3 3/2
1 or ( )
x y
y a x
a a
   
   
   
   
Then 2/3 2/3 1/2 1/3
( ) ( )
dy
a x x
dx

  
Now EL
x x

and
 
2
1/2
2
2/3 2/3 1/2 1/3
1
1 ( ) ( )
dy
dL
dx
dx a x x dx

 
   
 
 
   
 
Then
1/3
1/3 2/3
1/3
0
0
3 3
2 2
a
a a
L dL dx a x a
x
 
   
 
 
 
and
1/3
1/3 5/3 2
1/3
0
0
3 3
5 5
a
a
EL
a
x dL x dx a x a
x
   
  
   
   
 
 
Hence 2
3 3
:
2 5
EL
xL x dL x a a
 
 
 
 

2
5
x a
 
www.elsolucionario.org
Copyright © McGraw-Hill Education. Permission required for reproduction or display.
PROBLEM 5.46
A homogeneous wire is bent into the shape shown. Determine by direct
integration the x coordinate of its centroid.
SOLUTION
First note that because the wire is homogeneous, its center of gravity coincides with the centroid of the
corresponding line.
Now cos and
EL
x r dL rd
 
 
Then
7 /4
7 /4
/4
/4
3
[ ]
2
L dL r d r r




  
   
 
and
7 /4
/4
7 /4
2
/4
2
2
cos ( )
[sin ]
1 1
2 2
2
EL
x dL r rd
r
r
r




 



 
  
 
 
 
 
Thus 2
3
: 2
2
xL xdL x r r

 
  
 
 

2 2
3
x r

  
www.elsolucionario.org
Copyright © McGraw-Hill Education. Permission required for reproduction or display.
PROBLEM 5.47*
A homogeneous wire is bent into the shape shown. Determine by direct
integration the x coordinate of its centroid. Express your answer in terms of a.
SOLUTION
First note that because the wire is homogeneous, its center of gravity will coincide with the centroid of the
corresponding line.
We have at ,
x a
 3/2 1
, , or
y a a ka k
a
  
Then 3/2
1
y x
a

and 1/2
3
2
dy
x
dx a

Now EL
x x

and
2
1/2
2
1/2
1
3
1
2
1
4 9
2
dy
dL dx
dx
x dx
a
a x dx
a
 
   
 
 
 
 
   
 
 
 
 
Then
0
3/2
0
3/2
1
4 9
2
1 2 1
(4 9 )
3 9
2
[(13) 8]
27
1.43971
a
a
L dL a x dx
a
a x
a
a
a
  
 
  
 
 
 

 
and
0
1
4 9
2
a
EL
x dL x a x dx
a
 
 
 
 
 
www.elsolucionario.org
Copyright © McGraw-Hill Education. Permission required for reproduction or display.
PROBLEM 5.47* (Continued)
Use integration by parts with
3/2
4 9
2
(4 9 )
27
u x dv a x dx
du dx v a x
  
  
Then 3/2 3/2
0
0
3/2
2 5/2
0
2
3/2 5/2
2
1 2 2
(4 9 ) (4 9 )
27 27
2
(13) 1 2
(4 9 )
27 45
27
2
(13) [(13) 32]
27 45
0.78566
a
a
EL
a
x dL x a x a x dx
a
a a x
a
a
a
 
 
 
    
 
 
 
 
 
 
  
 
 
 
  
 
 

 
2
: (1.43971 ) 0.78566
EL
xL x dL x a a
 
 or 0.546
x a
 
www.elsolucionario.org
Copyright © McGraw-Hill Education. Permission required for reproduction or display.
PROBLEM 5.48*
Determine by direct integration the centroid of the area shown.
SOLUTION
We have
2 2
cos cos
3 3
2 2
sin sin
3 3
EL
EL
x r ae
y r ae


 
 
 
 
and 2 2
1 1
( )( )
2 2
dA r rd a e d

 
 
Then 2 2 2 2
0
0
2 2
2
1 1 1
2 2 2
1
( 1)
4
133.623
A dA a e d a e
a e
a


 


 
    
 
 

 
and 2 2
0
3 3
0
2 1
cos
3 2
1
cos
3
EL
x dA ae a e d
a e d

 


 
 
 
  
 

 

To proceed, use integration by parts, with
3
u e 
 and 3
3
du e d



cos
dv d
 
 and sin
v 

Then 3 3 3
cos sin sin (3 )
e d e e d
  
    
 
 
Now let 3
u e 
 then 3
3
du e d



sin ,
dv d
 
 then cos
v 
 
Then 3 3 3 3
cos sin 3 cos ( cos )(3 )
e d e e e d
   
     
 
    
 
 
 
www.elsolucionario.org
Copyright © McGraw-Hill Education. Permission required for reproduction or display.
PROBLEM 5.48* (Continued)
so that
3
3
3
3
0
3
3 3
cos (sin 3cos )
10
1
(sin 3cos )
3 10
( 3 3) 1239.26
30
EL
e
e d
e
x dA a
a
e a





   
 
 
 
 
 
 
    


Also, 2 2
0
3 3
0
2 1
sin
3 2
1
sin
3
EL
y dA ae a e d
a e d

 


 
 
 
  
 

 

Use integration by parts, as above, with
3
u e 
 and 3
3
du e d



sin
dv d
 
  and cos
v 
 
Then 3 3 3
sin cos ( cos )(3 )
e d e e d
  
    
   
 
so that
3
3
3
3
0
3
3 3
sin ( cos 3sin )
10
1
( cos 3sin )
3 10
( 1) 413.09
30
EL
e
e d
e
y dA a
a
e a





   
 
  
 
  
 
 
  


Hence, 2 3
: (133.623 ) 1239.26
EL
xA x dA x a a
  
 or 9.27
x a
  
2 3
: (133.623 ) 413.09
EL
yA y dA y a a
 
 or 3.09
y a
 
www.elsolucionario.org
Copyright © McGraw-Hill Education. Permission required for reproduction or display.
PROBLEM 5.49*
Determine by direct integration the centroid of the area shown.
SOLUTION
/2 /2
0 0
/2
0
sin
1
, ,
2
sin
cos
EL EL
L L
L
x
y a
L
x x y y dA y dx
x
A y dx a dx
L
L x aL
A a
L



 

  
 
 
 
  
 
 
 
 
 
/2 /2
0 0
sin
L L
EL
x
x dA xydx xa dx
L

 
  
Setting ,
x
u
L

 we have ,
L
x u

 ,
L
dx du


2
/2 /2
0 0
sin sin
EL
L L L
x dA u a u du a u x du
 
  
     
 
     
     
  
Integrating by parts,
2 2
/2
/2
0 2
0
2
/2 /2 /2
2 2 2 2
0 0 0
/2
2 2
/2
2
2 0
0
[ cos ] cos
1 1
sin sin
2 2 2
1 1 1
(1 cos2 ) sin 2
2 4 2 8
2
EL
L L
EL
L aL
x dA a u u u du
x a L
y dA y dx a dx u du
L
a L a L
u du u u a L





 




   
   
 
 
 
 
  
 
    
 
 
 
   

2
2
:
 
 
 
 
 
 EL
aL aL
xA x dA x


L
x 
2
1
:
8

 
 
 
 
 EL
aL
yA y dA y a L
8


y a 
www.elsolucionario.org
Copyright © McGraw-Hill Education. Permission required for reproduction or display.
PROBLEM 5.50
Determine the centroid of the area shown in terms of a.
SOLUTION
We have
1 1 1
1
2 2
EL
EL
x x
y y
x

 
  
 
 
and
1
1
dA ydx dx
x
 
  
 
 
Then    
1
1
1 1
0
0
ln (1 2ln )
a
a a
a
a
a
dx
A dA adx ax x a
x
      
  
and  
1
1 2 2
1
1
0
0
1 1 2 1
2 2 2
a
a a
a
EL
a
a
dx ax a
x dA xdx x x a
x a a a
  
       
 
 
  
 
1 2 2
1
2 2
1 2 0
0 0 1
1 1 1 1 1 2 1
2 2 2 2 2 2 2 2
2
a
a a
a a
EL
a a
dx a a a a
y dA y dx a dx x
x a a
x

 
        
 
 
   
Because of symmetry, computation of only one coordinate was necessary.
 
2
2 1
: 1 2ln
2
EL
a
xA x dA x a
a

  
  
2
2 1
2 1 2ln
a
x y
a a

 


www.elsolucionario.org
Copyright © McGraw-Hill Education. Permission required for reproduction or display.
PROBLEM 5.51
Determine the centroid of the area shown when a = 4 in.
SOLUTION
We have
1 1 1
1
2 2
EL
EL
x x
y y
x

 
  
 
 
and
1
1
dA ydx dx
x
 
  
 
 
Then    
1
1
1 1
0
0
ln (1 2ln )
a
a a
a
a
a
dx
A dA adx ax x a
x
      
  
and  
1
1 2 2
1
1
0
0
1 1 2 1
2 2 2
a
a a
a
EL
a
a
dx ax a
x dA xdx x x a
x a a a
  
       
 
 
  
 
1 2 2
1
2 2
1 2 0
0 0 1
1 1 1 1 1 2 1
2 2 2 2 2 2 2 2
2
a
a a
a a
EL
a a
dx a a a a
y dA y dx a dx x
x a a
x

 
        
 
 
   
Because of symmetry, computation of only one coordinate was necessary.
 
 
2
2
2 1
: 1 2ln
2
2 1
2 1 2ln
EL
a
xA x dA x a
a
a
x y
a a

  

 


Find x and y when 4 in.
a 
We have
  
2
2(4) 1
2 4 1 2ln 4
x y

 

or 1.027 in.
x y
  
www.elsolucionario.org
Copyright © McGraw-Hill Education. Permission required for reproduction or display.
PROBLEM 5.52
Determine the volume and the surface area of the solid obtained by rotating
the area of Prob. 5.1 about (a) the x axis, (b) the line x = 72 mm.
SOLUTION
From the solution of Problem 5.1, we have
2
3
3
2632.5 mm
111,172.5 mm
63,787.5 mm
A
xA
yA

 
 
Applying the theorems of Pappus-Guldinus, we have
(a) Rotation about the x-axis:
area
3
Volume 2 2
2 (63,787.5 mm )
y A yA
 

  
 or 3 3
Volume 401 10 mm
  
 
line line
2 2 3 3 4 4
2 2
Area 2 2 ( )
2 ( )
2 [(22.5) 45 (45)(72) (22.5) 27 45 ]
y L y L
y L y L y L
 


  
  
   
or 3 2
Area 34.1 10 mm
  
(b) Rotation about the line x=72 mm:
    
area
2 3
Volume 2 (72 ) 2 (72 )
2 72 mm 2632.5 mm 111,172.5 mm
x A A xA
 

    
 
 
 
or 3 3
Volume 492 10 mm
  
 
line line 1 3 4
1 1 3 3 4 4
2 2
Area 2 2 ( ) where , and are measured wrt 72 mm
2 ( )
45 72
2 [(22.5)(45) (36)(72) 27 45 ]
2
x L x L x x x x
x L x L x L
 


   
  

 
   
 
 
or 3 2
Area 41.9 10 mm
  
www.elsolucionario.org
Copyright © McGraw-Hill Education. Permission required for reproduction or display.
PROBLEM 5.53
Determine the volume and the surface area of the solid obtained by rotating the
area of Problem 5.2 about (a) the x-axis, (b) the y-axis.
SOLUTION
From the solution of Problem 5.2, we have
2
3
3
11in
11.5 in
39.5 in
A
xA
yA

 
 
Applying the theorems of Pappus-Guldinus, we have
(a) Rotation about the x-axis:
area
3
Volume 2 2
2 (39.5 in )
y A yA
 

  
 or 3
Volume 248 in
 
line line
2 2 3 3 4 4 5 5 6 6 7 7 8 8
Area 2 2 ( )
2 ( )
2 [(1)(2) (2)(3) (2.5)(1) (3)(3) (5.5)(5) (8)(1) (4)(8)]
 


  
      
      
y L y L
y L y L y L y L y L y L y L
or 2
Area 547 in
 
(b) Rotation about the y-axis:
area
3
Volume 2 2
2 (11.5 in )
x A xA
 

  
 or 3
Volume 72.3in
 
line line
1 1 2 2 3 3 4 4 5 5 6 6 7 7
Area 2 2 ( )
2 ( )
2 [(0.5)(1) (1)(2) (2.5)(3) (4)(1) (2.5)(3) (1)(5) (0.5)(1)]
x L x L
x L x L x L x L x L x L x L
 


  
      
      
or 2
Area 169.6 in
 
www.elsolucionario.org
Copyright © McGraw-Hill Education. Permission required for reproduction or display.
PROBLEM 5.54
Determine the volume and the surface area of the solid obtained by rotating the
area of Problem 5.6 about (a) the line x  60 mm, (b) the line y  120 mm.
SOLUTION
From the solution of Problem 5.6, we have
2
3 3
3 3
7200 mm
72 10 mm
629.83 10 mm
A
x A
y A

   
  
Applying the theorems of Pappus-Guldinus, we have
(a) Rotation about line 60 mm:
x  
3
Volume 2 ( 60) 2 ( 60 )
2 [ 72 10 60(7200)]
x A xA A
 

    
    6 3
Volume 2.26 10 mm
  
line line
1 1 2 2 3 3
Area 2 2 ( )
2 ( )
2(60) (60) 2(60) (60)
2 60 60 (60)(120)
2 2
x L x L
x L x L x L
 

 

 
  
  
 
     
    
 
     
     
 
where 1 2 3
, ,
x x x are measured with respect to line 60 mm.
x   3 2
Area 116.3 10 mm
  
(b) Rotation about line 120 mm:
y 
3
Volume 2 (120 ) 2 (120 )
2 [120(7200) 629.83 10 ]
y A A yA
 

   
   6 3
Volume 1.471 10 mm
  
line line
1 1 2 2 4 4
Area 2 2 ( )
2 ( )
y L y L
y L y L y L
 

  
  
where 1 2 4
, ,
y y y are measured with respect to line 120 mm.
y 
2(60) (60) 2(60) (60)
Area 2 120 (60)(120)
2 2
 

 
 
     
   
 
     
     
 
3 2
Area 116.3 10 mm
  
www.elsolucionario.org
Copyright © McGraw-Hill Education. Permission required for reproduction or display.
PROBLEM 5.55
Determine the volume and the surface area of the chain link
shown, which is made from a 6-mm-diameter bar, if R  10 mm
and L  30 mm.
SOLUTION
The area A and circumference C of the cross section of the bar are
2
and .
4
A d C d


 
Also, the semicircular ends of the link can be obtained by rotating the cross section through a horizontal
semicircular arc of radius R. Now, applying the theorems of Pappus-Guldinus, we have for the volume V,
side end
2( ) 2( )
2( ) 2( )
2( )
V V V
AL RA
L R A


 
 
 
or 2
2[30 mm (10 mm)] (6 mm)
4
V


 
   
 
3
3470 mm
 3
or 3470 mm
V  
For the area A, side end
2( ) 2( )
2( ) 2( )
2( )
A A A
CL RC
L R C


 
 
 
or 2[30 mm (10 mm)][ (6 mm)]
A  
 
2
2320 mm
 2
or 2320 mm
A  
www.elsolucionario.org
Copyright © McGraw-Hill Education. Permission required for reproduction or display.
PROBLEM 5.56
Determine the volume of the solid generated by rotating the
parabolic area shown about (a) the x-axis, (b) the axis AA.
SOLUTION
First, from Figure 5.8a, we have
4
3
2
5
A ah
y h


Applying the second theorem of Pappus-Guldinus, we have
(a) Rotation about the x-axis:
Volume 2
2 4
2
5 3
yA
h ah



  
   
  
or 2
16
Volume
15
ah

 
(b) Rotation about the line :
AA
Volume 2 (2 )
4
2 (2 )
3
a A
a ah



 
  
 
or 2
16
Volume
3
a h

 
www.elsolucionario.org
Copyright © McGraw-Hill Education. Permission required for reproduction or display.
PROBLEM 5.57
Verify that the expressions for the volumes of the first four shapes in Fig. 5.21 are correct.
SOLUTION
Following the second theorem of Pappus-Guldinus, in each case, a specific
generating area A will be rotated about the x-axis to produce the given
shape. Values of y are from Figure 5.8a.
(1) Hemisphere: the generating area is a quarter circle.
We have 2
4
2 2
3 4
a
V y A a

 

  
    
  
or 3
2
3
V a

 
(2) Semiellipsoid of revolution: the generating area is a quarter ellipse.
We have
4
2 2
3 4
a
V y A ha

 

  
    
  
or 2
2
3
V a h

 
(3) Paraboloid of revolution: the generating area is a quarter parabola.
We have
3 2
2 2
8 3
V y A a ah
 
  
    
  
or 2
1
2
V a h

 
(4) Cone: the generating area is a triangle.
We have
1
2 2
3 2
a
V y A ha
 
  
    
  
or 2
1
3
V a h

 
www.elsolucionario.org
Copyright © McGraw-Hill Education. Permission required for reproduction or display.
PROBLEM 5.58
Knowing that two equal caps have been removed from a 10-in.-diameter
wooden sphere, determine the total surface area of the remaining portion.
SOLUTION
The surface area can be generated by rotating the line shown about the y-axis. Applying the first theorem of
Pappus-Guldinus, we have
1 1 2 2
2 2
2 (2 )
A XL x L
x L x L
 

  
 
Now
4
tan
3
 
or 53.130
  
Then 2
180
5 in. sin53.130
53.130
4.3136 in.
x 

 



and 2 2 53.130 (5 in.)
180
9.2729 in.
3
2 2 in. (3 in.) (4.3136 in.)(9.2729 in.)
2
L
A


 
 
 

 

 
 
 
 
 
 
 
or 2
308 in
A  
www.elsolucionario.org
Copyright © McGraw-Hill Education. Permission required for reproduction or display.
PROBLEM 5.59
Three different drive belt profiles are to be
studied. If at any given time each belt
makes contact with one-half of the
circumference of its pulley, determine the
contact area between the belt and the
pulley for each design.
SOLUTION
Applying the first theorem of Pappus-Guldinus, the contact area C
A of a
belt is given by
C
A yL yL
 
  
where the individual lengths are the lengths of the belt cross section that
are in contact with the pulley.
(a)
1 1 2 2
[2( ) ]
0.125 0.125 in.
2 3 in. [(3 0.125) in.](0.625 in.)
2 cos20
C
A y L y L


 
 
 
 
   
   
 
 
   

   
 
 
 
or 2
8.10 in
C
A  
(b) 1 1
[2( )]
0.375 0.375 in.
2 3 0.08 in.
2 cos20
C
A y L



 
   
  
 
   

   
 
or 2
6.85 in
C
A  
(c) 1 1
[2( )]
2(0.25)
3 in. [ (0.25 in.)]
C
A y L

 


 
 
 
 
 
 
 
or 2
7.01in
C
A  
www.elsolucionario.org
Copyright © McGraw-Hill Education. Permission required for reproduction or display.
PROBLEM 5.60
Determine the capacity, in liters, of the punch bowl
shown if R  250 mm.
SOLUTION
The volume can be generated by rotating the triangle and circular sector shown about the y-axis. Applying
the second theorem of Pappus-Guldinus and using Figure 5.8a, we have
1 1 2 2
2
6
3 3
3
3
3
2 2
2 ( )
1 1 1 1 3 2 sin30
2
3 2 2 2 2 3 6
2
16 3 2 3
3 3
8
3 3
(0.25 m)
8
0.031883 m
V xA xA
x A x A
R
R R R R
R R
R

 






  
 
 
 
  
   
    
 
 
 
   
   

   
 
   
 
 
 
 
 
 



Since 3 3
10 l 1m

3
3
3
10 l
0.031883 m
1m
V   31.9 liters
V  
www.elsolucionario.org
Copyright © McGraw-Hill Education. Permission required for reproduction or display.
PROBLEM 5.61
Determine the volume and total surface area of the bushing shown.
SOLUTION
Volume:
The volume can be obtained by rotating the triangular area shown through  radians about the y axis.
The area of the triangle is:
   2
1
52 60 1560 mm
2
A  
Applying the theorems of Pappus-Guldinus, we have
  
2
52 mm 1560 mm
V xA
 
  or 3 3
255 10 mm
V   
The surface area can be obtained by rotating the triangle shown through an angle of  radians about the y
axis.
Considering each line BD, DE, and BE separately:
Line 2 2
1
: 22 60 63.906 mm
BD L    1
22
20 31 mm
2
x   
Line 2
: 52 mm
DE L  2 20 22 26 68 mm
x    
Line 2 2
3
: 74 60 95.268 mm
BE L    1
74
20 57 mm
2
x   
www.elsolucionario.org
Copyright © McGraw-Hill Education. Permission required for reproduction or display.
PROBLEM 5.61 (Continued)
Then applying the theorems of Pappus-Guldinus for the part of the surface area generated by the lines:
           3 2
31 63.906 68 52 57 95.268 10947.6 34.392 10 mm
L
A xA
  
 
       
 
The area of the “end triangles”:
   3 2
1
2 52 60 3.12 10 mm
2
E
A
 
  
 
 
Total surface area is therefore:
  3 2
34.392 3.12 10 mm
L E
A A A
     3 2
or 37.5 10 mm
A   
www.elsolucionario.org
Copyright © McGraw-Hill Education. Permission required for reproduction or display.
PROBLEM 5.62
Determine the volume and weight of the solid brass knob shown, knowing
that the specific weight of brass is 0.306 lb/in3
.
SOLUTION
Area, in2
, in.
y 3
, in
yA
1 2
(0.75) 0.4418
4

 0.8183 0.3615
2 (0.5)(0.75) 0.375
 0.25 0.0938
3 (1.25)(0.75) 0.9375
 0.625 0.5859
4 2
(0.75) 0.4418
4


  0.9317 0.4116
 0.6296
3 3
2 2 (0.6296 in ) 3.9559 in
V y A
 
    3
3.96 in
V  
3 3
(0.306 lb/in )(3.9559 in )
W V

  1.211lb

W 
Volume of knob is obtained by rotating area
at left about the x-axis. Consider area as made
of components shown below.
www.elsolucionario.org
Copyright © McGraw-Hill Education. Permission required for reproduction or display.
PROBLEM 5.63
Determine the total surface area of the solid brass knob shown.
SOLUTION
Area is obtained by rotating lines shown about the x-axis.
L, in. , in.
y 2
, in
yL
1 0.5 0.25 0.1250
2 (0.75) 1.1781
2

 0.9775 1.1516
3 (0.75) 1.1781
2

 0.7725 0.9101
4 0.5 0.25 0.1250
 2.3117
2
2 2 (2.3117 in )
A yL
 
   2
14.52 in
A  
www.elsolucionario.org
Copyright © McGraw-Hill Education. Permission required for reproduction or display.
PROBLEM 5.64
The aluminum shade for the small high-intensity lamp shown has a uniform thickness of 1 mm. Knowing
that the density of aluminum is 2800 kg/m3
, determine the mass of the shade.
SOLUTION
The mass of the lamp shade is given by
m V At
 
 
where A is the surface area and t is the thickness of the shade. The area can be generated by rotating the line
shown about the x-axis. Applying the first theorem of Pappus Guldinus, we have
1 1 2 2 3 3 4 4
2 2
2 ( )
A yL yL
y L y L y L y L
 

  
   
or 2 2
2 2
2 2
2
13 mm 13 16
2 (13 mm) mm (32 mm) (3 mm)
2 2
16 28
mm (8 mm) (12 mm)
2
28 33
mm (28 mm) (5 mm)
2
2 (84.5 466.03 317.29 867.51)
10,903.4 mm
A 

 
 
   
  
 


 
  
 
 


 
   
 
  
   

Then
3 3 2
(2800 kg/m )(10.9034 10 m )(0.001 m)
m At



 
or
0.0305 kg
m  
www.elsolucionario.org
Copyright © McGraw-Hill Education. Permission required for reproduction or display.
PROBLEM 5.65*
The shade for a wall-mounted light is formed from a thin
sheet of translucent plastic. Determine the surface area of the
outside of the shade, knowing that it has the parabolic cross
section shown.
SOLUTION
First note that the required surface area A can be generated by rotating the parabolic cross section through 
radians about the y-axis. Applying the first theorem of Pappus-Guldinus, we have
A xL


Now at
2 1
100 mm, 250 mm
250 (100) or 0.025 mm
x y
k k 
 
 
and
2
1
EL
x x
dy
dL dx
dx

 
   
 
where 2
dy
kx
dx

Then 2 2
1 4
dL k x dx
 
We have  
100
2 2
0
1 4
EL
xL x dL x k x dx
  
 
 
100
2 2 3/2
2
0
2 2 3/2 3/2
2
2
1 1
(1 4 )
3 4
1 1
[1 4(0.025) (100) ] (1)
12 (0.025)
17,543.3 mm
xL k x
k
 
 
 
 
  

Finally, 2
(17,543.3 mm )
A 
 or 3 2
55.1 10 mm
A   
www.elsolucionario.org
Copyright © McGraw-Hill Education. Permission required for reproduction or display.
PROBLEM 5.66
For the beam and loading shown, determine (a) the magnitude
and location of the resultant of the distributed load, (b) the
reactions at the beam supports.
SOLUTION
I
II
1
( ) (400 N/m)(6 m)
2
1200 N
(1600 N/m)(6m)
4800 N
a R
R




I II
F 0 :
1200 N 4800 N
6000 N
y R R R
R
R
       
 

     
0: 6000 2 1200 4 4800
3.60 m
A
M X
X
     

6000 N , 3.60 m
X
  
R 
(b) Reactions 0 : 0
0 : 6000 0 6000 N
x x
y y y
F A
F A A
  
    
6000 N

A 
0: (6000 N)(3.60 m) 0
A A
M M
   
21.6 kN m
A  
M 
www.elsolucionario.org
Copyright © McGraw-Hill Education. Permission required for reproduction or display.
PROBLEM 5.67
For the beam and loading shown, determine (a) the
magnitude and location of the resultant of the
distributed load, (b) the reactions at the beam supports.
SOLUTION
(a) I
II
I II
1
(1100N/m)(6 m) 2200 N
3
(900N/m)(6m) 5400N
2200 5400 7600N
R
R
R R R
 
 
    
: (7600) (2200)(1.5) (5400)(3)
XR xR X
   
2.5658 m
X  7.60 kN

R , 2.57 m

X 
(b) 0: (6 m) (7600 N)(2.5658 m) 0
3250.0 N
A
M B
B
   

3.25 kN

B 
0: 3250.0 N 7600 N 0
4350.0 N
    

y
F A
A
4.35 kN

A 
www.elsolucionario.org
Copyright © McGraw-Hill Education. Permission required for reproduction or display.
PROBLEM 5.68
Determine the reactions at the beam supports for the given
loading.
SOLUTION
I
II
(200 lb/ft)(4 ft) 800 lb
1
(150 lb/ft)(3 ft) 225 lb
2
R
R
 
 
0: 800 lb 225 lb 0
y
F A
    
575 lb

A 
0: (800 lb)(2 ft) (225 lb)(5 ft) 0
A A
M M
    
475 lb ft
A  
M 
www.elsolucionario.org
Copyright © McGraw-Hill Education. Permission required for reproduction or display.
PROBLEM 5.69
Determine the reactions at the beam supports for the given
loading.
SOLUTION
I
II
1
(50 lb/in.)(12 in.)
2
300 lb
(50 lb/in.)(20in.)
1000 lb
R
R




0: 300 lb 1000 lb 400 lb 0
y y
F A
     
900 lb

A 
  
0: (300 lb)(8 in.) (1000 lb)(22 in.) 400 lb 38 in. 0
A A
M M
     
9200 lb in.
A  
M 
www.elsolucionario.org
Copyright © McGraw-Hill Education. Permission required for reproduction or display.
PROBLEM 5.70
Determine the reactions at the beam supports for the given
loading.
SOLUTION
We have I
II
III
1
(3ft)(480 lb/ft) 720 lb
2
1
(6 ft)(600 lb/ft) 1800 lb
2
(2ft)(600 lb/ft) 1200 lb
R
R
R
 
 
 
Then 0: 0
x x
F B
  
0: (2 ft)(720 lb) (4 ft)(1800 lb) (6 ft) (7 ft)(1200 lb) 0
B y
M C
     
or 2360 lb
y
C  2360 lb

C 
0: 720 lb 1800 lb 2360 lb 1200 lb 0
y y
F B
       
or 1360 lb
y
B  1360 lb

B 
www.elsolucionario.org
Copyright © McGraw-Hill Education. Permission required for reproduction or display.
PROBLEM 5.71
Determine the reactions at the beam supports for the given loading.
SOLUTION
First replace the given loading by the loadings shown below. Both loadings are equivalent since they are
both defined by a linear relation between load and distance and have the same values at the end points.
1
2
1
(900 N/m)(1.5 m) 675 N
2
1
(400 N/m)(1.5 m) 300 N
2
R
R
 
 
0: (675 N)(1.4 m) (300 N)(0.9 m) (2.5 m)
A
M B C
     
270 N

B 270 N

B 
0: 675 N 300 N 270 N 0
y
F A
     
105.0 N

A 105.0 N

A 
www.elsolucionario.org
Copyright © McGraw-Hill Education. Permission required for reproduction or display.
PROBLEM 5.72
Determine the reactions at the beam supports for the given
loading.
SOLUTION
We have I
II
1
(12 ft)(200 lb/ft) 800 lb
3
1
(6 ft)(100 lb/ft) 200 lb
3
R
R
 
 
Then 0: 0
x x
F A
  
0: 800 lb 200 lb 0
y y
F A
    
or 1000 lb
y
A  1000 lb

A 
0: (3 ft)(800 lb) (16.5 ft)(200 lb) 0
A A
M M
    
or 5700 lb ft
A
M   5700 lb ft
A  
M 
www.elsolucionario.org
Copyright © McGraw-Hill Education. Permission required for reproduction or display.
PROBLEM 5.73
Determine the reactions at the beam supports for the given
loading.
SOLUTION
First replace the given loading with the loading shown below. The two loadings are equivalent because
both are defined by a parabolic relation between load and distance and the values at the end points are the
same.
We have I
II
(6 m)(300 N/m) 1800 N
2
(6 m)(1200 N/m) 4800 N
3
R
R
 
 
Then 0: 0
x x
F A
  
0: 1800 N 4800 N 0
y y
F A
    
or 3000 N
y
A  3.00 kN

A 
15
0: (3 m)(1800 N) m (4800 N) 0
4
A A
M M
 
    
 
 
or 12.6 kN m
A
M   12.60 kN m
 
A
M 
www.elsolucionario.org
Copyright © McGraw-Hill Education. Permission required for reproduction or display.
PROBLEM 5.74
Determine (a) the distance a so that the vertical reactions at
supports A and B are equal, (b) the corresponding reactions at
the supports.
SOLUTION
(a)
We have I
II
1
( m)(1800 N/m) 900 N
2
1
[(4 ) m](600 N/m) 300(4 ) N
2
R a a
R a a
 
   
Then 0: 900 300(4 ) 0
y y y
F A a a B
      
or 1200 600
y y
A B a
  
Now 600 300 (N)
y y y y
A B A B a
     (1)
Also, 0: (4 m) 4 m [(900 ) N]
3
B y
a
M A a
 
 
    
 
 
 
 
1
(4 ) m [300(4 ) N] 0
3
a a
 
   
 
 
or 2
400 700 50
y
A a a
   (2)
Equating Eqs. (1) and (2), 2
600 300 400 700 50
a a a
   
or 2
8 4 0
a a
  
Then
2
8 ( 8) 4(1)(4)
2
a
  

or 0.53590 m
a  7.4641m
a  Now 4 m
a   0.536 m
a  
www.elsolucionario.org
Copyright © McGraw-Hill Education. Permission required for reproduction or display.
PROBLEM 5.74 (Continued)
(b) We have 0: 0
x x
F A
  
From Eq. (1):
600 300(0.53590)
y y
A B

 
761 N
 761 N
 
A B 
www.elsolucionario.org
Copyright © McGraw-Hill Education. Permission required for reproduction or display.
PROBLEM 5.75
Determine (a) the distance a so that the reaction at support B is
minimum, (b) the corresponding reactions at the supports.
SOLUTION
(a)
We have I
II
1
( m)(1800 N/m) 900 N
2
1
[(4 )m](600 N/m) 300(4 ) N
2
R a a
R a a
 
   
Then
8
0: m (900 N) m [300(4 )N] (4 m) 0
3 3
A y
a a
M a a B

   
      
   
   
or 2
50 100 800
y
B a a
   (1)
Then 100 100 0
y
dB
a
da
   or 1.000 m
a  
(b) From Eq. (1): 2
50(1) 100(1) 800 750 N
y
B     750 N

B 
and 0: 0
x x
F A
  
0: 900(1) N 300(4 1) N 750 N 0
y y
F A
      
or 1050 N
y
A  1050 N

A 
www.elsolucionario.org
Copyright © McGraw-Hill Education. Permission required for reproduction or display.
PROBLEM 5.76
Determine the reactions at the beam supports for the given
loading when wO  400 lb/ft.
SOLUTION
I
II
1 1
(12 ft) (400 lb/ft)(12 ft) 2400 lb
2 2
1
(300 lb/ft)(12 ft) 1800 lb
2
O
R w
R
  
 
0: (2400 lb)(1ft) (1800 lb)(3 ft) (7 ft) 0
    
B
M C
428.57 lb

C 429 lb

C 
0: 428.57 lb 2400 lb 1800 lb 0
     
y
F B
3771lb

B 3770 lb

B 
www.elsolucionario.org
Copyright © McGraw-Hill Education. Permission required for reproduction or display.
PROBLEM 5.77
Determine (a) the distributed load wO at the end A of the beam
ABC for which the reaction at C is zero, (b) the corresponding
reaction at B.
SOLUTION
For ,
O
w I
II
1
(12 ft) 6
2
1
(300 lb/ft)(12 ft) 1800 lb
2
O O
R w w
R
 
 
(a) For 0,
C  0: (6 )(1ft) (1800 lb)(3 ft) 0
B O
M w
    900 lb/ft
O
w  
(b) Corresponding value of I:
R
I 6(900) 5400 lb
 
R
0: 5400 lb 1800 lb 0
    
y
F B 7200 lb

B 
www.elsolucionario.org
Copyright © McGraw-Hill Education. Permission required for reproduction or display.
PROBLEM 5.78
The beam AB supports two concentrated loads and rests on soil that
exerts a linearly distributed upward load as shown. Determine the
values of A and B corresponding to equilibrium.
SOLUTION
I
II
1
(1.8 m) 0.9
2
1
(1.8 m) 0.9
2
A A
B B
R
R
 
 
 
 
0: (24 kN)(1.2 ) (30 kN)(0.3 m) (0.9 )(0.6 m) 0
D A
M a 
      (1)
For 0.6 m,
a  24(1.2 0.6) (30)(0.3) 0.54 0
a

   
14.4 9 0.54 0
A

   10.00 kN/m
A
  
0: 24 kN 30 kN 0.9(10 kN/m) 0.9 0
y B
F 
       50.0 kN/m
B
  
www.elsolucionario.org
Copyright © McGraw-Hill Education. Permission required for reproduction or display.
PROBLEM 5.79
For the beam and loading of Problem 5.78, determine (a) the
distance a for which A  20 kN/m, (b) the corresponding value of
B.
PROBLEM 5.78 The beam AB supports two concentrated loads
and rests on soil that exerts a linearly distributed upward load as
shown. Determine the values of A and B corresponding to
equilibrium.
SOLUTION
We have I
II
1
(1.8 m)(20 kN/m) 18 kN
2
1
(1.8 m)( kN/m) 0.9 kN
2
B B
R
R  
 
 
(a) 0: (1.2 )m 24 kN 0.6 m 18 kN 0.3 m 30 kN 0
C
M a
        
or 0.375 m
a  
(b) 0: 24 kN 18 kN (0.9 ) kN 30 kN 0
y B
F 
      
or 40.0 kN/m
B
  
www.elsolucionario.org
Copyright © McGraw-Hill Education. Permission required for reproduction or display.
PROBLEM 5.80
The cross section of a concrete dam is as shown. For a 1-ft-wide
dam section determine (a) the resultant of the reaction forces exerted
by the ground on the base AB of the dam, (b) the point of application
of the resultant of part a, (c) the resultant of the pressure forces
exerted by the water on the face BC of the dam.
SOLUTION
The free body shown consists of a 1-ft thick section of the dam and the triangular section of water above
the dam.
Note:
 
 
1
2
3
4
6 ft
(9 3)ft 12 ft
15 2 ft 17 ft
15 4 ft 19 ft
x
x
x
x

  
  
  
(a) Now W V


So that  
  
 
3
1
3
2
3
3
3
4
1
(150 lb/ft ) (9 ft) 15 ft (1 ft) 10,125 lb
2
(150 lb/ft )[(6 ft)(18 ft)(1 ft)] 16,200 lb
1
(150 lb/ft ) 6 ft 18 ft (1 ft) 8100 lb
2
1
(62.4 lb/ft ) (6 ft) 18 ft (1 ft) 3369.6 lb
2
W
W
W
W
 
 
 
 
 
 
 
 
 
 
 
 
 
Also 3
1 1
[(18 ft)(1 ft)][(62.4 lb/ft )(18 ft)] 10,108.8 lb
2 2
P Ap
  
Then 0: 10,108.8 lb 0
x
F H
    or 10.11 kips

H 
www.elsolucionario.org
Copyright © McGraw-Hill Education. Permission required for reproduction or display.
PROBLEM 5.80 (Continued)
0: 10,125 lb 16,200 lb 8100 lb 3369.6 lb 0
y
F V
      
or 37,795 lb
V  37.8 kips

V 
(b) We have 0: (37,794.6 lb) (6 ft)(10,125 lb) (12 ft)(16,200 lb)
(17 ft)(8100 lb) (19 ft)(3369.6 lb)
+(6 ft)(10,108.8 lb) 0
A
M x
   
 

or 37,794.6 60,750 194,400 137,700 64,022.4 60,652.8 0
x      
or 10.48 ft
x  
(c) Consider water section BCD as the free body
We have 0
 
F , 4 3369.6 lb, 10,108.8 lb
W P
 
Then 10.66 kips
 
R 18.43 or 10.66 kips

R 18.43 
www.elsolucionario.org
Copyright © McGraw-Hill Education. Permission required for reproduction or display.
PROBLEM 5.81
The cross section of a concrete dam is as shown. For a 1-m-wide
dam section, determine (a) the resultant of the reaction forces
exerted by the ground on the base AB of the dam, (b) the point of
application of the resultant of part a, (c) the resultant of the pressure
forces exerted by the water on the face BC of the dam.
SOLUTION
(a) Consider free body made of dam and section BDE of water. (Thickness  1 m)
3 2
(3 m)(10 kg/m )(9.81m/s )
p 
3 3 2
1
3 3 2
2
3 3 2
3
3 3 2
(1.5 m)(4 m)(1m)(2.4 10 kg/m )(9.81m/s ) 144.26 kN
1
(2 m)(3 m)(1m)(2.4 10 kg/m )(9.81m/s ) 47.09 kN
3
2
(2 m)(3 m)(1m)(10 kg/m )(9.81m/s ) 39.24 kN
3
1 1
(3 m)(1 m)(3 m)(10 kg/m )(9.81m/s ) 44.145 kN
2 2
  
  
 
  
W
W
W
P Ap
0: 44.145 kN 0
   
x
F H
44.145 kN

H 44.1kN

H 
0: 141.26 47.09 39.24 0
     
y
F V
227.6 kN

V 228 kN

V 
www.elsolucionario.org
Copyright © McGraw-Hill Education. Permission required for reproduction or display.
PROBLEM 5.81 (Continued)
1
2
3
1
(1.5 m) 0.75 m
2
1
1.5 m (2 m) 2 m
4
5
1.5 m (2 m) 2.75 m
8
x
x
x
 
  
  
0: (1 m) 0
     
A
M xV xW P
(227.6 kN) (141.26 kN)(0.75 m) (47.09 kN)(2 m)
(39.24 kN)(2.75 m) (44.145 kN)(1m) 0
(227.6 kN) 105.9 94.2 107.9 44.145 0
(227.6) 263.9 0
x
x
x
 
  
    
 
1.159 m
x  (to right of A) 
(b) Resultant of face BC:
Consider free body of section BDE of water.
59.1kN
 
R 41.6
59.1kN

R 41.6 
www.elsolucionario.org
Copyright © McGraw-Hill Education. Permission required for reproduction or display.
PROBLEM 5.82
The dam for a lake is designed to withstand the additional force caused by
silt that has settled on the lake bottom. Assuming that silt is equivalent to
a liquid of density 3 3
1.76 10 kg/m
s
   and considering a 1-m-wide
section of dam, determine the percentage increase in the force acting on
the dam face for a silt accumulation of depth 2 m.
SOLUTION
First, determine the force on the dam face without the silt.
We have
3 3 2
1 1
( )
2 2
1
[(6.6 m)(1 m)][(10 kg/m )(9.81 m/s )(6.6 m)]
2
213.66 kN
w w
P Ap A gh

 


Next, determine the force on the dam face with silt
We have 3 3 2
3 3 2
I
3 3 2
II
1
[(4.6 m)(1 m)][(10 kg/m )(9.81m/s )(4.6 m)]
2
103.790 kN
( ) [(2.0 m)(1 m)][(10 kg/m )(9.81m/s )(4.6 m)]
90.252 kN
1
( ) [(2.0 m)(1 m)][(1.76 10 kg/m )(9.81 m/s )(2.0 m)]
2
34.531 kN
w
s
s
P
P
P
 



 

Then I II
( ) ( ) 228.57 kN
w s s
P P P P
 
   
The percentage increase, % inc., is then given by
% inc. 100%
(228.57 213.66)
100%
213.66
6.9874%
 
 

 

w
w
P P
P
% inc. 6.98%
 
www.elsolucionario.org
Copyright © McGraw-Hill Education. Permission required for reproduction or display.
PROBLEM 5.83
The base of a dam for a lake is designed to resist up to 120 percent of the
horizontal force of the water. After construction, it is found that silt (that is
equivalent to a liquid of density 3 3
1.76 10 kg/m )
s
   is settling on the
lake bottom at the rate of 12 mm/year. Considering a 1-m-wide section of
dam, determine the number of years until the dam becomes unsafe.
SOLUTION
First determine force on dam without the silt,
3 3 2
allow
1 1
( )
2 2
1
[(6.6 m)(1m)][(10 kg/m )(9.81m/s )(6.6 m)]
2
213.66 kN
1.2 (1.5)(213.66 kN) 256.39 kN
w
w p
w
P A A gh
P P

 


  
Next determine the force Pon the dam face after a depth d of silt has settled.
We have 3 3 2
2
3 3 2
I
2
3 3 2
II
2
1
[(6.6 ) m (1m)][(10 kg/m )(9.81m/s )(6.6 ) m]
2
4.905(6.6 ) kN
( ) [ (1m)][(10 kg/m )(9.81m/s )(6.6 ) m]
9.81(6.6 ) kN
1
( ) [ (1m)][(1.76 10 kg/m )(9.81m/s )( ) m]
2
8.6328 kN
w
s
s
P d d
d
P d d
d d
P d d
d
    
 
 
 
 

2
I II
2 2
2
( ) ( ) [4.905(43.560 13.2000 )
9.81(6.6 ) 8.6328 ] kN
[3.7278 213.66] kN
w s s
P P P P d d
d d d
d
 
     
  
 
Now it’s required that allow
P P
  to determine the maximum value of d.
2
(3.7278 213.66) kN 256.39 kN
d  
or 3.3856 m
d 
Finally, 3 m
3.3856 m 12 10 N
year

   or 282 years
N  
www.elsolucionario.org
Copyright © McGraw-Hill Education. Permission required for reproduction or display.
PROBLEM 5.84
An automatic valve consists of a 9  9-in. square plate that is pivoted about
a horizontal axis through A located at a distance h  3.6 in. above the lower
edge. Determine the depth of water d for which the valve will open.
SOLUTION
Since valve is 9 in. wide, 9 9 ,
w p h

  where all dimensions are in inches.
1 2
I 1
II 2
9 ( 9), 9
1 1
(9 in.) (9)(9 )( 9)
2 2
1 1
(9 in.) (9)(9 )
2 2
w d w d
P w d
P w d
 


  
  
 
Valve opens when 0.

B
I II
0: (6 in. 3.6 in.) (3.6 in. 3 in.) 0
     
A
M P P
1 1
(9)(9 )( 9) (2.4) (9)(9 ) (0.6) 0
2 2
d d
 
   
  
   
   
( 9)(2.4) (0.6) 0
1.8 21.6 0
  
 
d d
d 12.00 in.

d 
www.elsolucionario.org
Copyright © McGraw-Hill Education. Permission required for reproduction or display.
PROBLEM 5.85
An automatic valve consists of a 9  9-in. square plate that is pivoted about
a horizontal axis through A. If the valve is to open when the depth of water
is d  18 in., determine the distance h from the bottom of the valve to the
pivot A.
SOLUTION
Since valve is 9 in. wide, 9 9 ,
w p h

  where all dimensions are in inches.
1
2
9 ( 9)
9
w d
w d


 

For 18 in.,
d 
1
2
I
II
9 (18 9) 81
9 (18) 162
1 1
(9)(9 )(18 9) (729 )
2 2
1
(9)(9 )(18) 729
2
w
w
P
P
 
 
 
 
  
 
  
 
Valve opens when 0.
B 
1 II
0: (6 ) ( 3) 0
     
A
M P h P h
1
729 (6 ) 729( 3) 0
2
1
3 3 0
2
6 1.5 0
h h
h h
h
    
   
  4.00 in.

h 
www.elsolucionario.org
Copyright © McGraw-Hill Education. Permission required for reproduction or display.
PROBLEM 5.86
The 3  4-m side AB of a tank is hinged at its bottom A and is held in place by a
thin rod BC. The maximum tensile force the rod can withstand without breaking
is 200 kN, and the design specifications require the force in the rod not to exceed
20 percent of this value. If the tank is slowly filled with water, determine the
maximum allowable depth of water d in the tank.
SOLUTION
Consider the free-body diagram of the side.
We have
1 1
( )
2 2
P Ap A gd

 
Now 0: 0
3
A
d
M hT P
   
where 3 m
h 
Then for ,
max
d
3 3 3 2
1
(3 m)(0.2 200 10 N) (4 m ) (10 kg/m 9.81 m/s ) 0
3 2
max
max max
d
d d
 
       
 
 
or
3 2
120 N m 6.54 N/m 0
max
d
  
or 2.64 m
max
d  
www.elsolucionario.org
Copyright © McGraw-Hill Education. Permission required for reproduction or display.
PROBLEM 5.87
The 3  4-m side of an open tank is hinged at its bottom A and is held in place by
a thin rod BC. The tank is to be filled with glycerine, whose density is 1263
kg/m3
. Determine the force T in the rod and the reactions at the hinge after the
tank is filled to a depth of 2.9 m.
SOLUTION
Consider the free-body diagram of the side.
We have
3 2
1 1
( )
2 2
1
[(2.9 m)(4 m)] [(1263 kg/m )(9.81 m/s )(2.9 m)]
2
= 208.40 kN
P Ap A gd

 

Then 0: 0
y y
F A
  
2.9
0: (3 m) m (208.4 kN) 0
3
A
M T
 
   
 
 
or 67.151 kN
T  67.2 kN

T 
0: 208.40 kN 67.151 kN 0
x x
F A
    
or 141.249 kN
x
A   141.2 kN

A 
www.elsolucionario.org
Copyright © McGraw-Hill Education. Permission required for reproduction or display.
PROBLEM 5.88
A 0.5  0.8-m gate AB is located at the bottom of a tank filled with
water. The gate is hinged along its top edge A and rests on a
frictionless stop at B. Determine the reactions at A and B when cable
BCD is slack.
SOLUTION
First consider the force of the water on the gate.
We have
1 1
( )
2 2

 
P Ap A gh
so that 3 3 2
I
1
[(0.5 m)(0.8 m)] [(10 kg/m )(9.81 m/s )(0.45 m)]
2
882.9 N
P  

3 3 2
II
1
[(0.5 m)(0.8 m)] [(10 kg/m )(9.81 m/s )(0.93 m)]
2
1824.66 N
P  

Reactions at A and B when T  0:
We have
1 2
0: (0.8 m)(882.9 N) + (0.8 m)(1824.66 N) (0.8 m) 0
3 3
A
M B
   
or 1510.74 N
B 
or 1511 N

B 53.1 
0: 1510.74 N 882.9 N 1824.66 N 0
F A
     
or 1197 N

A 53.1 
www.elsolucionario.org
Copyright © McGraw-Hill Education. Permission required for reproduction or display.
PROBLEM 5.89
A 0.5  0.8-m gate AB is located at the bottom of a tank filled with
water. The gate is hinged along its top edge A and rests on a
frictionless stop at B. Determine the minimum tension required in
cable BCD to open the gate.
SOLUTION
First consider the force of the water on the gate.
We have
1 1
( )
2 2

 
P Ap A gh
so that 3 3 2
I
1
[(0.5 m)(0.8 m)] [(10 kg/m )(9.81 m/s )(0.45 m)]
2
882.9 N
P  

3 3 2
II
1
[(0.5 m)(0.8 m)] [(10 kg/m )(9.81 m/s )(0.93 m)]
2
1824.66 N
P  

T to open gate:
First note that when the gate begins to open, the reaction at B 0.
Then
1 2
0: (0.8 m)(882.9 N)+ (0.8 m)(1824.66 N)
3 3
8
(0.45 0.27)m 0
17
A
M
T
 
 
   
 
 
or 235.44 973.152 0.33882 0
T
  
or 3570 N

T 
www.elsolucionario.org
Copyright © McGraw-Hill Education. Permission required for reproduction or display.
PROBLEM 5.90
A 4 2-ft
 gate is hinged at A and is held in position by rod CD. End
D rests against a spring whose constant is 828 lb/ft. The spring is
undeformed when the gate is vertical. Assuming that the force
exerted by rod CD on the gate remains horizontal, determine the
minimum depth of water d for which the bottom B of the gate will
move to the end of the cylindrical portion of the floor.
SOLUTION
First determine the forces exerted on the gate by the spring and the water when B is at the end of the
cylindrical portion of the floor.
We have
2
sin 30
4
 
  
Then (3 ft)tan30
SP
x  
and
828 lb/ft 3 ft tan30°
1434.14 lb
SP SP
F kx

  

Assume 4 ft
d 
We have
1 1
( )
2 2

 
P Ap A h
Then 3
I
1
[(4 ft)(2 ft)] [(62.4 lb/ft )( 4) ft]
2
249.6( 4) lb
P d
d
  
 
3
II
1
[(4 ft)(2 ft)] [(62.4 lb/ft )( 4 4cos30 )]
2
249.6( 0.53590 ) lb
P d
d
    
  
For min
d so that the gate opens, 0
W 
Using the above free-body diagrams of the gate, we have
4 8
0: ft [249.6( 4) lb] ft [249.6( 0.53590) lb]
3 3
A
M d d
   
    
   
   
(3 ft)(1434.14 lb) 0
 
or (332.8 1331.2) (665.6 356.70) 4302.4 0
d d
    
or 6.00 ft
d 
4 ft
d   assumption correct 6.00 ft
d  
www.elsolucionario.org
Copyright © McGraw-Hill Education. Permission required for reproduction or display.
PROBLEM 5.91
Solve Problem 5.90 if the gate weighs 1000 lb.
PROBLEM 5.90 A 4 2-ft
 gate is hinged at A and is held in
position by rod CD. End D rests against a spring whose constant is
828 lb/ft. The spring is undeformed when the gate is vertical.
Assuming that the force exerted by rod CD on the gate remains
horizontal, determine the minimum depth of water d for which the
bottom B of the gate will move to the end of the cylindrical portion
of the floor.
SOLUTION
First determine the forces exerted on the gate by the spring and the water when B is at the end of the
cylindrical portion of the floor.
We have
2
sin 30
4
 
  
Then (3 ft)tan30
SP
x  
and 828 lb/ft 3 ft tan30°
1434.14 lb
SP SP
F kx
   

Assume 4 ft
d 
We have
1 1
( )
2 2

 
P Ap A h
Then 3
I
1
[(4 ft)(2 ft)] [(62.4 lb/ft )( 4) ft]
2
249.6( 4) lb
P d
d
  
 
3
II
1
[(4 ft)(2 ft)] [(62.4 lb/ft )( 4 4cos30 )]
2
249.6( 0.53590 ) lb
P d
d
    
  
For min
d so that the gate opens, 1000 lb

W
Using the above free-body diagrams of the gate, we have
4 8
0: ft [249.6( 4) lb] ft [249.6( 0.53590) lb]
3 3
(3 ft)(1434.14 lb) (1ft)(1000 lb) 0
A
M d d
   
    
   
   
  
or (332.8 1331.2) (665.6 356.70) 4302.4 1000 0
     
d d
or 7.00 ft
d 
4 ft
d   assumption correct 7.00 ft
d  
www.elsolucionario.org
Copyright © McGraw-Hill Education. Permission required for reproduction or display.
PROBLEM 5.92
A prismatically shaped gate placed at the end of a freshwater channel is
supported by a pin and bracket at A and rests on a frictionless support at
B. The pin is located at a distance 0.10 m
h  below the center of gravity
C of the gate. Determine the depth of water d for which the gate will
open.
SOLUTION
First note that when the gate is about to open (clockwise rotation is impending), y
B 0 and the line of
action of the resultant P of the pressure forces passes through the pin at A. In addition, if it is assumed that
the gate is homogeneous, then its center of gravity C coincides with the centroid of the triangular area.
Then
(0.25 )
3
d
a h
  
and
2 8
(0.4)
3 15 3
d
b
 
   
 
Now
8
15
a
b

so that
 
3
8
2
3 15 3
(0.25 ) 8
15
(0.4)
d
d
h
 


Simplifying yields
289 70.6
15
45 12
d h
  (1)
Alternative solution:
Consider a free body consisting of a 1-m thick section of the gate and the triangular section BDE of water
above the gate.
Now
2
2
1 1
( 1m)( )
2 2
1
(N)
2
1 8
1m
2 15
4
(N)
15
P Ap d gd
gd
W gV g d d
gd


 

 
  

 
     
 
 

www.elsolucionario.org
Copyright © McGraw-Hill Education. Permission required for reproduction or display.
PROBLEM 5.92 (Continued)
Then with 0
y
B  (as explained above), we have
2 2
2 1 8 4 1
0: (0.4) (0.25 ) 0
3 3 15 15 3 2
A
d
M d gd h gd
 
 
      
      
 
     
 
      
 
Simplifying yields
289 70.6
15
45 12
d h
 
as above.
Find d: 0.10 m
h 
Substituting into Eq. (1),
289 70.6
15(0.10)
45 12
d   or 0.683 m

d 
www.elsolucionario.org
Copyright © McGraw-Hill Education. Permission required for reproduction or display.
PROBLEM 5.93
A prismatically shaped gate placed at the end of a freshwater channel is
supported by a pin and bracket at A and rests on a frictionless support at
B. Determine the distance h if the gate is to open when 0.75 m.
d 
SOLUTION
First note that when the gate is about to open (clockwise rotation is impending), y
B 0 and the line of
action of the resultant P of the pressure forces passes through the pin at A. In addition, if it is assumed that
the gate is homogeneous, then its center of gravity C coincides with the centroid of the triangular area.
Then
(0.25 )
3
d
a h
  
and
2 8
(0.4)
3 15 3
d
b
 
   
 
Now
8
15
a
b

so that
 
3
8
2
3 15 3
(0.25 ) 8
15
(0.4)
d
d
h
 


Simplifying yields
289 70.6
15
45 12
d h
  (1)
Alternative solution:
Consider a free body consisting of a 1-m thick section of the gate and the triangular section BDE of water
above the gate.
Now
2
2
1 1
( 1 m)( )
2 2
1
(N)
2
1 8
1 m
2 15
4
(N)
15
P Ap d gd
gd
W gV g d d
gd


 

 
  

 
     
 
 

www.elsolucionario.org
Copyright © McGraw-Hill Education. Permission required for reproduction or display.
PROBLEM 5.93 (Continued)
Then with 0
y
B  (as explained above), we have
2 2
2 1 8 4 1
0: (0.4) (0.25 ) 0
3 3 15 15 3 2
A
d
M d gd h gd
 
 
      
      
 
     
 
      
 
Simplifying yields
289 70.6
15
45 12
d h
 
as above.
Find h: 0.75 m
d 
Substituting into Eq. (1),
289 70.6
(0.75) 15
45 12
h
  or 0.0711m
h  
www.elsolucionario.org
Copyright © McGraw-Hill Education. Permission required for reproduction or display.
PROBLEM 5.94
A long trough is supported by a continuous hinge along
its lower edge and by a series of horizontal cables
attached to its upper edge. Determine the tension in
each of the cables, at a time when the trough is
completely full of water.
SOLUTION
Consider free body consisting of 20-in. length of the trough and water.
20-in.
l  length of free body
2
2
4
1 1 1
( )
2 2 2
A
A
W v r l
P r
P P rl r rl r l

 

 
 
   
 

  
1
0: 0
3
A
M Tr Wr P r
 
    
 
 
2 2
4 1 1
0
4 3 2 3
r
Tr r l r l r

 

     
  
     
     
2 2 2
1 1 1
3 6 2
T r l r l r l
  
  
Data: 3 24 20
62.4 lb/ft ft 2 ft ft
12 12
r l
    
Then 3 2
1 20
(62.4 lb/ft )(2 ft) ft
2 12
T
 
  
 
208.00 lb
 208 lb
T  
www.elsolucionario.org
Copyright © McGraw-Hill Education. Permission required for reproduction or display.
PROBLEM 5.95
The square gate AB is held in the position shown by hinges along its top edge
A and by a shear pin at B. For a depth of water 3.5
d  ft, determine the force
exerted on the gate by the shear pin.
SOLUTION
First consider the force of the water on the gate. We have
1
2
1
( )
2
P Ap
A h



Then 2 3
I
2 3
II
1
(1.8 ft) (62.4 lb/ft )(1.7 ft)
2
171.850 lb
1
(1.8 ft) (62.4 lb/ft ) (1.7 1.8cos30 ) ft
2
329.43 lb
P
P


   

Now I II
1 2
0: 0
3 3
A AB AB AB B
M L P L P L F
   
    
   
   
or
1 2
(171.850 lb) (329.43 lb) 0
3 3
B
F
  
or 276.90 lb
B
F  277 lb
B 
F 30.0 
www.elsolucionario.org
Copyright © McGraw-Hill Education. Permission required for reproduction or display.
PROBLEM 5.96
Consider the composite body shown. Determine (a) the
value of x when /2,
h L
 (b) the ratio h/L for which
.
x L

SOLUTION
V x xV
Rectangular
prism
Lab
1
2
L 2
1
2
L ab
Pyramid
1
3 2
b
a h
 
 
 
1
4
L h

1 1
6 4
abh L h
 

 
 
Then
2
1
6
1 1
3
6 4
V ab L h
xV ab L h L h
 
  
 
 
 
 
   
 
 
 
 
Now X V xV
  
so that 2 2
1 1 1
3
6 6 4
X ab L h ab L hL h
 
   
   
 
   
   
 
or
2
2
1 1 1
1 3
6 6 4
h h h
X L
L L L
 
 
   
 
   
   
(1)
(a) ?
X  when
1
.
2
h L

Substituting
1
into Eq. (1),
2
h
L

2
1 1 1 1 1 1
1 3
6 2 6 2 4 2
X L
 
 
     
   
 
 
     
     
 
   
or
57
104
X L
 0.548
X L
 
www.elsolucionario.org
Copyright © McGraw-Hill Education. Permission required for reproduction or display.
PROBLEM 5.96 (Continued)
(b) ?
h
L
 when .
X L

Substituting into Eq. (1),
2
2
1 1 1
1 3
6 6 4
h h h
L L
L L L
 
 
   
 
   
   
or
2
2
1 1 1 1
1
6 2 6 24
h h h
L L L
   
or
2
2
12
h
L
 2 3
h
L
 
www.elsolucionario.org
Copyright © McGraw-Hill Education. Permission required for reproduction or display.
PROBLEM 5.97
Determine the location of the centroid of the composite body shown
when (a) 2 ,
h b
 (b) 2.5 .
h b

SOLUTION
V x xV
Cylinder I 2
a b

1
2
b 2 2
1
2
a b

Cone II
2
1
3
a h

1
4
b h

2
1 1
3 4
a h b h

 

 
 
2
2 2 2
1
3
1 1 1
2 3 12
V a b h
xV a b hb h


 
 
 
 
 
   
 
 
(a) For 2 ,
h b
 2 2
1 5
(2 )
3 3
V a b b a b
 
 
  
 
 
2 2 2
2 2 2 2
1 1 1
(2 ) (2 )
2 3 12
1 2 1 3
2 3 3 2
xV a b b b b
a b a b

 
 
   
 
 
 
   
 
 
2 2 2
5 3 9
:
3 2 10
XV xV X a b a b X b
 
 
  
 
 
Centroid is 1
10
b to the left of base of cone. 
www.elsolucionario.org
Copyright © McGraw-Hill Education. Permission required for reproduction or display.
PROBLEM 5.97 (Continued)
(b) For 2.5 ,
h b
 2 2
1
(2.5 ) 1.8333
3
V a b b a b
 
 
  
 
 
2 2 2
2 2
2 2
1 1 1
(2.5 ) (2.5 )
2 3 12
[0.5 0.8333 0.52083]
1.85416
xV a b b b b
a b
a b



 
   
 
 
  

2 2 2
: (1.8333 ) 1.85416 1.01136
XV xV X a b a b X b
 
   
Centroid is 0.01136b to the right of base of cone. 
Note: Centroid is at base of cone for 6 2.449 .
h b b
  
www.elsolucionario.org
Copyright © McGraw-Hill Education. Permission required for reproduction or display.
PROBLEM 5.98
The composite body shown is formed by removing a semiellipsoid
of revolution of semimajor axis h and semiminor axis a/2 from a
hemisphere of radius a. Determine (a) the y coordinate of the
centroid when h  a/2, (b) the ratio h/a for which y  0.4a.
SOLUTION
V y yV
Hemisphere
3
2
3
a
3
8
a
 4
1
4
a


Semiellipsoid
2
2
2 1
3 2 6
a
h a h
 
 
  
 
 
3
8
h
 2 2
1
16
a h


Then 2
2 2 2
(4 )
6
(4 )
16
V a a h
yV a a h


  
   
Now Y V yV
  
So that 2 2 2 2
(4 ) (4 )
6 16
Y a a h a a h
 
 
   
 
 
or
2
3
4 4
8
h h
Y a
a a
 
   
   
 
   
   
 
 
(1)
(a) ? when
2
a
Y h
 
Substituting
1
2
h
a
 into Eq. (1)
2
1 3 1
4 4
2 8 2
Y a
 
   
   
 
   
   
 
 
or
45
112
Y a
  0.402
Y a
  
www.elsolucionario.org
Copyright © McGraw-Hill Education. Permission required for reproduction or display.
PROBLEM 5.98 (Continued)
(b) ? when 0.4
h
Y a
a
  
Substituting into Eq. (1)
2
3
( 0.4 ) 4 4
8
h h
a a
a a
 
   
    
 
   
   
 
 
or
2
3 3.2 0.8 0
h h
a a
   
  
   
   
Then
2
3.2 ( 3.2) 4(3)(0.8)
2(3)
h
a
  

3.2 0.8
6

 or
2 2
and
5 3
h h
a a
  
www.elsolucionario.org
Copyright © McGraw-Hill Education. Permission required for reproduction or display.
PROBLEM 5.99
Locate the centroid of the frustum of a right circular cone when r1 = 40 mm,
r2 = 50 mm, and h = 60 mm.
SOLUTION
By similar triangles:
1 1
1 2
60
240 mm, therefore 240 60 300 mm
40 50
h h
h h

    
       
1 2 2 1
2 2
3 3
1 2
1 300 1 240
75 mm 60 60 120 mm
4 4 4 4
50 300 250 10 40 240 128 10
3 3
y h y h
V V
 
 
       
     
3
mm
V mm
y 4
mm
yV
Triangle 1
3
250 10 
 75 6
18.75 10 

Triangle 2
3
128 10 
  120
6
15.36 10 
 

3
122 10 
 6
3.39 10 

 
3 6
122 10 3.39 10
Y V yV
Y  
  
  
27.787 mm
Y  Centroid is 27.8 mm above base of cone. 
www.elsolucionario.org
Copyright © McGraw-Hill Education. Permission required for reproduction or display.
PROBLEM 5.100
For the machine element shown, locate the x coordinate of
the center of gravity.
SOLUTION
3
, mm
V , mm
x , mm
z 4
, mm
xV 4
, mm
zV
I Rectangular plate
3
(10)(90)(38) 34.2 10
 
19 45 649.8  103
1539  103
II Half cylinder
2 3
(20) (10) 6.2832 10
2

 
46.5 20 292.17  103
125.664  103

III –(Cylinder)
2 3
(12) (10) 4.5239 10

   
38 20 171.908  103
90.478  103
IV Rectangular prism
3
(30)(10)(24) 7.2 10
 
5 78 36  103
561.6  103
V Triangular prism
3
1
(30)(9)(24) 3.24 10
2
 
13 78 42.12  103
252.72  103
 46.399  103
848.18  103
2388.5  103
Dimensions in mm
www.elsolucionario.org
Copyright © McGraw-Hill Education. Permission required for reproduction or display.
PROBLEM 5.100 (Continued)
3 4
3 3
848.18 10 mm
46.399 10 mm
  
 
 
 
X V xV
xV
X
V
18.28 mm

X 
www.elsolucionario.org
Copyright © McGraw-Hill Education. Permission required for reproduction or display.
PROBLEM 5.101
For the machine element shown, locate the z coordinate of
the center of gravity.
SOLUTION
3
, mm
V , mm
x , mm
z 4
, mm
xV 4
, mm
zV
I Rectangular plate
3
(10)(90)(38) 34.2 10
 
19 45 649.8  103
1539  103
II Half cylinder
2 3
(20) (10) 6.2832 10
2

 
46.5 20 292.17  103
125.664  103

III –(Cylinder)
2 3
(12) (10) 4.5239 10

   
38 20 171.908  103
90.478  103
IV Rectangular prism 3
(30)(10)(24) 7.2 10
  5 78 36  103
561.6  103
V Triangular prism
3
1
(30)(9)(24) 3.24 10
2
 
13 78 42.12  103
252.72  103
 46.399  103
848.18  103
2388.5  103
Dimensions in mm
www.elsolucionario.org
Copyright © McGraw-Hill Education. Permission required for reproduction or display.
PROBLEM 5.101 (Continued)
3 4
3 3
2388.5 10 mm
46.399 10 mm
  
 
 
 
Z V zV
zV
Z
V
51.5 mm

Z 
www.elsolucionario.org
Copyright © McGraw-Hill Education. Permission required for reproduction or display.
PROBLEM 5.102
For the machine element shown, locate the y coordinate of
the center of gravity.
SOLUTION
For half-cylindrical hole,
III
0.95 in.
4(0.95)
1.5
3
1.097 in.
r
y


 

For half-cylindrical plate,
IV
1.5 in.
4(1.5)
5.25 5.887 in.
3
r
z


  
3
, in
V , in.
y , in.
z 4
, in
yV 4
, in
zV
I Rectangular plate (5.25)(3)(0.5) 7.875
 0.25
 2.625 1.9688
 20.672
II Rectangular plate (3)(1.5)(0.75) 3.375
 0.75 1.5 2.5313 5.0625
III –(Half cylinder)
2
(0.95) (0.75) 1.063
2

   1.097 1.5 1.1664
 1.595

IV Half cylinder
2
(1.5) (0.5) 1.767
2

 0.25
 5.887 0.4418
 10.403
V –(Cylinder) 2
(0.95) (0.5) 1.418

   0.25
 5.25 0.3544 7.443

 10.536 0.6910
 27.10
3 4
(10.536 in ) 0.6910 in
Y V yV
Y
  
  0.0656 in.
Y   
www.elsolucionario.org
Copyright © McGraw-Hill Education. Permission required for reproduction or display.
PROBLEM 5.103
For the machine element shown, locate the z coordinate of
the center of gravity.
SOLUTION
For half-cylindrical hole,
III
0.95 in.
4(0.95)
1.5
3
1.097 in.
r
y


 

For half-cylindrical plate,
IV
1.5 in.
4(1.5)
5.25 5.887 in.
3
r
z


  
3
, in
V , in.
y , in.
z 4
, in
yV 4
, in
zV
I Rectangular plate (5.25)(3)(0.5) 7.875
 0.25
 2.625 1.9688
 20.672
II Rectangular plate (3)(1.5)(0.75) 3.375
 0.75 1.5 2.5313 5.0625
III –(Half cylinder)
2
(0.95) (0.75) 1.063
2

   1.097 1.5 1.1664
 1.595

IV Half cylinder
2
(1.5) (0.5) 1.767
2

 0.25
 5.887 0.4418
 10.403
V –(Cylinder) 2
(0.95) (0.5) 1.418

   0.25
 5.25 0.3544 7.443

 10.536 0.6910
 27.10
Now Z V zV
 
3 4
(10.536 in ) 27.10 in
Z  2.57 in.
Z  
www.elsolucionario.org
Copyright © McGraw-Hill Education. Permission required for reproduction or display.
PROBLEM 5.104
For the machine element shown, locate the y coordinate of the
center of gravity.
SOLUTION
First assume that the machine element is homogeneous so that its center of gravity will coincide with the
centroid of the corresponding volume.
3
, mm
V , mm
x , mm
y 4
, mm
xV 4
, mm
yV
I 3
(120)(100)(10) 120 10
  5 -50 6
0.60 10
 6
6.00 10
 
II 3
(120)(50)(10) 60 10
  35 -5 6
2.10 10
 6
0.30 10
 
III
2 3
(60) (10) 56.549 10
2

 
85.5 -5 6
4.8349 10
 6
0.28274 10
 
IV 2 3
(40) (10) 50.266 10
   60 5 6
3.0160 10
 6
0.25133 10

V    
2 3
30 10 28.274 10

    5 -50 6
0.141370 10
  6
1.41370 10

 3
258.54 10
 6
10.4095 10
 6
4.9177 10
 
We have Y V yV
  
3 3 6 4
(258.54 10 mm ) 4.9177 10 mm
Y     or 19.02 mm
Y   
www.elsolucionario.org
Copyright © McGraw-Hill Education. Permission required for reproduction or display.
PROBLEM 5.105
For the machine element shown, locate the x coordinate of the
center of gravity.
SOLUTION
First assume that the machine element is homogeneous so that its center of gravity will coincide with the
centroid of the corresponding volume.
3
, mm
V , mm
x , mm
y 4
, mm
xV 4
, mm
yV
I 3
(120)(100)(10) 120 10
  5 -50 6
0.60 10
 6
6.00 10
 
II 3
(120)(50)(10) 60 10
  35 -5 6
2.10 10
 6
0.30 10
 
III
2 3
(60) (10) 56.549 10
2

 
85.5 -5 6
4.8349 10
 6
0.28274 10
 
IV 2 3
(40) (10) 50.266 10
   60 5 6
3.0160 10
 6
0.25133 10

V    
2 3
30 10 28.274 10

    5 -50 6
0.141370 10
  6
1.41370 10

 3
258.54 10
 6
10.4095 10
 6
4.9177 10
 
We have X V xV
  
3 3 6 4
(258.54 10 mm ) 10.4095 10 mm
Y    or 40.3 mm
X  
www.elsolucionario.org
Copyright © McGraw-Hill Education. Permission required for reproduction or display.
PROBLEM 5.106
Locate the center of gravity of the sheet-metal form shown.
SOLUTION
First assume that the sheet metal is homogeneous so that the center of gravity of the form will coincide
with the centroid of the corresponding area. Now note that symmetry implies
125.0 mm
X  
II
II
III
2 80
150
200.93 mm
2 80
50.930 mm
4 125
230
3
283.05 mm
y
z
y




 





 

2
, mm
A , mm
y , mm
z 3
, mm
yA 3
, mm
zA
I (250)(170) 42500
 75 40 3187500 1700000
II (80)(250) 31416
2

 200.93 50930 6312400 1600000
III
2
(125) 24544
2

 283.05 0 6947200 0
 98460 16447100 3300000
We have 2 3
: (98460 mm ) 16447100 mm
Y A y A Y
    or 167.0 mm
Y  
2 6 3
: (98460 mm ) 3.300 10 mm
Z A z A Z
     or 33.5 mm
Z  
www.elsolucionario.org
Copyright © McGraw-Hill Education. Permission required for reproduction or display.
PROBLEM 5.107
Locate the center of gravity of the sheet-metal form shown.
SOLUTION
First, assume that the sheet metal is homogeneous so that the center of gravity of the form will coincide
with the centroid of the corresponding area.
I
I
III
1
(1.2) 0.4 m
3
1
(3.6) 1.2 m
3
4(1.8) 2.4
m
3
y
z
x
 
   
 
   
2
, m
A , m
x , m
y , m
z 3
, m
xA 3
, m
yA 3
, m
zA
I
1
(3.6)(1.2) 2.16
2
 1.5 0.4 1.2 3.24 0.864
 2.592
II (3.6)(1.7) 6.12
 0.75 0.4 1.8 4.59 2.448 11.016
III
2
(1.8) 5.0894
2


2.4

 0.8 1.8 3.888 4.0715 9.1609
 13.3694 3.942 5.6555 22.769
We have 2 3
: (13.3694 m ) 3.942 m
X V xV X
    or 0.295 m
X  
2 3
: (13.3694 m ) 5.6555 m
Y V yV Y
    or 0.423 m
Y  
2 3
: (13.3694 m ) 22.769 m
Z V zV Z
    or 1.703 m
Z  
www.elsolucionario.org
Copyright © McGraw-Hill Education. Permission required for reproduction or display.
PROBLEM 5.108
A corner reflector for tracking by radar has two sides in the
shape of a quarter circle with a radius of 15 in. and one side in
the shape of a triangle. Locate the center of gravity of the
reflector, knowing that it is made of sheet metal of uniform
thickness.
SOLUTION
By symmetry, X Z

For I and II (Quarter-circle ),
2 2 2
4 4(15)
6.3662 in.
3 3
(15) 1.76715 in
4 4
r
x y
A r
 
 
   
  
2
, in
A , in.
x , in.
x 3
, in
xA 3
, in
yA
I 176.715 6.3662 6.3662 1125.0 1125.0
II 176.715 0 6.3662 0 1125.0
III
 2
1
15 112.50
2

5.0 0 562.50 0
 465.93 1687.50 2250.0
:
X A xA
   2 3
(465.93in ) 1687.50 in
X 
3.62 in.
X Z
  
:
Y A yA
   2 3
(465.93in ) 2250.0 in
Y 
4.83in.
Y  
www.elsolucionario.org
Copyright © McGraw-Hill Education. Permission required for reproduction or display.
PROBLEM 5.109
A wastebasket, designed to fit in the corner of a room, is 16 in.
high and has a base in the shape of a quarter circle of radius 10
in. Locate the center of gravity of the wastebasket, knowing
that it is made of sheet metal of uniform thickness.
SOLUTION
By symmetry, X Z

For III (Cylindrical surface),
2
2 2(10)
6.3662 in.
(10)(16) 251.33 in
2 2
r
x
A rh
 
 
  
  
For IV (Quarter-circle bottom),
2 2 2
4 4(10)
4.2441in.
3 3
(10) 78.540 in
4 4
r
x
A r
 
 
  
  
2
, in
A , in.
x , in.
x 3
, in
xA 3
, in
yA
I (10)(16) 160
 5 8 800 1280
II (10)(16) 160
 0 8 0 1280
III 251.33 6.3662 8 1600.0 2010.6
IV 78.540 4.2441 0 333.33 0
 649.87 2733.3 4570.6
:
X A xA
   2 3
(649.87 in ) 2733.3in
X 
4.2059 in.
X  4.21in.
X Z
  
:
Y A yA
   2 3
(649.87 in ) 4570.6 in
Y 
7.0331in.
Y  7.03in.
Y  
www.elsolucionario.org
Copyright © McGraw-Hill Education. Permission required for reproduction or display.
PROBLEM 5.110
An elbow for the duct of a ventilating system is made of sheet
metal of uniform thickness. Locate the center of gravity of the
elbow.
SOLUTION
First, assume that the sheet metal is homogeneous so that the center of gravity of the duct coincides with
the centroid of the corresponding area. Also, note that the shape of the duct implies
38.0 mm
Y  
I I
II
II
IV IV
V
V
2
Note that 400 (400) 145.352 mm
2
400 (200) 272.68 mm
2
300 (200) 172.676 mm
4
400 (400) 230.23 mm
3
4
400 (200) 315.12 mm
3
4
300 (200) 215.12 mm
3
x z
x
z
x z
x
z






   
  
  
   
  
  
Also note that the corresponding top and bottom areas will contribute equally when determining and .
x z
Thus, 2
, mm
A , mm
x , mm
z 3
, mm
xA 3
, mm
zA
I (400)(76) 47,752
2

 145.352 145.352 6,940,850 6,940,850
II (200)(76) 23,876
2

 272.68 172.676 6,510,510 4,122,810
III 100(76) 7600
 200 350 1,520,000 2,660,000
IV
2
2 (400) 251,327
4

 

 
 
230.23 230.23 57,863,020 57,863,020
V
2
2 (200) 62,832
4

 
  
 
 
315.12 215.12 –19,799,620 –13,516,420
VI 2(100)(200) 40,000
   300 350 –12,000,000 –14,000,000
 227,723 41,034,760 44,070,260
www.elsolucionario.org
Copyright © McGraw-Hill Education. Permission required for reproduction or display.
PROBLEM 5.110 (Continued)
We have 2 3
: (227,723 mm ) 41,034,760 mm
X A xA X
    or 180.2 mm
X  
2 3
: (227,723 mm ) 44,070,260 mm
Z A zA Z
    or 193.5 mm
Z  
www.elsolucionario.org
Copyright © McGraw-Hill Education. Permission required for reproduction or display.
PROBLEM 5.111
A window awning is fabricated from sheet metal of uniform
thickness. Locate the center of gravity of the awning.
SOLUTION
First, assume that the sheet metal is homogeneous so that the center of gravity of the awning coincides
with the centroid of the corresponding area.
II VI
II VI
IV
IV
2 2
II VI
2
IV
(4)(25)
4 14.6103 in.
3
(4)(25) 100
in.
3 3
(2)(25)
4 19.9155 in.
(2)(25) 50
in.
(25) 490.87 in
4
(25)(34) 1335.18 in
2
y y
z z
y
z
A A
A

 

 


   
  
  
 
  
 
2
, in
A , in.
y , in.
z 3
, in
yA 3
, in
zA
I (4)(25) 100
 2 12.5 200 1250
II 490.87 14.6103
100
3
7171.8 5208.3
III (4)(34) 136
 2 25 272 3400
IV 1335.18 19.9155
50

26,591 21,250
V (4)(25) 100
 2 12.5 200 1250
VI 490.87 14.6103
100
3
7171.8 5208.3
 2652.9 41,607 37,567
www.elsolucionario.org
Copyright © McGraw-Hill Education. Permission required for reproduction or display.
PROBLEM 5.111 (Continued)
Now, symmetry implies 17.00 in.
X  
and 2 3
: (2652.9 in ) 41,607 in
Y A yA Y
    or 15.68 in.
Y  
2 3
: (2652.9 in ) 37,567 in
Z A zA Z
    or 14.16 in.
Z  
www.elsolucionario.org
Copyright © McGraw-Hill Education. Permission required for reproduction or display.
PROBLEM 5.112
A mounting bracket for electronic components is formed
from sheet metal of uniform thickness. Locate the center of
gravity of the bracket.
SOLUTION
First, assume that the sheet metal is homogeneous so that the center of gravity of the bracket coincides
with the centroid of the corresponding area. Then (see diagram)
V
2
V
2
4(0.625)
2.25
3
1.98474 in.
(0.625)
2
0.61359 in
z
A


 

 
 
2
, in
A , in.
x , in.
y , in.
z 3
, in
xA 3
, in
yA 3
, in
zA
I (2.5)(6) 15
 1.25 0 3 18.75 0 45
II (1.25)(6) 7.5
 2.5 –0.625 3 18.75 –4.6875 22.5
III (0.75)(6) 4.5
 2.875 –1.25 3 12.9375 –5.625 13.5
IV
5
(3) 3.75
4
 
  
 
 
1.0 0 3.75 3.75 0 –14.0625
V 0.61359
 1.0 0 1.98474 0.61359 0 –1.21782
 22.6364 46.0739 10.3125 65.7197
We have X A xA
  
2 3
(22.6364 in ) 46.0739 in
X  or 2.04 in.
X  
2 3
(22.6364 in ) 10.3125 in
Y A yA
Y
  
  or 0.456 in.
Y   
2 3
(22.6364 in ) 65.7197 in
Z A zA
Z
  
 or 2.90 in.
Z  
www.elsolucionario.org
Copyright © McGraw-Hill Education. Permission required for reproduction or display.
PROBLEM 5.113
A thin sheet of plastic of uniform thickness is bent to form
a desk organizer. Locate the center of gravity of the
organizer.
SOLUTION
First assume that the plastic is homogeneous so that the center of gravity of the organizer will coincide
with the centroid of the corresponding area. Now note that symmetry implies
30.0 mm
Z  
2
4
8
10
2 4 8 10
6
2
2 4 8 10
2
6
2 6
6 2.1803 mm
2 6
36 39.820 mm
2 6
58 54.180 mm
2 6
133 136.820 mm
2 6
6 2.1803 mm
2 5
75 78.183 mm
6 60 565.49 mm
2
5 60 942.48 mm
x
x
x
x
y y y y
y
A A A A
A









  

  

  

  

     

  
      
   
www.elsolucionario.org
Copyright © McGraw-Hill Education. Permission required for reproduction or display.
PROBLEM 5.113 (Continued)
2
, mm
A , mm
x , mm
y 3
, mm
xA 3
, mm
yA
1 (74)(60) 4440
 0 43 0 190,920
2 565.49 2.1803 2.1803 1233 1233
3 (30)(60) 1800
 21 0 37,800 0
4 565.49 39.820 2.1803 22,518 1233
5 (69)(60) 4140
 42 40.5 173,880 167,670
6 942.48 47 78.183 44,297 73,686
7 (69)(60) 4140
 52 40.5 215,280 167,670
8 565.49 54.180 2.1803 30,638 1233
9 (75)(60) 4500
 95.5 0 429,750 0
10 565.49 136.820 2.1803 77,370 1233
 22,224.44 1,032,766 604,878
We have 2 3
: (22,224.44 mm ) 1,032,766 mm
X A xA X
    or 46.5 mm
X  
2 3
: (22,224.44 mm ) 604,878 mm
Y A yA Y
    or 27.2 mm
Y  
www.elsolucionario.org
Copyright © McGraw-Hill Education. Permission required for reproduction or display.
PROBLEM 5.114
A thin steel wire of uniform cross section is bent into the shape
shown. Locate its center of gravity.
SOLUTION
First assume that the wire is homogeneous so that its center of gravity
will coincide with the centroid of the corresponding line.
2 2
2 2.4 4.8
m
x z
 

  
, m
L , m
x , m
y , m
z 2
, m
xL 2
, m
yL 2
, m
zL
1 2.6 1.2 0.5 0 3.12 1.3 0
2 2.4 1.2
2


 
4.8

0
4.8

5.76 0 5.76
3 2.4 0 0 1.2 0 0 2.88
4 1.0 0 0.5 0 0 0.5 0
 9.7699 8.88 1.8 8.64
We have 2
: (9.7699 m) 8.88 m
   
X L x L X or 0.909 m

X 
2
: (9.7699 m) 1.8 m
   
Y L yL Y or 0.1842 m

Y 
2
: (9.7699 m) 8.64 m
   
Z L z L Z or 0.884 m

Z 
www.elsolucionario.org
Copyright © McGraw-Hill Education. Permission required for reproduction or display.
PROBLEM 5.115
The frame of a greenhouse is constructed from uniform aluminum
channels. Locate the center of gravity of the portion of the frame shown.
SOLUTION
First assume that the channels are homogeneous so that the center of gravity
of the frame will coincide with the centroid of the corresponding line.
8 9
8 9
2 3 6
ft
2 3
5 6.9099 ft
x x
y y
 


  

   
, ft
L , ft
x , ft
y , ft
z 2
, ft
xL 2
, ft
yL 2
, ft
zL
1 2 3 0 1 6 0 2
2 3 1.5 0 2 4.5 0 6
3 5 3 2.5 0 15 12.5 0
4 5 3 2.5 2 15 12.5 10
5 8 0 4 2 0 32 16
6 2 3 5 1 6 10 2
7 3 1.5 5 2 4.5 15 6
8 3 4.7124
2

 
6

6.9099 0 9 32.562 0
9 3 4.7124
2

 
6

6.9099 2 9 32.562 9.4248
10 2 0 8 1 0 16 2
 39.4248 69 163.124 53.4248
We have 2
: (39.4248 ft) 69 ft
X L x L X
    or 1.750 ft
X  
2
: (39.4248 ft) 163.124 ft
Y L yL Y
    or 4.14 ft
Y  
2
: (39.4248 ft) 53.4248 ft
Z L z L Z
    or 1.355 ft
Z  
www.elsolucionario.org
Copyright © McGraw-Hill Education. Permission required for reproduction or display.
PROBLEM 5.116
Locate the center of gravity of the figure shown, knowing that it is
made of thin brass rods of uniform diameter.
SOLUTION
Uniform rod:
2 2 2 2
(1m) (0.6 m) (1.5 m)
AB   
1.9 m
AB 
, m
L , m
x , m
y , m
z 2
, m
xL 2
, m
yL , m
L

AB 1.9 0.5 0.75 0.3 0.95 1.425 0.57
BD 0.6 1.0 0 0.3 0.60 0 0.18
DO 1.0 0.5 0 0 0.50 0 0
OA 1.5 0 0.75 0 0 1.125 0
 5.0 2.05 2.550 0.75
2
: (5.0 m) 2.05 m
X L x L X
    0.410 m
X  
2
: (5.0 m) 2.55 m
Y L yL Y
    0.510 m
Y  
2
: (5.0 m) 0.75 m
Z L z L Z
    0.1500 m
Z  
www.elsolucionario.org
Copyright © McGraw-Hill Education. Permission required for reproduction or display.
PROBLEM 5.117
Locate the center of gravity of the figure shown, knowing that it is
made of thin brass rods of uniform diameter.
SOLUTION
By symmetry, 0
X  
L, in. , in.
y , in.
z 2
, in
yL 2
, in
zL
AB 2 2
30 16 34
  15 0 510 0
AD 2 2
30 16 34
  15 8 510 272
AE 2 2
30 16 34
  15 0 510 0
BDE (16) 50.265
  0
2(16)
10.186

 0 512
 152.265 1530 784
2
: (152.265 in.) 1530 in
Y L yL Y
   
10.048 in.
Y  10.05 in.
Y  
 2
: (152.265 in.) 784 in
Z L z L Z
    
 5.149 in.
Z   5.15 in.
Z  
www.elsolucionario.org
Copyright © McGraw-Hill Education. Permission required for reproduction or display.
PROBLEM 5.118
A scratch awl has a plastic handle and a steel blade and shank. Knowing that the density of plastic is
1030 kg/m3
and of steel is 3
7860 kg/m , locate the center of gravity of the awl.
SOLUTION
First, note that symmetry implies 0
Y Z
  
I
3 3
I
3
II
3 2
II
3
III
3 2
III
5
(12.5 mm) 7.8125 mm
8
2
(1030 kg/m ) (0.0125 m)
3
4.2133 10 kg
52.5 mm
(1030 kg/m ) (0.025 m) (0.08 m)
4
40.448 10 kg
92.5 mm 25 mm 67.5 mm
(1030 kg/m ) (0.0035 m) (0.
4
x
W
x
W
x
W





 
 
  
 
 

 
  
 
 
  
 
   
 
3
05 m)
0.49549 10 kg

  
IV
3 2 2 3
IV
V
3 2 3
V
182.5 mm 70 mm 112.5 mm
(7860 kg/m ) (0.0035 m) (0.14 m) 10.5871 10 kg
4
1
182.5 mm (10 mm) 185 mm
4
(7860 kg/m ) (0.00175 m) (0.01 m) 0.25207 10 kg
3
x
W
x
W




  
 
  
 
 
  
 
  
 
 
www.elsolucionario.org
Copyright © McGraw-Hill Education. Permission required for reproduction or display.
PROBLEM 5.118 (Continued)
, kg
W , mm
x , kg mm
xW 
I 3
4.123 10
 7.8125 3
32.916 10

II 3
40.948 10
 52.5 3
2123.5 10

III 3
0.49549 10
  67.5 3
33.447 10
 
IV 3
10.5871 10
 112.5 3
1191.05 10

V 3
0.25207 10
 185 3
46.633 10

 3
55.005 10
 3
3360.7 10

We have 3 3
: (55.005 10 kg) 3360.7 10 kg mm
X W xW X  
      
or 61.1mm
X  
(from the end of the handle)
www.elsolucionario.org
Copyright © McGraw-Hill Education. Permission required for reproduction or display.
PROBLEM 5.119
A bronze bushing is mounted inside a steel sleeve. Knowing that the
specific weight of bronze is 0.318 lb/in3
and of steel is 0.284 lb/in3
,
determine the location of the center of gravity of the assembly.
SOLUTION
First, note that symmetry implies 0
X Z
  
Now ( )
W g V


3 2 2 2
I I
3 2 2 2
II II
3 2
III III
0.20 in. (0.284 lb/in ) [(1.8 0.75 ) in ](0.4 in.) 0.23889 lb
4
0.90 in. (0.284 lb/in ) [(1.125 0.75 ) in ](1in.) 0.156834 lb
4
0.70 in. (0.318 lb/in ) [(0.75 0
4
y W
y W
y W



 
 
   
 
 
 
 
 
 
   
 
 
 
 
 
  
 
 
2 2
.5 ) in ](1.4 in.) 0.109269 lb
 

 
 
We have
(0.20 in.)(0.23889 lb) (0.90 in.)(0.156834 lb) (0.70 in.)(0.109269 lb)
0.23889 lb 0.156834 lb 0.109269 lb
Y W yW
Y
  
 

 
or 0.526 in.
Y  
(above base)
www.elsolucionario.org
Copyright © McGraw-Hill Education. Permission required for reproduction or display.
PROBLEM 5.120
A brass collar, of length 2.5 in., is mounted on an aluminum rod
of length 4 in. Locate the center of gravity of the composite body.
(Specific weights: brass  0.306 lb/in3
, aluminum  0.101 lb/in3
)
SOLUTION
Aluminum rod:
3 2
(0.101lb/in ) (1.6 in.) (4 in.)
4
0.81229 lb
W V



 
  
 

Brass collar:
3 2 2
(0.306 lb/in. ) [(3 in.) (1.6 in.) ](2.5 in.)
4
3.8693 lb
W V



 

Component W(lb) (in.)
y (lb in.)
yW 
Rod 0.81229 2 1.62458
Collar 3.8693 1.25 4.8366
 4.6816 6.4612
: (4.6816 lb) 6.4612 lb in.
Y W yW Y
    
1.38013in.
Y  1.380 in.
Y  
www.elsolucionario.org
Copyright © McGraw-Hill Education. Permission required for reproduction or display.
PROBLEM 5.121
The three legs of a small glass-topped table are equally spaced and are
made of steel tubing, which has an outside diameter of 24 mm and a
cross-sectional area of 2
150 mm . The diameter and the thickness of the
table top are 600 mm and 10 mm, respectively. Knowing that the
density of steel is 3
7860 kg/m and of glass is 3
2190 kg/m , locate the
center of gravity of the table.
SOLUTION
First note that symmetry implies 0
X Z
  
Also, to account for the three legs, the masses of components I and II will each bex
multiplied by three
I
2 180
12 180
77.408 mm
y


  

3 6 2
I I 7860 kg/m (150 10 m ) (0.180 m)
2
0.33335 kg
ST
m V

 
    

II
2 280
12 180
370.25 mm
y


  

3 6 2
II II 7860 kg/m (150 10 m ) (0.280 m)
2
0.51855 kg
ST
m V

 
    

III 24 180 280 5
489 mm
y    

3 2
III III 2190 kg/m (0.6 m) (0.010 m)
4
6.1921kg
GL
m V


   

, kg
m , mm
y , kg mm
ym 
I 3(0.33335) 77.408 77.412
II 3(0.51855) 370.25 515.98
III 6.1921 489 3027.9
 8.7478 3681.3
We have : (8.7478 kg) 3681.3 kg mm
Y m ym Y
    
or 420.8 mm
Y 
The center of gravity is 421 mm 
(above the floor)
www.elsolucionario.org
Copyright © McGraw-Hill Education. Permission required for reproduction or display.
PROBLEM 5.122
Determine by direct integration the values of x for the two volumes obtained by passing a vertical
cutting plane through the given shape of Figure 5.21. The cutting plane is parallel to the base of the given
shape and divides the shape into two volumes of equal height.
A hemisphere
SOLUTION
Choose as the element of volume a disk of radius r and thickness dx. Then
2
, EL
dV r dx x x

 
The equation of the generating curve is 2 2 2
x y a
  so that 2 2 2
r a x
  and then
2 2
( )
dV a x dx

 
Component 1:
/2
3
/2
2 2 2
1
0
0
3
( )
3
11
24
a
a x
V a x dx a x
a
 

 
   
 
 


and
/2
2 2
1 0
/2
2 4
2
0
4
( )
2 4
7
64
a
EL
a
x dV x a x dx
x x
a
a



 
 
 
 
 
 
 

 
Now 3 4
1 1 1
1
11 7
:
24 64
EL
x V x dV x a a
 
 
 
 
 
 1
21
or
88
x a
 
Component 2:
 
3
2 2 2
2
/2
/2
3
3
2
2 2
3
( )
3
( )
3 2 3
5
24
a
a
a
a
a
x
V a x dx a x
a a
a a a
a
 


 
   
 
 
 
 
 
 
 
 
   
 
   
 
 
 
 
 
 


www.elsolucionario.org
Copyright © McGraw-Hill Education. Permission required for reproduction or display.
PROBLEM 5.122 (Continued)
and
   
2 4
2 2 2
2 /2
/2
2 4
2 4
2 2
2 2
4
( )
2 4
( ) ( )
2 4 2 4
9
64
a
a
EL
a
a
a a
x x
x dV x a x dx a
a a
a a
a
 


 
 
   
 
 
 
 
 
 
 
 
   
 
 
 
 
 
 
 

 
Now 3 4
2 2 2
2
5 9
:
24 64
EL
x V x dV x a a
 
 
 
 
 
 2
27
or
40
x a
 
www.elsolucionario.org
Copyright © McGraw-Hill Education. Permission required for reproduction or display.
PROBLEM 5.123
Determine by direct integration the values of x for the two volumes obtained by passing a vertical
cutting plane through the given shape of Figure 5.21. The cutting plane is parallel to the base of the given
shape and divides the shape into two volumes of equal height.
A semiellipsoid of revolution
SOLUTION
Choose as the element of volume a disk of radius r and thickness dx. Then
2
, EL
dV r dx x x

 
The equation of the generating curve is
2 2
2 2
1
x y
h a
  so that
2
2 2 2
2
( )
a
r h x
h
 
and then
2
2 2
2
( )
a
dV h x dx
h

 
Component 1:
/2
2 2 3
/2
2 2 2
1 2 2
0
0
2
( )
3
11
24
h
h a a x
V h x dx h x
h h
a h
 

 
   
 
 


and
2
/2
2 2
2
1 0
/2
2 2 4
2
2
0
2 2
( )
2 4
7
64
h
EL
h
a
x dV x h x dx
h
a x x
h
h
a h



 
 
 
 
 
 
 
 

 
Now 2 2 2
1 1 1
1
11 7
:
24 64
EL
x V x dV x a h a h
 
 
 
 
 
 1
21
or
88
x h
 
Component 2:
 
 
2 2 3
2 2 2
2 2 2
/2
/2
3
2 3
2
2 2
2
2
( )
3
( )
3 2 3
5
24
h
h
h
h
h
a a x
V h x dx h x
h h
a h h
h h h
h
a h
 


 
   
 
 
 
 
 
 
 
 
   
 
   
 
 
 
 
 
 


www.elsolucionario.org
Copyright © McGraw-Hill Education. Permission required for reproduction or display.
PROBLEM 5.123 (Continued)
and
2
2 2
2
2 /2
2 2 4
2
2
/2
( )
2 4
h
EL
h
h
h
a
x dV x h x dx
h
a x x
h
h


 
 
 
 
 
 
 
 
 
   
2 4
2 2 4
2 2
2 2
2
2 2
( ) ( )
2 4 2 4
9
64
h h
a h h
h h
h
a h


 
 
 
 
 
   
 
 
 
 
 
 
 

Now 2 2 2
2 2 2
2
5 9
:
24 64
EL
x V x dV x a h a h
 
 
 
 
 
 2
27
or
40
x h
 
www.elsolucionario.org
Copyright © McGraw-Hill Education. Permission required for reproduction or display.
PROBLEM 5.124
Determine by direct integration the values of x for the two volumes obtained by passing a vertical
cutting plane through the given shape of Figure 5.21. The cutting plane is parallel to the base of the given
shape and divides the shape into two volumes of equal height.
A paraboloid of revolution
SOLUTION
Choose as the element of volume a disk of radius r and thickness dx. Then
2
, EL
dV r dx x x

 
The equation of the generating curve is 2
2
h
x h y
a
  so that
2
2
( ).
a
r h x
h
 
and then
2
( )
a
dV h x dx
h

 
Component 1:
2
/2
1
0
/2
2 2
0
2
( )
2
3
8
h
h
a
V h x dx
h
a x
hx
h
a h



 
 
 
 
 


and
2
/2
1 0
/2
2 2 3
2 2
0
( )
1
2 3 12
h
EL
h
a
x dV x h x dx
h
a x x
h a h
h

 
 
 
 
 
 
  
 
 
 
Now 2 2 2
1 1 1
1
3 1
:
8 12
EL
x V x dV x a h a h
 
 
 
 
 
 1
2
or
9
x h
 
Component 2:
 
2 2 2
2
/2
/2
2
2 2
2
2
( )
2
( )
( )
2 2 2
1
8
h
h
h
h
h
a a x
V h x dx hx
h h
a h h
h h h
h
a h
 


 
   
 
 
 
 
 
 
 
 
   
 
   
 
 
 
 
 
 


www.elsolucionario.org
Copyright © McGraw-Hill Education. Permission required for reproduction or display.
PROBLEM 5.124 (Continued)
and
   
2 2 2 3
2 /2
/2
2 3
2 2 3
2 2
2 2
( )
2 3
( ) ( )
2 3 2 3
1
12
h
h
EL
h
h
h h
a a x x
x dV x h x dx h
h h
a h h
h h
h
a h
 


   
   
   
   
 
 
 
 
 
   
 
   
 
 
 
 

 
Now 2 2 2
2 2 2
2
1 1
:
8 12
EL
x V x dV x a h a h
 
 
 
 
 
 2
2
or
3
x h
 
www.elsolucionario.org
Copyright © McGraw-Hill Education. Permission required for reproduction or display.
PROBLEM 5.125
Locate the centroid of the volume obtained by rotating the shaded area
about the x-axis.
SOLUTION
First, note that symmetry implies 0
y  
0
z  
Choose as the element of volume a disk of radius r and thickness dx.
Then 2
, EL
dV r dx x x

 
Now
1
1
r
x
  so that
2
2
1
1
2 1
1
dV dx
x
dx
x x


 
 
 
 
 
  
 
 
Then
3
3
2
1
1
3
2 1 1
1 2ln
1 1
3 2ln3 1 2ln1
3 1
(0.46944 ) m
V dx x x
x x
x
 


   
     
   
   
 
   
     
 
   
   
 


and
3
2
3
2
1
1
2 3
2 1
1 2 ln
2
3 1
2(3) ln3 2(1) ln1
2 2
(1.09861 ) m
EL
x
x dV x dx x x
x x
 


 
 
 
     
 
 
 
 
   
 
   
 
     
 
   
 
   
 

 
Now 3 4
: (0.46944 m ) 1.09861 m
EL
xV x dV x  
 
 or 2.34 m
x  
www.elsolucionario.org
Copyright © McGraw-Hill Education. Permission required for reproduction or display.
PROBLEM 5.126
Locate the centroid of the volume obtained by rotating the shaded area
about the x-axis.
SOLUTION
First note that symmetry implies 0
y  
and 0
z  
We have 2
( )
y k X h
 
At 0, ,
x y a
  2
( )
a k h
 
or 2
a
k
h

Choose as the element of volume a disk of radius r and thickness dx. Then
2
, EL
dV r dx X x

 
Now 2
2
( )
a
r x h
h
 
so that
2
4
4
( )
a
dV x h dx
h

 
Then
2 2
4 5
0
4 4
0
2
( ) [( ) ]
5
1
5
h
h
a a
V x h dx x h
h h
a h



   


and
2
4
4
0
2
5 4 2 3 3 2 4
4 0
2
6 5 2 4 3 3 4 2
4
0
2 2
( )
( 4 6 4 )
1 4 3 4 1
6 5 2 3 2
1
30
h
EL
h
h
a
x dV x x h dx
h
a
x hx h x h x h x dx
h
a
x hx h x h x h x
h
a h




 
 
 
 
    
 
    
 
 

 

Now 2 2 2
:
5 30
EL
xV x dV x a h a h
 
 
 
 
 

1
or
6
x h
 
www.elsolucionario.org
Copyright © McGraw-Hill Education. Permission required for reproduction or display.
PROBLEM 5.127
Locate the centroid of the volume obtained by rotating the shaded
area about the line .
x h

SOLUTION
First, note that symmetry implies x h
 
0
z  
Choose as the element of volume a disk of radius r and thickness dx. Then
2
, EL
dV r dy y y

 
Now
2
2 2 2
2
( )
h
x a y
a
  so that 2 2
.
h
r h a y
a
  
Then  
2 2
2 2
2
h
dV a a y dy
a

  
and  
2 2
2 2
2
0
a h
V a a y dy
a

  

Let sin cos
y a dy a d
  
  
Then  
2 2
/2
2 2 2
2 0
2 /2
2 2 2 2
2 0
/2
2 2 2
0
sin cos
2 ( cos ) ( sin ) cos
(2cos 2cos sin cos )
h
V a a a a d
a
h
a a a a a a d
a
ah d



   
    
     
  
 
   
 
  



/2
2 3
0
2 2
2
sin 2 1
2sin 2 sin
2 4 3
1
2 2
2 3
0.095870
ah
ah
ah


 
  


 
 
   
 
 
 
 
 
 
  
 
 
 
 
 
 

www.elsolucionario.org
Copyright © McGraw-Hill Education. Permission required for reproduction or display.
PROBLEM 5.127 (Continued)
and  
 
2 2
2 2
2
0
2
2 2 2 3
2 0
2 2
a
EL
a
h
y dV y a a y dy
a
h
a y ay a y y dy
a


 
  
 
 
   
 

2
2 2 2 2 3/2 4
2
0
2
2 2 4 2 3/2
2
2 2
2 1
( )
3 4
1 2
( ) ( )
4 3
1
12
a
h
a y a a y y
a
h
a a a a a
a
a h



 
   
 
 
 
   
  
 
   
   
 

Now :
EL
yV y dV
  2 2 2
1
(0.095870 )
12
y ah a h
 
 or 0.869
y a
 
www.elsolucionario.org
Copyright © McGraw-Hill Education. Permission required for reproduction or display.
PROBLEM 5.128*
Locate the centroid of the volume generated by revolving the
portion of the sine curve shown about the x-axis.
SOLUTION
First, note that symmetry implies 0
y  
0
z  
Choose as the element of volume a disk of radius r and thickness dx.
Then 2
, EL
dV r dx x x

 
Now sin
2
x
r b
a


so that 2 2
sin
2
x
dV b dx
a



Then
   
2
2 2
2
2 2
2 2
2 2
2
sin
2
sin
2 2
1
2
a
a
a
x
a
a a
a a
x
V b dx
a
x
b
b
ab








 
 
 
 
 
 
 
 


and
2
2 2
sin
2
a
EL
a
x
x dV x b dx
a


 
  
 
 
Use integration by parts with
2
2
sin
2
sin
2
x
a
a
x
u x dV
a
x
du dx V



 
  
www.elsolucionario.org
Copyright © McGraw-Hill Education. Permission required for reproduction or display.
PROBLEM 5.128* (Continued)
Then
2
2
2
2 2
2
2
2 2
2
sin sin
2 2
2 1
2 cos
2 2 4 2
a
x x
a
a a
EL
a
a a
a
a
a
x x
x dV b x dx
a a a x
b a a x
a
 
 




 
 
   
 
   
 
   
 
   
 
 
   
 
 
 
 
 
 
   
   
 
 
 
   
   
   
 
 
 
2 2
2 2 2 2
2 2
2 2
2
2 2
3 1 1
(2 ) ( )
2 4 4
2 2
3 1
4
0.64868
a a
b a a a
a b
a b

 



 
 
 
 
    
 
 
 
 
 
 
 
 
 
 
 

Now 2 2 2
1
: 0.64868
2
EL
xV x dV x ab a b
 
 
 
 
 
 or 1.297
x a
 
www.elsolucionario.org
Copyright © McGraw-Hill Education. Permission required for reproduction or display.
PROBLEM 5.129*
Locate the centroid of the volume generated by revolving the
portion of the sine curve shown about the y-axis. (Hint: Use a thin
cylindrical shell of radius r and thickness dr as the element of
volume.)
SOLUTION
First note that symmetry implies 0
x  
0
z  
Choose as the element of volume a cylindrical shell of radius r and thickness dr.
Then
1
(2 )( )( ),
2
EL
dV r y dr y y

 
Now sin
2
r
y b
a


so that 2 sin
2
r
dV br dr
a



Then
2
2 sin
2
a
a
r
V br dr
a


 
Use integration by parts with
sin
2
2
cos
2
r
u rd dv dr
a
a r
du dr v
a



 
  
Then
 
2
2
2
2
2
2 2
2 ( ) cos cos
2 2
2 4
2 ( )( ) sin
2 1
2
a
a
a
a
a
a
a r a r
V b r dr
a a
a a r
b a
a
 

 


 
 
 
 
   
  
 
 
   
   
 
 
 
 
 
 
  
 
 

 
 
 

2 2
2
2
2
4 4
2
1
8 1
5.4535
a a
V b
a b
a b

 

 
 
 
 
 
 
 
 
 

www.elsolucionario.org
Copyright © McGraw-Hill Education. Permission required for reproduction or display.
PROBLEM 5.129* (Continued)
Also
2
1
2
2
2 2
sin 2 sin
2 2
sin
2
a
EL
a
a
a
r r
y dV b br dr
a a
r
b r dr
a
 



  
   
  

 

Use integration by parts with
2
2
sin
2
sin
2
r
a
a
r
u r dv dr
a
r
du dr v



 
  
Then
2
2
2
2 2
2
2 2
2
2
sin sin
( )
2 2
2
(2 ) ( ) cos
2 2 4 2
a
r r
a
a a
EL
a
a a
a
a
a
r r
y dV b r dr
a a r a r
b a a
a
 
 




 
 
   
 
   
 
   
 
   
 
 
   
 
 
 
 
 
 
   
   
 
 
 
   
   
   
 
 
 
2 2 2 2
2 2
2 2
2 2
2
2 2
3 (2 ) ( )
2 4 4
2 2
3 1
4
2.0379
a a a a
b a
a b
a b

 


 
 
 
    
 
 
 
 
 
 
 
 
 

Now 2 2 2
: (5.4535 ) 2.0379
EL
yV y dV y a b a b
 
 or 0.374
y b
 
www.elsolucionario.org
Copyright © McGraw-Hill Education. Permission required for reproduction or display.
PROBLEM 5.130*
Show that for a regular pyramid of height h and n sides ( 3, 4, )
n   the centroid of the volume of the
pyramid is located at a distance h/4 above the base.
SOLUTION
Choose as the element of a horizontal slice of thickness dy. For any number N of sides, the area of the
base of the pyramid is given by
2
base
A kb

where ( );
k k N
 see note below. Using similar triangles, we have
s h y
b h


or ( )
b
s h y
h
 
Then
2
2 2
slice 2
( )
b
dV A dy ks dy k h y dy
h
   
and
2 2
2 3
2 2
0
0
2
1
( ) ( )
3
1
3
h
h b b
V k h y dy k h y
h h
kb h
 
    
 
 


Also, EL
y y

so that
2 2
2 2 2 3
2 2
0 0
2
2 2 3 4 2 2
2
0
( ) ( 2 )
1 2 1 1
2 3 4 12
h h
EL
h
b b
y dV y k h y dy k h y hy y dy
h h
b
k h y hy y kb h
h
 
    
 
 
 
   
 
 
  
Now 2 2 2
1 1
:
3 12
EL
yV y dV y kb h kb h
 
 
 
 
 or
1
Q.E.D.
4
y h
 
Note: 2
base tan
2
2
1
2
4 tan
( )
N
b
N
A N b
N
b
k N b


 
  
 
 
 



www.elsolucionario.org
Copyright © McGraw-Hill Education. Permission required for reproduction or display.
PROBLEM 5.131
Determine by direct integration the location of the centroid of one-half of
a thin, uniform hemispherical shell of radius R.
SOLUTION
First note that symmetry implies 0
x  
The element of area dA of the shell shown is obtained by cutting the shell with two planes parallel to the
xy plane. Now
( )( )
2
EL
dA r Rd
r
y
 


 
where sin
r R 

so that 2
sin
2
sin
EL
dA R d
R
y
  



 
Then
/2
2 2 /2
0
0
2
sin [ cos ]
A R d R
R


    

  


and
/2
2
0
/2
3
0
3
2
sin ( sin )
sin 2
2
2 4
2
EL
R
y dA R d
R
R


   

 

 
 
 
 
 
  
 
 
 
 
Now 2 3
: ( )
2
EL
yA y dA y R R


  
 or
1
2
y R
  
Symmetry implies z y

1
2
z R
  
www.elsolucionario.org
Copyright © McGraw-Hill Education. Permission required for reproduction or display.
PROBLEM 5.132
The sides and the base of a punch bowl are of
uniform thickness t. If t R
 and R  250 mm,
determine the location of the center of gravity of
(a) the bowl, (b) the punch.
SOLUTION
(a) Bowl:
First note that symmetry implies 0
x  
0
z  
for the coordinate axes shown below. Now assume that the bowl may be treated as a shell; the
center of gravity of the bowl will coincide with the centroid of the shell. For the walls of the bowl,
an element of area is obtained by rotating the arc ds about the y-axis. Then
wall (2 sin )( )
dA R R d
  

and wall
( ) cos
EL
y R 
 
Then
/2
2
wall
/6
/2
2
/6
2
2 sin
2 [ cos ]
3
A R d
R
R




  
 


 


and wall wall wall
/2
2
/6
/2
3 2
/6
3
( )
( cos )(2 sin )
[cos ]
3
4
EL
y A y dA
R R d
R
R




   
 


 

 


By observation, 2
base base
3
,
4 2
A R y R

  
Now y A yA
  
or 2 2 3 2
3 3
3
4 4 4 2
y R R R R R
 
 
 
 
    
 
   
   
or 0.48763 250 mm
y R R
   121.9 mm
y   
www.elsolucionario.org
Copyright © McGraw-Hill Education. Permission required for reproduction or display.
PROBLEM 5.132 (Continued)
(b) Punch:
First note that symmetry implies 0
x  
0
z  
and that because the punch is homogeneous, its center of gravity will coincide with the centroid of
the corresponding volume. Choose as the element of volume a disk of radius x and thickness dy.
Then
2
, EL
dV x dy y y

 
Now 2 2 2
x y R
 
so that 2 2
( )
dV R y dy

 
Then
0
2 2
3/2
0
2 3
3/2
3
2 3
( )
1
3
3 1 3 3
3
2 3 2 8
R
R
V R y dy
R y y
R R R R


 


 
 
 
 
 
 
   
 
     
   
   
 
   
 

and  
0
2 2
3/2
0
2 2 4
3/2
2 4
2 4
( )
1 1
2 4
1 3 1 3 15
2 2 4 2 64
EL
R
R
y dV y R y dy
R y y
R R R R


 


 
 
 
 
 
 
 
 
   
 
      
   
   
 
   
 
 
Now 3 4
3 15
: 3
8 64
EL
yV y dV y R R
 
 
  
 
 

or
5
250 mm
8 3
y R R
   90.2 mm
y   
www.elsolucionario.org
Copyright © McGraw-Hill Education. Permission required for reproduction or display.
PROBLEM 5.133
Locate the centroid of the section shown, which was cut from a thin circular
pipe by two oblique planes.
SOLUTION
First note that symmetry implies 0
x  
Assume that the pipe has a uniform wall thickness t and choose as the element of volume a vertical strip
of width ad and height 2 1
( ).
y y
 Then
2 1 1 2
1
( ) , ( )
2
EL EL
dV y y ta d y y y z z

    
Now 3
1
2 6
 
h
h
y z
a
2
3
2
2
2 3
  
h
y z h
a
( )
6
 
h
z a
a
( 2 )
3
  
h
z a
a
and cos
z a 

Then 2 1
( ) ( cos 2 ) ( cos )
3 6
(1 cos )
2
h h
y y a a a a
a a
h
 

     
 
and 1 2
( ) ( cos ) ( cos 2 )
6 3
(5 cos )
6
(1 cos ) (5 cos ), cos
2 12
EL EL
h h
y y a a a a
a a
h
aht h
dV d y z a
 

   
     
 
    
www.elsolucionario.org
Copyright © McGraw-Hill Education. Permission required for reproduction or display.
PROBLEM 5.133 (Continued)
Then 0
0
2 (1 cos ) [ sin ]
2
aht
V d aht
aht


   

   


and
0
2
2
0
2
0
2
2 (5 cos ) (1 cos )
12 2
(5 6cos cos )
12
sin 2
5 6sin
12 2 4
11
24
EL
h aht
y dV d
ah t
d
ah t
ah t



  
  
 
 

 
  
 
 
  
 
   
 
 

 

0
2
0
2
2 cos (1 cos )
2
sin 2
sin
2 4
1
2
EL
aht
z dV a d
a ht
a ht


  
 


 
 
 
 
 
  
 
 
 
 
Now 2
11
: ( )
24
EL
yV y dV y aht ah t
 
 
 or
11
24
y h
 
and 2
1
: ( )
2
 
  
 EL
zV z dV z aht a ht or
1
2
z a
  
www.elsolucionario.org
Copyright © McGraw-Hill Education. Permission required for reproduction or display.
PROBLEM 5.134*
Locate the centroid of the section shown, which was cut from an
elliptical cylinder by an oblique plane.
SOLUTION
First note that symmetry implies 0
x  
Choose as the element of volume a vertical slice of width zx, thickness dz, and height y. Then
1
2 , ,
24
EL EL
dV xy dz y z z
  
Now 2 2
a
x b z
b
 
and
/2
( )
2 2
    
h h h
y z b z
b b
Then 2 2
2 ( )
2

  
  
  
  

b
b
a h
V b z b z dz
b b
Let sin cos
z b dz b d
  
 
Then
/2
2 /2
/2
2 2
/2
/2
3
/2
( cos )[ (1 sin )] cos
(cos sin cos )
sin 2 1
cos
2 4 3
1
2
ah
V b b b d
b
abh d
abh
V abh






   
   
 




 
 
 
  
 
 



www.elsolucionario.org
Copyright © McGraw-Hill Education. Permission required for reproduction or display.
PROBLEM 5.134* (Continued)
and 2 2
2
2 2 2
3
1
( ) 2 ( )
2 2 2
1
( )
4


 
    
    
 
 
   
    
 
  
 

b
EL
b
b
b
h a h
y dV b z b z b z dz
b b b
ah
b z b z dz
b
Let sin cos
z b dz b d
  
 
Then
2 /2
2
3 /2
/2
2 2 2 2 2
/2
1
[ (1 sin )] ( cos ) ( cos )
4
1
(cos 2sin cos sin cos )
4




   
     


  
  
 

EL
ah
y dV b b b d
b
abh d
Now 2 2
1 1
sin (1 cos2 ) cos (1 cos2 )
2 2
   
   
so that 2 2 2
1
sin cos (1 cos 2 )
4
  
 
Then
/2
2 2 2 2
/2
/2
2 3
/2
2
1 1
cos 2sin cos (1 cos 2 )
4 4
1 sin 2 1 1 1 sin 4
cos
4 2 4 3 4 4 2 8
5
32
EL
y dV abh d
abh
abh




    
   
 



 
   
 
 
 
   
     
 
   
   
 

 
Also, 2 2
2 2
2
2 ( )
2
( )


 
 
  
 
 
 
 
  
 

b
EL
b
b
b
a h
z dV z a z b z dz
b b
ah
z b z b z dz
b
Let sin cos
z b dz b d
  
 
Then
/2
2 /2
/2
2 2 2 2
/2
( sin )[ (1 sin )]( cos ) ( cos )
(sin cos sin cos )
EL
ah
z dV b b b b d
b
ab h d




    
    


  
 
 

Using 2 2 2
1
sin cos (1 cos 2 )
4
  
  from above,
/2
2 2 2
/2
1
sin cos (1 cos 2 )
4
EL
z dV ab h d


   

 
  
 
 
 
/2
2 3 2
/2
1 1 1 sin 4 1
cos
3 4 4 2 8 8
ab h ab h


 
  

 
 
      
 
 
 
 
www.elsolucionario.org
Copyright © McGraw-Hill Education. Permission required for reproduction or display.
PROBLEM 5.134* (Continued)
Now 2
1 5
:
2 32
EL
yV y dV y abh abh
 
 
 
 
 
 or
5
16
y h
 
and 2
1 1
:
2 8
EL
z V z dV z abh ab h
 
 
  
 
 
 or
1
4
z b
  
www.elsolucionario.org
Copyright © McGraw-Hill Education. Permission required for reproduction or display.
PROBLEM 5.135
Determine by direct integration the location of the centroid
of the volume between the xz plane and the portion shown
of the surface y  16h(ax  x2
)(bz  z2
)/a2
b2
.
SOLUTION
First note that symmetry implies
2
a
x  
2
b
z  
Choose as the element of volume a filament of base dx dz
 and height y. Then
1
,
2
EL
dV y dxdz y y
 
or 2 2
2 2
16
( )( )
h
dV ax x bz z dxdz
a b
  
Then 2 2
2 2
0 0
16
( )( )
b a h
V ax x bz z dxdz
a b
  
 
2 2 3
2 2 0
0
2 3 2 3
2 2
0
2 3
2
16 1
( )
3
16 1 1
( ) ( )
2 3 2 3
8 1
( ) ( )
2 3
3
4
9
a
b
b
h a
V bz z x x dz
z
a b
h a b
a a z z
a b
ah b
b b
b
abh
 
  
 
 
   
  
   
   
 
 
 
 


www.elsolucionario.org
Copyright © McGraw-Hill Education. Permission required for reproduction or display.
PROBLEM 5.135 (Continued)
and 2 2 2 2
2 2 2 2
0 0
2
2 2 3 4 2 2 3 4
4 4 0 0
2 2
2 2 3 4 3 4 5
2 4 0
0
1 16 16
( )( ) ( )( )
2
128
( 2 )( 2 )
128 1
( 2 )
3 2 5
b a
EL
b a
a
b
h h
y dV ax x bz z ax x bz z dxdz
a b a b
h
a x ax x b z bz z dxdz
a b
h a a
b z bz z x x x dz
a b
   
    
   
   
    
 
    
 
 
  
 

2 2 2
3 4 5 3 4 5
4 4
0
2 3
3 4 5 2
4
128 1 1
( ) ( ) ( )
3 2 5 3 5
64 1 32
( ) ( ) ( )
3 2 5 225
15
b
h a a b b
a a a z z z
z
a b
ah b b
b b b abh
b
   
    
   
   
 
   
 
 
Now 2
4 32
:
9 225
EL
yV y dV y abh abh
 
 
 
 
 or
8
25
y h
 
www.elsolucionario.org
Copyright © McGraw-Hill Education. Permission required for reproduction or display.
PROBLEM 5.136
After grading a lot, a builder places four stakes to
designate the corners of the slab for a house. To provide a
firm, level base for the slab, the builder places a minimum
of 3 in. of gravel beneath the slab. Determine the volume
of gravel needed and the x coordinate of the centroid of
the volume of the gravel. (Hint: The bottom surface of
the gravel is an oblique plane, which can be represented
by the equation y  a  bx  cz.)
SOLUTION
The centroid can be found by integration. The equation for the bottom of the gravel is ,
y a bx cz
  
where the constants a, b, and c can be determined as follows:
For 0
x  and 0,
z  3 in., and therefore,
y  
3 1
ft , or ft
12 4
a a
   
For 30 ft and 0, 5 in.,
x z y
    and therefore,
5 1 1
ft ft (30 ft), or
12 4 180
b b
     
For 0 and 50 ft, 6 in.,
x z y
    and therefore,
6 1 1
ft ft (50 ft), or
12 4 200
c c
     
Therefore,
1 1 1
ft
4 180 200
y x z
   
Now
EL
x dV
x
V


A volume element can be chosen as
| |
dV y dxdz

or
1 1 1
1
4 45 50
dV x z dxdz
 
  
 
 
and EL
x x

www.elsolucionario.org
Copyright © McGraw-Hill Education. Permission required for reproduction or display.
PROBLEM 5.136 (Continued)
Then
50 30
0 0
1 1
1
4 45 50
EL
x
x dV x z dxdz
 
  
 
 
  
30
2
50
3 2
0
0
50
0
50
2
0
4
1 1
4 2 135 100
1
(650 9 )
4
1 9
650
4 2
10937.5 ft
x z
x x dz
z dz
z z
 
  
 
 
 
 
 
 
 



The volume is
50 30
0 0
1 1 1
1
4 45 50
V dV x z dxdz
 
  
 
 
  
30
50
2
0
0
50
0
50
2
0
3
1 1
4 90 50
1 3
40
4 5
1 3
40
4 10
687.50 ft
z
x x x dz
z dz
z z
 
  
 
 
 
 
 
 
 
 
 
 



Then
4
3
10937.5ft
15.9091 ft
687.5 ft
EL
x dV
x
V
  

Therefore, 3
688 ft
V  
15.91ft
x  
www.elsolucionario.org
Copyright © McGraw-Hill Education. Permission required for reproduction or display.
PROBLEM 5.137
Locate the centroid of the plane area shown.
SOLUTION
2
, in
A , in
x , in
y 3
, in
xA 3
, in
yA
1
1
(12)(6) 36
2
 4 4 144 144
2 (6)(3) 18
 9 7.5 162 135
 54 306 279
Then XA xA
 
(54) 306
X  5.67 in.
X  
(54) 279
YA yA
Y
 
 5.17 in.
Y  
www.elsolucionario.org
Copyright © McGraw-Hill Education. Permission required for reproduction or display.
PROBLEM 5.138
Locate the centroid of the plane area shown.
SOLUTION
2
, mm
A , mm
x , mm
y 3
, mm
xA 3
, mm
yA
1
1
(120)(75) 4500
2
 80 25 3
360 10
 3
112.5 10

2 (75)(75) 5625
 157.5 37.5 3
885.94 10
 3
210.94 10

3
2
(75) 4417.9
4

   163.169 43.169 3
720.86 10
  3
190.716 10
 
 5707.1 3
525.08 10
 3
132.724 10

Then 3
(5707.1) 525.08 10
XA x A X
    92.0 mm
X  
3
(5707.1) 132.724 10
YA y A Y
    23.3 mm
Y  
www.elsolucionario.org
Copyright © McGraw-Hill Education. Permission required for reproduction or display.
PROBLEM 5.139
A uniform circular rod of weight 8 lb and radius 10 in. is attached to a pin at C
and to the cable AB. Determine (a) the tension in the cable, (b) the reaction at C.
SOLUTION
For quarter circle,
2r
r


(a)
2
0: 0
C
r
M W Tr

 
   
 
 
2 2
(8 lb)
T W
 
   
 
   
   
5.09 lb
T  
(b) 0: 0 5.09 lb 0
x x x
F T C C
      5.09 lb
x 
C
0: 0 8 lb 0
y y y
F C W C
      8 lb
y 
C
9.48 lb

C 57.5° 
www.elsolucionario.org
Copyright © McGraw-Hill Education. Permission required for reproduction or display.
PROBLEM 5.140
Determine by direct integration the centroid of the area shown. Express
your answer in terms of a and h.
SOLUTION
3
(1 )
y h kx
 
For , 0.
x a y
 
3
0 (1 )
 
h k a
3
1
k
a
 
3
3
1
x
y h
a
 
 
 
 
 
1
,
2
EL EL
x x y y dA ydx
  
3 4
3 3
0 0
0
3
1
4
4
a
a a x x
A dA ydx h dx h x ah
a a
   
      
   
 
   
  
4 2 5
2
3 3
0 0
0
3
2 10
5
a
a a
EL
x x x
x dA xydx h x dx h a h
a a
   
     
   
 
   
  
3 2 3 6
2
3 3 6
0 0 0
1 1 2
1 1
2 2 2
a a a
EL
x h x x
y dA y ydx h dx dx
a a a
   
 
     
   
     
     
   
2 4 7
2
3 6
0
9
2 28
2 7
a
h x x
x ah
a a
 
   
 
 
2
3 3
:
4 10
EL
xA x dA x ah a h
 
 
 
 

2
5

x a 
2
3 9
:
4 28
EL
yA y dA y ah ah
 
 
 
 

3
7

y h 
www.elsolucionario.org
Copyright © McGraw-Hill Education. Permission required for reproduction or display.
PROBLEM 5.141
Determine by direct integration the centroid of the area shown.
SOLUTION
1
2
EL EL
x x y y dA y dx
  
2 2 3
2 2
0
0
2 2 3
2 2
0 0
2 3 4
2
2
0
2 5
1 2
2 3 6
1 2 2
1 2 1
2 3 4 3
L
L
L L
EL
L
x x x x
A dA h dx h x hL
L L
L L
x x x x
x dA xh dx h x dx
L L
L L
x x x
h hL
L L
   
       
   
 
   
   
     
   
   
   
 
   
 
 
 
  
2
5 1
:
6 3
 
 
 
 
 EL
xA x dA x hL hL
2
5

x L 
2
2
5 1
1 2
6 2
 
    
 
 
 
EL
x x
A hL y y y h
L L
2
2 2
2
2
0
2 2 4 2 3
2 4 2 3
0
2 3 5 2 3 4
2
2 4 2 3
0
1
1 2
2 2
1 4 2 4 4
2
4 4 4
2 10
3 5 3
L
EL
L
L
h x x
y dA y dx dx
L L
h x x x x x
dx
L
L L L L
h x x x x x
x h L
L
L L L L
 
   
 
 
 
 
     
 
 
 
 
      
 
 
  

2
5 4
:
6 10
EL
yA y dA y hL h L
 
 
 
 

12
25
y h
 
www.elsolucionario.org
Copyright © McGraw-Hill Education. Permission required for reproduction or display.
PROBLEM 5.142
The escutcheon (a decorative plate placed on a pipe where
the pipe exits from a wall) shown is cast from brass.
Knowing that the density of brass is 8470 kg/m3
,
determine the mass of the escutcheon.
SOLUTION
The mass of the escutcheon is given by (density) ,
m V
 where V is the volume. V can be generated by
rotating the area A about the x-axis.
From the figure: 2 2
1
2
75 12.5 73.9510 m
37.5
76.8864 mm
tan 26
L
L
  
 

2 1
1
2.9324 mm
12.5
sin 9.5941
75
26 9.5941
8.2030 0.143168 rad
2
a L L



  
  
  
   
Area A can be obtained by combining the following four areas:
Applying the second theorem of Pappus-Guldinus and using Figure 5.8a, we have
2 2
V yA yA
 
  
Seg. 2
, mm
A , mm
y 3
, mm
yA
1
1
(76.886)(37.5) 1441.61
2

1
(37.5) 12.5
3
 18,020.1
2 2
(75) 805.32

  
2(75)sin
sin ( ) 15.2303
3

 

  12,265.3
3
1
(73.951)(12.5) 462.19
2
  
1
(12.5) 4.1667
3
 1925.81
4 (2.9354)(12.5) 36.693
  
1
(12.5) 6.25
2
 229.33
 3599.7
www.elsolucionario.org
Copyright © McGraw-Hill Education. Permission required for reproduction or display.
PROBLEM 5.142 (Continued)
Then
3
3
3 6 3
2
2 (3599.7 mm )
22,618 mm
(density)
(8470 kg/m )(22.618 10 m )
V yA
m V



 



 
0.191574 kg
 or 0.1916 kg
m  
www.elsolucionario.org
Copyright © McGraw-Hill Education. Permission required for reproduction or display.
PROBLEM 5.143
Determine the reactions at the beam supports for the given loading.
SOLUTION
I
I
II
II
(200 lb/ft)(15 ft)
3000 lb
1
(200 lb/ft)(6 ft)
2
600 lb
R
R
R
R




0: (3000 lb)(1.5 ft) (600 lb)(9 ft 2ft) (15 ft) 0
A
M B
      
740 lb
B  740 lb

B 
0: 740 lb 3000 lb 600 lb 0
y
F A
     
2860 lb
A  2860 lb

A 
www.elsolucionario.org
Copyright © McGraw-Hill Education. Permission required for reproduction or display.
PROBLEM 5.144
A beam is subjected to a linearly distributed downward load
and rests on two wide supports BC and DE, which exert
uniformly distributed upward loads as shown. Determine
the values of wBC and wDE corresponding to equilibrium
when 600
A
w  N/m.
SOLUTION
We have I
II
1
(6 m)(600 N/m) 1800 N
2
1
(6 m)(1200 N/m) 3600 N
2
(0.8 m)( N/m) (0.8 ) N
(1.0 m)( N/m) ( ) N
BC BC BC
DE DE DE
R
R
R w w
R w w
 
 
 
 
Then 0: (1 m)(1800 N) (3 m)(3600 N) (4 m)( N) 0
G DE
M w
     
or 3150 N/m
DE
w  
and 0: (0.8 ) N 1800 N 3600 N 3150 N 0
y BC
F w
     
or 2812.5 N/m
BC
w  2810 N/m
BC
w  
www.elsolucionario.org
Copyright © McGraw-Hill Education. Permission required for reproduction or display.
PROBLEM 5.145
A tank is divided into two sections by a 1  1-m square gate that is
hinged at A. A couple of magnitude 490 N · m is required for the
gate to rotate. If one side of the tank is filled with water at the rate of
0.1 m3
/min and the other side is filled simultaneously with methyl
alcohol (density ma  789 kg/m3
) at the rate of 0.2 m3
/min,
determine at what time and in which direction the gate will rotate.
SOLUTION
Consider the free-body diagram of the gate.
First note base
V A d
 and .
V rt

Then
3
3
0.1m / min (min)
0.25 (m)
(0.4 m)(1m)
0.2 m / min (min)
(m)
(0.2 m)(1m)
W
MA
t
d t
t
d t

 

 
Now
1 1
( )
2 2
P Ap A gh

  so that
3 3 2
2
3 2
2
1
[(0.25 ) m (1 m)][(10 kg/m )(9.81 m/s )(0.25 ) m]
2
306.56 N
1
[( ) m (1 m)][(789 kg/m )(9.81m/s )( ) m]
2
3870 N
W
MA
P t t
t
P t t
t
 

 

Now assume that the gate will rotate clockwise and when 0.6 m.

MA
d When rotation of the gate is
impending, we require
1 1
: 0.6 m 0.6 m
3 3
   
    
   
   
A R MA MA W W
M M d P d P
Substituting
2 2
1 1
490 N m 0.6 m (3870 ) N 0.6 0.25 m (306.56 ) N
3 3
t t t t
   
       
   
   
www.elsolucionario.org
Copyright © McGraw-Hill Education. Permission required for reproduction or display.
PROBLEM 5.145 (Continued)
Simplifying 3 2
1264.45 2138.1 490 0
  
t t
Solving (positive roots only)
0.59451min
t  and 1.52411min
t 
Now check assumption using the smaller root. We have
( ) m 0.59451m 0.6 m
MA
d t
   0.59451min 35.7 s
t
   
and the gate rotates clockwise. 
www.elsolucionario.org
Copyright © McGraw-Hill Education. Permission required for reproduction or display.
PROBLEM 5.146
Determine the y coordinate of the centroid of the body shown.
SOLUTION
First note that the values of Y will be the same for the given body and the body shown below. Then
V y yV
Cone
2
1
3
a h

1
4
h
 2 2
1
12
a h


Cylinder
2
2
1
2 4
a
b a b
 
 
  
 
 
1
2
b
 2 2
1
8
a b


2
(4 3 )
12
a h b

 2 2 2
(2 3 )
24
a h b

 
We have   
Y V yV
Then 2 2 2 2
(4 3 ) (2 3 )
12 24
Y a h b a h b
 
 
   
 
 
or
2 2
2 3
2(4 3 )
h b
Y
h b

 


www.elsolucionario.org
Copyright © McGraw-Hill Education. Permission required for reproduction or display.
PROBLEM 5.147
An 8-in.-diameter cylindrical duct and a 4  8-in.
rectangular duct are to be joined as indicated.
Knowing that the ducts were fabricated from the
same sheet metal, which is of uniform thickness,
locate the center of gravity of the assembly.
SOLUTION
Assume that the body is homogeneous so that its center of gravity coincides with the centroid of the area.
By symmetry, 0.
Z 
2
, in
A , in.
x , in.
y 3
, in
xA 3
, in
yA
1 (8)(12) 96
 
 0 6 0 576
2 (8)(4) 16
2


  
2(4) 8
 
 10 128
 160

3
2
(4) 8
2



4(4) 16
3 3
 
   12 42.667
 96
4 (8)(12) 96
 6 12 576 1152
5 (8)(12) 96
 6 8 576 768
6
2
(4) 8
2


  
4(4) 16
3 3
 
 8 42.667
 64

7 (4)(12) 48
 6 10 288 480
8 (4)(12) 48
 6 10 288 480
 539.33 1514.6 4287.4
Then
1514.67
in.
539.33
xA
X
A

 

or 2.81in.
X  
4287.4
in.
539.33
yA
Y
A

 

or 7.95 in.
Y  
www.elsolucionario.org
Copyright © McGraw-Hill Education. Permission required for reproduction or display.
PROBLEM 5.148
Three brass plates are brazed to a steel pipe to form the flagpole
base shown. Knowing that the pipe has a wall thickness of 8 mm
and that each plate is 6 mm thick, determine the location of the
center of gravity of the base. (Densities: brass  8470 kg/m3
;
steel  7860 kg/m3
.)
SOLUTION
Since brass plates are equally spaced, we note that
the center of gravity lies on the y-axis.
Thus, 0
X Z
  
Steel pipe: 2 2
6 3
3 6 3
[(0.064 m) (0.048 m) ](0.192 m)
4
270.22 10 m
(7860 kg/m )(270.22 10 m )
2.1239 kg
V
m V




 
 
  

Each brass plate: 6 3
3 6 3
1
(0.096 m)(0.192 m)(0.006 m) 55.296 10 m
2
(8470 kg/m )(55.296 10 m ) 0.46836 kg



  
   
V
m V
Flagpole base:
2.1239 kg 3(0.46836 kg) 3.5290 kg
(0.096 m)(2.1239 kg) 3[(0.064 m)(0.46836 kg)] 0.29382 kg m
: (3.5290 kg) 0.29382 kg m
m
ym
Y m ym Y
   
    
    
0.083259 m

Y 83.3 mm

Y above the base 
www.elsolucionario.org
CHAPTER 6
www.elsolucionario.org
www.elsolucionario.org
Copyright © McGraw-Hill Education. Permission required for reproduction or display.
PROBLEM 6.1
Using the method of joints, determine the force in each member of the
truss shown. State whether each member is in tension or compression.
SOLUTION
Free body: Entire truss:
0: 0 0
y y y
F B
   
B
0: (16 in.) (240 lb)(36 in.) 0
C x
M B
    
540 kN 540 lb
x x
B   
B
0: 540 lb 240 lb 0
x
F C
    
300 lb
C  300 lb

C
Free body: Joint B:
540 lb
5 4 3
BC
AB F
F
 
900 lb
AB
F T
 
720 lb
BC
F T
 
www.elsolucionario.org
Copyright © McGraw-Hill Education. Permission required for reproduction or display.
PROBLEM 6.1 (Continued)
Free body: Joint C:
300 lb
13 12 5
AC BC
F F
 
780 lb
AC
F C
 
720 lb (checks)
BC
F 
www.elsolucionario.org
Copyright © McGraw-Hill Education. Permission required for reproduction or display.
PROBLEM 6.2
Using the method of joints, determine the force in each member of the truss
shown. State whether each member is in tension or compression.
SOLUTION
Free body: Entire truss:
0: 2.8 kN 0 2.8 kN
y y y
F A A
      
2.8 kN
y 
A
0: (1.4 m) (2.8 kN)(0.75 m) 0
A
M C
   
1.500 kN 1.500 kN
C  
C
0: 1.500 kN 0
x x
F A
   
1.500 kN
x
A   1.500 kN
x 
A
Free body: Joint C:
1.500 kN
1.25 1 0.75
BC AC
F F
 
2.00 kN
AC
F T
 
2.50 kN
BC
F T
 
www.elsolucionario.org
Copyright © McGraw-Hill Education. Permission required for reproduction or display.
PROBLEM 6.2 (Continued)
Free body: Joint A:
7.5
0: 1.500 kN 0
8.5
x AB
F F
 
   
 
 
1.700 kN
AB
F T
 
www.elsolucionario.org
Copyright © McGraw-Hill Education. Permission required for reproduction or display.
PROBLEM 6.3
Using the method of joints, determine the force in each member of
the truss shown. State whether each member is in tension or
compression.
SOLUTION
Reactions:
0: 1260 lb
A
M
  
C
0: 0
x x
F
  
A
0: 960 lb
y y
F
  
A
Joint B:
300 lb
12 13 5
BC
AB F
F
 
720 lb
AB
F T
 
780 lb
BC
F C
 
Joint A:
4
0: 960 lb 0
5
y AC
F F
    
1200 lb
AC
F  1200 lb
AC
F C
 
3
0: 720 lb (1200 lb) 0 (checks)
5
x
F
   
www.elsolucionario.org
Copyright © McGraw-Hill Education. Permission required for reproduction or display.
PROBLEM 6.4
Using the method of joints, determine the force in each
member of the truss shown. State whether each member is in
tension or compression.
SOLUTION
Reactions:
0: (3 m) (24 kN 8 kN)(1.5 m) (7 kN)(3 m) 0
D y
M F
     
23.0 kN
y 
F
0: 0
x x
F
  
F
0: (7 24 8 7) 23 0
y
F D
       
23.0 kN

D
Joint A:
0: 0
x AB
F F
   0
AB
F  
0: 7 0
y AD
F F
    
7 kN
AD
F   7.00 kN
AD
F C
 
Joint D:
8
0: 7 23.0 0
17
y BD
F F
     
34.0 kN
BD
F   34.0 kN
BD
F C
 
www.elsolucionario.org
Copyright © McGraw-Hill Education. Permission required for reproduction or display.
PROBLEM 6.4 (Continued)
15
0: ( 34.0) 0
17
x DE
F F
    
30.0 kN
DE
F   30.0 kN
DE
F T
 
Joint E:
0: 8 0
y BE
F F
   
8.00 kN
BE
F   8.00 kN
BE
F T
 
Truss and loading symmetrical about c .
L 
www.elsolucionario.org
Copyright © McGraw-Hill Education. Permission required for reproduction or display.
PROBLEM 6.5
Using the method of joints, determine the force in each
member of the truss shown. State whether each member is in
tension or compression.
SOLUTION
Reactions:
0: (5 ft) (10 kips)(10 ft) (10 kips)(20 ft) 0
B x
M A
    
60.0 kips
x 
A
0: 0
x x
F A B
   
60 kips

B
0: 10 kips 10 kips 0
y y
F A
    
20.0 kips
y 
A
Joint D:
10 kips
1 4 17
DC DA
F F
 
41.2 kips
DA
F T
 
 40.0 kips
DC
F C
 
www.elsolucionario.org
Copyright © McGraw-Hill Education. Permission required for reproduction or display.
PROBLEM 6.5 (Continued)
Joint C:
1
0: 10 kips 0
5
y CA
F F
   
22.4 kips
CA
F  22.4 kips
CA
F T
 
2
0: (22.4 kips) 40 kips 0
5
x CB
F F
    
60.0 kips
CB
F   60.0 kips
CB
F C
 
Joint B:
0: 0
y BA
F F
  
0
BA
F  
www.elsolucionario.org
Copyright © McGraw-Hill Education. Permission required for reproduction or display.
PROBLEM 6.6
Using the method of joints, determine the force in each member
of the truss shown. State whether each member is in tension or
compression.
SOLUTION
Reactions:    
2 2
6 m 3.2 m 6.80 m
DE   
4
0: (4.5 m) (24 kN)(12 m) 0
5
B AC
M F
 
   
 
 
80.0 kN
AC T

F 
 
4
0: 80 kN 0
5
x x
F B
 
   
 
 
64 kN
x 
B
 
3
0: 80 kN 24 kN 0
5
y y
F B
 
    
 
 
24 kN
y 
B
Joint E:
24 kN
6 6.8 3.2
CE DE
F F
  45.0 kN
CE
F T
 
51.0 kN
DE
F C
 
www.elsolucionario.org
Copyright © McGraw-Hill Education. Permission required for reproduction or display.
PROBLEM 6.6 (Continued)
Joint D:
 
6 6
0: 51.0 kN 0
6.8 6.8
x BD
F F
   
   
   
   
51.0 kN
BD
F C
 
48.0 kN
CD
F T
 
Joint C:
   
4
0: 80 kN 45.0 kN 0
5
x BC
F F
 
     
 
 
19.00 kN
BC
F C
 
 
3
0 : 80 kN 48.0 kN 0 (checks)
5
y
F
 
   
 
 

www.elsolucionario.org
Copyright © McGraw-Hill Education. Permission required for reproduction or display.
PROBLEM 6.7
Using the method of joints, determine the force in each
member of the truss shown. State whether each member is in
tension or compression.
SOLUTION
2 2
2 2
5 12 13 ft
12 16 20 ft
AD
BCD
  
  
Reactions: 0: 0
x x
F D
  
0: (21ft) (693 lb)(5 ft) 0
E y
M D
    165 lb
y 
D
0: 165 lb 693 lb 0
y
F E
     528 lb

E
Joint D:
5 4
0: 0
13 5
x AD DC
F F F
    (1)
12 3
0: 165 lb 0
13 5
y AD DC
F F F
     (2)
Solving Eqs. (1) and (2) simultaneously,
260 lb
AD
F   260 lb
AD
F C
 
125 lb
DC
F   125.0 lb
DC
F T
 
www.elsolucionario.org
Copyright © McGraw-Hill Education. Permission required for reproduction or display.
PROBLEM 6.7 (Continued)
Joint E:
5 4
0: 0
13 5
x BE CE
F F F
    (3)
12 3
0: 528 lb 0
13 5
y BE CE
F F F
     (4)
Solving Eqs. (3) and (4) simultaneously,
832 lb
BE
F   832 lb
BE
F C
 
400 lb
CE
F   400 lb
CE
F T
 
Joint C:
Force polygon is a parallelogram (see Fig. 6.11, p. 290).
400 lb
AC
F T
 
125.0 lb
BC
F T
 
Joint A:
5 4
0: (260 lb) (400 lb) 0
13 5
x AB
F F
    
420 lb
AB
F   420 lb
AB
F C
 
12 3
0: (260 lb) (400 lb) 0
13 5
0 0 (Checks)
y
F
   

www.elsolucionario.org
Copyright © McGraw-Hill Education. Permission required for reproduction or display.
PROBLEM 6.8
Using the method of joints, determine the force in each member of the truss
shown. State whether each member is in tension or compression.
SOLUTION
Free body: Entire truss:
0: 2(5 kN) 0
x x
F C
   
10 kN 10 kN
x
x
C   
C

0: (2 m) (5 kN)(8 m) (5 kN)(4 m) 0
C
M D
    
30 kN 30 kN
D   
D

0: 30 kN 0 30 kN 30 kN
y
y y y
F C C
      
C

Free body: Joint A:
5 kN
4 1
17
AB AD
F F
 
20.0 kN
AB
F T
 
  20.6 kN
AD
F C
 
Free body: Joint B:
1
0: 5 kN 0
5
x BD
F F
   
5 5 kN
BD
F   11.18 kN
BD
F C
 
2
0: 20 kN ( 5 5 kN) 0
5
y BC
F F
     
30 kN
BC
F   30.0 kN
BC
F T
 
www.elsolucionario.org
Copyright © McGraw-Hill Education. Permission required for reproduction or display.
PROBLEM 6.8 (Continued)
Free body: Joint C:
0: 10 kN 0
x CD
F F
   
10 kN
CD
F   10.00 kN
CD
F T
 
0: 30 kN 30 kN 0 (checks)
y
F
   
www.elsolucionario.org
Copyright © McGraw-Hill Education. Permission required for reproduction or display.
PROBLEM 6.9
Determine the force in each member of the truss shown. State whether
each member is in tension or compression.
SOLUTION
Reactions for Entire truss:
By inspection: 4 kN 4 kN
   
A E
Free body: Joint A:
4 kN
sin30
AB
F  
(4 kN)(cot 30 )
AF
F  
8.00 kN
AB
F C
 
  6.93 kN
AF
F T
 
Free body: Joint F:
0:
x FG AF
F F F
  
6.93 kN
FG
F T
 
0: 4.00 kN
y FB
F F T
  
4.00 kN
FB
F T
 

www.elsolucionario.org
Copyright © McGraw-Hill Education. Permission required for reproduction or display.
PROBLEM 6.9 (Continued)
Free body: Joint B:
0: 8cos30 cos30 cos30 0 (1)
x BC BG
F F F
    
  
0 : 8sin 30 4 sin 30 sin30 0 (2)
y BC BG
F F F
     
  
Solving (1) and (2) simultaneously yields:
4.00 kN
BC
F C
 


4.00 kN
BG
F C
 

Free body: Joint C:
By symmetry, 4.00 kN
CD CB
F F C
  
0 : 4sin 30 4sin 30 0
y CG
F F
    
 
4.00 kN
CG
F T
 
By symmetry about the truss centerline, we note:
4.00 kN , 6.93 kN , 4.00 kN , 8.00 kN , 6.93 kN
GD GH DH DE EH
F C F T F T F C F T
     
www.elsolucionario.org
Copyright © McGraw-Hill Education. Permission required for reproduction or display.
PROBLEM 6.10
Determine the force in each member of the truss shown. State whether each
member is in tension or compression.
SOLUTION
Free body: Entire truss:
0: 0
x x
F
  
F
0: 5 kN
F
M
  
H
0: 0
y y
F
  
F
Free body: Joint C:
5.00 kN, F 5 2 7.07 kN
CB CE
F   
5.00 kN
CB
F T
 
  7.07 kN
CE
F C
 
 By symmetry about the horizontal centerline: 5.00 kN , 7.07 kN
HG HE
F T F C
  
Joint E: Members lie in two intersecting straight lines, thus we have:
7.07 kN ; 7.07 kN
EG EC EB EH
F F C F F C
    
www.elsolucionario.org
Copyright © McGraw-Hill Education. Permission required for reproduction or display.
PROBLEM 6.10 (Continued)
Free body: Joint B:
 
1 1
0: 7.07 0
2 2
y BD
F F
   
7.07 kN
BD
F T
 
 
1 1
0: 5 (7.07) 7.07 0
2 2
x BA
F F
     
5.00 kN
BA
F C
 
By symmetry about the horizontal centerline: 7.07 kN , 5.00 kN
DG GF
F T F C
  
Joint D: 7.07 kN
DF DB DA DG
F F F F T
    
Free body: Joint A:
5.00 kN
AF
F C
 
www.elsolucionario.org
Copyright © McGraw-Hill Education. Permission required for reproduction or display.
PROBLEM 6.11
Determine the force in each member of the Gambrel roof
truss shown. State whether each member is in tension or
compression.
SOLUTION
Free body: Truss:
0: 0
x x
F
  
H
Because of the symmetry of the truss and loading,
1
total load
2
y
 
A H
1200 lb
y
 
A H
Free body: Joint A:
900 lb
5 4 3
AC
AB F
F
  1500 lb
AB C

F 
1200 lb
AC T

F 
Free body: Joint C:
BC is a zero-force member.
0
BC 
F 1200 lb
CE
F T
 
Free body: Joint B:
24 4 4
0: (1500 lb) 0
25 5 5
x BD BE
F F F
    
or 24 20 30,000 lb
BD BE
F F
   (1)
7 3 3
0: (1500) 600 0
25 5 5
y BD BE
F F F
     
or 7 15 7,500 lb
BD BE
F F
   (2)
www.elsolucionario.org
Copyright © McGraw-Hill Education. Permission required for reproduction or display.
PROBLEM 6.11 (Continued)
Multiply Eq. (1) by 3, Eq. (2) by 4, and add:
100 120,000 lb
BD
F   1200 lb
BD
F C
 
Multiply Eq. (1) by 7, Eq. (2) by –24, and add:
500 30,000 lb
BE
F   60.0 lb
BE
F C
 
Free body: Joint D:
24 24
0: (1200 lb) 0
25 25
x DF
F F
   
1200 lb
DF
F   1200 lb
DF
F C
 
7 7
0: (1200 lb) ( 1200 lb) 600 lb 0
25 25
y DE
F F
      
72.0 lb
DE
F  72.0 lb
DE
F T
 
Because of the symmetry of the truss and loading, we deduce that

EF BE
F F 60.0 lb
EF
F C
 
EG CE
F F
 1200 lb
EG
F T
 
FG BC
F F
 0
FG
F  
FH AB
F F
 1500 lb
FH
F C
 
GH AC
F F
 1200 lb
GH
F T
 
www.elsolucionario.org
Copyright © McGraw-Hill Education. Permission required for reproduction or display.
PROBLEM 6.12
Determine the force in each member of the Howe roof
truss shown. State whether each member is in tension or
compression.
SOLUTION
Free body: Truss:
0: 0
x x
F
  
H
Because of the symmetry of the truss and loading,
1
total load
2
y
A H
 
1200 lb
y
 
A H
Free body: Joint A:
900 lb
5 4 3
AC
AB F
F
  1500 lb
AB C

F 
1200 lb
AC T

F 
Free body: Joint C:
BC is a zero-force member.
0
BC 
F 1200 lb
CE T

F 
www.elsolucionario.org
Copyright © McGraw-Hill Education. Permission required for reproduction or display.
PROBLEM 6.12 (Continued)
Free body: Joint B:
4 4 4
0: (1500 lb) 0
5 5 5
x BD BC
F F F
    
or 1500 lb
BD BE
F F
   (1)
3 3 3
0: (1500 lb) 600 lb 0
5 5 5
y BD BE
F F F
     
or 500 lb
BD BE
F F
   (2)
Add Eqs. (1) and (2): 2 2000 lb
BD
F   1000 lb
BD
F C
 
Subtract Eq. (2) from Eq. (1): 2 1000 lb
BE
F   500 lb
BE
F C
 
Free Body: Joint D:
4 4
0: (1000 lb) 0
5 5
x DF
F F
   
1000 lb
DF
F   1000 lb
DF
F C
 
3 3
0: (1000 lb) ( 1000 lb) 600 lb 0
5 5
y DE
F F
      
600 lb
DE
F   600 lb
DE
F T
 
Because of the symmetry of the truss and loading, we deduce that

EF BE
F F 500 lb
EF
F C
 
EG CE
F F
 1200 lb
EG
F T
 
FG BC
F F
 0
FG
F  
FH AB
F F
 1500 lb
FH
F C
 
GH AC
F F
 1200 lb
GH
F T
 
www.elsolucionario.org
Copyright © McGraw-Hill Education. Permission required for reproduction or display.
PROBLEM 6.13
Using the method of joints, determine the force in each
member of the roof truss shown. State whether each
member is in tension or compression.
SOLUTION
Free body: Truss:
0: 0
x x
F
  
A
From symmetry of loading:
1
total load
2
y  
A E
3.6 kN
y  
A E
We note that DF is a zero-force member and that EF is aligned with the load. Thus,
0

DF
F 
1.2 kN
EF
F C
 
Free body: Joint A:
2.4 kN
13 12 5
AC
AB F
F
  6.24 kN
AB
F C
 
2.76 kN
AC
F T
 
Free body: Joint B:
3 12 12
0: (6.24 kN) 0
3.905 13 13
x BC BD
F F F
     (1)
2.5 5 5
0: (6.24 kN) 2.4 kN 0
3.905 13 13
y BC BD
F F F
       (2)
www.elsolucionario.org
Copyright © McGraw-Hill Education. Permission required for reproduction or display.
PROBLEM 6.13 (Continued)
Multiply Eq. (1) by 2.5, Eq. (2) by 3, and add:
45 45
(6.24 kN) 7.2 kN 0, 4.16 kN,
13 13
BD BD
F F
     4.16 kN
BD
F C
 
Multiply Eq. (1) by 5, Eq. (2) by –12, and add:
45
28.8 kN 0, 2.50 kN,
3.905
BC BC
F F
    2.50 kN
BC
F C
 
Free body: Joint C:
5 2.5
0: (2.50 kN) 0
5.831 3.905
y CD
F F
   
1.867 kN
CD
F T
 
3 3
0: 5.76 kN (2.50 kN) (1.867 kN) 0
3.905 5.831
x CE
F F
     
2.88 kN
CE
F T

Free body: Joint E:
5
0: 3.6 kN 1.2 kN 0
7.81
y DE
F F
    
3.75 kN
DE
F   3.75 kN
DE
F C
 
6
0: ( 3.75 kN) 0
7.81
x CE
F F
     
2.88 kN 2.88 kN
CE CE
F F T
   (Checks)
www.elsolucionario.org
Copyright © McGraw-Hill Education. Permission required for reproduction or display.
PROBLEM 6.14
Determine the force in each member of the Fink roof truss
shown. State whether each member is in tension or
compression.
SOLUTION
Free body: Truss:
0: 0
x x
F
  
A
Because of the symmetry of the truss and loading,
1
total load
2
y  
A G
6.00 kN
y  
A G
Free body: Joint A:
4.50 kN
2.462 2.25 1
AC
AB F
F
 
11.08 kN
AB
F C
 
10.125 kN
AC
F  10.13 kN
AC
F T
 
Free body: Joint B:
3 2.25 2.25
0: (11.08 kN) 0
5 2.462 2.462
x BC BD
F F F
     (1)
4 11.08 kN
0: 3 kN 0
5 2.462 2.462
BD
y BC
F
F F
       (2)
Multiply Eq. (2) by –2.25 and add to Eq. (1):
12
6.75 kN 0 2.8125
5
BC BC
F F
    2.81 kN
BC
F C
 
Multiply Eq. (1) by 4, Eq. (2) by 3, and add:
12 12
(11.08 kN) 9 kN 0
2.462 2.462
BD
F   
9.2335 kN
BD
F   9.23 kN
BD
F C
 
www.elsolucionario.org
Copyright © McGraw-Hill Education. Permission required for reproduction or display.
PROBLEM 6.14 (Continued)
Free body: Joint C:
4 4
0: (2.8125 kN) 0
5 5
y CD
F F
   
2.8125 kN,
CD
F  2.81 kN
CD
F T
 
3 3
0: 10.125 kN (2.8125 kN) (2.8125 kN) 0
5 5
x CE
F F
     
6.7500 kN
CE
F   6.75 kN
CE
F T
 
Because of the symmetry of the truss and loading, we deduce that
DE CD
F F
 2.81 kN
CD
F T
 
DF BD
F F
 9.23 kN
DF
F C
 
EF BC
F F
 2.81 kN
EF
F C
 
EG AC
F F
 10.13 kN
EG
F T
 
FG AB
F F
 11.08 kN
FG
F C
 
www.elsolucionario.org
Copyright © McGraw-Hill Education. Permission required for reproduction or display.
PROBLEM 6.15
Determine the force in each member of the Warren bridge
truss shown. State whether each member is in tension or
compression.
SOLUTION
Free body: Truss: 0: 0
x x
F A
  
Due to symmetry of truss and loading,
1
total load 6 kips
2
y
A G
  
Free body: Joint A:
6 kips
5 3 4
AC
AB F
F
  7.50 kips
AB
F C
 
4.50 kips
AC
F T
 

Free body: Joint B:
7.5 kips
5 6 5
BC BD
F F
  7.50 kips
BC
F T
 
9.00 kips
BD
F C
 
Free body: Joint C:
4 4
0: (7.5) 6 0
5 5
y CD
F F
    
0
CD
F  
3
0: 4.5 (7.5) 0
5
x CE
F F
    
9 kips
CE
F   9.00 kips
CE
F T
 
Truss and loading is symmetrical about c .
L
www.elsolucionario.org
Copyright © McGraw-Hill Education. Permission required for reproduction or display.
PROBLEM 6.16
Solve Problem 6.15 assuming that the load applied at E
has been removed.
PROBLEM 6.15 Determine the force in each member of
the Warren bridge truss shown. State whether each
member is in tension or compression.
SOLUTION
Free body: Truss: 0: 0
x x
F A
  
0: 6(36) (54) 0 4 kips
G y y
M A
    
A
0: 4 6 0 2 kips
y
F G
     
G
Free body: Joint A:
4 kips
5 3 4
AC
AB F
F
  5.00 kips
AB
F C
 
3.00 kips
AC
F T
 
Free body Joint B:
5 kips
5 6 5
BC BD
F F
  5.00 kips
BC
F T
 
6.00 kips
BD
F C
 
Free body Joint C:
4 4
0: (5) 6 0
5 5
y CD
M F
     2.50 kips
CD
F T
 
3 3
0: (2.5) (5) 3 0
5 5
x CE
F F
      4.50 kips
CE
F T
 
www.elsolucionario.org
Copyright © McGraw-Hill Education. Permission required for reproduction or display.
PROBLEM 6.16 (Continued)
Free body: Joint D:
4 4
0: (2.5) 0
5 5
y DE
F F
    
2.5 kips
DE
F   2.50 kips
DE
F C
 
3 3
0: 6 (2.5) (2.5) 0
5 5
x DF
F F
     
3 kips
DF
F   3.00 kips
DF
F C
 
Free body: Joint F:
3 kips
5 5 6
FG
EF F
F
  2.50 kips
EF
F T
 
2.50 kips
FG
F C
 

Free body: Joint G:
2 kips
3 4
EG
F
 1.500 kips
EG
F T
 
Also,
2 kips
5 4
FG
F

2.50 kips (Checks)
FG
F C

www.elsolucionario.org
Copyright © McGraw-Hill Education. Permission required for reproduction or display.
PROBLEM 6.17
Determine the force in each member of the Pratt
roof truss shown. State whether each member is
in tension or compression.
SOLUTION
Free body: Truss:
0: 0
x x
F A
  
Due to symmetry of truss and load,
1
total load 21kN
2
y
A H
  
Free body: Joint A:
15.3 kN
37 35 12
AC
AB F
F
 
47.175 kN 44.625 kN
AB AC
F F
  47.2 kN
AB
F C
 
44.6 kN
AC
F T
 
Free body: Joint B:
From force polygon: 47.175 kN, 10.5 kN
BD BC
F F
  10.50 kN
BC
F C
 
47.2 kN
BD
F C
 
www.elsolucionario.org
Copyright © McGraw-Hill Education. Permission required for reproduction or display.
PROBLEM 6.17 (Continued)
Free body: Joint C:
3
0: 10.5 0
5
y CD
F F
    17.50 kN
CD
F T
 
4
0: (17.50) 44.625 0
5
x CE
F F
    
30.625 kN
CE
F  30.6 kN
CE
F T
 
Free body: Joint E: DE is a zero-force member. 0
DE
F  
Truss and loading symmetrical about .
c
L
www.elsolucionario.org
Copyright © McGraw-Hill Education. Permission required for reproduction or display.
PROBLEM 6.18
The truss shown is one of several supporting an advertising panel.
Determine the force in each member of the truss for a wind load
equivalent to the two forces shown. State whether each member is in
tension or compression.
SOLUTION
Free body: Entire truss:
0: (800 N)(7.5 m) (800 N)(3.75 m) (2 m) 0
F
M A
    
2250 N
A   2250 N

A
0: 2250 N 0
y y
F F
   
2250 N 2250 N
y y
F   
F
0: 800 N 800 N 0
x x
F F
     
1600 N 1600 N
x x
F   
F
Joint D:
800 N
8 15 17
DE BD
F F
 
1700 N
BD
F C
 
1500 N
DE
F T
 
Joint A:
2250 N
15 17 8
AC
AB F
F
 
2250 N
AB
F C
 
1200 N
AC
F T
 
Joint F:
0: 1600 N 0
x CF
F F
   
1600 N
CF
F   1600 N
CF
F T
 
0: 2250 N 0
y EF
F F
   
2250 N
EF
F   2250 N
EF
F T
 
www.elsolucionario.org
Copyright © McGraw-Hill Education. Permission required for reproduction or display.
PROBLEM 6.18 (Continued)
Joint C:
8
0: 1200 N 1600 N 0
17
x CE
F F
    
850 N
CE
F   850 N
CE
F C
 
15
0: 0
17
y BC CE
F F F
   
15 15
( 850 N)
17 17
BC CE
F F
    
750 N
BC
F   750 N
BC
F T
 
Joint E:
8
0: 800 N (850 N) 0
17
x BE
F F
     
400 N
BE
F   400 N
BE
F C
 
15
0: 1500 N 2250 N (850 N) 0
17
0 0 (checks)
y
F
    

www.elsolucionario.org
Copyright © McGraw-Hill Education. Permission required for reproduction or display.
PROBLEM 6.19
Determine the force in each member of the Pratt bridge
truss shown. State whether each member is in tension or
compression.
SOLUTION
Free body: Truss:
0: 0
z x
F
  
A
0: (36 ft) (4 kips)(9 ft)
(4 kips)(18 ft) (4 kips)(27 ft) 0
A
M H
  
  
6 kips

H
0: 6 kips 12 kips 0 6 kips
y y y
F A
     
A
Free body: Joint A:
6 kips
5 3 4
AC
AB F
F
 
7.50 kips
AB
F C
 
4.50 kips
AC
F T
 
Free body: Joint C:
0:
x
F
  4.50 kips
CE
F T
 
0:
y
F
  4.00 kips
BC
F T
 
Free body: Joint B:
4 4
0: (7.50 kips) 4.00 kips 0
5 5
y BE
F F
      
2.50 kips
BE
F T
 
8 3
0: (7.50 kips) (2.50 kips) 0
5 5
x BD
F F
     
6.00 kips
BD
F   6.00 kips
BD
F C
 
www.elsolucionario.org
Copyright © McGraw-Hill Education. Permission required for reproduction or display.
PROBLEM 6.19 (Continued)
Free body: Joint D:
We note that DE is a zero-force member: 0
DE
F  
Also, 6.00 kips
DF
F C
 
From symmetry:
FE BE
F F
 2.50 kips
EF
F T
 
EG CE
F F
 4.50 kips
EG
F T
 
FG BC
F F
 4.00 kips
FG
F T
 
FH AB
F F
 7.50 kips
FH
F C
 
GH AC
F F
 4.50 kips
GH
F T
 
www.elsolucionario.org
Copyright © McGraw-Hill Education. Permission required for reproduction or display.
PROBLEM 6.20
Solve Problem 6.19 assuming that the load applied at G has
been removed.
PROBLEM 6.19 Determine the force in each member of
the Pratt bridge truss shown. State whether each member is
in tension or compression.
SOLUTION
Free body: Truss:
0: 0
x x
F
  
A
0: (36 ft) (4 kips)(9 ft) (4 kips)(18 ft) 0
A H
    
M
3.00 kips

H
0: 5.00 kips
y y
F
  
A
We note that DE and FG are zero-force members.
Therefore, 0,
DE
F  0
FG
F  
Also, BD DF
F F
 (1)
and EG GH
F F
 (2)
Free body: Joint A:
5 kips
5 3 4
AC
AB F
F
 
6.25 kips
AB
F C
 
3.75 kips
AC
F T
 

Free body: Joint C:
0:
x
F
  3.75 kips
CE
F T
 
0:
y
F
  4.00 kips
BC
F T
 
Free body: Joint B:
4 4
0: (6.25 kips) 4.00 kips 0
5 5
x BE
F F
    
1.250 kips
BE
F T
 
3 3
0: (6.25 kips) (1.250 kips) 0
5 5
x BD
F F
     
4.50 kips
BD
F   4.50 kips
BD
F C
 
www.elsolucionario.org
Copyright © McGraw-Hill Education. Permission required for reproduction or display.
PROBLEM 6.20 (Continued)
Free body: Joint F:
We recall that 0,
FG
F  and from Eq. (1) that
DF BD
F F
 4.50 kips
DF
F C
 
4.50 kips
5 5 6
EF FH
F F
 
3.75 kips
EF
F T
 
3.75 kips
FH
F C
 
Free body: Joint H:
3.00 kips
3 4
GH
F

2.25 kips
GH
F T
 
Also,
3.00 kips
5 4
FH
F

3.75 kips (checks)
FH
F C

From Eq. (2):
EG GH
F F
 2.25 kips
EG
F T
 
www.elsolucionario.org
Copyright © McGraw-Hill Education. Permission required for reproduction or display.
PROBLEM 6.21
Determine the force in each of the members located to the
left of FG for the scissors roof truss shown. State whether
each member is in tension or compression.
SOLUTION
Free Body: Truss:
0: 0
x x
F
  
A
0: (1kN)(12 m) (2 kN)(10 m) (2 kN)(8 m) (1kN)(6 m) (12 m) 0
L y
M A
      
4.50 kN
y 
A
We note that BC is a zero-force member: 0
BC
F  
Also, CE AC
F F
 (1)
Free body: Joint A:
1 2
0: 0
2 5
x AB AC
F F F
    (2)
1 1
0: 3.50 kN 0
2 5
y AB AC
F F F
     (3)
Multiply Eq. (3) by –2 and add Eq. (2):
1
7 kN 0
2
AB
F
   9.90 kN
AB
F C
 
www.elsolucionario.org
Copyright © McGraw-Hill Education. Permission required for reproduction or display.
PROBLEM 6.21 (Continued)
Subtract Eq. (3) from Eq. (2):
1
3.50 kN 0 7.826 kN
5
AC AC
F F
   7.83 kN
AC
F T
 
From Eq. (1): 7.826 kN
CE AC
F F
  7.83 kN
CE
F T
 
Free body: Joint B:
1 1
0: (9.90 kN) 2 kN 0
2 2
y BD
F F
    
7.071 kN
BD
F   7.07 kN
BD
F C
 
1
0: (9.90 7.071) kN 0
2
x BE
F F
    
2.000 kN
BE
F   2.00 kN
BE
F C
 
Free body: Joint E:
2
0: ( 7.826 kN) 2.00 kN 0
5
x EG
F F
    
5.590 kN
EG
F  5.59 kN
EG
F T
 
1
0: (7.826 5.590) kN 0
5
y DE
F F
    
1.000 kN
DE
F  1.000 kN
DE
F T
 
Free body: Joint D:
2 1
0: ( ) (7.071kN)
5 2
x DF DG
F F F
   
or 5.590 kN
DF DG
F F
   (4)
1 1
0: ( ) (7.071kN) 2 kN 1kN 0
5 2
y DF DG
F F F
      
or 4.472
DE DG
F F
   (5)
Add Eqs. (4) and (5): 2 10.062 kN
DF
F   5.03 kN
DF
F C
 
Subtract Eq. (5) from Eq. (4): 2 1.1180 kN
DG
F   0.559 kN
DG
F C
 
www.elsolucionario.org
Copyright © McGraw-Hill Education. Permission required for reproduction or display.
PROBLEM 6.22
Determine the force in member DE and in each of the
members located to the left of DE for the inverted Howe
roof truss shown. State whether each member is in tension
or compression.
SOLUTION
Free body: Truss:
0: 0
x x
F
  
A
0: (400 lb)(4 ) (800 lb)(3 ) (800 lb)(2 ) (800 lb) (4 ) 0
H y
M d d d d A d
      
1600 lb
y
A 
Angles:
6.72
tan 32.52
10.54
6.72
tan 16.26
23.04
 
 
  
  
Free body: Joint A:
1200 lb
sin57.48 sin106.26 sin16.26
AC
AB F
F
 
  
3613.8 lb
4114.3 lb
AB
AC
F C
F T

 3610 lb , 4110 lb
AB AC
F C F T
  
www.elsolucionario.org
Copyright © McGraw-Hill Education. Permission required for reproduction or display.
PROBLEM 6.22 (Continued)
Free body: Joint B:
0: (800 lb)cos16.26 0
y BC
F F
     
768.0 lb 768 lb
BC BC
F F C
   
0: 3613.8 lb (800 lb) sin16.26° 0
x BD
F F
    
3837.8 lb
BD
F   3840 lb
BD
F C
 
Free body: Joint C:
0: sin32.52 (4114.3 lb)sin32.52 (768 lb)cos16.26 0
y CE
F F
        
2742.9 lb
CE
F  2740 lb
CE
F T
 
0: (4114.3 lb) cos 32.52° (2742.9 lb)cos32.52° (768 lb)sin16.26 0
x CD
F F
      
1371.4 lb
CD
F  1371 lb
CD
F T
 
Free body: Joint E:
2742.9 lb
sin32.52 sin73.74°
DE
F


1536 lb
DE
F C
 
www.elsolucionario.org
Copyright © McGraw-Hill Education. Permission required for reproduction or display.
PROBLEM 6.23
Determine the force in each of the members located to the
right of DE for the inverted Howe roof truss shown. State
whether each member is in tension or compression.
SOLUTION
Free body: Truss
0: (4 ) (800 lb) (800 lb)(2 ) (800 lb)(3 ) (400 lb)(4 ) 0
A H d d d d d
      
M
1600 lb

H
Angles:
6.72
tan 32.52
10.54
6.72
tan 16.26
23.04
 
 
  
  
Free body: Joint H:
(1200 lb)cot16.26
GH
F  
4114.3 lb
GH
F T
 4110 lb
GH
F T
 
1200 lb
4285.8 lb
sin16.26
FH
F  

4290 lb
FH
F C
 
www.elsolucionario.org
Copyright © McGraw-Hill Education. Permission required for reproduction or display.
PROBLEM 6.23 (Continued)
Free body Joint F:
0: (800 lb)cos16.26 0
y FG
F F
     
768.0 lb
FG
F   768 lb
FG
F C
 
0: 4285.8 lb (800 lb) sin 16.26° 0
x DF
F F
     
4061.8 lb
DF
F   4060 lb
DF
F C
 
Free body: Joint G:
0: sin32.52 (768.0 lb)cos16.26 0
1371.4 lb
y DG
DG
F F
F
     
 
1371lb
DG
F T
 

0: 4114.3 lb (768.0 lb)sin16.26 (1371.4 lb)cos32.52 0
x EG
F F
        
2742.9 lb
EG
F   2740 lb
EG
F T
 
www.elsolucionario.org
Copyright © McGraw-Hill Education. Permission required for reproduction or display.
PROBLEM 6.24
The portion of truss shown represents the upper
part of a power transmission line tower. For the
given loading, determine the force in each of the
members located above HJ. State whether each
member is in tension or compression.
SOLUTION Free body: Joint A:
1.2 kN
2.29 2.29 1.2
AC
AB F
F
  2.29 kN
AB
F T
 
2.29 kN
AC
F C
 
Free body: Joint F:
1.2 kN
2.29 2.29 2.1
 
DF EF
F F
2.29 kN
DF
F T
 
2.29 kN
EF
F C
 
Free body: Joint D:
2.29 kN
2.21 0.6 2.29
BD DE
F F
  2.21 kN
BD
F T
 
0.600 kN
DE
F C
 
Free body: Joint B:
4 2.21
0: 2.21kN (2.29 kN) 0
5 2.29
x BE
F F
    
0
BE
F  
3 0.6
0: (0) (2.29 kN) 0
5 2.29
y BC
F F
     
0.600 kN
BC
F   0.600 kN
BC
F C
 
www.elsolucionario.org
Copyright © McGraw-Hill Education. Permission required for reproduction or display.
PROBLEM 6.24 (Continued)
Free body: Joint C:
2.21
0: (2.29 kN) 0
2.29
x CE
F F
   
2.21 kN
CE
F   2.21 kN
CE
F C
 
0.6
0: 0.600 kN (2.29 kN) 0
2.29
y CH
F F
     
1.200 kN
CH
F   1.200 kN
CH
F C
 
Free body: Joint E:
2.21 4
0: 2.21kN (2.29 kN) 0
2.29 5
    
x EH
F F
0
EH
F  
0.6
0: 0.600 kN (2.29 kN) 0 0
2.29
y EJ
F F
      
1.200 kN
EJ
F   1.200 kN
EJ
F C
 
www.elsolucionario.org
Copyright © McGraw-Hill Education. Permission required for reproduction or display.
PROBLEM 6.25
For the tower and loading of Problem 6.24 and
knowing that FCH  FEJ  1.2 kN C and FEH  0,
determine the force in member HJ and in each of
the members located between HJ and NO. State
whether each member is in tension or
compression.
PROBLEM 6.24 The portion of truss shown
represents the upper part of a power transmission
line tower. For the given loading, determine the
force in each of the members located above HJ.
State whether each member is in tension or
compression.
SOLUTION Free body: Joint G:
1.2 kN
3.03 3.03 1.2
GH GI
F F
  3.03 kN
GH
F T
 
3.03 kN
GI
F C
 
Free body: Joint L:
1.2 kN
3.03 3.03 1.2
 
JL KL
F F
3.03 kN
JL
F T
 
3.03 kN
KL
F C
 
Free body: Joint J:
2.97
0: (3.03 kN) 0
3.03
    
x HJ
F F
2.97 kN
HJ
F T
 
0.6
0: 1.2 kN (3.03 kN) 0
3.03
y JK
F F
    
1.800 kN
JK
F   1.800 kN
JK
F C
 
Free body: Joint H:
4 2.97
0: 2.97 kN (3.03 kN) 0
5 3.03
x HK
F F
    
0
HK
F  
0.6 3
0: 1.2 kN (3.03) kN (0) 0
3.03 5
y HI
F F
      
1.800 kN
HI
F   1.800 kN
HI
F C
 
www.elsolucionario.org
Copyright © McGraw-Hill Education. Permission required for reproduction or display.
PROBLEM 6.25 (Continued)
Free body: Joint I:
2.97
0: (3.03 kN) 0
3.03
x IK
F F
   
2.97 kN
IK
F   2.97 kN
IK
F C
 
0.6
0: 1.800 kN (3.03 kN) 0
3.03
y IN
F F
     
2.40 kN
IN
F   2.40 kN
IN
F C
 
Free body: Joint K:
4 2.97
0: 2.97 kN (3.03 kN) 0
5 3.03
x KN
F F
     
0
KN
F  
0.6 3
0: (3.03 kN) 1.800 kN (0) 0
3.03 5
y KO
F F
      
2.40 kN
KO
F   2.40 kN
KO
F C
 
www.elsolucionario.org
Copyright © McGraw-Hill Education. Permission required for reproduction or display.
PROBLEM 6.26
Solve Problem 6.24 assuming that the cables
hanging from the right side of the tower have
fallen to the ground.
PROBLEM 6.24 The portion of truss shown
represents the upper part of a power transmission
line tower. For the given loading, determine the
force in each of the members located above HJ.
State whether each member is in tension or
compression.
SOLUTION
Zero-Force Members:
Considering joint F, we note that DF and EF are zero-force
members:
0
 
DF EF
F F 
Considering next joint D, we note that BD and DE are zero-force
members:
0
BD DE
F F
  
Free body: Joint A:
1.2 kN
2.29 2.29 1.2
AC
AB F
F
  2.29 kN
AB
F T
 
2.29 kN
AC
F C
 
Free body: Joint B:
4 2.21
0: (2.29 kN) 0
5 2.29
   
x BE
F F
2.7625 kN
BE
F  2.76 kN
BE
F T
 
0.6 3
0: (2.29 kN) (2.7625 kN) 0
2.29 5
y BC
F F
     
2.2575 kN
BC
F   2.26 kN
BC
F C
 
www.elsolucionario.org
Copyright © McGraw-Hill Education. Permission required for reproduction or display.
PROBLEM 6.26 (Continued)
Free body: Joint C:
2.21
0: (2.29 kN) 0
2.29
   
x CE
F F
2.21 kN
CE
F C
 
0.6
0: 2.2575 kN (2.29 kN) 0
2.29
y CH
F F
     
2.8575 kN
CH
F   2.86 kN
CH
F C
 
Free body: Joint E:
4 4
0: (2.7625 kN) 2.21kN 0
5 5
x EH
F F
     
0
EH
F  
3 3
0: (2.7625 kN) (0) 0
5 5
y EJ
F F
     
1.6575 kN
EJ
F   1.658 kN
EJ
F T
 
www.elsolucionario.org
Copyright © McGraw-Hill Education. Permission required for reproduction or display.
PROBLEM 6.27
Determine the force in each member of the truss shown.
State whether each member is in tension or compression.
SOLUTION
Reactions: 0:
x
F
  0
x 
E
0:
F
M
  45 kips
y 
E
0:
y
F
  60 kips

F
Joint D:
15 kips
12 13 5
CD DH
F F
 
36.0 kips
CD
F T
 
39.0 kips
DH
F C
 
Joint H:
0:
F
  0
CH
F  
0:
F
  39.0 kips
GH
F C
 
Joint C:
0:
F
  0
CG
F  
0:
F
  36.0 kips
BC
F T
 
Joint G:
0:
F
  0
BG
F  
0:
F
  39.0 kips
FG
F C
 
Joint B:
0:
F
  0
BF
F  
0:
F
  36.0 kips
AB
F T
 
www.elsolucionario.org
Copyright © McGraw-Hill Education. Permission required for reproduction or display.
PROBLEM 6.27 (Continued)
Joint A:
2 2
12 15 19.21 ft
AE   
36 kips
tan38.7
AF
F
  45.0 kips
AF
F C
 
36 kips
sin38.7
AE
F
  57.6 kips
AE
F T
 
Joint E:
0: (57.6 kips)sin 38.7 0
x EF
F F
     
36.0 kips
EF
F   36.0 kips
EF
F C
 
0: (57.6 kips)cos38.7 45 kips 0
y
F
    
(Checks)
www.elsolucionario.org
Copyright © McGraw-Hill Education. Permission required for reproduction or display.
PROBLEM 6.28
Determine the force in each member of the truss shown.
State whether each member is in tension or compression.
SOLUTION
Free body: Truss
0: 0
x x
F
  
H
0: 48(16) (4) 0 192 kN
H
M G
    
G
0: 192 48 0
y y
F H
    
144 kN 144 kN
y y
H   
H
Zero-Force Members:
Examining successively joints C, B, E, D, and F, we note that the following are zero-force members: BC,
BE, DE, DG, FG
Thus, 0
BC BE DE DG FG
F F F F F
    
Also note: AB BD DF FH
F F F F
   (1)
AC CE EG
F F F
  (2)
Free body: Joint A:
48 kN
8 3
73
AC
AB F
F
 
128 kN
AB
F  128.0 kN
AB
F T
 
136.704 kN
AC
F  136.7 kN
AC
F C
 
From Eq. (1): 128.0 kN
BD DF FH
F F F T
   
From Eq. (2):   136.7kN
CE EG
F F C 
www.elsolucionario.org
Copyright © McGraw-Hill Education. Permission required for reproduction or display.
PROBLEM 6.28 (Continued)
Free body: Joint H
144 kN
9
145
GH
F
 192.7 kN
GH
F C
 
Also
144 kN
8 9
FH
F

128.0 kN (Checks)
FH
F T
 
www.elsolucionario.org
Copyright © McGraw-Hill Education. Permission required for reproduction or display.
PROBLEM 6.29
Determine whether the trusses of Problems 6.31a,
6.32a, and 6.33a are simple trusses.
SOLUTION
Truss of Problem 6.31a:
Starting with triangle HDI and adding two members at a time, we
obtain successively joints A, E, J, and B, but cannot go further. Thus,
this truss
is not a simple truss. 
Truss of Problem 6.32a:
Starting with triangle ABC and adding two members at a time, we obtain
joints D, E, G, F, and H, but cannot go further. Thus, this truss
is not a simple truss. 
Truss of Problem 6.33a:
Starting with triangle ABD and adding two members at a time, we
obtain successively joints H, G, F, E, I, C, and J, thus completing the
truss.
Therefore, this is a simple truss. 
www.elsolucionario.org
Copyright © McGraw-Hill Education. Permission required for reproduction or display.
PROBLEM 6.30
Determine whether the trusses of Problems 6.31b, 6.32b, and 6.33b are simple trusses.
SOLUTION
Truss of Problem 6.31b:
Starting with triangle CGM and adding two members at a time, we obtain
successively joints B, L, F, A, K, J, then H, D, N, I, E, O, and P, thus
completing the truss.
Therefore, this truss is a simple truss. 
Truss of Problem 6.32b:
Starting with triangle ABC and adding two members at a time, we obtain
successively joints E, D, F, G, and H, but cannot go further. Thus, this truss
is not a simple truss. 
Truss of Problem 6.33b:
Starting with triangle GFH and adding two members at a time, we obtain
successively joints D, E, C, A, and B, thus completing the truss.
Therefore, this is a simple truss. 
www.elsolucionario.org
Copyright © McGraw-Hill Education. Permission required for reproduction or display.
PROBLEM 6.31
For the given loading, determine the zero-force members in
each of the two trusses shown.
SOLUTION
Truss (a): : Joint : 0

BC
FB B F
: Joint : 0

CD
FB C F
: Joint : 0

IJ
FB J F
: Joint : 0

IL
FB I F
: Joint : 0

MN
FB N F
: Joint : 0

LM
FB M F
The zero-force members, therefore, are , , , , ,
BC CD IJ IL LM MN 
Truss (b): : Joint : 0

BC
FB C F
: Joint : 0

BE
FB B F
: Joint : 0

FG
FB G F
: Joint : 0

EF
FB F F
: Joint : 0

DE
FB E F
: Joint : 0

IJ
FB I F
: Joint : 0

MN
FB M F
: Joint : 0

KN
FB N F
The zero-force members, therefore, are , , , , , , ,
BC BE DE EF FG IJ KN MN 
(a)
(b)
www.elsolucionario.org
Copyright © McGraw-Hill Education. Permission required for reproduction or display.
PROBLEM 6.32
For the given loading, determine the zero-force members
in each of the two trusses shown.
SOLUTION
Truss (a): : Joint : 0

BJ
FB B F
: Joint : 0

DI
FB D F
: Joint : 0

EI
FB E F
: Joint : 0

AI
FB I F
: Joint : 0

FK
FB F F
: Joint : 0

GK
FB G F
: Joint : 0

CK
FB K F
The zero-force members, therefore, are , , , , , ,
AI BJ CK DI EI FK GK 
Truss (b): : Joint : 0

FK
FB K F
: Joint :
FB O 0
IO
F 
The zero-force members, therefore, are and
FK IO 
All other members are either in tension or compression.
(b)
(a)
www.elsolucionario.org
Copyright © McGraw-Hill Education. Permission required for reproduction or display.
PROBLEM 6.33
For the given loading, determine the
zero-force members in each of the
two trusses shown.
SOLUTION
Truss (a):
Note: Reaction at F is vertical ( 0).
x
F 
Joint :
G 0,
F
  0
DG
F  
Joint :
D 0,
F
  0
DB
F  
Joint :
F 0,
F
  0
FG
F  
Joint :
G 0,
F
  0
GH
F  
Joint :
J 0,
F
  0
IJ
F  
Joint :
I 0,
F
  0
HI
F  
Truss (b):
Joint :
A 0,
F
  0
AC
F  
Joint :
C 0,
F
  0
CE
F  
Joint :
E 0,
F
  0
EF
F  
Joint :
F 0,
F
  0
FG
F  
Joint :
G 0,
F
  0
GH
F  
www.elsolucionario.org
Copyright © McGraw-Hill Education. Permission required for reproduction or display.
PROBLEM 6.34
Determine the zero-force members in the truss of (a) Problem 6.21, (b) Problem 6.27.
SOLUTION
(a) Truss of Problem 6.21:
: Joint : 0
BC
FB C F 
: Joint : 0
IJ
FB J F 
: Joint : 0
JK
FB K F 
: Joint : 0
HI
FB I F 
The zero-force members, therefore, are , , ,
BC HI IJ JK 
(b) Truss of Problem 6.27:
: Joint : 0
BF
FB B F 
: Joint : 0
BG
FB B F 
: Joint : 0
CG
FB C F 
: Joint : 0
CH
FB C F 
The zero-force members, therefore, are , , ,
BF BG CG CH 
www.elsolucionario.org
Copyright © McGraw-Hill Education. Permission required for reproduction or display.
PROBLEM 6.35*
The truss shown consists of six members and is supported
by a short link at A, two short links at B, and a ball and
socket at D. Determine the force in each of the members
for the given loading.
SOLUTION
Free body: Truss:
From symmetry:
and
 
x x y y
D B D B
0: (10 ft) (400 lb)(24 ft) 0
z
M A
    
960 lb
A  
0: 0
x x x
F B D A
    
2 960 lb 0, 480 lb
x x
B B
  
0: 400 lb 0
y y y
F B D
    
2 400 lb
200 lb
y
y
B
B

 
Thus, (480 lb) (200 lb)
 
B i j 
Free body: C:
( 24 10 )
26
( 24 7 )
25
( 24 7 )
25
AC
CA AC
BC
CB BC
CD
CD CD
F
CA
F F
CA
F
CB
F F
CB
F
CD
F F
CD
   
   
   
i j
i k
i k






0: (400 lb) 0
CA CB CD
     
F F F F j
PROBLEM 6.35* (Continued)
www.elsolucionario.org
Copyright © McGraw-Hill Education. Permission required for reproduction or display.
Substituting for , , ,
CA CB CD
F F F and equating to zero the coefficients of , , :
i j k
i:
24 24
( ) 0
26 25
   
AC BC CD
F F F (1)
j:
10
400 lb 0
26
AC
F   1040 lb
AC
F T
 
k:
7
( ) 0
25
BC CD CD BC
F F F F
  
Substitute for AC
F and CD
F in Eq. (1):
24 24
(10.40 lb) (2 ) 0 500lb
26 25
BC BC
F F
     500 lb
BC CD
F F C
  
Free body: B:
(500 lb) (480 lb) (140 lb)
(10 7 )
12.21
BC
AB
BA AB
BD BD
CB
F
CB
F
BA
F F
BA
F F
   
  
 
i k
j k
k




0: (480 lb) (200 lb) 0
BA BD BC
      
F F F F i j
Substituting for , ,
BA BD BC
F F F and equating to zero the coefficients of j and k:
j:
10
200 lb 0 244.2 lb
12.21
   
AB AB
F F 244 lb
AB
F C
 
k:
7
140 lb 0
12.21
AB BD
F F
   
7
( 244.2 lb) 140 lb 280 lb
12.21
BD
F       280 lb
BD
F T
 
From symmetry: AD AB
F F
 244 lb
AD
F C
 
www.elsolucionario.org
Copyright © McGraw-Hill Education. Permission required for reproduction or display.
PROBLEM 6.36*
The truss shown consists of six members and is supported by
a ball and socket at B, a short link at C, and two short links at
D. Determine the force in each of the members for
P  (2184 N)j and Q  0.
SOLUTION
Free body: Truss:
From symmetry:
and
x x y y
D B D B
 
0: 2 0
x x
F B
  
0
x x
B D
 
0: 0
z z
F B
  
0: 2 (2.8 m) (2184 N)(2 m) 0
c z y
M B
    
780 N
y
B 
Thus, (780 N)

B j 
Free body: A:
( 0.8 4.8 2.1 )
5.30
(2 4.8 )
5.20
( 0.8 4.8 2.1 )
5.30
AB
AB AB
AC
AC AC
AD
AD AD
F
AB
F F
AB
F
AC
F F
AC
F
AD
F F
AD
    
  
    
i j k
i j
i j k




0: (2184 N) 0
AB AC AD
     
F F F F j
www.elsolucionario.org
Copyright © McGraw-Hill Education. Permission required for reproduction or display.
PROBLEM 6.36* (Continued)
Substituting for , , ,
AB AC AD
F F F and equating to zero the coefficients of , , :
i j k
i:
0.8 2
( ) 0
5.30 5.20
AB AD AC
F F F
    (1)
j:
4.8 4.8
( ) 2184 N 0
5.30 5.20
AB AD AC
F F F
     (2)
k:
2.1
( ) 0
5.30
AB AD
F F
  AD AB
F F

Multiply Eq. (1) by –6 and add Eq. (2):
16.8
2184 N 0, 676 N
5.20
AC AC
F F
 
    
 
 
676 N
AC
F C
 
Substitute for AC
F and AD
F in Eq. (1):
0.8 2
2 ( 676 N) 0, 861.25 N
5.30 5.20
   
     
   
   
AB AB
F F 861 N
AB AD
F F C
  
Free body: B:
(861.25 N) (130 N) (780 N) (341.25 N)
2.8 2.1
(0.8 0.6 )
3.5
AB
BC BC BC
BD BD
AB
AB
F F
F
    

 
  
 
 
 
F i j k
i k
F i k
F k


0: (780 N) 0
AB BC BD
     
F F F F j
Substituting for , ,
AB BC BD
F F F and equating to zero the coefficients of i and ,
k
i: 130 N 0.8 0 162.5 N
BC BC
F F
     162.5 N
BC
F T
 
k: 341.25 N 0.6 0
BC BD
F F
  
341.25 0.6(162.5) 243.75 N
   
BD
F 244 N
BD
F T
 
From symmetry: CD BC
F F
 162.5 N
CD
F T
 
www.elsolucionario.org
Copyright © McGraw-Hill Education. Permission required for reproduction or display.
PROBLEM 6.37*
The truss shown consists of six members and is supported by
a ball and socket at B, a short link at C, and two short links at
D. Determine the force in each of the members for P  0 and
Q  (2968 N)i.
SOLUTION
Free body: Truss:
From symmetry:
and
x x y y
D B D B
 
0: 2 2968 N 0
x x
F B
   
1484 N
x x
B D
  
0: 2 (2.8 m) (2968 N)(4.8 m) 0
cz y
M B

    
2544 N
y
B  
Thus, (1484 N) (2544 N)
  
B i j 
Free body: A:
( 0.8 4.8 2.1 )
5.30
(2 4.8 )
5.20
( 0.8 4.8 2.1 )
5.30
AB AB
AB
AC
AC AC
AD AD
AD
AB
F F
AB
F
F
AC
F F
AC
AD
F F
AD
F

   
  

   
i j k
i j
i j k




0: (2968 N) 0
AB AC AD
     
F F F F i
www.elsolucionario.org
Copyright © McGraw-Hill Education. Permission required for reproduction or display.
PROBLEM 6.37* (Continued)
Substituting for , , ,
AB AC AD
F F F and equating to zero the coefficients of , , ,
i j k
i:
0.8 2
( ) 2968 N 0
5.30 5.20
AB AD AC
F F F
     (1)
j:
4.8 4.8
( ) 0
5.30 5.20
AB AD AC
F F F
    (2)
k:
2.1
( ) 0
5.30
AB AD
F F
  AD AB
F F

Multiply Eq. (1) by –6 and add Eq. (2):
16.8
6(2968 N) 0, 5512 N
5.20
AC AC
F F
 
    
 
 
5510 N
AC
F C
 
Substitute for AC
F and AD
F in Eq. (2):
4.8 4.8
2 ( 5512 N) 0, 2809 N
5.30 5.20
AB AB
F F
   
     
   
   
2810 N
AB AD
F F T
  
Free body: B:
(2809 N) (424 N) (2544 N) (1113 N)
2.8 2.1
(0.8 0.6 )
3.5
AB
BC BC BC
BD BD
BA
BA
F F
F
   

 
  
 
 
 
F i j k
i k
F i k
F k


0: (1484 N) (2544 N) 0
AB BC BD
      
F F F F i j
Substituting for , ,
AB BC BD
F F F and equating to zero the coefficients of i and ,
k
i: 24 N 0.8 1484 N 0, 1325 N
BC BC
F F
      1325 N
BC
F T
 
k: 1113 N 0.6 0
BC BD
F F
   
1113 N 0.6(1325 N) 1908 N,
BD
F      1908 N
BD
F C
 
From symmetry: CD BC
F F
 1325 N
CD
F T
 
www.elsolucionario.org
Copyright © McGraw-Hill Education. Permission required for reproduction or display.
PROBLEM 6.38*
The truss shown consists of nine members and is
supported by a ball and socket at A, two short
links at B, and a short link at C. Determine the
force in each of the members for the given
loading.
SOLUTION
Free body: Truss:
From symmetry:
0
z z
A B
 
0: 0
x x
F A
  
0: (6 ft) (1600 lb)(7.5 ft) 0
BC y
M A
   
2000 lb
y
A   (2000 lb)
 
A j 
From symmetry: y
B C

0: 2 2000 lb 1600 lb 0
y y
F B
    
1800 lb
y
B  (1800 lb)

B j 
Free body: A: 0: (2000 lb) 0
AB AC AD
     
F F F F j
(0.6 0.8 ) (2000 lb) 0
2 2
 
    
i k i k
i j j
AB AC AD
F F F
Factoring i, j, k and equating their coefficient to zero,
1 1
0.6 0
2 2
AB AC AD
F F F
   (1)
0.8 2000 lb 0
AD
F   2500 lb
AD
F T
 
1 1
0
2 2
AB AC
F F
  AC AB
F F

www.elsolucionario.org
Copyright © McGraw-Hill Education. Permission required for reproduction or display.
PROBLEM 6.38* (Continued)
Substitute for AD
F and AC
F into Eq. (1):
2
0.6(2500 lb) 0, 1060.7 lb,
2
AB AB
F    
F 1061lb
AB AC
F F C
  
Free body: B: (1060.7 lb) (750 lb)( )
2
(0.8 0.6 )
(7.5 8 6 )
12.5
BA AB
BC BC
BD BD
BE
BE BE
BA
F
BA
F
F
F
BE
F
BE

    
 
 
   
i k
F i k
F k
F j k
F i j k




0: (1800 lb) 0
BA BC BD BE
      
F F F F F j
Substituting for , , , and
BA BC BD BE
F F F F and equating to zero the coefficients of , , ,
i j k
i:
7.5
750 lb 0, 1250 lb
12.5
BE BE
F F
 
   
 
 
1250 lb
BE
F C
 
j:
8
0.8 ( 1250 lb) 1800 lb 0
12.5
BD
F
 
   
 
 
1250 lb
BD
F C
 
k:
6
750 lb 0.6( 1250 lb) ( 1250 lb) 0
12.5
BC
F
     
2100 lb
BC
F T
 
From symmetry: 1250 lb
BD CD
F F C
  
Free body: D:
0: 0
DA DB DC DE
     
F F F F F i
We now substitute for , ,
DA DB DC
F F F and equate to zero the coefficient of i. Only DA
F contains i and its
coefficient is
0.6 0.6(2500 lb) 1500 lb
AD
F
    
i: 1500 lb 0
DE
F
   1500 lb
DE
F T
 
www.elsolucionario.org
Copyright © McGraw-Hill Education. Permission required for reproduction or display.
PROBLEM 6.39*
The truss shown consists of nine members and is supported by a
ball and socket at B, a short link at C, and two short links at D.
(a) Check that this truss is a simple truss, that it is completely
constrained, and that the reactions at its supports are statically
determinate. (b) Determine the force in each member for
P  (1200 N)j and Q  0.
SOLUTION
Free body: Truss:
0: 1.8 (1.8 3 ) ( )
B y
C D D
      
M i j i k j k
(0.6 0.75 ) ( 1200 ) 0
    
i k j
1.8 1.8 1.8
y z
C D D
  
k k j
3 720 900 0
y
D
   
i k i
Equate to zero the coefficients of , , :
i j k
i: 3 900 0, 300 N
y y
D D
  
j: 0,

z
D (300 N)

D j 
k: 1.8 1.8(300) 720 0
C    (100 N)

C j 
0: 300 100 1200 0
     
F B j j j (800 N)

B j 
Free body: B:
0: (800 N) 0,
BA BC BE
     
F F F F j with
(0.6 3 0.75 )
3.15
AB
BA AB
F
BA
BA
   
F F i j k


BC BC
F

F i BE BE
F
 
F k
Substitute and equate to zero the coefficient of , , :
j i k
j:
3
800 N 0, 840 N,
3.315
AB AB
F F
 
   
 
 
840 N
AB
F C
 
i:
0.6
( 840 N) 0
3.15
BC
F
 
  
 
 
160.0 N

BC
F T 
k:
0.75
( 840 N) 0
3.15
BE
F
 
  

 
 
200 N
BE
F T
 
www.elsolucionario.org
Copyright © McGraw-Hill Education. Permission required for reproduction or display.
PROBLEM 6.39* (Continued)
Free body: C:
0: (100 N) 0,
CA CB CD CE
      
F F F F F j with
( 1.2 3 0.75 )
3.317
AC
CA AC
F
CA
F
CA
    
F i j k


(160 N)
CB
F   i
( 1.8 3 )
3,499
CE
CD CD CE CE
F
CE
F
CE
     
F k F F i k


Substitute and equate to zero the coefficient of , , :
j i k
j:
3
100 N 0, 110.57 N
3.317
AC AC
F F
 
   
 
 
110.6 N
AC
F C
 
i:
1.2 1.8
( 110.57) 160 0, 233.3
3.317 3.499
CE CE
F F
       233 N
CE
F C
 
k:
0.75 3
( 110.57) ( 233.3) 0
3.317 3.499
CD
F
      225 N
CD
F T
 
Free body: D:
0: (300 N) 0,
DA DC DE
     
F F F F j with
( 1.2 3 2.25 )
3.937
AD
DA AD
F
DA
F
DA
    
F i j k


(225 N)
DC CD
F
 
F k k DE DE
F F
  i
Substitute and equate to zero the coefficient of , , :
j i k
j:
3
300 N 0,
3.937
AD
F
 
 
 
 
393.7 N,
AD
F   394 N
AD
F C
 
i:
1.2
( 393.7 N) 0
3.937
DE
F
 
  

 
 
120.0 N
DE
F T
 
k:
2.25
( 393.7 N) 225 N 0
3.937
 
  
 
 
(Checks)
Free body: E:
Member AE is the only member at E which does not lie in the xz plane.
Therefore, it is a zero-force member.
0
AE
F  
www.elsolucionario.org
Copyright © McGraw-Hill Education. Permission required for reproduction or display.
PROBLEM 6.40*
Solve Problem 6.39 for P  0 and Q  (900 N)k.
PROBLEM 6.39* The truss shown consists of nine
members and is supported by a ball and socket at B, a short
link at C, and two short links at D. (a) Check that this truss
is a simple truss, that it is completely constrained, and that
the reactions at its supports are statically determinate. (b)
Determine the force in each member for P  (1200 N)j
and Q  0.
SOLUTION
Free body: Truss:
0: 1.8 (1.8 3 ) ( )
B y z
C D D
      
M i j i k j k
(0.6 3 0.75 ) ( 900N) 0
     
i j k k
1.8 1.8 1.8
y z
C D D
 
k k j
3 540 2700 0
y
D
   
i j i
Equate to zero the coefficient of , , :
i j k
3 2700 0 900 N
y y
D D
  
1.8 540 0 300 N
z z
D D
   
1.8 1.8 0 900 N
y y
C D C D
     
Thus, (900 N) (900 N) (300 N)
   
C j D j k 
0: 900 900 300 900 0
      
F B j j k k (600 N)

B k 
Free body: B:
Since B is aligned with member BE,
0,
AB BC
F F
  600 N
BE
F T
 
Free body: C:
 0: (900 N) 0,
CA CD CE
     
F F F F j with
www.elsolucionario.org
Copyright © McGraw-Hill Education. Permission required for reproduction or display.
PROBLEM 6.40* (Continued)
 ( 1.2 3 0.75 )
3.317
AC
CA AC
F
CA
F
CA
    
F i j k



( 1.8 3 )
3.499
CE
CD CD CE CE
F
CE
F F
CE
     
F k F i k


Substitute and equate to zero the coefficient of , , :
j i k
j:
3
900 N 0,
3.317
AC
F
 
 
 
 
995.1 N
AC
F  995 N
AC
F T
 
i:
1.2 1.8
(995.1) 0, 699.8 N
3.317 3.499
CE CE
F F
     700 N
CE
F C
 
k:
0.75 3
(995.1) ( 699.8) 0
3.317 3.499
CD
F
     375 N
CD
F T
 
Free body: D:
0: (375N) +(900 N) (300 N) 0
DA DE
     
F F F k j k
with ( 1.2 3 2.25 )
3.937
AD
DA AD
F
DA
DA
    
F F i j k


and DE DE
F F
  i
Substitute and equate to zero the coefficient , , :
j i k
j:
3
900 N 0, 1181.1 N
3.937
AD AD
F F
 
   
 
 
1181 N
AD
F C
 
i:
1.2
( 1181.1 N) 0
3.937
DE
F
 
   
 
 
360 N
DE
F T
 
k:
2.25
( 1181.1 N 375 N 300 N 0)
3.937
 
   
 
 
(Checks)
Free body: E:
Member AE is the only member at E which
does not lie in the xz plane. Therefore, it is
a zero-force member.
0
AE
F  
www.elsolucionario.org
Copyright © McGraw-Hill Education. Permission required for reproduction or display.
PROBLEM 6.41*
The truss shown consists of 18 members and is supported by a
ball and socket at A, two short links at B, and one short link at G.
(a) Check that this truss is a simple truss, that it is completely
constrained, and that the reactions at its supports are statically
determinate. (b) For the given loading, determine the force in each
of the six members joined at E.
SOLUTION
(a) Check simple truss.
(1) Start with tetrahedron BEFG.
(2) Add members BD, ED, GD joining at D.
(3) Add members BA, DA, EA joining at A.
(4) Add members DH, EH, GH joining at H.
(5) Add members BC, DC, GC joining at C.
Truss has been completed: It is a simple truss.
Free body: Truss:
Check constraints and reactions.
Six unknown reactions—ok; however, supports at A
and B constrain truss to rotate about AB and support
at G prevents such a rotation. Thus,
Truss is completely constrained and reactions are statically determinate.
Determination of reactions:
0: 11 ( ) (11 9.6 )
(10.08 9.6 ) (275 240 ) 0
A y z
B B G
      
    
M i j k i k j
j k i k
11 11 11 9.6 (10.08)(275)
(10.08)(240) (9.6)(275) 0
y y
B B G G
   
  
k j k i k
i j
Equate to zero the coefficient of i, j, k:
: 9.6 (10.08)(240) 0 252 lb
   
i G G ( 252 lb)
 
G j 
: 11 (9.6)(275) 0 240 lb
    
j z z
B B
: 11 11( 252) (10.08)(275) 0, 504 lb
y y
B B
    
k (504 lb) (240 lb)
 
B j k 
www.elsolucionario.org
Copyright © McGraw-Hill Education. Permission required for reproduction or display.
PROBLEM 6.41* (Continued)
0: (504 lb) (240 lb) (252 lb)
(275 lb) (240 lb) 0
    
  
F A j k j
i k
(275 lb) (252 lb)
  
A i j 
Zero-force members.
The determination of these members will facilitate our solution.
FB: C: Writing 0, 0, 0
x y z
F F F
      yields 0
BC CD CG
F F F
   
FB: F: Writing 0, 0, 0
x y z
F F F
      yields 0
BF EF FG
F F F
   
FB: A: Since 0,
z
A  writing 0
z
F
  yields 0
AD
F  
FB: H: Writing 0
y
F
  yields 0
DH
F  
FB: D: Since 0,
AD CD DH
F F F
   we
need consider only members DB, DE, and
DG.
Since DE
F is the only force not contained in plane BDG, it must
be zero. Simple reasonings show that the other two forces are also
zero.
0
BD DE DG
F F F
   
The results obtained for the reactions at the supports and for the zero-force members are shown on
the figure below. Zero-force members are indicated by a zero (“0”).
(b) Force in each of the members joined at E.
We already found that 0
 
DE EF
F F 
Free body: A: 0
y
F
  yields 252 lb
AE
F T
 
Free body: H: 0
z
F
  yields 240 lb
EH
F C
 
www.elsolucionario.org
Copyright © McGraw-Hill Education. Permission required for reproduction or display.
PROBLEM 6.41* (Continued)
Free body: E: 0: (240 lb) (252 lb) 0
EB EG
     
F F F k j
(11 10.08 ) (11 9.6 ) 240 252 0
14.92 14.6
EG
BE F
F
     
i j i k k j
Equate to zero the coefficient of y and k:
10.08
: 252 0
14.92
BE
F
 
  
 
 
j 373 lb
BE
F C
 
:
k
9.6
240 0
14.6
EG
F
 
  
 
 
365 lb
EG
F T
 
www.elsolucionario.org
Copyright © McGraw-Hill Education. Permission required for reproduction or display.
PROBLEM 6.42*
The truss shown consists of 18 members and is supported by a
ball and socket at A, two short links at B, and one short link at
G. (a) Check that this truss is a simple truss, that it is
completely constrained, and that the reactions at its supports
are statically determinate. (b) For the given loading,
determine the force in each of the six members joined at G.
SOLUTION
See solution to Problem 6.41 for part (a) and for reactions and zero-force members.
(b) Force in each of the members joined at G.
We already know that
0
CG DG FG
F F F
   
Free body: H: 0
x
F
  yields 275 lb
GH
F C
 
Free body: G: 0: (275 lb) (252 lb) 0
GB GE
     
F F F i j
( 10.08 9.6 ) ( 11 9.6 ) 275 252 0
13.92 14.6
       
BG EG
F F
j k i k i j
Equate to zero the coefficient of i, j, k:
11
: 275 0
14.6
EG
F
 
  
 
 
i 365 lb
EG
F T
 
10.08
: 252 0
13.92
BG
F
 
  
 
 
j 348 lb
BG
F C
 
9.6 9.6
: ( 348) (365) 0
13.92 14.6
   
  
   
   
k (Checks)
www.elsolucionario.org
Copyright © McGraw-Hill Education. Permission required for reproduction or display.
PROBLEM 6.43
A Mansard roof truss is loaded as shown. Determine the force in
members DF, DG, and EG.
SOLUTION
Reactions:
Because of the symmetry of the truss and loadings,  
1
0, (1.2 kN) 5 3 kN
2
x y
A A L
   
We pass a section through DF, DG, and EG and use the free body shown:
Member DF:
    
  
0: (1.2 kN) 8 m 1.2 kN 4 m
3 kN 10.25 m (3 m) 0
G
DF
M
F
  
  
5.45 kN
DF
F   5.45 kN
DF
F C
 
Member DG:
3
0: 3 kN 1.2 kN 1.2 kN 0
5
y DG
F F
 
     
 
 
1.000 kN
DG
F  1.000 kN
DG
F T
 
Member EG:
  
0: 1.2 kN 4 m (3 m) (3 kN)(6.25 m) 0
D EG
M F
    
4.65 kN
EG
F T
 
www.elsolucionario.org
Copyright © McGraw-Hill Education. Permission required for reproduction or display.
PROBLEM 6.44
A Mansard roof truss is loaded as shown. Determine the force in
members GI, HI, and HJ.
SOLUTION
Reactions:
Because of the symmetry of the truss and loadings,  
1
0, (1.2 kN) 5 3 kN
2
x y
A A L
   
We pass a section through GI, HI, and HJ and use the free body shown:
Member DF:
     
0: 3 kN 6.25 m 1.2 kN 4 m (3 m) 0
H GI
M F
    
4.65 kN
GI
F  4.65 kN
GI
F T
 
Member HI:
0: 3 kN 1.2 kN 0
y HI
F F
    
1.800 kN
HI
F   1.800 kN
HI
F C
 
Member HJ:
  
0: 3 kN 6.25 m (3 m) (1.2 kN)(4 m) 0
I HJ
M F
    
4.65 kN
HJ
F  
4.65 kN
HJ
F C
 
Check 0 : 4.65 4.65 0 o.k.
x
   
F
www.elsolucionario.org
Copyright © McGraw-Hill Education. Permission required for reproduction or display.
PROBLEM 6.45
Determine the force in members BD and CD of the truss
shown.
SOLUTION
Reactions from Free body of entire truss:
27 kips
y
 
A A 
45 kips

H 
We pass a section through members BD, CD, and CE and use the
free body shown.
0: (7.5 ft) (27 kips)(10 ft) 0
C BD
M F
    
36.0 kips
BD
F   36.0 kips
BD
F C
 
3
0: 27 kips+ 0
5
y CD
F F
 
  
 
 
45.0 kips
CD
F   45.0 kips
CD
F C
 
www.elsolucionario.org
Copyright © McGraw-Hill Education. Permission required for reproduction or display.
PROBLEM 6.46
Determine the force in members DF and DG of the truss
shown.
SOLUTION
Reactions from Free body of entire truss:
27 kips
y
 
A A 
45 kips

H 
We pass a section through members DF, DG, and EG and use the
free body shown.
0: (7.5 ft) (45 kips)(10 ft) 0
G FD
M F
   
60.0 kips
FD
F   60.0 kips
FD
F C
 
3
0: 45 kips+ 36 kips 0
5
y GD
F F
 
   
 
 
15.00 kips
GD
F   15.00 kips
GD
F C
 
www.elsolucionario.org
Copyright © McGraw-Hill Education. Permission required for reproduction or display.
PROBLEM 6.47
Determine the force in members CD and DF of the truss shown.
SOLUTION
Reactions:
0: (12 kN)(4.8 m) (12 kN)(2.4 m) (9.6 m) 0
J
M B
    
9.00 kN
B 
0: 9.00 kN 12.00 kN 12.00 kN 0
y
F J
     
15.00 kN
J 
Member CD:
0: 9.00 kN 0
y CD
F F
    9.00 kN
CD
F C
 
Member DF:
0: (1.8 m) (9.00 kN)(2.4 m) 0
C DF
M F
    12.00 kN
DF
F T
 
www.elsolucionario.org
Copyright © McGraw-Hill Education. Permission required for reproduction or display.
PROBLEM 6.48
Determine the force in members FG and FH of the truss shown.
SOLUTION
Reactions:
0: (12 kN)(4.8 m) (12 kN)(2.4 m) (9.6 m) 0
J
M B
    
9.00 kN
B 
0: 9.00 kN 12.00 kN 12.00 kN 0
y
F J
     
15.00 kN
J 
Member FG:
3
0: 12.00 kN 15.00 kN 0
5
y FG
F F
     
5.00 kN
FG
F T
 
Member FH:
0: (15.00 kN)(2.4 m) (1.8 m) 0
G FH
M F
   
20.0 kN
FH
F T
 
www.elsolucionario.org
Copyright © McGraw-Hill Education. Permission required for reproduction or display.
PROBLEM 6.49
Determine the force in members CD and DF of the truss shown.
SOLUTION
5
tan 22.62
12
 
  
5 12
sin cos
13 13
 
 
Member CD:
0: (9 m) (10 kN)(9 m) (10 kN)(6 m) (10 kN)(3 m) 0
I CD
M F
     
20 kN
CD
F   20.0 kN
CD
F C
 
Member DF:
0: ( cos )(3.75 m) (10 kN)(3 m) (10 kN)(6 m) (10 kN)(9 m) 0
C DF
M F 
     
cos 48 kN
DF
F   
12
48 kN 52.0 kN
13
DF DF
F F
 
   
 
 
52.0 kN
DF
F C
 
www.elsolucionario.org
Copyright © McGraw-Hill Education. Permission required for reproduction or display.
PROBLEM 6.50
Determine the force in members CE and EF of the truss shown.
SOLUTION
Member CE:
0: (2.5 m) (10 kN)(3 m) (10 kN)(6 m) 0
F CE
M F
    
36 kN
CE
F   36.0 kN
CE
F T
 
Member EF:
0: (6 m) (10 kN)(6 m) (10 kN)(3 m) 0
I EF
M F
    
15 kN
EF
F   15.00 kN
EF
F C
 
www.elsolucionario.org
Copyright © McGraw-Hill Education. Permission required for reproduction or display.
PROBLEM 6.51
Determine the force in members DE and DF of the truss
shown when P  20 kips.
SOLUTION
Reactions:
2.5P
 
C K
7.5
tan
18
22.62



 
Member DE:
0: (2.5 )(6 ft) (12 ft) 0
A DE
M P F
   
1.25
DE
F P
 
For 20 kips,
P  1.25(20) 25 kips
DE
F     25.0 kips
DE
F T
 
Member DF:
0: (12 ft) (2.5 )(6 ft) cos (5 ft) 0
E DF
M P P F 
    
12 15 cos22.62 (5 ft) 0
DF
P P F
   
0.65
DF
F P
 
For 20 kips,
P  0.65(20) 13 kips
DF
F    
13.00 kips
DF
F C
 
www.elsolucionario.org
Copyright © McGraw-Hill Education. Permission required for reproduction or display.
PROBLEM 6.52
Determine the force in members EG and EF of the truss
shown when P  20 kips.
SOLUTION
Reactions:
2.5
7.5
tan
6
51.34
P


 

 
C K
Member EG:
0: (18 ft) 2.5 (12 ft) (6 ft) (7.5 ft) 0
F EG
M P P P F
     
0.8 ;
EG
F P
 
For 20 kips,
P  0.8(20) 16 kips
EG
F    16.00 kips
EG
F T
 
Member EF:
0: 2.5 (6 ft) (12 ft) sin 51.34 (12 ft) 0
A EF
M P P F
     
0.320 ;
EF
F P
 
For 20 kips,
P  0.320(20) 6.4 kips
EF
F    
6.40 kips
EF
F C
 
www.elsolucionario.org
Copyright © McGraw-Hill Education. Permission required for reproduction or display.
PROBLEM 6.53
Determine the force in members DF and DE of the truss shown.
SOLUTION
1 1
tan 7.1
8
   
 
 
 

Member CE:
0: (1.75 m) (30 kN)(4 m) (20 kN)(2 m) 0
F DF
M F
     
91.4 kN
DF
F   91.4 kN
DF
F T
 
Member EF:
0: (14 m) (30 kN)(10 m) 20 kN)(12 m) 0
O DE
M F
     
38.6 kN
DE
F   38.6 kN
DE
F C
 
www.elsolucionario.org
Copyright © McGraw-Hill Education. Permission required for reproduction or display.
PROBLEM 6.54
Determine the force in members CD and CE of the truss shown.
SOLUTION
1
1
1
tan 7.1
8
1.5
tan 36.9
2




 
 
 
 
 
 
 
 


Member CE:
 
0: sin 36.9 (14 m) (30 kN)(10 m) (20 kN)(12 m) 0
O CD
M F
    

64.2 kN
CD
F   64.2 kN
CD
F T
 
Member EF:
 
0: cos 7.1 (1.75 m) (30 kN)(4 m) (20 kN)(2 m) 0
O CE
M F
    

92.1 kN
CE
F   92.1 kN
CE
F C
 
www.elsolucionario.org
Copyright © McGraw-Hill Education. Permission required for reproduction or display.
PROBLEM 6.55
A monosloped roof truss is loaded as shown. Determine the
force in members CE, DE, and DF.
SOLUTION
Reactions at supports: Because of the symmetry of the loading,
0
1 1
(Total load) (8 kN)
2 2
x
y
A
A I

   4 kN
 
A I 
We pass a section through members CD, DE, and DF, and use the free body shown.
(We moved DE
F to E and DF
F to F)
Slope
2.16 m 9
9.6 m 40
BJ  
Slope
9
40
1m 5
2.4 m 12
0.46 m 0.46 m
2.0444 m
Slope
DE
a
BJ
 
 
  
0: (1 m) (1 kN)(2.4 m) (4 kN)(2.4 m) 0
    
D CE
M F
7.20 kN
CE
F   7.20 kN
CE
F T
 
0: (4 kN)(2.0444 m) (1kN)(2.0444 m)
5
(2 kN)(4.4444 m) (6.8444 m) 0
13
K
DE
M
F
  
 
  
 
 
1.047 kN
DE
F   1.047 kN
DE
F C
 
0: (1kN)(4.8 m) (2kN)(2.4 m) (4 kN)(4.8 m)
40
(1.54 m) 0
41
E
DF
M
F
   
 
 
 
 
6.39 kN
DF
F   6.39 kN
DF
F C
 
www.elsolucionario.org
Copyright © McGraw-Hill Education. Permission required for reproduction or display.
PROBLEM 6.56
A monosloped roof truss is loaded as shown. Determine the
force in members EG, GH, and HJ.
SOLUTION
Reactions at supports: Because of the symmetry of the loading,
0
1 1
(Total load) (8 kN)
2 2
x
y
A
A I

   4 kN
 
A I 
We pass a section through members EG, GH, and HJ, and use the free body shown.
0: (4 kN)(2.4 m) (1 kN)(2.4 m) (2.08 m) 0
H EG
M F
    
3.4615 kN
EG
F   3.46 kN
EG
F T
 
0: (2.4 m) (2.62 m) 0
J GH EG
M F F
    
2.62
(3.4615 kN)
2.4
GH
F  
3.7788 kN
GH
F   3.78 kN
GH
F C
 
2.4
0: 0
2.46
x EG HJ
F F F
    
2.46 2.46
(3.4615 kN)
2.4 2.4
HJ EG
F F
   
3.548 kN
HJ
F   3.55 kN
HJ
F C
 
www.elsolucionario.org
Copyright © McGraw-Hill Education. Permission required for reproduction or display.
PROBLEM 6.57
A Howe scissors roof truss is loaded as shown.
Determine the force in members DF, DG, and EG.
SOLUTION
Reactions at supports.
Because of symmetry of loading,
1 1
0, (total load) (9.60 kips) 4.80 kips
2 2
x y
A A L
    
4.80 kips
 
A L 
We pass a section through members DF, DG, and EG, and use the free body shown.
We slide DF
F to apply it at F:
2 2
0: (0.8 kip)(24 ft) (1.6 kips)(16 ft) (1.6 kips)(8 ft)
8
(4.8 kips)(24 ft) (6 ft) 0
8 3.5
G
DF
M
F
   
  

10.48 kips, 10.48 kips
DF DF
F F C
   
2 2 2 2
0: (1.6 kips)(8 ft) (1.6 kips)(16 ft)
2.5 8
(16 ft) (7 ft) 0
8 2.5 8 2.5
A
DG DG
M
F F
   
  
 
3.35 kips, 3.35 kips
DG DG
F F C
   
2 2
8
0: (0.8 kips)(16 ft) (1.6 kips)(8 ft) (4.8 kips)(16 ft) (4 ft) 0
8 1.5
EG
D
F
M
     

 13.02 kips, 13.02 kips
EG EG
F F T
   
www.elsolucionario.org
Copyright © McGraw-Hill Education. Permission required for reproduction or display.
PROBLEM 6.58
A Howe scissors roof truss is loaded as shown.
Determine the force in members GI, HI, and HJ.
SOLUTION
Reactions at supports. Because of symmetry of loading,
0,
x
A 
1
(Total load)
2
1
(9.60 kips)
2
y
A L
 

4.80 kips
 4.80 kips
 
A L 
We pass a section through members GI, HI, and HJ, and use the free body shown.
2 2
16
0: (4 ft) (4.8 kips)(16 ft) (0.8 kip)(16 ft) (1.6 kips)(8 ft) 0
16 3
GI
H
F
M
      

13.02 kips
GI
F   13.02 kips
GI
F T
 
0: (1.6 kips)(8 ft) (16 ft) 0
0.800 kips
L HI
HI
M F
F
   
 
0.800 kips
HI
F T
 
We slide HG
F to apply it at H.
2 2
8
0: (4 ft) (4.8 kips)(16 ft) (1.6 kips)(8 ft) (0.8 kip)(16 ft) 0
8 3.5
HJ
I
F
M
     

13.97 kips
HJ
F   13.97 kips
HJ
F C
 
www.elsolucionario.org
Copyright © McGraw-Hill Education. Permission required for reproduction or display.
PROBLEM 6.59
Determine the force in members AD, CD, and CE of
the truss shown.
SOLUTION
Reactions:
0: 9 kips(8 ft) (45 ft) 5 kips(30 ft) 5 kips(15 ft) 0
k
M B
      6.6 kips

B
0: 9 kips 0 9 kips
x x x
F K
     
K
0: 6.6 kips 5 kips 5 kips 0 3.4 kips
y y y
F K
      
K
0: 9 kips(4 ft) 6.6 kips(7.5 ft) (4 ft) 0
C AD
M F
    
3.375 kips
AD
F   3.38 kN
AD
F C
 
8
0: (15 ft) 0
17
A CD
M F
 
  
 
 
0
CD
F  
15
0: (8 ft) 6.6 kips(15 ft) 0
17
D CE
M F
 
   
 
 
14.025 kips
CE
F   14.03 kips
CE
F T
 
www.elsolucionario.org
Copyright © McGraw-Hill Education. Permission required for reproduction or display.
PROBLEM 6.60
Determine the force in members DG, FG, and FH of the
truss shown.
SOLUTION
Reactions:
0: 9 kips(8 ft) (45 ft) 5 kips(30 ft) 5 kips(15 ft) 0
k
M B
      6.6 kips

B
0: 9 kips 0 9 kips
x x x
F K
     
K
0: 6.6 kips 5 kips 5 kips 0 3.4 kips
y y y
F K
      
K
0: 9 kips(4 ft) 6.6 kips(22.5 ft) 5 kips(7.5 ft) (4 ft) 0
F DG
M F
     
18.75 kips
DG
F   18.75 kips
DG
F C
 
8
0: 6.6 kips(15 ft) (15 ft) 0
17
D FG
M F
 
    
 
 
14.025 kips
FG
F   14.03 kips
FG
F T
 

15
0: 5 kips(15 ft) 6.6 kips(30 ft) (8 ft) 0
17
G FH
M F
 
    
 
 

 17.425 kips
FH
F    17.43 kips
FH
F T
 
www.elsolucionario.org
Copyright © McGraw-Hill Education. Permission required for reproduction or display.
PROBLEM 6.61
Determine the force in members DG and FI of the truss shown. (Hint:
Use section aa.)
SOLUTION
0: (4 m) (5 kN)(3 m) 0
F DG
M F
   
3.75 kN
DG
F   3.75 kN
DG
F T
 
0: 3.75 kN 0
y FI
F F
    
3.75 kN
FI
F   3.75 kN
FI
F C
 
www.elsolucionario.org
Copyright © McGraw-Hill Education. Permission required for reproduction or display.
PROBLEM 6.62
Determine the force in members GJ and IK of the truss shown. (Hint:
Use section bb.)
SOLUTION
0: (4 m) (5 kN)(6 m) (5 kN)(3 m) 0
I GJ
M F
    
11.25 kN
GJ
F   11.25 kN
GJ
F T
 
0: 11.25 kN 0
y IK
F F
    
11.25 kN
IK
F   11.25 kN
IK
F C
 
www.elsolucionario.org
Copyright © McGraw-Hill Education. Permission required for reproduction or display.
PROBLEM 6.63
Determine the force in members EH and GI of the
truss shown. (Hint: Use section aa.)
SOLUTION
Reactions:
0: 0
x x
F A
  
0: 12 kips(45 ft) 12 kips(30 ft) 12 kips(15 ft) (90 ft) 0
P y
M A
     
12 kips
y 
A
0: 12 kips 12 kips 12 kips 12 kips 0
y
F P
       24 kips

P
0: (12 kips)(30 ft) (16 ft) 0
G EH
M F
    
22.5 kips
EH
F   22.5 kips
EH
F C
 
0: 22.5 kips 0
x GI
F F
    22.5 kips
GI
F T
 
www.elsolucionario.org
Copyright © McGraw-Hill Education. Permission required for reproduction or display.
PROBLEM 6.64
Determine the force in members HJ and IL of the
truss shown. (Hint: Use section bb.)
SOLUTION
See the solution to Problem 6.63 for free body diagram and analysis to determine the reactions at supports
A and P.
0; 12.00 kips
x y
 
A A ; 24.0 kips

P
0: (16 ft) (12 kips)(15 ft) (24 kips)(30 ft) 0
L HJ
M F
    
33.75 kips
HJ
F   33.8 kips
HJ
F C
 
0: 33.75 kips 0
x IL
F F
   
33.75 kips
IL
F   33.8 kips
IL
F T
 
www.elsolucionario.org
Copyright © McGraw-Hill Education. Permission required for reproduction or display.
PROBLEM 6.65
The diagonal members in the center
panels of the power transmission line
tower shown are very slender and can act
only in tension; such members are known
as counters. For the given loading,
determine (a) which of the two counters
listed below is acting, (b) the force in
that counter.
Counters CJ and HE
SOLUTION
Free body: Portion ABDFEC of tower.
We assume that counter CJ is acting and show the forces exerted by that counter and by members CH and
EJ.
4
0: 2(1.2 kN)sin 20 0 1.026 kN
5
x CJ CJ
F F F
      
Since CJ is found to be in tension, our assumption was correct. Thus, the answers are
(a) CJ 
(b) 1.026 kN T 
www.elsolucionario.org
Copyright © McGraw-Hill Education. Permission required for reproduction or display.
PROBLEM 6.66
The diagonal members in the center
panels of the power transmission line
tower shown are very slender and can act
only in tension; such members are known
as counters. For the given loading,
determine (a) which of the two counters
listed below is acting, (b) the force in that
counter.
Counters IO and KN
SOLUTION
Free body: Portion of tower shown.
We assume that counter IO is acting and show the forces exerted by that counter and by members IN and
KO.
4
0: 4(1.2 kN)sin 20 0 2.05 kN
5
x IO IO
F F F
      
Since IO is found to be in tension, our assumption was correct. Thus, the answers are
(a) IO 
(b) 2.05 kN T 
www.elsolucionario.org
Copyright © McGraw-Hill Education. Permission required for reproduction or display.
PROBLEM 6.67
The diagonal members in the center panels of the truss shown are
very slender and can act only in tension; such members are known
as counters. Determine the force in member DE and in the counters
that are acting under the given loading.
SOLUTION
Reactions from free body of entire truss:
0: 12 kips
H
M
   
A
0 : 15 kips
y
F
   
H
Portion to the left of vertical cut through panel BCDE:
Required vertical component of bar forces and
BE CD
F F is downward. We must have
tension and 0.
BE CD
F F
 
3
0: 12 kips 6 kips 0
5
y BE
F F
 
    
 
 
10.00 kips
BE
F T
 

Required vertical component of bar forces EF and DG
F F is downward. We must have
tension and 0.
EF DG
F F
 

www.elsolucionario.org
Copyright © McGraw-Hill Education. Permission required for reproduction or display.
PROBLEM 6.67 (Continued)
3
0: 12 kips+15 kips 0
5
y EF
F F
 
    
 
 
5.00 kips
EF
F  5.00 kips
EF
F T
 
Member DE: Free body of joint D 0: 0
y DE
F F
  
Joint E: (check)    
3 3
0 : 10 kips 5 kips 9 kips+ 0
5 5
y DE
F F
   
    
   
   
0 (checks)
DE
F 
www.elsolucionario.org
Copyright © McGraw-Hill Education. Permission required for reproduction or display.
PROBLEM 6.68
Solve Prob. 6.67 assuming that the 9-kip load has been removed.
Problem 6.67 The diagonal members in the center panels of the
truss shown are very slender and can act only in tension; such
members are known as counters. Determine the force in member
DE and in the counters that are acting under the given loading.
SOLUTION
Reactions from free body of entire truss:
0: 7.5 kips
H
M
   
A
0 : 10.5 kips
y
F
   
H
Portion to the left of vertical cut through panel BCDE:
Required vertical component of bar forces and
BE CD
F F is downward. We must have
tension and 0.
BE CD
F F
 
3
0: 7.5 kips 6 kips 0
5
y BE
F F
 
    
 
 
2.50 kips
BE
F T
 
Portion to the right of vertical cut through panel DFEG:

Required vertical component of bar forces EF and DG
F F is downward. We must have
tension and 0.
DG EF
F F
 

www.elsolucionario.org
Copyright © McGraw-Hill Education. Permission required for reproduction or display.
PROBLEM 6.68 (Continued)

3
0: 12 kips+10.5 kips+ 0
5
y DG
F F
 
   
 
 
2.5 kips
DG
F  2.50 kips
DG
F T
 
Member DE: Free body of joint D  
3
0: 2.5 kips 0
5
y DE
F F
   
1.500 kips
DE
F   1.500 kips
DE
F C
 
www.elsolucionario.org
Copyright © McGraw-Hill Education. Permission required for reproduction or display.
PROBLEM 6.69
Classify each of the structures shown as completely, partially, or improperly constrained; if completely
constrained, further classify as determinate or indeterminate. (All members can act both in tension and in
compression.)
SOLUTION
Structure (a)
Number of members:
16
m 
Number of joints:
10
n 
Reaction components:
4
20, 2 20
r
m r n

  
Thus, 2
m r n
  
To determine whether the structure is actually completely constrained and determinate, we must try to
find the reactions at the supports. We divide the structure into two simple trusses and draw the free-body
diagram of each truss.
This is a properly supported simple truss – O.K. This is an improperly supported simple
truss. (Reaction at C passes through B. Thus,
Eq. 0
B
M
  cannot be satisfied.)
Structure is improperly constrained. 
Structure (b)
16
10
4
20, 2 20
m
n
r
m r n



  
Thus, 2
m r n
  
(a)
(b)
www.elsolucionario.org
Copyright © McGraw-Hill Education. Permission required for reproduction or display.
PROBLEM 6.69 (Continued)
We must again try to find the reactions at the supports dividing the structure as shown.
Both portions are simply supported simple trusses.
Structure is completely constrained and determinate. 
Structure (c)
17
10
4
21, 2 20
m
n
r
m r n



  
Thus, 2
m r n
  
This is a simple truss with an extra support which causes reactions (and forces in members) to be
indeterminate.
Structure is completely constrained and indeterminate. 
(c)
www.elsolucionario.org
Copyright © McGraw-Hill Education. Permission required for reproduction or display.
PROBLEM 6.70
Classify each of the structures shown as completely, partially, or improperly constrained; if completely
constrained, further classify as determinate or indeterminate. (All members can act both in tension and in
compression.)
SOLUTION
Structure (a):
Nonsimple truss with 4,
r  16,
m  10,
n 
so 20 2 ,
m r n
   but we must examine further.
FBD Sections:
FBD I: 0
A
M
   1
T
II: 0
x
F
   2
T
I: 0
x
F
   x
A
I: 0
y
F
   y
A
II: 0
E
M
   y
C
II: 0
y
F
   y
E
Since each section is a simple truss with reactions determined,
structure is completely constrained and determinate. 
Structure (b):
Nonsimple truss with 3,
r  16,
m  10,
n 
so 19 2 20
m r n
    Structure is partially constrained. 
www.elsolucionario.org
Copyright © McGraw-Hill Education. Permission required for reproduction or display.
PROBLEM 6.70 (Continued)
Structure (c):
Simple truss with 3,
r  17,
m  10,
n  20 2 ,
m r n
   but the horizontal reaction forces and
x x
A E
are collinear and no equilibrium equation will resolve them, so the structure is improperly constrained
and indeterminate. 
www.elsolucionario.org
Copyright © McGraw-Hill Education. Permission required for reproduction or display.
PROBLEM 6.71
Classify each of the structures shown as completely, partially, or improperly constrained; if completely
constrained, further classify as determinate or indeterminate. (All members can act both in tension and in
compression.)
SOLUTION
Structure (a):
Nonsimple truss with 4,
r  12,
m  8
n  so 16 2 .
r m n
  
Check for determinacy:
One can solve joint F for forces in EF, FG and then solve joint
E for y
E and force in DE.
This leaves a simple truss ABCDGH with
3, 9, 6 so 12 2
r m n r m n
      Structure is completely constrained and determinate. 
Structure (b):
Simple truss (start with ABC and add joints alphabetically to complete truss) with 4,
r  13,
m  8
n 
so 17 2 16
r m n
    Constrained but indeterminate 
www.elsolucionario.org
Copyright © McGraw-Hill Education. Permission required for reproduction or display.
PROBLEM 6.71 (Continued)
Structure (c):
Nonsimple truss with 3,
r  13,
m  8
n  so 16 2 .
  
r m n To further examine, follow procedure in
part (a) above to get truss at left.
Since 1 0

F (from solution of joint F),
1
A
M aF
  0
 and there is no equilibrium.
Structure is improperly constrained. 
www.elsolucionario.org
Copyright © McGraw-Hill Education. Permission required for reproduction or display.
PROBLEM 6.72
Classify each of the structures shown as completely, partially, or improperly constrained; if completely
constrained, further classify as determinate or indeterminate. (All members can act both in tension and in
compression.)
SOLUTION
Structure (a)
Number of members:
12

m
Number of joints:
8
n 
Reaction components:
3
15, 2 16
r
m r n

  
Thus, 2
m r n
  
Structure is partially constrained. 
Structure (b)
13, 8
3
16, 2 16
 

  
m n
r
m r n
Thus, 2
 
m r n 
To verify that the structure is actually completely constrained and determinate, we observe that it is a
simple truss (follow lettering to check this) and that it is simply supported by a pin-and-bracket and a
roller. Thus,
structure is completely constrained and determinate. 
www.elsolucionario.org
Copyright © McGraw-Hill Education. Permission required for reproduction or display.
PROBLEM 6.72 (Continued)
Structure (c)
13, 8
4
17, 2 16
m n
r
m r n
 

  
Thus, 2
m r n
  
Structure is completely constrained and indeterminate. 
This result can be verified by observing that the structure is a simple truss (follow lettering to check this),
therefore it is rigid, and that its supports involve four unknowns.
www.elsolucionario.org
Copyright © McGraw-Hill Education. Permission required for reproduction or display.
PROBLEM 6.73
Classify each of the structures shown as completely, partially, or improperly constrained; if completely
constrained, further classify as determinate or indeterminate. (All members can act both in tension and in
compression.)
SOLUTION
Structure (a): Rigid truss with 3,
r  14,
m  8,
n 
so 17 2 16
r m n
   
so completely constrained but indeterminate 
Structure (b): Simple truss (start with ABC and add joints alphabetically), with
3, 13, 8, so 16 2
r m n r m n
     
so completely constrained and determinate 
Structure (c):
Simple truss with 3,
r  13,
m  8,
n  so 16 2 ,
r m n
   but horizontal reactions ( and )
x x
A D are
collinear, so cannot be resolved by any equilibrium equation.
Structure is improperly constrained. 
www.elsolucionario.org
Copyright © McGraw-Hill Education. Permission required for reproduction or display.
PROBLEM 6.74
Classify each of the structures shown as completely, partially, or improperly constrained; if completely
constrained, further classify as determinate or indeterminate. (All members can act both in tension and in
compression.)
SOLUTION
Structure (a):
No. of members 12
m 
No. of joints 8 16 2
n m r n
   
No. of reaction components 4 unknows equations
r  
FBD of EH:
0
H
M
  ;
DE
F 0
x
F
  ;
GH
F 0
y
F
  y
H
Then ABCDGF is a simple truss and all forces can be determined.
This example is completely constrained and determinate. 
Structure (b):
No. of members 12
m 
No. of joints 8 15 2 16
n m r n
    
No. of reaction components 3 unknows equations
r  
partially constrained 
Note: Quadrilateral DEHG can collapse with joint D moving downward; in (a), the roller at F prevents
this action.
www.elsolucionario.org
Copyright © McGraw-Hill Education. Permission required for reproduction or display.
PROBLEM 6.74 (Continued)
Structure (c):
No. of members 13
m 
No. of joints 8 17 2 16
n m r n
    
No. of reaction components 4 unknows equations
r  
completely constrained but indeterminate 
www.elsolucionario.org
Copyright © McGraw-Hill Education. Permission required for reproduction or display.
PROBLEM 6.75
Determine the force in member BD and the components of the reaction
at C.
SOLUTION
We note that BD is a two-force member. The force it exerts on ABC, therefore, is directed along line BD.
Free body: ABC:
We have  
2 2
1.92 0.56 2 m
BD   
0:
C
M
   
0.56 1.92
(310 N)(2.1 m) (1.4 m) 1.4 m 0
2 2
BD BD
F F
   
  
   
   
375 N
BD
F   375 N
BD
F C
 
0.56
0: 310 N ( 375 N) 0
2
x x
F C
     
205 N
x
C   205 N
x 
C 
1.92
0: ( 375 N) 0
2
y y
F C
    
360 N
y
C   360 N
y 
C 
www.elsolucionario.org
Copyright © McGraw-Hill Education. Permission required for reproduction or display.
PROBLEM 6.76
Determine the force in member BD and the components
of the reaction at C.
SOLUTION
We note that BD is a two-force member. The force it exerts on ABC, therefore, is directed along line BD.
Free body: ABC:
2 2
(24) (10) 26 in.
BD   
10
0: (160 lb)(30 in.) (16 in.) 0
26
C BD
M F
 
   
 
 
780 lb
BD
F   780 lb
BD
F T
 
24
0: (780 lb) 0
26
x x
M C
   
720 lb
x
C   720 lb
x 
C 
10
0: 160 lb (780 lb) 0
26
y y
F C
    
140.0 lb
y
C   140.0 lb
y 
C 
www.elsolucionario.org
Copyright © McGraw-Hill Education. Permission required for reproduction or display.
PROBLEM 6.77
For the frame and loading shown, determine the force
acting on member ABC (a) at B, (b) at C.
SOLUTION
FBD ABC:
: is two-force member
Note BD
(a)
3
0: (0.09 m)(200 N) (2.4 m) 0
5
C BD
M F
 
   
 
 
125.0 N
BD 
F 36.9 
(b)
4
0: 200 N (125 N) 0 100 N
5
x x x
F C
     
C
3 3
0: 0 (125 N) 75 N
5 5
y BD y y
F F C
     
C
125.0 N

C 36.9 
www.elsolucionario.org
Copyright © McGraw-Hill Education. Permission required for reproduction or display.
PROBLEM 6.78
Determine the components of all forces acting on member ABCD of
the assembly shown.
SOLUTION
Free body: Entire assembly:
0: (6 in.) (120 lb)(4 in.) 0
B
M D
   
80.0 lb

D 
0: 120 lb 0
x x
F B
   
120.0 lb
x 
B 
0: 80 lb 0
y y
F B
   
80.0 lb
y 
B 
Free body: Member ABCD:
0: (80 lb)(10 in.) (8 in.) (120 lb)(2 in.)
(80 lb)(4 in.) 0
A
M C
   
 
30.0 lb

C 
0: 120 lb 0
x x
F A
   
120.0 lb
x 
A 
0: 80 lb 30 lb 80 lb 0
y y
F A
     
30.0 lb
y 
A 
www.elsolucionario.org
Copyright © McGraw-Hill Education. Permission required for reproduction or display.
PROBLEM 6.79
For the frame and loading shown, determine the components of all forces
acting on member ABC.
SOLUTION
Free body: Entire frame:
0: 18 kN 0
x x
F A
   
18 kN
x
A   18.00 kN
x 
A 
0: (18 kN)(4 m) (3.6 m) 0
E y
M A
    
20 kN
y
A   20.0 kN
y 
A 
0: 20 kN 0
y
F F
    
20 kN
F   20 kN

F
Free body: Member ABC
Note: BE is a two-force member, thus B is directed along line BE.
0: (4 m) (18 kN)(6 m) (20 kN)(3.6 m) 0
C
M B
    
9 kN
B  9.00 kN

B 
0: 18 kN 9 kN 0
x x
F C
    
9 kN
x
C  9.00 kN
x 
C 
0: 20 kN 0
y y
F C
   
20 kN
y
C  20.0 kN

Cy 
www.elsolucionario.org
Copyright © McGraw-Hill Education. Permission required for reproduction or display.
PROBLEM 6.80
Solve Problem 6.79 assuming that the 18-kN load is replaced by a clockwise
couple of magnitude 72 kN · m applied to member CDEF at Point D.
PROBLEM 6.79 For the frame and loading shown, determine the
components of all forces acting on member ABC.
SOLUTION
Free body: Entire frame
0: 0
x x
F A
  
0: 72 kN m (3.6 m) 0
F y
M A
     
20 kN 20 kN
y y
A   
A 20.0 kN

A 
Free body: Member ABC
Note: BE is a two-force member. Thus B is directed along line BE.
0: (4 m) (20 kN)(3.6 m) 0
   
C
M B
18 kN
B   18.00 kN

B 
0: 18 kN 0
x x
F C
   
18 kN
x
C  18.00 kN
x 
C 
0: 20 kN 0
y y
F C
   
20 kN
y
C  20.0 kN
y 
C 
www.elsolucionario.org
Copyright © McGraw-Hill Education. Permission required for reproduction or display.
PROBLEM 6.81
Determine the components of all forces acting on member
ABCD when 0.
 
SOLUTION
Free body: Entire assembly
0: (8 in.) (60 lb)(20 in.) 0
   
B
M A
150 lb

A 150.0 lb

A 
0: 150.0 lb 0 150 lb
x x x
F B B
      150.0 lb
x 
B 
0: 60.0 lb 0 60.0 lb
y y y
F B B
      60.0 lb
y 
B 
Free body: Member ABCD We note that D is directed along DE, since DE is a two-force member.
0: (12) (60 lb)(4) (150 lb)(8) 0
C
M D
    
80 lb
D   80.0 lb

D 
0: 150.0 150.0 0 0
x x x
F C C
     
0: 60.0 80.0 0 20.0 lb
y y y
F C C
       20.0 lb

C 
www.elsolucionario.org
Copyright © McGraw-Hill Education. Permission required for reproduction or display.
PROBLEM 6.82
Determine the components of all forces acting on member
ABCD when 90 .
  
SOLUTION
Free body: Entire assembly
0: (8 in.) (60 lb)(8 in.) 0
   
B
M A
60.0 lb
 
A 60.0 lb

A 
0: 60 lb 60 lb 0 0
     
x x x
F B B
0: 0
y y
F B
   0

B 
Free body: Member ABCD We note that D is directed along DE, since DE is a two-force member.
0: (12 in.) (60 lb)(8 in.) 0
C
M D
   
40.0 lb
D   40.0 lb

D 
0: 60 lb 0
   
x x
F C
60 lb
x
C   60.0 lb
x 
C 
0: 40 lb 0
y y
F C
   
40 lb
y
C   40.0 lb
y 
C 
www.elsolucionario.org
Copyright © McGraw-Hill Education. Permission required for reproduction or display.
PROBLEM 6.83
Determine the components of the reactions at A and
E, (a) if the 800-N load is applied as shown, (b) if
the 800-N load is moved along its line of action and
is applied at point D.
SOLUTION
Free body: Entire assembly. The analysis is valid for either (a) or (b), since position of the 800-N force
on its line of action is immaterial.
0: (1200) (800 N)(900) 0
A y
M E
   
600 N
y 
E 
0: 0 (1)
x x x
F A E
   
0: 600 800 0
y y
F A
     200 N
y 
A 
(a) Free body: Member BE:
We note that E is directed along EB, since BE is a two-force member.
900
or 600 N
900 200 200
y
x
x
E
E
E
 
   
 
2700 N
x 
E 
From equation (1): 2700 N 0
x
A  
2700 N
x
A  2700 N
x 
A 
www.elsolucionario.org
Copyright © McGraw-Hill Education. Permission required for reproduction or display.
PROBLEM 6.83 (Continued)
(b) Free body: Member ABC:
We note that A is directed along AB, since ABC is a two-force member.
300
or 200 N
300 200 200
y
x
x
A
A
A
 
   
 
300 N
x 
A 
From equation (1): 300 N 0
x
E
 
300 N
x
E  300 N
x 
E 
www.elsolucionario.org
Copyright © McGraw-Hill Education. Permission required for reproduction or display.
PROBLEM 6.84
Determine the components of the reactions at D and E if the
frame is loaded by a clockwise couple of magnitude 150 N·m
applied (a) at A, (b) at B.
SOLUTION
Free body: Entire assembly. The analysis is valid for either (a) or (b), since position of the couple is
immaterial.
0: (0.6 m) (150 N m) 0
D y
M E
    
250 N
y 
E 
0: 0 (1)
x x x
F D E
   
0: 250 N 0
y y
F D
    250 N
y 
D 
(a) Free body: Member BCE:
We note that E is directed along EC, since BCE is a two-force member.
1.2
or 250 N
1.2 0.40 0.40
y
x
x
E
E
E
 
   
 
750 N
x 
E 
From equation (1): D 750 N 0
x  
750 N
x
D  750 N
x 
D 
www.elsolucionario.org
Copyright © McGraw-Hill Education. Permission required for reproduction or display.
PROBLEM 6.84 (Continued)
(b) Free body: Member ACD:
We note that D is directed along DC, since ACD is a two-force member.
0.6
or D 250 N
0.6 0.4 0.4
y
x
x
D
D  
   
 
375 N
x 
D 
From equation (1): 375 N 0
x
E
 
375 N
x
E   375 N
x 
E 
www.elsolucionario.org
Copyright © McGraw-Hill Education. Permission required for reproduction or display.
PROBLEM 6.85
Determine the components of the reactions at A and E if a 750-N force
directed vertically downward is applied (a) at B, (b) at D.
SOLUTION
Free body: Entire frame:
The following analysis is valid for both parts (a) and (b) since position of load on its line of action is
immaterial.
0: (750 N)(80 mm) (200 mm) 0
    
E x
M A
300 N 300 N
x x
A   
A
0: 300 N 0 300 N 300 N
x x x x
F E E
     
E
0: 750 N 0
y y y
F A E
     (1)
(a) Load applied at B.
Free body: Member CE:
CE is a two-force member. Thus, the reaction at E must be directed along CE.
75 mm
90 N
300 N 250 mm
y
y
E
E
 
From Eq. (1): 90 N 750 N 0
y
A    660 N
y
A 
Thus, reactions are
300 N
x 
A , 660 N
y 
A 
300 N
x 
E , 90.0 N

Ey 
(b) Load applied at D.
Free body: Member AC:
AC is a two-force member. Thus, the reaction at A must be directed along AC.
125 mm
150 N
300 N 250 mm
y
y
A
A
 
www.elsolucionario.org
Copyright © McGraw-Hill Education. Permission required for reproduction or display.
PROBLEM 6.85 (Continued)
From Eq. (1): 750 N 0
150 N 750 N 0
y y
y
A E
E
  
  
600 N 600 N
y y
E  
E
Thus, reactions are 300 N
x 
A , 150.0 N
y 
A 
300 N
x 
E , 600 N
y 
E 
www.elsolucionario.org
Copyright © McGraw-Hill Education. Permission required for reproduction or display.
PROBLEM 6.86
Determine the components of the reactions at A and E if the frame is
loaded by a clockwise couple of magnitude 36 N · m applied (a) at B,
(b) at D.
SOLUTION
Free body: Entire frame:
The following analysis is valid for both parts (a) and (b) since the point of application of the couple is
immaterial.
0: 36 N m (0.2 m) 0
     
E x
M A
180 N 180 N
x x
A   
A
0: 180 N + 0
   
x x
F E
180 N 180 N
 
E
x x
E
0: 0
y y y
F A E
    (1)
(a) Couple applied at B.
Free body: Member CE:
AC is a two-force member. Thus, the reaction at E must be directed along EC.
0.075 m
54 N
180 N 0.25 m
 
E
y
y
E
From Eq. (1): 54 N 0
y
A  
54 N 54.0 N
y y
A   
A
Thus, reactions are
180.0 N
x 
A , 54.0 N
y 
A 
180.0 N
x 
E , 54.0 N

Ey 
(b) Couple applied at D.
Free body: Member AC:
AC is a two-force member. Thus, the reaction at A must be
directed along EC.
www.elsolucionario.org
Copyright © McGraw-Hill Education. Permission required for reproduction or display.
PROBLEM 6.86 (Continued)
0.125 m
90 N
180 N 0.25 m
y
y
A
A
 
From Eq. (1): 0
90 N 0
y y
y
A E
E
 
 
90 N 90 N
y y
E   
E
Thus, reactions are
180.0 N
x 
A , 90.0 N
y 
A 
180.0 N
x  
E , 90.0 N
y 
E 
www.elsolucionario.org
Copyright © McGraw-Hill Education. Permission required for reproduction or display.
PROBLEM 6.87
Determine the components of the reactions at A and B, (a) if the 500-N load is
applied as shown, (b) if the 500-N load is moved along its line of action and is
applied at Point F.
SOLUTION
Free body: Entire frame:
Analysis is valid for either parts (a) or (b), since position of 100-lb load on its line of action is immaterial.
0: (10) (100 lb)(6) 0 60 lb
A y y
M B B
     
0: 60 100 0 40 lb
y y y
F A A
      
0: 0
x x x
F A B
    (1)
(a) Load applied at E.
Free body: Member AC:
Since AC is a two-force member, the reaction at A must be directed along CA. We have
40 lb
10 in. 5 in.
x
A
 80.0 lb
x 
A , 40.0 lb
y 
A 
From Eq. (1): 80 0 80 lb
x x
B B
    
Thus, 80.0 lb
x 
B , 60.0 lb
y 
B 
www.elsolucionario.org
Copyright © McGraw-Hill Education. Permission required for reproduction or display.
PROBLEM 6.87 (Continued)
(b) Load applied at F.
Free body: Member BCD:
Since BCD is a two-force member (with forces applied at B and C only),
the reaction at B must be directed along CB. We have, therefore,
0
x
B 
The reaction at B is 0
x 
B 60.0 lb
y 
B 
From Eq. (1): 0 0 0
x x
A A
  
The reaction at A is 0
x 
A 40.0 lb
y 
A 
www.elsolucionario.org
Copyright © McGraw-Hill Education. Permission required for reproduction or display.
PROBLEM 6.88
The 48-lb load can be moved along the line of action shown and applied at
A, D, or E. Determine the components of the reactions at B and F if the
48-lb load is applied (a) at A, (b) at D, (c) at E.
SOLUTION
Free body: Entire frame
The following analysis is valid for (a), (b) and (c) since the position of the load
along its line of action is immaterial.
0: (48lb)(8 in.) (12 in.) 0
F x
M B
   
32 lb 32 lb
x x
B  
B
0: 32 lb+ 0
x x
F F
  
32 lb 32 lb
x x
F   
F
0: 48 lb 0
y y y
F B F
     (1)
(a) Load applied at A.
Free body: Member CDB
CDB is a two-force member. Thus, the reaction at B must be directed along BC.
5 in.
10 lb
32 lb 16 in.
y
y
B
 
B
From Eq. (1): 10 lb 48 lb 0
y
F
  
38 lb 38 lb
y y
F  
F
Thus reactions are:
32.0 lb
x 
B , 10.00 lb
y 
B 
32.0 lb
x 
F , 38.0 lb
y 
F 
www.elsolucionario.org
Copyright © McGraw-Hill Education. Permission required for reproduction or display.
PROBLEM 6.88 (Continued)
(b) Load applied at D.
Free body: Member ACF.
ACF is a two-force member. Thus, the reaction at F must be
directed along CF.
7 in.
14 lb
32 lb 16 in.
y
y
F
 
F
From Eq. (1): 14 lb 48 lb 0
y
B   
34 lb 34 lb
y y
B B
 
Thus, reactions are:
32.0 lb
x 
B , 34.0 lb
y 
B 
32.0 lb
x 
F , 14.00 lb
y 
F 
(c) Load applied at E.
Free body: Member CDB
This is the same free body as in Part (a).
Reactions are same as (a) 
www.elsolucionario.org
Copyright © McGraw-Hill Education. Permission required for reproduction or display.
PROBLEM 6.89
The 48-lb load is removed and a 288-lb · in. clockwise couple is applied
successively at A, D, and E. Determine the components of the reactions at B
and F if the couple is applied (a) at A, (b) at D, (c) at E.
SOLUTION
Free body: Entire frame
The following analysis is valid for (a), (b), and (c), since the point of
application of the couple is immaterial.
0: 288 lb in. (12 in.) 0
F x
M B
     
24 lb 24 lb
x x
B   
B
0: 24 lb+ 0
x x
F F
   
24 lb 24 lb
x x
F  
F
0: 0
y y y
F B F
    (1)
(a) Couple applied at A.
Free body: Member CDB
CDB is a two-force member. Thus, reaction at B must be directed along BC.
5 in.
7.5 lb
24 lb 16 in.
y
y
B
 
B
From Eq. (1): 7.5 lb 0
y
F
  
7.5 lb 7.5 lb
y y
F  
F
Thus, reactions are:
24.0 lb
x 
B , 7.50 lb
y 
B 
24.0 lb
x 
F , 7.50 lb
y 
F 
www.elsolucionario.org
Copyright © McGraw-Hill Education. Permission required for reproduction or display.
PROBLEM 6.89 (Continued)
(b) Couple applied at D.
Free body: Member ACF.
ACF is a two-force member. Thus, the reaction at F must be directed along CF.
7 in.
10.5 lb
24 lb 16 in.
y
y
F
 
F
From Eq. (1): 10.5 lb:
y
B 
10.5 lb 10.5 lb
y y
B   
B
Thus, reactions are:
24.0 lb
x 
B , 10.50 lb
y 
B 
24.0 lb
x 
F , 10.50 lb
y 
F 
(c) Couple applied at E.
Free body: Member CDB
This is the same free body as in Part (a).
Reactions are same as in (a) 
www.elsolucionario.org
Copyright © McGraw-Hill Education. Permission required for reproduction or display.
PROBLEM 6.90
(a) Show that when a frame supports a pulley at A, an equivalent loading of the frame and of each of its
component parts can be obtained by removing the pulley and applying at A two forces equal and parallel
to the forces that the cable exerted on the pulley. (b) Show that if one end of the cable is attached to the
frame at a Point B, a force of magnitude equal to the tension in the cable should also be applied at B.
SOLUTION
First note that, when a cable or cord passes over a frictionless, motionless pulley,
the tension is unchanged.
1 2 1 2
0: 0
C
M rT rT T T
    
(a) Replace each force with an equivalent force-couple.
(b) Cut the cable and replace the forces on pulley with equivalent pair of forces at A as above.

www.elsolucionario.org
Copyright © McGraw-Hill Education. Permission required for reproduction or display.
PROBLEM 6.91
Knowing that each pulley has a radius of 250 mm,
determine the components of the reactions at D and E.
SOLUTION
Free body: Entire assembly:
0: (4.8 kN)(4.25 m) (1.5 m) 0
E x
M D
   
13.60 kN
x
D   13.60 kN
x 
D 
0: 13.60 kN 0
x x
F E
   
13.60 kN
x
E   13.60 kN
x 
E 
0: 4.8 kN 0
y y y
F D E
     (1)
Free body: Member ACE:
0: (4.8 kN)(2.25 m) (4 m) 0
A y
M E
   
2.70 kN
y
E   2.70 kN
y 
E 
From Eq. (1): 2.70 kN 4.80 kN 0
y
D   
7.50 kN
y
D   7.50 kN
y 
D 
www.elsolucionario.org
Copyright © McGraw-Hill Education. Permission required for reproduction or display.
PROBLEM 6.92
Knowing that the pulley has a radius of 75 mm, determine the
components of the reactions at A and B.
SOLUTION
Free body: Entire frame and pulley:
0: (240 N)(75 mm) (600 mm) 0
B y
M A
    
30.0 N 30.0 N
y y
A   
A 
0: 0 (1)
x x x x x
F B A B A
    
0: 30 N 240 N 0
y y
F B
     270 N
y 
B 
Free body: Member ACD:
0 : (200) (30 N)(300) (240 N)(75) 0
D x
M A
    
45.0 N
x
A 
45.0 N
x 
A 
From Eq. (1): 45.0 N
X x
A B
  45.0 N
x 
B 
Thus, reactions are
45.0 N
x 
A , 30.0 N
y 
A 
45.0 N
x 
B , 270 N
y 
B 
www.elsolucionario.org
Copyright © McGraw-Hill Education. Permission required for reproduction or display.
PROBLEM 6.93
A 3-ft-diameter pipe is supported every 16 ft by a small frame like
that shown. Knowing that the combined weight of the pipe and its
contents is 500 lb/ft and assuming frictionless surfaces, determine
the components (a) of the reaction at E, (b) of the force exerted at C
on member CDE.
SOLUTION
Free body: 16-ft length of pipe:
(500 lb/ft)(16 ft) 8 kips
W  
Force Triangle
8 kips
3 5 4
B D
 
6 kips 10 kips
B D
 
Determination of CB  CD.
We note that horizontal projection of horizontal projection of

BO OD CD
  

3 4
( )
5 5
r r CD
 
Thus,
8
2(1.5 ft) 3 ft
4
CB CD r
   
Free body: Member ABC:
0: (6 kips)( 3)
A x
M C h h
   
3
(6 kips)
x
h
C
h

 (1)
For 9 ft,
h 
9 3
(6 kips) 4 kips
9
x
C

 
www.elsolucionario.org
Copyright © McGraw-Hill Education. Permission required for reproduction or display.
PROBLEM 6.93 (Continued)
Free body: Member CDE:
From above, we have
4.00 kips
x 
C 
0: (10 kips)(7 ft) (4 kips)(6 ft) (8 ft) 0
E y
M C
    
5.75 kips,
y
C   5.75 kips
y 
C 
3
0: 4 kips (10 kips) 0
5
x x
F E
     
2 kips,
x
E   2.00 kips
x 
E 
4
0: 5.75 kips (10 kips) 0,
5
y y
F E
    
2.25 kips
y 
E 
www.elsolucionario.org
Copyright © McGraw-Hill Education. Permission required for reproduction or display.
PROBLEM 6.94
Solve Problem 6.93 for a frame where h  6 ft.
PROBLEM 6.93 A 3-ft-diameter pipe is supported every 16 ft by
a small frame like that shown. Knowing that the combined weight
of the pipe and its contents is 500 lb/ft and assuming frictionless
surfaces, determine the components (a) of the reaction at E, (b) of
the force exerted at C on member CDE.
SOLUTION
See solution of Problem 6.91 for derivation of Eq. (1).
For
3 6 3
6 ft, C (6 kips) 3 kips
6
x
h
h
h
 
   
Free body: Member CDE:
From above, we have
3.00 kips
x 
C 
0: (10 kips)(7 ft) (3 kips)(6 ft) (8 ft) 0
E y
M C
    
6.50 kips,
y
C   6.50 kips
y 
C 
3
0: 3 kips (10 kips) 0
5
x x
F E
     
3.00 kips,
x
E   3.00 kips
x 
E 
4
0: 6.5 kips (10 kips) 0
5
y y
F E
    
1.500 kips
y
E  1.500 kips
y 
E 
www.elsolucionario.org
Copyright © McGraw-Hill Education. Permission required for reproduction or display.
PROBLEM 6.95
A trailer weighing 2400 lb is attached to a 2900-lb pickup truck by a ball-and-socket truck hitch at D.
Determine (a) the reactions at each of the six wheels when the truck and trailer are at rest, (b) the
additional load on each of the truck wheels due to the trailer.
SOLUTION
(a) Free body: Trailer:
(We shall denote by A, B, C the reaction at one wheel.)
0: (2400 lb)(2 ft) (11ft) 0
A
M D
    
436.36 lb
D 
0: 2 2400 lb 436.36 lb 0
y
F A
    
981.82 lb
A  982 lb

A 
Free body: Truck.
0: (436.36 lb)(3 ft) (2900 lb)(5 ft) 2 (9 ft) 0
B
M C
    
732.83 lb
C  733 lb

C 
0: 2 436.36 lb 2900 lb 2(732.83lb) 0
y
F B
     
935.35 lb
B  935 lb

B 
(b) Additional load on truck wheels.
Use free body diagram of truck without 2900 lb.
0: (436.36 lb)(3 ft) 2 (9 ft) 0
B
M C
   
72.73 lb
C   72.7 lb
C
   
0: 2 436.36 lb 2(72.73lb) 0
y
F B
    
290.9 lb
B  291lb
B
   
www.elsolucionario.org
Copyright © McGraw-Hill Education. Permission required for reproduction or display.
PROBLEM 6.96
In order to obtain a better weight distribution over the
four wheels of the pickup truck of Problem 6.95, a
compensating hitch of the type shown is used to attach
the trailer to the truck. The hitch consists of two bar
springs (only one is shown in the figure) that fit into
bearings inside a support rigidly attached to the truck.
The springs are also connected by chains to the trailer
frame, and specially designed hooks make it possible to
place both chains in tension. (a) Determine the tension T
required in each of the two chains if the additional load
due to the trailer is to be evenly distributed over the four
wheels of the truck. (b) What are the resulting reactions at
each of the six wheels of the trailer-truck combination?
PROBLEM 6.95 A trailer weighing 2400 lb is attached
to a 2900-lb pickup truck by a ball-and-socket truck hitch
at D. Determine (a) the reactions at each of the six wheels
when the truck and trailer are at rest, (b) the additional
load on each of the truck wheels due to the trailer.
SOLUTION
(a) We small first find the additional reaction  at each wheel due to the trailer.
Free body diagram: (Same  at each truck wheel)
0: (2400 lb)(2 ft) 2 (14 ft) 2 (23 ft) 0
A
M
       
64.86 lb
 
0: 2 2400 lb 4(64.86 lb) 0;
y
F A
    
1070 lb;
A  1070 lb

A
Free body: Truck:
(Trailer loading only)
0: 2 (12 ft) 2 (3 ft) 2 (1.7 ft) 0
D
M T
      
8.824
8.824(64.86 lb)
572.3 lb
T
T
 

 572 lb
T  
Free body: Truck:
(Truck weight only)
0: (2900 lb)(5 ft) 2 (9 ft) 0
B
M C
    
805.6 lb
C  805.6 lb
 
C
www.elsolucionario.org
Copyright © McGraw-Hill Education. Permission required for reproduction or display.
PROBLEM 6.96 (Continued)
0: 2 2900 lb 2(805.6 lb) 0
y
F B
    
644.4 lb
B  644.4 lb
 
B
Actual reactions:
644.4 lb 64.86 709.2 lb
B B
      709 lb

B 
805.6 lb 64.86 870.46 lb
C C
      870 lb

C 
From part a: 1070 lb

A 
www.elsolucionario.org
Copyright © McGraw-Hill Education. Permission required for reproduction or display.
PROBLEM 6.97
The cab and motor units of the front-end loader shown are connected by a vertical pin located 2 m behind
the cab wheels. The distance from C to D is 1 m. The center of gravity of the 300-kN motor unit is
located at Gm, while the centers of gravity of the 100-kN cab and 75-kN load are located, respectively, at
Gc and Gl. Knowing that the machine is at rest with its brakes released, determine (a) the reactions at each
of the four wheels, (b) the forces exerted on the motor unit at C and D.
SOLUTION
(a) Free body: Entire machine:

A Reaction at each front wheel

B Reaction at each rear wheel
0: 75(3.2 m) 100(1.2 m) 2 (4.8 m) 300(5.6 m) 0
A
M B
     
2 325 kN
B  162.5 kN

B 
0: 2 325 75 100 300 0
y
F A
      
2 150 kN
A  75.0 kN

A 
www.elsolucionario.org
Copyright © McGraw-Hill Education. Permission required for reproduction or display.
PROBLEM 6.97 (Continued)
(b) Free body: Motor unit:
0: (1 m) 2 (2.8 m) 300(3.6 m) 0
D
M C B
    
1080 5.6
C B
  (1)
Recalling 162.5 kN, 1080 5.6(162.5) 170 kN
B C
   
170.0 kN

C 
0: 170 0
x x
F D
    170.0 kN
x 
D 
   0: 2(162.5) 300 0
y y
F D
     25.0 kN
y 
D 
www.elsolucionario.org
Copyright © McGraw-Hill Education. Permission required for reproduction or display.
PROBLEM 6.98
Solve Problem 6.97 assuming that the 75-kN load has been removed.
PROBLEM 6.97 The cab and motor units of the front-end loader shown are connected by a vertical pin
located 2 m behind the cab wheels. The distance from C to D is 1 m. The center of gravity of the 300-kN
motor unit is located at Gm, while the centers of gravity of the 100-kN cab and 75-kN load are located,
respectively, at Gc and Gl. Knowing that the machine is at rest with its brakes released, determine (a) the
reactions at each of the four wheels, (b) the forces exerted on the motor unit at C and D.
SOLUTION
(a) Free body: Entire machine:

A Reaction at each front wheel

B Reaction at each rear wheel
0: 2 (4.8 m) 100(1.2 m) 300(5.6 m) 0
A
M B
    
2 375 kN
B  187.5 kN

B 
0: 2 375 100 300 0
y
F A
     
2 25 kN
A  12.50 kN

A 
(b) Free body: Motor unit:
See solution of Problem 6.97 for free body diagram and derivation of Eq. (1). With 187.5 kN,
B 
we have
1080 5.6(187.5) 30 kN
C   
30.0 kN

C 
0: 30 0
x x
F D
    30.0 kN
x 
D 
0: 2(187.5) 300 0
y y
F D
     75.0 kN
y 
D 
www.elsolucionario.org
Copyright © McGraw-Hill Education. Permission required for reproduction or display.
PROBLEM 6.99
Knowing that P = 90 lb and Q = 60 lb, determine the
components of all forces acting on member BCDE of the
assembly shown.
SOLUTION
Free body: Entire assembly:
  
0: (12 in.) (60 lb)(4 in.) 90 lb 12 in. 0
C
M A
    
110.0 lb
A  
110.0 lb

A 
0: 60 lb 0
x x
F C
   
60 lb
x
C   60.0 lb
x 
C 
0: 110 lb 90 lb 0
y y
F C
    
200 lb
y
C  200 lb
y 
C 
Free body: Member BCDE:

    
0: (10 in.) 200 lb (4 in.) 90 lb 8 in. 0
D
M B
    
152.0 lb
B   152.0 lb

B 
www.elsolucionario.org
Copyright © McGraw-Hill Education. Permission required for reproduction or display.
PROBLEM 6.99 (Continued)
0: 60 lb 0
x x
F D
   
60.0 lb
x
D  60.0 lb

D 
0: 200 lb 152 lb 90 lb 0
y y
F D
     
42.0 lb
y
D   42.0 lb
y 
D 
www.elsolucionario.org
Copyright © McGraw-Hill Education. Permission required for reproduction or display.
PROBLEM 6.100
Knowing that P = 60 lb and Q = 90 lb, determine the
components of all forces acting on member BCDE of the
assembly shown.
SOLUTION
Free body: Entire assembly:
  
0: (12 in.) (60 lb)(12 in.) 90 lb 4 in. 0
C
M A
    
90.0 lb
A  
90.0 lb

A 
0: 90 lb 0
x x
F C
   
90 lb
x
C   90.0 lb
x 
C 
0: 60 lb 90 lb 0
y y
F C
    
150 lb
y
C  150.0 lb
y 
C 
Free body: Member BCDE:

www.elsolucionario.org
Copyright © McGraw-Hill Education. Permission required for reproduction or display.
PROBLEM 6.100 (Continued)
    
0: (10 in.) 150 lb (4 in.) 60 lb 8 in. 0
D
M B
    
108.0 lb
B   108.0 lb

B 
0: 90 lb 0
x x
F D
   
90.0 lb
x
D  90.0 lb

D 
0: 150 lb 108 lb 60 lb 0
y y
F D
     
18.00 lb
y
D   18.00 lb
y 
D 
www.elsolucionario.org
Copyright © McGraw-Hill Education. Permission required for reproduction or display.
PROBLEM 6.101
For the frame and loading shown, determine the components of all forces
acting on member ABE.
SOLUTION
FBD Frame:
0: (1.8 m) (2.1m)(12 kN) 0
E y
M F
   
14.00 kN
y 
F
0: 14.00 kN 12 kN 0
y y
F E
     
2 kN
y
E 
2.00 kN
y 
E 
FBD member BCD:
0: (1.2 m) (12 kN)(1.8 m) 0 18.00 kN
B y y
M C C
    
But C is  ACF, so 2 ; 36.0 kN
x y x
C C C
 
0: 0 36.0 kN
x x x x x
F B C B C
      
36.0 kN
x
B  on BCD
0: 18.00 kN 12 kN 0 6.00 kN
y y y
F B B
       on BCD
On ABE: 36.0 kN
x 
B 
6.00 kN
y 
B 
FBD member ABE:
0: (1.2 m)(36.0 kN) (0.6 m)(6.00 kN)
(0.9 m)(2.00 kN) (1.8 m)( ) 0
A
x
M
E
  
  
23.0 kN
x 
E 
0: 23.0 kN 36.0 kN 0
x x
F A
      13.00 kN
x 
A 
0: 2.00 kN 6.00 kN 0
y y
F A
      4.00 kN
y 
A 
www.elsolucionario.org
Copyright © McGraw-Hill Education. Permission required for reproduction or display.
PROBLEM 6.102
For the frame and loading shown, determine the components of all
forces acting on member ABE.
SOLUTION
FBD Frame:
0: (1.2 m)(2400 N) (4.8 m) 0
F y
M E
    600 N
y 
E 
FBD member BC:
4.8 8
5.4 9
y x x
C C C
 
0: (2.4 m) (1.2 m)(2400 N) 0 1200 N
C y y
M B B
    
On ABE: 1200 N
y 
B 
0: 1200 N 2400 N 0 3600 N
y y y
F C C
      
so
9
4050 N
8
x y x
C C C
 
0: 0 4050 N
x x x x
F B C B
      on BC
On ABE: 4050 N
x 
B 
PROBLEM 6.102 (Continued)
www.elsolucionario.org
Copyright © McGraw-Hill Education. Permission required for reproduction or display.
FBD member AB0E:
0: (4050 N) 2 0
A x
M a aE
   
2025 N
x
E  2025 N
x 
E 
0 : (4050 2025) N 0
x x
F A
      2025 N
x 
A 
0: 600 N 1200 N 0
y y
F A
     1800 N
y 
A 
www.elsolucionario.org
Copyright © McGraw-Hill Education. Permission required for reproduction or display.
PROBLEM 6.103
For the frame and loading shown, determine the components of
all forces acting on member ABD.
SOLUTION
Free body: Entire frame:
0: (12 in.) (360 lb)(15 in.) (240 lb)(33 in.) 0
A
M E
    
1110 lb
E   1110 lb
 
E
0: 1110 lb 0
x x
F A
   
1110 lb
x
A   1110 lb
x 
A 
0: 360 lb 240 lb 0
y y
F A
    
600 lb
y
A   600 lb
y 
A 
Free body: Member CDE:
0: (1110 lb)(24 in.) (12 in.) 0
C x
M D
   
2220 lb
x
D  
www.elsolucionario.org
Copyright © McGraw-Hill Education. Permission required for reproduction or display.
PROBLEM 6.103 (Continued)
Free body: Member ABD:
From above: 2220 lb
x 
D 
0: (18 in.) (600 lb)(6 in.) 0
B y
M D
   
200 lb
y
D   200 lb
y 
D 
0: 2220 lb 1110 lb 0
x x
F B
    
1110 lb
x
B   1110 lb
x 
B 
0: 200 lb 600 lb 0
y y
F B
    
800 lb
y
B   800 lb
y 
B 
www.elsolucionario.org
Copyright © McGraw-Hill Education. Permission required for reproduction or display.
PROBLEM 6.104
Solve Problem 6.103 assuming that the 360-lb load has been
removed.
PROBLEM 6.103 For the frame and loading shown, determine
the components of all forces acting on member ABD.
SOLUTION
Free body diagram of entire frame.
0: (12 in.) (240 lb)(33 in.) 0
A
M E
   
660 lb
E   660 lb

E
0: 660 lb 0
x x
F A
   
660 lb
x
A   660 lb
x 
A 
0: 240 lb 0
y y
F A
   
240 lb
y
A   240 lb
y 
A 
Free body: Member CDE:
0: (660 lb)(24 in.) (12 in.) 0
C x
M D
   
1320 lb
x
D  
www.elsolucionario.org
Copyright © McGraw-Hill Education. Permission required for reproduction or display.
PROBLEM 6.104 (Continued)
Free body: Member ABD:
From above: 1320 lb
x 
D 
0: (18 in.) (240 lb)(6 in.) 0
B y
M D
   
80 lb
y
D   80.0 lb
y 
D 
0: 1320 lb 660 lb 0
x x
F B
    
660 lb
x
B   660 lb
x 
B 
0: 80 lb 240 lb 0
y y
F B
    
320 lb
y
B   320 lb
y 
B 
www.elsolucionario.org
Copyright © McGraw-Hill Education. Permission required for reproduction or display.
PROBLEM 6.105
For the frame and loading shown, determine the components of
the forces acting on member DABC at B and D.
SOLUTION
Free body: Entire frame:
0: (0.6 m) (12 kN)(1m) (6 kN)(0.5 m) 0
G
M H
    
25 kN 25 kN
H  
H
Free body: Member BEH:
0: (0.5 m) (25 kN)(0.2 m) 0
F x
M B
   
10 kN
x
B  
Free body: Member DABC:
From above: 10.00 kN
x 
B 
0: (0.8 m) (10 kN 12 kN)(0.5 m) 0
D y
M B
     
13.75 kN
y
B   13.75 kN
y 
B 
0: 10 kN 12 kN 0
x x
F D
     
22 kN
x
D   22.0 kN
x 
D 
0: 13.75 kN 0
y y
F D
    
13.75 kN
y
D   13.75 kN
y 
D 
www.elsolucionario.org
Copyright © McGraw-Hill Education. Permission required for reproduction or display.
PROBLEM 6.106
Solve Problem 6.105 assuming that the 6-kN load has been
removed.
PROBLEM 6.105 For the frame and loading shown, determine
the components of the forces acting on member DABC at B and D.
SOLUTION
Free body: Entire frame
0: (0.6 m) (12 kN)(1 m) 0
G
M H
   
20 kN 20 kN
H  
H
Free body: Member BEH
0: (0.5 m) (20 kN)(0.2 m) 0
E x
M B
   
8 kN
x
B  
Free body: Member DABC
From above: 8.00 kN
x  
B 
0: (0.8 m) (8 kN 12 kN)(0.5 m) 0
D y
M B
     
12.5 kN
y
B   12.50 kN
y 
B 
0: 8 kN 12 kN 0
x x
F D
     
20 kN
x
D   20.0 kN
x 
D 
0: 12.5 kN 0; 12.5 kN
y y y
F D D
       12.50 kN
y 
D 
www.elsolucionario.org
Copyright © McGraw-Hill Education. Permission required for reproduction or display.
PROBLEM 6.107
The axis of the three-hinge arch ABC is a
parabola with the vertex at B. Knowing that
P  112 kN and Q  140 kN, determine (a) the
components of the reaction at A, (b) the
components of the force exerted at B on
segment AB.
SOLUTION
Free body: Segment AB:
0: (3.2 m) (8 m) (5 m) 0
A x y
M B B P
     (1)
0.75 (Eq. 1): (2.4 m) (6 m) (3.75 m) 0
x y
B B P
   (2)
Free body: Segment BC:
0: (1.8 m) (6 m) (3 m) 0
C x y
M B B Q
     (3)
Add Eqs. (2) and (3): 4.2 3.75 3 0
x
B P Q
  
(3.75 3 )/4.2
x
B P Q
  (4)
From Eq. (1):
3.2
(3.75 3 ) 8 5 0
4.2
y
P Q B P
   
( 9 9.6 )/33.6
y
B P Q
   (5)
given that 112 kN and 140 kN.
P Q
 
(a) Reaction at A.
Considering again AB as a free body,
0: 0; 200 kN
x x x x x
F A B A B
      200 kN
x 
A 
0: 0
y y y
F A P B
    
112 kN 10 kN 0
y
A   
122 kN
y
A   122.0 kN
y 
A 
www.elsolucionario.org
Copyright © McGraw-Hill Education. Permission required for reproduction or display.
PROBLEM 6.107 (Continued)
(b) Force exerted at B on AB.
From Eq. (4): (3.75 112 3 140)/4.2 200 kN
x
B     
200 kN
x 
B 
From Eq. (5): ( 9 112 9.6 140)/33.6 10 kN
y
B       
10.00 kN
y 
B 
www.elsolucionario.org
Copyright © McGraw-Hill Education. Permission required for reproduction or display.
PROBLEM 6.108
The axis of the three-hinge arch ABC is a
parabola with the vertex at B. Knowing that
P  140 kN and Q  112 kN, determine (a) the
components of the reaction at A, (b) the
components of the force exerted at B on
segment AB.
SOLUTION
Free body: Segment AB:
0: (3.2 m) (8 m) (5 m) 0
A x y
M B B P
     (1)
0.75 (Eq. 1): (2.4 m) (6 m) (3.75 m) 0
x y
B B P
   (2)
Free body: Segment BC:
0: (1.8 m) (6 m) (3 m) 0
C x y
M B B Q
     (3)
Add Eqs. (2) and (3): 4.2 3.75 3 0
x
B P Q
  
(3.75 3 )/4.2
x
B P Q
  (4)
From Eq. (1):
3.2
(3.75 3 ) 8 5 0
4.2
y
P Q B P
   
( 9 9.6 )/33.6
y
B P Q
   (5)
given that 140 kN and 112 kN.
P Q
 
(a) Reaction at A.
0: 0; 205 kN
x x x x x
F A B A B
      205 kN
x 
A 
0: 0
y y y
F A P B
    
140 kN ( 5.5 kN) 0
y
A    
134.5 kN
y
A  134.5 kN
y 
A 
www.elsolucionario.org
Copyright © McGraw-Hill Education. Permission required for reproduction or display.
PROBLEM 6.108 (Continued)
(b) Force exerted at B on AB.
From Eq. (4): (3.75 140 3 112)/4.2 205 kN
x
B     
205 kN
x 
B 
From Eq. (5): ( 9 140 9.6 112)/33.6 5.5 kN
y
B       
5.50 kN
y 
B 
www.elsolucionario.org
Copyright © McGraw-Hill Education. Permission required for reproduction or display.
PROBLEM 6.109
Neglecting the effect of friction at the horizontal and vertical
surfaces, determine the forces exerted at B and C on member
BCE.
SOLUTION
Free body of Member ACD
0: (2 in.) (18 in.) 0 9
H x y x y
M C C C C
     (1)
Free body of Member BCE
0: (6 in.) (6 in.) (50 lb)(12 in.) 0
B x y
M C C
    
Substitute from (1): 9 (6) (6) 600 0
y y
C C
  
10 lb; 9 9(10) 90 lb
y x y
C C C
     
90.6 lb

C 6.34° 
0: 90 lb 0 90 lb
x x x
F B B
    
0: 10 lb 50 lb 0 40 lb
y y y
F B B
     
98.5 lb

B 24.0° 
www.elsolucionario.org
Copyright © McGraw-Hill Education. Permission required for reproduction or display.
.
PROBLEM 6.110
Neglecting the effect of friction at the horizontal and
vertical surfaces, determine the forces exerted at B and C
on member BCE.
SOLUTION
Free body of Member ACD
We note that AC is a two-force member.
or C 3
18 6
y
x
x y
C
C
C
  (1)
On free body of Member BCE
0: (6 in.) (6 in.) (50.0 lb)(12 in.) 0
H x y
M C C
    
Substitute from (1): 3 (6) (6) 600 0
y y
C C
  
25.0 lb; 3 3(25.0) 75.0 lb
y x y
C C C
     
79.1lb

C 18.43° 
0: 25.0 lb 50.0 lb 0 25.0 lb
y
F B B
     
25.0 lb

B 
www.elsolucionario.org
Copyright © McGraw-Hill Education. Permission required for reproduction or display.
PROBLEM 6.111
Members ABC and CDE are pin-connected at C and supported by
four links. For the loading shown, determine the force in each
link.
SOLUTION
Member FBDs:
I II
FBD I:
1
0: 0 2
2
B y AF AF y
M aC a F F C
    
FBD II:
1
0: 0 2
2
D y EH EH y
M aC a F F C
   
FBDs combined:
1 1 1 1
0: 0 2 2
2 2 2 2
G AF EH y y
M aP a F a F P C C
      
2
y
P
C 
2
so
2
AF
F P C
 

2
2
EH
F P T
 
FBD I:
1 1 1
0: 0 0
2 2
2 2 2
y AF BG y BG
P P
F F F P C F P
         
0
BG
F  
FBD II:
1 1 1
0: 0 0
2 2
2 2 2
y y DG EH DG
P P
F C F F F
         
2
DG
F P C
 
www.elsolucionario.org
Copyright © McGraw-Hill Education. Permission required for reproduction or display.
PROBLEM 6.112
Members ABC and CDE are pin-connected at C and supported by
four links. For the loading shown, determine the force in each
link.
SOLUTION
Member FBDs:
I II
FBD I: 0: 2 0 2
I y x y x
M aC aC aP C C P
      
FBD II: 0: 2 0 2 0
J y x y x
M aC aC C C
     
Solving, ; as shown.
2 4
x y
P P
C C
 
FBD I:
1
0: 0 2
2
x BG x BG x
F F C F C
     
2
BG
P
F C
 
1 2
0: 0
2 4
2
y AF
P
F F P P
 
     
 
 
  4
AF
P
F C
 
FBD II:
1
0: 0 2
2
x x DG DG x
F C F F C
     
2
DG
P
F C
 
1 2
0: 0
2 4 2 4
2
y y EH EH
P P P
F C P F F
 
         
 
 
  4
EH
P
F T
 
www.elsolucionario.org
Copyright © McGraw-Hill Education. Permission required for reproduction or display.
PROBLEM 6.113
Members ABC and CDE are pin-connected at C and supported by
four links. For the loading shown, determine the force in each
link.
SOLUTION
Member FBDs:
I II
From FBD I:
3
0: 0 3
2 2 2
J x y x y
a a a
M C C P C C P
      
FBD II:
3
0: 0 3 0
2 2
K x y x y
a a
M C C C C
     
Solving, ; as drawn.
2 6
x y
P P
C C
 
FBD I:
1 2
0: 0 2
6
2
B y AG AG y
M aC a F F C P
     
2
6
AG
F P C
 
1 1 2 2
0: 0 2
6 2
2 2
x AG BF x BF AG x
F F F C F F C P P
         
2 2
3
BF
F P C
 
FBD II:
1 2
0: 0 2
6
2
D EH y EH y
M a F aC F C P
       
2
6
EH
F P T
 
1 1 2 2
0: 0 2
6 2
2 2
x x DI EH DI EH x
F C F F F F C P P
         
2
3
DI
F P C
 
www.elsolucionario.org
Copyright © McGraw-Hill Education. Permission required for reproduction or display.
PROBLEM 6.114
Members ABC and CDE are pin-connected at C and supported by
the four links AF, BG, DG, and EH. For the loading shown,
determine the force in each link.
SOLUTION
We consider members ABC and CDE:
Free body: CDE:
0: (4 ) (2 ) 0
J x y
M C a C a
    2
y x
C C
  (1)
Free body: ABC:
0: (2 ) (4 ) (3 ) 0
K x y
M C a C a P a
    
Substituting for Cy from Eq. (1): (2 ) 2 (4 ) (3 ) 0
x x
C a C a P a
  
1 1
2
2 2
x y
C P C P P
 
      
 
 
1
0: 0
2
x BG x
F F C
   
1
2 2 ,
2 2
BG x
P
F C P
 
      
 
  2
BG
P
F T
 
www.elsolucionario.org
Copyright © McGraw-Hill Education. Permission required for reproduction or display.
PROBLEM 6.114 (Continued)
1
0: 0
2
y AF BG y
F F F P C
      
1
2
2 2
AF
P P
F P P
     
2
AF
P
F C
 
Free body: CDE:
1
0: 0
2
y DG y
F F C
   
2 2
DG y
F C P
   2
DG
F P T
 
1
0: 0
2
x EH x DG
F F C F
     
1 1
2
2 2
2
EH
P
F P P
 
     
 
  2
EH
P
F C
 
www.elsolucionario.org
Copyright © McGraw-Hill Education. Permission required for reproduction or display.
PROBLEM 6.115
Solve Problem 6.112 assuming that the force P is replaced by a
clockwise couple of moment M0 applied to member CDE at D.
PROBLEM 6.112 Members ABC and CDE are pin-connected at
C and supported by four links. For the loading shown, determine
the force in each link.
SOLUTION
Free body: Member ABC:
0: (2 ) ( ) 0
J y x
M C a C a
   
2
x y
C C
 
Free body: Member CDE:
0
0: (2 ) ( ) 0
K y x
M C a C a M
    
0
(2 ) ( 2 )( ) 0
y y
C a C a M
    0
4
y
M
C
a
 v
2 :
x y
C C
  0
2
x
M
C
a
  v
0
0: 0; 0
2
2 2
x x
M
D D
F C
a
     
0
2
M
D
a
 0
2
DG
M
F T
a
 
0
0: ( ) ( ) 0
D y
M E a C a M
    
0
0
( ) ( ) 0
4
M
E a a M
a
 
  
 
 
0
3
4
M
E
a
  0
3
4
EH
M
F C
a
 
Return to free body of ABC:
0
0: 0; 0
2
2 2
x x
M
B B
F C
a
     
0
2
M
B
a
 0
2
BG
M
F T
a
 
0
0: ( ) ( ); ( ) ( ) 0
4
B y
M
M A a C a A a a
a
    
0
4
M
A
a
  0
4
AF
M
F C
a
 
www.elsolucionario.org
Copyright © McGraw-Hill Education. Permission required for reproduction or display.
PROBLEM 6.116
Solve Problem 6.114 assuming that the force P is replaced by a
clockwise couple of moment M0 applied at the same point.
PROBLEM 6.114 Members ABC and CDE are pin-connected at C
and supported by the four links AF, BG, DG, and EH. For the
loading shown, determine the force in each link.
SOLUTION
Free body: CDE: (same as for Problem 6.114)
0: (4 ) (2 ) 0
J x y
M C a C a
    2
y x
C C
  (1)
Free body: ABC:
0
0: (2 ) (4 ) 0
K x y
M C a C a M
    
Substituting for Cy from Eq. (1): 0
(2 ) 2 (4 ) 0
x x
C a C a M
  
0
0 0
6
2
6 3
x
y
M
C
a
M M
C
a a
 
 
    
 
 
1
0: 0
2
x BG x
F F C
   
0
2
2
6
BG x
M
F C
a
    0
2
6
BG
M
F T
a
 
1
0: 0
2
y AF BG y
F F F C
     
0 0 0
2
1
6 3 6
2
AF
M M M
F
a a a
     0
6
AF
M
F T
a
 
www.elsolucionario.org
Copyright © McGraw-Hill Education. Permission required for reproduction or display.
PROBLEM 6.116 (Continued)
Free body: CDE: (Use F.B. diagram of Problem 6.114.)
1
0: 0
2
y DG y
F F C
   
0
2
2
3
DG y
M
F C
a
   0
2
3
DG
M
F T
a
 
1
0: 0
2
x EH x DG
F F C F
     
0 0 0
2
1
,
6 3 6
2
EH
M M M
F
a a a
 
 
 
     
 
 
   
    
0
6
EH
M
F C
a
 
www.elsolucionario.org
Copyright © McGraw-Hill Education. Permission required for reproduction or display.
PROBLEM 6.117
Four beams, each of length 2a, are nailed together at their midpoints to form the support system shown.
Assuming that only vertical forces are exerted at the connections, determine the vertical reactions at A, D,
E, and H.
SOLUTION
Note that, if we assume P is applied to EG, each individual member FBD looks like
so left right middle
2 2
F F F
 
Labeling each interaction force with the letter corresponding to the joint of its application, we see that
2 2
2 2
2 2
2 ( 4 8 16 ) 2
B A F
C B D
G C H
P F G C B F E
 
 
 
     
From 16 ,
P F F
 
15
P
F  so
15
P

A 

2
15
P

D 
4
15
P

H 
8
15
P

E 
www.elsolucionario.org
Copyright © McGraw-Hill Education. Permission required for reproduction or display.
PROBLEM 6.118
Four beams, each of length 3a, are held together by single nails at A, B, C, and D. Each beam is attached
to a support located at a distance a from an end of the beam as shown. Assuming that only vertical forces
are exerted at the connections, determine the vertical reactions at E, F, G, and H.
SOLUTION
We shall draw the free body of each member. Force P will be applied to member AFB. Starting with
member AED, we shall express all forces in terms of reaction E.
Member AED:
0: (3 ) ( ) 0
D
M A a E a
   
3
E
A  
0: (3 ) (2 ) 0
A
M D a E a
    
2
3
E
D  
Member DHC:
2
0: (3 ) ( ) 0
3
C
E
M a H a
 
    
 
 
2
H E
  (1)
2
0: (2 ) ( ) 0
3
H
E
M a C a
 
    
 
 
4
3
E
C  
Member CGB:
4
0: (3 ) ( ) 0
3
B
E
M a G a
 
    
 
 
4
G E
  (2)
4
0: (2 ) ( ) 0
3
G
E
M a B a
 
    
 
 
8
3
E
B  
www.elsolucionario.org
Copyright © McGraw-Hill Education. Permission required for reproduction or display.
PROBLEM 6.118 (Continued)
Member AFB:
0: 0
y
F F A B P
     
8
0
3 3
E E
F P
   
     
   
   
3
F P E
  (3)
0: ( ) (3 ) 0
A
M F a B a
   
8
( 3 )( ) (3 ) 0
3
E
P E a a
 
   
 
 
3 8 0;
5
P
P E E E
    
5
P

E 
Substitute 5
P
E   into Eqs. (1), (2), and (3).
2 2
5
P
H E
 
    
 
 
2
5
P
H  
2
5
P

H 
4 4
5
P
G E
 
   
 
 
4
5
P
G  
4
5
P

G 
3 3
5
P
F P E P
 
    
 
 
8
5
P
F  
8
5
P

F 

www.elsolucionario.org
Copyright © McGraw-Hill Education. Permission required for reproduction or display.
PROBLEM 6.119
Each of the frames shown consists of two L-shaped members connected by two rigid links. For each
frame, determine the reactions at the supports and indicate whether the frame is rigid.
SOLUTION
(a) Member FBDs:
I II
FBD II: 0: 0
y y
F B
   2
0: 0
B
M aF
   2 0
F 
FBD I: 2
0: 2 0,
A
M aF aP
    but 2 0
F 
so 0
P  not rigid for 0
P  
(b) Member FBDs:
Note: Seven unknowns 1 2
( , , , , , , ),
x y x y
A A B B F F C but only six independent equations
System is statically indeterminate. 
 System is, however, rigid. 
www.elsolucionario.org
Copyright © McGraw-Hill Education. Permission required for reproduction or display.
PROBLEM 6.119 (Continued)
(c) FBD whole: FBD right:
I II
FBD I: 0: 5 2 0
A y
M aB aP
   
2
5
y P

B 
2
0: 0
5
y y
F A P P
    
3
5
y P

A
FBD II:
5
0: 0 5 2
2 2
C x y x y x
a a
M B B B B P
     
B
FBD I: 0: 0
x x x x x
F A B A B
      2
x P

A
2.09P

A 16.70 
2.04P

B 11.31 
System is rigid. 
www.elsolucionario.org
Copyright © McGraw-Hill Education. Permission required for reproduction or display.
PROBLEM 6.120
Each of the frames shown consists of two L-shaped members connected by two rigid links. For each
frame, determine the reactions at the supports and indicate whether the frame is rigid.
SOLUTION
Note: In all three cases, the right member has only three forces acting, two of which are parallel. Thus,
the third force, at B, must be parallel to the link forces.
(a) FBD whole:
4
0: 2 5 0 2.06
4 17 17
A
a
M aP B a B B P

       2.06P

B 14.04 
4
0: 0
17
x x
F A B
    2
x P

A
1
0: 0
2
17
y y y
P
F A P B
     
A 2.06P

A 14.04 
rigid 
(b) FBD whole:
Since B passes through A, 2 0 only if 0.
A
M aP P
   
no equilibrium if 0
P  not rigid 
www.elsolucionario.org
Copyright © McGraw-Hill Education. Permission required for reproduction or display.
PROBLEM 6.120 (Continued)
(c) FBD whole:
1 3 4 17
0: 5 2 0
4 4
17 17
A
a
M a B B aP B P
      1.031P

B 14.04 
4
0: 0
17
x x x
F A B A P
     
1 3
0: 0
4 4
17
y y y
P P
F A P B A P
        1.250P

A 36.9 
System is rigid. 
www.elsolucionario.org
Copyright © McGraw-Hill Education. Permission required for reproduction or display.
PROBLEM 6.121
Each of the frames shown consists of two L-shaped members connected by two rigid links. For each
frame, determine the reactions at the supports and indicate whether the frame is rigid.
SOLUTION
(a) Member FBDs:
I II
FBD I: 1 1
0: 2 0 2 ;
A
M aF aP F P
     0: 0
y y y
F A P P
    
A
FBD II: 2 2
0: 0 0
B
M aF F
    
1 1
0: 0, 2
x x x
F B F B F P
        2
x P

B
0: 0
y y
F B
   so 2P

B 
FBD I: 1 2 2 1
0: 0 0 2
x x x
F A F F A F F P
          2
x P

A
so 2.24P

A 26.6 
Frame is rigid. 
(b) FBD left: FBD whole:
I II
FBD I:
5
0: 0 5
2 2 2
E x y x y
a a a
M P A A A A P
       
FBD II: 0: 3 5 0 5 3
B x y x y
M aP aA aA A A P
       
This is impossible unless 0.
P  not rigid 
www.elsolucionario.org
Copyright © McGraw-Hill Education. Permission required for reproduction or display.
PROBLEM 6.121 (Continued)
(c) Member FBDs:
I II
FBD I: 0: 0
y
F A P
    P

A 
1 1
0: 2 0 2
D
M aF aA F P
    
2 1 2
0: 0 2
x
F F F F P
     
FBD II: 1
1
0: 2 0
2
B
F
M aC aF C P
      P

C 
1 2
0: 0 0
x x x
F F F B B P P
        
0: 0
x y y
F B C B C P
        P

B 
Frame is rigid. 
www.elsolucionario.org
Copyright © McGraw-Hill Education. Permission required for reproduction or display.
PROBLEM 6.122
The shear shown is used to cut and trim electronic circuit board
laminates. For the position shown, determine (a) the vertical
component of the force exerted on the shearing blade at D, (b) the
reaction at C.
SOLUTION
We note that BD is a two-force member.
Free body: Member ABC: We have the components:
(400 N)sin30 200 N
x   
P
(400 N)cos30 346.41 N
y   
P
25
( )
65
BD x BD
F

F
60
( )
65
BD y BD
F

F
0: ( ) (45) ( ) (30) (45 300sin30 )
(30 300cos30 ) 0
C BD x BD y x
y
M F F P
P
     
   
3
25 60
(45) (30) (200)(195) (346.41)(289.81)
65 65
45 139.39 10
3097.6 N
BD BD
BD
BD
F F
F
F
   
  
   
   
 

(a) Vertical component of force exerted on shearing blade at D.
60 60
( ) (3097.6 N) 2859.3 N
65 65
BD y BD
F F
   ( ) 2860 N
BD y 
F 
www.elsolucionario.org
Copyright © McGraw-Hill Education. Permission required for reproduction or display.
PROBLEM 6.122 (Continued)
(b) Returning to FB diagram of member ABC,
0: ( ) 0
x BD x x x
F F P C
    
25
( )
65
25
(3097.6) 200
65
991.39
x BD x x BD x
x
C F P F P
C
   
 
  991.39 N
x 
C
0: ( ) 0
y BD y y y
F F P C
    
60 60
( ) (3097.6) 346.41
65 65
y BD y y BD y
C F P F P
     
2512.9 N
y
C   2512.9
y 
C
2295 N
C  2700 N

C 68.5° 
www.elsolucionario.org
Copyright © McGraw-Hill Education. Permission required for reproduction or display.
PROBLEM 6.123
A 100-lb force directed vertically downward is applied to the
toggle vise at C. Knowing that link BD is 6 in. long and that
a = 4 in., determine the horizontal force exerted on block E.
SOLUTION
Free body: Entire Frame
We have
 
4 in. sin15 1.03528 in.
1.03528 in.
sin = 9.9359
6 in.
BF
 
 



4cos15 6cos9.9359 9.7737 in.
AD AG FD
    
 
 
0: (100 lb)(10 in.)cos 15 ( )sin (9.7737 in.) 0
A BD
M F 
   

572.77 lb
BD
F 
Horizontal force exerted on block.
 
( ) cos (572.77 lb)cos 9.9359
BD x BD
F F 
  
( ) 564 lb
BD x 
F 
www.elsolucionario.org
Copyright © McGraw-Hill Education. Permission required for reproduction or display.
PROBLEM 6.124
A 100-lb force directed vertically downward is applied to the
toggle vise at C. Knowing that link BD is 6 in. long and that
a = 8 in., determine the horizontal force exerted on block E.
SOLUTION
Free body: Entire Frame
We have
 
8 in. sin15 2.0706 in.
2.0706 in.
sin = 20.188
6 in.
BF
 
 



 
 
8 in. cos15 7.7274 in.
6 in. cos20.188 5.6314 in.
13.359 in.
AF
FD
AD AF FD
 
 
  


 
0: (100 lb)(14 in.)cos 15 ( )sin (13.359 in.) 0
A BD
M F 
   

293.33 lb
BD
F 
Horizontal force exerted on block.
 
( ) cos (293.33 lb)cos 20.188
BD x BD
F F 
  
( ) 275 lb
BD x 
F 
www.elsolucionario.org
Copyright © McGraw-Hill Education. Permission required for reproduction or display.
PROBLEM 6.125
The control rod CE passes through a
horizontal hole in the body of the toggle
system shown. Knowing that link BD is 250
mm long, determine the force Q required to
hold the system in equilibrium when   20.
SOLUTION
We note that BD is a two-force member.
Free body: Member ABC:
Since 250,
BD  1 33.404
sin ; 7.679
250
 

  
0: ( sin )187.94 ( cos )68.404 (100 N)328.89 0
C BD BD
M F F
 
    
[187.94sin7.679 68.404cos7.679 ] 32,889
770.6 N
BD
BD
F
F
   

0: (770.6 N)cos7.679 0
x x
F C
    
763.7 N
x
C  
Member CQ:
0: 763.7 N
x x
F Q C
   
764 N

Q 
Dimensions in mm
www.elsolucionario.org
Copyright © McGraw-Hill Education. Permission required for reproduction or display.
PROBLEM 6.126
Solve Problem 6.125 when (a)   0,
(b)   6.
PROBLEM 6.125 The control rod CE passes
through a horizontal hole in the body of the
toggle system shown. Knowing that link BD
is 250 mm long, determine the force Q
required to hold the system in equilibrium
when   20.
SOLUTION
We note that BD is a two-force member.
(a) 0:
  Free body: Member ABC
Since
35 mm
250 mm, sin ; 8.048
250 mm
BD  
   
0: (100 N)(350 mm) sin (200 mm) 0
C BD
M F 
   
1250 N
BD
F 
0: cos 0
x BD x
F F C

   
(1250 N)(cos 8.048 ) 0 1237.7 N
x x
C
   
C
Member CE:
0: (1237.7 N) 0
x
F Q
   
1237.7 N
Q  1238 N

Q 
(b) 6
   Free body: Member ABC
Since 1 14.094 mm
250 mm, sin
250 mm
BD  
 
3.232
  
Dimensions in mm
www.elsolucionario.org
Copyright © McGraw-Hill Education. Permission required for reproduction or display.
PROBLEM 6.126 (Continued)
0: ( sin )198.90 ( cos )20.906 (100 N)348.08 0
C BD BD
M F F
 
    
[198.90sin3.232 20.906cos3.232 ] 34808
1084.8 N
BD
BD
F
F
   

0: cos 0
x BD x
F F C

   
(1084.8 N)cos3.232 0
x
C
  
1083.1 N
x
C  
Member DE: 0:
  
x x
F Q C
1083.1 N
Q  1083 N

Q 
www.elsolucionario.org
Copyright © McGraw-Hill Education. Permission required for reproduction or display.
PROBLEM 6.127
The press shown is used to emboss a small seal at E.
Knowing that P  250 N, determine (a) the vertical
component of the force exerted on the seal, (b) the reaction
at A.
SOLUTION
FBD Stamp D:
0: cos20 0, cos20
y BD BD
F E F E F
      
FBD ABC:
0: (0.2 m)(sin30 )( cos20 ) (0.2 m)(cos30 )( sin20 )
A BD BD
M F F
      
[(0.2 m)sin30 (0.4 m)cos15 ](250 N) 0
    
793.64 N
BD
F C

and, from above,
(793.64 N)cos20
E  
(a) 746 N

E 
0: (793.64 N)sin20 0
x x
F A
    
271.44 N
x 
A
0: (793.64 N)cos20 250 N 0
y y
F A
     
495.78 N
y 
A
(b) 565 N

A 61.3° 
www.elsolucionario.org
Copyright © McGraw-Hill Education. Permission required for reproduction or display.
PROBLEM 6.128
The press shown is used to emboss a small seal at E.
Knowing that the vertical component of the force exerted on
the seal must be 900 N, determine (a) the required vertical
force P, (b) the corresponding reaction at A.
SOLUTION
FBD Stamp D:
0: 900 N cos20 0, 957.76 N
y BD BD
F F F C
     
(a)
FBD ABC:
0: [(0.2 m)(sin30 )](957.76 N)cos20 [(0.2 m)(cos30 )](957.76 N)sin 20
A
M
      
[(0.2 m)sin30 (0.4 m)cos15 ] 0
P
    
301.70 N,
P  302 N

P 
(b) 0: (957.76 N)sin20 0
x x
F A
    
327.57 N
x 
A
0: (957.76 N)cos20 301.70 N 0
y y
F A
      
598.30 N
y 
A
682 N

A 61.3° 
www.elsolucionario.org
Copyright © McGraw-Hill Education. Permission required for reproduction or display.
PROBLEM 6.129
The pin at B is attached to member ABC and can slide freely along the
slot cut in the fixed plate. Neglecting the effect of friction, determine
the couple M required to hold the system in equilibrium when 30 .
  
SOLUTION
Free body: Member ABC:
0: (25 lb)(13.856 in.) (3in.) 0
C
M B
   
115.47 lb
B  
0: 25 lb 0
y y
F C
    
25 lb
y
C  
0: 115.47 lb 0
x x
F C
   
115.47 lb
x
C  
Free body: Member CD:
1 5.196
sin ; 40.505
8
 

  
cos (8 in.)cos40.505 6.083 in.
CD    
0: (25 lb)(5.196 in.) (115.47 lb)(6.083in.) 0
D
M M
    
832.3 lb in.
M   
832 lb in.
 
M 
www.elsolucionario.org
Copyright © McGraw-Hill Education. Permission required for reproduction or display.
PROBLEM 6.130
The pin at B is attached to member ABC and can slide freely along the
slot cut in the fixed plate. Neglecting the effect of friction, determine
the couple M required to hold the system in equilibrium when 60 .
  
SOLUTION
Free body: Member ABC:
0: (25 lb)(8 in.) (5.196 in.) 0
C
M B
   
38.49 lb
B  
0: 38.49 lb 0
x x
F C
   
38.49 lb
x
C  
0: 25 lb 0
y y
F C
    
25 lb
y
C  
Free body: Member CD:
1 3
sin ; 22.024
8
 

  
cos (8 in.)cos22.024 7.416 in.
CD    
0: (25 lb)(3in.) (38.49 lb)(7.416 in.) 0
D
M M
    
360.4 lb in.
M    360 lb in.
 
M 
www.elsolucionario.org
Copyright © McGraw-Hill Education. Permission required for reproduction or display.
PROBLEM 6.131
Arm ABC is connected by pins to a collar at B and to crank CD at
C. Neglecting the effect of friction, determine the couple M
required to hold the system in equilibrium when 0.
 
SOLUTION
Free body: Member ABC
0: 240 N 0
x x
F C
   
240 N
x
C  
0: (240 N)(500 mm) (160 mm) 0
C
M B
   
750 N
B  
0: 750 N 0
y y
F C
   
750 N
y
C  
Free body: Member CD
0: (750 N)(300 mm) (240 N)(125 mm) 0
D
M M
    
3
195 10 N mm
M    
195.0 kN m
 
M 
www.elsolucionario.org
Copyright © McGraw-Hill Education. Permission required for reproduction or display.
PROBLEM 6.132
Arm ABC is connected by pins to a collar at B and to crank CD at
C. Neglecting the effect of friction, determine the couple M
required to hold the system in equilibrium when 90 .
  
SOLUTION
Free body: Member ABC
0: 0
x x
F C
  
0: (160 mm) (240 N)(90 mm) 0
B y
M C
   
135 N
y
C  
Free body: Member CD
0: (135 N)(300 mm) 0
D
M M
   
3
40.5 10 N mm
M    
40.5 kN m
 
M 
www.elsolucionario.org
Copyright © McGraw-Hill Education. Permission required for reproduction or display.
PROBLEM 6.133
The Whitworth mechanism shown is used to produce a quick-return
motion of Point D. The block at B is pinned to the crank AB and is free to
slide in a slot cut in member CD. Determine the couple M that must be
applied to the crank AB to hold the mechanism in equilibrium when
(a) α  0, (b) α  30°.
SOLUTION
(a) Free body: Member CD:
0: (0.5 m) (1200 N)(0.7 m) 0
C
M B
   
1680 N
B 
Free body: Crank AB:
0: (1680 N)(0.1m) 0
A
M M
   
168.0 N m
M   168.0 N m
 
M 
(b) Geometry:
100 mm, 30°
AB 
 
50
tan 5.87
486.6
 
  
2 2
(50) (486.6)
489.16 mm
BC  

Free body: Member CD:
0: (0.48916) (1200 N)(0.7)cos5.87 0
C
M B
    
1708.2 N
B 
www.elsolucionario.org
Copyright © McGraw-Hill Education. Permission required for reproduction or display.
PROBLEM 6.133 (Continued)
Free body: Crank AB:
0: ( sin65.87 )(0.1m) 0
A
M M B
    
(1708.2 N)(0.1m)sin65.87
155.90 N m
M
M
 
  155.9 N m
 
M 
www.elsolucionario.org
Copyright © McGraw-Hill Education. Permission required for reproduction or display.
PROBLEM 6.134
Solve Problem 6.133 when (a) α  60, (b) α  90.
PROBLEM 6.133 The Whitworth mechanism shown is used to produce
a quick-return motion of Point D. The block at B is pinned to the crank
AB and is free to slide in a slot cut in member CD. Determine the couple
M that must be applied to the crank AB to hold the mechanism in
equilibrium when (a) α  0, (b) α  30°.
SOLUTION
(a) Geometry:
100 mm, 60°
AB 
 
100cos60 86.60
BE   
2 2
400 100sin 60 450
86.60
tan 10.89
450
(86.60) (450) 458.26 mm
CE
BC
 
   
  
  
Free body: Member CD:
0: (0.45826 m) (1200 N)(0.7 m)cos10.89 0
C
M B
    
1800.0 N
B 
Free body: Crank AB:
0: ( sin40.89 )(0.1m) 0
A
M M B
    
(1800.0 N)(0.1m)sin 40.89
M  
117.83 N m
M   117.8 N m
 
M 
www.elsolucionario.org
Copyright © McGraw-Hill Education. Permission required for reproduction or display.
PROBLEM 6.134 (Continued)
(b) Free body: Member CD:
2 2
0.1m
tan
0.4 m
14.04
(0.1) (0.4) 0.41231m
BC



 
  
0: (0.41231) (1200 N)(0.7cos14.04 ) 0
C
M B
    
1976.4 N
B 
Free body: Crank AB:
0: ( sin14.04 )(0.1m) 0
A
M M B
    
(1976.4 N)(0.1m)sin14.04
47.948 N m
M
M
 
  47.9 N m
 
M 
www.elsolucionario.org
Copyright © McGraw-Hill Education. Permission required for reproduction or display.
PROBLEM 6.135
Two rods are connected by a frictionless collar B. Knowing that the magnitude
of the couple MA is 500 lb · in., determine (a) the couple MC required for
equilibrium, (b) the corresponding components of the reaction at C.
SOLUTION
(a) Free body: Rod AB & collar:
0: ( cos )(6 in.) ( sin )(8 in.) 0
A A
M B B M
 
    
(6cos21.8 8sin 21.8 ) 500 0
B      
58.535 lb
B 
Free body: Rod BC:
0: 0
C C
M M B
   

(58.535 lb)(21.541in.) 1260.9 lb in.
C
M B
   

1261lb in.
C  
M 
(b) 0: cos 0
x x
F C B 
   
cos (58.535 lb)cos21.8 54.3 lb
x
C B 
      
54.3lb
x 
C 
0: sin 0
y y
F C B 
   
sin (58.535 lb)sin 21.8 21.7 lb
y
C B 
    
21.7 lb
y 
C 
www.elsolucionario.org
Copyright © McGraw-Hill Education. Permission required for reproduction or display.
PROBLEM 6.136
Two rods are connected by a frictionless collar B. Knowing that the
magnitude of the couple MA is 500 lb · in., determine (a) the couple MC
required for equilibrium, (b) the corresponding components of the reaction
at C.
SOLUTION
(a) Free body: Rod AB:
0: (10 in.) 500 lb in. 0
A
M B
    
50.0
B 
Free body: Rod BC & collar:
0: (0.6 )(20 in.) (0.8 )(8 in.) 0
C C
M M B B
    
(30 lb)(20 in.) (40 lb)(8 in.) 0
C
M   
920 lb in.
C
M   920 lb in.
C  
M 
(b) 0: 0.6 0
x x
F C B
   
0.6 0.6(50.0 lb) 30.0 lb
x
C B
     
30.0 lb
x 
C 
0: 0.8 0
y y
F C B
   
0.8 0.8(50.0 lb) 40.0 lb
y
C B
   
40.0 lb
y 
C 
www.elsolucionario.org
Copyright © McGraw-Hill Education. Permission required for reproduction or display.
PROBLEM 6.137
Rod CD is attached to the collar D and passes through a collar
welded to end B of lever AB. Neglecting the effect of friction,
determine the couple M required to hold the system in equilibrium
when 30 .
  
SOLUTION
FBD DC:
0: sin30 (150 N)cos30 0
x y
F D

     
(150 N) ctn 30 259.81 N
y
D   
FBD machine:
0: (0.100 m)(150 N) (259.81 N) 0
A
M d M
    
0.040 m
d b
 
0.030718 m
tan 30
b 
so 0.053210 m
b 
0.0132100 m
18.4321 N m
d
M

 
18.43 N m
 
M 
www.elsolucionario.org
Copyright © McGraw-Hill Education. Permission required for reproduction or display.
PROBLEM 6.138
Rod CD is attached to the collar D and passes through a
collar welded to end B of lever AB. Neglecting the effect
of friction, determine the couple M required to hold the
system in equilibrium when 30 .
  
SOLUTION
Note: CD

B
FBD DC: 0: sin30 (300 N)cos30 0
x y
F D

     
300 N
519.62 N
tan30
y
D  

FBD machine:
0.200 m
0: 519.62 N 0
sin30
A
M M
   

207.85 N m
M   208 N m
 
M 
www.elsolucionario.org
Copyright © McGraw-Hill Education. Permission required for reproduction or display.
PROBLEM 6.139
Two hydraulic cylinders control the position
of the robotic arm ABC. Knowing that in the
position shown the cylinders are parallel,
determine the force exerted by each cylinder
when 160 N
P  and 80 N.
Q 
SOLUTION
Free body: Member ABC:
4
0: (150 mm) (160 N)(600 mm) 0
5
B AE
M F
   
800 N
AE
F   800 N
AE
F T
 
3
0: (800 N) 80 N 0
5
x x
F B
     
560 N
x
B  
4
0: (800 N) 160 N 0
5
y y
F B
     
800 N
y
B  
Free body: Member BDF:
4
0: (560 N)(400 mm) (800 N)(300 mm) (200 mm) 0
5
F DG
M F
    
100 N
DG
F   100.0 N
DG
F C
 
www.elsolucionario.org
Copyright © McGraw-Hill Education. Permission required for reproduction or display.
PROBLEM 6.140
Two hydraulic cylinders control the position of the robotic arm ABC. In the position shown, the cylinders
are parallel and both are in tension. Knowing the 600 N
AE
F  and 50 N,
DG
F  determine the forces P and
Q applied at C to arm ABC.
SOLUTION
Free body: Member ABC:
4
0: (600 N)(150 mm) (600 mm) 0
5
B
M P
   
120 N
P   120.0 N

P 
4
0: (600)(750 mm) (600 mm) 0
5
C y
M B
   
600 N
y
B  
Free body: Member BDF:
0: (400 mm) (600 N)(300 mm)
F x
M B
  
4
(50 N)(200 mm) 0
5
 
470 N
x
B  
Return to free body: Member ABC:
3
0: (600 N) 470 N 0
5
x
F Q
     
110 N
Q   110.0 N

Q 
www.elsolucionario.org
Copyright © McGraw-Hill Education. Permission required for reproduction or display.
PROBLEM 6.141
A 39-ft length of railroad rail of weight 44 lb/ft is lifted by the tongs
shown. Determine the forces exerted at D and F on tong BDF.
SOLUTION
Free body: Rail:
Free body: Upper link:
Free Body: Tong BDF:
(39 ft)(44 lb/ft) 1716 lb
W  
By symmetry,
1
858 lb
2
y y
E F W
  
By symmetry,
1
( ) ( ) 858 lb
2
AB y AC y
F F W
  
Since AB is a two-force member,
( )
( ) 9.6
( ) (858) 1372.8 lb
9.6 6 6
AB y
AB x
AB x
F
F
F
  
0: (Attach at .)
D AB
M F A
 
(8) ( ) (18) (0.8) 0
(8) (1372.8 lb)(18) (858 lb)(0.8) 0
x AB x y
x
F F F
F
  
  
3174.6 lb
x
F   3290 lb

F 15.12 
0: ( ) 0
x x AB x x
F D F F
     
( ) 1372.8 3174.6 4547.4 lb
x AB x x
D F F
    
0: ( ) 0
y y AB y y
F D F F
    
0
y
D  4550 lb

D 
www.elsolucionario.org
Copyright © McGraw-Hill Education. Permission required for reproduction or display.
PROBLEM 6.142
A log weighing 800 lb is lifted by a pair of tongs as shown.
Determine the forces exerted at E and F on tong DEF.
SOLUTION
FBD AB:
FBD DEF:
By symmetry: 400 lb
y y
A B
 
and
6
(400 lb)
5
480 lb
x x
A B



Note:  
D B
so 480 lb
400 lb
x
y
D
D


(10.5 in.)(400 lb) (15.5 in.)(480 lb) (12 in.) 0
F x
M E
    
970 lb
x
E  970 lb

E 
0: 480 lb 970 lb 0
490 lb
x x
x
F F
F
     

0: 400 lb 0
400 lb
y y
y
F F
F
   

633 lb

F 39.2 
www.elsolucionario.org
Copyright © McGraw-Hill Education. Permission required for reproduction or display.
PROBLEM 6.143
The tongs shown are used to apply a total upward force of 45 kN on a pipe cap.
Determine the forces exerted at D and F on tong ADF.
SOLUTION
FBD whole:
FBD ADF:
By symmetry, 22.5 kN
 
A B
0: (75 mm) (100 mm)(22.5 kN) 0
F
M D
   
30.0 kN

D 
0: 0
x x
F F D
   
30 kN
x
F D
 
0: 22.5 kN 0
y y
F F
   
22.5 kN
y
F 
so 37.5 kN

F 36.9 
www.elsolucionario.org
Copyright © McGraw-Hill Education. Permission required for reproduction or display.
PROBLEM 6.144
If the toggle shown is added to the tongs of Problem 6.141 and a single
vertical force is applied at G, determine the forces exerted at D and F on
tong ADF.
SOLUTION
Free body: Toggle:
By symmetry,
1
(45 kN) 22.5 kN
2
y
A  
AG is a two-force member.
22.5 kN
22 mm 55 mm
56.25 kN
x
x
A
A


Free body: Tong ADF:
0: 22.5 kN 0
y y
F F
   
22.5 kN
y
F  
0: (75 mm) (22.5 kN)(100 mm) (56.25 kN)(160 mm) 0
F
M D
    
150 kN
D   150.0 kN

D 
0: 56.25 kN 150 kN 0
x x
F F
    
93.75 kN
x
F 
96.4 kN

F 13.50 
www.elsolucionario.org
Copyright © McGraw-Hill Education. Permission required for reproduction or display.
PROBLEM 6.145
The pliers shown are used to grip a 0.3-in.-diameter rod.
Knowing that two 60-lb forces are applied to the handles,
determine (a) the magnitude of the forces exerted on the
rod, (b) the force exerted by the pin at A on portion AB of
the pliers.
SOLUTION
Free body: Portion AB:
(a) 0: (1.2 in.) (60 lb)(9.5 in.) 0
A
M Q
   
475 lb
Q  
(b) 0: (sin30 ) 0
x x
F Q A
    
(475 lb)(sin30 ) 0
x
A
  
237.5 lb
x
A   237.5 lb
x 
A
0: (cos30 ) 60 lb 0
y y
F Q A
      
(475 lb)(cos30 ) 60 lb 0
    
y
A
471.4 lb
y
A   471.4 lb
y 
A
528 lb

A 63.3 
www.elsolucionario.org
Copyright © McGraw-Hill Education. Permission required for reproduction or display.
PROBLEM 6.146
Determine the magnitude of the gripping forces exerted
along line aa on the nut when two 50-lb forces are applied
to the handles as shown. Assume that pins A and D slide
freely in slots cut in the jaws.
SOLUTION
FBD jaw AB: 0: 0
x x
F B
  
0: (0.5 in.) (1.5 in.) 0
B
M Q A
   
3
Q
A 
0: 0
y y
F A Q B
    
4
3
y
Q
B A Q
  
FBD handle ACE: By symmetry and FBD jaw DE,
3
0
4
3
x x
y y
Q
D A
E B
Q
E B
 
 
 
4
0: (5.25 in.)(50 lb) (0.75 in.) (0.75 in.) 0
3 3
C
Q Q
M
    
350 lb
Q  
www.elsolucionario.org
Copyright © McGraw-Hill Education. Permission required for reproduction or display.
PROBLEM 6.147
In using the bolt cutter shown, a worker applies two 300-N
forces to the handles. Determine the magnitude of the
forces exerted by the cutter on the bolt.
SOLUTION
FBD cutter AB: FBD handle BC:
I Dimensions in mm II
FBD I: 0: 0
x x
F B
   FBD II: 0: (12 mm) (448 mm)300 N 0
C y
M B
   
11,200.0 N
y
B 
Then FBD I: 0: (96 mm) (24 mm) 0
A y
M B F
    4 y
F B

44,800 N 44.8 kN
F   
www.elsolucionario.org
Copyright © McGraw-Hill Education. Permission required for reproduction or display.
PROBLEM 6.148
Determine the magnitude of the gripping forces produced
when two 300-N forces are applied as shown.
SOLUTION
We note that AC is a two-force member.
FBD handle CD:
2.8
0: (126 mm)(300 N) (6 mm)
8.84
D
M A
   
1
(30 mm) 0
8.84
A
 
 
 
 
Dimensions in mm 2863.6 8.84 N
A 
FBD handle AB:
1
0: (132 mm)(300 N) (120 mm) (2863.6 8.84 N)
8.84
(36 mm) 0
  
 
B
M
F
8.45 kN
F  
Dimensions in mm
www.elsolucionario.org
Copyright © McGraw-Hill Education. Permission required for reproduction or display.
PROBLEM 6.149
Determine the force P that must be applied to the toggle CDE to
maintain bracket ABC in the position shown.
SOLUTION
We note that CD and DE are two-force members.
Free body: Joint D:
( )
( )
( ) 5( )
30 150
CD y
CD x
CD y CD x
F
F
F F
 
Similarly, ( ) 5( )
DE y DE x
F F

0: ( ) ( )
y DE y CD y
F F F
  
It follows that ( ) ( )
DE x CD x
F F

0: ( ) ( ) 0
x DE x CD x
F P F F
    
1
( ) ( )
2
DE x CD x
F F P
 
Also,
1
( ) ( ) 5 2.5
2
DE y CD y
F F P P
 
  
 
 
Free body: Member ABC:
1
0: (2.5 )(300) (450) (910 N)(150) 0
2
A
M P P
 
    
 
 
(750 225) (910 N)(150)
P
 
140.0 N
P  
Dimensions in mm
www.elsolucionario.org
Copyright © McGraw-Hill Education. Permission required for reproduction or display.
PROBLEM 6.150
Determine the force P that must be applied to the toggle CDE to maintain
bracket ABC in the position shown.
SOLUTION
We note that CD and DE are two-force members.
Free body: Joint D:
( )
( )
( ) 5( )
30 150
CD y
CD x
CD y CD x
F
F
F F
 
Similarly, ( ) 5( )
DE y DE x
F F

0: ( ) ( )
y DE y CD y
F F F
  
It follows that ( ) ( )
DE x CD x
F F

0: ( ) ( ) 0
x DE x CD x
F F F P
    
1
( ) ( )
2
DE x CD x
F F P
 
Also,
1
( ) ( ) 5 2.5
2
DE y CD y
F F P P
 
  
 
 
Free body: Member ABC:
1
0: (2.5 )(300) (450) (910 N)(150) 0
2
A
M P P
 
    
 
 
(750 225) (910 N)(150)
P
 
260 N
P  
Dimensions
in mm
www.elsolucionario.org
Copyright © McGraw-Hill Education. Permission required for reproduction or display.
PROBLEM 6.151
Since the brace shown must remain in position even when the magnitude of P is
very small, a single safety spring is attached at D and E. The spring DE has a
constant of 50 lb/in. and an unstretched length of 7 in. Knowing that l = 10 in. and
that the magnitude of P is 800 lb, determine the force Q required to release the
brace.
SOLUTION
Free body:    
0: 15 in. 35 in. 0
A x
M Q C
   
7
(1)
3
x
Q C

0: 800 lb 0 or 800 lb
y y y
F C C
    
Spring force.
Unstretched length: 0 7 in.


Stretched length: 10 in.


50 lb/in.
k 
0
( )
50(10 7) 150 lb
F kx k
  
  
 
Free body: Portion BC
       
0: 150 lb 2 in. 800 lb 3 in. 20 in. 0
B x
M C
    
135.0 lb
x
C 
Substituting into equation (1) gives 315 lb

Q 
www.elsolucionario.org
Copyright © McGraw-Hill Education. Permission required for reproduction or display.
PROBLEM 6.152
The specialized plumbing wrench shown is used in confined areas (e.g.,
under a basin or sink). It consists essentially of a jaw BC pinned at B to a
long rod. Knowing that the forces exerted on the nut are equivalent to a
clockwise (when viewed from above) couple of magnitude 135 lb  in.,
determine (a) the magnitude of the force exerted by pin B on jaw BC,
(b) the couple M0 that is applied to the wrench.
SOLUTION
Free body: Jaw BC:
This is a two-force member.
5
8
2.4
1.5 in. in.
y x
y x
C C
C C
 
0:
x x x
F B C
   (1)
0: 2.4
y y y x
F B C C
    (2)
Free body: Nut: 0:
x x x
F C D
  
135 lb in.
M
  
(1.125in.) 135 lb in.
x
C  
120 lb
x
C 
(a) Eq. (1): 120 lb
x x
B C
 
Eq. (2): 2.4(120 lb) 288 lb
y y
B C
  
 
1/2
2 2 2 2 1/2
(120 288 )
x y
B B B
    312 lb
B  
(b) Free body: Rod:
0
0: (0.625 in.) (0.375 in.) 0
D y x
M M B B
     
0 (288)(0.625) (120)(0.375) 0
M
   
0 135.0 lb in.
 
M 
www.elsolucionario.org
Copyright © McGraw-Hill Education. Permission required for reproduction or display.
PROBLEM 6.153
The motion of the bucket of the front-end loader
shown is controlled by two arms and a linkage
that are pin-connected at D. The arms are located
symmetrically with respect to the central,
vertical, and longitudinal plane of the loader; one
arm AFJ and its control cylinder EF are shown.
The single linkage GHDB and its control cylinder
BC are located in the plane of symmetry. For the
position and loading shown, determine the force
exerted (a) by cylinder BC, (b) by cylinder EF.
SOLUTION
Free body: Bucket
0: (4500 lb)(20 in.) (22 in.) 0
J GH
M F
   
4091 lb
GH
F 
Free body: Arm BDH
0: (4091 lb)(24 in.) (20 in.) 0
D BC
M F
    
4909 lb
BC
F  
4.91 kips
BC
F C
 
Free body: Entire mechanism
(Two arms and cylinders AFJE)
Note: Two arms thus 2 EF
F
18 in.
tan
65 in.
15.48



 
0: (4500 lb)(123 in.) (12 in.) 2 cos (24 in.) 0
A BC EF
M F F 
    
(4500 lb)(123 in.) (4909 lb)(12 in.) 2 cos15.48 (24 in.) 0
EF
F
   
10.690 lb
EF
F   10.69 kips
EF
F C
 
www.elsolucionario.org
Copyright © McGraw-Hill Education. Permission required for reproduction or display.
PROBLEM 6.154
The bucket of the front-end loader shown carries a
3200-lb load. The motion of the bucket is
controlled by two identical mechanisms, only
one of which is shown. Knowing that the
mechanism shown supports one-half of the
3200-lb load, determine the force exerted (a) by
cylinder CD, (b) by cylinder FH.
SOLUTION
Free body: Bucket: (one mechanism)
0: (1600 lb)(15 in.) (16 in.) 0
D AB
M F
   
1500 lb
AB
F 
Note: There are two identical support mechanisms.
Free body: One arm BCE:
8
tan
20
21.8



 
0: (1500 lb)(23 in.) cos 21.8 (15 in.) sin 21.8 (5 in.) 0
E CD CD
M F F
      
2858 lb
CD
F   2.86 kips
CD
F C
 
Free body: Arm DFG:
0: (1600 lb)(75 in.) sin 45 (24 in.) cos 45 (6 in.) 0
G FH FH
M F F
      
9.428 kips
FH
F   9.43 kips
FH
F C
 
www.elsolucionario.org
Copyright © McGraw-Hill Education. Permission required for reproduction or display.
PROBLEM 6.155
The telescoping arm ABC is used to provide an elevated
platform for construction workers. The workers and the
platform together have a mass of 200 kg and have a
combined center of gravity located directly above C. For the
position when   20, determine (a) the force exerted at B
by the single hydraulic cylinder BD, (b) the force exerted on
the supporting carriage at A.
SOLUTION
Geometry: (5 m)cos 20 4.6985 m
(2.4 m)cos 20 2.2553 m
(2.4 m)sin 20 0.8208 m
0.5 1.7553 m
0.9 1.7208 m
a
b
c
d b
e c
  
  
  
  
  
1.7208
tan ; 44.43
1.7553
e
d
 
   
Free body: Arm ABC:
We note that BD is a two-force member.
2
(200 kg)(9.81 m/s ) 1.962 kN
W  
(a) 0: (1.962 kN)(4.6985 m) sin 44.43 (2.2553 m) cos 44.43(0.8208 m) 0
A BD BD
M F F
     
9.2185 (0.9927) 0: 9.2867 kN
BD BD
F F
  
(b) 9.29 kN
BD 
F 44.4 
0: cos 0
x x BD
F A F 
   
(9.2867 kN)cos 44.43 6.632 kN
x
A    6.632 kN
x 
A
0: 1.962 kN sin 0
y y BD
F A F 
    
1.962 kN (9.2867 kN)sin 44.43 4.539 kN
y
A     
4.539 kN
y 
A
8.04 kN

A 34.4 
www.elsolucionario.org
Copyright © McGraw-Hill Education. Permission required for reproduction or display.
PROBLEM 6.156
The telescoping arm ABC of Prob. 6.155 can be lowered
until end C is close to the ground, so that workers can easily
board the platform. For the position when  = 20,
determine (a) the force exerted at B by the single hydraulic
cylinder BD, (b) the force exerted on the supporting carriage
at A.
SOLUTION
Geometry: (5 m)cos 20 4.6985 m
(2.4 m)cos 20 2.2552 m
(2.4 m)sin 20 0.8208 m
0.5 1.7553 m
0.9 0.0792 m
a
b
c
d b
e c
  
  
  
  
  
0.0792
tan ; 2.584
1.7552
e
d
 
   
Free body: Arm ABC:
We note that BD is a two-force member.
2
(200 kg)(9.81 m/s )
1962 N 1.962 kN
W
W

 
(a) 0: (1.962 kN)(4.6985 m) sin 2.584 (2.2553 m) cos 2.584 (0.8208 m) 0
A BD BD
M F F
      
9.2185 (0.9216) 0 10.003 kN
BD BD
F F
  
(b) 10.00 kN
BD 
F 2.58 
0: cos 0
x x BD
F A F 
   
(10.003 kN)cos 2.583 9.993 kN
x
A    9.993 kN
x 
A
0: 1.962 kN sin 0
y y BD
F A F 
    
1.962 kN (10.003 kN)sin 2.583 1.5112 kN
y
A     
1.5112 kN
y 
A
10.11 kN

A 8.60 
www.elsolucionario.org
Copyright © McGraw-Hill Education. Permission required for reproduction or display.
PROBLEM 6.157
The motion of the backhoe bucket
shown is controlled by the hydraulic
cylinders AD, CG, and EF. As a result
of an attempt to dislodge a portion of a
slab, a 2-kip force P is exerted on the
bucket teeth at J. Knowing that   45,
determine the force exerted by each
cylinder.
SOLUTION
Free body: Bucket:
0:
H
M
  (Dimensions in inches)
4 3
(10) (10) cos (16) sin (8) 0
5 5
CG CG
F F P P
 
   
(16 cos 8 sin )
14
CG
P
F  
   (1)
Free body: Arm ABH and bucket:
(Dimensions in inches)
4 3
0: (12) (10) cos (86) sin (42) 0
5 5
B AD AD
M F F P P
 
     
(86cos 42 sin )
15.6
AD
P
F  
   (2)
Free body: Bucket and arms IEB  ABH:
Geometry of cylinder EF:
16 in.
tan
40 in.
21.801



 
www.elsolucionario.org
Copyright © McGraw-Hill Education. Permission required for reproduction or display.
PROBLEM 6.157 (Continued)
0: cos (18 in.) cos (28 in.) sin (120 in.) 0
I EF
M F P P
  
    
(120 sin 28 cos )
cos 21.8 (18)
(120 sin 28 cos )
16.7126
EF
P
F
P
 
 



  (3)
For 2 kips,
P  45
  
From Eq. (1):
2
(16 cos 45 8 sin 45 ) 2.42 kips
14
CG
F        2.42 kips
CG
F C
 
From Eq. (2):
2
(86 cos 45 42 sin 45 ) 3.99 kips
15.6
AD
F        3.99 kips
AD
F C
 
From Eq. (3):
2
(120 sin 45 28 cos 45 ) 7.79 kips
16.7126
EF
F       7.79 kips
EF
F T
 
www.elsolucionario.org
Copyright © McGraw-Hill Education. Permission required for reproduction or display.
PROBLEM 6.158
Solve Problem 6.157 assuming that the
2-kip force P acts horizontally to the
right (  0).
PROBLEM 6.157 The motion of the
backhoe bucket shown is controlled by
the hydraulic cylinders AD, CG, and
EF. As a result of an attempt to
dislodge a portion of a slab, a 2-kip
force P is exerted on the bucket teeth at
J. Knowing that   45, determine the
force exerted by each cylinder.
SOLUTION
Free body: Bucket:
0:
H
M
  (Dimensions in inches)
4 3
(10) (10) cos (16) sin (8) 0
5 5
CG CG
F F P P
 
   
(16 cos 8 sin )
14
CG
P
F  
   (1)
Free body: Arm ABH and bucket:
(Dimensions in inches)
4 3
0: (12) (10) cos (86) sin (42) 0
5 5
B AD AD
M F F P P
 
     
(86cos 42 sin )
15.6
AD
P
F  
   (2)
Free body: Bucket and arms IEB  ABH:
Geometry of cylinder EF:
16 in.
tan
40 in.
21.801



 
www.elsolucionario.org
Copyright © McGraw-Hill Education. Permission required for reproduction or display.
PROBLEM 6.158 (Continued)
0: cos (18 in.) cos (28 in.) sin (120 in.) 0
I EF
M F P P
  
    
(120 sin 28 cos )
cos 21.8 (18)
(120 sin 28 cos )
16.7126
EF
P
F
P
 
 



  (3)
For 2 kips,
P  0
 
From Eq. (1):
2
(16 cos 0 8 sin 0) 2.29 kips
14
CG
F      2.29 kips
CG
F C
 
From Eq. (2):
2
(86 cos 0 42 sin 0) 11.03 kips
15.6
AD
F      11.03 kips
AD
F C
 
From Eq. (3):
2
(120 sin 0 28 cos 0) 3.35 kips
16.7126
   
EF
F 3.35 kips
EF
F C
 
www.elsolucionario.org
Copyright © McGraw-Hill Education. Permission required for reproduction or display.
PROBLEM 6.159
The gears D and G are rigidly attached
to shafts that are held by frictionless
bearings. If rD  90 mm and rG  30
mm, determine (a) the couple M0 that
must be applied for equilibrium, (b) the
reactions at A and B.
SOLUTION
(a) Projections on yz plane.
Free body: Gear G:
0: 30 N m (0.03 m) 0; 1000 N
G
M J J
     
Free body: Gear D:
0
0: (1000 N)(0.09 m) 0
D
M M
   
0 90 N m
M   0 (90.0 N m)
 
M i 
(b) Gear G and axle FH:
0: (0.3 m) (1000 N)(0.18 m) 0
F
M H
   
600 N
H 
0: 600 1000 0
y
F F
    
400 N
F 
Gear D and axle CE:
0: (1000 N)(0.18 m) (0.3 m) 0
C
M E
   
600 N
E 
0: 1000 600 0
y
F C
    
400 N
C 
www.elsolucionario.org
Copyright © McGraw-Hill Education. Permission required for reproduction or display.
PROBLEM 6.159 (Continued)
Free body: Bracket AE:
0: 400 400 0
y
F A
     0

A 
0: (400 N)(0.32 m) (400 N)(0.2 m) 0
A A
M M
    
48 N m
A
M    (48.0 N m)
A   
M i 
Free body: Bracket BH:
0: 600 600 0
y
F B
     0

B 
0: (600 N)(0.32 m) (600 N)(0.2 m) 0
B B
M M
    
72 N m
B
M    (72.0 N m)
B   
M i 
www.elsolucionario.org
Copyright © McGraw-Hill Education. Permission required for reproduction or display.
PROBLEM 6.160
In the planetary gear system shown, the radius of the central gear A is
a  18 mm, the radius of each planetary gear is b, and the radius of the
outer gear E is (a  2b). A clockwise couple of magnitude MA  10 N  m
is applied to the central gear A and a counterclockwise couple of
magnitude MS  50 N  m is applied to the spider BCD. If the system is
to be in equilibrium, determine (a) the required radius b of the
planetary gears, (b) the magnitude ME of the couple that must be
applied to the outer gear E.
SOLUTION
FBD Central Gear:
FBD Gear C:
FBD Spider:
FBD Outer Gear:
By symmetry, 1 2 3
F F F F
  
10
0: 3( ) 10 N m 0, N m
3
A A
A
M r F F
r
      
4 4
0: ( ) 0,
C B
M r F F F F
    
0: 0
x x
F C
 
  
0: 2 0, 2
y y y
F C F C F
  
    
Gears B and D are analogous, each having a central force of 2F.
0: 50 N m 3( )2 0
A A B
M r r F
     
20
50 N m 3( ) N m 0
A B
A
r r
r
    
2.5 1 ,
A B B
A A
r r r
r r

   1.5
B A
r r

Since 18 mm,
A
r 
(a) 27.0 mm
B
r  
0: 3( 2 ) 0
A A B E
M r r F M
    
10 N m
3(18 mm 54 mm) 0
54 mm
E
M

  
(b) 40.0 N m
E  
M 
www.elsolucionario.org
Copyright © McGraw-Hill Education. Permission required for reproduction or display.
PROBLEM 6.161*
Two shafts AC and CF, which lie in the vertical xy plane, are connected by a universal joint at C. The
bearings at B and D do not exert any axial force. A couple of magnitude 500 lb  in. (clockwise when
viewed from the positive x-axis) is applied to shaft CF at F. At a time when the arm of the crosspiece
attached to shaft CF is horizontal, determine (a) the magnitude of the couple that must be applied to shaft
AC at A to maintain equilibrium, (b) the reactions at B, D, and E. (Hint: The sum of the couples exerted
on the crosspiece must be zero.)
SOLUTION
We recall from Figure 4.10 that a universal joint exerts on members it connects a force of unknown
direction and a couple about an axis perpendicular to the crosspiece.
Free body: Shaft DF:
0: cos30 500 lb in. 0
x C
M M
     
577.35 lb in.
C
M  
Free body: Shaft BC:
We use here , ,
x y z
  with x along .
BC
0: (577.35 lb in.) ( 5 in.) ( ) 0
C R y z
M M i i i B j B k
   
         
www.elsolucionario.org
Copyright © McGraw-Hill Education. Permission required for reproduction or display.
PROBLEM 6.161* (Continued)
Equate coefficients of unit vectors to zero:
i: 577.35 lb in. 0
A
M    577.35 lb in.
A
M  
j: 0
z
B  577 lb in.
A
M   
k: 0
y
B  0
B  0

B
0: 0, since 0,
B C B
    
F 0

C
Return to free body of shaft DF.
0
D
 
M (Note that 0
C  and 577.35 lb in.
C
M   )
(577.35 lb in.)(cos30 sin30 ) (500 lb in.)
     
i j i
(6 in.) ( ) 0
x y z
E E E
    
i i j k
(500 lb in.) (288.68 lb in.) (500 lb in.)
    
i j i
(6 in.) (6 in.) 0
y z
E E
  
k j
Equate coefficients of unit vectors to zero:
j: 288.68 lb in. (6 in.) 0
z
E
   48.1lb
z
E 
k: 0
y
E 
0: 0
    
F C D E
0 (48.1lb) 0
y z x
D D E
    
j k i k
i: 0
x
E 
j: 0
y
D 
k: 48.1lb 0
z
D   48.1lb
z
D  
Reactions are: 0

B 
(48.1lb)
 
D k 
(48.1lb)

E k 
www.elsolucionario.org
Copyright © McGraw-Hill Education. Permission required for reproduction or display.
PROBLEM 6.162*
Solve Problem 6.161 assuming that the arm of the crosspiece attached to shaft CF is vertical.
PROBLEM 6.161 Two shafts AC and CF, which lie in the vertical xy plane, are connected by a universal
joint at C. The bearings at B and D do not exert any axial force. A couple of magnitude 500 lb · in.
(clockwise when viewed from the positive x-axis) is applied to shaft CF at F. At a time when the arm of
the crosspiece attached to shaft CF is horizontal, determine (a) the magnitude of the couple that must be
applied to shaft AC at A to maintain equilibrium, (b) the reactions at B, D, and E. (Hint: The sum of the
couples exerted on the crosspiece must be zero.)
SOLUTION
Free body: Shaft DF.
0: 500 lb in. 0
x C
M M
    
500 lb in.
C
M  
Free body: Shaft BC:
We resolve (520 lb in.)
  i into components along x and y axes:
(500 lb in.)(cos30 sin30 )
C  
      
M i j
0: (500 lb in.)(cos30 sin30 ) (5 in.) ( ) 0
C A y z
M B B

    
          
M i i j i j k
(433 lb in.) (250 lb in.) (5 in.) (5 in.) 0
A y z
M B B

  
      
i i j k j
www.elsolucionario.org
Copyright © McGraw-Hill Education. Permission required for reproduction or display.
PROBLEM 6.162* (Continued)
Equate to zero coefficients of unit vectors:
: 433 lb in. 0
A
M
   
i 433lb in.
A
M   
: 250 lb in. (5 in.) 0
z
B
    
j 50 lb
z
B  
: 0
y 
k B
Reactions at B. (50 lb)
 
B k
0: 0
   
F B C
(50 lb) 0
  
C
k (50 lb)
 
C k
Return to free body of shaft DF.
0: (6 in.) ( ) (4 in.) ( 50 lb)
D x y z
E E E
       
M i i j k i k
(500 lb in.) (500 lb in.) 0
    
i i
(6 in.) (6 in.) (200 lb in.) 0
y z
E E
   
k j j
: 0
y
E 
k
: (6 in.) 200 lb in. 0
z
E
   
j 33.3 lb
z
E  
0: 0
F
    
C D E
(50 lb) (33.3 lb) 0
y z x
D D E
     
k j k i k
: 0
: 50 lb 33.3 lb 0
x
z
E
D

   
i
k
83.3lb
z
D 
Reactions are (50 lb)
 
B k 
(83.3 lb)

D k 
(33.3 lb)
 
E k 
www.elsolucionario.org
Copyright © McGraw-Hill Education. Permission required for reproduction or display.
PROBLEM 6.163*
The large mechanical tongs shown are used to grab and lift a
thick 7500-kg steel slab HJ. Knowing that slipping does not
occur between the tong grips and the slab at H and J, determine
the components of all forces acting on member EFH. (Hint:
Consider the symmetry of the tongs to establish relationships
between the components of the force acting at E on EFH and the
components of the force acting at D on DGJ.)
SOLUTION
Free body: Pin A: 2
(7500 kg)(9.81 m/s ) 73.575 kN
T W mg
   
0: ( ) ( )
1
0: ( ) ( )
2
x AB x AC x
y AB y AC y
F F F
F F F W
  
   
Also, ( ) 2( )
AC x AC y
F F W
 
Free body: Member CDF:
1
0: (0.3) (2.3) (1.8) (0.5 m) 0
2
D x y
M W W F F
     
or 1.8 0.5 1.45
x y
F F W
  (1)
www.elsolucionario.org
Copyright © McGraw-Hill Education. Permission required for reproduction or display.
PROBLEM 6.163* (Continued)
0: 0
x x x
F D F W
    
or x x
E F W
  (2)
1
0: 0
2
y y y
F F D W
    
or
1
2
y y
E F W
  (3)
Free body: Member EFH:
1
0: (1.8) (1.5) (2.3) (1.8 m) 0
2
E x y x
M F F H W
     
or 1.8 1.5 2.3 0.9
  
x y x
F F H W (4)
0: 0
x x x x
F E F H
    
or x x x
E F H
  (5)
Subtract Eq. (2) from Eq. (5): 2 x x
F H W
  (6)
Subtract Eq. (4) from 3  (1): 3.6 5.25 2.3
x x
F W H
  (7)
Add Eq. (7) to 2.3  Eq. (6): 8.2 2.95
x
F W

0.35976
x
F W
 (8)
Substitute from Eq. (8) into Eq. (1):
(1.8)(0.35976 ) 0.5 1.45
y
W F W
 
0.5 1.45 0.64756 0.80244
y
F W W W
  
1.6049
y
F W

(9)
Substitute from Eq. (8) into Eq. (2): 0.35976 ; 1.35976
x x
E W W E W
  
Substitute from Eq. (9) into Eq. (3):
1
1.6049 2.1049
2
y y
E W W E W
  
From Eq. (5): 1.35976 0.35976 1.71952
x x x
H E F W W W
    
Recall that
1
2
y
H W

www.elsolucionario.org
Copyright © McGraw-Hill Education. Permission required for reproduction or display.
PROBLEM 6.163* (Continued)
Since all expressions obtained are positive, all forces are directed as shown on the free-body diagrams.
Substitute 73.575 kN
W 
100.0 kN
x 
E 154.9 kN
y 
E 
26.5 kN
x 
F  118.1 kN
y 
F 
126.5 kN
x 
H 36.8 kN
y 
H 
www.elsolucionario.org
Copyright © McGraw-Hill Education. Permission required for reproduction or display.
PROBLEM 6.164
Using the method of joints, determine the force in each member of
the truss shown. State whether each member is in tension or
compression.
SOLUTION
Reactions:
0: 16 kN
C x
M
  
A
0: 9 kN
y y
F
  
A
0: 16 kN
x
F
  
C
Joint E:
3 kN
5 4 3
BE DE
F F
 
5.00 kN
BE
F T
 
4.00 kN
DE
F C
 
Joint B:
4
0: (5 kN) 0
5
x AB
F F
   
4 kN
AB
F   4.00 kN
AB
F T
 
3
0: 6 kN (5 kN) 0
5
y BD
F F
     
9 kN
BD
F   9.00 kN
BD
F C
 
Joint D:
3
0: 9 kN 0
5
y AD
F F
    
15 kN
AD
F   15.00 kN
AD
F T
 
4
0: 4 kN (15 kN) 0
5
x CD
F F
     
16 kN
CD
F   16.00 kN
CD
F C
 
www.elsolucionario.org
Copyright © McGraw-Hill Education. Permission required for reproduction or display.
PROBLEM 6.165
Using the method of joints, determine the force in each
member of the double-pitch roof truss shown. State whether
each member is in tension or compression.
SOLUTION
Free body: Truss:
0: (18 m) (2 kN)(4 m) (2 kN)(8 m) (1.75 kN)(12 m)
(1.5 kN)(15 m) (0.75 kN)(18 m) 0
A
M H
    
  
4.50 kN

H
0: 0
0: 9 0
9 4.50
x x
y y
y
F A
F A H
A
  
    
  4.50 kN
y 
A
Free body: Joint A:
3.50 kN
2 1
5
7.8262 kN
AC
AB
AB
F
F
F C
 
 7.83 kN
AB
F C
 
7.00 kN
AC
F T
 

www.elsolucionario.org
Copyright © McGraw-Hill Education. Permission required for reproduction or display.
PROBLEM 6.165 (Continued)
Free body: Joint B:
2 2 1
0: (7.8262 kN) 0
5 5 2
x BD BC
F F F
    
or 0.79057 7.8262 kN
BD BC
F F
   (1)
1 1 1
0: (7.8262 kN) 2 kN 0
5 5 2
y BD BC
F F F
     
or 1.58114 3.3541
BD BC
F F
   (2)
Multiply Eq. (1) by 2 and add Eq. (2):
3 19.0065
6.3355 kN
BD
BD
F
F
 
  6.34 kN
BD
F C
 
Subtract Eq. (2) from Eq. (1):
2.37111 4.4721
1.8861kN
BC
BC
F
F
 
  1.886 kN
BC
F C
 
Free body: Joint C:
2 1
0: (1.8861kN) 0
5 2
y CD
F F
   
1.4911kN
CD
F   1.491kN
CD
F T
 
1 1
0: 7.00 kN (1.8861kN) (1.4911kN) 0
2 5
x CE
F F
     
5.000 kN
CE
F   5.00 kN
CE
F T
 
Free body: Joint D:
2 1 2 1
0: (6.3355 kN) (1.4911kN) 0
5 2 5 5
x DF DE
F F F
     
or 0.79057 5.5900 kN
DF DE
F F
   (1)
1 1 1 2
0: (6.3355 kN) (1.4911kN) 2 kN 0
5 2 5 5
y DF DE
F F F
      
or 0.79057 1.1188 kN
DF DE
F F
   (2)
Add Eqs. (1) and (2): 2 6.7088 kN
DF
F  
3.3544 kN
DF
F   3.35 kN
DF
F C
 
Subtract Eq. (2) from Eq. (1): 1.58114 4.4712 kN
DE
F  
2.8278 kN
DE
F   2.83 kN
DE
F C
 
www.elsolucionario.org
Copyright © McGraw-Hill Education. Permission required for reproduction or display.
PROBLEM 6.165 (Continued)
Free body: Joint F:
1 2
0: (3.3544 kN) 0
2 5
x FG
F F
   
4.243 kN
FG
F   4.24 kN
FG
F C
 
1 1
0: 1.75 kN (3.3544 kN) ( 4.243 kN) 0
5 2
y EF
F F
       
2.750 kN
EF
F  2.75 kN
EF
F T
 
Free body: Joint G:
1 1 1
0: (4.243 kN) 0
2 2 2
x GH EG
F F F
    
or 4.243 kN
GH EG
F F
   (1)
1 1 1
0: (4.243 kN) 1.5 kN 0
2 2 2
y GH EG
F F F
      
or 6.364 kN
GH EG
F F
   (2)
Add Eqs. (1) and (2): 2 10.607
GH
F  
5.303
GH
F   5.30 kN
GH
F C
 
Subtract Eq. (1) from Eq. (2): 2 2.121kN
EG
F  
1.0605 kN
EG
F   1.061kN
EG
F C
 
Free body: Joint H:
3.75 kN
1 1
EH
F
 3.75 kN
EH
F T
 
We can also write
3.75 kN
1
2
GH
F
 5.30 kN (Checks)
GH
F C

www.elsolucionario.org
Copyright © McGraw-Hill Education. Permission required for reproduction or display.
PROBLEM 6.166
A stadium roof truss is loaded as shown. Determine the
force in members AB, AG, and FG.
SOLUTION
We pass a section through members AB, AG, and FG, and use the free body shown.
40
0: (6.3 ft) (1.8 kips)(14 ft)
41
(0.9 kips)(28 ft) 0
G AB
M F
 
  
 
 
 
8.20 kips
AB
F   8.20 kips
AB
F T
 
3
0: (28 ft) (1.8 kips)(28 ft)
5
(1.8 kips)(14 ft) 0
D AG
M F
 
   
 
 
 
4.50 kips
AG
F   4.50 kips
AG
F T
 
0: (9 ft) (1.8 kips)(12 ft) (1.8 kips)(26 ft)
(0.9 kips)(40 ft) 0
A FG
M F
    
 
11.60 kips
FG
F   11.60 kips
FG
F C
 
www.elsolucionario.org
Copyright © McGraw-Hill Education. Permission required for reproduction or display.
PROBLEM 6.167
A stadium roof truss is loaded as shown. Determine the
force in members AE, EF, and FJ.
SOLUTION
We pass a section through members AE, EF, and FJ, and use the free body shown.
2 2
8
0: (9 ft) (1.8 kips)(12 ft) (1.8 kips)(26 ft) (0.9 kips)(40 ft) 0
8 9
F AE
M F
 
     
 
 

 
17.46 kips
AE
F   17.46 kips
AE
F T
 
0: (9 ft) (1.8 kips)(12 ft) (1.8 kips)(26 ft) (0.9 kips)(40 ft) 0
A EF
M F
      
11.60 kips
EF
F   11.60 kips
EF
F C
 
0: (8 ft) (0.9 kips)(8 ft) (1.8 kips)(20 ft) (1.8 kips)(34 ft) (0.9 kips)(48 ft) 0
E FJ
M F
       
18.45 kips
FJ
F   18.45 kips
FJ
F C
 
www.elsolucionario.org
Copyright © McGraw-Hill Education. Permission required for reproduction or display.
PROBLEM 6.168
Determine the components of all forces acting on member
ABD of the frame shown.
SOLUTION
Free body: Entire frame:
0: (300 lb) (12 ft) (450 lb)(4 ft) (6 ft) 0
D
M E
     
900 lb
 
E 900 lb

E 
0: 900 lb 0
x x
F D
   
900 lb
x 
D 
0: 300 lb 450 lb 0
y y
F D
    
750 lb
y 
D 
Free body: Member ABD:
We note that BC is a two-force member and that B is directed along BC.
0: (750 lb)(16 ft) (900 lb)(6 ft) (8 ft) 0
A
M B
    
825 lb
B   825 lb

B 
0: 900 lb 0
x x
F A
   
900 lb
x
A   900 lb
x 
A 
0: 750 lb 825 lb 0
y y
F A
    
75 lb
y
A   75.0 lb
y 
A 
www.elsolucionario.org
Copyright © McGraw-Hill Education. Permission required for reproduction or display.
PROBLEM 6.169
Determine the components of the reactions at A and E if the frame is loaded
by a clockwise couple of magnitude 36 N · m applied (a) at B, (b) at D.
SOLUTION
Free body: Entire frame:
The following analysis is valid for both parts (a) and (b) since the point of application of the couple is
immaterial.
0: 36 N m (0.4 m) 0
E x
M A
     
90 N 90.0 N
x x
A   
A
0: 90 + 0
x x
F E
   
90 N 90.0 N
x x
E  
E
0: 0
y y y
F A E
    (1)
(a) Couple applied at B.
Free body: Member CE:
AC is a two-force member. Thus, the reaction at E must be directed along EC.
0.24 m
; 45.0 N
90 N 0.48 m
y
y
E
 
E
From Eq. (1): 45 N 0
 
y
A
45 N 45.0 N
y y
A   
A
Thus, reactions are
90.0 N
x 
A , 45.0 N
y 
A 
90.0 N
x 
E , 45.0 N
y 
E 
(b) Couple applied at D.
Free body: Member AC:
AC is a two-force member. Thus, the reaction at A must be directed along AC.
0.16 m
; 30 N
90 N 0.48 m
y
y
A
 
A
www.elsolucionario.org
Copyright © McGraw-Hill Education. Permission required for reproduction or display.
PROBLEM 6.169 (Continued)
From Eq. (1): 0
30 N 0
y y
y
A E
E
 
 
30 N 30 N
y y
E   
E
Thus, reactions are 90.0 N
x 
A , 30.0 N
y 
A 
90.0 N
x  
E , 30.0 N
y 
E 
www.elsolucionario.org
Copyright © McGraw-Hill Education. Permission required for reproduction or display.
PROBLEM 6.170
Knowing that the pulley has a radius of 50 mm, determine the
components of the reactions at B and E.
SOLUTION
Free body: Entire assembly:
0 : (300 N)(350 mm) (150 mm) 0
E x
M B
    
700 N
x
B   700 N
x 
B
0: 700 0
x x
F N E
    
700 N
x
E  700 N
x 
E
0: 300 N 0
y y y
F B E
     (1)
Free body: Member ACE:
0: (700 N)(150 mm) (300 N)(50 mm) (180 mm) 0
C y
M E
    
500 N
y
E  500 N
y 
E
From Eq. (1): 500 N 300 N 0
y
B   
200 N
y
B   200 N
y 
B
Thus, reactions are
700 N
x 
B , 200 N
y 
B 
700 N
x 
E , 500 N
y 
E 
www.elsolucionario.org
Copyright © McGraw-Hill Education. Permission required for reproduction or display.
PROBLEM 6.171
For the frame and loading shown, determine the components of the
forces acting on member CFE at C and F.
SOLUTION
Free body: Entire frame:
0: (40 lb)(13in.) (10 in.) 0
D x
M A
   
52 lb,
x
A   52 lb
x 
A 
Free body: Member ABF:
0: (52 lb)(6 in.) (4 in.) 0
B x
M F
    
78 lb
x
F  
Free body: Member CFE:
From above: 78.0 lb
x 
F 
0: (40 lb)(9 in.) (78 lb)(4 in.) (4 in.) 0
C y
M F
    
12 lb
y
F   12.00 lb
y 
F 
0: 78 lb 0
x x
F C
   
78 lb
x
C   78.0 lb
x 
C 
0: 40 lb 12 lb 0; 28 lb
y y y
F C C
        28.0 lb
y 
C 
www.elsolucionario.org
Copyright © McGraw-Hill Education. Permission required for reproduction or display.
PROBLEM 6.172
For the frame and loading shown, determine the reactions at A, B, D,
and E. Assume that the surface at each support is frictionless.
SOLUTION
Free body: Entire frame:
0: (1000 lb)sin30 0
x
F A B
     
500 0
A B
   (1)
0: (1000 lb)cos30 0
y
F D E
     
866.03 0
D E
   (2)
Free body: Member ACE:
0: (6 in.) (8in.) 0
C
M A E
    
3
4
E A
 (3)
Free body: Member BCD:
0: (8 in.) (6 in.) 0
C
M D B
    
3
4
D B
 (4)
Substitute E and D from Eqs. (3) and (4) into Eq. (2):
3 3
866.06 0
4 4
1154.71 0
A B
A B
   
   (5)
From Eq. (1): 500 0
A B
   (6)
Eqs. (5) (6):
 2 654.71 0
A   327.4 lb
A  327 lb

A 
Eqs. (5) (6):
 2 1654.71 0
B   827.4 lb
B  827 lb

B 
From Eq. (4):
3
(827.4)
4
D  620.5 lb
D  621lb

D 
From Eq. (3):
3
(327.4)
4
E  245.5 lb
E  246 lb

E 
www.elsolucionario.org
Copyright © McGraw-Hill Education. Permission required for reproduction or display.
PROBLEM 6.173
Water pressure in the supply system exerts a downward force of 135 N
on the vertical plug at A. Determine the tension in the fusible link DE
and the force exerted on member BCE at B.
SOLUTION
Free body: Entire linkage:
0: 135 0
y
F C
   
135 N
C  
Free body: Member BCE:
0: 0
x x
F B
  
0: (135 N)(6 mm) (10 mm) 0
B DE
M T
   
81.0 N
DE
T  
0: 135 81 0
y y
F B
    
216 N
y
B   216 N

B 
www.elsolucionario.org
Copyright © McGraw-Hill Education. Permission required for reproduction or display.
PROBLEM 6.174
A couple M of magnitude 1.5 kN  m is applied to the crank of the engine system shown. For each of the
two positions shown, determine the force P required to hold the system in equilibrium.
SOLUTION
(a) FBDs:
Note:
50 mm
tan
175 mm
2
7
 

FBD whole: 0: (0.250 m) 1.5 kN m 0 6.00 kN
A y y
M C C
     
FBD piston:
6.00 kN
0: sin 0
sin sin
y
y y BC BC
C
F C F F

 
     
0: cos 0
x BC
F F P

   
6.00 kN
cos 7 kips
tan
BC
P F 

  
21.0 kN

P 
Dimensions in mm
www.elsolucionario.org
Copyright © McGraw-Hill Education. Permission required for reproduction or display.
PROBLEM 6.174 (Continued)
(b) FBDs:
Note:
2
tan as above
7
 
FBD whole: 0: (0.100 m) 1.5 kN m 0 15 kN
A y y
M C C
     
0: sin 0
sin
y
y y BC BC
C
F C F F


    
0: cos 0
x BC
F F P

   
15 kN
cos
tan 2/7
y
BC
C
P F 

   52.5 kN

P 
Dimensions in mm
www.elsolucionario.org
Copyright © McGraw-Hill Education. Permission required for reproduction or display.
PROBLEM 6.175
The compound-lever pruning shears shown can be
adjusted by placing pin A at various ratchet positions on
blade ACE. Knowing that 300-lb vertical forces are
required to complete the pruning of a small branch,
determine the magnitude P of the forces that must be
applied to the handles when the shears are adjusted as
shown.
SOLUTION
We note that AB is a two-force member.
( )
( )
0.65 in. 0.55 in.
11
( ) ( )
13
AB y
AB x
AB y AB x
F
F
F F

 (1)
Free body: Blade ACE:
0: (300 lb)(1.6 in.) ( ) (0.5 in.) ( ) (1.4 in.) 0
C AB x AB y
M F F
    
Use Eq. (1):
11
( ) (0.5 in.) ( ) (1.4 in.) 480 lb in.
13
AB x AB x
F F
  
1.6846( ) 480
AB x
F  ( ) 284.9 lb
AB x
F 
11
( ) (284.9 lb)
13
AB y
F  ( ) 241.1lb
AB y
F 
Free body: Lower handle:
0: (241.1lb)(0.75 in.) (284.9 lb)(0.25 in.) (3.5 in.) 0
D
M P
    
31.3 lb
P  
www.elsolucionario.org
Copyright © McGraw-Hill Education. Permission required for reproduction or display.
PROBLEM 6.F1
For the frame and loading shown, draw the free-body diagram(s) needed
to determine the force in member BD and the components of the reaction
at C.
SOLUTION
We note that BD is a two-force member.
Free body: ABC


www.elsolucionario.org
Copyright © McGraw-Hill Education. Permission required for reproduction or display.
PROBLEM 6.F2
For the frame and loading shown, draw the free-body diagram(s)
needed to determine the components of all forces acting on
member ABC.
SOLUTION
We note that BE is a two-force member.
Free body: Frame
Note: Sum forces in y about A to determine Ay.
Sum moments about E to determine Ax.
Free body: ABC
Note: Sum moments about C to determine FBE.
Sum forces in x to determine Cx.
Sum forces in y to determine Cy.

www.elsolucionario.org
Copyright © McGraw-Hill Education. Permission required for reproduction or display.
PROBLEM 6.F3
Draw the free-body diagram(s) needed to determine all the forces
exerted on member AI if the frame is loaded by a clockwise
couple of magnitude 1200 lb·in. applied at point D.
SOLUTION
We note that AB, BC, and FG are two-force members.
Free body: Frame
Note: Sum moments about H to determine Iy.
Free body: AI
www.elsolucionario.org
Copyright © McGraw-Hill Education. Permission required for reproduction or display.
PROBLEM 6.F3 (Continued)
Note: Sum forces in y to determine FAB
Sum moments about G to determine FBC
Sum forces in x to determine FFG

www.elsolucionario.org
Copyright © McGraw-Hill Education. Permission required for reproduction or display.
PROBLEM 6.F4
Knowing that the pulley has a radius of 0.5 m, draw the
free-body diagram(s) needed to determine the components
of the reactions at A and E.
SOLUTION
Free body: Frame
Note: Sum moments about E to determine Ay.
Sum forces in y to determine Ey.
Sum forces in x to determine Ax and Ex.
Free body: ABC
Note: Sum moments about C to determine Ax.
Use previously obtained relation between Ax and Ex to determine Ex.

www.elsolucionario.org
Copyright © McGraw-Hill Education. Permission required for reproduction or display.
PROBLEM 6.F5
An 84-lb force is applied to the toggle vise at C. Knowing that  = 90,
draw the free-body diagram(s) needed to determine the vertical force
exerted on the block at D.
SOLUTION
We note that BD is a two-force member.
Free body: ABC
Note: Sum moments about A to determine FBD.
Free body: D
Note: Sum forces in y to determine Dy.
www.elsolucionario.org
Copyright © McGraw-Hill Education. Permission required for reproduction or display.
PROBLEM 6.F6
For the system and loading shown, draw the free-body diagram(s)
needed to determine the force P required for equilibrium.
SOLUTION
We note that AB and BD are two-force members.
Free body: CDE
Note: Sum moments about C to determine FBD.
Free body: Pin B
Note: Sum forces in x to determine P.

www.elsolucionario.org
Copyright © McGraw-Hill Education. Permission required for reproduction or display.
PROBLEM 6.F7
A small barrel weighing 60 lb is lifted by a pair of tongs as shown.
Knowing that a = 5 in., draw the free-body diagram(s) needed to
determine the forces exerted at B and D on tong ABD.
SOLUTION
We note that BC is a two-force member.
Free body: ABD
Note: Sum moments about D to determine FBC.
Sum forces in x to determine Dx.
Sum forces in y to determine Dy.

www.elsolucionario.org
Copyright © McGraw-Hill Education. Permission required for reproduction or display.
PROBLEM 6.F8
The position of member ABC is controlled by the
hydraulic cylinder CD. Knowing that θ  30°,
draw the free-body diagram(s) needed to
determine the force exerted by the hydraulic
cylinder on pin C, and the reaction at B.
SOLUTION
We note that CD is a two-force member.
Free body: ABC
Note: To find , consider geometry of triangle BCD:
Law of cosines: 2 2 2
( ) (0.5) (1.5) 2(0.5)(1.5)cos60
CD    
1.32288 m
CD 
Law of sines:
sin sin 60
0.5 m 1.32288 m
q 

19.1066
   
www.elsolucionario.org
CHAPTER 7
www.elsolucionario.org
Copyright © McGraw-Hill Education. Permission required for reproduction or display.
PROBLEM 7.1
Determine the internal forces (axial force, shearing force,
and bending moment) at Point J of the structure indicated.
Frame and loading of Problem 6.76.
SOLUTION
From Problem 6.76: 720 lb
x 
C
140 lb
y 
C
FBD of JC:
0: 720 lb 0
x
F F
   
720 lb
F   720 lb

F 
0: 140 lb 0
y
F V
   
140 lb
V  140.0 lb

V 
0: (140 lb)(8 in.) 0
J
M M
   
1120 lb in.
M    1120 lb in.
 
M 
www.elsolucionario.org
Copyright © McGraw-Hill Education. Permission required for reproduction or display.
PROBLEM 7.2
Determine the internal forces (axial force, shearing force, and bending
moment) at Point J of the structure indicated.
Frame and loading of Problem 6.78.
SOLUTION
From Problem 6.78: 30 lb

C
FBD of AE:
0: 120 lb 0
x
F F
    
120 lb
F   120.0 lb

F 
0: 30 lb 0
y
F V
    
30 lb
V  30.0 lb

V 
  
0: (30 lb)(4 in.) 120 lb 2 in. 0
J
M M
    
120.0 lb in.
M   
120.0 lb in.
 
M 
www.elsolucionario.org
Copyright © McGraw-Hill Education. Permission required for reproduction or display.
PROBLEM 7.3
Determine the internal forces at Point J when  90°.
SOLUTION
Reactions ( 90 )
  
FBD BJ:
0: 0
A y
M
  
B
12
0: 780 N 0
13
y
F A
 
   
 
 
845 N 845 N
A  
A
5
0: (845 N) 0
13
x x
F B
   
325 N 325 N
x x
B   
B
0: 125 N 0
F F
    125.0 N

F 67.4°
0: 300 N 0
F V
    300 N

V 22.6° 
0: (325 N)(0.480 m) 0
M M
   
156 N m
M    156.0 N m
 
M 
www.elsolucionario.org
Copyright © McGraw-Hill Education. Permission required for reproduction or display.
PROBLEM 7.4
Determine the internal forces at Point J when  0.
SOLUTION
Reactions ( 0)
 
FBD BJ:
Alternate
0: (780 N)(0.720 m) (0.3 m) 0
A y
M B
   
1872 N
y
B   1872 N
y 
B
12
0: 1872 N 0
13
y
F A
 
   
 
 
2028 N

A
5
0: (2028 N) 780 N 0
13
x x
F B
 
    
 
 
1560 N
x
B   1560 N
x 
B
0: 1728 N 600 N 0
F F
    
2328 N
F   2330 N

F 67.4°
0: 720 N 1440 N 0
F V
    
720 N
V   720 N

V 22.6° 
2 2
480 200 520 mm
BJ   
0: (1440 N)(0.520 m) (720 N)(0.520 m) 0
J
M M
    
374.4 N m
M    374 N m
 
M 
Computation of M using :
x y

B B
0: (1560 N)(0.48 m) (1872 N)(0.2 m) 0
J
M M
    
374.4 N m
M    374 N m
 
M 
www.elsolucionario.org
Copyright © McGraw-Hill Education. Permission required for reproduction or display.
PROBLEM 7.5
For the frame and loading shown, determine the internal forces at
the point indicated:
Point J.
SOLUTION
From free body diagram, all reactions = 0
250
0(Force Triangle)
3 4 5
V F
F
   
150 N
V   150.0 N

V 53.1°
200 N
F   200 N

F 36.9°
0: (250 N)(0.080 m) 0
J
M M
   
20 N m
M    20.0 N m
 
M 
www.elsolucionario.org
Copyright © McGraw-Hill Education. Permission required for reproduction or display.
PROBLEM 7.6
For the frame and loading shown, determine the internal
forces at the point indicated:
Point K.
SOLUTION
From free body diagram, all reaction = 0
Free body KC:
60 3
tan
80 4
  
3 4
sin ; cos
5 5
 
 
4
0: (250 N)cos 250 N
5
x
F F 
 
     
 
200 N
F   200 N

F 36.9°
3
0: (250 N)sin 250 N
5
y
F V 
 
     
 
150 N
V   150.0 N

V 53.1°
0: (250 N)(0.060 m) 0
K
M M
   
15.00 N m
M    15.00 N m
 
M 
www.elsolucionario.org
Copyright © McGraw-Hill Education. Permission required for reproduction or display.
PROBLEM 7.7
An archer aiming at a target is pulling with a 45-lb force on the
bowstring. Assuming that the shape of the bow can be approximated
by a parabola, determine the internal forces at Point J.
SOLUTION
FBD Point A:
By symmetry 1 2
T T

1 1 2
3
0: 2 45 lb 0 37.5 lb
5
x
F T T T
 
     
 
 
Curve CJB is parabolic: 2
x ay

FBD BJ:
At : 8 in.
B x 
2
32 in.
8 in. 1
128 in.
(32 in.)
y
a

 
2
128
y
x 
2
Slope of parabola tan
128 64
dx y y
dy

   
At J: 1 16
tan 14.036
64
J
   
  
 
 
So 1 4
tan 14.036 39.094
3
 
    
0: (37.5 lb)cos(39.094 ) 0
x
F V

     29.1lb

V 14.04°
www.elsolucionario.org
Copyright © McGraw-Hill Education. Permission required for reproduction or display.
PROBLEM 7.7 (Continued)
0: (37.5 lb)sin (39.094 ) 0
y
F F

    
23.647
F   23.6 lb

F 76.0° 
3 4
0: (16 in.) (37.5 lb) [(8 2) in.] (37.5 lb) 0
5 5
J
M M
   
     
   
   
540 lb in.
 
M 
www.elsolucionario.org
Copyright © McGraw-Hill Education. Permission required for reproduction or display.
PROBLEM 7.8
For the bow of Problem 7.7, determine the magnitude and location of
the maximum (a) axial force, (b) shearing force, (c) bending moment.
PROBLEM 7.7 An archer aiming at a target is pulling with a 45-lb
force on the bowstring. Assuming that the shape of the bow can be
approximated by a parabola, determine the internal forces at Point J.
SOLUTION
Free body: Point A
3
0: 2 45 lb 0
5
x
F T
 
   
 
 
37.5 lb
T  
Free body: Portion of bow BC
0: 30 lb 0
y C
F F
    30 lb
C 
F 
0: 22.5 lb 0
x C
F V
    22.5 lb
C 
V 
0: (22.5 lb)(32 in.) (30 lb)(8 in.) 0
C C
M M
    
960 lb in.
C  
M 
Equation of parabola
2
x ky

At B: 2 1
8 (32)
128
k k
 
Therefore, equation is
2
128
y
x  (1)
The slope at J is obtained by differentiating (1):
2
, tan
128 64
x
y dy dx y
d
dy

   (2)
www.elsolucionario.org
Copyright © McGraw-Hill Education. Permission required for reproduction or display.
PROBLEM 7.8 (Continued)
(a) Maximum axial force
0: (30 lb)cos (22.5 lb)sin 0
V
F F  
     
Free body: Portion bow CK
30cos 22.5sin
F  
 
F is largest at ( 0)
C  
30.0 lb at
m
F C
 
(b) Maximum shearing force
0: (30 lb)sin (22.5 lb)cos 0
V
F V  
     
30sin 22.5cos
V  
 
V is largest at B (and D)
Where 1
max
1
tan 26.56
2
    
   
 
 
30sin 26.56 22.5cos26.56
m
V     33.5 lb
m
V  at B and D
(c) Maximum bending moment
0: 960 lb in. (30 lb) (22.5 lb) 0
K
M M x y
      
960 30 22.5
M x y
  
M is largest at C, where 0.
x y
  960 lb in. at
m
M C
  
www.elsolucionario.org
Copyright © McGraw-Hill Education. Permission required for reproduction or display.
PROBLEM 7.9
A semicircular rod is loaded as shown. Determine the internal forces at Point J.
SOLUTION
FBD Rod:
0: (2 ) 0
B x
M A r
  
0
x 
A
0: (120 N)cos60 0
x
F V

    
60.0 N

V 

FBD AJ:
0: (120 N)sin60 0
y
F F

    
103.923 N
F  
103.9 N

F 
0: [(0.180 m)sin 60 ](120 N) 0
J
M M
    
18.7061
M 
18.71

M 
www.elsolucionario.org
Copyright © McGraw-Hill Education. Permission required for reproduction or display.
PROBLEM 7.10
A semicircular rod is loaded as shown. Determine the internal forces at Point K.
SOLUTION
FBD Rod:
0: 120 N 0 120 N
y y y
F B
    
B
0: 2 0 0
A x x
M rB
   
B
0: (120 N)cos30 0
x
F V

    
103.923 N
V 
103.9 N

V 
FBD BK:
0: (120 N)sin30 0
y
F F

    
60 N
F  
60.0 N

F 
0: [(0.180 m)sin 30 ](120 N) 0
K
M M
    
10.80 N m
 
M 
www.elsolucionario.org
Copyright © McGraw-Hill Education. Permission required for reproduction or display.
PROBLEM 7.11
A semicircular rod is loaded as shown. Determine the internal
forces at Point Jknowing that  30.
SOLUTION
FBD AB:
4 3
0: 2 (280 N) 0
5 5
A
M r C r C r
   
    
   
   
400 N

C
4
0: (400 N) 0
5
x x
F A
    
320 N
x 
A
3
0: (400 N) 280 N 0
5
y y
F A
    
FBD AJ: 40.0 N
y 
A
0: (320 N)sin 30 (40.0 N)cos30 0
x
F F

      
194.641 N
F 
194.6 N

F 60.0 
0: (320 N)cos30 (40 N)sin30 0
y
F V

      
257.13 N
V 
257 N

V 30.0 
0 0: (0.160 m)(194.641 N) (0.160 m)(40.0 N) 0
M M
    
24.743
M 
24.7 N m
 
M 
www.elsolucionario.org
Copyright © McGraw-Hill Education. Permission required for reproduction or display.
PROBLEM 7.12
A semicircular rod is loaded as shown. Determine the
magnitude and location of the maximum bending moment in
the rod.
SOLUTION
Free body: Rod ACB
4 3
0: (0.16 m) (0.16 m)
5 5
(280 N)(0.32 m) 0
A CD CD
M F F
   
  
   
   
 
400 N
CD 
F 
4
0: (400 N) 0
5
x x
F A
   
320 N
x
A   320 N
x 
A 
+
3
0: (400 N) 280 N 0
5
y y
F A
    
40.0 N
y
A   40.0 N
y 
A 
Free body: (For 90°)
AJ  
0: (320 N)(0.16 m)sin (40.0 N)(0.16 m)(1 cos ) 0
J
M M
 
     
51.2sin 6.4cos 6.4
M  
   (1)
For maximum value between A and C:
0: 51.2cos 6.4sin 0
dM
d
 

  
51.2
tan 8
6.4
   82.87
  
Carrying into (1):
51.2sin82.87 6.4cos82.87 6.4 45.20 N m
M        
www.elsolucionario.org
Copyright © McGraw-Hill Education. Permission required for reproduction or display.
PROBLEM 7.12 (Continued)
Free body: (For 90°)
BJ  
0: (280 N)(0.16 m)(1 cos ) 0
J
M M 
    
(44.8 N m)(1 cos )
M 
  
Largest value occurs for 90 ,
   that is, at C, and is
44.8 N m
C
M   
We conclude that
max 45.2 N m
M   for 82.9
   
www.elsolucionario.org
Copyright © McGraw-Hill Education. Permission required for reproduction or display.
PROBLEM 7.13
The axis of the curved member AB is a parabola with vertex at A. If a
verticalload P of magnitude 450 lb is applied at A, determine the
internal forces at J when h 12 in., L 40 in., and a 24 in.
SOLUTION
Free body AB 0: 450 lb 0
y y
F B
    
450 lb
y 
B
0: (12 in.) (450 lb)(40 in.) 0
A x
M B
   
1500 lb
x 
B
0: 1500 lb
x
F
  
A
Parabola: 2
y k x

At B: 2
12 in. (40 in.) 0.0075
k k
 
Equation of parabola: 2
0.0075
y x

slope 0.015
dy
x
dx
 
At J: 2
24 in. 0.0075(24) 4.32 in.
J J
x y
  
slope 0.015(24) 0.36, tan 0.36, 19.8
 
    
Free body AJ
0: (450 lb)(24 in.) (1500 lb)(4.32 in.) 0
J
M M
    
4320 lb in.
M   4320 lb in.
 
M 
www.elsolucionario.org
Copyright © McGraw-Hill Education. Permission required for reproduction or display.
PROBLEM 7.13 (Continued)
0: (450 lb)sin19.8 (1500 lb)cos19.8 0
F F
      
1563.8 lb
F   1564 lb

F 19.8° 
0: (450 lb)cos19.8 (1500 lb)sin19.8 0
F V
       
84.71lb
V   84.7 lb

V 70.2° 
www.elsolucionario.org
Copyright © McGraw-Hill Education. Permission required for reproduction or display.
PROBLEM 7.14
Knowing that the axis of the curved member AB is a parabola with
vertex at A, determine the magnitude and location of the maximum
bending moment.
SOLUTION
Parabola 2
y kx

At B: 2
h kL

2
/
k h L

Equation of parabola 2 2
/
y hx L

0: ( ) ( ) 0
B
M P L A h
    /
PL h

A
Free body AJ At J: 2 2
/
J J
x a y ha L
 
2 2
0: ( / )( / ) 0
J a
M P PL h ha L M
    
2
a
M P a
L
 
 
 
 
 
For maximum:
2
1 0
dM a
P
da L
 
  
 
 
max
1
occurs at:
2
M a L
 
2
max
( /2)
2 4
L L PL
M P
L
 
   
 
 
max
1
| |
4
M PL
 
www.elsolucionario.org
Copyright © McGraw-Hill Education. Permission required for reproduction or display.
PROBLEM 7.15
Knowing that the radius of each pulley is 200 mm and
neglecting friction, determine the internal forces at Point J of
the frame shown.
SOLUTION
FBD Frame with pulley and cord:
0: (1.8 m) (2.6 m)(360 N)
(0.2 m)(360 N) 0
A x
M B
  
 
560 N
x 
B
FBD BE:
Note: Cord forces have been moved to pulley hub as per Problem 6.91.
0: (1.4m)(360N) (1.8m)(560N)
(2.4m) 0
E
y
M
B
  
 
630N
y 
B
FBD BJ:
3
0: 360N (630N 360N)
5
4
(560N) 0
5
x
F F

    
 
250N

F 36.9° 
4 3
0: (630 N 360 N) (560 N) 0
5 5
y
F V

     
120.0 N

V 53.1° 
0: (0.6m)(360N) (1.2m)(560N)
(1.6m)(630N) 0
J
M M
   
 
120.0N m
 
M 
www.elsolucionario.org
Copyright © McGraw-Hill Education. Permission required for reproduction or display.
PROBLEM 7.16
Knowing that the radius of each pulley is 200 mm and
neglecting friction, determine the internal forces at Point K of
the frame shown.
SOLUTION
Free body: frame and pulleys
0: (1.8 m) (360 N)(0.2 m)
(360 N)(2.6 m) 0
A x
M B
   
 
560 N
x
B   560 N
x 
B 
0: 560 N 360 N 0
x x
F A
    
920 N
x
A   920 N
x  
A 
0: 360 N 0
y y y
F A B
    
360 N
y y
A B
  (1)
Free body: member AE
We recall that the forces applied to a pulley may be applied
directly to the axle of the pulley.
0: (2.4 m) (360 N)(1.8 m) 0
E y
M A
    
270 N
y
A   270 N
y 
A 
From (1): 360 N 270 N
y
B  
630N
y
B  630 N
y 
B 
www.elsolucionario.org
Copyright © McGraw-Hill Education. Permission required for reproduction or display.
PROBLEM 7.16 (Continued)
Free body: AK
0: 920 N 360 N 0
x
F F
    
560 N
F   560 N

F 
0: 360 N 270 N 0
y
F V
    
90.0 N
V   90.0 N

V 
0: (270 N)(1.6 m) (360 N)(1 m) 0
K
M M
    
72.0 N m
M    72.0 N m
 
M 
www.elsolucionario.org
Copyright © McGraw-Hill Education. Permission required for reproduction or display.
PROBLEM 7.17
A 5-in.-diameter pipe is supported every 9 ft by a small frame
consisting of two members as shown. Knowing that the combined
weight of the pipe and its contents is 10 lb/ft and neglecting the
effect of friction, determine the magnitude and location of the
maximum bending moment in member AC.
SOLUTION
Free body: 10-ft section of pipe
4
0: (90 lb) 0
5
x
F D
    72 lb

D 
3
0: (90 lb) 0
5
y
F E
    54 lb

E 
Free body: Frame
0: (18.75 in.) (72 lb)(2.5 in.)
(54 lb)(8.75 in.) 0
B y
M A
   
 
34.8 lb
y
A   34.8 lb
y 
A 
4 3
0: 34.8 lb (72 lb) (54 lb) 0
5 5
y y
F B
     
55.2 lb
y
B   55.2 lb
y 
B 
3 4
0: (72 lb) (54 lb) 0
5 5
x x x
F A B
     
0
x x
A B
  (1)
Free body: Member AC
0: (72 lb)(2.5 in.) (34.8 lb)(12 in.) (9 in.) 0
C x
M A
    
26.4 lb
x
A   26.4 lb
x 
A 
From (1): 26.4 lb
x x
B A
   
26.4 lb
x 
B 
www.elsolucionario.org
Copyright © McGraw-Hill Education. Permission required for reproduction or display.
PROBLEM 7.17 (Continued)
Free body: Portion AJ
For 12.5 in. ( ):
x AJ AD
 
3 4
0: (26.4 lb) (34.8 lb) 0
5 5
J
M x x M
    
max
12
150 lb in. for 12.5 in.
M x
M x

  
max 150.0 lb in. at
M D
  
For 12.5 in.( ):
x AJ AD
 
3 4
0: (26.4 lb) (34.8 lb) (72 lb)( 12.5) 0
5 5
J
M x x x M
      
max
900 60
150 lb in. for 12.5 in.
M x
M x
 
  
Thus: max 150.0 lb in.
M   at D 
www.elsolucionario.org
Copyright © McGraw-Hill Education. Permission required for reproduction or display.
PROBLEM 7.18
For the frame of Problem 7.17, determine the magnitude and
location of the maximum bending moment in member BC.
PROBLEM 7.17 A 5-in.-diameter pipe is supported every 9 ft by
a small frame consisting of two members as shown. Knowing that
the combined weight of the pipe and its contents is 10 lb/ft and
neglecting the effect of friction, determine the magnitude and
location of the maximum bending moment in member AC.
SOLUTION
Free body: 10-ft section of pipe
4
0: (90 lb) 0
5
x
F D
    72 lb

D 
3
0: (90 lb) 0
5
y
F E
    54 lb

E 
Free body: Frame
0: (18.75 in.) (72 lb)(2.5 in.)
(54 lb)(8.75 in.) 0
B y
M A
   
 
34.8 lb
y
A   34.8 lb
y 
A 
4 3
0: 34.8 lb (72 lb) (54 lb) 0
5 5
y y
F B
     
55.2 lb
y
B   55.2 lb
y 
B 
3 4
0: (72 lb) (54 lb) 0
5 5
x x x
F A B
     
0
x x
A B
  (1)
Free body: Member AC
0: (72 lb)(2.5 in.) (34.8 lb)(12 in.)
(9 in.) 0
C
x
M
A
  
 
26.4 lb
x
A   26.4 lb
x 
A 
From (1): 26.4 lb
x x
B A
   
26.4 lb
x 
B 
www.elsolucionario.org
Copyright © McGraw-Hill Education. Permission required for reproduction or display.
PROBLEM 7.18 (Continued)
Free body: Portion BK
For 8.75 in.( ):
x BK BE
 
3 4
0: (55.2 lb) (26.4 lb) 0
5 5
K
M x x M
    
max
12
105.0 lb in. for 8.75 in.
M x
M x

  
max 105.0 lb in. at
M E
  
For 8.75 in.( ):
x BK BE
 
3 4
0: (55.2 lb) (26.4 lb) (54 lb)( 8.75 in.) 0
5 5
K
M x x x M
      
max
472.5 42
105.0 lb in. for 8.75 in.
M x
M x
 
  
Thus max 105.0 lb in.
M   at E
www.elsolucionario.org
Copyright © McGraw-Hill Education. Permission required for reproduction or display.
PROBLEM 7.19
Knowing that the radius of each pulley is 200 mm and
neglecting friction, determine the internal forces at Point J of
the frame shown.
SOLUTION
Free body: Frame and pulleys
0: (1.8 m) (360 N)(2.6 m) 0
A x
M B
    
520 N
x
B   520 N
x 
B 
0: 520 N 0
x x
F A
   
520 N
x
A   520 N
x 
A 
0: 360 N 0
y y y
F A B
    
360 N
y y
A B
  (1)
Free body: Member AE
0: (2.4 m) (360 N)(1.6 m) 0
E y
M A
    
240 N
y
A   240 N
y 
A 
From (1): 360 N 240 N
y
B  
600 N
y
B   600 N
y 
B 
Free body: BJ
We recall that the forces applied to a pulley may be applied directly to its axle.
3 4
0: (600 N) (520 N)
5 5
3
360 N (360 N) 0
5
y
F
F
  
   
200 N
F   200 N

F 36.9° 
www.elsolucionario.org
Copyright © McGraw-Hill Education. Permission required for reproduction or display.
PROBLEM 7.19 (Continued)
4 3 4
0: (600 N) (520 N) (360 N) 0
5 5 5
x
F V
     
120.0 N
V   120.0 N

V 53.1° 
0: (520 N)(1.2 m) (600 N)(1.6 m) (360 N)(0.6 m) 0
J
M M
     
120.0 N m
M    120.0 N m
 
M 
www.elsolucionario.org
Copyright © McGraw-Hill Education. Permission required for reproduction or display.
PROBLEM 7.20
Knowing that the radius of each pulley is 200 mm and
neglecting friction, determine the internal forces at Point K of
the frame shown.
SOLUTION
Free body: Frame and pulleys
0: (1.8 m) (360 N)(2.6 m) 0
A x
M B
    
520 N
x
B   520 N
x 
B 
0: 520 N 0
x x
F A
   
520 N
x
A   520 N
x 
A 
0: 360 N 0
y y y
F A B
    
360 N
y y
A B
  (1)
Free body: Member AE
0: (2.4 m) (360 N)(1.6 m) 0
E y
M A
    
240 N
y
A   240 N
y 
A 
From (1): 360 N 240 N
y
B  
600 N
y
B   600 N
y 
B 
Free body: AK
0: 520 N 0
x
F F
   
520 N
F   520 N

F 
0: 360 N 240 N 0
y
F V
    
120.0 N
V   120.0 N

V 
0: (240 N)(1.6 m) (360 N)(0.8 m) 0
K
M M
    
96.0 N m
M    96.0 N m
 
M 
www.elsolucionario.org
Copyright © McGraw-Hill Education. Permission required for reproduction or display.
PROBLEM 7.21
A force P is applied to a bent rod that is supported by a roller and a pin and bracket. For each of the three
cases shown, determine the internal forces at Point J.
SOLUTION
(a) FBD Rod:
FBD AJ:
(b) FBD Rod:
0: 0
x x
F A
  
0: 2 0
2
D y y
P
M aP aA A
    
0: 0
x
F
  
V 
0: 0
2
y
P
F F
   
2
P

F 
0: 0
J
M
  
M 
4 3
0: 2 2 0
5 5
A
M a D a D aP
   
    
   
   
5
14
P
D 
4 5
0: 0
5 14
x x
F A P
   
2
7
x
P
A 
3 5
0: 0
5 14
y y
F A P P
    
11
14
y
P
A 
www.elsolucionario.org
Copyright © McGraw-Hill Education. Permission required for reproduction or display.
FBD AJ:
 

(c) FBD Rod:
FBD AJ:

PROBLEM 7.21 (Continued)
0:
x
F
 
2
0
7
P V
 
2
7
P

V 
0:
y
F
 
11
0
14
P
F
 
11
14
P

F 
2
0: 0
7
J
P
M a M
   
2
7
aP

M 
0:
A
M
 
4
0
2 5
a D
aP
 
 
 
 
5
2
P
D 
0:
x
F
 
4 5
0
5 2
x
P
A   2
x
A P

3 5
0: 0
5 2
y y
P
F A P
    
5
2
y
P
A 
0:
x
F
  2 0
P V
  2P

V 
0:
y
F
 
5
0
2
P
F
 
5
2
P

F 
0: (2 ) 0
J
M a P M
    2aP

M 
www.elsolucionario.org
Copyright © McGraw-Hill Education. Permission required for reproduction or display.
PROBLEM 7.22
A force P is applied to a bent rod that is supported by a roller and a pin and bracket. For each of the three
cases shown, determine the internal forces at Point J.
SOLUTION
(a) FBD Rod: 0: 2 0
D
M aP aA
   
2
P

A
0: 0
2
x
P
F V
   
2
P

V 
FBD AJ: 0:
y
F
  0

F 
0: 0
2
J
P
M M a
   
2
aP

M 
(b) FBD Rod:
4
0: 0
2 5
D
a
M aP A
 
   
 
 
5
2
P

A
www.elsolucionario.org
Copyright © McGraw-Hill Education. Permission required for reproduction or display.
PROBLEM 7.22 (Continued)
FBD AJ:
3 5
0: 0
5 2
x
P
F V
   
3
2
P

V 
4 5
0: 0
5 2
y
P
F F
    2P

F 
3
2
aP

M 
(c) FBD Rod:
3 4
0: 2 2 0
5 5
D
M aP a A a A
   
    
   
   
5
14
P
A 
3 5
0: 0
5 14
x
P
F V
 
   
 
 
3
14
P

V 
4 5
0: 0
5 14
y
P
F F
   
2
7
P

F 
3 5
0: 0
5 14
J
P
M M a
 
   
 
 
3
14
aP

M 
www.elsolucionario.org
Copyright © McGraw-Hill Education. Permission required for reproduction or display.
PROBLEM 7.23
A quarter-circular rod of weight W and uniform cross section is supported as
shown. Determine the bending moment at Point J when  30.
SOLUTION
FBD Rod:
0: 0
x x
F
  
A
2 2
0: 0
B y y
r W
M W rA
 
    
A
FBD AJ: 15 ,
  
30
weight of segment
90 3
W
W

 

12
sin sin15 0.9886
r r
r r



   
2
0: cos30 cos30 0
3
y
W W
F F


      
3 2 1
2 3
W

 
 
 
 
F
0
2
cos15 0
3
W W
M M r F r

 
      
 
 
0.0557Wr

M 
www.elsolucionario.org
Copyright © McGraw-Hill Education. Permission required for reproduction or display.
PROBLEM 7.24
For the rod of Problem 7.23, determine the magnitude and location of the
maximum bending moment.
PROBLEM 7.23 A quarter-circular rod of weight W and uniform cross section
is supported as shown. Determine the bending moment at Point J when  30.
SOLUTION
FBD Rod: 0: 0
x x
F A
  
2 2
0: 0
B y y
r W
M W rA A
 
    
, sin
2
r
r

 

 
Weight of segment
2
2 4
W W

 

 
4 2
0: cos2 cos2 0
x
W
F F W

 
 

     
2 2
(1 2 )cos2 (1 )cos
W W
F    
 
   
FBD AJ: 0
2 4
0: ( cos ) 0
W
M M F r r W


 
 
     
 
 
2 4
(1 cos cos ) sin cos
W W r
M r

    
  
   
But,
1 1
sin cos sin 2 sin
2 2
   
 
so
2
(1 cos cos sin )
r
M W    

   
2
(sin sin cos cos ) 0
dM rW
d
    
 
    
for (1 )sin 0
 
 
0 for 0,1, ( 1, 2, )
dM
n n
d
 

   
Only 0 and 1 in valid range
At 0 0, at 1 rad
M
 
  
at 57.3
   max 0.1009
M M Wr
  
www.elsolucionario.org
Copyright © McGraw-Hill Education. Permission required for reproduction or display.
PROBLEM 7.25
A semicircular rod of weight W and uniform cross section is supported as shown.
Determine the bending moment at Point J when  60.
SOLUTION
FBD Rod:
2
0: 2 0
A
r
M W rB

   
W


B
0: sin 60 cos 60 0
3
y
W W
F F


      
0.12952
F W
 
FBD BJ:
0
3
0: 0
2 3
W r W
M r F M
 
   
     
   
   
1 1
0.12952 0.28868
2
M Wr Wr
 
 
   
 
 
On BJ 0.289
J Wr

M 
www.elsolucionario.org
Copyright © McGraw-Hill Education. Permission required for reproduction or display.
PROBLEM 7.26
A semicircular rod of weight W and uniform cross section is supported as shown.
Determine the bending moment at Point J when  150.
SOLUTION
FBD Rod:
0: 0
y y y
F A W W
    
A
2
0: 2 0
B x
r
M W rA

   
x
W


A
FBD AJ:
5
0: cos 30 sin 30 0 0.69233
6
x
W W
F F F W


       
0 0: 0.25587 0
6
W W
M r r F M

   
     
   
   
0.25587 1
0.69233
6
M Wr

 
  
 
 
(0.4166)
M Wr

On AJ 0.417Wr

M 
www.elsolucionario.org
Copyright © McGraw-Hill Education. Permission required for reproduction or display.
PROBLEM 7.27
A half section of pipe rests on a frictionless horizontal surface as shown. If
the half section of pipe has a mass of 9 kg and a diameter of 300 mm,
determine the bending moment at Point J when  90°.
SOLUTION
For half section 9 kg
m 
(9)(9.81) 88.29 N
W mg
  
Portion JC:
1
Weight 44.145 N
2
W
 
From Fig. 5.8B:
2 2(150)
95.49 mm
r
x
x
 
 

0: (44.145 N)(0.15 m) (44.145 N)(0.09549 m) 0
J
M M
    
2.406 N m
M    2.41 N m
 
M 
www.elsolucionario.org
Copyright © McGraw-Hill Education. Permission required for reproduction or display.
PROBLEM 7.28
A half section of pipe rests on a frictionless horizontal surface as shown. If
the half section of pipe has a mass of 9 kg and a diameter of 300 mm,
determine the bending moment at point J when  90°.
SOLUTION
For half section 9 kg
m 
2
(9 kg)(9.81m/s ) 88.29 N
W mg
  
Free body JC
Weight of portion JC,
1
44.145 N
2
W
 
150 mm
r 
From Fig. 5.8B:
2 2(150)
95.49 mm
r
x
 
  
0: (44.145 N)(0.09549 m) 0
J
M M
   
4.2154 N m
M    4.22 N m
 
M 
www.elsolucionario.org
Copyright © McGraw-Hill Education. Permission required for reproduction or display.
PROBLEM 7.29
For the beam and loading shown, (a) draw the shear and bending-
moment diagrams, (b) determine the maximum absolute values of the
shear and bending moment.
SOLUTION
FBD beam:
(a) By symmetry:
1
( )
2 2
y
L
A D w
 
4
y
wL
 
A D
Along AB:
0: 0
4 4
y
wL wL
F V V
    
0: 0
4
(straight)
4
J
wL
M M x
wL
M x
   

Along BC:
1
0: 0
4
y
wL
F wx V
    
1
4
wL
V wx
 
Straight with 1
0 at
4
L
V x
 
1
1 1
0: 0
2 4 4
k
x L wL
M M wx x
 
     
 
 
2
2
1 1
2 8 2
w L L
M x x
 
  
 
 
 
Parabola with 2
1
3
at
32 4
L
M wL x
 
Section CD by symmetry
(b) From diagrams: max
| | on and
4
wL
V AB CD
 
2
max
3
| | at center
32
wL
M  
www.elsolucionario.org
Copyright © McGraw-Hill Education. Permission required for reproduction or display.
PROBLEM 7.30
For the beam and loading shown, (a) draw the shear and bending-
moment diagrams, (b) determine the maximum absolute values of the
shear and bending moment.
SOLUTION
2
0 0
1 1 1
2 2 2
x x
wx w x w
L L
 
 
 
 
By similar D’s
2
0
1
0: 0
2
y
x
F w V
L
    
2
0
1
2
x
V w
L
 
2
0
1
0: 0
2 3
y
x x
F w M
L
 
   
 
 
 
3
0
1
6
x
M w
L
 
max 0
1
| |
2
V w L
 
2
max 0
1
| |
6
M w L
 
www.elsolucionario.org
Copyright © McGraw-Hill Education. Permission required for reproduction or display.
PROBLEM 7.31
For the beam and loading shown, (a) draw the shear and bending-moment
diagrams, (b) determine the maximum absolute values of the shear and
bending moment.
SOLUTION
(a) Reactions:
2
3
P

A
3
P

C
From A to B:
2
0:
3
y
P
F V
   
1
2
0:
3
P
M M x
   
From B to C:
0:
3
y
P
F V
   
2 0: ( )
3
P
M M L x
    
(b) max
2
| | ;
3
P
V  max
2
| |
9
PL
M  
www.elsolucionario.org
Copyright © McGraw-Hill Education. Permission required for reproduction or display.
PROBLEM 7.32
For the beam and loading shown, (a) draw the shear and bending-
moment diagrams, (b) determine the maximum absolute values of the
shear and bending moment.
SOLUTION
(a)
From A to B:
0:
y
F V P
   
1 0:
M M Px
   
From B to C:
0: 0 2
y
F P P V V P
       
2 0: ( ) 0 2
M Px P x a M M Px Pa
        
(b) max
| | 2 ;
V P
 max
| | 3
M Pa
 
www.elsolucionario.org
Copyright © McGraw-Hill Education. Permission required for reproduction or display.
PROBLEM 7.33
For the beam and loading shown, (a) draw the shear and bending-moment
diagrams, (b) determine the maximum absolute values of the shear and
bending moment.
SOLUTION
(a) FBD Beam: 0
0: 0
C y
M LA M
   
0
y
M
L

A
0: 0
y y
F A C
    
0
M
L

C
Along AB:
0
0
0: 0
y
M
F V
L
M
V
L
    
 
0
0
0: 0
J
M
M x M
L
M
M x
L
   
 
Straight with 0
at
2
M
M B
 
Along BC:
0 0
0: 0
y
M M
F V V
L L
      
0
0 0
0: 0 1
K
M x
M M x M M M
L L
 
      
 
 
Straight with 0
at 0 at
2
M
M B M C
 
(b) From diagrams: max 0
| | /
V M L
 
0
max
| | at
2
M
M B
 
www.elsolucionario.org
Copyright © McGraw-Hill Education. Permission required for reproduction or display.
PROBLEM 7.34
For the beam and loading shown, (a) draw the shear and bending-
moment diagrams, (b) determine the maximum absolute values of the
shear and bending moment.
SOLUTION
Free body: Portion AJ
0: 0
y
F P V
     V P
  
0: 0
    
J x
M M P PL ( )
M P L x
  
(a) The V and M diagrams are obtained by plotting the functions V and M.
(b) max
| |
V P
 
max
| |
M PL
 
www.elsolucionario.org
Copyright © McGraw-Hill Education. Permission required for reproduction or display.
PROBLEM 7.35
For the beam and loading shown, (a) draw the shear and bending-moment
diagrams, (b) determine the maximum absolute values of the shear and
bending moment.
SOLUTION
(a)
Along AC:
0: 15 kN 0 15 kN
y
F V V
      
   
0: 15 kN 0 15 kN
J
M M x M x
    
15 kN m at
M C
  
Along CD:
0: 15 kN 25 kN 0 40 kN
y
F V V
       
    
0: 1 m 25 kN 15 kN 0
K
M M x x
     
 
25 kN m 40 kN
M x
   
 
27 kN m at 1.3 m
M D x
   
Along DE:
0: 15 kN 25 kN 30 kN 0
y
F V
      
10 kN
V  
www.elsolucionario.org
Copyright © McGraw-Hill Education. Permission required for reproduction or display.
PROBLEM 7.35 (Continued)
    
1 1
0: 30 kN 0.3 m 25 kN
L
M M x x
    
  
1
1.3 m 15 kN 0
x
  
  1
27 kN m 10 kN
M x
   
 
1
31.0 kN m at 0.4 m
M E x
   
Along EB:
0: 15 kN 25 kN 30 kN 20 kN 0 30 kN
y
F V V
         
    
2 2
0: 20 kN 0.7 m 25 kN
N
M M x x
    
     
2 2
1.7 m 15 kN 0.4 m 30 kN 0
x x
    
  2
31 kN m 30 kN
M x
   
 
2
55 kN m at 0.8 m
M B x
   
From diagrams: max
40.0 kN on
V CD
 
max
55.0 kN m at
M B
  
www.elsolucionario.org
Copyright © McGraw-Hill Education. Permission required for reproduction or display.
PROBLEM 7.36
For the beam and loading shown, (a) draw the shear and bending-
moment diagrams, (b) determine the maximum absolute values of
the shear and bending moment.
SOLUTION
Free body: Entire beam
0: (3.2 m) (40 kN)(0.6 m) (32 kN)(1.5 m) (16 kN)(3 m) 0
A
M B
     
37.5 kN
B   37.5 kN

B 
0: 0
x x
F A
  
0: 37.5 kN 40 kN 32 kN 16 kN 0
y y
F A
      
50.5 kN
y
A   50.5 kN

A 
(a) Shear and bending moment
Just to the right of A: 1 50.5 kN
V  1 0
M  
Just to the right of C:
2
0: 50.5 kN 40 kN 0
y
F V
     2 10.5 kN
V   
2 2
0: (50.5 kN)(0.6 m) 0
M M
    2 30.3 kN m
M    
Just to the right of D:
3
0: 50.5 40 32 0
y
F V
      3 21.5 kN
V   
3 3
0: (50.5)(1.5) (40)(0.9) 0
M M
     3 39.8 kN m
M    
www.elsolucionario.org
Copyright © McGraw-Hill Education. Permission required for reproduction or display.
PROBLEM 7.36 (Continued)
Just to the right of E:
4
0: 37.5 0
y
F V
    4 37.5 kN
V   
4 4
0: (37.5)(0.2) 0
M M
     4 7.50 kN m
M    
At B: 0
B B
V M
  
(b) max
| | 50.5 kN
V  
max
| | 39.8 kN m
M   
www.elsolucionario.org
Copyright © McGraw-Hill Education. Permission required for reproduction or display.
PROBLEM 7.37
For the beam and loading shown, (a) draw the shear and bending-
moment diagrams, (b) determine the maximum absolute values of the
shear and bending moment.
SOLUTION
Free body: Entire beam
0: (6 ft) (6 kips)(2 ft) (12 kips)(4 ft) (4.5 kips)(8 ft) 0
A
M E
     
16 kips
E   16 kips

E 
0: 0
x x
F A
  
0: 16 kips 6 kips 12 kips 4.5 kips 0
y y
F A
      
6.50 kips
y
A   6.50 kips

A 
(a) Shear and bending moment
Just to the right of A:
1 1
6.50 kips 0
V M
   
Just to the right of C:
2
0: 6.50 kips 6 kips 0
y
F V
     2 0.50 kips
V   
2 2
0: (6.50 kips)(2 ft) 0
M M
    2 13 kip ft
M    
Just to the right of D:
3
0: 6.50 6 12 0
y
F V
      3 11.5 kips
V   
3 3
0: (6.50)(4) (6)(2) 0
M M
     3 14 kip ft
M    
www.elsolucionario.org
Copyright © McGraw-Hill Education. Permission required for reproduction or display.
PROBLEM 7.37 (Continued)
Just to the right of E:
4
0: 4.5 0
y
F V
    4 4.5 kips
V   
4 4
0: (4.5)2 0
M M
     4 9 kip ft
M    
At B: 0
B B
V M
  
(b) max
| | 11.50 kips
V  
max
| | 14.00 kip ft
M   
www.elsolucionario.org
Copyright © McGraw-Hill Education. Permission required for reproduction or display.
PROBLEM 7.38
For the beam and loading shown, (a) draw the shear and bending-
moment diagrams, (b) determine the maximum absolute values of the
shear and bending moment.
SOLUTION
Free body: Entire beam
0: (120 lb)(10 in.) (300 lb)(25 in.) (45 in.) (120 lb)(60 in.) 0
C
M E
     
300 lb
E   300 lb

E 
0: 0
x x
F C
  
0: 300 lb 120 lb 300 lb 120 lb 0
y y
F C
      
240 lb
y
C   240 lb

C 
(a) Shear and bending moment
Just to the right of A:
1
0: 120 lb 0
y
F V
     1 1
120 lb, 0
V M
   
Just to the right of C:
2
0: 240 lb 120 lb 0
y
F V
     2 120 lb
V   
2
0: (120 lb)(10 in.) 0
C
M M
    2 1200 lb in.
M    
Just to the right of D:
3
0: 240 120 300 0
y
F V
      3 180 lb
V   
3 3
0: (120)(35) (240)(25) 0,
M M
     3 1800 lb in.
M    
www.elsolucionario.org
Copyright © McGraw-Hill Education. Permission required for reproduction or display.
PROBLEM 7.38 (Continued)
Just to the right of E:
4
0: 120 lb 0
y
F V
    4 120 lb
V   
4 4
0: (120 lb)(15 in.) 0
M M
     4 1800 lb in.
M    
At B: 0
B B
V M
  
(b) max
| | 180.0 lb
V  
max
| | 1800 lb in.
M   
www.elsolucionario.org
Copyright © McGraw-Hill Education. Permission required for reproduction or display.
PROBLEM 7.39
For the beam and loading shown, (a) draw the shear and bending-moment
diagrams, (b) determine the maximum absolute values of the shear and
bending moment.
SOLUTION
Free body: Entire beam
0: (5 m) (60 kN)(2 m) (50 kN)(4 m) 0
A
M B
    
64.0 kN
B   64.0 kN

B 
0: 0
x x
F A
  
0: 64.0 kN 6.0 kN 50 kN 0
y y
F A
     
46.0 kN
y
A   46.0 kN

A 
(a) Shear and bending-moment diagrams.
From A to C:
0: 46 0
y
F V
    46 kN
V   
0: 46 0
y
M M x
    (46 )kN m
M x
  
From C to D:
0: 46 60 0
y
F V
     14 kN
V   
0: 46 60( 2) 0
j
M M x x
     
(120 14 )kN m
M x
  
For 2 m: 92.0 kN m
C
x M
    
For 3 m: 78.0 kN m
D
x M
    
www.elsolucionario.org
Copyright © McGraw-Hill Education. Permission required for reproduction or display.
PROBLEM 7.39 (Continued)
From D to B:
0: 64 25 0
y
F V 
    
(25 64)kN
V 
 
0: 64 (25 ) 0
2
j
M M

 
 
    
 
 
2
(64 12.5 )kN m
M  
  
For 0: 64 kN
B
V
    0
B
M  
(b) max
| | 64.0 kN
V  
max
| | 92.0 kN m
M   
www.elsolucionario.org
Copyright © McGraw-Hill Education. Permission required for reproduction or display.
PROBLEM 7.40
For the beam and loading shown, (a) draw the shear and bending-moment
diagrams, (b) determine the maximum absolute values of the shear and
bending moment.
SOLUTION
Free body: Entire beam
0: (50 kN)(2 m) (4 m) (40 kN)(5 m) 0
A
M D
      75 kN

D 
0: 75 50 40 0
y
F A
     
15 kN
A   15 kN

A
From A to C:
0: 15 0
y
F V
    15 kN
V 
1 0: (15)( ) 0
M M x
    (15 ) kN m
M x
 
From C to D:
0: 15 50 0
y
F V
     35 kN
V  
2 0: (15)( ) 50( 2) 0
M M x x
     
(100 35 )kN m
M x
  
30 kN m at 2 m
40 kN m at 4 m
C
D
M x
M x
   
   
www.elsolucionario.org
Copyright © McGraw-Hill Education. Permission required for reproduction or display.
PROBLEM 7.40 (Continued)
From D to B:
0: 20 0
y
F V x
    20 kN
V x
 
3 0: (20 ) 0
2
x
M M x
 
    
 
 
2
10 kN m
M x
  
40 kN, 40 kN m at 2 m
0 at 0
D D
B B
V M x
V M x
    
  
(b) max
| | 40.0 kN
V  
max
| | 40.0 kN m
M   
www.elsolucionario.org
Copyright © McGraw-Hill Education. Permission required for reproduction or display.
PROBLEM 7.41
For the beam and loading shown, (a) draw the shear and bending-moment
diagrams, (b) determine the maximum absolute values of the shear and
bending moment.
SOLUTION
(a) By symmetry:
1
8 kips (4 kips)(5 ft) 18 kips
2
y y
A B
    
A B
Along AC:
0: 18 kips 0 18 kips
y
F V V
    
0: (18 kips) (18 kips)
J
M M x M x
   
36 kip ft at ( 2 ft)
M C x
  
Along CD:
1
0: 18 kips 8 kips (4 kips/ft) 0
y
F x V
     
1
10 kips (4 kips/ft)
V x
 
1
0 at 2.5 ft (at center)
V x
 
1
1 1 1
0: (4 kips/ft) (8 kips) (2 ft )(18 kips) 0
2
K
x
M M x x x
      
2
1 1
36 kip ft (10 kips/ft) (2 kips/ft)
M x x
   
1
48.5 kip ft at 2.5 ft
M x
  
Complete diagram by symmetry
(b) From diagrams: max
| | 18.00 kips
V  
max
| | 48.5 kip ft
M   
www.elsolucionario.org
Copyright © McGraw-Hill Education. Permission required for reproduction or display.
PROBLEM 7.42
For the beam and loading shown, (a) draw the shear and bending-moment
diagrams, (b) determine the maximum absolute values of the shear and
bending moment.
SOLUTION
Free body: Entire beam
0: (10 ft) (15 kips)(3 ft) (12 kips)(6 ft) 0
A
M B
    
11.70 kips
B   11.70 kips

B 
0: 0
x x
F A
  
0: 15 12 11.70 0
y y
F A
     
15.30 kips
y
A   15.30 kips

A 
(a) Shear and bending-moment diagrams
From A to C:
0: 15.30 2.5 0
y
F x V
    
(15.30 2.5 ) kips
V x
 
0: (2.5 ) 15.30 0
2
J
x
M M x x
 
    
 
 
2
15.30 1.25
M x x
 
For 0:
x  15.30 kips
A
V   0
A
M  
For 6 ft:
x  0.300 kip
C
V   46.8 kip ft
C
M    
www.elsolucionario.org
Copyright © McGraw-Hill Education. Permission required for reproduction or display.
PROBLEM 7.42 (Continued)
From C to B:
0: 11.70 0
y
F V
    11.70 kips
V   
0: 11.70 0
J
M M

   
(11.70 ) kip ft
M 
 
For 4 ft:
  46.8 kip ft
C
M    
For 0:
  0
B
M  
(b) max
| | 15.30 kips
V  






max
| | 46.8 kip ft
M   
www.elsolucionario.org
Copyright © McGraw-Hill Education. Permission required for reproduction or display.
PROBLEM 7.43
Assuming the upward reaction of the ground on beam AB to be
uniformly distributed and knowing that P wa, (a) draw the shear and
bending-moment diagrams, (b) determine the maximum absolute values
of the shear and bending moment.
SOLUTION
Free body: Entire beam
0: (4 ) 2 0
y g
F w a wa wa
    
3
4
g
w w
 
(a) Shear and bending-moment diagrams
From A to C:
3
0: 0
4
1
4
y
F wx wx V
V wx
    
 
3
0 : ( ) 0
2 4 2
J
x x
M M wx wx
 
    
 
 
2
1
8
M wx
 
For 0:
x  0
A A
V M
  
For :
x a

1
4
C
V wa
  2
1
8
C
M wa
  
From C to D:
3
0: 0
4
y
F wx wa V
    
3
4
V x a w
 
 
 
 
3
0: 0
2 4 2
J
a x
M M wa x wx
   
     
   
   
2
3
8 2
a
M wx wa x
 
  
 
 
(1)
www.elsolucionario.org
Copyright © McGraw-Hill Education. Permission required for reproduction or display.
PROBLEM 7.43 (Continued)
For :
x a

1
4
C
V wa
  2
1
8
C
M wa
  
For 2 :
x a

1
2
D
V wa
  0
D
M  
Because of the symmetry of the loading, we can deduce the values of V
and M for the right-hand half of the beam from the values obtained for
its left-hand half.
(b) max
1
| |
2
V wa
 
To find max
| | ,
M we differentiate Eq. (1) and set 0:
dM
dx

2 2
2
3 4
0,
4 3
3 4 4 1
8 3 3 2 6
dM
wx wa x a
dx
wa
M w a wa
   
   
    
   
   
2
max
1
| |
6
M wa
 
Bending-moment diagram consists of four distinct arcs of
parabola.
www.elsolucionario.org
Copyright © McGraw-Hill Education. Permission required for reproduction or display.
PROBLEM 7.44
Solve Problem 7.43 knowing that P3wa.
PROBLEM 7.43 Assuming the upward reaction of the ground on beam
AB to be uniformly distributed and knowing that P wa, (a) draw the
shear and bending-moment diagrams, (b) determine the maximum
absolute values of the shear and bending moment.
SOLUTION
Free body: Entire beam
0: (4 ) 2 3 0
y g
F w a wa wa
    
5
4
g
w w
 
(a) Shear and bending-moment diagrams
From A to C:
5
0: 0
4
1
4
y
F wx wx V
V wx
    
 
5
0 : ( ) 0
2 4 2
J
x x
M M wx wx
 
    
 
 
2
1
8
M wx
 
For 0:
x  0
A A
V M
  
For :
x a

1
4
C
V wa
  2
1
8
C
M wa
  
From C to D:
5
0: 0
4
y
F wx wa V
    
5
4
V x a w
 
 
 
 
5
0: 0
2 4 2
J
a x
M M wa x wx
   
     
   
   
2
5
8 2
a
M wx wa x
 
  
 
 
(1)
www.elsolucionario.org
Copyright © McGraw-Hill Education. Permission required for reproduction or display.
PROBLEM 7.44 (Continued)
For :
x a

1
,
4
C
V wa
  2
1
8
C
M wa
  
For 2 :
x a

3
,
2
D
V wa
  2
D
M wa
  
Because of the symmetry of the loading, we can deduce the
values of V and M for the right-hand half of the beam from the
values obtained for its left-hand half.
(b) max
3
| |
2
V wa
 
To find max
| | ,
M we differentiate Eq. (1) and set 0:
dM
dx

5
0
4
4
(outside portion )
5
dM
wx wa
dx
x a a CD
  
 
The maximum value of | |
M occurs at D:
2
max
| |
M wa
 
Bending-moment diagram consists of four distinct arcs of
parabola.
www.elsolucionario.org
Copyright © McGraw-Hill Education. Permission required for reproduction or display.
PROBLEM 7.45
Assuming the upward reaction of the ground on beam AB to be
uniformly distributed, (a) draw the shear and bending-moment diagrams,
(b) determine the maximum absolute values of the shear and bending
moment.
SOLUTION
(a) For equilibrium, 0: 6 12 6 (12 ft)=0
y
F w
     
2.0 kips/ft
w 
Along AD:
0: (2.0 kips/ft) 0
2
y
F x V
V x
   

 
1
2
0: 2 0
2
x
M M x
M x
   

Along DC:
0: 2 6 0
y
F x V
    
2 6
V x
 
 
2 0: 6( 2) 2 0
2
x
M M x x
     
2
6 12
M x x
  
www.elsolucionario.org
Copyright © McGraw-Hill Education. Permission required for reproduction or display.
PROBLEM 7.45 (Continued)
Complete diagrams using symmetry.
(b) max
| | 6.00 kips
V  
max
| | 12.00 kip ft
M   
www.elsolucionario.org
Copyright © McGraw-Hill Education. Permission required for reproduction or display.
PROBLEM 7.46
Solve Prob. 7.45 assuming that the 12-kip load has been
removed.
PROBLEM 7.45 Assuming the upward reaction of the ground on beam
AB to be uniformly distributed, (a) draw the shear and bending-moment
diagrams, (b) determine the maximum absolute values of the shear and
bending moment.
SOLUTION
For equilibrium,
0: 12 6 6 0
y g
F w
     1kip/ft
g
w  
(a) Shear and bending moment
From A to D:
0: 0
y
F x V V x
    
2
1 0: ( ) 0,
2 2
x x
M M x M
    

From D to C: 0: 6 0
y
F x V
    
6
V x
 
2 0: 6( 2) ( ) 0
2
x
M M x x
     
2
12 6
2
x
M x
  
www.elsolucionario.org
Copyright © McGraw-Hill Education. Permission required for reproduction or display.
PROBLEM 7.46 (Continued)
(b) max
| | 4.00 kips
V  
max
| | 6.00 kip ft
M   
www.elsolucionario.org
Copyright © McGraw-Hill Education. Permission required for reproduction or display.
PROBLEM 7.47
Assuming the upward reaction of the ground on beam AB to be
uniformly distributed, (a) draw the shear and bending-moment
diagrams,(b) determine the maximum absolute values of the shear and
bending moment.
SOLUTION
For equilibrium,
0: (6 m) (8 kN/m)(3 m) 0
y g
F w
   
4 kN/m
g
w  
(a) Shear and bending-moment diagrams from A to C:
0: 4 0 (4 ) kN
y
F x V V x
    
0: (4 )
2
J
x
M M x
   2
(2 ) kN m
M x
 
For 0:
x  0
A A
V M
  
For 1.5 m: 6 kN,
C
x V
  4.5 kN m
C
M   
From C to D:
0: 4 8( 1.5) 0
y
F x x V
     
(12 4 ) kN
V x
 
1.5
0: 8( 1.5) (4 ) 0
2 2
J
x x
M M x x

     
2 2
[2 4( 1.5) ]kN m
M x x
   
2
9 12 2
M x x
   
For 3 m: 0,
x V
 
c
L 9 kN m
M   
For 4.5 m: 6 kN,
D
x V
   4.5 kN m
D
M   
At B: 0
B B
V M
  
(b) max
| | 6.00 kN
V  
max
| | 9.00 kN m
M   
Bending-moment diagram consists or three distinct arcs of
parabola, all located above the x axis.
Thus: 0 everywhere
M  
www.elsolucionario.org
Copyright © McGraw-Hill Education. Permission required for reproduction or display.
PROBLEM 7.48
Assuming the upward reaction of the ground on beam AB to be
uniformly distributed, (a) draw the shear and bending-moment diagrams,
(b) determine the maximum absolute values of the shear and bending
moment.
SOLUTION
For equilibrium,
0: (6 m) (8 kN/m)(3 m) 0
y g
F w
    4 kN/m
g
w  
(a) Shear and bending-moment diagrams.
From A to C:
0: 8 4 0
( 4 ) kN
y
F x x V
V x
     
 
1
2
0: (8 ) (4 ) 0
2 2
( 2 ) kN m
x x
M M x x
M x
    
  
For 0:
x  0
A A
V M
  
For 1.5 m:
x  6 kN
C
V   4.5 kN m
C
M    
From A to D:
0: 4 12 0, (4 12) kN
y
F x V V x
      
2 0: 12( 0.75) (4 ) 0
2
x
M M x x
     
2
2 12 9
M x x
  
www.elsolucionario.org
Copyright © McGraw-Hill Education. Permission required for reproduction or display.
PROBLEM 7.48 (Continued)
For 3 m:
x  0,
V  9.00 kN m
M    
For 4.5 m:
x  6 kN,
D
V   4.50 kN m
D
M    
At B: 0
B B
V M
  
(b) max
| | 6.00 kN
V  



Bending-moment diagram consists of three distinct arcs of parabola.
max
| | 9.00 kN m
M   
Since entire diagram is below the x axis: 0
M  everywhere 
www.elsolucionario.org
Copyright © McGraw-Hill Education. Permission required for reproduction or display.
PROBLEM 7.49
Draw the shear and bending-moment diagrams for the beam AB, and
determine the maximum absolute values of the shear and bending moment.
SOLUTION
Reactions:
0: (0.4) (120)(0.2) 0
A y
M B
   
60 N
y 
B
0:
x
F
  0
x 
B
0:
y
F
  180 N

A
Equivalent loading on straight part of beam AB.
From A to C:
0: 180 N
y
F V
   
1 0: 180
M M x
   
From C to B:
0: 180 120 0
y
F V
    
60 N
V 
0: (180 N)( ) 24 N m (120 N)( 0.2) 0
x
M x x M
        
60
M x
 
max
| | 180.0 N
V  
max
| | 36.0 N m
M   
www.elsolucionario.org
Copyright © McGraw-Hill Education. Permission required for reproduction or display.
PROBLEM 7.50
Draw the shear and bending-moment diagrams for the beam AB, and
determine the maximum absolute values of the shear and bending
moment.
SOLUTION
Free body: Entire beam
0: (0.9 m) (400 N)(0.3 m) (400 N)(0.6 m)
(400 N)(0.9 m) 0
A
M B
   
 
800 N
B   800 N

B 
0: 0
x x
F A
  
0: 800 N 3(400 N) 0
y y
F A
    
400 N
y
A   400 N

A 
We replace the loads by equivalent force-couple systems at C, D, and E.
We consider successively the following F-B diagrams.
1
1
400 N
0
V
M
 

5
5
400 N
180 N m
V
M
 
  
2
2
400 N
60 N m
V
M
 
  
6
6
400 N
60 N m
V
M
 
  
3
3
0
120 N m
V
M

  
7
7
800 N
120 N m
V
M
 
  
4
4
0
120 N m
V
M

  
8
8
800 N
0
V
M
 

www.elsolucionario.org
Copyright © McGraw-Hill Education. Permission required for reproduction or display.
PROBLEM 7.50 (Continued)
(b) max
| | 800 N
V  
max
| | 180.0 N m
M   



www.elsolucionario.org
Copyright © McGraw-Hill Education. Permission required for reproduction or display.
PROBLEM 7.51
Draw the shear and bending-moment diagrams for the
beam AB, and determine the maximum absolute values of
the shear and bending moment.
SOLUTION
Slope of cable CD is
7 10
y x
D D
 
7
0: (50 lb)(26 in.) (4 in.) (20 in.) (100 lb)(10 in.) (50 lb)(6 in.) 0
10
H x x
M D D
 
      
 
 
2000 (4 14) 0
x
D
   200 lb
x 
D
7 7
(200)
10 10
y x
D D
  140 lb
y 
D
0: 200 lb 0
x x
F H
    200 lb
x
H 
0: 140 50 100 50 0
y y
F H
       60 lb
y
H 
Equivalent loading on straight part of beam AB.
www.elsolucionario.org
Copyright © McGraw-Hill Education. Permission required for reproduction or display.
PROBLEM 7.51 (Continued)
From A to E:
0: 50 lb
y
F V
   
1 0: 50
M M x
   
From E to F:
0: 50 140 0
y
F V
     
90 lb
V  
2 0: (50 lb) (140 lb)( 6) 800 lb in. 0
M x x M
       
40 90
M x
  
From F to G:
0: 50 140 100 0
y
F V
      
10 lb
V  
3 0: 50 140( 6) 100( 16) 800 0
M x x x M
        
1560 10
M x
 
From G to B:
0: 50 0
y
F V
   
50 lb
V 
4 0: (50)(32 ) 0
M M x
     
1600 50
M x
  
max max
| | 90.0 lb; | | 1400 lb in.
V M
   
www.elsolucionario.org
Copyright © McGraw-Hill Education. Permission required for reproduction or display.
PROBLEM 7.52
Draw the shear and bending-moment diagrams for the
beam AB, and determine the maximum absolute values
of the shear and bending moment.
SOLUTION
0: (9 in.) (45 lb)(9 in.) (120 lb)(21in.) 0
G
F T
     325 lb
T 
0: 325 lb 0
x x
F G
     325 lb
x 
G
0: 45 lb 120 lb 0
y y
F G
     165 lb
y 
G
Equivalent loading on straight part of beam AB
From A to E:
0: 165 lb
y
F V
   
1 0: 1625 lb in. (165 lb) 0
M x M
      
1625 165
M x
  
From E to F:
0: 165 45 0
y
F V
    
120 lb
V  
2 0 : 1625 lb in. (165 lb) (45 lb)( 9) 0
M x x M
        
1220 120
M x
  
www.elsolucionario.org
Copyright © McGraw-Hill Education. Permission required for reproduction or display.
PROBLEM 7.52 (Continued)
From F to B: 0 120 lb
y
F V
   
3 0: (120)(21 ) 0
M x M
     
2520 120
M x
  
max
| | 165.0 lb
V  
max
| | 1625lb in.
M   
www.elsolucionario.org
Copyright © McGraw-Hill Education. Permission required for reproduction or display.
PROBLEM 7.53
Two small channel sections DF and EH have been
welded to the uniform beam AB of weight W 3 kN to
form the rigid structural member shown. This member is
being lifted by two cables attached at D and E. Knowing
that  30 and neglecting the weight of the channel
sections, (a) draw the shear and bending-moment
diagrams for beam AB, (b) determine the maximum
absolute values of the shear and bending moment in the
beam.
SOLUTION
FBD Beam  channels:
(a) By symmetry: 1 2
T T T
 
0: 2 sin 60 3 kN 0
y
F T
    
1
1
3
kN
3
3
2 3
3
kN
2
x
y
T
T
T



FBD Beam:
3
(0.5 m) kN
2 3
0.433 kN m
M 
 
With cable force replaced by equivalent force-couple system at F and G
Shear Diagram: V is piecewise linear
0.6 kN/m with 1.5 kN
dV
dx
 
 
 
 
discontinuities at F and H.
(0.6 kN/m)(1.5 m) 0.9 kN
F
V    
V increases by 1.5 kN to 0.6 kN
 at F
0.6 kN (0.6 kN/m)(1 m) 0
G
V   
Finish by invoking symmetry
www.elsolucionario.org
Copyright © McGraw-Hill Education. Permission required for reproduction or display.
PROBLEM 7.53 (Continued)
Moment diagram: M is piecewise parabolic
decreasing with
dM
V
dx
 
 
 
with discontinuities of .433 kN at F and H.
1
(0.9 kN)(1.5 m)
2
0.675 kN m
F
M   
  
M increases by 0.433 kN m to –0.242 kN  m at F
1
0.242 kN m (0.6 kN)(1m)
2
0.058 kN m
G
M    
 
Finish by invoking symmetry
(b) max
| | 900 N
V  
at F
and G
max
| | 675 N m
M   
at F and G
www.elsolucionario.org
Copyright © McGraw-Hill Education. Permission required for reproduction or display.
PROBLEM 7.54
Solve Problem 7.53 when 60 .
  
PROBLEM 7.53 Two small channel sections DF and
EH have been welded to the uniform beam AB of weight
W 3 kN
 to form the rigid structural member shown.
This member is being lifted by two cables attached at D
and E. Knowing that 30
   and neglecting the weight
of the channel sections, (a) draw the shear and bending-
moment diagrams for beam AB, (b) determine the
maximum absolute values of the shear and bending
moment in the beam.
SOLUTION
Free body: Beam and channels
From symmetry:
y y
E D

Thus: tan
x x y
E D D 
  (1)
0: 3 kN 0
y y y
F D E
     1.5 kN
y y
 
D E 
From (1): (1.5 kN) tan
x 

D (1.5 kN)tan

E 
We replace the forces at D and E by equivalent force-couple systems at F and H, where
0 (1.5 kN tan )(0.5 m) (750 N m) tan
M  
   (2)
We note that the weight of the beam per unit length is
3 kN
0.6 kN/m 600 N/m
5 m
W
w
L
   
(a) Shear and bending moment diagrams
From A to F:
0: 600 0 ( 600 )N
y
F V x V x
      
2
0: (600 ) 0, ( 300 ) N m
2
J
x
M M x M x
      
For 0:
x  0
A A
V M
  
For 1.5 m:
x  900 N, 675 N m
F F
V M
     
www.elsolucionario.org
Copyright © McGraw-Hill Education. Permission required for reproduction or display.
PROBLEM 7.54 (Continued)
From F to H:
 0: 1500 600 0
y
F x V
     
 (1500 600 ) N
V x
  
 0
0: (600 ) 1500( 1.5) 0
2
J
x
M M x x M
      
2
0 300 1500( 1.5) N m
M M x x
     
For 1.5 m:
x  0
600 N, ( 675) N m
F F
V M M
     
For 2.5 m:
x  0
0, ( 375) N m
G G
V M M
    
From G to B, The V and M diagrams will be obtained by symmetry,
(b) max
| | 900 N
V  
Making 60
   in Eq. (2): 0 750 tan 60° 1299 N m
M   
Thus, just to the right of F: 1299 675 624 N m
M     
and 1299 375 924 N m
G
M     
max
( ) | | 900 N
b V  


 max
| | 924 N m
M   
www.elsolucionario.org
Copyright © McGraw-Hill Education. Permission required for reproduction or display.
PROBLEM 7.55
For the structural member of Problem 7.53, determine
(a) the angle  for which the maximum absolute value of
the bending moment in beam AB is as small as possible,
(b) the corresponding value of max
| | .
M (Hint: Draw the
bending-moment diagram and then equate the absolute
values of the largest positive and negative bending
moments obtained.)
PROBLEM 7.53 Two small channel sections DF and EH
have been welded to the uniform beam AB of weight
W 3 kN to form the rigid structural member shown. This
member is being lifted by two cables attached at D and E.
Knowing that  30 and neglecting the weight of the
channel sections, (a) draw the shear and bending-moment
diagrams for beam AB, (b) determine the maximum absolute
values of the shear and bending moment in the beam.
SOLUTION
See solution of Problem 7.50 for reduction of loading or beam AB to the following:
where 0 (750 N m) tan
M 
  
[Equation (2)]
The largest negative bending moment occurs Just to the left of F:
1 1
1.5 m
0: (900 N) 0
2
M M
 
   
 
 
1 675 N m
M    
The largest positive bending moment occurs
At G:
2 2 0
0: (1500 N)(1.25 m 1 m) 0
M M M
     
2 0 375 N m
M M
   
Equating 2
M and 1 :
M

0 375 675
M   
0 1050 N m
M  
www.elsolucionario.org
Copyright © McGraw-Hill Education. Permission required for reproduction or display.
PROBLEM 7.55 (Continued)
(a) From Equation (2):
1050
tan 1.400
750
   54.5
  
(b) max
| | 675 N m
M   
www.elsolucionario.org
Copyright © McGraw-Hill Education. Permission required for reproduction or display.
PROBLEM 7.56
For the beam of Problem 7.43, determine (a) the ratio kP/wa for which
the maximum absolute value of the bending moment in the beam is as
small as possible, (b) the corresponding value of |M|max. (See hint for
Problem 7.55.)
PROBLEM 7.43 Assuming the upward reaction of the ground on beam
AB to be uniformly distributed and knowing that P wa, (a) draw the
shear and bending-moment diagrams, (b) determine the maximum
absolute values of the shear and bending moment.
SOLUTION
Free body: Entire beam
0: (4 ) 2 0
y g
F w a wa kwa
    
(2 )
4
g
w
w k
 
Setting
g
w
w

 (1)
We have 4 2
k 
  (2)
Minimum value of B.M. For M to have negative values, we must have .
g
w w
 We verify that M will then
be negative and keep decreasing in the portion AC of the beam. Therefore, min
M will occur between C
and D.
From C to D:
0: 0
2 2
J
a x
M M wa x wx

   
     
   
   
2 2
1
( 2 )
2
M w x ax a

   (3)
We differentiate and set 0:
dM
dx
 0
x a
   min
a
x

 (4)
Substituting in (3):
2
min
2
min
1 1 2
1
2
1
2
M wa
M wa
 


 
  
 
 

  (5)
www.elsolucionario.org
Copyright © McGraw-Hill Education. Permission required for reproduction or display.
PROBLEM 7.56 (Continued)
Maximum value of bending moment occurs at D
3
0: (2 ) 0
2
D D
a
M M wa wa a

 
    
 
 
2
max
3
2
2
D
M M wa 
 
  
 
 
(6)
Equating min
M
 and max :
M
2 2
2
1 3
2
2 2
4 2 1 0
wa wa



 
  
 
 
 
  
2 20
8



1 5
0.809
4


 
(a) Substitute in (2): 4(0.809) 2
k   1.236
k  
(b) Substitute for  in (5):
2
max min
1 0.809
| |
2(0.809)
M M wa

    2
max
| | 0.1180
M wa
 
Substitute for  in (4): min 1.236
0.809
a
x a
 
www.elsolucionario.org
Copyright © McGraw-Hill Education. Permission required for reproduction or display.
PROBLEM 7.57
Determine (a) the distance a for which the maximum absolute
value of the bending moment in beam AB is as small as
possible, (b) the corresponding value of Mmax. (See hint for
Prob. 7.55.)
SOLUTION
Tension in cords supporting load:
100 mm
0: 2 80 N 0;
50 mm
40 N
80 N
x
y y
y
y
x
T
F T
T
T
T
     


Translate cord tensions to straight part of beam ABat C and D:
 
(80 N) 0.04 m 3.2 N m
C D
M M
   
FBD of beam AB:
From A to C:
0: 40 0 40 N
y
F V V
    
 
1 1
0: 40 N 0 40
M M x M x
    
From C to D:
www.elsolucionario.org
Copyright © McGraw-Hill Education. Permission required for reproduction or display.
PROBLEM 7.57 (Continued)
0: 0
y
F V
  
 
2 2
0: 3.2 N m 40 N 0 40 3.2
M M a M a
       
Equating the absolute values of 1 2
and
M M :
 
40 40 3.2
40 40 3.2
40 40 3.2
80 3.2
0.04 m
a a
a a
a a
a
a
 
   
  


(a) 40.0 mm
a  
(b) Substituting:  
max 2 40N .04 m 3.2 N m
M M
    max
| | 1.600 N m
M   
www.elsolucionario.org
Copyright © McGraw-Hill Education. Permission required for reproduction or display.
PROBLEM 7.58
For the beam and loading shown, determine (a) the distance a
for which the maximum absolute value of the bending
moment in the beam is as small as possible, (b) the
corresponding value of |M|max. (See hint for Problem 7.55.)
SOLUTION
Free body: Entire beam
0: 0
x x
F A
  
0: (2.4) (3)(1.8) 3(1) (2) 0
E y
M A a
      
5
3.5 kN
6
y
A a
 
5
3.5 kN
6
a
 
A 
Free body: AC
5
0: 3.5 (0.6 m) 0,
6
C C
M M a
 
    
 
 
2.1
2
C
a
M    
Free body: AD
5
0: 3.5 (1.4 m) (3 kN)(0.8 m) 0
6
D D
M M a
 
     
 
 
7
2.5
6
D
M a
   
Free body: EB 0: (2 kN) 0
E E
M M a
     2
E
M a
  
We shall assume that C D
M M
 and, thus, that max .
C
M M

We set max min
| |
M M
 or | | 2.1 2
2
C E
a
M M a
    0.840 m
a  
max
| | | | 2 2(0.840)
C E
M M M a
    max
| | 1.680 N m
M   
We must check our assumption.
7
2.5 (0.840) 1.520 N m
6
D
M    
Thus, ,
C D
M M
 O.K.
The answers are (a) 0.840 m
a  
(b) max
| | 1.680 N m
M   
www.elsolucionario.org
Copyright © McGraw-Hill Education. Permission required for reproduction or display.
PROBLEM 7.59
A uniform beam is to be picked up by crane cables attached at A and
B. Determine the distance a from the ends of the beam to the points
where the cables should be attached if the maximum absolute value
of the bending moment in the beam is to be as small as possible.
(Hint: Draw the bending-moment diagram in terms of a, L, and the
weight w per unit length, and then equate the absolute values of the
largest positive and negative bending moments obtained.)
SOLUTION
w weight per unit length
To the left of A: 1 0: 0
2
x
M M wx
 
   
 
 
2
2
1
2
1
2
A
M wx
M wa
 
 
Between A and B:
2
1 1
0: ( ) ( ) 0
2 2
M M wL x a wx x
   
     
   
   
2
1 1 1
2 2 2
M wx wLx wLa
   
At center C:
2
2
1 1 1
2 2 2 2 2
C
L
x
L L
M w wL wLa

   
   
   
   
www.elsolucionario.org
Copyright © McGraw-Hill Education. Permission required for reproduction or display.
PROBLEM 7.59 (Continued)
We set 2 2 2 2
1 1 1 1 1 1
| | | |:
2 8 2 2 8 2
A C
M M wa wL wLa wa wL wLa
      
2 2
0.25 0
a La L
  
2 2
2 2
max
1 1
( ) ( 2 1)
2 2
1
(0.207 ) 0.0214
2
    
 
a L L L L
M w L wL 0.207
a L
 
www.elsolucionario.org
Copyright © McGraw-Hill Education. Permission required for reproduction or display.
PROBLEM 7.60
Knowing that P Q 150 lb, determine (a) the distance a for which the
maximum absolute value of the bending moment in beam AB is as small
as possible, (b) the corresponding value of max
| | .
M (See hint for Problem
7.55.)
SOLUTION
Free body: Entire beam
0: (150)(30) (150)(60) 0
A
M Da
    
13,500
D
a
 
Free body: CB
13,500
0: (150)(30) ( 30) 0
C C
M M a
a
      
45
9000 1
C
M
a
 
 
 
 

Free body: DB
0: (150)(60 ) 0
D D
M M a
     
150(60 )
D
M a
   
(a) We set
max min
45
| | or : 9000 1 150(60 )
C D
M M M M a
a
 
     
 
 
2700
60 60 a
a
  
2
2700 51.96 in.
a a
  52.0 in.
a  
(b) max
| | 150(60 51.96)
D
M M
   
max
| | 1206 lb in.
M   
www.elsolucionario.org
Copyright © McGraw-Hill Education. Permission required for reproduction or display.
PROBLEM 7.61
Solve Problem 7.60 assuming that P  300 lb and Q 150lb.
PROBLEM 7.60 Knowing that P Q 150 lb, determine (a) the distance
a for which the maximum absolute value of the bending moment in beam
AB is as small as possible, (b) the corresponding value of max
| | .
M (See
hint for Problem 7.55.)
SOLUTION
Free body: Entire beam
0: (300)(30) (150)(60) 0
A
M Da
    
18,000
D
a
 
Free body: CB
18,000
0: (150)(30) ( 30) 0
C C
M M a
a
      
40
13,500 1
C
M
a
 
 
 
 

Free body: DB
0: (150)(60 ) 0
D D
M M a
     
150(60 )
D
M a
   
(a) We set
max min
40
| | or : 13,500 1 150(60 )
C D
M M M M a
a
 
     
 
 
3600
90 60 a
a
  
2
30 3600 0
a a
  
30 15.300
46.847
2
a
 
 
46.8 in.
a  
(b) max
| | 150(60 46.847)
D
M M
   
max
| | 1973 lb in.
M   
www.elsolucionario.org
Copyright © McGraw-Hill Education. Permission required for reproduction or display.
PROBLEM 7.62*
In order to reduce the bending moment in the cantilever beam
AB, a cable and counterweight are permanently attached at end
B. Determine the magnitude of the counterweight for which the
maximum absolute value of the bending moment in the beam
is as small as possible and the corresponding value of max
| | .
M
Consider (a) the case when the distributed load is permanently
applied to the beam, (b) the more general case when the
distributed load may either be applied or removed.
SOLUTION
M due to distributed load:
2
0: 0
2
1
2
J
x
M M wx
M wx
    
 
M due to counter weight:
0: 0
J
M M xw
M wx
    

(a) Both applied:
2
2
0 at
x
w
M W x
dM W
W wx x
dx w
 
   
And here
2
0
2
W
M
w
  so Mmax; Mmin must be at x L

So 2
min
1
.
2
M WL wL
  For minimum max
| |
M set max min ,
M M
 
so
2
2
1
or
2 2
W
WL wL
w
   2 2 2
2 0
W wLW w L
  
2 2
2 (need )
W wL w L
    ( 2 1) 0.414
W wL wL
   
www.elsolucionario.org
Copyright © McGraw-Hill Education. Permission required for reproduction or display.
PROBLEM 7.62* (Continued)
(b) w may be removed
2 2
2
max
( 2 1)
2 2
W
M wL
w

  2
max 0.0858
M wL
 
Without w,
max at
M Wx
M WL A


With w (see Part a) 2
2
max
2
min
2
at
2
1
at
2
w
M Wx x
W W
M x
w w
M WL wL x L
 
 
  
For minimum max max min
, set (no ) (with )
M M w M w
 
2
1 1
2 4
WL WL wL W wL
      2
max
1
4
M wL
 
With
1
4
W wL
 
www.elsolucionario.org
Copyright © McGraw-Hill Education. Permission required for reproduction or display.
PROBLEM 7.63
Using the method of Section 7.6, solve Problem 7.29.
PROBLEM 7.29 For the beam and loading shown, (a) draw the shear
and bending-moment diagrams, (b) determine the maximum absolute
values of the shear and bending moment.
SOLUTION
Reactions at A and D
Because of the symmetry of the supports and loading.
1 1
2 2 4
L
A D w wL
 
  
 
 
1
4
wL
 
A D 
Shear diagram
At A:
1
4
A
V wL
 
From B to C:
Oblique straight line max
1
| |
4
V wL
 
Bending-moment diagram
At A: 0
A
M 
From B to C: ARC of parabola 2
max
3
| |
32
M wL
 
Since V has no discontinuity at BnorC, the slope of the parabola at
these points is the same as the slope of the adjoining straight line
segment.
www.elsolucionario.org
Copyright © McGraw-Hill Education. Permission required for reproduction or display.
PROBLEM 7.64
Using the method of Section 7.6, solve Problem 7.30.
PROBLEM 7.30 For the beam and loading shown, (a) draw the shear
and bending-moment diagrams, (b) determine the maximum absolute
values of the shear and bending moment.
SOLUTION
Free body: Entire beam
0
1
0: ( )( ) 0
2
y
F B w L
   
0
1
2
w L

B
Shear diagram
0
1
0: ( )( ) 0
2 3
B B
L
M w L M
 
   
 
 
2
0
1
6
B w L

M
Moment diagram
(b) max 0
| | /2
V w L
 
2
max 0
| | /6
M w L
 
www.elsolucionario.org
Copyright © McGraw-Hill Education. Permission required for reproduction or display.
PROBLEM 7.65
Using the method of Section 7.6, solve Problem 7.31.
PROBLEM 7.31 For the beam and loading shown, (a) draw the shear
and bending-moment diagrams, (b) determine the maximum absolute
values of the shear and bending moment.
SOLUTION
Free body: Entire beam
2
0: ( ) 0
3
C
L
M P A L
 
   
 
 
2
3
P

A
2
0: 0
3
Y
F P P C
    
1
3
P

C
Shear diagram
At A:
2
3
A
V P

max
2
| |
3
V P
 
Bending-moment diagram
At A: 0
A
M 
max
2
| |
9
M PL
 
www.elsolucionario.org
Copyright © McGraw-Hill Education. Permission required for reproduction or display.
PROBLEM 7.66
Using the method of Section 7.6, solve Problem 7.32.
PROBLEM 7.32 For the beam and loading shown, (a) draw the shear
and bending-moment diagrams, (b) determine the maximum absolute
values of the shear and bending moment.
SOLUTION
Free body: Entire beam
0: 0
y
F C P P
    
2P

C
0: (2 ) ( ) 0
C C
M P a P a M
    
3
C Pa

M
Shear diagram
At A: A
V P
 
max
| | 2
V P
 
Bending-moment diagram
At A: 0
A
M 
max
| | 3
M Pa
 
www.elsolucionario.org
Copyright © McGraw-Hill Education. Permission required for reproduction or display.
PROBLEM 7.67
Using the method of Section 7.6, solve Problem 7.33.
PROBLEM 7.33 For the beam and loading shown, (a) draw the shear and
bending-moment diagrams, (b) determine the maximum absolute values
of the shear and bending moment.
SOLUTION
Free body: Entire beam
0:
y
F A C
  
0
0: 0
C
M Al M
   
0
M
A C
L
 
Shear diagram
At A: 0
A
M
V
L
 
0
max
| |
M
V
L
 
Bending-moment diagram
At A: 0
A
M 
At B, M increases by M0 on account of applied couple.
max 0
| | /2
M M
 
www.elsolucionario.org
Copyright © McGraw-Hill Education. Permission required for reproduction or display.
PROBLEM 7.68
Using the method of Section 7.6, solve Problem 7.34.
PROBLEM 7.34 For the beam and loading shown, (a) draw the shear
and bending-moment diagrams, (b) determine the maximum absolute
values of the shear and bending moment.
SOLUTION
Free body: Entire beam
0: 0
y
F B P
   
P

B
0
0: 0
B B
M M M PL
    
0
B 
M
Shear diagram
At A: A
V P
 
max
| |
V P
 
Bending-moment diagram
At A: 0
A
M M PL
 
max
| |
M PL
 
www.elsolucionario.org
Copyright © McGraw-Hill Education. Permission required for reproduction or display.
PROBLEM 7.69
For the beam and loading shown, (a) draw the shear and
bending-moment diagrams, (b) determine the maximum
absolute values of the shear and bending moment.
SOLUTION
Reactions: 0 0
x x
F A
  
     
0: 24 kN m (8 kN)(3 m) 10 kN 6 m 8 kN 9 m (12 m) 0
A
M E
       
11kN
E 
0
y
F
 
15 kN
A 
(b) max
| | 15.00 kN;
V  max
| | 42.0 kN m
M   
www.elsolucionario.org
Copyright © McGraw-Hill Education. Permission required for reproduction or display.
PROBLEM 7.70
For the beam and loading shown, (a) draw the shear and
bending-moment diagrams, (b) determine the maximum
absolute values of the shear and bending moment.
SOLUTION
Reactions 0 0
x x
F A
  
0: 12 kN m (9 kN)(3.5 m) (18 kN)(2 m) 3 kN m (4.5 m) 0
D y
M A
         
17.00 kN
y
A 
0 17 kN 9 kN 18 kN 0
y
F D
     
10.00kN
D 
(b) max
| | 17.00 kN;
V  max
| | 17.00 kN m
M   
www.elsolucionario.org
Copyright © McGraw-Hill Education. Permission required for reproduction or display.
PROBLEM 7.71
Using the method of Section 7.6, solve Problem 7.39.
PROBLEM 7.39 For the beam and loading shown, (a) draw the shear
and bending-moment diagrams, (b) determine the maximum absolute
values of the shear and bending moment.
SOLUTION
Free body: Beam
0: 0
x x
F A
  
0: (60 kN)(3 m) (50 kN)(1m) (5 m) 0
B y
M A
    
46.0 kN
y
A  
0: 46.0 kN 60 kN 50 kN 0
y
F B
     
64.0 kN
B  
Shear diagram
At A: 46.0 kN
A y
V A
  
max
| | 64.0 kN

V 
Bending-moment diagram
At A: 0
A
M 
max
| | 92.0 kN m
M   
Parabola from D to B. Its slope at D is same as that of straight-line
segment CD since V has no discontinuity at D.
www.elsolucionario.org
Copyright © McGraw-Hill Education. Permission required for reproduction or display.
PROBLEM 7.72
Using the method of Section 7.6, solve Problem 7.40.
PROBLEM 7.40 For the beam and loading shown, (a) draw the shear
and bending-moment diagrams, (b) determine the maximum absolute
values of the shear and bending moment.
SOLUTION
Free body: Beam
0: 0
x x
F A
  
0: (50 kN)(2 m) (40 kN)(1m) (4 m) 0
D y
M A
    
15.00 kN
y
A  
0: 15 kN 40 kN 50 kN 0
y
F D
     
75.0 kN
D  
Shear diagram
At A: 15.00 kN
A y
V A
  
max
| | 40.0 kN
V  
Bending-moment diagram
At A: 0
A
M 
max
| | 40.0 kN m
M   
Parabola from D to B.
www.elsolucionario.org
Copyright © McGraw-Hill Education. Permission required for reproduction or display.
PROBLEM 7.73
Using the method of Section 7.6, solve Problem 7.41.
PROBLEM 7.41 For the beam and loading shown, (a) draw the shear
and bending-moment diagrams, (b) determine the maximum absolute
values of the shear and bending moment.
SOLUTION
Reactions at supports.
Because of the symmetry:
1
(8 8 4 5)kips
2
    
A B
18 kips
 
A B 
Shear diagram
At A: 18 kips
A
V  
max
| | 18.00 kips

V 
Bending-moment diagram
At A: 0
A
M 
max
| | 48.5 kip ft
M   
Discontinuities in slope at C and D, due to the discontinuities of V.
www.elsolucionario.org
Copyright © McGraw-Hill Education. Permission required for reproduction or display.
PROBLEM 7.74
Using the method of Section 7.6, solve Problem 7.42.
PROBLEM 7.42 For the beam and loading shown, (a) draw the shear
and bending-moment diagrams, (b) determine the maximum absolute
values of the shear and bending moment.
SOLUTION
Free body: Beam
0: 0
x x
F A
  
0: (12 kips)(4ft) (15 kips)(7 ft) (10 ft) 0
B y
M A
    
15.3 kips
y
A   
0: 15.3 15 12 0
y
F B
     
11.7 kips
B   
Shear diagram
At A: 15.3 kips
A y
V A
 
max
| | 15.30 kips

V 
Bending-moment diagram
At A: 0
A
M 
max
| | 46.8 kip ft
M   
www.elsolucionario.org
Copyright © McGraw-Hill Education. Permission required for reproduction or display.
PROBLEM 7.75
For the beam and loading shown, (a) draw the shear and bending-
moment diagrams, (b) determine the maximum absolute values of
the shear and bending moment.
SOLUTION
Reactions
0: (16)(9) (45)(4) (8)(3) (12) 0
D
M A
     
25 kips
A   25 kips

A
0: 25 16 45 8 0
y y
F D
      
44,
y
D   44 kips
y
D 
0: 0
x x
F D
  
(b) max
| | 36.0 kips;
V  max
| | 120.0 kip ft
M   
www.elsolucionario.org
Copyright © McGraw-Hill Education. Permission required for reproduction or display.
PROBLEM 7.76
For the beam and loading shown, (a) draw the shear and
bending-moment diagrams, (b) determine the maximum
absolute values of the shear and bending moment.
SOLUTION
Reactions
From symmetry, C G

0: 2(16 lb/in.)(10 in.) 100 lb 150 lb 100 lb 2 0
y
F C
       
335 lb
C G
   335 lb
 
C G
(b) max
| | 175.0 lbs;
V  max
| | 800 lb in.
M   
www.elsolucionario.org
Copyright © McGraw-Hill Education. Permission required for reproduction or display.
PROBLEM 7.77
For the beam and loading shown, (a) draw the shear and bending-
moment diagrams, (b) determine the magnitude and location of the
maximum absolute value of the bending moment.
SOLUTION
Reactions
0: 45 kN m (90 kN)(3 m) (7.5 m) 0
A
M C
      
30 kN
C   30 kN

C
0: 90 kN 30 kN 0
y
F A
    
60 kN

A
(b) 75.0 kN m,
 4.00 m from A 
www.elsolucionario.org
Copyright © McGraw-Hill Education. Permission required for reproduction or display.
PROBLEM 7.78
For the beam and loading shown, (a) draw the shear and bending-
moment diagrams, (b) determine the magnitude and location of the
maximum absolute value of the bending moment.
SOLUTION
0: (8.75)(1.75) (2.5) 0
A
M B
   
6.125 kN

B
0:
y
F
 
2.625 kN

A
Similar D’s

Add numerators
and denominators
1.05 m
2.5 2.5
2.625 3.625 6.25
x
x x


 



(b) 1.378 kN m,
 1.050 m from A
www.elsolucionario.org
Copyright © McGraw-Hill Education. Permission required for reproduction or display.
PROBLEM 7.79
For the beam and loading shown, (a) draw the shear and bending-moment
diagrams, (b) determine the magnitude and location of the maximum
bending moment.
SOLUTION
Free body: Beam
0: 0
x x
F A
  
0: (40 kN)(1.5 m) (3.75 m) 0
B y
M A
   
16.00 kN
y
A   
Shear diagram
16.00 kN
A C y
V V A
   
To determine Point E where 0,
V  we write
0 16 kN (20 kN/m)
E C
V V wu
u
  
   0.800 m
u  
We next compute all areas
Bending-moment diagram
At A: 0
A
M 
Largest value occurs at E with
1.25 0.8 2.05 m
AE    max
| | 26.4 kN m
M   
2.05 m from A
From A to C and D to B: Straight line segments. From C to D: Parabola
www.elsolucionario.org
Copyright © McGraw-Hill Education. Permission required for reproduction or display.
PROBLEM 7.80
For the beam and loading shown, (a) draw the shear and bending-
moment diagrams, (b) determine the magnitude and location of the
maximum bending moment.
SOLUTION
0: (8)(2) (4)(3.2) 4 0
A
M C
    
7.2 kN

C
0: 4.8 kN
y
F
  
A
(a) Shear diagram
Similar Triangles:
3.2 3.2
; 2.4 m
4.8 1.6 6.4

  
x x
x
Add num. & den.

Bending-moment diagram
(b)
 max
| | 5.76 kN m
M   
2.40from A
www.elsolucionario.org
Copyright © McGraw-Hill Education. Permission required for reproduction or display.
PROBLEM 7.81
For the beam and loading shown, (a) draw the shear and bending-
moment diagrams, (b) determine the magnitude and location of the
maximum absolute value of the bending moment.
SOLUTION
Reactions
0: 0
x x
F A
  
0: (800 lb/ft)(9 ft)(4.5 ft) (600 lb)(9 ft) (15 ft) 0
A
M C
     
1800 lb
C   1.800 kips

C
0: (800 lb/ft)(9 ft) 600 lb+1800 lb 0
y
F A
     
4800 lb
A   4.80 kips

A
Maximum moment occurs at zero shear,
 
4800 lb= 800 lb/ft 6.00 ft
x x 
(b) max
| | 14.40 kip ft, 6.00 ft from
M A
  
www.elsolucionario.org
Copyright © McGraw-Hill Education. Permission required for reproduction or display.
PROBLEM 7.82
For the beam and loading shown, (a) draw the shear and bending-
moment diagrams, (b) determine the magnitude and location of the
maximum absolute value of the bending moment.
SOLUTION
Reactions
0: 0
x x
F B
  
0: (400 lb/ft)(20 ft)(10 ft) (3200 lb)(22.5 ft) (20 ft) 0
C
M B
    
7600 lb
B   7.60 kips

B
0: (400 lb/ft)(20 ft) 3200 lb 7600 lb 0
y
F C
      
3600 lb
C   3.60 kips

C
Maximum moment occurs at zero shear,
4400 lb
+2.5 ft 13.50 ft
400 lb/ft
x x
 
(b) max
| | 16.20 kip ft, 13.50 ft from
M A
  
www.elsolucionario.org
Copyright © McGraw-Hill Education. Permission required for reproduction or display.
PROBLEM 7.83
(a) Draw the shear and bending-moment diagrams for beam AB,
(b) determine the magnitude and location of the maximum absolute value
of the bending moment.
SOLUTION
Reactions at supports
Because of symmetry of load
1
(300 8 300)
2
A B
   
1350 lb
 
A B 
Load diagram for AB
The 300-lb force at D is replaced by an equivalent force-couple system at
C.
Shear diagram
At A: 1350 lb
A
V A
 
To determine Point E where 0:
V 
0 1350 lb (300 lb/ft)
E A
V V wx
x
  
  
4.50 ft
x  
We compute all areas
Bending-moment diagram
At A: 0
A
M 
Note 600 lb ft
  drop at C due to couple
max
| | 3040 lb ft
M   
  4.50 ft from A 
www.elsolucionario.org
Copyright © McGraw-Hill Education. Permission required for reproduction or display.
PROBLEM 7.84
Solve Problem 7.83 assuming that the 300-lb force applied at D is
directed upward.
PROBLEM 7.83 (a) Draw the shear and bending-moment diagrams for
beam AB, (b) determine the magnitude and location of the maximum
absolute value of the bending moment.
SOLUTION
Reactions at supports
Because of symmetry of load:
1
(300 8 300)
2
A B
   
1050 lb
 
A B 
Load diagram
The 300-lb force at D is replaced by an equivalent force-couple
system at C.
Shear diagram
At A: 1050 lb
A
V A
 
To determine Point E where 0:
V 
0 1050 lb (300 lb/ft)
E A
V V wx
x
  
  
3.50 ft
x  
We compute all areas
Bending-moment diagram
At A: 0
A
M 
Note 600 lb ft
  increase at C due to couple
max
| | 1838 lb ft
M   
  3.50 ft from A
www.elsolucionario.org
Copyright © McGraw-Hill Education. Permission required for reproduction or display.
PROBLEM 7.85
For the beam and loading shown, (a) write the equations of the shear
and bending-moment curves, (b) determine the magnitude and location
of the maximum bending moment.
SOLUTION
0
0 1
cos
2
2
sin
2
dv x
w w
dx L
L x
V wdx w C
L



  
 
    
 
 
 (1)
0 1
2
0 1 2
2
sin
2
2
cos
2
dM L x
V w C
dx L
L x
M Vdx w C x C
L




 
   
 
 
 
    
 
 
 (2)
Boundary conditions
At 0:
x  1 1
0 0
V C C
  
At 0:
x 
2
0 2
2
2 0
2
cos(0) 0
2
L
M w C
L
C w


 
   
 
 
 
   
 
Eq. (1) 0
2
sin
2
L x
V w
L


 
   
 

2
0
2
1 cos
2
L x
M w
L


   
  
   
   

max
M at :
x L

2
2
max 0 0
2
2 4
| | | 1 0|
L
M w w L
 
 
   
 
 

www.elsolucionario.org
Copyright © McGraw-Hill Education. Permission required for reproduction or display.
PROBLEM 7.86
For the beam and loading shown, (a) write the equations of the
shear and bending-moment curves, (b) determine the magnitude
and location of the maximum bending moment.
Solution
Eq. (7.1): 0
dV x
w w
dx L
   
2
0 0 1
1
2
x x
V w dx w C
L L
    
 (1)
Eq. (7.3):
2
0 1
1
2
dM x
V w C
dx L
   
2 3
0 1 0 1 2
1 1
2 6
x x
M w C dx w C x C
L L
 
       
 
 
 
 (2)
(a) Boundary conditions
2
At 0: 0 0 0
x M C
     2 0
C 
2
0 1
1
: 0
6
x L M w L C L
     1 0
1
6
C w L

Substituting C1 and C2 into (1) and (2):
2
0 0
1 1
2 6
x
V w w L
L
  
2
0 2
1 1
2 3
x
V w L
L
 
 
 
 
 

3
0 0
1 1
6 6
x
M w w Lx
L
  
3
2
0 3
1
6
x x
M w L
L L
 
 
 
 
 

(b) Max moment occurs when V 0:
2
2
1 3 0
x
L
 
1
3
x
L
 0.577
x L
 

www.elsolucionario.org
Copyright © McGraw-Hill Education. Permission required for reproduction or display.
PROBLEM 7.86 (Continued)
3
2
max 0
1 1 1
6 3 3
M w L
 
 
 
   
 
 
 
2
max 0
0.0642
M w L
 
Note: At x 0, 0
1 1
2 3
A
A V w L
 
   
 
0
1
6
w L

A 
www.elsolucionario.org
Copyright © McGraw-Hill Education. Permission required for reproduction or display.
PROBLEM 7.87
For the beam and loading shown, (a) write the equations of the shear
and bending-moment curves, (b) determine the magnitude and
location of the maximum bending moment.
SOLUTION
(a) We check that beam is in equilibrium  
0 0
1 1 1 2
0
2 3 2 2 3
L
w L w L L
    
  
    
    
(ok)
Load: 0
0 0
3
( ) 1 1
2 2
w
x x x
w x w w
L L L
     
    
     
     
Shear: We use Eq. (7.1)
0
2
0 0 1
3
1
2
3 3
(1 )
2 4
dV x
w w
dx L
x x
V w dx w x C
L L
 
    
 
 
 
 
      
 
 
 

Boundary Condition: at x=L, V=0 therefore 0 1 1 0
3 1
0
4 4
w L L C C w L
 
    
 
 
Bending moment: Using Eq. (7.3)
2
0 0 0
3
2
0 0 0 2
3 1
4 4
1 1 1
( )
2 4 4
dM x
V M Vdx w x w w L dx
dx L
x
M x w x w w Lx C
L
 
     
 
 
 
    
 
Boundary Condition: at x=0, 2 2
0 therefore 0
M C C
  
 
2
0
1
3 4 1
4
x x
V x w L
L L
 
   
  
 
   
   
 
 

 
3 2
2
0
1
2
4
x x x
M x w L
L L L
 
     
  
 
     
     
 
 

www.elsolucionario.org
Copyright © McGraw-Hill Education. Permission required for reproduction or display.
PROBLEM 7.87 (Continued)
(b) Maximum bending moment
0
dM
V
dx
 
2
0 3 4 1
0 3 1 1 ; and
3
x x
L L
x x L
x x L
L L
 
   
  
 
   
   
 
 
  
    
  
  
2
max 0
1 1 2 1
4 27 9 3
M w L
 
  
 
 
2
max 0
1
, at
27 3
L
M w L x
  
www.elsolucionario.org
Copyright © McGraw-Hill Education. Permission required for reproduction or display.
PROBLEM 7.88
For the beam and loading shown, (a) write the equations of the shear
and bending-moment curves, (b) determine the magnitude and
location of the maximum bending moment.
SOLUTION
Eq. (7.1): 0 sin
dV x
w w
dx L

   
0 0 1
sin
cos
x L x
V w dx w C
L L
 

   
 (1)
Eq. (7.3): 0 1
cos
dM L x
V w C
dx L


  
2
0 1 0 1 2
2
cos sin
L x L x
M w C dx w C x C
L L
 
 
 
    
 
 
 (2)
(a) Boundary conditions
At 0: 0
x M
  therefore, 2 0
C 
: 0
x L M
  therefore, 1 0
C 
  0 cos
L x
V x w
L


 
  
 

2
0 2
sin
L x
M w
L


 
  
 

(b) Max moment occurs when V 0 at
2
L
x 
2
max 0 2
L
M w

 
www.elsolucionario.org
Copyright © McGraw-Hill Education. Permission required for reproduction or display.
PROBLEM 7.89
The beam AB is subjected to the uniformly distributed load shown and to
two unknown forces P and Q. Knowing that it has been experimentally
determined that the bending moment is 800 N m
  at D and 1300 N m
 
at E, (a) determine P and Q, (b) draw the shear and bending-moment
diagrams for the beam.
SOLUTION
(a) Free body: Portion AD
0: 0
x x
F C
  
0: (0.3 m) 0.800 kN m (6 kN)(0.45 m) 0
D y
M C
      
11.667 kN
y
C   11.667 kN

C 
Free body: Portion EB
0: (0.3 m) 1.300 kN m 0
E
M B
    
4.333 kN

B 
Free body: Entire beam
0: (6 kN)(0.45 m) (11.667 kN)(0.3 m)
(0.3 m) (4.333 kN)(0.6 m) 0
D
M
Q
  
  
6.00 kN

Q 
0: 11.667 kN 4.333 kN
y
M
  
6 kN 6 kN 0
P
   
4.00 kN

P 
Load diagram
(b) Shear diagram
At A: 0
A
V 
max
| | 6 kN
V  
www.elsolucionario.org
Copyright © McGraw-Hill Education. Permission required for reproduction or display.
PROBLEM 7.89 (Continued)
Bending-moment diagram
At A: 0
A
M 
max
| | 1300 N m
M   
We check that
800 N m and 1300 N m
D E
M M
     
As given:
At C: 900 N m
C
M    
www.elsolucionario.org
Copyright © McGraw-Hill Education. Permission required for reproduction or display.
PROBLEM 7.90
Solve Problem 7.89 assuming that the bending moment was found to
be 650 N m
  at D and 1450 N m
  at E.
PROBLEM 7.89 The beam AB is subjected to the uniformly distributed
load shown and to two unknown forces P and Q. Knowing that it has
been experimentally determined that the bending moment is 800 N m
 
at D and 1300 N m
  at E, (a) determine P and Q, (b) draw the shear
and bending-moment diagrams for the beam.
SOLUTION











(a) Free body: Portion AD
0: 0
x x
F C
  
0: (0.3 m) 0.650 kN m (6 kN)(0.45 m) 0
D
M C
      
11.167 kN
 
y
C 11.167 kN

C 
Free body: Portion EB
0: (0.3 m) 1.450 kN m 0
E
M B
    
4.833 kN

B 
Free body: Entire beam
0: (6 kN)(0.45 m) (11.167 kN)(0.3 m)
(0.3 m) (4.833 kN)(0.6 m) 0
D
M
Q
  
  
7.50 kN

Q 
0: 11.167 kN 4.833 kN
6 kN 7.50 kN 0
y
M
P
  
   
2.50 kN

P 
Load diagram
(b) Shear diagram
At A: 0
A
V 
max
| | 6 kN
V  
www.elsolucionario.org
Copyright © McGraw-Hill Education. Permission required for reproduction or display.


PROBLEM 7.90 (Continued)
Bending-moment diagram
At A: 0
A
M 
max
| | 1450 N m
M   
We check that
650 N m and 1450 N m
D E
M M
     
As given:
At C: 900 N m
C
M    
www.elsolucionario.org
Copyright © McGraw-Hill Education. Permission required for reproduction or display.
PROBLEM 7.91*
The beam AB is subjected to the uniformly distributed load shown and to
two unknown forces P and Q. Knowing that it has been experimentally
determined that the bending moment is 6.10 kip ft
  at D and
5.50 kip ft
  at E, (a) determine P and Q, (b) draw the shear and
bending-moment diagrams for the beam.
SOLUTION
(a) Free body: Portion DE
0: 5.50 kip ft 6.10 kip ft (1kip)(2 ft) (4 ft) 0
E D
M V
       
0.350 kip
D
V  
0: 0.350 kip 1kip 0
y E
F V
    
0.650 kip
E
V  
Free body: Portion AD
0: 6.10 kip ft (2ft) (1 kip)(2 ft) (0.350 kip)(4 ft) 0
A
M P
      
1.350 kips

P 
0: 0
x x
F A
  
0: 1 kip 1.350 kip 0.350 kip 0
y y
F A
     
2.70 kips
y
A   2.70 kips

A 
Free body: Portion EB
0: (0.650 kip)(4 ft) (1 kip)(2 ft) (2 ft) 5.50 kip ft 0
B
M Q
      
0.450 kip

Q 
0: 0.450 1 0.650 0
y
F B
     
2.10 kips

B 
www.elsolucionario.org
Copyright © McGraw-Hill Education. Permission required for reproduction or display.
PROBLEM 7.91* (Continued)
(b) Load diagram
Shear diagram
At A: 2.70 kips
A
V A
  
To determine Point G where 0,
V  we write
0 0.85 kips (0.25 kip/ft)
G C
V V w

  
  
3.40 ft
  
We next compute all areas max
| | 2.70 kips at
V A
 
Bending-moment diagram
At A: 0
A
M 
Largest value occurs at G with
2 3.40 5.40 ft
AG   
max
| | 6.345 kip ft
M   
5.40 ft from A
Bending-moment diagram consists of 3 distinct arcs of parabolas.
www.elsolucionario.org
Copyright © McGraw-Hill Education. Permission required for reproduction or display.
PROBLEM 7.92*
Solve Problem 7.91 assuming that the bending moment was found to
be 5.96 kip ft
  at D and 6.84 kip ft
  at E.
PROBLEM 7.91* The beam AB is subjected to the uniformly
distributed load shown and to two unknown forces P and Q. Knowing
that it has been experimentally determined that the bending moment is
6.10 kip ft
  at D and 5.50 kip ft
  at E, (a) determine Pand Q, (b) draw
the shear and bending-moment diagrams for the beam.
SOLUTION
(a) Free body: Portion DE
0: 6.84 kip ft 5.96 kip ft (1 kip)(2 ft) (4 ft) 0
E D
M V
       
0.720 kip
D
V  
0: 0.720 kip 1kip 0
y E
F V
    
0.280 kip
E
V  
Free body: Portion AD
0: 5.96 kip ft (2 ft) (1 kip)(2 ft) (0.720 kip)(4 ft) 0
A
M P
      
0.540 kip

P 
0: 0
x x
F A
  
0: 1 kip 0.540 kip 0.720 kip 0
y y
F A
     
2.26 kips
y
A   2.26 kips

A 
Free body: Portion EB
0: (0.280 kip)(4 ft) (1 kip)(2 ft) (2 ft) 6.84 kip ft 0
B
M Q
      
1.860 kips

Q 
0: 1.860 1 0.280 0
y
F B
     
3.14 kips

B 
www.elsolucionario.org
Copyright © McGraw-Hill Education. Permission required for reproduction or display.
PROBLEM 7.92* (Continued)
(b) Load diagram
Shear diagram
At A: 2.26 kips
A
V A
  
To determine Point G where 0,
V  we write
G C
V V w
  
0 (1.22 kips) (0.25 kip/ft)
  
4.88 ft
  
We next compute all areas max
| | 3.14 kips at
V B
 
Bending-moment diagram
At A: 0
A
M 
Largest value occurs at G with
2 4.88 6.88 ft
AG   
max
| | 6.997 kip ft
M   
6.88 ft from A
Bending-moment diagram consists of 3 distinct arcs of parabolas.
www.elsolucionario.org
Copyright © McGraw-Hill Education. Permission required for reproduction or display.
PROBLEM 7.93
Three loads are suspended as shown from the cable
ABCDE. Knowing that dC 4 m, determine (a) the
components of the reaction at E, (b) the maximum tension
in the cable.
SOLUTION
(a)
0: (20 m) (2 kN)(5 m) (4 kN)(10 m) (6 kN)(15 m) 0
A y
M E
     
7 kN
y
E   7.00 kN
y 
E 
Portion CDE:
0: (7 kN)(10 m) (6 kN)(5 m) (4 m) 0
C x
M E
    
10 kN
x
E  10.00 kN
x 
E 
(b) Maximum tension occurs in DE:
2 2 2 2
10 7
m x y
T E E
    12.21 kN
m
T  
www.elsolucionario.org
Copyright © McGraw-Hill Education. Permission required for reproduction or display.
PROBLEM 7.94
Knowing that the maximum tension in cable ABCDE is
25 kN, determine the distance dC.
SOLUTION
Maximum T of 25 kN occurs in DE. See solution of Problem 7.93 for the determination of 7.00 kN
y 
E
From force triangle 2 2 2
7 25
x
E  
Portion CDE: 24 kN
x
E 
0: (6 kN)(5 m) (24 kN) (7 kN)(10 m) 0
C C
M h
    
1.667 m
C
h  
www.elsolucionario.org
Copyright © McGraw-Hill Education. Permission required for reproduction or display.
PROBLEM 7.95
If 8 ft,
C
d  determine (a) the reaction at A, (b) the reaction at E.
SOLUTION
Free body: Portion ABC
0
 
C
M
2 16 300(8) 0
x y
A A
  
8 1200
x y
A A
  (1)
Free body: Entire cable
0: 6 32 (300 lb 200 lb 300 lb)16 ft 0
E x y
M A A
       
3 16 6400 0
x y
A A
  
Substitute from Eq. (1):
3(8 1200) 16 6400 0
y y
A A
    250 lb
y 
A
Eq. (1) 8(250) 1200
x
A   800 lb
x 
A
0: 0 800 lb 0
x x x x
F A E E
        800 lb
x 
E
0: 250 300 200 300 0
y y
F E
       550 lb
y 
E
(a) 838 lb

A 17.35
(b) 971 lb

E 34.5 
www.elsolucionario.org
Copyright © McGraw-Hill Education. Permission required for reproduction or display.
PROBLEM 7.96
If 4.5 ft,
C
d  determine (a) the reaction at A, (b) the reaction at E.
SOLUTION
Free body: Portion ABC
0: 1.5 16 300 8 0
C x y
M A A
      
(2400 16 )
1.5
y
x
A
A

 (1)
Free body: Entire cable 0: 6 32 (300 lb 200 lb 300 lb)16 ft 0
E x y
M A A
       
3 16 6400 0
x y
A A
  
Substitute from Eq. (1):
3(2400 16 )
16 6400 0
1.5
100 lb

  
 
y
y
y
A
A
A
Thus y
A acts downward 100 lb
y 
A
Eq. (1)
(2400 16( 100))
2667 lb
1.5
x
A
 
  2667 lb
x 
A
0: 0 2667 0
x x x x
F A E E
        2667 lb
x 
E
0: 300 200 300 0
y y y
F A E
      
100 lb 800 lb 0
y
E
    900 lb
y 
E
(a) 2670 lb

A 2.10 
(b) 2810 lb

E 18.65
www.elsolucionario.org
Copyright © McGraw-Hill Education. Permission required for reproduction or display.
PROBLEM 7.97
Knowing that 3 m,
C
d  determine (a) the distances B
d and D
d (b) the
reaction at E.
SOLUTION
Free body: Portion ABC
0: 3 4 (5 kN)(2 m) 0
C x y
M A A
    
4 10
3 3
x y
A A
  (1)
Free body: Entire cable
0: 4 10 (5 kN)(8 m) (5 kN)(6 m) (10 kN)(3 m) 0
      
E x y
M A A
4 10 100 0
  
x y
A A
Substitute from Eq. (1):
4 10
4 10 100 0
3 3
18.571 kN
y y
y
A A
A
 
   
 
 
  18.571 kN
y 
A
Eq. (1)
4 10
(18.511) 21.429 kN
3 3
x
A     21.429 kN
x 
A
0: 0 21.429 0
x x x x
F A E E
        21.429 kN
x 
E
0: 18.571 kN 5 kN 5 kN 10 kN 0
y y
F E
       1.429 kN
y 
E
(b) 21.5 kN

E 3.81 
www.elsolucionario.org
Copyright © McGraw-Hill Education. Permission required for reproduction or display.
PROBLEM 7.97 (Continued)
(a) Portion AB
0: (18.571 kN)(2 m) (21.429 kN) 0
B B
M d
   
1.733 m
B
d  
Portion DE
Geometry
(3 m)tan 3.8°
0.199 m
4 m 0.199 m
D
h
d


 
 4.20 m
D
d  
www.elsolucionario.org
Copyright © McGraw-Hill Education. Permission required for reproduction or display.
PROBLEM 7.98
Determine (a) distance dC for which portion DE of the cable is
horizontal, (b) the corresponding reactions at A and E.
SOLUTION
Free body: Entire cable
(b) 0: 5 kN 5 kN 10 kN 0
y y
F A
      20 kN
y 
A
0: (4 m) (5 kN)(2 m) (5 kN)(4 m) (10 kN)(7 m) 0
A
M E
     
25 kN
E   25.0 kN

E 
0: 25 kN 0
x x
F A
     25 kN
x 
A
32.0 kN

A 38.7 
(a) Free body: Portion ABC
0: (25 kN) (20 kN)(4 m) (5 kN)(2 m) 0
C C
M d
    
25 70 0
C
d   2.80 m
C
d  
www.elsolucionario.org
Copyright © McGraw-Hill Education. Permission required for reproduction or display.
PROBLEM 7.99
If dC 15 ft, determine (a) the distances dB and dD,
(b) the maximum tension in the cable.
SOLUTION
Free body: Entire cable
0: (30 ft) (7.5 ft) (2 kips)(6 ft) (2 kips)(15 ft) (2 kips)(21ft) 0
A y x
M E E
      
7.5 30 84 0
x y
E E
   (1)
Free body: Portion CDE
0: (15 ft) (15 ft) (2 kips)(6 ft) 0
C y x
M E E
    
15 15 12 0
x y
E E
   (2)
1
Eq. (1) : 3.75 15 42 0
2
x y
E E
    (3)
(2) – (3): 11.25 30 0
x
E  
2.6667 kips
x
E 
Eq. (1): 7.5(2.6667) 30 84 0 3.4667 kips
y y
E E
   
2 2 2 2
(2.6667) (3.4667)
m x y
T E E
    4.37 kips
m
T  
www.elsolucionario.org
Copyright © McGraw-Hill Education. Permission required for reproduction or display.
PROBLEM 7.99 (Continued)
Free body: Portion DE
0: (3.4667 kips)(9 ft) (2.6667 kips) 0
D D
M d
    11.70 ft
D
d  
Return to free body of entire cable (with 2.6667 kips, 3.4667 kips)
x y
E E
 
0: 3(2 kips) 3.4667 kips 0
y y
F A
     2.5333 kips
y
A 
0: 2.6667 kips 0
x x
F A
    2.6667 kips
x
A 
Free body: Portion AB
0: ( 7.5) (6) 0
B x B y
M A d A
    
(2.6667)( 7.5) (2.5333)(6) 0
B
d    13.20 ft
B
d  
www.elsolucionario.org
Copyright © McGraw-Hill Education. Permission required for reproduction or display.
PROBLEM 7.100
Determine (a) the distance dC for which portion BC of
the cable is horizontal, (b) the corresponding
components of the reaction at E.
SOLUTION
Free body: Portion CDE
0: 2(2 kips) 0 4 kips
y y y
F E E
    
0: (4 kips)(15 ft) (2 kips)(6 ft) 0
C x C
M E d
    
48 kip ft
x C
E d   (1)
Free body: Entire cable
0: (4 kips)(30 ft) (7.5 ft) (2 kips)(6 ft) (2 kips)(15 ft) (2 kips)(21ft) 0
A x
M E
      
4.8 kips
x
E 
From Eq. (1):
48 48
4.8
C
x
d
E
  10.00 ft
C
d  
Components of reaction at E: 4.80 kips
x 
E ; 4.00 kips
y 
E 
www.elsolucionario.org
Copyright © McGraw-Hill Education. Permission required for reproduction or display.
PROBLEM 7.101
Knowing that mB 70 kg and mC 25 kg, determine the
magnitude of the force P required to maintain equilibrium.
SOLUTION
Free body: Portion CD
0: (4 m) (3 m) 0
C y x
M D D
   
3
4
y x
D D

Free body: Entire cable
3
0: (14 m) (4 m) (10 m) (5 m) 0
4
A x B C
M D W W P
      (1)
Free body: Portion BCD
3
0: (10 m) (5 m) (6 m) 0
4
B x x C
M D D W
    
2.4
x C
D W
 (2)
For 70 kg 25 kg
B C
m m
 
2
9.81m/s :
g  70 25
B C
W g W g
 
Eq. (2): 2.4 2.4(25 ) 60
x C
D W g g
  
Eq. (1):
3
60 (14) 70 (4) 25 (10) 5 0
4
g g g P
   
100 5 0: 20
g P P g
  
20(9.81) 196.2 N
P   196.2 N
P  
www.elsolucionario.org
Copyright © McGraw-Hill Education. Permission required for reproduction or display.
PROBLEM 7.102
Knowing that mB 18 kg and mC 10 kg, determine the
magnitude of the force P required to maintain equilibrium.
SOLUTION
Free body: Portion CD
0: (4 m) (3 m) 0
C y x
M D D
   
3
4
y x
D D

Free body: Entire cable
3
0: (14 m) (4 m) (10 m) (5 m) 0
4
A x B C
M D W W P
      (1)
Free body: Portion BCD
3
0: (10 m) (5 m) (6 m) 0
4
B x x C
M D D W
    
2.4
x C
D W
 (2)
For 18 kg 10 kg
B C
m m
 
2
9.81m/s :
g  18 10
B C
W g W g
 
Eq. (2): 2.4 2.4(10 ) 24
x C
D W g g
  
Eq. (1):
3
24 (14) (18 )(4) (10 )(10) 5 0
4
g g g P
   
80 5 : 16
g P P g
 
16(9.81) 156.96 N
P   157.0 N
P  
www.elsolucionario.org
Copyright © McGraw-Hill Education. Permission required for reproduction or display.
PROBLEM 7.103
Cable ABC supports two loads as shown. Knowing that b 21 ft,
determine (a) the required magnitude of the horizontal force P,
(b) the corresponding distance a.
SOLUTION
Free body: ABC
0: (12 ft) (140 lb) (180 lb) 0
A
M P a b
     (1)
Free body: BC
0: (9 ft) (180 lb)( ) 0
B
M P b a
     (2)
Data 21ft
b  Eq. (1): 21 140 180(21) 0
P a
  
20
180
3
P a
  (3)
Eq. (2): 9 180(21 ) 0
P a
   20 420
P a
   (4)
Equate (3) and (4) through
20
: 180 20 420
3
P a a
    (b) 9.00 ft
a  
Eq. (3):
20
(9.00) 180
3
P   (a) 240 lb
P  
www.elsolucionario.org
Copyright © McGraw-Hill Education. Permission required for reproduction or display.
PROBLEM 7.104
Cable ABC supports two loads as shown. Determine the
distances a and b when a horizontal force P of magnitude 200 lb
is applied at A.
SOLUTION
Free body: ABC
0: (12 ft) (140 lb) (180 lb) 0
A
M P a b
     (1)
Free body: BC
0: (9 ft) (180 lb)( ) 0
B
M P b a
     (2)
Data 200 lb
P 
Eq. (1): 200(21) 140 180 0
a b
   (3)
Eq. (2): 200(9) 180 180 0
a b
   (4)
(3) (4) : 2400 320 0
a
   7.50 ft
a  
Eq. (2): (200 lb)(9 ft) (180 lb)( 7.50 ft) 0
b
   17.50 ft
b  
www.elsolucionario.org
Copyright © McGraw-Hill Education. Permission required for reproduction or display.
PROBLEM 7.105
If a 3 m, determine the magnitudes of P and Q required to
maintain the cable in the shape shown.
SOLUTION
Free body: Portion DE
0: (4 m) (5 m) 0
D y x
M E E
   
5
4
y x
E E

Free body: Portion CDE
5
0: (8 m) (7 m) (2 m) 0
4
C x x
M E E P
    
2
3
x
E P
 (1)
Free body: Portion BCDE
5
0: (12 m) (5 m) (120 kN)(4 m) 0
4
B x x
M E E
    
10 480 0; 48 kN
x x
E E
  
Eq. (1):
2
48 kN
3
P
 72.0 kN
P  
www.elsolucionario.org
Copyright © McGraw-Hill Education. Permission required for reproduction or display.
PROBLEM 7.105 (Continued)
Free body: Entire cable
5
0: (16 m) (2 m) (3 m) (4 m) (120 kN)(8 m) 0
4
A x x
M E E P Q
      
(48 kN)(20 m 2 m) (72 kN)(3 m) (4 m) 960 kN m 0
Q
     
4 120
Q  30.0 kN
Q  
www.elsolucionario.org
Copyright © McGraw-Hill Education. Permission required for reproduction or display.
PROBLEM 7.106
If a = 4 m, determine the magnitudes of P and Q required to
maintain the cable in the shape shown.
SOLUTION
Free body: Portion DE
0: (4 m) (6 m) 0
D y x
M E E
   
3
2
y x
E E

Free body: Portion CDE
3
0: (8 m) (8 m) (2 m) 0
2
C x x
M E E P
    
1
2
x
E P
 (1)
Free body: Portion BCDE
3
0: (12 m) (6 m) (120 kN)(4 m) 0
2
B x x
M E E
    
12 480 40 kN
x x
E E
 
Eq (1):
1 1
; 40 kN
2 2
x
E P P
  80.0 kN
P  
www.elsolucionario.org
Copyright © McGraw-Hill Education. Permission required for reproduction or display.
PROBLEM 7.106 (Continued)
Free body: Entire cable
3
0: (16 m) (2 m) (4 m) (4 m) (120 kN)(8 m) 0
2
A x x
M E E P Q
      
(40 kN)(24 m 2 m) (80 kN)(4 m) (4 m) 960 kN m 0
Q
     
4 240
Q  60.0 kN
Q  
www.elsolucionario.org
Copyright © McGraw-Hill Education. Permission required for reproduction or display.
PROBLEM 7.107
An electric wire having a mass per unit length of 0.6 kg/m is strung between two insulators at the same
elevation that are 60 m apart. Knowing that the sag of the cable is 1.5 m, determine (a) the maximum
tension in the wire, (b) the length of the wire.
SOLUTION
2
(0.6 kg/m)(9.81 m/s )
5.886 N/m
(5.886 N/m)(30 m)
176.580 N
w
W
W




(a)   
0
0: (1.5 m) 176.580 N 15 m 0
B
M T
    
0
2 2 2
1765.80 N
(176.580 N) (1765.80 N)
m
T
T

  1775 N
m
T  
(b)
2
2
2
1
3
2 1.5 m
30 m 1+
3 30 m
30.05 m
B
B B
B
y
s x
x
 
 
 
  
 
 
 
 
 
 
 
 
 
 
 
 



Length 2 2(30.05 m)
B
s
  Length 60.1 m
 
www.elsolucionario.org
Copyright © McGraw-Hill Education. Permission required for reproduction or display.
PROBLEM 7.108
The total mass of cable ACB is 20 kg. Assuming that the mass of the
cable is distributed uniformly along the horizontal, determine (a) the
sag h, (b) the slope of the cable at A.
SOLUTION
Free body: Entire frame
0: (4.5 m) (196.2 N)(4 m) (1471.5 N)(6 m) 0
D x
M A
    
2136.4 N
x
A 
Free body: Entire cable
0: (8 m) (196.2 N)(4 m) 0
D y
M A
   
98.1 N
y
A 
(a) Free body: Portion AC
0
0: 2136.4 N
x x
F T A
   
0
0: (98.1 N)(2 m) 0
A
M T h
   
(2136.4 N) 196.2 N m 0
h   
0.09183 m
h  91.8 mm
h  
(b)
98.1 N
tan
2136.4 N
x
A
y
A
A
  
tan 0.045918
A
 
2.629
A
   2.63
A
   
www.elsolucionario.org
Copyright © McGraw-Hill Education. Permission required for reproduction or display.
PROBLEM 7.109
The center span of the George Washington Bridge, as originally constructed, consisted of a uniform
roadway suspended from four cables. The uniform load supported by each cable was 9.75 kips/ft
w 
along the horizontal. Knowing that the span L is 3500 ft and that the sag h is 316 ft, determine for the
original configuration (a) the maximum tension in each cable, (b) the length of each cable.
SOLUTION
(9.75 kips/ft)(1750 ft)
17,063 kips
 

B
W wx
W
0
0
0: (316 ft) (17063 kips)(875 ft)
47,247 kips
B
M T c
T
   

(a) 2 2
0
2 2
(47,247 kips) (17,063 kips)
m
T T W
 
 
50,200 kips
m
T  
(b)
2 4
2 4
2 2
1
3 5
316 ft
0.18057
1750 ft
2 2
(1750 ft) 1+ (0.18057) (0.18057)
3 5
B B
B B
B B
B
B
y y
s x
x x
y
x
 
   
 
   
   
 
   
 
 
 
  
 
 


1787.3 ft; Length 2 3579.6 ft
  
B B
s s Length 3580 ft
 
www.elsolucionario.org
Copyright © McGraw-Hill Education. Permission required for reproduction or display.
PROBLEM 7.110
The center span of the Verrazano-Narrows Bridge consists of two uniform roadways suspended from four
cables. The design of the bridge allows for the effect of extreme temperature changes that cause the sag of
the center span to vary from hw 386 ft in winter to 394 ft
s
h  in summer. Knowing that the span is
L  4260 ft, determine the change in length of the cables due to extreme temperature changes.
SOLUTION
Eq. 7.10:
2 4
2 2
1
3 5
B B
B B
B B
y y
s x
x x
 
   
 
   
   
 
   
 

Winter:
1
386 ft, 2130 ft
2
B B
y h x L
   
2 4
2 386 2 386
(2130) 1 2175.715 ft
3 2130 5 2130
B
s
 
   
    
 
   
   
 
 

Summer:
1
394 ft, 2130 ft
2
B B
y h x L
   
2 4
2 394 2 394
(2130) 1 2177.59 ft
3 2130 5 2130
B
s
 
   
    
 
   
   
 
 

2( ) 2(2177.59 ft 2175.715 ft) 2(1.875 ft)
B
s
     
Change in length 3.75 ft
 
www.elsolucionario.org
Copyright © McGraw-Hill Education. Permission required for reproduction or display.
PROBLEM 7.111
Each cable of the Golden Gate Bridge supports a load w 11.1 kips/ft along the horizontal. Knowing that
the span L is 4150 ft and that the sag h is 464 ft, determine (a) the maximum tension in each cable, (b) the
length of each cable.
SOLUTION
Eq. (7.8) Page 386:
At B:
2
0
2
B
B
wx
y
T

2 2
0
(11.1kip/ft)(2075 ft)
2 2(464 ft)
B
B
wx
T
y
 
(a) 0 51.500 kips
T 
(11.1 kips/ft)(2075 ft) 23.033 kips
B
W wx
  
2 2 2 2
0 (51.500 kips) (23.033 kips)
m
T T W
   
56,400 kips
m
T  
(b)
2 4
2 2 464 ft
1 0.22361
3 5 2075 ft
B B B
B B
B B B
y y y
s x
x y x
 
   
 
     
   
 
   
 

2 4
2 2
(2075 ft) 1 (0.22361) (0.22361) 2142.1ft
3 5
B
s
 
    
 
 

Length 2 2(2142.1ft)
B
s
  Length 4284 ft
 
www.elsolucionario.org
Copyright © McGraw-Hill Education. Permission required for reproduction or display.
PROBLEM 7.112
Two cables of the same gauge are attached to a transmission tower
at B. Since the tower is slender, the horizontal component of the
resultant of the forces exerted by the cables at B is to be zero.
Knowing that the mass per unit length of the cables is 0.4 kg/m,
determine (a) the required sag h, (b) the maximum tension in each
cable.
SOLUTION
B
W wx

0
0: ( ) 0
2
B
B B B
y
M T y wx
   
(a) Horiz. comp.
2
0
2
B
B
wx
T
y
 
Cable AB: 45 m
B
x 
2
0
(45 m)
2
w
T
h

Cable BC:
2
0
30 m, 3 m
(30 m)
2(3 m)
B B
x y
w
T
 

Equate 0 0
T T

2 2
(45 m) (30 m)
2 2(3 m)
w w
h
 6.75 m
h  
(b) 2 2 2
0
m
T T W
 
Cable AB: (0.4 kg/m)(9.81 m/s) 3.924 N/m
w  
45 m, 6.75 m
B B
x y h
  
2 2
0
(3.924 N/m)(45 m)
588.6 N
2 2(6.75 m)
B
B
wx
T
y
  
(3.924 N/m)(45 m) 176.58 N
B
W wx
  
2 2 2
(588.6 N) (176.58 N)
m
T  
For AB: 615 N
m
T  
www.elsolucionario.org
Copyright © McGraw-Hill Education. Permission required for reproduction or display.
PROBLEM 7.112 (Continued)
Cable BC: 30 m, 3 m
B B
x y
 
2 2
0
(3.924 N/m)(30 m)
588.6 N (Checks)
2 2(3 m)
B
B
wx
T
y
  
(3.924 N/m)(30 m) 117.72 N
B
W wx
  
2 2 2
(588.6 N) (117.72 N)
m
T  
For BC: 600 N
m
T  
www.elsolucionario.org
Copyright © McGraw-Hill Education. Permission required for reproduction or display.
PROBLEM 7.113
A 76-m length of wire having a mass per unit length of 2.2 kg/m is used to span a horizontal distance of
75 m. Determine (a) the approximate sag of the wire, (b) the maximum tension in the wire. [Hint: Use
only the first two terms of Eq. (7.10).]
SOLUTION
First two terms of Eq. 7.10
(a)
2
1
(76 m) 38 m,
2
1
(75 m) 37.5 m
2
2
1
3
B
B
B
B
B B
B
s
x
y h
y
s x
x
 
 

 
 
 
   
 
 
 
2
2
2
38 m 37.5 m 1
3
0.02
0.141421
0.141421
37.5m
B
B
B
B
B
B
y
x
y
x
y
x
h
 
 
 
   
 
 
 
 

 
 


5.3033 m
h  5.30 m
h  
(b) Free body: Portion CB
(2.2 kg/m)(9.81m) 21.582 N/m
(38 m)(21.582 N/m)
820.12 N
B
w
W s w
W
 
 

   
 
2
2
2
0
0
0
2.2 kg/m 9.81 m/s 37.5 m
:
2 2 5.3033 m
2861.6 N
2861.6 N
B
B
B
x
wx
y T
y
T
B T
 

 
www.elsolucionario.org
Copyright © McGraw-Hill Education. Permission required for reproduction or display.
PROBLEM 7.113 (Continued)
 0: 820.12 N 0 820.12 N
y y y
F B B
    
2 2 2 2
(2861.6 N) (820.12 N)
m x y
T B B
    2980 N
m
T  
www.elsolucionario.org
Copyright © McGraw-Hill Education. Permission required for reproduction or display.
PROBLEM 7.114
A cable of length L +  is suspended between two points that are at the same elevation and a distance L
apart. (a) Assuming that  is small compared to L and that the cable is parabolic, determine the
approximate sag in terms of L and . (b) If L  100 ft and  4 ft, determine the approximate sag. [Hint:
Use only the first two terms of Eq. (7.10).
SOLUTION
Eq. 7.10 (First two terms)
(a)
2
2
1
3
B
B B
B
y
s x
x
 
 
 
   
 
 
 
/2
1
( )
2
B
B
B
x L
s L
y h

  

2
2
1 2
( ) 1
2 2 3 L
L h
L
 
 
 
     
 
 
 
 
2
2
4 3
; ;
2 3 8
h
h L
L

  
3
8
h L
  
(b)
3
100 ft, 4 ft. (100)(4);
8
L h h
   12.25 ft
h  
www.elsolucionario.org
Copyright © McGraw-Hill Education. Permission required for reproduction or display.
PROBLEM 7.115
The total mass of cable AC is 25 kg. Assuming that the mass of the
cable is distributed uniformly along the horizontal, determine the
sag h and the slope of the cable at A and C.
SOLUTION
Cable: 25 kg
25 (9.81)
245.25 N
m
W



Block: 450 kg
4414.5 N
m
W


0: (245.25)(2.5) (4414.5)(3) (2.5) 0
5543 N
B x
x
M C
C
    

0: 5543 N
x x x
F A C
   
0: (5) (5543)(2.5) (245.25)(2.5) 0
A y
M C
    
2894 N
y 
C
 0: 245.25 N 0
y y y
F C A
    
2894 245.25 N 0
y
N A
   2649 N
y 
A
Point A:
2649
tan 0.4779;
5543
y
A
x
A
A
    25.5
A
   
Point C:
2894
tan 0.5221;
5543
y
C
x
C
C
    27.6
A
   
Free body: Half cable (12.5 kg) 122.6
W g
 
0 0: (122.6 N)(1.25 M) + (2649 N)(2.5 m) (5543 N) 0
1.2224 m; sag 1.25 m 1.2224 m
   
   
d
d
M y
y h
0.0276 m 27.6 mm
h   
www.elsolucionario.org
Copyright © McGraw-Hill Education. Permission required for reproduction or display.
PROBLEM 7.116
Cable ACB supports a load uniformly distributed along the
horizontal as shown. The lowest Point C is located 9 m to the
right of A. Determine (a) the vertical distance a, (b) the length
of the cable, (c) the components of the reaction at A.
SOLUTION
Free body: Portion AC
0: 9 0
y y
F A w
   
9
y w

A
0
0: (9 )(4.5 m) 0
A
M T a w
    (1)
Free body: Portion CB
0: 6 0
y y
F B w
   
6
y w

B
Free body: Entire cable
0
0: 15 (7.5 m) 6 (15 m) (2.25 m) 0
A
M w w T
    
(a) 0 10
T w

Eq. (1): 0 (9 )(4.5 m) 0
T a w
 
10 (9 )(4.5) 0
wa w
  4.05 m
a  
www.elsolucionario.org
Copyright © McGraw-Hill Education. Permission required for reproduction or display.
PROBLEM 7.116 (Continued)
(b) Length ACCB
Portion AC:
2 4
2 4
4.05
9 m, 4.05 m; 0.45
9
2 2
1
3 5
2 2
9 m 1+ 0.45 0.45 10.067 m
3 5
A
A A
A
A B
AC B
A A
AC
y
x y a
x
y y
s x
x x
s
    
 
   
 
   
   
 
   
 
 
   
 
 


Portion CB:
2 4
6 m, 4.05 2.25 1.8 m; 0.3
2 2
6 m 1 0.3 0.3 6.341 m
3 5
B
B B
B
CB
y
x y
x
s
    
 
    
 
 

Total length 10.067 m 6.341 m
  Total length 16.41 m
 
(c) Components of reaction at A.
2
2
0
9 9(60 kg/m)(9.81 m/s )
5297.4 N
10 10(60 kg/m)(9.81 m/s )
5886 N
y
x
A w
A T w
 

  
 5890 N
x 
A 
5300 N
y 
A 
www.elsolucionario.org
Copyright © McGraw-Hill Education. Permission required for reproduction or display.
PROBLEM 7.117
Each cable of the side spans of the Golden Gate Bridge
supports a load w 10.2 kips/ft along the horizontal.
Knowing that for the side spans the maximum vertical
distance h from each cable to the chord AB is 30 ft and
occurs at midspan, determine (a) the maximum tension in
each cable, (b) the slope at B.
SOLUTION
FBD AB:
0: (1100 ft) (496 ft) (550 ft) 0
A By Bx
M T T W
     
11 4.96 5.5
By Bx
T T W
  (1)
FBD CB:
0: (550 ft) (278 ft) (275 ft) 0
2
C By Bx
W
M T T
    
11 5.56 2.75
By Bx
T T W
  (2)
Solving (1) and (2) 28,798 kips
By
T 
Solving (1) and (2 51,425 kips
Bx
T  
2 2
max tan y
x y
x
B
B B B B
B
T
T T T T
T

    
So that (a) max 58,900 kips
T  
(b) 29.2
B
   
www.elsolucionario.org
Copyright © McGraw-Hill Education. Permission required for reproduction or display.
PROBLEM 7.118
A steam pipe weighting 45 lb/ft that passes between two
buildings 40 ft apart is supported by a system of cables as
shown. Assuming that the weight of the cable system is
equivalent to a uniformly distributed loading of 5 lb/ft,
determine (a) the location of the lowest Point C of the
cable, (b) the maximum tension in the cable.
SOLUTION
Note: 40 ft
B A
x x
 
or 40 ft
A B
x x
 
(a) Use Eq. 7.8
Point A:
2 2
0 0
( 40)
; 9
2 2
A B
A
wx w x
y
T T

  (1)
Point B:
2 2
0 0
; 4
2 2
B B
B
wx wx
y
T T
  (2)
Dividing (1) by (2):
2
2
( 40)
9
; 16 ft
4
B
B
B
x
x
x

  Point C is 16.00 ft to left of B
(b) Maximum slope and thus max
T is at A
40 16 40 24 ft
A B
x x
     
2 2
0
0 0
(50 lb/ft)( 24 ft)
; 9 ft ; 1600 lb
2 2
A
A
wx
y T
T T

  
(50 lb/ft)(24 ft) 1200 lb
AC
W  
max 2000 lb
T  
www.elsolucionario.org
Copyright © McGraw-Hill Education. Permission required for reproduction or display.
PROBLEM 7.119*
A cable AB of span L and a simple beam ABof the same span are
subjected to identical vertical loadings as shown. Show that the
magnitude of the bending moment at a point C in the beam is equal
to the product T0h, where T0 is the magnitude of the horizontal
component of the tension force in the cable and h is the vertical
distance between Point C and the chord joining the points of support
A and B.
SOLUTION
0 loads
0: 0
B Cy B
M LA aT M
      (1)
FBD Cable:
(Where loads
B
M
 includes all applied loads)
0 left
0: 0
C Cy C
x
M xA h a T M
L
 
      
 
 
(2)
FBD AC:
(Where left
C
M
 includes all loads left of C)
0 loads left
(1) (2): 0
B C
x x
hT M M
L L
      (3)
FBD Beam:
loads
0: 0
B By B
M LA M
     (4)
left
0: 0
C By C C
M xA M M
      (5)
FBD AC:
loads left
(4) (5): 0
B C C
x x
M M M
L L
       (6)
Comparing (3) and (6) 0
C
M hT
 Q.E.D.
www.elsolucionario.org
Copyright © McGraw-Hill Education. Permission required for reproduction or display.
PROBLEM 7.120
Making use of the property established in Problem 7.119,
solve the problem indicated by first solving the
corresponding beam problem.
PROBLEM 7.94 Knowing that the maximum tension in
cable ABCDE is 25 kN, determine the distance dC.
SOLUTION
Free body: beam AE
0: (20) 2(15) 4(10) 6(5) 0
E
M A
       5 kN

A
0: 5 2 4 6 0
y
F E
       7 kN

E
At E: 2 2 2 2 2 2
0 0 0
25 7 24 kN
m
T T E T T
    
At C: 0 ; 40 kN m (24 kN)
C C C
M T h d
  
1.667 m
C
d  1.667 m 
www.elsolucionario.org
Copyright © McGraw-Hill Education. Permission required for reproduction or display.
PROBLEM 7.121
Making use of the property established in Problem 7.119, solve the
problem indicated by first solving the corresponding beam problem.
PROBLEM 7.97 (a) Knowing that 3 m,
C
d  determine the distances
dBand D
d .
SOLUTION
0: (10 m) (5 kN)(8 m) (5 kN)(6 m) (10 kN)(3 m) 0
B
M A
     
10 kN
A 
Geometry:
1.6 m
3 m 1.6 m
1.4 m
C C
C
C
d h
h
h
 
 

Since MT0h, h is proportional to M, thus
1.4 m
;
20 kN m 30 kN m 30 kN m
C
B D B D
B C D
h
h h h h
M M M
   
  
20
1.4 0.9333 m
30
B
h
 
 
 
 
30
1.4 1.4 m
30
D
h
 
 
 
 
0.8 m 0.9333 m
B
d   2.8 m 1.4 m
D
d  
1.733 m
B
d   4.20 m
D
d  
www.elsolucionario.org
Copyright © McGraw-Hill Education. Permission required for reproduction or display.
PROBLEM 7.122
Making use of the property established in Problem
7.119, solve the problem indicated by first solving the
corresponding beam problem.
PROBLEM 7.99 (a) If dC 15 ft, determine the
distances dB and dD.
SOLUTION
Free body: Beam AE
0: (30) 2(24) 2(15) 2(9) 0
E
M A
      
3.2 kips

A
0: 3.2 3(2) 0
y
F B
    
2.8 kips

B
Geometry:
Given: 15 ft
C
d 
Then, 3.75 ft 11.25 ft
C C
h d
  
Since MT0h, h is proportional to M. Thus,
11.25 ft
or,
19.2 30 25.2
C
B D
B C D
B D
h
h h
M M M
h h
 
 
or, 7.2 ft 9.45 ft
B D
h h
 
Then, 6 6 7.2
B B
d h
    13.20 ft
B
d  
2.25 2.25 9.45
D D
d h
    11.70 ft
D
d  
www.elsolucionario.org
Copyright © McGraw-Hill Education. Permission required for reproduction or display.
PROBLEM 7.123
Making use of the property established in Problem
7.119, solve the problem indicated by first solving the
corresponding beam problem.
PROBLEM 7.100 (a) Determine the distance dC for
which portion BC of the cable is horizontal.
SOLUTION
Free body: Beam AE
0: (30) 2(24) 2(15) 2(9) 0
E
M A
      
3.2 kips

A
0: 3.2 3(2) 0
y
F B
    
2.8 kips

B
Geometry:
Given: C B
d d

Then, 3.75 6
C B
h h
  
2.25
C B
h h
  (1)
Since MT0h, h is proportional to M. Thus,
or,
19.2 30
C C
B B
B C
h h
h h
M M
 
0.64
B C
h h
 (2)
Substituting (2) into (1):
2.25 0.64 6.25 ft
C C C
h h h
  
Then, 3.75 3.75 6.25
C C
d h
    10.00 ft
C
d  
www.elsolucionario.org
Copyright © McGraw-Hill Education. Permission required for reproduction or display.
PROBLEM 7.124*
Show that the curve assumed by a cable that carries a distributed load w(x) is defined by the differential
equation d2
y/dx2
w(x)/T0, where T0is the tension at the lowest point.
SOLUTION
FBD Elemental segment:
0: ( ) ( ) ( ) 0
y y y
F T x x T x w x x
       
So
0 0 0
( ) ( ) ( )
y y
T x x T x w x
x
T T T
 
  
But
0
y
T dy
T dx

So
0
( )
x x x
dy dy
dx dx w x
x T




In
0
lim :
x
 
2
2
0
( )
d y w x
T
dx
 Q.E.D.
www.elsolucionario.org
Copyright © McGraw-Hill Education. Permission required for reproduction or display.
PROBLEM 7.125*
Using the property indicated in Problem 7.124, determine the curve assumed by a cable of span L and sag
h carrying a distributed load ww0 cos (x/L), where x is measured from mid-span. Also determine the
maximum and minimum values of the tension in the cable.
PROBLEM 7.124 Show that the curve assumed by a cable that carries a distributed load w(x) is defined
by the differential equation d2
y/dx2
w(x)/T0, where T0is the tension at the lowest point.
SOLUTION
0
( ) cos
x
w x w
L


From Problem 7.124
2
0
2
0 0
( )
cos
w
d y w x x
T T L
dx

 
So 0
0 0
sin using 0
W L
dy x dy
dx T L dx


 
 
 
 
2
0
2
0
1 cos [using (0) 0]
w L x
y y
L
T


 
  
 
 

But
2 2
0 0
0
2 2
0
1 cos so
2 2
w L w L
L
y h T
T h

 
   
   
   
   
And 0 min
T T
 so
2
0
min 2
w L
T
h

 
0
max
0 0
/2
:
By
A B
x L
T w L
dy
T T T
T dx T 

   
0
By
w L
T


2
2 2 0
max 0 1
By
w L L
T T T
h
 
 
     
 

www.elsolucionario.org
Copyright © McGraw-Hill Education. Permission required for reproduction or display.
PROBLEM 7.126*
If the weight per unit length of the cable AB is w0/cos2
, prove that the
curve formed by the cable is a circular arc. (Hint: Use the property
indicated in Problem 7.124.)
PROBLEM 7.124 Show that the curve assumed by a cable that carries a
distributed load w(x) is defined by the differential equation
d2
y/dx2
w(x)/T0, where T0is the tension at the lowest point.
SOLUTION
Elemental Segment:
Load on segment* 0
2
( )
cos
w
w x dx ds


But 0
3
cos , so ( )
cos
w
dx ds w x


 
From Problem 7.119
2
0
2 3
0 0
( )
cos
w
d y w x
T
dx T 
 
In general
2
2
2
(tan ) sec
d y d dy d d
dx dx dx dx
dx

 
 
  
 
 
So 0 0
3 2
0
0 cos
cos sec
w w
d
dx T
T


 
 
or 0
0
cos cos
T
d dx rd
w
   
 
Giving 0
0
constant.
T
r
w
  So curve is circular arc Q.E.D.
*For large sag, it is not appropriate to approximate ds by dx.
www.elsolucionario.org
Copyright © McGraw-Hill Education. Permission required for reproduction or display.
PROBLEM 7.127
A 25-ft chain with a weight of 30 lb is suspended between two points at the same elevation. Knowing that
the sag is 10 ft, determine (a) the distance between the supports, (b) the maximum tension in the chain.
SOLUTION
(30 lb)/(25 ft) 1.2 lb/ft
w  
Eq. 7.17:  2
2 2 2 2 2
2 2
; (10 ft ) 12.5 ft
100 20 156.25
2.8125 ft
B B
y s c c c
c c c
c
    
   

Eq. 7.18: (1.2 lb/ft)(10 ft 2.8125 ft)
m B
T wy
  
15.375 lb
m
T  15.38 lb
m
T  
Eq. 7.15: sinh ; 12.5 (2.8125 ft)sinh
sinh 4.444; 2.1972
B B
B
B B
x x
s c
c c
x x
c c
 
 
2.1972(2.8125 ft) 6.1796 ft; 2 2(6.1796 ft) 12.3592 ft
B B
x L x
    
12.36 ft
L  
www.elsolucionario.org
Copyright © McGraw-Hill Education. Permission required for reproduction or display.
PROBLEM 7.128
A 500-ft-long aerial tramway cable having a weight per unit length of 2.8 lb/ft is suspended between two
points at the same elevation. Knowing that the sag is 125 ft, find (a) the horizontal distance between the
supports, (b) the maximum tension in the cable.
SOLUTION
Given:
Length 500 ft
Unit mass 2.8 lb/ft
125 ft
h



Then,
2 2 2 2 2 2
2 2 2 2
250 ft
125 ft
; (125 ) (250)
125 250 250
187.50 ft
B
B
B B
s
y h c c
y s c c c
c c c
c

   
    
   

sinh ; 250 187.50sinh
187.50
B B
B
x x
s c
c
 
206.06 ft
B
x 
span 2 2(206.06 ft)
B
L x
   412 ft
L  
(2.8 lb/ft)(125 ft 187.50 ft)
m B
T wy
   875 lb
m
T  
www.elsolucionario.org
Copyright © McGraw-Hill Education. Permission required for reproduction or display.
PROBLEM 7.129
A 40-m cable is strung as shown between two buildings. The
maximum tension is found to be 350 N, and the lowest point
of the cable is observed to be 6 m above the ground.
Determine (a) the horizontal distance between the buildings,
(b) the total mass of the cable.
SOLUTION
20 m
350 N
14 m 6 m 8 m
8 m
B
m
B
s
T
h
y h c c


  
   
Eq. 7.17: 2 2 2 2 2 2
2 2
; (8 ) 20
64 16 400
21.0 m
B B
y s c c c
c c c
c
    
   

Eq. 7.15: sinh ; 20 (21.0)sinh
21.0
B B
B
x x
s c
c
 
(a) 17.7933 m; 2
B B
x L x
  35.6 m
L  
(b) Eq. 7.18: ; 350 N (8 21.0)
12.0690 N/m
m B
T wy w
w
  

2
2 (40 m)(12.0690 N/m)
482.76 N
482.76 N
9.81m/s
B
W s w
W
m
g
 

  Total mass 49.2 kg
 
www.elsolucionario.org
Copyright © McGraw-Hill Education. Permission required for reproduction or display.
PROBLEM 7.130
A 50-m steel surveying tape has a mass of 1.6 kg. If the tape is stretched between two points at the same
elevation and pulled until the tension at each end is 60 N, determine the horizontal distance between the
ends of the tape. Neglect the elongation of the tape due to the tension.
SOLUTION
25 m
B
s 
 
2
1.6 kg
9.81 m/s 0.31392 N/m 60 N
50 m m
w T
 
  
 
 
Eq. 7.18: ; 60 N (0.31392 N/m) ; 191.131 m
m B B B
T wy y y
  
Eq. 7.17: 2 2 2 2 2 2
; (191.131) (25) ; 189.489 m
B B
y s c c c
    
Eq. 7.15: sinh ; 25 189.489 sinh
B B
B
x x
s c
c c
 
sinh 0.131933; 0.131553 m
B B
x x
c c
 
  
0.131553 189.489 m 24.928 m
B
x  
2 2(24.928 ft)
B
L x
  49.86 ft
L  
www.elsolucionario.org
Copyright © McGraw-Hill Education. Permission required for reproduction or display.
PROBLEM 7.131
A 20-m length of wire having a mass per unit length of 0.2 kg/m is
attached to a fixed support at A and to a collar at B. Neglecting the
effect of friction, determine (a) the force P for which h 8 m, (b) the
corresponding span L.
SOLUTION
FBD Cable:
2
2 2 2 2
20 m
20 m so 10 m
2
(0.2 kg/m)(9.81 m/s )
1.96200 N/m
8 m
( )
T B
B
B B B
s s
w
h
y c h c s
 
  
 
 



   
So
2 2
2 2
2
(10 m) (8 m)
2(8 m)
2.250 m
B B
B
s h
c
h
c





Now 1
1
sinh sinh
10 m
(2.250 m)sinh
2.250 m
B B
B B
x s
s c x c
c c


  
 
  
 
4.9438 m
B
x 
0 (1.96200 N/m)(2.250 m)
P T wc
   (a) 4.41 N

P 
2 2(4.9438 m)
B
L x
  (b) 9.89 m
L  
www.elsolucionario.org
Copyright © McGraw-Hill Education. Permission required for reproduction or display.
PROBLEM 7.132
A 20-m length of wire having a mass per unit length of 0.2 kg/m is
attached to a fixed support at A and to a collar at B. Knowing that
the magnitude of the horizontal force applied to the collar is
P  20 N, determine (a) the sag h, (b) the span L.
SOLUTION
FBD Cable:
2
0
2 2 2 2
2 2
2 2
20 m, (0.2 kg/m)(9.81m/s ) 1.96200 N/m
20 N
10.1937 m
1.9620 N/m
( )
20 m
2 0 10 m
2
2(10.1937 m) 100 m 0
T
B B B
B B
s w
P
P T wc c
w
c
y h c c s
h ch s s
h h
  
  
 
   
    
  
4.0861m
h  (a) 4.09 m
h  
1 1 10 m
sinh sinh (10.1937 m)sinh
10.1937 m
A B
B B
x s
s c x c
c c
   
     
 
8.8468 m

2 2(8.8468 m)
B
L x
  (b) 17.69 m
L  
www.elsolucionario.org
Copyright © McGraw-Hill Education. Permission required for reproduction or display.
PROBLEM 7.133
A 20-m length of wire having a mass per unit length of 0.2 kg/m is
attached to a fixed support at A and to a collar at B. Neglecting the
effect of friction, determine (a) the sag h for which L 15 m, (b) the
corresponding force P.
SOLUTION
FBD Cable:
2
2
20 m
20 m 10 m
2
(0.2 kg/m)(9.81m/s ) 1.96200 N/m
15 m
sinh sinh
7.5 m
10 m sinh
T B
L
B
B
s s
w
L
x
s c c
c c
c
c
   
 

 

Solving numerically: 5.5504 m
c 
7.5
cosh (5.5504)cosh
5.5504
11.4371m
11.4371m 5.5504 m
B
B
B
B B
x
y c
c
y
h y c
   
   
 
 
 

   
(a) 5.89 m
B
h  
(1.96200 N/m)(5.5504 m)
P wc
  (b) 10.89 N

P 
www.elsolucionario.org
Copyright © McGraw-Hill Education. Permission required for reproduction or display.
PROBLEM 7.134
Determine the sag of a 30-ft chain that is attached to two points at the same elevation that are 20 ft apart.
SOLUTION
30 ft
15 ft 20 ft
2
10 ft
2
sinh
10 ft
15 ft sinh
B
B
B
B
s L
L
x
x
s c
c
c
c
  
 


Solving numerically: 6.1647 ft
c 
cosh
10 ft
(6.1647 ft)cosh
6.1647 ft
16.2174 ft
16.2174 ft 6.1647 ft
B
B
B B
x
y c
c
h y c



    10.05 ft
B
h  
www.elsolucionario.org
Copyright © McGraw-Hill Education. Permission required for reproduction or display.
PROBLEM 7.135
A counterweight D is attached to a cable that passes over a small pulley at
A and is attached to a support at B. Knowing that L 45 ft and h 15 ft,
determine (a) the length of the cable from A to B, (b) the weight per unit
length of the cable. Neglect the weight of the cable from A to D.
SOLUTION
Given: 45 ft
15 ft
80 lb
22.5 ft
A
B
L
h
T
x




By symmetry: 80 lb
B A m
T T T
  
We have
22.5
cosh cosh
B
B
x
y c c
c c
 
and 15
B
y h c c
   
Then
22.5
cosh 15
c c
c
 
or
22.5 15
cosh 1
c c
 
Solve by trial for c: 18.9525 ft
c 
(a) sinh
22.5
(18.9525 ft)sinh
18.9525
28.170 ft
B
B
x
s c
c



Length 2 2(28.170 ft) 56.3 ft
B
s
   
(b) ( )
m B
T wy w h c
  
80 lb (15 ft 18.9525 ft)
w
  2.36 lb/ft
w  
www.elsolucionario.org
Copyright © McGraw-Hill Education. Permission required for reproduction or display.
PROBLEM 7.136
A 90-m wire is suspended between two points at the same elevation that are 60 m apart. Knowing that the
maximum tension is 300 N, determine (a) the sag of the wire, (b) the total mass of the wire.
SOLUTION
45 m
B
s 
Eq. 7.17: sinh
30
45 sinh ; 18.494 m
B
B
x
s c
c
c c
c

 
Eq. 7.16: cosh
30
(18.494)cosh
18.494
48.652 m
48.652 18.494
B
B
B
B
B
x
y c
c
y
y
y h c
h



 
 
30.158 m
h  30.2 m
h  
Eq. 7.18:
300 N (48.652 m)
6.166 N/m
m B
T wy
w
w



Total weight of cable (Length)
(6.166 N/m)(90 m)
554.96 N
W w



Total mass of cable
554.96 N
56.57 kg
9.81m/s
W
m
g
   56.6 kg
m  
www.elsolucionario.org
Copyright © McGraw-Hill Education. Permission required for reproduction or display.
PROBLEM 7.137
A cable weighing 2 lb/ft is suspended between two points at the same elevation that are 160 ft apart.
Determine the smallest allowable sag of the cable if the maximum tension is not to exceed 400 lb.
SOLUTION
Eq. 7.18: ; 400 lb (2 lb/ft) ; 200 ft
m B B B
T wy y y
  
Eq. 7.16: cosh
80 ft
200 ft cosh
B
B
x
y c
c
c
c


Solve for c: 182.148 ft
c  and 31.592 ft
c 
;
B B
y h c h y c
   
For 182.148 ft;
c  200 182.147 17.852 ft
h    
For 31.592 ft;
c  200 31.592 168.408 ft
h    
For 400 lb:
m
T  smallest 17.85 ft
h  
www.elsolucionario.org
Copyright © McGraw-Hill Education. Permission required for reproduction or display.
PROBLEM 7.138
A uniform cord 50 in. long passes over a pulley at B and is attached to a
pin support at A. Knowing that L 20 in. and neglecting the effect of
friction, determine the smaller of the two values of h for which the cord is
in equilibrium.
SOLUTION
Length of overhang: 50 in. 2 B
b s
 
Weight of overhang equals max. tension
(50 in. 2 )
m B B
T T wb w s
   
Eq. 7.15: sinh B
B
x
s c
c

Eq. 7.16: cosh B
B
x
y c
c

Eq. 7.18:
(50 in. 2 )
m B
B B
T wy
w s wy

 
50 in. 2 sinh cosh
B B
x x
w c wc
c c
 
 
 
 
10 10
10: 50 2 sinh cosh
B
x c c
c c
  
Solve by trial and error: 5.549 in.
c  and 27.742 in.
c 
For c 5.549 in.
10 in.
(5.549 in.)cosh 17.277 in.
5.549 in.
; 17.277 in. 5.549 in.
B
B
y
y h c h
 
   
11.728 in.
h  11.73 in.
h  
For c 27.742 in.
10 in.
(27.742 in.)cosh 29.564 in.
27.742 in.
; 29.564 in. 27.742 in.
B
B
y
y h c h
 
   
1.8219 in.
h  1.822 in.
h  
www.elsolucionario.org
Copyright © McGraw-Hill Education. Permission required for reproduction or display.
PROBLEM 7.139
A motor M is used to slowly reel in the cable shown. Knowing that the
mass per unit length of the cable is 0.4 kg/m, determine the maximum
tension in the cable when h 5 m.
SOLUTION
0.4 kg/m 10 m 5 m
cosh
cosh
2
5 m
5 m cosh 1
B
B
B
B
w L h
x
y c
c
L
h c c
c
c
c
  

 
 
 
 
 
Solving numerically:
max
2
3.0938 m
5 m 3.0938 m
8.0938 m
(0.4 kg/m)(9.81 m/s )(8.0938 m)
B B
B B
c
y h c
T T wy

   

 

max 31.8 N
T  
www.elsolucionario.org
Copyright © McGraw-Hill Education. Permission required for reproduction or display.
PROBLEM 7.140
A motor M is used to slowly reel in the cable shown. Knowing that the
mass per unit length of the cable is 0.4 kg/m, determine the maximum
tension in the cable when h 3 m.
SOLUTION
0.4 kg/m, 10 m, 3 m
cosh cosh
2
5 m
3 m cosh 1
B
B
B B
w L h
x L
y h c c c
c c
c c
c
  
   
 
 
 
 
Solving numerically:
max
2
4.5945 m
3 m 4.5945 m
7.5945 m
(0.4 kg/m)(9.81 m/s )(7.5945 m)
B B
B B
c
y h c
T T wy

   

 

max 29.8 N
T  
www.elsolucionario.org
Copyright © McGraw-Hill Education. Permission required for reproduction or display.
PROBLEM 7.141
The cable ACB has a mass per unit length of 0.45 kg/m.
Knowing that the lowest point of the cable is located at a
distance a 0.6 m below the support A, determine (a) the
location of the lowest Point C, (b) the maximum tension in
the cable.
SOLUTION
Note: 12 m
B A
x x
 
or, 12 m
A B
x x
  
Point A:
12
cosh ; 0.6 cosh
A B
A
x x
y c c c
c c
 
   (1)
Point B: cosh ; 2.4 cosh
B B
B
x x
y c c c
c c
   (2)
From (1): 1
12 0.6
cosh
B
x c
c c c
 
 
   
 
(3)
From (2): 1 2.4
cosh
B
x c
c c
 
 
  
 
(4)
Add (3) + (4): 1 1
12 0.6 2.4
cosh cosh
c c
c c c
 
 
   
 
   
   
Solve by trial and error: 13.6214 m
c 
Eq. (2): 13.6214 2.4 13.6214cosh B
x
c
 
cosh 1.1762; 0.58523
B B
x x
c c
 
0.58523(13.6214 m) 7.9717 m
B
x  
Point C is 7.97 m to left of B 
2.4 13.6214 2.4 16.0214 m
B
y c
    
Eq. 7.18: 2
(0.45 kg/m)(9.81m/s )(16.0214 m)
m B
T wy
 
70.726 N
m
T  70.7 N
m
T  
www.elsolucionario.org
Copyright © McGraw-Hill Education. Permission required for reproduction or display.
PROBLEM 7.142
The cable ACB has a mass per unit length of 0.45 kg/m.
Knowing that the lowest point of the cable is located at a
distance a 2 m below the support A, determine (a) the
location of the lowest Point C, (b) the maximum tension in
the cable.
SOLUTION
Note:
12 m
B A
x x
 
or
12 m
A B
x x
  
Point A:
12
cosh ; 2 cosh
A B
A
x x
y c c c
c c
 
   (1)
Point B: cosh ; 3.8 cosh
B B
B
x x
y c c c
c c
   (2)
From (1): 1
12 2
cosh
B
x c
c c c
 
 
   
 
(3)
From (2): 1 3.8
cosh
B
x c
c c
 
 
  
 
(4)
Add (3)  (4): 1 1
12 2 3.8
cosh cosh
c c
c c c
 
 
   
 
   
   
Solve by trial and error: 6.8154 m
c 
Eq. (2): 6.8154 m 3.8 m (6.8154 m)cosh
cosh 1.5576 1.0122
1.0122(6.8154 m) 6.899 m
B
B B
B
x
c
x x
c c
x
 
 
 
Point C is 6.90 m to left of B 
3.8 6.8154 3.8 10.6154 m
B
y c
    
Eq. (7.18): 2
(0.45 kg/m)(9.81m/s )(10.6154 m)
m B
T wy
 
46.86 N
m
T  46.9 N
m
T  
www.elsolucionario.org
Copyright © McGraw-Hill Education. Permission required for reproduction or display.
PROBLEM 7.143
A uniform cable weighing 3 lb/ft is held in the position shown by a
horizontal force P applied at B. Knowing that P180lbandA60,
determine (a) the location of Point B, (b) the length of the cable.
SOLUTION
Eq. 7.18: 0
180 lb
60 ft
3 lb/ft
T P cw
P
c c
w
 
  
At A:
cos60
2
0.5
m
P
T
cw
cw


 
(a) Eq. 7.18: ( )
2 ( )
m
T w h c
cw w h c
 
 
2c h c h b c
    60.0 ft
b  
Eq. 7.16: cosh
cosh
(60 ft 60 ft) (60 ft) cosh
60
cosh 2 1.3170
60 m 60 m
A
A
A
A
A A
x
y c
c
x
h c c
c
x
x x

 
 
 
79.02 ft
A
x  79.0 ft
a  
(b) Eq. 7.15:
79.02 ft
sinh (60 ft)sinh
60 ft
103.92 ft
B
A
A
x
s c
c
s
 

length A
s
 103.9 ft
A
s  
www.elsolucionario.org
Copyright © McGraw-Hill Education. Permission required for reproduction or display.
PROBLEM 7.144
A uniform cable weighing 3 lb/ft is held in the position shown by a
horizontal force P applied at B. Knowing that P 150lbandA60,
determine (a) the location of Point B, (b) the length of the cable.
SOLUTION
Eq. 7.18: 0
150 lb
50 ft
3 lb/ft
T P cw
P
c
w
 
  
At A:
cos60
2
0.5
m
P
T
cw
cw


 
(a) Eq. 7.18: ( )
2 ( )
m
T w h c
cw w h c
 
 
2c h c h c b
    50.0 ft
b  
Eq. 7.16: cosh
cosh
(50 ft 50 ft) (50 ft)cosh
cosh 2 1.3170
A
A
A
A
A A
x
y c
c
x
h c c
c
x
c
x x
c c

 
 
 
1.3170(50 ft) 65.85 ft
A
x   65.8 ft
a  
(b) Eq. 7.15:
65.85 ft
sinh (50 ft)sinh
50 ft
A
A
x
s c
c
 
86.6 ft
A
s  length 86.6 ft
A
s
  
www.elsolucionario.org
Copyright © McGraw-Hill Education. Permission required for reproduction or display.
PROBLEM 7.145
To the left of Point B the long cable ABDE rests on the rough
horizontal surface shown. Knowing that the mass per unit length
of the cable is 2 kg/m, determine the force F when a 3.6 m.
SOLUTION
3.6 m 4 m
cosh
cosh
3.6 m
4 m cosh 1
D
D
D
x a h
x
y c
c
a
h c c
c
c
c
  

 
 
 
 
 
Solving numerically: 2.0712 m
c 
Then 4 m 2.0712 m 6.0712 m
B
y h c
    
2
max (2 kg/m)(9.81m/s )(6.0712 m)
B
F T wy
   119.1 N

F 
www.elsolucionario.org
Copyright © McGraw-Hill Education. Permission required for reproduction or display.
PROBLEM 7.146
To the left of Point B the long cable ABDE rests on the rough
horizontal surface shown. Knowing that the mass per unit length
of the cable is 2 kg/m, determine the force F when a 6 m.
SOLUTION
6 m 4 m
y cosh
cosh
6 m
4 m cosh 1
D
D
D
x a h
x
c
c
a
h c c
c
c
c
  

 
 
 
 
 
Solving numerically: 5.054 m
c 
2
4 m 5.054 m 9.054 m
(2 kg/m)(9.81m/s )(9.054 m)
B
D D
y h c
F T wy
    
   177.6 N

F 
www.elsolucionario.org
Copyright © McGraw-Hill Education. Permission required for reproduction or display.
PROBLEM 7.147*
The 10-ft cable AB is attached to two collars as shown. The
collar at A can slide freely along the rod; a stop attached to the
rod prevents the collar at B from moving on the rod. Neglecting
the effect of friction and the weight of the collars, determine the
distance a.
SOLUTION
Collar at A: Since 0,
  cable ' rod
Point A: cosh ; sinh
tan sinh A
A
x dy x
y c
c dx c
x
dy
c
dx

 
 
sinh(tan(90 ))
sinh(tan(90 ))
A
A
x
c
x c


  
   (1)
Length of cable 10 ft 10 ft
10 sinh sinh
10
sinh sinh
A B
B A
AC CB
x x
c c
c c
x x
c c c
 
 
 
1 10
sinh sinh A
B
x
x c
c c
  
 
 
 
(2)
cosh cosh
A B
A B
x x
y c y c
c c
  (3)
In ABD: tan B A
B A
y y
x x




(4)
www.elsolucionario.org
Copyright © McGraw-Hill Education. Permission required for reproduction or display.
PROBLEM 7.147* (Continued)
Method of solution:
For given value of , choose trial value of c and calculate:
From Eq. (1): xA
Using value of xA and c, calculate:
From Eq. (2): xB
From Eq. (3): yA and yB
Substitute values obtained for xA, xB, yA, yBinto Eq. (4) and calculate 
Choose new trial value of  and repeat above procedure until calculated value of  is equal to given value
of .
For 30
  
Result of trial and error procedure:
1.803 ft
2.3745 ft
3.6937 ft
3.606 ft
7.109 ft
7.109 ft 3.606 ft
3.503 ft
A
B
A
B
B A
c
x
x
y
y
a y y





 
 
 3.50 ft
a  
www.elsolucionario.org
Copyright © McGraw-Hill Education. Permission required for reproduction or display.
PROBLEM 7.148*
Solve Problem 7.147 assuming that the angle  formed by the
rod and the horizontal is 45.
PROBLEM 7.147 The 10-ft cable AB is attached to two collars
as shown. The collar at A can slide freely along the rod; a stop
attached to the rod prevents the collar at B from moving on the
rod. Neglecting the effect of friction and the weight of the
collars, determine the distance a.
SOLUTION
Collar at A: Since 0,
  cable ' rod
Point A: cosh ; sinh
tan sinh A
A
x dy x
y c
c dx c
x
dy
c
dx

 
 
sinh(tan(90 ))
sinh(tan(90 ))
A
A
x
c
x c


  
   (1)
Length of cable 10 ft 10 ft
10 sinh sinh
10
sinh sinh
A B
B A
AC CB
x x
c c
c c
x x
c c c
 
 
 
1 10
sinh sinh A
B
x
x c
c c
  
 
 
 
(2)
cosh cosh
A B
A B
x x
y c y c
c c
  (3)
www.elsolucionario.org
Copyright © McGraw-Hill Education. Permission required for reproduction or display.
PROBLEM 7.148* (Continued)
In ABD: tan B A
B A
y y
x x




(4)
Method of solution:
For given value of , choose trial value of c and calculate:
From Eq. (1): xA
Using value of xA and c
Beer johnston Statics 11- Solution Manual.pdf
Beer johnston Statics 11- Solution Manual.pdf
Beer johnston Statics 11- Solution Manual.pdf
Beer johnston Statics 11- Solution Manual.pdf
Beer johnston Statics 11- Solution Manual.pdf
Beer johnston Statics 11- Solution Manual.pdf
Beer johnston Statics 11- Solution Manual.pdf
Beer johnston Statics 11- Solution Manual.pdf
Beer johnston Statics 11- Solution Manual.pdf
Beer johnston Statics 11- Solution Manual.pdf
Beer johnston Statics 11- Solution Manual.pdf
Beer johnston Statics 11- Solution Manual.pdf
Beer johnston Statics 11- Solution Manual.pdf
Beer johnston Statics 11- Solution Manual.pdf
Beer johnston Statics 11- Solution Manual.pdf
Beer johnston Statics 11- Solution Manual.pdf
Beer johnston Statics 11- Solution Manual.pdf
Beer johnston Statics 11- Solution Manual.pdf
Beer johnston Statics 11- Solution Manual.pdf
Beer johnston Statics 11- Solution Manual.pdf
Beer johnston Statics 11- Solution Manual.pdf
Beer johnston Statics 11- Solution Manual.pdf
Beer johnston Statics 11- Solution Manual.pdf
Beer johnston Statics 11- Solution Manual.pdf
Beer johnston Statics 11- Solution Manual.pdf
Beer johnston Statics 11- Solution Manual.pdf
Beer johnston Statics 11- Solution Manual.pdf
Beer johnston Statics 11- Solution Manual.pdf
Beer johnston Statics 11- Solution Manual.pdf
Beer johnston Statics 11- Solution Manual.pdf
Beer johnston Statics 11- Solution Manual.pdf
Beer johnston Statics 11- Solution Manual.pdf
Beer johnston Statics 11- Solution Manual.pdf
Beer johnston Statics 11- Solution Manual.pdf
Beer johnston Statics 11- Solution Manual.pdf
Beer johnston Statics 11- Solution Manual.pdf
Beer johnston Statics 11- Solution Manual.pdf
Beer johnston Statics 11- Solution Manual.pdf
Beer johnston Statics 11- Solution Manual.pdf
Beer johnston Statics 11- Solution Manual.pdf
Beer johnston Statics 11- Solution Manual.pdf
Beer johnston Statics 11- Solution Manual.pdf
Beer johnston Statics 11- Solution Manual.pdf
Beer johnston Statics 11- Solution Manual.pdf
Beer johnston Statics 11- Solution Manual.pdf
Beer johnston Statics 11- Solution Manual.pdf
Beer johnston Statics 11- Solution Manual.pdf
Beer johnston Statics 11- Solution Manual.pdf
Beer johnston Statics 11- Solution Manual.pdf
Beer johnston Statics 11- Solution Manual.pdf
Beer johnston Statics 11- Solution Manual.pdf
Beer johnston Statics 11- Solution Manual.pdf
Beer johnston Statics 11- Solution Manual.pdf
Beer johnston Statics 11- Solution Manual.pdf
Beer johnston Statics 11- Solution Manual.pdf
Beer johnston Statics 11- Solution Manual.pdf
Beer johnston Statics 11- Solution Manual.pdf
Beer johnston Statics 11- Solution Manual.pdf
Beer johnston Statics 11- Solution Manual.pdf
Beer johnston Statics 11- Solution Manual.pdf
Beer johnston Statics 11- Solution Manual.pdf
Beer johnston Statics 11- Solution Manual.pdf
Beer johnston Statics 11- Solution Manual.pdf
Beer johnston Statics 11- Solution Manual.pdf
Beer johnston Statics 11- Solution Manual.pdf
Beer johnston Statics 11- Solution Manual.pdf
Beer johnston Statics 11- Solution Manual.pdf
Beer johnston Statics 11- Solution Manual.pdf
Beer johnston Statics 11- Solution Manual.pdf
Beer johnston Statics 11- Solution Manual.pdf
Beer johnston Statics 11- Solution Manual.pdf
Beer johnston Statics 11- Solution Manual.pdf
Beer johnston Statics 11- Solution Manual.pdf
Beer johnston Statics 11- Solution Manual.pdf
Beer johnston Statics 11- Solution Manual.pdf
Beer johnston Statics 11- Solution Manual.pdf
Beer johnston Statics 11- Solution Manual.pdf
Beer johnston Statics 11- Solution Manual.pdf
Beer johnston Statics 11- Solution Manual.pdf
Beer johnston Statics 11- Solution Manual.pdf
Beer johnston Statics 11- Solution Manual.pdf
Beer johnston Statics 11- Solution Manual.pdf
Beer johnston Statics 11- Solution Manual.pdf
Beer johnston Statics 11- Solution Manual.pdf
Beer johnston Statics 11- Solution Manual.pdf
Beer johnston Statics 11- Solution Manual.pdf
Beer johnston Statics 11- Solution Manual.pdf
Beer johnston Statics 11- Solution Manual.pdf
Beer johnston Statics 11- Solution Manual.pdf
Beer johnston Statics 11- Solution Manual.pdf
Beer johnston Statics 11- Solution Manual.pdf
Beer johnston Statics 11- Solution Manual.pdf
Beer johnston Statics 11- Solution Manual.pdf
Beer johnston Statics 11- Solution Manual.pdf
Beer johnston Statics 11- Solution Manual.pdf
Beer johnston Statics 11- Solution Manual.pdf
Beer johnston Statics 11- Solution Manual.pdf
Beer johnston Statics 11- Solution Manual.pdf
Beer johnston Statics 11- Solution Manual.pdf
Beer johnston Statics 11- Solution Manual.pdf
Beer johnston Statics 11- Solution Manual.pdf
Beer johnston Statics 11- Solution Manual.pdf
Beer johnston Statics 11- Solution Manual.pdf
Beer johnston Statics 11- Solution Manual.pdf
Beer johnston Statics 11- Solution Manual.pdf
Beer johnston Statics 11- Solution Manual.pdf
Beer johnston Statics 11- Solution Manual.pdf
Beer johnston Statics 11- Solution Manual.pdf
Beer johnston Statics 11- Solution Manual.pdf
Beer johnston Statics 11- Solution Manual.pdf
Beer johnston Statics 11- Solution Manual.pdf
Beer johnston Statics 11- Solution Manual.pdf
Beer johnston Statics 11- Solution Manual.pdf
Beer johnston Statics 11- Solution Manual.pdf
Beer johnston Statics 11- Solution Manual.pdf
Beer johnston Statics 11- Solution Manual.pdf
Beer johnston Statics 11- Solution Manual.pdf
Beer johnston Statics 11- Solution Manual.pdf
Beer johnston Statics 11- Solution Manual.pdf
Beer johnston Statics 11- Solution Manual.pdf
Beer johnston Statics 11- Solution Manual.pdf
Beer johnston Statics 11- Solution Manual.pdf
Beer johnston Statics 11- Solution Manual.pdf
Beer johnston Statics 11- Solution Manual.pdf
Beer johnston Statics 11- Solution Manual.pdf
Beer johnston Statics 11- Solution Manual.pdf
Beer johnston Statics 11- Solution Manual.pdf
Beer johnston Statics 11- Solution Manual.pdf
Beer johnston Statics 11- Solution Manual.pdf
Beer johnston Statics 11- Solution Manual.pdf
Beer johnston Statics 11- Solution Manual.pdf
Beer johnston Statics 11- Solution Manual.pdf
Beer johnston Statics 11- Solution Manual.pdf
Beer johnston Statics 11- Solution Manual.pdf
Beer johnston Statics 11- Solution Manual.pdf
Beer johnston Statics 11- Solution Manual.pdf
Beer johnston Statics 11- Solution Manual.pdf
Beer johnston Statics 11- Solution Manual.pdf
Beer johnston Statics 11- Solution Manual.pdf
Beer johnston Statics 11- Solution Manual.pdf
Beer johnston Statics 11- Solution Manual.pdf
Beer johnston Statics 11- Solution Manual.pdf
Beer johnston Statics 11- Solution Manual.pdf
Beer johnston Statics 11- Solution Manual.pdf
Beer johnston Statics 11- Solution Manual.pdf
Beer johnston Statics 11- Solution Manual.pdf
Beer johnston Statics 11- Solution Manual.pdf
Beer johnston Statics 11- Solution Manual.pdf
Beer johnston Statics 11- Solution Manual.pdf
Beer johnston Statics 11- Solution Manual.pdf
Beer johnston Statics 11- Solution Manual.pdf
Beer johnston Statics 11- Solution Manual.pdf
Beer johnston Statics 11- Solution Manual.pdf
Beer johnston Statics 11- Solution Manual.pdf
Beer johnston Statics 11- Solution Manual.pdf
Beer johnston Statics 11- Solution Manual.pdf
Beer johnston Statics 11- Solution Manual.pdf
Beer johnston Statics 11- Solution Manual.pdf
Beer johnston Statics 11- Solution Manual.pdf
Beer johnston Statics 11- Solution Manual.pdf
Beer johnston Statics 11- Solution Manual.pdf
Beer johnston Statics 11- Solution Manual.pdf
Beer johnston Statics 11- Solution Manual.pdf
Beer johnston Statics 11- Solution Manual.pdf
Beer johnston Statics 11- Solution Manual.pdf
Beer johnston Statics 11- Solution Manual.pdf
Beer johnston Statics 11- Solution Manual.pdf
Beer johnston Statics 11- Solution Manual.pdf
Beer johnston Statics 11- Solution Manual.pdf
Beer johnston Statics 11- Solution Manual.pdf
Beer johnston Statics 11- Solution Manual.pdf
Beer johnston Statics 11- Solution Manual.pdf
Beer johnston Statics 11- Solution Manual.pdf
Beer johnston Statics 11- Solution Manual.pdf
Beer johnston Statics 11- Solution Manual.pdf
Beer johnston Statics 11- Solution Manual.pdf
Beer johnston Statics 11- Solution Manual.pdf
Beer johnston Statics 11- Solution Manual.pdf
Beer johnston Statics 11- Solution Manual.pdf
Beer johnston Statics 11- Solution Manual.pdf
Beer johnston Statics 11- Solution Manual.pdf
Beer johnston Statics 11- Solution Manual.pdf
Beer johnston Statics 11- Solution Manual.pdf
Beer johnston Statics 11- Solution Manual.pdf
Beer johnston Statics 11- Solution Manual.pdf
Beer johnston Statics 11- Solution Manual.pdf
Beer johnston Statics 11- Solution Manual.pdf
Beer johnston Statics 11- Solution Manual.pdf
Beer johnston Statics 11- Solution Manual.pdf
Beer johnston Statics 11- Solution Manual.pdf
Beer johnston Statics 11- Solution Manual.pdf
Beer johnston Statics 11- Solution Manual.pdf
Beer johnston Statics 11- Solution Manual.pdf
Beer johnston Statics 11- Solution Manual.pdf
Beer johnston Statics 11- Solution Manual.pdf
Beer johnston Statics 11- Solution Manual.pdf
Beer johnston Statics 11- Solution Manual.pdf
Beer johnston Statics 11- Solution Manual.pdf
Beer johnston Statics 11- Solution Manual.pdf
Beer johnston Statics 11- Solution Manual.pdf
Beer johnston Statics 11- Solution Manual.pdf
Beer johnston Statics 11- Solution Manual.pdf
Beer johnston Statics 11- Solution Manual.pdf
Beer johnston Statics 11- Solution Manual.pdf
Beer johnston Statics 11- Solution Manual.pdf
Beer johnston Statics 11- Solution Manual.pdf
Beer johnston Statics 11- Solution Manual.pdf
Beer johnston Statics 11- Solution Manual.pdf
Beer johnston Statics 11- Solution Manual.pdf
Beer johnston Statics 11- Solution Manual.pdf
Beer johnston Statics 11- Solution Manual.pdf
Beer johnston Statics 11- Solution Manual.pdf
Beer johnston Statics 11- Solution Manual.pdf
Beer johnston Statics 11- Solution Manual.pdf
Beer johnston Statics 11- Solution Manual.pdf
Beer johnston Statics 11- Solution Manual.pdf
Beer johnston Statics 11- Solution Manual.pdf
Beer johnston Statics 11- Solution Manual.pdf
Beer johnston Statics 11- Solution Manual.pdf
Beer johnston Statics 11- Solution Manual.pdf
Beer johnston Statics 11- Solution Manual.pdf
Beer johnston Statics 11- Solution Manual.pdf
Beer johnston Statics 11- Solution Manual.pdf
Beer johnston Statics 11- Solution Manual.pdf
Beer johnston Statics 11- Solution Manual.pdf
Beer johnston Statics 11- Solution Manual.pdf
Beer johnston Statics 11- Solution Manual.pdf
Beer johnston Statics 11- Solution Manual.pdf
Beer johnston Statics 11- Solution Manual.pdf
Beer johnston Statics 11- Solution Manual.pdf
Beer johnston Statics 11- Solution Manual.pdf
Beer johnston Statics 11- Solution Manual.pdf
Beer johnston Statics 11- Solution Manual.pdf
Beer johnston Statics 11- Solution Manual.pdf
Beer johnston Statics 11- Solution Manual.pdf
Beer johnston Statics 11- Solution Manual.pdf
Beer johnston Statics 11- Solution Manual.pdf
Beer johnston Statics 11- Solution Manual.pdf
Beer johnston Statics 11- Solution Manual.pdf
Beer johnston Statics 11- Solution Manual.pdf
Beer johnston Statics 11- Solution Manual.pdf
Beer johnston Statics 11- Solution Manual.pdf
Beer johnston Statics 11- Solution Manual.pdf
Beer johnston Statics 11- Solution Manual.pdf
Beer johnston Statics 11- Solution Manual.pdf
Beer johnston Statics 11- Solution Manual.pdf
Beer johnston Statics 11- Solution Manual.pdf
Beer johnston Statics 11- Solution Manual.pdf
Beer johnston Statics 11- Solution Manual.pdf
Beer johnston Statics 11- Solution Manual.pdf
Beer johnston Statics 11- Solution Manual.pdf
Beer johnston Statics 11- Solution Manual.pdf
Beer johnston Statics 11- Solution Manual.pdf
Beer johnston Statics 11- Solution Manual.pdf
Beer johnston Statics 11- Solution Manual.pdf
Beer johnston Statics 11- Solution Manual.pdf
Beer johnston Statics 11- Solution Manual.pdf
Beer johnston Statics 11- Solution Manual.pdf
Beer johnston Statics 11- Solution Manual.pdf
Beer johnston Statics 11- Solution Manual.pdf
Beer johnston Statics 11- Solution Manual.pdf
Beer johnston Statics 11- Solution Manual.pdf
Beer johnston Statics 11- Solution Manual.pdf
Beer johnston Statics 11- Solution Manual.pdf
Beer johnston Statics 11- Solution Manual.pdf
Beer johnston Statics 11- Solution Manual.pdf
Beer johnston Statics 11- Solution Manual.pdf
Beer johnston Statics 11- Solution Manual.pdf
Beer johnston Statics 11- Solution Manual.pdf
Beer johnston Statics 11- Solution Manual.pdf
Beer johnston Statics 11- Solution Manual.pdf
Beer johnston Statics 11- Solution Manual.pdf
Beer johnston Statics 11- Solution Manual.pdf
Beer johnston Statics 11- Solution Manual.pdf
Beer johnston Statics 11- Solution Manual.pdf
Beer johnston Statics 11- Solution Manual.pdf
Beer johnston Statics 11- Solution Manual.pdf
Beer johnston Statics 11- Solution Manual.pdf
Beer johnston Statics 11- Solution Manual.pdf
Beer johnston Statics 11- Solution Manual.pdf
Beer johnston Statics 11- Solution Manual.pdf
Beer johnston Statics 11- Solution Manual.pdf
Beer johnston Statics 11- Solution Manual.pdf
Beer johnston Statics 11- Solution Manual.pdf
Beer johnston Statics 11- Solution Manual.pdf
Beer johnston Statics 11- Solution Manual.pdf
Beer johnston Statics 11- Solution Manual.pdf
Beer johnston Statics 11- Solution Manual.pdf
Beer johnston Statics 11- Solution Manual.pdf
Beer johnston Statics 11- Solution Manual.pdf
Beer johnston Statics 11- Solution Manual.pdf
Beer johnston Statics 11- Solution Manual.pdf
Beer johnston Statics 11- Solution Manual.pdf
Beer johnston Statics 11- Solution Manual.pdf
Beer johnston Statics 11- Solution Manual.pdf
Beer johnston Statics 11- Solution Manual.pdf
Beer johnston Statics 11- Solution Manual.pdf
Beer johnston Statics 11- Solution Manual.pdf
Beer johnston Statics 11- Solution Manual.pdf
Beer johnston Statics 11- Solution Manual.pdf
Beer johnston Statics 11- Solution Manual.pdf
Beer johnston Statics 11- Solution Manual.pdf
Beer johnston Statics 11- Solution Manual.pdf
Beer johnston Statics 11- Solution Manual.pdf
Beer johnston Statics 11- Solution Manual.pdf
Beer johnston Statics 11- Solution Manual.pdf
Beer johnston Statics 11- Solution Manual.pdf
Beer johnston Statics 11- Solution Manual.pdf
Beer johnston Statics 11- Solution Manual.pdf
Beer johnston Statics 11- Solution Manual.pdf
Beer johnston Statics 11- Solution Manual.pdf
Beer johnston Statics 11- Solution Manual.pdf
Beer johnston Statics 11- Solution Manual.pdf
Beer johnston Statics 11- Solution Manual.pdf
Beer johnston Statics 11- Solution Manual.pdf
Beer johnston Statics 11- Solution Manual.pdf
Beer johnston Statics 11- Solution Manual.pdf
Beer johnston Statics 11- Solution Manual.pdf
Beer johnston Statics 11- Solution Manual.pdf
Beer johnston Statics 11- Solution Manual.pdf
Beer johnston Statics 11- Solution Manual.pdf
Beer johnston Statics 11- Solution Manual.pdf
Beer johnston Statics 11- Solution Manual.pdf
Beer johnston Statics 11- Solution Manual.pdf
Beer johnston Statics 11- Solution Manual.pdf
Beer johnston Statics 11- Solution Manual.pdf
Beer johnston Statics 11- Solution Manual.pdf
Beer johnston Statics 11- Solution Manual.pdf
Beer johnston Statics 11- Solution Manual.pdf
Beer johnston Statics 11- Solution Manual.pdf
Beer johnston Statics 11- Solution Manual.pdf
Beer johnston Statics 11- Solution Manual.pdf
Beer johnston Statics 11- Solution Manual.pdf
Beer johnston Statics 11- Solution Manual.pdf
Beer johnston Statics 11- Solution Manual.pdf
Beer johnston Statics 11- Solution Manual.pdf
Beer johnston Statics 11- Solution Manual.pdf
Beer johnston Statics 11- Solution Manual.pdf
Beer johnston Statics 11- Solution Manual.pdf
Beer johnston Statics 11- Solution Manual.pdf
Beer johnston Statics 11- Solution Manual.pdf
Beer johnston Statics 11- Solution Manual.pdf
Beer johnston Statics 11- Solution Manual.pdf
Beer johnston Statics 11- Solution Manual.pdf
Beer johnston Statics 11- Solution Manual.pdf
Beer johnston Statics 11- Solution Manual.pdf
Beer johnston Statics 11- Solution Manual.pdf
Beer johnston Statics 11- Solution Manual.pdf
Beer johnston Statics 11- Solution Manual.pdf
Beer johnston Statics 11- Solution Manual.pdf
Beer johnston Statics 11- Solution Manual.pdf
Beer johnston Statics 11- Solution Manual.pdf
Beer johnston Statics 11- Solution Manual.pdf
Beer johnston Statics 11- Solution Manual.pdf
Beer johnston Statics 11- Solution Manual.pdf
Beer johnston Statics 11- Solution Manual.pdf
Beer johnston Statics 11- Solution Manual.pdf
Beer johnston Statics 11- Solution Manual.pdf
Beer johnston Statics 11- Solution Manual.pdf
Beer johnston Statics 11- Solution Manual.pdf
Beer johnston Statics 11- Solution Manual.pdf
Beer johnston Statics 11- Solution Manual.pdf
Beer johnston Statics 11- Solution Manual.pdf
Beer johnston Statics 11- Solution Manual.pdf
Beer johnston Statics 11- Solution Manual.pdf
Beer johnston Statics 11- Solution Manual.pdf
Beer johnston Statics 11- Solution Manual.pdf
Beer johnston Statics 11- Solution Manual.pdf
Beer johnston Statics 11- Solution Manual.pdf
Beer johnston Statics 11- Solution Manual.pdf
Beer johnston Statics 11- Solution Manual.pdf
Beer johnston Statics 11- Solution Manual.pdf
Beer johnston Statics 11- Solution Manual.pdf
Beer johnston Statics 11- Solution Manual.pdf
Beer johnston Statics 11- Solution Manual.pdf
Beer johnston Statics 11- Solution Manual.pdf
Beer johnston Statics 11- Solution Manual.pdf
Beer johnston Statics 11- Solution Manual.pdf
Beer johnston Statics 11- Solution Manual.pdf
Beer johnston Statics 11- Solution Manual.pdf
Beer johnston Statics 11- Solution Manual.pdf
Beer johnston Statics 11- Solution Manual.pdf
Beer johnston Statics 11- Solution Manual.pdf
Beer johnston Statics 11- Solution Manual.pdf
Beer johnston Statics 11- Solution Manual.pdf
Beer johnston Statics 11- Solution Manual.pdf
Beer johnston Statics 11- Solution Manual.pdf
Beer johnston Statics 11- Solution Manual.pdf
Beer johnston Statics 11- Solution Manual.pdf
Beer johnston Statics 11- Solution Manual.pdf
Beer johnston Statics 11- Solution Manual.pdf
Beer johnston Statics 11- Solution Manual.pdf
Beer johnston Statics 11- Solution Manual.pdf
Beer johnston Statics 11- Solution Manual.pdf
Beer johnston Statics 11- Solution Manual.pdf
Beer johnston Statics 11- Solution Manual.pdf
Beer johnston Statics 11- Solution Manual.pdf
Beer johnston Statics 11- Solution Manual.pdf
Beer johnston Statics 11- Solution Manual.pdf
Beer johnston Statics 11- Solution Manual.pdf
Beer johnston Statics 11- Solution Manual.pdf
Beer johnston Statics 11- Solution Manual.pdf
Beer johnston Statics 11- Solution Manual.pdf
Beer johnston Statics 11- Solution Manual.pdf
Beer johnston Statics 11- Solution Manual.pdf
Beer johnston Statics 11- Solution Manual.pdf
Beer johnston Statics 11- Solution Manual.pdf
Beer johnston Statics 11- Solution Manual.pdf
Beer johnston Statics 11- Solution Manual.pdf
Beer johnston Statics 11- Solution Manual.pdf
Beer johnston Statics 11- Solution Manual.pdf
Beer johnston Statics 11- Solution Manual.pdf
Beer johnston Statics 11- Solution Manual.pdf
Beer johnston Statics 11- Solution Manual.pdf
Beer johnston Statics 11- Solution Manual.pdf
Beer johnston Statics 11- Solution Manual.pdf
Beer johnston Statics 11- Solution Manual.pdf
Beer johnston Statics 11- Solution Manual.pdf
Beer johnston Statics 11- Solution Manual.pdf
Beer johnston Statics 11- Solution Manual.pdf
Beer johnston Statics 11- Solution Manual.pdf
Beer johnston Statics 11- Solution Manual.pdf
Beer johnston Statics 11- Solution Manual.pdf
Beer johnston Statics 11- Solution Manual.pdf
Beer johnston Statics 11- Solution Manual.pdf
Beer johnston Statics 11- Solution Manual.pdf
Beer johnston Statics 11- Solution Manual.pdf
Beer johnston Statics 11- Solution Manual.pdf
Beer johnston Statics 11- Solution Manual.pdf
Beer johnston Statics 11- Solution Manual.pdf
Beer johnston Statics 11- Solution Manual.pdf
Beer johnston Statics 11- Solution Manual.pdf
Beer johnston Statics 11- Solution Manual.pdf
Beer johnston Statics 11- Solution Manual.pdf
Beer johnston Statics 11- Solution Manual.pdf
Beer johnston Statics 11- Solution Manual.pdf
Beer johnston Statics 11- Solution Manual.pdf
Beer johnston Statics 11- Solution Manual.pdf
Beer johnston Statics 11- Solution Manual.pdf
Beer johnston Statics 11- Solution Manual.pdf
Beer johnston Statics 11- Solution Manual.pdf
Beer johnston Statics 11- Solution Manual.pdf
Beer johnston Statics 11- Solution Manual.pdf
Beer johnston Statics 11- Solution Manual.pdf
Beer johnston Statics 11- Solution Manual.pdf
Beer johnston Statics 11- Solution Manual.pdf
Beer johnston Statics 11- Solution Manual.pdf
Beer johnston Statics 11- Solution Manual.pdf
Beer johnston Statics 11- Solution Manual.pdf
Beer johnston Statics 11- Solution Manual.pdf
Beer johnston Statics 11- Solution Manual.pdf
Beer johnston Statics 11- Solution Manual.pdf
Beer johnston Statics 11- Solution Manual.pdf
Beer johnston Statics 11- Solution Manual.pdf
Beer johnston Statics 11- Solution Manual.pdf
Beer johnston Statics 11- Solution Manual.pdf
Beer johnston Statics 11- Solution Manual.pdf
Beer johnston Statics 11- Solution Manual.pdf
Beer johnston Statics 11- Solution Manual.pdf
Beer johnston Statics 11- Solution Manual.pdf
Beer johnston Statics 11- Solution Manual.pdf
Beer johnston Statics 11- Solution Manual.pdf
Beer johnston Statics 11- Solution Manual.pdf
Beer johnston Statics 11- Solution Manual.pdf
Beer johnston Statics 11- Solution Manual.pdf
Beer johnston Statics 11- Solution Manual.pdf
Beer johnston Statics 11- Solution Manual.pdf
Beer johnston Statics 11- Solution Manual.pdf
Beer johnston Statics 11- Solution Manual.pdf
Beer johnston Statics 11- Solution Manual.pdf
Beer johnston Statics 11- Solution Manual.pdf
Beer johnston Statics 11- Solution Manual.pdf
Beer johnston Statics 11- Solution Manual.pdf
Beer johnston Statics 11- Solution Manual.pdf
Beer johnston Statics 11- Solution Manual.pdf
Beer johnston Statics 11- Solution Manual.pdf
Beer johnston Statics 11- Solution Manual.pdf
Beer johnston Statics 11- Solution Manual.pdf
Beer johnston Statics 11- Solution Manual.pdf
Beer johnston Statics 11- Solution Manual.pdf
Beer johnston Statics 11- Solution Manual.pdf
Beer johnston Statics 11- Solution Manual.pdf
Beer johnston Statics 11- Solution Manual.pdf
Beer johnston Statics 11- Solution Manual.pdf
Beer johnston Statics 11- Solution Manual.pdf
Beer johnston Statics 11- Solution Manual.pdf
Beer johnston Statics 11- Solution Manual.pdf
Beer johnston Statics 11- Solution Manual.pdf
Beer johnston Statics 11- Solution Manual.pdf
Beer johnston Statics 11- Solution Manual.pdf
Beer johnston Statics 11- Solution Manual.pdf
Beer johnston Statics 11- Solution Manual.pdf
Beer johnston Statics 11- Solution Manual.pdf
Beer johnston Statics 11- Solution Manual.pdf
Beer johnston Statics 11- Solution Manual.pdf
Beer johnston Statics 11- Solution Manual.pdf
Beer johnston Statics 11- Solution Manual.pdf
Beer johnston Statics 11- Solution Manual.pdf
Beer johnston Statics 11- Solution Manual.pdf
Beer johnston Statics 11- Solution Manual.pdf
Beer johnston Statics 11- Solution Manual.pdf
Beer johnston Statics 11- Solution Manual.pdf
Beer johnston Statics 11- Solution Manual.pdf
Beer johnston Statics 11- Solution Manual.pdf
Beer johnston Statics 11- Solution Manual.pdf
Beer johnston Statics 11- Solution Manual.pdf
Beer johnston Statics 11- Solution Manual.pdf
Beer johnston Statics 11- Solution Manual.pdf
Beer johnston Statics 11- Solution Manual.pdf
Beer johnston Statics 11- Solution Manual.pdf
Beer johnston Statics 11- Solution Manual.pdf
Beer johnston Statics 11- Solution Manual.pdf
Beer johnston Statics 11- Solution Manual.pdf
Beer johnston Statics 11- Solution Manual.pdf
Beer johnston Statics 11- Solution Manual.pdf
Beer johnston Statics 11- Solution Manual.pdf
Beer johnston Statics 11- Solution Manual.pdf
Beer johnston Statics 11- Solution Manual.pdf
Beer johnston Statics 11- Solution Manual.pdf
Beer johnston Statics 11- Solution Manual.pdf
Beer johnston Statics 11- Solution Manual.pdf
Beer johnston Statics 11- Solution Manual.pdf
Beer johnston Statics 11- Solution Manual.pdf
Beer johnston Statics 11- Solution Manual.pdf
Beer johnston Statics 11- Solution Manual.pdf
Beer johnston Statics 11- Solution Manual.pdf
Beer johnston Statics 11- Solution Manual.pdf
Beer johnston Statics 11- Solution Manual.pdf
Beer johnston Statics 11- Solution Manual.pdf
Beer johnston Statics 11- Solution Manual.pdf
Beer johnston Statics 11- Solution Manual.pdf
Beer johnston Statics 11- Solution Manual.pdf
Beer johnston Statics 11- Solution Manual.pdf
Beer johnston Statics 11- Solution Manual.pdf
Beer johnston Statics 11- Solution Manual.pdf
Beer johnston Statics 11- Solution Manual.pdf
Beer johnston Statics 11- Solution Manual.pdf
Beer johnston Statics 11- Solution Manual.pdf
Beer johnston Statics 11- Solution Manual.pdf
Beer johnston Statics 11- Solution Manual.pdf
Beer johnston Statics 11- Solution Manual.pdf
Beer johnston Statics 11- Solution Manual.pdf
Beer johnston Statics 11- Solution Manual.pdf
Beer johnston Statics 11- Solution Manual.pdf
Beer johnston Statics 11- Solution Manual.pdf
Beer johnston Statics 11- Solution Manual.pdf
Beer johnston Statics 11- Solution Manual.pdf
Beer johnston Statics 11- Solution Manual.pdf
Beer johnston Statics 11- Solution Manual.pdf
Beer johnston Statics 11- Solution Manual.pdf
Beer johnston Statics 11- Solution Manual.pdf
Beer johnston Statics 11- Solution Manual.pdf
Beer johnston Statics 11- Solution Manual.pdf
Beer johnston Statics 11- Solution Manual.pdf
Beer johnston Statics 11- Solution Manual.pdf
Beer johnston Statics 11- Solution Manual.pdf
Beer johnston Statics 11- Solution Manual.pdf
Beer johnston Statics 11- Solution Manual.pdf
Beer johnston Statics 11- Solution Manual.pdf
Beer johnston Statics 11- Solution Manual.pdf
Beer johnston Statics 11- Solution Manual.pdf
Beer johnston Statics 11- Solution Manual.pdf
Beer johnston Statics 11- Solution Manual.pdf
Beer johnston Statics 11- Solution Manual.pdf
Beer johnston Statics 11- Solution Manual.pdf
Beer johnston Statics 11- Solution Manual.pdf
Beer johnston Statics 11- Solution Manual.pdf
Beer johnston Statics 11- Solution Manual.pdf
Beer johnston Statics 11- Solution Manual.pdf
Beer johnston Statics 11- Solution Manual.pdf
Beer johnston Statics 11- Solution Manual.pdf
Beer johnston Statics 11- Solution Manual.pdf
Beer johnston Statics 11- Solution Manual.pdf
Beer johnston Statics 11- Solution Manual.pdf
Beer johnston Statics 11- Solution Manual.pdf
Beer johnston Statics 11- Solution Manual.pdf
Beer johnston Statics 11- Solution Manual.pdf
Beer johnston Statics 11- Solution Manual.pdf
Beer johnston Statics 11- Solution Manual.pdf
Beer johnston Statics 11- Solution Manual.pdf
Beer johnston Statics 11- Solution Manual.pdf
Beer johnston Statics 11- Solution Manual.pdf
Beer johnston Statics 11- Solution Manual.pdf
Beer johnston Statics 11- Solution Manual.pdf
Beer johnston Statics 11- Solution Manual.pdf
Beer johnston Statics 11- Solution Manual.pdf
Beer johnston Statics 11- Solution Manual.pdf
Beer johnston Statics 11- Solution Manual.pdf
Beer johnston Statics 11- Solution Manual.pdf
Beer johnston Statics 11- Solution Manual.pdf
Beer johnston Statics 11- Solution Manual.pdf
Beer johnston Statics 11- Solution Manual.pdf
Beer johnston Statics 11- Solution Manual.pdf
Beer johnston Statics 11- Solution Manual.pdf
Beer johnston Statics 11- Solution Manual.pdf
Beer johnston Statics 11- Solution Manual.pdf
Beer johnston Statics 11- Solution Manual.pdf
Beer johnston Statics 11- Solution Manual.pdf
Beer johnston Statics 11- Solution Manual.pdf
Beer johnston Statics 11- Solution Manual.pdf
Beer johnston Statics 11- Solution Manual.pdf
Beer johnston Statics 11- Solution Manual.pdf
Beer johnston Statics 11- Solution Manual.pdf
Beer johnston Statics 11- Solution Manual.pdf
Beer johnston Statics 11- Solution Manual.pdf
Beer johnston Statics 11- Solution Manual.pdf
Beer johnston Statics 11- Solution Manual.pdf
Beer johnston Statics 11- Solution Manual.pdf
Beer johnston Statics 11- Solution Manual.pdf
Beer johnston Statics 11- Solution Manual.pdf
Beer johnston Statics 11- Solution Manual.pdf
Beer johnston Statics 11- Solution Manual.pdf
Beer johnston Statics 11- Solution Manual.pdf
Beer johnston Statics 11- Solution Manual.pdf
Beer johnston Statics 11- Solution Manual.pdf
Beer johnston Statics 11- Solution Manual.pdf
Beer johnston Statics 11- Solution Manual.pdf
Beer johnston Statics 11- Solution Manual.pdf
Beer johnston Statics 11- Solution Manual.pdf
Beer johnston Statics 11- Solution Manual.pdf
Beer johnston Statics 11- Solution Manual.pdf
Beer johnston Statics 11- Solution Manual.pdf
Beer johnston Statics 11- Solution Manual.pdf
Beer johnston Statics 11- Solution Manual.pdf
Beer johnston Statics 11- Solution Manual.pdf
Beer johnston Statics 11- Solution Manual.pdf
Beer johnston Statics 11- Solution Manual.pdf
Beer johnston Statics 11- Solution Manual.pdf
Beer johnston Statics 11- Solution Manual.pdf
Beer johnston Statics 11- Solution Manual.pdf
Beer johnston Statics 11- Solution Manual.pdf
Beer johnston Statics 11- Solution Manual.pdf
Beer johnston Statics 11- Solution Manual.pdf
Beer johnston Statics 11- Solution Manual.pdf
Beer johnston Statics 11- Solution Manual.pdf
Beer johnston Statics 11- Solution Manual.pdf
Beer johnston Statics 11- Solution Manual.pdf
Beer johnston Statics 11- Solution Manual.pdf
Beer johnston Statics 11- Solution Manual.pdf
Beer johnston Statics 11- Solution Manual.pdf
Beer johnston Statics 11- Solution Manual.pdf
Beer johnston Statics 11- Solution Manual.pdf
Beer johnston Statics 11- Solution Manual.pdf
Beer johnston Statics 11- Solution Manual.pdf
Beer johnston Statics 11- Solution Manual.pdf
Beer johnston Statics 11- Solution Manual.pdf
Beer johnston Statics 11- Solution Manual.pdf
Beer johnston Statics 11- Solution Manual.pdf
Beer johnston Statics 11- Solution Manual.pdf
Beer johnston Statics 11- Solution Manual.pdf
Beer johnston Statics 11- Solution Manual.pdf
Beer johnston Statics 11- Solution Manual.pdf

Beer johnston Statics 11- Solution Manual.pdf

  • 1.
    Instructor's and SolutionsManual to accompany Vector Mechanics for Engineers, Statics Eleventh Edition Ferdinand P. Beer Late of Lehigh University E. Russell Johnston, Jr. Late of University of Connecticut David F. Mazurek United States Coast Guard Academy Prepared by Amy Mazurek PROPRIETARY AND CONFIDENTIAL This Manual is the proprietary property of McGraw-Hill Education and protected by copyright and other state and federal laws. This is proprietary material solely for authorized instructor use. Not authorized for sale or distribution in any manner. This document may not be copied, scanned, duplicated, forwarded, distributed, or posted on a website, in whole or part. www.elsolucionario.org
  • 3.
    TO THE INSTRUCTOR Asindicated in its preface, Vector Mechanics for Engineers: Statics is designed for the first course in statics offered in the sophomore year of college. New concepts have, therefore, been presented in simple terms and every step has been explained in detail. However, because of the large number of optional sections which have been included and the maturity of approach which has been achieved, this text can also be used to teach a course which will challenge the more advanced student. The text has been divided into units, each corresponding to a well-defined topic and consisting of one or several theory sections, one or several Sample Problems, a section entitled Solving Problems on Your Own, and a large number of problems to be assigned. To assist instructors in making up a schedule of assignments that will best fit their classes, the various topics covered in the text have been listed in Table I and a suggested number of periods to be spent on each topic has been indicated. Both a minimum and a maximum number of periods have been suggested, and the topics which form the standard basic course in statics have been separated from those which are optional. The total number of periods required to teach the basic material varies from 26 to 39, while covering the entire text would require from 41 to 65 periods. If allowance is made for the time spent for review and exams, it is seen that this text is equally suitable for teaching a basic statics course to students with limited preparation (since this can be done in 39 periods or less) and for teaching a more complete statics course to advanced students (since 41 periods or more are necessary to cover the entire text). In most instances, of course, the instructor will want to include some, but not all, of the additional material presented in the text. In addition, it is noted that the text is suitable for teaching an abridged course in statics which can be used as an introduction to the study of dynamics (see Table I). The problems have been grouped according to the portions of material they illustrate and have been arranged in order of increasing difficulty, with problems requiring special attention indicated by asterisks. We note that, in most cases, problems have been arranged in groups of six or more, all problems of the same group being closely related. This means that instructors will easily find additional problems to amplify a particular point which they may have brought up in discussing a problem assigned for homework. Accessible through Connect are problem sets for each chapter that are designed to be solved with computational software. Solutions for these problems, including analyses of the problems and problem solutions and output for the most widely used computational programs, are also available through Connect. To assist in the preparation of homework assignments, Table II provides a brief description of all groups of problems and a classification of the problems in each group according to the units used. It should also be noted that the answers to all problems are given at the end of the text, except for those with a number in italic. Because of the large number of problems available in both systems of units, the instructor has the choice of assigning problems using SI units and problems using U.S. customary units in whatever proportion is found to be most desirable for a given class. To illustrate this point, sample lesson schedules are shown in Tables III, IV, and V, together with various alternative lists www.elsolucionario.org
  • 4.
    of assigned homeworkproblems. Half of the problems in each of the six lists suggested in Table III and Table V are stated in SI units and half in U.S. customary units. On the other hand, 75% of the problems in the four lists suggested in Table IV are stated in SI units and 25% in U.S. customary units. Since the approach used in this text differs in a number of respects from the approach used in other books, instructors will be well advised to read the preface to Vector Mechanics for Engineers, in which the authors have outlined their general philosophy. In addition, instructors will find in the following pages a description, chapter by chapter, of the more significant features of this text. It is hoped that this material will help instructors in organizing their courses to best fit the needs of their students. Acknowledgement and thanks are given to Amy Mazurek for her careful preparation of the solutions contained in this manual. David Mazurek DESCRIPTION OF THE MATERIAL CONTAINED IN VECTOR MECHANICS FOR ENGINEERS: STATICS, Eleventh Edition Chapter 1 Introduction The material in this chapter can be used as a first assignment or for later reference. The six fundamental principles listed in Sec. 1.2 are introduced separately and are discussed at greater length in the following chapters. Section 1.3 deals with the two systems of units used in the text. The SI metric units are discussed first. The base units are defined and the use of multiples and submultiples is explained. The various SI prefixes are presented in Table 1.1, while the principal SI units used in statics and dynamics are listed in Table 1.2. In the second part of Sec. 1.3, the base U.S. customary units used in mechanics are defined, and in Sec. l.4, it is shown how numerical data stated in U.S. customary units can be converted into SI units, and vice versa. The SI equivalents of the principal U.S. customary units used in statics and dynamics are listed in Table 1.3. The instructor’s attention is called to the fact that the various rules relating to the use of SI units have been observed throughout the text. For instance, multiples and submultiples (such as kN and mm) are used whenever possible to avoid writing more than four digits to the left of the decimal point or zeros to the right of the decimal point. When 5-digit or larger numbers involving SI units are used, spaces rather than commas are utilized to separate digits into groups of three (for example, 20 000 km). Also, prefixes are never used in the denominator of derived units; for example, the constant of a spring which stretches 20 mm under a load of 100 N is expressed as 5 kN/m, not as 5 N/mm. In order to achieve as much uniformity as possible between results expressed respectively in SI and U.S. customary units, a center point, rather than a hyphen, has been used to combine the symbols representing U.S. customary units (for example, 10 lb∙ft); furthermore, the unit of time has been represented by the symbol s, rather than sec, whether SI or U.S. customary units are involved (for example, 5 s, 50 ft/s, 15 m/s). www.elsolucionario.org
  • 5.
    However, the traditionaluse of commas to separate digits into groups of three has been maintained for 5-digit and larger numbers involving U.S. customary units. Chapter 2 Statics of Particles This is the first of two chapters dealing with the fundamental properties of force systems. A simple, intuitive classification of forces has been used: forces acting on a particle (Chap. 2) and forces acting on a rigid body (Chap. 3). Chapter 2 begins with the parallelogram law of addition of forces and with the introduction of the fundamental properties of vectors. In the text, forces and other vector quantities are always shown in bold-face type. Thus, a force F (boldface), which is a vector quantity, is clearly distinguished from the magnitude F (italic) of the force, which is a scalar quantity. On the blackboard and in handwritten work, where bold-face lettering is not practical, vector quantities can be indicated by underlining. Both the magnitude and the direction of a vector quantity must be given to completely define that quantity. Thus, a force F of magnitude F = 280 lb, directed upward to the right at an angle of 25° with the horizontal, is indicated as F = 280 lb 25° when printed or as F = 280 lb 25° when handwritten. Unit vectors i and j are introduced in Sec. 2.7, where the rectangular components of forces are considered. In the early sections of Chap. 2 the following basic topics are presented: the equilibrium of a particle, Newton’s first law, and the concept of the free-body diagram. These first sections provide a review of the methods of plane trigonometry and familiarize the students with the proper use of a calculator. A general procedure for the solution of problems involving concurrent forces is given: when a problem involves only three forces, the use of a force triangle and a trigonometric solution is preferred; when a problem involves more than three forces, the forces should be resolved into rectangular components and the equations ΣFx = 0, ΣFy = 0 should be used. The second part of Chap. 2 deals with forces in space and with the equilibrium of particles in space. Unit vectors are used and forces are expressed in the form F = Fxi + Fyj + Fzk = Fλ, where i, j, and k are the unit vectors directed respectively along the x, y, and z axes, and λ is the unit vector directed along the line of action of F. Note that since this chapter deals only with particles or bodies which can be considered as particles, problems involving compression members have been postponed with only a few exceptions until Chap. 4, where students will learn to handle rigid-body problems in a uniform fashion and will not be tempted to erroneously assume that forces are concurrent or that reactions are directed along members. It should be observed that when SI units are used a body is generally specified by its mass expressed in kilograms. The weight of the body, however, should be expressed in newtons. Therefore, in many equilibrium problems involving SI units, an additional calculation is required before a free-body diagram can be drawn (compare the example in Sec. 2.3C and Sample Probs. 2.5 and 2.9). This apparent disadvantage of the SI system of www.elsolucionario.org
  • 6.
    units, when comparedto the U.S. customary units, will be offset in dynamics, where the mass of a body expressed in kilograms can be entered directly into the equation F = ma, whereas with U.S. customary units the mass of the body must first be determined in lb∙s2 /ft (or slugs) from its weight in pounds. Chapter 3 Rigid Bodies: Equivalent Systems of Forces The principle of transmissibility is presented as the basic assumption of the statics of rigid bodies. However, it is pointed out that this principle can be derived from Newton’s three laws of motion (see Sec. 16.1D of Dynamics). The vector product is then introduced and used to define the moment of a force about a point. The convenience of using the determinant form (Eqs. 3.19 and 3.21) to express the moment of a force about a point should be noted. The scalar product and the mixed triple product are introduced and used to define the moment of a force about an axis. Again, the convenience of using the determinant form (Eqs. 3.41 and 3.44) should be noted. The amount of time which should be assigned to this part of the chapter will depend on the extent to which vector algebra has been considered and used in prerequisite mathematics and physics courses. It is felt that, even with no previous knowledge of vector algebra, a maximum of four periods is adequate (see Table I). In Secs. 3.12 through 3.15 couples are introduced, and it is proved that couples are equivalent if they have the same moment. While this fundamental property of couples is often taken for granted, the authors believe that its rigorous and logical proof is necessary if rigor and logic are to be demanded of the students in the solution of their mechanics problems. In Section 3.3, the concept of equivalent systems of forces is carefully presented. This concept is made more intuitive through the extensive use of free-body-diagram equations (see Figs. 3.34 through 3.41). Note that the moment of a force is either not shown or is represented by a green vector (Figs. 3.10 and 3.22). A red vector with the symbol is used only to represent a couple, that is, an actual system consisting of two forces (Figs. 3.33 through 3.41). Section 3.4D is optional; it introduces the concept of a wrench and shows how the most general system of forces in space can be reduced to this combination of a force and a couple with the same line of action. Since one of the purposes of Chap. 3 is to familiarize students with the fundamental operations of vector algebra, students should be encouraged to solve all problems in this chapter (two-dimensional as well as three-dimensional) using the methods of vector algebra. However, many students may be expected to develop solutions of their own, particularly in the case of two-dimensional problems, based on the direct computation of the moment of a force about a given point as the product of the magnitude of the force and the perpendicular distance to the point considered. Such alternative solutions may occasionally be indicated by the instructor (as in Sample Prob. 3.9), who may then wish to compare the solutions of the sample problems of this chapter with the solutions of the same sample problems given in Chaps. 3 and 4 of the parallel text Mechanics for www.elsolucionario.org
  • 7.
    Engineers. It shouldbe pointed out that in later chapters the use of vector products will generally be reserved for the solution of three-dimensional problems. Chapter 4 Equilibrium of Rigid Bodies In the first part of this chapter, problems involving the equilibrium of rigid bodies in two dimensions are considered and solved using ordinary algebra, while problems involving three dimensions and requiring the full use of vector algebra are discussed in the second part of the chapter. Particular emphasis is placed on the correct drawing and use of free- body diagrams and on the types of reactions produced by various supports and connections (see Figs. 4.1 and 4.10). Note that a distinction is made between hinges used in pairs and hinges used alone; in the first case the reactions consist only of force components, while in the second case the reactions may, if necessary, include couples. For a rigid body in two dimensions, it is shown (Sec. 4.1B) that no more than three independent equations can be written for a given free body, so that a problem involving the equilibrium of a single rigid body can be solved for no more than three unknowns. It is also shown that it is possible to choose equilibrium equations containing only one unknown to avoid the necessity of solving simultaneous equations. Section 4.1C introduces the concepts of statical indeterminacy and partial constraints. Section 4.2 is devoted to the equilibrium of two- and three-force bodies; it is shown how these concepts can be used to simplify the solution of certain problems. This topic is presented only after the general case of equilibrium of a rigid body to lessen the possibility of students misusing this particular method of solution. The equilibrium of a rigid body in three dimensions is considered with full emphasis placed on the free-body diagram. While the tool of vector algebra is freely used to simplify the computations involved, vector algebra does not, and indeed cannot, replace the free-body diagram as the focal point of an equilibrium problem. Therefore, the solution of every sample problem in this section begins with a reference to the drawing of a free-body diagram. Emphasis is also placed on the fact that the number of unknowns and the number of equations must be equal if a structure is to be statically determinate and completely constrained. Chapter 5 Distributed Forces: Centroids and Centers of Gravity Chapter 5 starts by defining the center of gravity of a body as the point of application of the resultant of the weights of the various particles forming the body. This definition is then used to establish the concept of the centroid of an area or line. Section 5.1C introduces the concept of the first moment of an area or line, a concept fundamental to the analysis of shearing stresses in beams in a later study of mechanics of materials. All problems assigned for the first period involve only areas and lines made of simple geometric shapes; thus, they can be solved without using calculus. www.elsolucionario.org
  • 8.
    Section 5.2A explainsthe use of differential elements in the determination of centroids by integration. The theorems of Pappus-Guldinus are given in Sec. 5.2B. Sections 5.3A and 5.3B are optional; they show how the resultant of a distributed load can be determined by evaluating an area and by locating its centroid. Section 5.4 deals with centers of gravity and centroids of volumes. Here again the determination of the centroids of composite shapes precedes the calculation of centroids by integration. It should be noted that when SI units are used, a given material is generally characterized by its density (mass per unit volume, expressed in kg/m3 ), rather than by its specific weight (weight per unit volume, expressed in N/m3 ). The specific weight of the material can then be obtained by multiplying its density by g = 9.81 m/s2 (see footnote, page 234 of the text). Chapter 6 Analysis of Structures In this chapter students learn to determine the internal forces exerted on the members of pin-connected structures. The chapter starts with the statement of Newton’s third law (action and reaction) and is divided into two parts: (a) trusses, that is, structures consisting of two-force members only, (b) frames and machines, that is, structures involving multiforce members. After trusses and simple trusses have been defined in Sec. 6.1A, the method of joints and the method of sections are explained in detail in Sec. 6.1B and Sec. 6.2A, respectively. Since a discussion of Maxwell’s diagram is not included in this text, the use of Bow’s notation has been avoided, and a uniform notation has been used in presenting the method of joints and the method of sections. In the method of joints, a free-body diagram should be drawn for each pin. Since all forces are of known direction, their magnitudes, rather than their components, should be used as unknowns. Following the general procedure outlined in Chap. 2, joints involving only three forces are solved using a force triangle, while joints involving more than three forces are solved by summing x and y components. Sections 6.1C and 6.1D are optional. It is shown in Sec. 6.1C how the analysis of certain trusses can be expedited by recognizing joints under special loading conditions, while in Sec. 6.1D the method of joints is applied to the solution of three-dimensional trusses. It is pointed out in Sec. 6.1B that forces in a simple truss can be determined by analyzing the truss joint by joint and that joints can always be found that involve only two unknown forces. The method of sections (Sec. 6.2A) should be used (a) if only the forces in a few members are desired, or (b) if the truss is not a simple truss and if the solution of simultaneous equations is to be avoided (for example, Fink truss). Students should be urged to draw a separate free-body diagram for each section used. The free body obtained should be emphasized by shading and the intersected members should be removed and replaced by the forces they exerted on the free body. It is shown that, through a judicious choice of equilibrium equations, the force in any given member can be obtained in most cases by solving a single equation. Section 6.2B is optional; it deals with the trusses www.elsolucionario.org
  • 9.
    obtained by combiningseveral simple trusses and discusses the statical determinacy of such structures as well as the completeness of their constraints. Structures involving multiforce members are separated into frames and machines. Frames are designed to support loads, while machines are designed to transmit and modify forces. It is shown that while some frames remain rigid after they have been detached from their supports, others will collapse (Sec. 6.3B). In the latter case, the equations obtained by considering the entire frame as a free body provide necessary but not sufficient conditions for the equilibrium of the frame. It is then necessary to dismember the frame and to consider the equilibrium of its component parts in order to determine the reactions at the external supports. The same procedure is necessary with most machines in order to determine the output force Q from the input force P or inversely (Sec. 6.4). Students should be urged to resolve a force of unknown magnitude and direction into two components but to represent a force of known direction by a single unknown, namely its magnitude. While this rule may sometimes result in slightly more complicated arithmetic, it has the advantage of matching the numbers of equations and unknowns and thus makes it possible for students to know at any time during the computations what is known and what is yet to be determined. Chapter 7 Forces in Beams and Cables This chapter consists of five groups of sections, all of which are optional. The first three groups deal with forces in beams and the last two groups with forces in cables. Most likely the instructor will not have time to cover the entire chapter and will have to choose between beams and cables. Section 7.1 defines the internal forces in a member. While these forces are limited to tension or compression in a straight two-force member, they include a shearing force and a bending couple in the case of multiforce members or curved two-force members. Problems in this section do not make use of sign conventions for shear and bending moment and answers should specify which part of the member is used as the free body. In Section 7.2 the usual sign conventions are introduced and shear and bending-moment diagrams are drawn. All problems in these sections should be solved by drawing the free- body diagrams of the various portions of the beams. The relations among load, shear, and bending moment are introduced in Sec. 7.3. Problems in this section should be solved by evaluating areas under load and shear curves or by formal integration (as in Probs. 7.85 through 7.88). Some instructors may feel that the special methods used in this section detract from the unity achieved in the rest of the text through the use of the free-body diagram, and they may wish to omit Sec. 7.3. Others will feel that the study of shear and bending-moment diagrams is incomplete without this section, and they will want to include it. The latter view is particularly justified when the course in statics is immediately followed by a course in mechanics of materials. www.elsolucionario.org
  • 10.
    Section 7.4 isdevoted to cables, first with concentrated loads and then with distributed loads. In both cases, the analysis is based on free-body diagrams. The differential equation approach is considered in the last problems of this group (Probs. 7.124 through 7.126). Section 7.5 is devoted to catenaries and requires the use of hyperbolic functions. Chapter 8 Friction This chapter not only introduces the general topic of friction but also provides an opportunity for students to consolidate their knowledge of the methods of analysis presented in Chaps. 2, 3, 4, and 6. It is recommended that each course in statics include at least a portion of this chapter. Section 8.1 is devoted to the presentation of the laws of dry friction and to their application to various problems. The different cases which can be encountered are illustrated by diagrams in Figs. 8.2, 8.3, and 8.4. Particular emphasis is placed on the fact that no relation exists between the friction force and the normal force except when motion is impending or when motion is actually taking place. Following the general procedure outlined in Chap. 2, problems involving only three forces are solved by a force triangle, while problems involving more than three forces are solved by summing x and y components. In the first case the reaction of the surface of contact should be represented by the resultant R of the friction force and normal force, while in the second case it should be resolved into its components F and N. Special applications of friction are considered in Secs. 8.2 through 8.4. They are divided into the following groups: wedges and screws (Sec. 8.2); axle and disk friction, rolling resistance (Sec. 8.3); belt friction (Sec. 8.4). The sections on axle and disk friction and on rolling resistance are not essential to the understanding of the rest of the text and thus may be omitted. Chapter 9 Distributed Forces Moments of Inertia The purpose of Sec. 9.1A is to give motivation to the study of moments of inertia of areas. Two examples are considered: one deals with the pure bending of a beam and the other with the hydrostatic forces exerted on a submerged circular gate. It is shown in each case that the solution of the problem reduces to the computation of the moment of inertia of an area. The other sections in the first assignment are devoted to the definition and the computation of rectangular moments of inertia, polar moments of inertia, and the corresponding radii of gyration. It is shown how the same differential element can be used to determine the moment of inertia of an area about each of the two coordinate axes. Section 9.2introduces the parallel-axis theorem and its application to the determination of moments of inertia of composite areas. Particular emphasis is placed on the proper use of the parallel-axis theorem (see Sample Prob. 9.5). Sections 9.3 and 9.4 are optional; they are devoted to products of inertia and to the determination of principal axes of inertia. www.elsolucionario.org
  • 11.
    Sections 9.5 and9.6 deal with the moments of inertia of masses. Particular emphasis is placed on the moments of inertia of thin plates (Sec. 9.5C) and on the use of these plates as differential elements in the computation of moments of inertia of symmetrical three- dimensional bodies (Sec. 9.5D). Section 9.6 is optional but should be used whenever the following dynamics course includes the motion of rigid bodies in three dimensions. Sections 9.6A and 9.6B introduce the moment of inertia of a body with respect to an arbitrary axis as well as the concepts of mass products of inertia and principal axes of inertia. Section 9.6C discusses the determination of the principal axes and principal moments of inertia of a body of arbitrary shape. When solving many of the problems of Chap. 5, information on the specific weight of a material was generally required. This information was readily available in problems stated in U.S. customary units, while it had to be obtained from the density of the material in problems stated in SI units (see the last paragraph of our discussion of Chap. 5). In Chap. 9, when SI units are used, the mass and mass moment of inertia of a given body are respectively obtained in kg and kg∙m2 directly from the dimensions of the body in meters and from its density in kg/m3 . However, if U.S. customary units are used, the density of the body must first be calculated from its specific weight or, alternatively, the weight of the body can be obtained from its dimensions and specific weight and then converted into the corresponding mass expressed in lb∙s2 /ft (or slugs). The mass moment of inertia of the body is then obtained in lb∙ft∙s2 (or slug∙ft2 ). Sample Problem 9.12 provides an example of such a computation. Attention is also called to the footnote on page of the 530 regarding the conversion of mass moments of inertia from U.S. customary units to SI units. Chapter 10 Method of Virtual Work While this chapter is optional, the instructor should give serious consideration to its inclusion in the basic statics course. Indeed, students who learn the method of virtual work in their first course in mechanics will remember it as a fundamental and natural principle. They may, on the other hand, consider it as an artificial device if its presentation is postponed to a more advanced course. Section 10.1 is devoted to the derivation of the principle of virtual work and to its direct application to the solution of equilibrium problems. Section 10.2 introduces the concept of potential energy and shows that equilibrium requires that the derivative of the potential energy be zero. Section 10.1D defines the mechanical efficiency of a machine and Sec. 10.2D discusses the stability of equilibrium. The first groups of problems in each assignment utilize the principle of virtual work as an alternative method for the computation of unknown forces. Subsequent problems call for the determination of positions of equilibrium, while other problems combine the conventional methods of statics with the method of virtual work to determine displacements (Probs. 10.55 through 10.58). www.elsolucionario.org
  • 12.
    xiv TABLE I: LISTOF THE TOPICS COVERED IN VECTOR MECHANICS FOR ENGINEERS: STATICS Suggested Number of Periods Additional Abridged Course to be Sections Topics Basic Course Topics used as an introduction to dynamics+ 1. INTRODUCTION 1.1–6 This material may be used for the first assignment or for later reference 2. STATICS OF PARTICLES 2.1 Addition and Resolution of Forces 0.5–1 0.5–1 2.2 Rectangular Components 0.5–1 0.5–1 2.3 Equilibrium of a Particle 1 1 2.4 Forces in Space 1 1 2.5 Equilibrium in Space 1 1 3. RIGID BODIES: EQUIVALENT SYSTEMS OF FORCES 3.1 Vector Product; Moment of a Force about a Point 1–2 1–2 3.2 Scalar Product; Moment of a Force about an Axis 1–2 1–2 3.3 Couples 1 1 3.4A–4C Equivalent Systems of Forces 1–1.5 1–1.5 *3.4D Reduction of a Wrench 0.5–1 4. EQUILIBRIUM OF RIGID BODIES 4.1A–1B Equilibrium in Two Dimensions 1.5–2 1.5–2 4.1C Indeterminate Reactions; Partial Constraints 0.5–1 4.2 Two- and Three-Force Bodies 1 4.3 Equilibrium in Three Dimensions 2 2 5. CENTROIDS AND CENTERS OF GRAVITY 5.1 Centroids and First Moments of Areas and Lines 1–2 5.2 Centroids by Integration 1–2 5.3 Beams and Submerged Surfaces 1–1.5 5.4 Centroids of Volumes 1–2 6. ANALYSIS OF STRUCTURES 6.1A–1B Trusses by Method of Joints 1–1.5 *6.1C Joints under Special Loading Conditions 0.25–0.5 *6.1D Space Trusses 0.5–1 6.2A Trusses by Method of Sections 1–2 6.2B Combined Trusses 0.25–0.5 6.3 Frames 2–3 1–2 6.4 Machines 1–2 0.5–1.5 7. INTERNAL FORCES AND MOMENTS 7.1 Internal Forces in Members 1 7.2 Shear and Moment Diagrams by FB Diagram 1–2 7.3 Shear and Moment Diagrams by Integration 1–2 *7.4 Cables with Concentrated Loads; Parabolic Cable 1–2 *7.5 Catenary 1 8. FRICTION 8.1 Laws of Friction and Applications 1–2 1–2 8.2 Wedges and Screws 1 *8.3 Axle and Disk Friction; Rolling Resistance 1–2 8.4 Belt Friction 1 9. MOMENTS OF INERTIA 9.1 Moments of Inertial of Areas 1 9.2 Composite Areas 1–2 *9.3 Products of Inertia; Principal Axes 1–2 *9.4 Mohr’s Circle 1 9.5 Moments of Inertia of Masses# 1–2 *9.6 Mass Products of Inertia; Principal Axes and Principal 1–2 Moments of Inertia 10. METHOD OF VIRTUAL WORK 10.1A–1C Principle of Virtual Work 1–2 10.1D Mechanical Efficiency 0.5–1 10.2 Potential Energy; Stability 1–1.5 Total Number of Periods 26–39 15–26 14–21 + A sample assignment schedule for a course in dynamics including this minimum amount of introductory material in statics is given Table V. It is recommended that a more complete statics course, such as the one outlined in Tables III and IV of this manual, be used in curricula which include the study of mechanics of materials. # Mass moments of inertia have not been included in the basic statics course since this material is often taught in dynamics. www.elsolucionario.org
  • 13.
    TABLE II: CLASSIFICATIONAND DESCRIPTION OF PROBLEMS Problem Number* SI Units U.S. Units Problem Description * Problems which do not involve any specific system of units have been indicated by underlining their number. Answers are not given to problems with a number set in italic type. xv CHAPTER 2: STATICS OF PARTICLES FORCES IN A PLANE Resultant of concurrent forces 2.1, 3 2.2, 4 graphical method 2.5, 8 2.6, 7 law of sines 2.9, 10 2.11, 12 2.14 2.13 special problems 2.16, 18 2.15, 17 laws of cosines and sines 2.19, 20 Rectangular components of force 2.22, 23 2.21, 24 simple problems 2.25, 27 2.26, 28 more advanced problems 2.29, 30 2.32, 34 2.31, 33 Resultant by ΣFx = 0, ΣFy = 0 2.35, 36 2.37, 38 2.39, 40 2.41, 42 Select force so that resultant has a given direction 2.F1, F4 2.F2, F3 Free Body Practice Problems Equilibrium. Free-Body Diagram 2.44, 45 2.43, 48 equilibrium of 3 forces 2.46, 47 2.49, 50 2.51, 52 equilibrium of 4 forces 2.53, 54 2.55, 56 2.57, 58 2.59, 60 find parameter to satisfy specified conditions 2.61, 62 2.63, 64 2.65, 66 2.67, 68 special problems 2.69, 70 FORCES IN SPACE Rectangular components of a force in space 2.71, 72 2.75, 76 given F, θ, and φ, find components and direction angles 2.73, 74 2.77, 78 2.80, 82 2.81, 82 relations between components and direction angles 2.83, 84 2.85, 86 2.87, 88 direction of force defined by two points on its line of action 2.89, 90 2.91, 92 2.93, 94 resultant of two or three forces 2.95, 96 2.97, 98 2.F5, F6 2.F7, F8 Free Body Practice Problems Equilibrium of a particle in space 2.99, 100 2.103, 104 load applied to three cables, introductory problems 2.101, 102 www.elsolucionario.org
  • 14.
    TABLE II: CLASSIFICATIONAND DESCRIPTION OF PROBLEMS (CONTINUED) Problem Number* SI Units U.S. Units Problem Description * Problems which do not involve any specific system of units have been indicated by underlining their number. Answers are not given to problems with a number set in italic type. xvi 2.107, 108 2.105, 106 intermediate problems 2.109, 110 2.111, 112 2.115, 116 2.113, 114 advanced problems 2.117, 118 2.119, 120 2.121, 122 2.123, 124 problems involving cable through ring 2.125, 126 special problems 2.127, 131 2.128, 129 Review problems 2.132, 134 2.130, 133 2.135, 136 2.137, 138 2.C1, C3 2.C2 Computer problems 2.C4 2.C5 CHAPTER 3: RIGID BODIES; EQUIVALENT SYSTEMS OF FORCES Moment of a force about a point: Two dimensions 3.1, 2 3.3, 6 introductory problems 3.4, 5 3.7, 8 3.9, 10 3.11, 12 direction of a force defined by two points on its line of action 3.13, 14 3.15 derivation of a formula 3.17, 18 3.16 applications of the vector product Moment of a force about a point: Three dimensions 3.19 3.20 computing M = r × F, introductory problems 3.21, 23 3.22, 25 computing M = r × F, more involved problems 3.24, 26 3.28, 29 3.27, 30 using M to find the perpendicular distance from a point to a line 3.32, 33 3.31, 34 3.35 3.36 Scalar Product 3.37, 38 3.39, 40 Finding the angle between two lines 3.41, 42 3.43, 44 3.45 3.46 Mixed triple product 3.47, 48 3.49, 50 Moment of a force about the coordinate axes 3.51, 52 3.53, 54 3.57, 58 3.55, 56 Moment of a force about an oblique axis 3.59, 60 3.61, 62 3.63 *3.66, *67 *3.64, *65 Finding the perpendicular distance between two lines *3.68, *69 3.70, 71 3.72, 73 Couples in two dimensions 3.74 3.78, 79 3.75, 76 Couples in three dimensions 3.77, 80 www.elsolucionario.org
  • 15.
    TABLE II: CLASSIFICATIONAND DESCRIPTION OF PROBLEMS (CONTINUED) Problem Number* SI Units U.S. Units Problem Description * Problems which do not involve any specific system of units have been indicated by underlining their number. Answers are not given to problems with a number set in italic type. xvii 3.81, 83 3.82, 84 Replacing a force by an equivalent force-couple system: two dimensions 3.85, 86 3.87, 88 3.89, 91 Replacing a force-couple system by an equivalent force or forces 3.90, 92 3.93, 95 3.94, 97 Replacing a force by an equivalent force-couple system: three dimensions 3.96, 98 3.99, 100 3.101, 102 3.104 Equivalent force-couple systems 3.103 3.107 3.105, 106 Finding the resultant of parallel forces: two dimensions 3.110, 111 3.108, 109 Finding the resultant and its line of action: two dimensions 3.116, 117 3.112, 113 3.118 3.114, 115 3.119, 120 3.121, 122 Reducing a three-dimensional system of forces to a single force-couple system 3.124, 125 3.123, 126 3.127, 128 3.129, 130 Finding the resultant of parallel forces: three dimensions *3.131, *132 Reducing three-dimensional systems of forces or forces and couples to a wrench *3.133, *135 *3.134, *136 axis of wrench is parallel to a coordinate axis or passes through O *3.137 force-couple system parallel to the coordinate axes *3.139, 140 *3.138 general, three-dimensional case *3.141 *3.142 special cases where the wrench reduces to a single force *3.143, *144 *3.145, *146 special, more advanced problems 3.147, 148 3.149, 150 Review problems 3.151, 153 3.152, 154 3.156, 157 3.155, 158 3.C1, C4 3.C2, C3 Computer problems 3.C5 3.C6 CHAPTER 4: EQUILIBRIUM OF RIGID BODIES EQUILIBRIUM IN TWO DIMENSIONS 4.F1, F4 4.F2, F3 Free Body Practice Problems 4.1, 2 4.3, 4 Parallel forces 4.5, 6 4.7, 8 4.9, 10 4.12, 14 Parallel forces, find range of values of loads to satisfy multiple criteria 4.11, 13 4.15, 16 4.17, 18 Rigid bodies with one reaction of unknown direction and one of known direction 4.19, 20 4.22, 25 4.21, 23 4.26, 28 4.24, 27 4.29, 30 4.33, 34 4.31, 32 4.35, 36 4.37, 38 Rigid bodies with three reactions of known direction 4.39, 40 4.41, 42 www.elsolucionario.org
  • 16.
    TABLE II: CLASSIFICATIONAND DESCRIPTION OF PROBLEMS (CONTINUED) Problem Number* SI Units U.S. Units Problem Description * Problems which do not involve any specific system of units have been indicated by underlining their number. Answers are not given to problems with a number set in italic type. xviii 4.45, 46 4.43, 44 Rigid bodies with a couple included in the reactions 4.47, 50 4.48, 49 4.51, 52 4.53, 54 Find position of rigid body in equilibrium 4.56, 58 4.55, 57 4.59 4.60 Partial constraints, statical indeterminacy Three-force bodies 4.62, 63 4.61, 64 simple geometry, solution of a right triangle required 4.65, 67 4.66, 68 simple geometry, frame includes a two-force member 4.69, 70 4.71, 72 more involved geometry 4.73, 74 4.75, 76 4.77, 79 4.78, 81 4.80 4.82 4.83, 84 4.86, 87 find position of equilibrium 4.85, 88 4.89, 90 EQUILIBRIUM IN THREE DIMENSIONS 4.F6, F7 4.F5 Free Body Practice Problems 4.91, 92 4.93, 94 Rigid bodies with two hinges along a coordinate axis and 4.95, 96 an additional reaction parallel to another coordinate axis 4.99, 100 4.97, 98 Rigid bodies supported by three vertical wires or by vertical reactions 4.101, 102 4.103, 104 4.106, 107 4.105, 110 Derrick and boom problems involving unknown tension in two cables 4.108, 109 4.111, 112 4.113, 114 4.115, 116 Rigid bodies with two hinges along a coordinate axis and an additional 4.117, 118 reaction not parallel to a coordinate axis 4.119, 122 4.120, 121 Problems involving couples as part of the reaction at a hinge 4.123, 124 4.125, 126 Advanced problems 4.129, 130 4.127, 128 4.131, 132 4.133, 134 4.135, 136 Problems involving taking moments about an oblique line passing 4.138, 139 4.137, 140 through two supports 4.141 4.144, 145 4.142, 143 Review problems 4.146, 148 4.147, 149 4.150, 153 4.151, 152 4.C2, C5 4.C1, C3 Computer problems 4.C6 4.C4 CHAPTER 5: DISTRIBUTED FORCES: CENTROIDS AND CENTERS OF GRAVITY Centroid of an area formed by combining 5.1, 3 5.2 rectangles and triangles 5.4 5.6, 9 5.5, 7 rectangles, triangles, and portions of circular areas 5.8 www.elsolucionario.org
  • 17.
    TABLE II: CLASSIFICATIONAND DESCRIPTION OF PROBLEMS (CONTINUED) Problem Number* SI Units U.S. Units Problem Description * Problems which do not involve any specific system of units have been indicated by underlining their number. Answers are not given to problems with a number set in italic type. xix 5.11, 12 5.10, 13 triangles, portions of circular or elliptical areas, and areas of analytical 5.14, 15 functions 5.16, 17 5.18, 19 Derive expression for location of centroid 5.20, 22 5.21, 23 First moment of an area 5.24, 25 5.26, 27 Center of gravity of a wire figure 5.29, 30 5.28, 33 Equilibrium of wire figures 5.31, 32 Find dimension to maximize distance to centroid Use integration to find centroid of 5.36 5.34, 35 simple areas 5.37, 38 5.39 areas obtained by combining shapes of Fig. 5.8A 5.40 5.41 5.42 parabolic area 5.43 5.44 areas defined by different functions over the interval of interest 5.45, 46 *5.47 homogeneous wires *5.48, *49 areas defined by exponential or cosine functions 5.50, 51 areas defined by a hyperbola Find areas or volumes by Pappus - Guldinus 5.52, 54 5.53, 56 rotate simple geometric figures 5.55, 57 5.60, 61 5.58, 59 practical applications 5.64, *65 5.62, 63 Distributed load on beams 5.66, 67 resultant of loading 5.71 5.68, 69 reactions at supports 5.70 5.73 5.72 parabolic loadings 5.74, 75 5.76, 77 special problems 5.78, 79 Forces on submerged surfaces 5.81, 82 5.80, 84 reactions on dams or vertical gates 5.83, 86 5.85 5.87 5.88, 89 5.90, 91 reactions on non-vertical gates 5.92, 93 5.94, 95 Centroids and centers of gravity of three-dimensional bodies 5.98, 99 5.96, 97 composite bodies formed from two common shapes 5.100, 101 5.102, 103 composite bodies formed from three or more elements 5.104, 105 5.106, 107 5.108, 109 composite bodies formed from a material of uniform thickness 5.110, 113 5.111, 112 5.114, 116 5.115, 117 composite bodies formed from a wire or structural shape of uniform cross section 5.118, 121 5.119, 120 composite bodies made of two different materials use integration to locate the centroid of 5.122 5.123, 124 standard shapes: single integration 5.125, 126 *5.128, *129 bodies of revolution: single integration 5.127 www.elsolucionario.org
  • 18.
    TABLE II: CLASSIFICATIONAND DESCRIPTION OF PROBLEMS (CONTINUED) Problem Number* SI Units U.S. Units Problem Description * Problems which do not involve any specific system of units have been indicated by underlining their number. Answers are not given to problems with a number set in italic type. xx 5.132 *5.130, 131 special applications: single integration 5.133, *134 bodies formed by cutting a standard shape with an oblique plane: single integration 5.135, 136 special applications: double integration 5.138, 141 5.137, 139 Review problems 5.142, 144 5.140, 143 5.145, 148 5.146, 147 5.C2, C3 5.C1, C4 Computer problems 5.C5, C6 *5.C7 CHAPTER 6: ANALYSIS OF STRUCTURES TRUSSES Method of joints 6.2, 4 6.1, 3 simple problems 6.6, 8 6.5, 7 6.9, 10 6.11, 12 problems of average difficulty 6.13, 14 6.17, 18 6.15, 16 more advanced problems 6.21, 24 6.19, 20 6.25, 26 6.22, 23 6.27, 28 6.29, 30 designate simple trusses 6.32, 34 6.31, 33 find zero-force members *6.36, *37 *6.35, *38 space trusses *6.39, *40 *6.41, *42 Method of sections 6.43, 44 6.45, 46 two of the members cut are parallel 6.47, 48 6.49, 50 6.51, 52 none of the members cut are parallel 6.53, 54 6.57, 58 6.55, 56 6.59, 60 6.61, 62 6.63, 64 K-type trusses 6.65, 66 6.67, 68 trusses with counters 6.69, 70 6.71, 72 Classify trusses according to constraints 6.73, 74 FRAMES AND MACHINES 6.F1, F4 6.F2, F3 Free Body Practice Problems – Frames Analysis of Frames 6.75, 77 6.76, 78 easy problems 6.79, 80 6.81, 82 www.elsolucionario.org
  • 19.
    TABLE II: CLASSIFICATIONAND DESCRIPTION OF PROBLEMS (CONTINUED) Problem Number* SI Units U.S. Units Problem Description * Problems which do not involve any specific system of units have been indicated by underlining their number. Answers are not given to problems with a number set in italic type. xxi 6.83, 84 6.87, 88 problems where internal forces are changed by repositioning a couple or by 6.85, 86 6.89 moving a force along its line of action 6.90 replacement of pulleys by equivalent loadings 6.91, 92 6.93, 94 analysis of frames supporting pulleys or pipes 6.95, 96 analysis of highway vehicles 6.97, 98 6.99, 100 analysis of frames consisting of multiforce members 6.101, 102 6.103, 104 6.105, 106 6.107, 108 6.109, 110 problems involving the solution of simultaneous equations 6.112, 113 6.111, 114 6.115 6.116 6.117 6.118 unusual floor systems 6.119, 120 6.121 rigid and non-rigid frames 6.F6, F8 6.F5, F7 Free Body Practice Problems – Machines Analysis of Machines 6.122, 125 6.123, 124 toggle-type machines 6.126, 127 6.128 6.131, 132 6.129, 130 machines involving cranks 6.133, 134 6.137, 138 6.135, 136 machines involving a crank with a collar 6.139, 140 robotic machines 6.143, 144 6.141, 142 tongs 6.147, 148 6.145, 146 pliers, boltcutters, pruning shears 6.149, 150 6.151, 152 wrench, find force to maintain position of toggle 6.155, 156 6.153, 154 force in hydraulic cylinder 6.157, 158 6.159, 160 *6.161, *162 gears and universal joints *6.163 special tongs 6.164, 165 6.166, 167 Review problems 6.169, 170 6.168, 171 6.173, 174 6.172, 175 6.C2, C4 6.C1, C3 Computer problems 6.C6 6.C5 www.elsolucionario.org
  • 20.
    TABLE II: CLASSIFICATIONAND DESCRIPTION OF PROBLEMS (CONTINUED) Problem Number* SI Units U.S. Units Problem Description * Problems which do not involve any specific system of units have been indicated by underlining their number. Answers are not given to problems with a number set in italic type. xxii CHAPTER 7: FORCES IN BEAMS AND CABLES Internal forces in members 7.3, 4 7.1, 2 simple frames 7.5, 6 7.9, 10 7.7, 8 curved members 7.11, 12 7.13, 14 7.15, 16 7.17, 18 frames with pulleys or pipes 7.19, 20 7.21, 22 effect of supports 7.23, 24 7.25, 26 bending moment in circular rods due to their own weight 7.27, 28 BEAMS Shear and bending-moment diagrams using portions of beam as free bodies 7.29, 30 7.31, 32 problems involving no numerical values 7.33, 34 7.35, 36 7.37, 38 beams with concentrated loads 7.39, 40 7.41, 42 beams with mixed loads 7.43, 44 7.45, 46 beams resting on the ground 7.47, 48 7.49, 50 7.51, 52 beams subjected to forces and couples 7.53, 54 7.55, 56 7.59, 60 find value of parameter to minimize absolute value of bending moment 7.57, 58 7.61, *62 Shear and bending-moment diagrams using relations among ω, V, and M 7.63, 64 7.65, 66 problems involving no numerical values 7.67, 68 7.69, 70 7.73, 74 problems involving numerical values 7.71, 72 7.75, 76 7.77, 78 7.81, 82 find magnitude and location of maximum bending moment 7.79, 80 7.83, 84 7.85, 88 7.86, 87 Determine V and M by integrating ω twice 7.89, 90 *7.91, *92 Find values of loads given bending moment at two points CABLES Cables with concentrated loads 7.93, 94 7.95, 96 vertical loads 7.97, 98 7.99, 100 7.101, 102 7.103, 104 horizontal and vertical loads 7.105, 106 Parabolic cables 7.107, 108 7.109, 110 supports at the same elevation 7.112, 113 7.111, 114 7.115, 116 7.117, 118 supports at different elevations www.elsolucionario.org
  • 21.
    TABLE II: CLASSIFICATIONAND DESCRIPTION OF PROBLEMS (CONTINUED) Problem Number* SI Units U.S. Units Problem Description * Problems which do not involve any specific system of units have been indicated by underlining their number. Answers are not given to problems with a number set in italic type. xxiii *7.119 Derive analogy between a beam and a cable 7.120, 121 7.122, 123 use analogy to solve previous problems *7.124 *7.125, *126 Derive or use d 2 y/dx 2 = w(x) T0 Catenary 7.129, 130 7.127, 128 given length of cable and sag or Tm , find span of cable 7.131, 132 7.133, 136 7.134, 135 given span and length of cable, find sag and/or weight 7.139, 140 7.137, 138 given span, Tm , and w, find sag 7.141, 142 7.143, 144 given T0 , w, and sag or slope, find span or sag 7.145, 146 *7.147, *148 *7.151, *152 7.149, *150 special problems *7.153 7.154, 155 7.156, 158 Review problems 7.157, 159 7.160, 161 7.163, 164 7.162, 165 7.C2, C4 7.C1, C3 Computer problems 7.C5, C6 CHAPTER 8: FRICTION 8.F1, F4 8.F2, F3 Free Body Practice Problems – Frames 8.1, 2 8.3, 4 For given loading, determine whether block is in equilibrium and find friction force 8.7, 9 8.5, 6 Find minimum force required to start, maintain, or prevent motion 8.10 8.8 8.13, 14 8.11, 12 Analyze motion of several blocks 8.15, 16 8.17, 18 Sliding and/or tipping of a rigid body 8.21, 22 8.19, 20 Problems involving wheels and cylinders 8.25, 26 8.23, 24 Problems involving rods 8.27, 28 8.29, 30 Analysis of mechanisms with friction 8.32, 33 8.31, 34 8.35 8.37, 39 8.36, 38 Analysis of more advanced rod and beam problems 8.40 8.41, 42 8.43, 44 8.46, 47 Analysis of systems with possibility of slippage for various loadings 8.45 8.48, 49 8.52, 53 Wedges, introductory problems 8.50, 51 8.57 8.54, 55 8.56 8.59, 64 8.58, 60 Wedges, more advanced problems 8.65 8.61, 62 *8.66, *67 8.63 www.elsolucionario.org
  • 22.
    TABLE II: CLASSIFICATIONAND DESCRIPTION OF PROBLEMS (CONTINUED) Problem Number* SI Units U.S. Units Problem Description * Problems which do not involve any specific system of units have been indicated by underlining their number. Answers are not given to problems with a number set in italic type. xxiv 8.68 8.69, 70 Square-threaded screws 8.72, 73 8.71, 74 8.75, 76 8.77, 79 8.78, 83 Axle friction 8.80, 81 8.84, 87 8.82, 85 8.88, 89 8.86, 91 8.90 8.92, *94 8.93, 97 Disk friction *8.95, *96 8.100, 101 8.98, 99 Rolling resistance 8.102 Belt friction 8.105, 106 8.103, 104 belt passing over fixed drum 8.107, 108 8.109, 112 8.110, 111 transmission belts and band brakes 8.113, 114 8.115, 116 8.117 8.118, 119 8.120, 121 advanced problems 8.124, 125 8.122, 123 8.126, 127 8.128, 129 8.132, 133 8.130, 131 derivations, V belts 8.134, 135 8.136, 137 Review problems 8.138, 139 8.140, 141 8.143, 144 8.142, 145 8.C1, C3 8.C2, C5 Computer problems 8.C4, C6 8.C7 8.C8 CHAPTER 9: DISTRIBUTED FORCES: MOMENTS OF INERTIA MOMENTS OF INERTIA OF AREAS Find by direct integration 9.1, 3 9.2, 4 moments of inertia of an area 9.6, 8 9.5, 7 9.9, 12 9.10, 11 9.13, 14 9.15, 17 9.16, 18 moments of inertia and radii of gyration of an area 9.19, 20 9.21, 22 9.23, 24 polar moments of inertia and polar radii of gyration of an area 9.25, 26 9.27, 28 *9.29 *9.30 Special problems Parallel-axis theorem applied to composite areas to find 9.31, 33 9.32, 34 moment of inertia and radius of gyration 9.35, 36 www.elsolucionario.org
  • 23.
    TABLE II: CLASSIFICATIONAND DESCRIPTION OF PROBLEMS (CONTINUED) Problem Number* SI Units U.S. Units Problem Description * Problems which do not involve any specific system of units have been indicated by underlining their number. Answers are not given to problems with a number set in italic type. xxv 9.39, 40 9.37, 38 centroidal moment of inertia, given I or J 9.41, 42 9.43, 44 centroidal moments of inertia 9.47, 48 9.45, 46 centroidal polar moment of inertia centroidal moments of inertia of composite areas consisting of rolled-steel shapes: 9.49, 52 9.50, 51 doubly-symmetrical composite areas 9.54, 55 9.53, 56 singly-symmetrical composite areas (first locate centroid of area) Center of pressure 9.58, *60 9.57, 59 for end panel of a trough 9.61, 62 for a submerged vertical gate or cover *9.64 *9.63 used to locate centroid of a volume *9.65 *9.66 special problems Products of inertia of areas found by 9.67, 68 9.69, 70 direct integration 9.71, 72 9.73, 74 parallel-axis theorem 9.75, 78 9.76, 77 Using the equations defining the moments and products of inertia with respect to rotated axes to find 9.79, 80 9.81, 83 Ix', Iy', Ix'y' for a given angle of rotation 9.82, 84 9.85, 86 9.87, 89 principal axes and principal moments of inertia 9.88, 90 Using Mohr's circle to find 9.91, 92 9.93, 95 Ix', Iy', Ix'y' for a given angle of rotation 9.94, 96 9.97, 98 9.99, 100 principal axes and principal moments of inertia 9.101, 102 9.104, 105 9.103, *106 9.107, 108 9.109, 110 Special problems MOMENTS OF INERTIA OF MASSES Mass moment of inertia 9.111, 112 9.113, 114 of thin plates: two-dimensions 9.117, 118 9.115, 116 9.119, 120 9.121, 122 of simple geometric shapes by direct single integration 9.123, 125 9.124, *126 9.128 9.127 and radius of gyration of composite bodies 9.129, 130 9.131, 134 special problems using the parallel-axis theorem 9.132, 133 9.135, 136 9.138, 139 of bodies formed of sheet metal or of thin plates: three-dimensions 9.137, *140 9.141, 142 9.143, 144 of machine elements and of bodies formed of homogeneous wire 9.145, 148 9.146, 147 Mass products of inertia 9.149, 150 9.151, 152 of machine elements 9.153, 154 of bodies formed of sheet metal or of thin plates 9.155, 156 9.157, 158 9.159, 160 of bodies formed of homogeneous wire 9.162 9.161 Derivation and special problem www.elsolucionario.org
  • 24.
    TABLE II: CLASSIFICATIONAND DESCRIPTION OF PROBLEMS (CONTINUED) Problem Number* SI Units U.S. Units Problem Description * Problems which do not involve any specific system of units have been indicated by underlining their number. Answers are not given to problems with a number set in italic type. xxvi 9.165, 166 9.163, 164 Mass moment of inertia of a body with respect to a skew axis 9.169, 170 9.167, 168 9.171, 172 9.175, 176 9.173, 174 Ellipsoid of inertia and special problems 9.177, 178 *9.179, *180 *9.182, *183 Principal mass moments of inertia and principal axes of inertia *9.181, *184 9.187, 188 9.185, 186 Review problems 9.189, 193 9.190, 191 9.194, 195 9.192, 196 9.C3, C5 9.C1, C2 Computer problems *9.C7, *C8 9.C4, C6 CHAPTER 10: METHOD OF VIRTUAL WORK For linkages and simple machines, find 10.1, 3 10.2, 4 force or couple required for equilibrium (linear relations among displacements) 10.5, 6 10.7, 8 10.11, 12 10.9, 10 force required for equilibrium (trigonometric relations among displacements) 10.13, 14 10.17, 18 10.15, 16 couple required for equilibrium (trigonometric relations among displacements) 10.21, 22 10.19, 20 force or couple required for equilibrium Find position of equilibrium 10.23, 24 10.25, 26 for numerical values of loads 10.27, 28 10.29, 32 10.30, 31 linear springs included in mechanism 10.33, 34 10.36, 38 10.35, 37 10.39, 40 torsional spring included in mechanism 10.43, 44 10.41, 42 Problems requiring the use of the law of cosines 10.45, 46 10.48, 50 10.47, 49 Problems involving the effect of friction 10.51, 52 Use method of virtual work to find: 10.53, 54 reactions of a beam 10.55 10.56 internal forces in a mechanism 10.57, 58 movement of a truss joint Potential energy method used to 10.62, 63 10.59, 60 solve problems from Sec. 10.4 10.64, 65 10.61, 66 10.67 10.68 establish that equilibrium is neutral find position of equilibrium and determine its stability for a system involving: 10.69, 72 10.70, 71 gears and drums 10.73, 74 torsional springs 10.77, 78 10.75, 76 linear springs 10.79, 82 10.80, 81 10.85, 86 10.87, 88 www.elsolucionario.org
  • 25.
    TABLE II: CLASSIFICATIONAND DESCRIPTION OF PROBLEMS (CONTINUED) Problem Number* SI Units U.S. Units Problem Description * Problems which do not involve any specific system of units have been indicated by underlining their number. Answers are not given to problems with a number set in italic type. xxvii 10.83, 84 two applied forces determine stability of a known position of equilibrium for a system with 10.89, 93 10.90, 91 one degree of freedom 10.94, 96 10.92, 95 *10.97, *98 *10.99, *100 two degrees of freedom 10.103, 104 10.101, 102 Review problems 10.105, 107 10.106, 108 10.111, 112 10.109, 110 10.C2, C3 10.C1, C4 Computer problems 10.C5, C6 10.C7 www.elsolucionario.org
  • 26.
    TABLE III: SAMPLEASSIGNMENT SCHEDULE FOR A COURSE IN STATICS This schedule includes all of the material of VECTOR MECHANICS FOR ENGINEERS: STATICS with the exception of Sections 3.4D, 6.1D, 7.4–7.5, 8.3, and 9.6C. 50% OF THE PROBLEMS IN EACH OF THE FOLLOWING LISTS USE SI UNITS AND 50% U.S. CUSTOMARY UNITS ANSWERS TO ALL OF THESE PROBLEMS ARE GIVEN IN THE BACK OF THE BOOK NO ANSWERS ARE GIVEN IN THE BOOK FOR ANY OF THESE PROBLEMS Period Sections Topics List 1 List 2 List 3 List 4 List 5 List 6 1 1.1–6 Introduction 2 2.1–2 Addition and Resolution of Forces 2.5, 15, 27, 31 2.10, 17, 29, 37 2.11, 16, 26, 36 2.6, 19, 28, 35 2.12, 18, 30, 33 2.7, 20, 25, 38 3 2.3 Equilibrium of a Particle 2.43, 50, 63, 65 2.48, 49, 59, 69 2.46, 55, 61, 67 2.44, 51, 62, 68 2.45, 56, 64, 66 2.47, 52, 60, 70 4 2.4 Forces in Space 2.71, 81, 85, 97 2.72, 82, 89, 94 2.75, 84, 88, 92 2.77, 79, 87, 91 2.76, 80, 86, 93 2.78, 83, 90, 98 5 2.5 Equilibrium in Space 2.103, 107, 119, 125 2.104, 108, 113, 121 2.101, 106, 116, 123 2.99, 112, 115, 124 2.102, 105, 120, 126 2.100, 111, 114, 122 6 3.1 Vector Product, Moment of a Force about a Point 3.4, 12, 23, 27 3.5, 11, 26, 30 3.7, 13, 25, 28 3.6, 9, 22, 29 3.3, 14, 21, 31 3.8, 10, 24, 34 7 3.2 Scalar Product, Moment of a Force about an Axis 3.43, 48, 61, *68 3.39, 47, 55, *67 3.41, 53, 57, *64 3.37, 49, 58, *65 3.42, 50, 56, *69 3.38, 54, 62, *66 8 3.3 Couples 3.71, 84, 87, 99 3.70, 82, 90, 97 3.73, 86, 89, 96 3.80, 83, 91, 95 3.75, 85, 88, 100 3.72, 81, 92, 94 9 3.4 Equivalent Systems of Forces 3.106, 111, 126, 127 3.105, 110, 122, 128 3.102, 108, 120, 129 3.101, 114, 119, 130 3.107, 112, 121, 131 3.103, 109, 123, 132 10 EXAM NUMBER ONE 11 4.1 Equilibrium in Two Dimensions 4.1, 14, 19, 23 4.2, 12, 15, 24 4.4, 13, 17, 25 4.7, 9, 18, 22 4.3, 10, 16, 27 4.8, 11, 20, 21 12 4.1 Equilibrium in Two Dimensions 4.34, 36, 43, 52 4.33, 35, 48, 51 4.31, 42, 46, 57 4.32, 41, 47, 55 4.30, 37, 44, 58 4.29, 38, 49, 56 13 4.2 Two- and Three-Force Bodies 4.63, 72, 75, 86 4.62, 71, 81, 90 4.66, 73, 77, 88 4.61, 69, 79, 83 4.68, 74, 76, 87 4.64, 70, 82, 89 14 4.3 Equilibrium in Three Dimensions 4.93, 100, 110, 117 4.94, 99, 105, 113 4.91, 103, 107, 116 4.95, 97, 106, 115 4.92, 104, 111, 118 4.96, 98, 112, 114 15 4.3 Equilibrium in Three Dimensions 4.122, 127, 133 4.119, 128, 138 4.121, 131, 135 4.120, 129, 140 4.126, 132, 134 4.125, 130, 139 16 5.1 Centroids and First Moments 5.1, 10, 24, 33 5.3, 13, 20, 26 5.5, 14, 23, 30 5.2, 11, 21, 31 5.8, 15, 25, 28 5.7, 12, 22, 27 17 5.2 Centroids by Integration 5.34, 43, 58, 64 5.35, 40, 53, 60 5.37, 44, 54, 63 5.39, 41, 52, 62 5.38, 42, 59, *65 5.36, *47, 56, 61 18 5.3 Beams and Submerged Surfaces 5.66, 76, 81, 94 5.67, 77, 82, 90 5.70, 74, 80, 89 5.69, 78, 84, 88 5.72, 75, 83, 95 5.68, 79, 86, 91 19 5.4 Centroids of Volumes 5.102, 107, 119, 122 5.103, 106, 117, 125 5.100, 111, 114, 124 5.104, 109, 116, 123 5.101, 112, 115, 126 5.105, 108, 120, 127 20 EXAM NUMBER TWO 21 6.1 Trusses: Method of Joints 6.2, 11, 21, 30 6.4, 12, 24, 27 6.1, 13, 23, 29 6.3, 9, 22, 28 6.7, 14, 25, 33 6.5, 10, 26, 31 22 6.2 Trusses: Method of Sections 6.45, 54, 68, 69 6.46, 53, 67, 70 6.43, 59, 62, 71 6.44, 60, 61, 72 6.47, 57, 64, 73 6.48, 58, 63, 74 23 6.3 Analysis of Frames 6.75, 88, 102, 109 6.77, 89, 101, 110 6.76, 83, 100, 107 6.81, 85, 99, 108 6.78, 84, 105, 111 6.82, 86, 106, 114 24 6.4 Analysis of Machines 6.123, 134, 145, 149 6.124, 133, 141, 155 6.127, 129, 144, 153 6.122, 130, 143, 154 6.126, 135, 142, 150 6.128, 136, 146, 156 25 6.1–4 Review of Chapter 6 6.15, 52, 91, 151 6.19, 51, 92, 152 6.17, 50, 94, 140 6.18, 49, 93, 137 6.16, 48, 98, 157 6.20, 47, 97, 158 26 7.1 Internal Forces in Members 7.1, 12, 18, 23 7.2, 11, 17, 24 7.3, 8, 19, 26 7.4, 7, 20, 25 7.5, 14, 22, 27 7.6, 13, 21, 28 27 7.2 Beams 7.36, 46, 50, 59 7.35, 45, 49, 59 7.42, 48, 52, 55 7.41, 47, 51, 58 7.38, 43, 54, 60 7.37, 44, 53, 61 28 7.3 Beams 7.65, 70, 81, *89 7.66, 69, 82, *90 7.64, 73, 78, 86 7.63, 74, 77, 87 7.68, 75, 83, 85 7.67, 76, 84, 88 29 EXAM NUMBER THREE 30 8.1 Laws of Friction 8.1, 18, 32, 36 8.2, 17, 27, 41 8.3, 14, 30, 40 8.4, 13, 29, 39 8.8, 16, 33, 38 8.6, 15, 28, 42 31 8.2 Wedges and Screws 8.52, 54, 63, 73 8.53, 55, 62, 72 8.48, 57, 65, 74 8.49, 60, 64, 71 8.50, 58, 70, 76 8.51, 61, 69, 75 32 8.4 Belt Friction 8.104, 109, 121, 126 8.103, 112, 120, 133 8.105, 110, 119, 128 8.106, 111, 118, 129 8.108, 115, 123, 127 8.107, 116, 122, 132 33 9.1 Moments of Inertia of Areas 9.1, 10, 17, 23 9.3, 11, 15, 28 9.4, 12, 16, 21 9.2, 9, 18, 22 9.5, 14, 19, 24 9.7, 13, 20, 27 34 9.2 Composite Areas 9.34, 42, 51, 58 9.32, 41, 50, *60 9.31, 43, 52, 57 9.33, 44, 49, 59 9.35, 45, 56, 61 9.36, 46, 53, 62 35 9.3 Product of Inertia 9.72, 83, 86 9.71, 81, 85 9.76, 79, 87 9.74, 80, 89 9.77, 84, 88 9.73, 82, 90 36 9.4 Mohr’s Circle 9.93, 97, 103 9.95, 98, *106 9.92, 100, 107 9.91, 99, 108 9.94, 102, 110 9.96, 101, 109 37 9.5 Moments of Inertia of Masses 9.112, 121, 135, 147 9.111, 122, 136, 143 9.113, 119, 138, 142 9.114, 120, 139, 141 9.116, 123, *140, 146 9.115, 125, 137, 144 38 9.6 Principal Axes 9.152, 158, 167, 175 9.151, 155, 168, 176 9.149, 159, 165, 174 9.150, 160, 166, 173 9.154, 163, 171, 178 9.153, 164, 172, 177 39 EXAM NUMBER FOUR 40 10.1 Virtual Work 10.1, 9, 18, 20 10.3, 10, 17, 19 10.2, 12, 16, 24 10.4, 14, 15, 23 10.8, 13, 21, 25 10.7, 11, 22, 26 41 10.1 Virtual Work 10.31, 35, 46, 53 10.30, 37, 45, 54 10.32, 36, 43, 57 10.33, 38, 44, 58 10.34, 42, 47, 55 10.29, 41, 51, 56 42 10.2 Potential Energy 10.69, 80, 86, 91 10.72, 81, 83, 92 10.71, 77, 88, 89 10.70, 78, 87, 93 10.76, 79, 84, 95 10.75, 82, 85, 90 www.elsolucionario.org
  • 27.
    TABLE IV: SAMPLEASSIGNMENT SCHEDULE FOR A COURSE IN STATICS This schedule includes all of the material of VECTOR MECHANICS FOR ENGINEERS: STATICS with the exception of Sections 3.4D, 6.1D, 7.4–7.5, 8.3, and 9.6C. 75% OF THE PROBLEMS IN EACH OF THE FOLLOWING LISTS USE SI UNITS AND 25% U.S. CUSTOMARY UNITS ANSWERS TO ALL OF THESE PROBLEMS ARE GIVEN IN THE BACK OF THE BOOK Period Sections Topics List 1a List 2a List 3a List 4a 1 1.1–6 Introduction 2 2.1–2 Addition and Resolution of Forces 2.5, 15, 27, 34 2.10, 17, 29, 32 2.8, 16, 26, 36 2.9, 19, 28, 35 3 2.3 Equilibrium of a Particle 2.43, 50, 57, 65 2.48, 49, 58, 69 2.46, 54, 61, 67 2.44, 53, 62, 68 4 2.4 Forces in Space 2.71, 81, 85, 95 2.72, 82, 89, 96 2.74, 84, 88, 92 2.73, 79, 87, 91 5 2.5 Equilibrium in Space 2.103, 107, 118, 125 2.104, 108, 117, 121 2.101, 109, 116, 123 2.99, 110, 115, 124 6 3.1 Vector Product, Moment of a Force about a Point 3.4, 12, 23, 32 3.5, 11, 26, 33 3.1, 13, 25, 28 3.2, 9, 22, 29 7 3.2 Scalar Product, Moment of a Force about an Axis 3.43, 48, 59, *68 3.39, 47, 60, *67 3.41, 52, 57, *64 3.37, 51, 58, *65 8 3.3 Couples 3.71, 84, 87, 98 3.70, 82, 90, 93 3.74, 86, 89, 96 3.78, 83, 91, 95 9 3.4 Equivalent Systems of Forces 3.106, 111, 125, 127 3.105, 110, 124, 128 3.102, 116, 120, 129 3.101, 117, 119, 130 10 EXAM NUMBER ONE 11 4.1 Equilibrium in Two Dimensions 4.1, 14, 19, 28 4.2, 12, 15, 26 4.5, 13, 17, 25 4.6, 9, 18, 22 12 4.1 Equilibrium in Two Dimensions 4.34, 36, 45, 52 4.33, 35, 50, 51 4.31, 40, 46, 57 4.32, 39, 47, 55 13 4.2 Two- and Three-Force Bodies 4.63, 72, 75, 84 4.62, 71, 81, 85 4.67, 73, 77, 88 4.65, 69, 79, 83 14 4.3 Equilibrium in Three Dimensions 4.93, 100, 108, 117 4.94, 99, 109, 113 4.91, 102, 107, 116 4.95, 101, 106, 115 15 4.3 Equilibrium in Three Dimensions 4.122, 127, 133 4.119, 128, 138 4.124, 131, 135 4.123, 129, 140 16 5.1 Centroids and First Moments 5.1, 10, 24, 29 5.3, 13, 20, 32 5.6, 14, 23, 30 5.9, 11, 21, 31 17 5.2 Centroids by Integration 5.34, 43, 57, 64 5.35, 40, 55, 60 5.37, 46, 54, 63 5.39, 45, 52, 62 18 5.3 Beams and Submerged Surfaces 5.66, 76, 81, 93 5.67, 77, 82, 92 5.73, 74, 80, 89 5.71, 78, 84, 88 19 5.4 Centroids of Volumes 5.102, 107, 118, 122 5.103, 106, 121, 125 5.100, 113, 114, 124 5.104, 110, 116, 123 20 EXAM NUMBER TWO 21 6.1 Trusses: Method of Joints 6.2, 11, 21, 32 6.4, 12, 24, 34 6.6, 13, 23, 29 6.8, 9, 22, 28 22 6.2 Trusses: Method of Sections 6.45, 54, 66, 69 6.46, 53, 65, 70 6.43, 56, 62, 71 6.44, 55, 61, 72 23 6.3 Analysis of Frames 6.75, 88, 102, 113 6.77, 89, 101, 112 6.79, 83, 100, 107 6.80, 85, 99, 108 24 6.4 Analysis of Machines 6.123, 134, 147, 149 6.124, 133, 148, 155 6.127, 132, 144, 153 6.122, 131, 143, 154 25 6.1–4 Review of Chapter 6 6.15, 52, 91, 125 6.19, 51, 92, 139 6.50, 94, 140, 164 6.49, 93, 137, 165 26 7.1 Internal Forces in Members 7.1, 12, 15, 23 7.2, 11, 16, 24 7.3, 10, 19, 26 7.4, 9, 20, 25 27 7.2 Beams 7.36, 46, 50, 57 7.35, 45, 49, 56 7.40, 48, 52, 55 7.39, 47, 51, 58 28 7.3 Beams 7.65, 70, 80, *89 7.66, 69, 79, *90 7.64, 71, 78, 86 7.63, 72, 77, 87 29 EXAM NUMBER THREE 30 8.1 Laws of Friction 8.1, 18, 32, 37 8.2, 17, 27, 43 8.7, 14, 30, 40 8.9, 13, 29, 39 31 8.2 Wedges and Screws 8.52, 54, *67, 73 8.53, 55, *66, 72 8.48, 56, 65, 74 8.49, 59, 64, 71 32 8.4 Belt Friction 8.104, 109, 125, 126 8.103, 112, 124, 133 8.105, 113, 119, 128 8.106, 114, 118, 129 33 9.1 Moments of Inertia of Areas 9.1, 10, 17, 26 9.3, 11, 15, 25 9.8, 12, 16, 21 9.6, 9, 18, 22 34 9.2 Composite Areas 9.34, 42, 55, 58 9.32, 41, 54, *60 9.31, 47, 52, 57 9.33, 48, 49, 59 35 9.3 Product of Inertia 9.72, 83, 86 9.71, 81, 85 9.75, 79, 87 9.78, 80, 89 36 9.4 Mohr’s Circle 9.93, 97, 103 9.95, 98, *106 9.92, 104, 107 9.91, 105, 108 37 9.5 Moments of Inertia of Masses 9.112, 121, 135, 148 9.111, 122, 136, 145 9.117, 119, 138, 142 9.118, 120, 139, 141 38 9.6 Principal Axes 9.152, 158, 170, 175 9.151, 155, 169, 176 9.149, 157, 165, 174 9.150, 156, 166, 173 39 EXAM NUMBER FOUR 40 10.1 Virtual Work 10.1, 9, 18, 28 10.3, 10, 17, 27 10.5, 12, 16, 24 10.6, 14, 15, 23 41 10.1 Virtual Work 10.31, 35, 52, 53 10.30, 37, 48, 54 10.32, 40, 43, 57 10.33, 39, 44, 58 42 10.2 Potential Energy 10.69, 80, 86, 96 10.72, 81, 83, 94 10.74, 77, 88, 89 10.73, 78, 87, 93 www.elsolucionario.org
  • 28.
    TABLE V: SAMPLEASSIGNMENT SCHEDULE FOR A COMBINED COURSE IN STATICS AND DYNAMICS This schedule is intended for a 4-semester-credit-hour course consisting of (1) the abridged Statics course defined in Table I of this manual and (2) the standard Dynamics course defined in Table I of the Dynamics Instructor’s Manual. Note that the Statics portion of the course is designed to serve only as an introduction to Dynamics; a more complete coverage of Statics is recommended for curricula including courses in Mechanics of Materials (see Tables III and ff. of the Statics Manual). 50% OF THE PROBLEMS IN EACH OF THE FOLLOWING LISTS USE SI UNITS AND 50% U.S. CUSTOMARY UNITS ANSWERS TO ALL OF THESE PROBLEMS ARE GIVEN IN THE BACK OF THE BOOK NO ANSWERS ARE GIVEN IN THE BOOK FOR ANY OF THESE PROBLEMS Period Sections Topics List 1 List 2 List 3 List 4 List 5 List 6 1 1.1–6 Introduction 2 2.1–2 Addition and Resolution of Forces 2.5, 15, 27, 31 2.10, 17, 29, 37 2.11, 16, 26, 36 2.6, 19, 28, 35 2.12, 18, 30, 33 2.7, 20, 25, 38 3 2.3 Equilibrium of a Particle 2.43, 50, 63, 65 2.48, 49, 59, 69 2.46, 55, 61, 67 2.44, 51, 62, 68 2.45, 56, 64, 66 2.47, 52, 60, 70 4 2.4 Forces in Space 2.71, 81, 85, 97 2.72, 82, 89, 94 2.75, 84, 88, 92 2.77, 79, 87, 91 2.76, 80, 86, 93 2.78, 83, 90, 98 5 2.5 Equilibrium in Space 2.103, 107, 119, 125 2.104, 108, 113, 121 2.101, 106, 116, 123 2.99, 112, 115, 124 2.102, 105, 120, 126 2.100, 111, 114, 122 6 3.1 Vector Product, Moment of a Force about a Point 3.4, 12, 23, 27 3.5, 11, 26, 30 3.7, 13, 25, 28 3.6, 9, 22, 29 3.3, 14, 21, 31 3.8, 10, 24, 34 7 3.2 Scalar Product, Moment of a Force about an Axis 3.43, 48, 61, *68 3.39, 47, 55, *67 3.41, 53, 57, *64 3.37, 49, 58, *65 3.42, 50, 56, *69 3.38, 54, 62, *66 8 3.3 Couples 3.71, 84, 87, 99 3.70, 82, 90, 97 3.73, 86, 89, 96 3.80, 83, 91, 95 3.75, 85, 88, 100 3.72, 81, 92, 94 9 3.4 Equivalent Systems of Forces 3.106, 111, 126, 127 3.105, 110, 122, 128 3.102, 108, 120, 129 3.101, 114, 119, 130 3.107, 112, 121, 131 3.103, 109, 123, 132 10 EXAM NUMBER ONE 11 4.1 Equilibrium in Two Dimensions 4.1, 14, 19, 23 4.2, 12, 15, 24 4.4, 13, 17, 25 4.7, 9, 18, 22 4.3, 10, 16, 27 4.8, 11, 20, 21 12 4.1 Equilibrium in Two Dimensions 4.34, 36, 43, 52 4.33, 35, 48, 51 4.31, 42, 46, 57 4.32, 41, 47, 55 4.30, 37, 44, 58 4.29, 38, 49, 56 13 6.3 Analysis of Frames 6.75, 88, 102, 109 6.77, 89, 101, 110 6.76, 83, 100, 107 6.81, 85, 99, 108 6.78, 84, 105, 111 6.82, 86, 106, 114 14 6.4 Analysis of Machines 6.123, 134, 145, 149 6.124, 133, 141, 155 6.127, 129, 144, 153 6.122, 130, 143, 154 6.126, 135, 142, 150 6.128, 136, 146, 156 15 4.3 Equilibrium in Three Dimensions 4.93, 100, 110, 117 4.94, 99, 105, 113 4.91, 103, 107, 116 4.95, 97, 106, 115 4.92, 104, 111, 118 4.96, 98, 112, 114 16 4.3 Equilibrium in Three Dimensions 4.122, 127, 133 4.119, 128, 138 4.121, 131, 135 4.120, 129, 140 4.126, 132, 134 4.125, 130, 139 17 8.1 Laws of Friction 8.1, 18, 32, 36 8.2, 17, 27, 41 8.3, 14, 30, 40 8.4, 13, 29, 39 8.8, 16, 33, 38 8.6, 15, 28, 42 18 8.2 Wedges and Screws 8.52, 54, 63, 73 8.53, 55, 62, 72 8.48, 57, 65, 74 8.49, 60, 64, 71 8.50, 58, 70, 76 8.51, 61, 69, 75 19 EXAM NUMBER TWO 20 11.1 Rectilinear Motion 21 11.2 Uniformly Accelerated Motion 22 11.4 Curvilinear Motion (Rect. Comps) 23 11.5 Curvilinear Motion (Other Comp.) 24 12.1 Equations of Motion 25 12.2 Angular Momentum 26 Review 27 EXAM NUMBER THREE 28 13.1 Work and Energy, Power 29 13.2 Conservation of Energy 30 13.2D Application to Space Mechanics 31 13.3 Impulse and Momentum 32 13.4 Impact 33 14.1 Systems of Particles 34 14.2 Systems of Particles 35 EXAM NUMBER FOUR 36 15.1 Translation, Rotation 37 15.2 General Plane Motion 38 15.3 Instantaneous Center 39 15.4 Acceleration in Plane Motion 40 15.5 Coriolis Acceleration in Plane Motion 41 9.5 Moments of Inertia of Masses 9.112, 121, 135, 147 9.111, 122, 136, 143 9.113, 119, 138, 142 9.114, 120, 139, 141 9.116, 123, *140, 146 9.115, 125, 137, 144 42 Review 43 EXAM NUMBER FIVE 44 16.1 Plane Motion of Rigid Bodies 45 16.1 Plane Motion of Rigid Bodies 46 16.2 Constrained Plane Motion 47 16.2 Constrained Plane Motion 48 17.1 Work and Energy 49 17.2 Impulse and Momentum 50 17.3 Eccentric Impact 51 Review 52 EXAM NUMBER SIX 53 19.1 Free Vibrations of Particles 54 19.2 Free Vibrations of Rigid Bodies 55 19.3 Energy Methods 56 19.4 Forced Vibrations www.elsolucionario.org
  • 29.
    CHAPTER 2 Copyright ©McGraw-Hill Education. Permission required for reproduction or display. www.elsolucionario.org
  • 30.
    Copyright © McGraw-HillEducation. Permission required for reproduction or display. www.elsolucionario.org
  • 31.
    SOLUT (a) P (b) T W TION arallelograml Triangle rule: We measure: PRO Two magn (b) th law: OBLEM 2.1 o forces are a nitude and dir he triangle rul 139 R = 1 applied as sho rection of thei le. 1 kN, 47 α = own to a hoo ir resultant us 7.8° ok. Determine ing (a) the pa 1391 N = R e graphically arallelogram la N 47.8° the aw, Copyright © McGraw-Hill Education. Permission required for reproduction or display. www.elsolucionario.org
  • 32.
    SOLUT (a) P (b) T W TION arallelograml Triangle rule: We measure: PR Two grap (a) law: OBLEM 2.2 o forces are phically the the parallelo 90 R = 2 applied as s magnitude ogram law, ( 06 lb, 2 α = shown to a b and directio (b) the triang 26.6° bracket supp on of their r gle rule. 906 R = ort. Determi resultant usi 6 lb 26.6° ine ing Copyright © McGraw-Hill Education. Permission required for reproduction or display. www.elsolucionario.org
  • 33.
    PROBLEM 2.3 Two structuralmembers B and C are bolted to bracket A. Knowing that both members are in tension and that P = 10 kN and Q = 15 kN, determine graphically the magnitude and direction of the resultant force exerted on the bracket using (a) the parallelogram law, (b) the triangle rule. SOLUTION (a) Parallelogram law: (b) Triangle rule: We measure: 20.1 kN, R = 21.2 α = ° 20.1kN = R 21.2° Copyright © McGraw-Hill Education. Permission required for reproduction or display. www.elsolucionario.org
  • 34.
    PROBLEM 2.4 Two structuralmembers B and C are bolted to bracket A. Knowing that both members are in tension and that P = 6 kips and Q = 4 kips, determine graphically the magnitude and direction of the resultant force exerted on the bracket using (a) the parallelogram law, (b) the triangle rule. SOLUTION (a) Parallelogram law: (b) Triangle rule: We measure: 8.03 kips, 3.8 R α = = ° 8.03 kips = R 3.8° Copyright © McGraw-Hill Education. Permission required for reproduction or display. www.elsolucionario.org
  • 35.
    PROBLEM 2.5 A stakeis being pulled out of the ground by means of two ropes as shown. Knowing that α = 30°, determine by trigonometry (a) the magnitude of the force P so that the resultant force exerted on the stake is vertical, (b) the corresponding magnitude of the resultant. SOLUTION Using the triangle rule and the law of sines: (a) 120 N sin30 sin 25 P = ° ° 101.4 N P = (b) 30 25 180 180 25 30 125 β β ° + + ° = ° = ° − ° − ° = ° 120 N sin30 sin125 = ° ° R 196.6 N = R Copyright © McGraw-Hill Education. Permission required for reproduction or display. www.elsolucionario.org
  • 36.
    PROBLEM 2.6 A telephonecable is clamped at A to the pole AB. Knowing that the tension in the left-hand portion of the cable is T1 = 800 lb, determine by trigonometry (a) the required tension T2 in the right-hand portion if the resultant R of the forces exerted by the cable at A is to be vertical, (b) the corresponding magnitude of R. SOLUTION Using the triangle rule and the law of sines: (a) 75 40 180 180 75 40 65 α α ° + ° + = ° = ° − ° − ° = ° 2 800 lb sin65 sin75 T = ° ° 2 853 lb T = (b) 800 lb sin65 sin 40 R = ° ° 567 lb R = Copyright © McGraw-Hill Education. Permission required for reproduction or display. www.elsolucionario.org
  • 37.
    PROBLEM 2.7 A telephonecable is clamped at A to the pole AB. Knowing that the tension in the right-hand portion of the cable is T2 = 1000 lb, determine by trigonometry (a) the required tension T1 in the left-hand portion if the resultant R of the forces exerted by the cable at A is to be vertical, (b) the corresponding magnitude of R. SOLUTION Using the triangle rule and the law of sines: (a) 75 40 180 180 75 40 65 β β ° + ° + = ° = ° − ° − ° = ° 1 1000 lb sin75° sin65 T = ° 1 938 lb T = (b) 1000 lb sin75° sin 40 R = ° 665 lb R = Copyright © McGraw-Hill Education. Permission required for reproduction or display. www.elsolucionario.org
  • 38.
    PROBLEM 2.8 A disabledautomobile is pulled by means of two ropes as shown. The tension in rope AB is 2.2 kN, and the angle α is 25°. Knowing that the resultant of the two forces applied at A is directed along the axis of the automobile, determine by trigonometry (a) the tension in rope AC, (b) the magnitude of the resultant of the two forces applied at A. SOLUTION Using the law of sines: 2.2 kN sin30° sin125 sin 25 AC T R = = ° D 2.603 kN 4.264 kN AC T R = = (a) 2.60 kN AC T = (b) 4.26 kN R = Copyright © McGraw-Hill Education. Permission required for reproduction or display. www.elsolucionario.org
  • 39.
    PROBLEM 2.9 A disabledautomobile is pulled by means of two ropes as shown. Knowing that the tension in rope AB is 3 kN, determine by trigonometry the tension in rope AC and the value of α so that the resultant force exerted at A is a 4.8-kN force directed along the axis of the automobile. SOLUTION Using the law of cosines: 2 2 2 (3 kN) (4.8 kN) 2(3 kN)(4.8 kN)cos 30° 2.6643 kN AC AC T T = + − = Using the law of sines: sin sin30 3 kN 2.6643 kN 34.3 α α ° = = ° 2.66 kN AC = T 34.3° Copyright © McGraw-Hill Education. Permission required for reproduction or display. www.elsolucionario.org
  • 40.
    SOLUT Using th (a) (b) TION he trianglerule e and law of s si 5 s α β + + sin117 R PROBLEM Two forces a magnitude o angle α if the be horizonta ines: in sin 25 50 N 35 N sin 0.6037 α α ° = = 37.138 α = 25 180 180 117.862 β + ° = ° = ° − = 35 N 7.862 sin 2 R = ° M 2.10 are applied as of P is 35 N, d e resultant R o l, (b) the corre 74 ° 8° 25 37.138 2 ° − ° ° N 25° shown to a ho determine by of the two forc esponding mag ook support. K trigonometry ces applied to gnitude of R. Knowing that (a) the requir the support is 37.1 α = ° 73.2 N R = the red s to Copyright © McGraw-Hill Education. Permission required for reproduction or display. www.elsolucionario.org
  • 41.
    SOLUT Using th (a) (b) TION he trianglerule e and the law 50 β + ° 4 s 4 s P A th m fo m of sines: 60 180 180 70 β ° + ° = ° = ° = ° 425 lb sin 70 sin6 P = ° 425 lb sin 70 sin5 R = ° PROBLEM A steel tank is hat α = 20°, d magnitude of forces applied magnitude of R 50 60 − ° − ° 0° 0° 2.11 to be position determine by the force P i at A is to be v R. ned in an excav trigonometry if the resultan vertical, (b) th vation. Knowi (a) the requir nt R of the t he correspondi 392 lb P = 346 lb R = ing red two ing Copyright © McGraw-Hill Education. Permission required for reproduction or display. www.elsolucionario.org
  • 42.
    SOLUT Using th (a) (b) TION he trianglerule e and the law ( 3 α + sin P A th tr th c of sines: 30 ) 60 sin(90 ) 425 lb β β β α ° + ° + ° − 90 α ° − (42.598 30 R ° + PROBLEM A steel tank is hat the mag rigonometry ( he two force corresponding 180 180 ( 90 sin60 500 lb α α = ° = ° − + = ° − ° = 47.402 = ° 500 lb 0 ) sin60 = ° ° 2.12 to be position gnitude of P a) the require s applied at magnitude of 30 ) 60 ° − ° ned in an excav P is 500 lb, d angle α if th A is to be v f R. vation. Knowi , determine he resultant R vertical, (b) 42.6 α = ° 551 lb R = ing by R of the Copyright © McGraw-Hill Education. Permission required for reproduction or display. www.elsolucionario.org
  • 43.
    SOLUT The sma (a) P (b)R TION allest force P w (425 lb)co P = (425 lb)sin R = will be perpen os30° n30° P A D d o c ndicular to R. PROBLEM A steel tank Determine by direction of the of the two f corresponding 2.13 is to be p y trigonometr e smallest forc forces applied magnitude of positioned in ry (a) the ce P for which d at A is v f R. an excavati magnitude a h the resultant vertical, (b) 368 lb = P 21 R = on. and t R the 13 lb Copyright © McGraw-Hill Education. Permission required for reproduction or display. www.elsolucionario.org
  • 44.
    SOLUT The sma (a) P (b)R TION allest force P w (50 N)sin P = (50 N)cos R = P F m R c will be perpen 25° 25° PROBLEM For the hook s magnitude and R of the two orresponding ndicular to R. 2.14 support of Pro d direction of t o forces appli magnitude of ob. 2.10, deter the smallest fo ied to the su f R. rmine by trigo force P for wh upport is hor onometry (a) hich the result rizontal, (b) 21.1 N = P 45.3 N R = the tant the Copyright © McGraw-Hill Education. Permission required for reproduction or display. www.elsolucionario.org
  • 45.
    PROBLEM 2.15 For thehook support shown, determine by trigonometry the magnitude and direction of the resultant of the two forces applied to the support. SOLUTION Using the law of cosines: 2 2 2 (200 lb) (300 lb) 2(200 lb)(300 lb)cos(45 65 ) 413.57 lb R R = + − + ° = D Using the law of sines: sin sin (45 65 ) 300 lb 413.57 lb 42.972 α α + ° = = ° D 90 25 42.972 β = + − ° D D 414 lb = R 72.0° Copyright © McGraw-Hill Education. Permission required for reproduction or display. www.elsolucionario.org
  • 46.
    PROBLEM 2.16 Solve Prob.2.1 by trigonometry. PROBLEM 2.1 Two forces are applied as shown to a hook. Determine graphically the magnitude and direction of their resultant using (a) the parallelogram law, (b) the triangle rule. SOLUTION Using the law of cosines: 2 2 2 (900N) (600N) 2(900N)(600 N)cos(135 ) 1390.57N R R = + − ° = Using the law of sines: sin( 30 ) sin (135 ) 600N 1390.57N 30 17.7642 47.764 α α α − ° = − = ° = D D D 1391N = R 47.8° Copyright © McGraw-Hill Education. Permission required for reproduction or display. www.elsolucionario.org
  • 47.
    SOLUT Using th We hav Then And TION heforce triang e: P So PR A. Q re (b gle and the law 180 105 γ = = 2 (4 64 8.0 R R = = = 4 kip sin(25 sin(25 25 ° ° ° ROBLEM 2 olve Problem 2 ROBLEM 2.4 . Knowing tha = 4 kips, de sultant force b) the triangle r ws of cosines a 0 (50 25 5 ° − ° + ° ° 2 2 kips) (6 kip .423 kips 0264 kips + ps 8.0264 ) sin1 ) 0.4813 28.775 3.775 α α α α = + + = ° + = = ° 2.17 2.4 by trigono 4 Two structu at both memb etermine graph exerted on th rule. and sines: ) ° 2 ps) 2(4 kip − 4 kips 05 37 5 ° ° ° ometry. ural members bers are in ten hically the ma he bracket usin s)(6 kips)cos1 B and C are b nsion and that agnitude and ng (a) the par 105° 8.03 k = R bolted to brac t P = 6 kips a direction of rallelogram la kips 3.8° ket and the aw, Copyright © McGraw-Hill Education. Permission required for reproduction or display. www.elsolucionario.org
  • 48.
    PROBLEM 2.18 For thestake of Prob. 2.5, knowing that the tension in one rope is 120 N, determine by trigonometry the magnitude and direction of the force P so that the resultant is a vertical force of 160 N. PROBLEM 2.5 A stake is being pulled out of the ground by means of two ropes as shown. Knowing that α = 30°, determine by trigonometry (a) the magnitude of the force P so that the resultant force exerted on the stake is vertical, (b) the corresponding magnitude of the resultant. SOLUTION Using the laws of cosines and sines: 2 2 2 (120 N) (160 N) 2(120 N)(160 N)cos25 72.096 N P P = + − ° = And sin sin 25 120 N 72.096 N sin 0.70343 44.703 α α α ° = = = ° 72.1 N = P 44.7° Copyright © McGraw-Hill Education. Permission required for reproduction or display. www.elsolucionario.org
  • 49.
    SOLUT Using th We have Then and Hence: TION heforce triang e gle and the law R 48 sin sin PROBLE Two forces Knowing th the magnitu ws of cosines a 180 (2 150 γ = ° − = ° 2 2 (48 N) 2(48 N 104.366 N R R = + − = N 104.366 N sin150 n 0.22996 13.2947 α α α = ° = = ° 180 180 13 86.705 φ α = ° − = ° − = ° M 2.19 P and Q are a hat P = 48 N ude and directi and sines: 20 10 ) ° + ° 2 (60 N) N)(60 N)cos15 N + N ° 80 3.2947 80 − ° ° − ° applied to the and Q = 60 N ion of the resu 50° lid of a storag N, determine ultant of the tw 104. = R ge bin as show by trigonome wo forces. 4 N 86.7° wn. etry ° Copyright © McGraw-Hill Education. Permission required for reproduction or display. www.elsolucionario.org
  • 50.
    SOLUT Using th We have Then and Hence: TION heforce triang e P T K m gle and the law γ = = 2 R R = = 60 N sin sin α α α = = = 180 180 83.2 φ = ° = ° = PROBLEM Two forces P Knowing that magnitude and ws of cosines a 180 (20 150 = ° − ° + = ° 2 (60 N) (4 2(60 N)(48 104.366 N = + − = 104.366 N sin150 0.28745 16.7054 = ° = = ° 180 16.7054 295 α ° − − ° ° − ° − ° M 2.20 P and Q are ap P = 60 N and d direction of and sines: 10 ) + ° 2 48 N) 8 N)cos150° 80° pplied to the l d Q = 48 N, d the resultant o lid of a storag determine by of the two forc 104.4 = R ge bin as show trigonometry ces. 4 N 83.3° wn. the Copyright © McGraw-Hill Education. Permission required for reproduction or display. www.elsolucionario.org
  • 51.
    SOLUT Comput 29-lb Fo 50-lb Fo 51-lbFo TION te the followin orce: orce: orce: ng distances: PROB Determi 2 2 2 (84) 116 in. (28) 100 in. (48) 102 in. OA OB OC = = = = = = (29 lb x F = + (29 lb y F = + (50 lb x F = − (50 lb y F = + (51 lb x F = + (51 lb y F = − BLEM 2.21 ine the x and y 2 2 2 2 2 2 (80) . (96) . (90) . + + + 84 b) 116 80 b) 116 28 b) 100 96 b) 100 48 b) 102 90 b) 102 y components of each of the F F F F e forces shown 21.0 lb x F = + 20.0 lb y F = + 14.00 lb x F = − 48.0 lb y F = + 24.0 lb x F = + 45.0 lb y F = − n. Copyright © McGraw-Hill Education. Permission required for reproduction or display. www.elsolucionario.org
  • 52.
    SOLUT Comput 800-N F 424-N F 408-NF TION te the followin Force: Force: Force: ng distances: PROBL Determin 2 (600) 1000 m (560) 1060 m (480) 1020 m OA OB OC = = = = = = (800 N x F = + (800 N y F = + (424 N x F = − (424 N y F = − (408 N x F = + (408 N y F = − LEM 2.22 ne the x and y 2 2 2 2 2 2 (800) mm (900) mm (900) mm + + + 800 N) 1000 600 N) 1000 560 N) 1060 900 N) 1060 480 N) 1020 900 N) 1020 components o of each of the F forces shown. 640 N x F = + 480 N y F = + 224 N x F = − 360 N y F = − 192.0 N x F = + 360 N y F = − . N N N Copyright © McGraw-Hill Education. Permission required for reproduction or display. www.elsolucionario.org
  • 53.
    PROBLEM 2.23 Determine thex and y components of each of the forces shown. SOLUTION 80-N Force: (80 N)cos40 x F = + ° 61.3 N x F = (80 N)sin 40 y F = + ° 51.4 N y F = 120-N Force: (120 N)cos70 x F = + ° 41.0 N x F = (120 N)sin70 y F = + ° 112.8 N y F = 150-N Force: (150 N)cos35 x F = − ° 122. 9 N x F = − (150 N)sin35 y F = + ° 86.0 N y F = Copyright © McGraw-Hill Education. Permission required for reproduction or display. www.elsolucionario.org
  • 54.
    PROBLEM 2.24 Determine thex and y components of each of the forces shown. SOLUTION 40-lb Force: (40 lb)cos60 x F = + ° 20.0 lb x F = (40 lb)sin60 y F = − ° 34.6 lb y F = − 50-lb Force: (50 lb)sin50 x F = − ° 38.3lb x F = − (50 lb)cos50 y F = − ° 32.1 lb y F = − 60-lb Force: (60 lb)cos25 x F = + ° 54.4 lb x F = (60 lb)sin25 y F = + ° 25.4 lb y F = Copyright © McGraw-Hill Education. Permission required for reproduction or display. www.elsolucionario.org
  • 55.
    PROBLEM 2.25 Member BCexerts on member AC a force P directed along line BC. Knowing that P must have a 325-N horizontal component, determine (a) the magnitude of the force P, (b) its vertical component. SOLUTION 2 2 (650 mm) (720 mm) 970 mm BC = + = (a) 650 970 x P P ⎛ ⎞ = ⎜ ⎟ ⎝ ⎠ or 970 650 970 325 N 650 485 N x P P ⎛ ⎞ = ⎜ ⎟ ⎝ ⎠ ⎛ ⎞ = ⎜ ⎟ ⎝ ⎠ = 485 N P = (b) 720 970 720 485 N 970 360 N y P P ⎛ ⎞ = ⎜ ⎟ ⎝ ⎠ ⎛ ⎞ = ⎜ ⎟ ⎝ ⎠ = 970 N y P = Copyright © McGraw-Hill Education. Permission required for reproduction or display. www.elsolucionario.org
  • 56.
    SOLUT (a) (b) V TION Vertical compo PRO Memb Know magni onent OBLEM2.26 ber BD exerts wing that P mu itude of the fo sin35 P ° = P = v P = = 6 s on member ust have a 300- orce P, (b) its v 300 lb 300 lb sin35° cos35 P ° (523 lb)cos35 r ABC a forc -lb horizontal vertical compo 5° ce P directed component, d onent. along line B determine (a) t 523 lb P = 428 lb v P = BD. the Copyright © McGraw-Hill Education. Permission required for reproduction or display. www.elsolucionario.org
  • 57.
    SOLUT (a) (b) TION PR Th dir com ma 180 45 180 15 α ° =° = = ° cos cos 60 cos 621 x P P P P α = = = = tan t (60 160 y x y x P P P P α = = = = ROBLEM 2 he hydraulic cy rected along li mponent perp agnitude of the 90 30 45 90 α + + ° + ° − ° − ° − s 00 N s15 1.17 N x P α ° tan 00 N)tan15 0.770 N α ° 2.27 ylinder BC ex ine BC. Know pendicular to m e force P, (b) 0 30 ° − ° xerts on memb wing that P mu member AB, d its component ber AB a force ust have a 600 determine (a) t along line AB 621 N P = 160.8 N y P = e P 0-N the B. Copyright © McGraw-Hill Education. Permission required for reproduction or display. www.elsolucionario.org
  • 58.
    SOLUT (a) (b) TION PRO Cable that P of the OBLEM2.2 e AC exerts o P must have a e force P, (b) cos 55 y P P = ° 350 lb cos 55 610.21 = ° = sin 55 x P P = (610.21 499.85 = = 28 on beam AB a a 350-lb vertic its horizontal ° lb 5° 1 lb)sin 55 lb ° a force P dire cal component component. cted along lin t, determine (a ne AC. Knowi a) the magnitu 610 lb P = 500 lb x P = ing ude Copyright © McGraw-Hill Education. Permission required for reproduction or display. www.elsolucionario.org
  • 59.
    SOLUT (a) (b) TION P Th al pe P, PROBLEM 2 he hydraulic longline BD erpendicular to , (b) its compo 750 N sin P = 2192 P = cos ABC P P = (219 = 2.29 cylinder BD e D. Knowing o member AB onent parallel n20° 2.9 N s20° 2.9 N)cos20° exerts on mem that P must C, determine to ABC. ° mber ABC a t have a 75 (a) the magni A P force P direc 0-N compon tude of the fo 2190 N P = 2060 N ABC = ted ent rce Copyright © McGraw-Hill Education. Permission required for reproduction or display. www.elsolucionario.org
  • 60.
    PROBLEM 2.30 The guywire BD exerts on the telephone pole AC a force P directed along BD. Knowing that P must have a 720-N component perpendicular to the pole AC, determine (a) the magnitude of the force P, (b) its component along line AC. SOLUTION (a) 37 12 37 (720 N) 12 2220 N = = = x P P 2.22 kN P = (b) 35 12 35 (720 N) 12 2100 N y x P P = = = 2.10 kN = y P Copyright © McGraw-Hill Education. Permission required for reproduction or display. www.elsolucionario.org
  • 61.
    SOLUT Compon TION nents of thefo F 2 5 5 orces were dete Force x 29 lb 50 lb 51 lb R tan PROBLE Determine t PROBLEM forces show ermined in Pro x Comp. (lb) +21.0 –14.00 +24.0 31.0 x R = + (31.0 lb) n 23.0 31.0 36.573 23.0 lb sin(36.57 x y y x R R R R R α α = + = = = = ° = i j i R 38.601 lb = EM 2.31 the resultant o M 2.21 Determ wn. oblem 2.21: y Comp +20 +4 –4 2 y R = + (23.0 lb) b 73 ) + ° i j b of the three for mine the x and p. (lb) 0.0 8.0 5.0 3.0 rces of Problem d y componen 38.6 = R m 2.21. nts of each of 6 lb 36.6° the Copyright © McGraw-Hill Education. Permission required for reproduction or display. www.elsolucionario.org
  • 62.
    SOLUT Compon TION nents of thefo F 1 1 orces were det orce x 80 N 20 N 50 N R PROBLE Determine PROBLEM forces show termined in Pr x Comp. (N) +61.3 +41.0 –122.9 20.6 x R = − ( 20. tan 250.2 tan 20.6 tan 12.14 85.29 250 sin85 x y x R R R R α α α α = + = − = = = = = R i EM 2.32 the resultant o M 2.23 Determ wn. roblem 2.23: y Com + +1 + 2 y R = + .6 N) (250.2 2 N 6 N 456 93 0.2 N 5.293 y R + + ° ° j i of the three for mine the x and mp. (N) +51.4 112.8 +86.0 250.2 2 N)j rces of Proble d y componen 25 = R em 2.23. nts of each of 1 N 85.3° the ° Copyright © McGraw-Hill Education. Permission required for reproduction or display. www.elsolucionario.org
  • 63.
    SOLUT TION F 4 5 6 orce x 40 lb 50lb 60 lb x R tan tan tan R α α α α R PROBL Determin PROBLE the forces x Comp. (lb) +20.00 –38.30 +54.38 36.08 x = + ( 36.08 lb 41.42 lb 36.08 lb 1.14800 48.942 41.42 lb sin 48.942 x y y x R R R R R α α α α = + = + = = = = ° = ° R i j LEM 2.33 e the resultant EM 2.24 Dete s shown. y Comp. –34.6 –32.1 +25.3 41.4 y R = − ) ( 41.42 lb + − ° i t of the three f ermine the x (lb) 64 14 36 42 b)j forces of Prob and y compon 54.9 = R lem 2.24. nents of each 9 lb 48.9° h of Copyright © McGraw-Hill Education. Permission required for reproduction or display. www.elsolucionario.org
  • 64.
    SOLUT Compon TION nents of thefo F 80 42 40 orces were det orce x 00 lb 24 lb 08 lb R tan PROBL Determine PROBLE forces sho ermined in Pr x Comp. (N) +640 –224 +192 608 x R = + (608 lb) n 240 608 21.541 240 N sin(21.54 653.65 N x y y x R R R R R α α = + = = = = ° = = R i j i LEM 2.34 e the resultant EM 2.22 Deter own. oblem 2.22: y Comp. ( +480 –360 –360 240 y R = − ( 240 lb) N 41°) N + − j j t of the three f rmine the x an (N) 0 0 0 0 forces of Probl nd y componen 654 = R lem 2.22. nts of each of 4 N 21.5° the Copyright © McGraw-Hill Education. Permission required for reproduction or display. www.elsolucionario.org
  • 65.
    SOLUT 100-N F 150-N F 200-NF TION Force: Force: Force: Force 100 N 150 N 200 N PRO Know forces (100 (100 x y F F = + = − (150 (150 x y F F = + = − (200 (200 x y F F = − = − x Com + + −1 x R = − ta OBLEM 2.35 wing that α = s shown. N)cos35 N)sin35 ° = + ° = − N)cos65 N)sin65 ° = + ° = − N)cos35 N)sin35 ° = − ° = − mp. (N) 81.915 63.393 63.830 18.522 ( 18.52 an 308.02 18.522 86.559 x y y x R R R R α α = + = − = = = ° R i 308.02 sin86.5 R = 5 35°, determi 81.915 N 57.358 N + − 63.393 N 135.946 N + − 163.830 N 114.715 N − − y Comp. (N −57.35 −135.94 −114.71 308.02 y R = − 22 N) ( 308 y + − j i N 59 ine the result N) 58 46 15 2 8.02 N)j 309 = R tant of the th 9 N 86.6° hree Copyright © McGraw-Hill Education. Permission required for reproduction or display. www.elsolucionario.org
  • 66.
    SOLUT Determi Cable fo 500-N F 200-NF and Further: TION ine force comp orce AC: Force: Force: ponents: (365 N (365 N = − = − x y F F (500 N) (500 N) x y F F = = (200 N) (200 N x y F F = = − 2 (400 N 474.37 = Σ = − = Σ = − = + = = x x y y x R F R F R R R 255 tan 400 32.5 α α = = ° PR Kno resu 960 N) 24 1460 1100 N) 27 1460 = − = − 24 ) 480 N 25 7 ) 140 N 25 = = 4 ) 160 N 5 3 N) 120 N 5 = = − 2 2 240 N 480 275 N 140 N N) ( 255 N N − + − + + − y R ° ROBLEM 2. owing that the ultant of the th 40 N 75 N N 2 N 160 N 4 N 120 N N) + = − = − 36 tension in rop hree forces exe 400 N 255 N − pe AC is 365 N erted at point C 474 = R N, determine C of post BC. 4 N 32.5° the Copyright © McGraw-Hill Education. Permission required for reproduction or display. www.elsolucionario.org
  • 67.
    SOLUT 60-lb Fo 80-lb Fo 120-lbF and Further: TION orce: orce: Force: (60 l (60 l x y F F = = (80 l (80 l x y F F = = (120 (12 x y F F = = − (20 202. x x y y R F R F R = Σ = Σ = = 29. tan 200 α = tan 8.46 α − = = ° PRO Knowi forces lb)cos20 5 lb)sin 20 20 ° = ° = lb)cos60 4 lb)sin60 69 ° = ° = 0 lb)cos30 1 20 lb)sin30 ° = ° = 2 200.305 lb 29.803 lb 00.305 lb) ( .510 lb = = + 803 .305 1 29.803 200.305 ° BLEM 2.37 ing that α = shown. 6.382 lb 0.521lb 0.000 lb 9.282 lb 103.923 lb 60.000 lb = − 2 (29.803 lb) 7 40°, determi ine the result 203 = R ant of the th 3 lb 8.46° hree Copyright © McGraw-Hill Education. Permission required for reproduction or display. www.elsolucionario.org
  • 68.
    SOLUT 60-lb Fo 80-lb Fo 120-lbF Then and TION orce: orce: Force: tan tan PRO Know force (60 lb)co (60 lb)si x y F F = = (80 lb)co (80 lb)si x y F F = = (120 lb)c (120 lb)s x y F F = = 16 11 x x y y R F R F = Σ = = Σ = (168.95 201.976 R = = 110.676 n 168.953 n 0.65507 33.228 α α α = = = ° OBLEM 2.3 wing that α = es shown. os 20 56.38 in 20 20.52 ° = ° = os 95 6.97 n 95 79.696 ° = − ° = cos 5 119.54 sin 5 10.459 ° = ° = 68.953 lb 10.676 lb 2 53 lb) (110. lb + 38 = 75°, determ 82 lb 1 lb 725 lb 6 lb 43 lb 9 lb 2 .676 lb) mine the result 202 = R tant of the th 2 lb 33.2° ree Copyright © McGraw-Hill Education. Permission required for reproduction or display. www.elsolucionario.org
  • 69.
    PROBLEM 2.39 For thecollar of Problem 2.35, determine (a) the required value of α if the resultant of the three forces shown is to be vertical, (b) the corresponding magnitude of the resultant. SOLUTION (100 N)cos (150 N)cos( 30 ) (200 N)cos (100 N)cos (150 N)cos( 30 ) x x x R F R α α α α α = Σ = + + ° − = − + + ° (1) (100 N)sin (150 N)sin ( 30 ) (200 N)sin (300 N)sin (150 N)sin ( 30 ) y y y R F R α α α α α = Σ = − − + ° − = − − + ° (2) (a) For R to be vertical, we must have 0. x R = We make 0 x R = in Eq. (1): 100cos 150cos( 30 ) 0 100cos 150(cos cos 30 sin sin 30 ) 0 29.904cos 75sin α α α α α α α − + + ° = − + ° − ° = = 29.904 tan 75 0.39872 21.738 α α = = = ° 21.7 α = ° (b) Substituting for α in Eq. (2): 300sin21.738 150sin51.738 228.89 N y R = − ° − ° = − | | 228.89 N y R R = = 229 N R = Copyright © McGraw-Hill Education. Permission required for reproduction or display. www.elsolucionario.org
  • 70.
    PROBLEM 2.40 For thepost of Prob. 2.36, determine (a) the required tension in rope AC if the resultant of the three forces exerted at point C is to be horizontal, (b) the corresponding magnitude of the resultant. SOLUTION 960 24 4 (500 N) (200 N) 1460 25 5 48 640 N 73 x x AC x AC R F T R T = Σ = − + + = − + (1) 1100 7 3 (500 N) (200 N) 1460 25 5 55 20 N 73 y y AC y AC R F T R T = Σ = − + − = − + (2) (a) For R to be horizontal, we must have 0. y R = Set 0 y R = in Eq. (2): 55 20 N 0 73 AC T − + = 26.545 N AC T = 26.5 N AC T = (b) Substituting for AC T into Eq. (1) gives 48 (26.545 N) 640 N 73 622.55 N 623 N = − + = = = x x x R R R R 623 N R = Copyright © McGraw-Hill Education. Permission required for reproduction or display. www.elsolucionario.org
  • 71.
    SOLUT Using th (a) Se (b)Su TION he x and y axes et 0 y R = in E ubstituting for PRO Dete of th BC, s shown: Eq. (2): r AC T in Eq. (1 OBLEM 2.4 ermine (a) the he three forces (b) the corresp x x R F = Σ 93.6 y y y R F R = Σ = 93.631 lb − 1): x R R 41 e required tens s exerted at P ponding magn sin10 sin10 AC AC T T = ° + = ° + (50 lb)sin3 31 lb co AC T = − cos10 AC AC T T ° = = (95.075 lb) 94.968 lb x R = = = sion in cable A Point C of boo nitude of the r (50 lb)cos35 78.458 lb + + 5 (75 lb)sin s10 ° + ° 0 95.075 lb sin10 78.45 ° + AC, knowing t om BC must b esultant. 5 (75 lb)co ° + n60 co AC T ° − 58 lb that the result be directed alo os60° s10° 95.1 lb AC T = 95.0 lb R = tant ong (1) (2) Copyright © McGraw-Hill Education. Permission required for reproduction or display. www.elsolucionario.org
  • 72.
    SOLUT Select th Then and (a) Se D (b)Su TION he x axis to be et 0 y R = in E Dividing each t ubstituting for R e along a a′. x R y R Eq. (2). (80 lb term by cosα r α in Eq. (1) 60 lb (80 x R = + PRO For th requir to be p the res (60 l x F = Σ = (80 l y F = Σ = b)sin (120 α − gives: (80 ) gives: 0 lb)cos56.31° OBLEM 2.42 he block of P ed value of α parallel to the sultant. lb) (80 lb)co + lb)sin (120 α − lb)cos 0 α = 0 lb)tan 12 12 tan 8 56 α α α = = = (120lb)sin ° + 2 Problems 2.37 α if the resultan incline, (b) th os (120 lb) α + 0 lb)cosα 20 lb 20 lb 80 lb 6.310° n56.31 204. ° = 7 and 2.38, de nt of the three he correspondi sinα .22 lb etermine (a) e forces shown ing magnitude 56.3 α = ° 204 lb x R = the n is e of (1) (2) Copyright © McGraw-Hill Education. Permission required for reproduction or display. www.elsolucionario.org
  • 73.
    PROBLEM 2.43 Two cablesare tied together at C and are loaded as shown. Determine the tension (a) in cable AC, (b) in cable BC. SOLUTION Free-Body Diagram Force Triangle Law of sines: 400 lb sin60 sin 40 sin80 AC BC T T = = ° ° ° (a) 400 lb (sin60 ) sin80 AC T = ° ° 352 lb AC T = (b) 400 lb (sin 40 ) sin80 BC T = ° ° 261 lb BC T = Copyright © McGraw-Hill Education. Permission required for reproduction or display. www.elsolucionario.org
  • 74.
    PROBLEM 2.44 Two cablesare tied together at C and are loaded as shown. Knowing that α = 30°, determine the tension (a) in cable AC, (b) in cable BC. SOLUTION Free-Body Diagram Force Triangle Law of sines: 6 kN sin60 sin35 sin85 AC BC T T = = ° ° ° (a) 6 kN (sin60 ) sin85 AC T = ° ° 5.22 kN AC T = (b) 6 kN (sin35 ) sin85 BC T = ° ° 3.45 kN BC T = Copyright © McGraw-Hill Education. Permission required for reproduction or display. www.elsolucionario.org
  • 75.
    PROBLEM 2.45 Two cablesare tied together at C and loaded as shown. Determine the tension (a) in cable AC, (b) in cable BC. SOLUTION Free-Body Diagram 1.4 tan 4.8 16.2602 1.6 tan 3 28.073 α α β β = = ° = = ° Force Triangle Law of sines: 1.98 kN sin61.927 sin73.740 sin 44.333 AC BC T T = = ° ° ° (a) 1.98 kN sin61.927 sin44.333 AC T = ° ° 2.50 kN AC T = (b) 1.98 kN sin73.740 sin 44.333 BC T = ° ° 2.72 kN BC T = Copyright © McGraw-Hill Education. Permission required for reproduction or display. www.elsolucionario.org
  • 76.
    SOLUT Law of s (a) (b) TION Free-Bod sines: dyDiagram PROB Two cab Knowing (a) in ca sin35 s AC T = ° 5 s AC T = 5 si BC T = LEM 2.46 bles are tied g that P = 50 able AC, (b) in For 500 N sin75 sin70 BC T = ° 500 N sin35 in70 ° ° 500 N sin75 in70 ° ° together at C 00 N and α = n cable BC. rce Triangle N 0° C and are lo 60°, determin oaded as show ne the tension 305 N AC T = 514 N BC T = wn. n in Copyright © McGraw-Hill Education. Permission required for reproduction or display. www.elsolucionario.org
  • 77.
    SOLUT Law of s (a) (b) TION Free-Bod mg (20 196 W= = = sines: PRO Two tensi dy Diagram 00 kg)(9.81 m/ 62 N sin A T T T OBLEM 2.4 cables are tie ion (a) in cabl 2 /s ) 15 sin 105 AC BC T = ° ° (1962 N sin AC T = (1962 N sin BC T = 47 ed together at e AC, (b) in ca F 1962 N sin 60 = ° ° N) sin 15 n 60 ° ° N)sin 105 n 60 ° ° C and are loa able BC. Force Triang aded as shown gle T n. Determine 586 N AC T = 2190 N BC T = the Copyright © McGraw-Hill Education. Permission required for reproduction or display. www.elsolucionario.org
  • 78.
    SOLUT Law of s (a) (b) TION Free sines: e-BodyDiagra sin P K AC am n 110 sin 5 AC BC T T = ° 1200 sin 6 AC T = 1200 sin 6 BC T = PROBLEM 2 Knowing that α C, (b) in rope 1200 lb 5 sin 65 = ° ° 0 lb sin 110 65 ° ° lb sin 5 65 ° ° 2.48 20 , α = ° dete BC. Force Triang rmine the ten gle T T sion (a) in ca 1244 lb AC T = 115.4 lb BC T = ble Copyright © McGraw-Hill Education. Permission required for reproduction or display. www.elsolucionario.org
  • 79.
    SOLUT x F Σ For P = y F Σ Solvin TION 0CA T = − 200N = we ha 0 = 0.8 ng equations ( PRO Two Know BC. sin30 CB T + D ve, 0.5 CA T − co CA T 86603 0.8 CA T + 1) and (2) sim BLEM 2.49 cables are wing that P = Free-B sin30 cos P − D 0.5 21 A CB T + + os30 co CB T ° − 86603 21 CB T − multaneously g 9 tied togeth = 300 N, de Body Diagram s45 200N ° − = 12.13 200 − = s30 sin 4 P − D 12.13 0 = (2) ives, her at C an etermine the m 0 = 0 (1) 5 0 = D ) nd are load tension in c T T ded as show cables AC a 134.6 N CA T = 110.4 N CB T = wn. and Copyright © McGraw-Hill Education. Permission required for reproduction or display. www.elsolucionario.org
  • 80.
    SOLUT x F Σ For CA T y F Σ Adding Substitu And range of TION 0CA T = − 0 = we have, 0 = c CA T equations (1) uting for CB T = d 546.40 CA T = f 179.315 N an PRO Two Deter taut. sin30 CB T + D , 0.5 CB T + cos30 c CB T ° − 0.866 and (2) gives 0 = into the eq 0N , 669 P = nd 669.20 N. BLEM 2.50 cables are rmine the ran Free-B sin30 cos P − D 0.70711 2 P + − cos30 sin P − D 603 0.707 CB T − s, 1.36603 C T quilibrium equ 0.5 0.86603 CA T − 9.20N Thus fo 0 tied togeth nge of value Body Diagram s45 200N ° − = 200 0 = (1) 45 0 = D ; aga 711 0 P = (2) 200 CB = henc uations and sol 0.70711 0.70711 CA P T + − − for both cables her at C an es of P for m 0 = ain setting CA T ) ce 146.4 CB T = lving simultan 200 0 1 0 P − = = s to remain ta nd are load which both 0 A = yields, 410N and P = neously gives, aut, load P mu 179.3 N ded as show cables rema 179.315N = ust be within N < < 669 N P wn. ain the Copyright © McGraw-Hill Education. Permission required for reproduction or display. www.elsolucionario.org
  • 81.
    SOLUT Resolvin Substitu In the y- Thus, Inthe x- Thus, TION ng the forces i uting compone -direction (one -direction: into x- and y-d = R ents: = R e unknown for − (65 P Tw co an m directions: A = + + + P Q F (500 lb) [(650 lb)si ( c B A F F = − + − + − j i rce): 500 lb (650 − − 500 lb A F + = 1302.70 = 50 lb)cos50° + cos50 (1302.70 B A F F = = 419.55 lb = PROBLEM 2 wo forces P a onnection. Kn nd that P = magnitudes of t 0 B + = F [(650 lb)cos5 in50 ] cos50 ) ( A F ° ° + j i lb)sin50 F ° + (650 lb)sin50 sin50 + ° lb cos5 B A F F + − 0 (650 lb)c 0 lb)cos50 ° − ° − b 2.51 and Q are ap nowing that th 500 = lb and the forces exer 50 ] sin50 ) 0 A ° ° = i j sin50 0 A F ° = 0° 50 0 ° = cos50 (650 lb)cos50 ° pplied as show e connection i 650 Q = lb, rted on the rod Free 0° wn to an aircr is in equilibriu determine ds A and B. e-Body Diagr 1303lb A F = 420 lb B F = raft um the ram Copyright © McGraw-Hill Education. Permission required for reproduction or display. www.elsolucionario.org
  • 82.
    SOLUT Resolvin Substitu In the x- Inthe y- TION ng the forces i uting compone -direction (one -direction: into x- and y-d = R P ents: = − − + R e unknown for cos 5 Q P − − P = = = P T c e o d directions: A + + + P Q F F cos 50 [(750 lb)cos [(750 lb)sin P Q − + − + j rce): 50 [(750 lb) ° − (750 lb 127.710 Q = = sin 50 Q − ° + sin 50 (127.710 lb 476.70 lb Q = − ° + = − = PROBLEM Two forces P connection. equilibrium an on rods A a determine the 0 B = F 0 sin 50 50 ] 50 ] (400 lb Q ° − ° ° ° + i i j cos 50 ] 400 ° + b)cos 50 40 cos 50 0 lb ° − ° (750 lb)sin 5 (750 lb)sin 5 b)sin 50 (75 + ° + M 2.52 and Q are ap Knowing th nd that the ma and B are F magnitudes o b) °j i 0 lb 0 = 00 lb 0 0 ° = 50 50 lb)sin 50 ° ° pplied as show hat the con agnitudes of th 750 A F = lb an of P and Q. Free-Bo 477 lb; P = wn to an aircr nnection is he forces exer nd 400 B F = ody Diagram 127.7 lb Q = raft in rted lb, Copyright © McGraw-Hill Education. Permission required for reproduction or display. www.elsolucionario.org
  • 83.
    SOLUT With With FA TION A andFB as abo F F Σ F F F F Σ ove: F PR A w the B F = forc Free-Body Di 3 0: 5 x B F F = 8 kN 16 kN A B F F = = 4 (16 kN) 5 C F = 0: y D F F = − 3 (16 kN) 5 D F = ROBLEM 2. welded connec four forces 16 = kN, dete ces. iagram of Co 3 5 C A F F − − = 4 ) (8 kN) 5 − 3 3 5 5 B A F F + − 3 ) (8 kN) 5 − 53 ction is in equ shown. Kn ermine the m nnection 0 = 0 A = uilibrium und nowing that magnitudes of F F der the action 8 A F = kN a f the other t 6.40 kN C F = 4.80 kN D F = of and two Copyright © McGraw-Hill Education. Permission required for reproduction or display. www.elsolucionario.org
  • 84.
    SOLUT or With TION F y F Σ B F A F B F x F Σ C F PRO A wel four fo determ Free-BodyDi 0: D F = − − 3 5 D A F F = + 5 kN, D F = 5 3 6 kN 3 5 ⎡ = + ⎢ ⎣ 0: C F = − + 4 ( 5 4 (15 kN 5 B A F F = − = − BLEM 2.54 lded connectio forces shown. mine the magn iagram of Co 3 3 5 5 A B F F + = 8 kN = 3 (5 kN) 5 ⎤ ⎥ ⎦ 4 4 5 5 B A F F − = ) 5 kN) 4 on is in equili Knowing tha nitudes of the o nnection 0 = 0 = ibrium under t at 5 A F = kN other two forc F F the action of and 6 D F = k es. 15.00 kN B F = 8.00 kN C F = the kN, Copyright © McGraw-Hill Education. Permission required for reproduction or display. www.elsolucionario.org
  • 85.
    SOLUT (a) Su (b) Fr TION ubstitute(1) in rom (1): 0: x F Σ = 0: y F Σ = nto (2): 0.6 A T T P A th on co an bo de (b Free-B : cos 10 ACB T 0.137 CD T = : sin 10 ACB T ° 0.67365 A T 67365 0 ACB T + 269.46 lb CB = 0.137158 CD T = PROBLEM 2 A sailor is be hat is suspen n the supp onstant spee nd β = 10° oatswain’s etermine the b) in the trac Body Diagram 0 cos 3 ACB T ° − 7158 ACB T sin 30 ACB T ° + 0.5 CB CD T + = 0.5(0.137158T b 8(269.46 lb) 2.55 eing rescued nded from a ort cable A d by cable C and that the chair and e tension (a) ction cable C m 30 cos 3 CD T ° − 0 sin 30 CD T ° + 200 ) 200 ACB T = using a boa pulley that ACB and is CD. Knowin e combined the sailor in the suppo CD. 30 0 ° = 0 200 0 ° − = T T atswain’s ch can roll free s pulled at ng that α = 3 weight of t r is 200 ort cable AC 269 lb ACB T = 37.0 lb CD T = hair ely a 30° the lb, CB, (1) (2) Copyright © McGraw-Hill Education. Permission required for reproduction or display. www.elsolucionario.org
  • 86.
    SOLUT TION P A su ca K ca th su Free-B 0: x A F T Σ= A T 0: (30 y F Σ = + PROBLEM A sailor is bein uspended from able ACB and Knowing that α able CD is 20 he boatswain’s upport cable A Body Diagram cos 15 ACB T °− 304.04 l ACB = 04.04 lb)sin 1 (20 lb)sin 25 + 2.56 ng rescued usi m a pulley that d is pulled at a α = 25° and β 0 lb, determin s chair and th ACB. m cos 25 ACB T ° − lb 5 (304.04 l ° + 5 0 215.6 W W ° − = = ing a boatswa t can roll freel a constant spe β = 15° and th ne (a) the com he sailor, (b) th (20 lb)cos 25 lb)sin 25° 64 lb (a) (b) T ain’s chair that ly on the supp eed by cable C hat the tension mbined weight he tension in 5 0 ° = 216 lb W = 304 lb ACB T = t is port CD. n in t of the Copyright © McGraw-Hill Education. Permission required for reproduction or display. www.elsolucionario.org
  • 87.
    PROBLEM 2.57 For thecables of prob. 2.44, find the value of α for which the tension is as small as possible (a) in cable bc, (b) in both cables simultaneously. In each case determine the tension in each cable. SOLUTION Free-Body Diagram Force Triangle (a) For a minimum tension in cable BC, set angle between cables to 90 degrees. By inspection, 35.0 α = D (6 kN)cos35 AC T = D 4.91 kN AC T = (6 kN)sin35 BC T = D 3.44 kN BC T = (b) For equal tension in both cables, the force triangle will be an isosceles. Therefore, by inspection, 55.0 α = D 6 kN (1/ 2) cos35 AC BC T T = = ° 3.66 kN AC BC T T = = Copyright © McGraw-Hill Education. Permission required for reproduction or display. www.elsolucionario.org
  • 88.
    SOLUT (a) L (b) L TION F Lawof cosines Law of sines Free-Body D 2 P P sin 600 N β β PROB For the allowabl Determi (b) the c iagram 2 2 (600) (7 = + 784.02 N P = sin(25 4 N 784.02 N ° + = 46.0 β = ° LEM 2.58 cables of Pro le tension is 6 ne (a) the ma corresponding 2 750) 2(600 − 45 ) N ° 46.0 α ∴ = ° oblem 2.46, it 600 N in cabl aximum force value of α. For )(750)cos(25° 25 ° + ° t is known tha e AC and 750 e P that can b rce Triangle 45 ) ° + ° at the maximu 0 N in cable B be applied at 784 N P = 71.0 α = ° um BC. C, Copyright © McGraw-Hill Education. Permission required for reproduction or display. www.elsolucionario.org
  • 89.
    SOLUT To be sm (a)T (b) TION F mallest, BC T m Thus, Free-Body D must be perpen α = BC T = P F th as iagram ndicular to the 5.00 = ° (1200 lb)sin = PROBLEM or the situatio he value of α f s possible, (b) e direction of n 5° 2.59 on described i for which the ) the correspon For . AC T n Figure P2.4 tension in rop nding value of rce Triangle α T 48, determine pe BC is as sm f the tension. 5.00 α = ° 104.6 lb BC T = (a) mall Copyright © McGraw-Hill Education. Permission required for reproduction or display. www.elsolucionario.org
  • 90.
    SOLUT Free-Bo TION ody Diagram PROBLE Two cables rangeof va either cable Requireme From Eq. ( Requireme From Eq. ( EM 2.60 s tied together alues of Q for e. 0: x F Σ = 0: y F Σ = ent: (2): s Q ent: (1): 75 lb − r at C are loa which the ten co BC T Q − − 75 lb BC T = sin AC T Q − sin AC T Q = 60 lb AC T = sin60 60 lb ° = 69.3 Q = 60 lb BC T = cos60 6 Q − ° = 30 Q = aded as shown nsion will not os60 75 lb ° + = b cos60 Q − ° 60 0 ° = n60° b: lb b: 0 lb 0.0 lb 30.0 lb n. Determine t exceed 60 lb 0 = 69.3 lb Q ≤ ≤ the b in (1) (2) Copyright © McGraw-Hill Education. Permission required for reproduction or display. www.elsolucionario.org
  • 91.
    PROBLEM 2.61 A movablebin and its contents have a combined weight of 2.8 kN. Determine the shortest chain sling ACB that can be used to lift the loaded bin if the tension in the chain is not to exceed 5 kN. SOLUTION Free-Body Diagram tan 0.6 m α = h (1) Isosceles Force Triangle Law of sines: 1 2 1 2 (2.8 kN) sin 5 kN (2.8 kN) sin 5 kN 16.2602 AC AC T T α α α = = = = ° From Eq. (1): tan16.2602 0.175000 m 0.6 m h h ° = ∴ = Half-length of chain 2 2 (0.6 m) (0.175 m) 0.625 m AC = = + = Total length: 2 0.625 m = × 1.250 m Copyright © McGraw-Hill Education. Permission required for reproduction or display. www.elsolucionario.org
  • 92.
    PROBLEM 2.62 For W= 800 N, P = 200 N, and d = 600 mm, determine the value of h consistent with equilibrium. SOLUTION Free-Body Diagram 800 N AC BC T T = = ( ) 2 2 AC BC h d = = + 2 2 0: 2(800 N) 0 y h F P h d Σ = − = + 2 800 1 2 P d h ⎛ ⎞ = + ⎜ ⎟ ⎝ ⎠ Data: 200 N, 600 mm P d = = and solving for h 2 200 N 600 mm 800 N 1 2 h ⎛ ⎞ = + ⎜ ⎟ ⎝ ⎠ 75.6 mm h = www.elsolucionario.org
  • 93.
    SOLUT (a) F (b) F TION FreeBody: Co Free Body: Co ollar A ollar A PROBLE Collar A is c slide on a magnitude equilibrium 15 in. x = Forc 4.5 P Forc 15 P EM 2.63 connected as s frictionless h of the force of the colla ce Triangle 50 lb 5 20.5 = ce Triangle 50 lb 25 = shown to a 50 horizontal rod P required ar when (a) 0-lb load and c d. Determine to maintain 4.5 in., x = 10.98 lb P = 30.0 lb P = can the the (b) Copyright © McGraw-Hill Education. Permission required for reproduction or display. www.elsolucionario.org
  • 94.
    SOLUT Similar TION Free Bo Triangles ody: CollarA A 2 (50 14 N N = = 48 20 in. 14 x = PROBLEM Collar A is c slide on a f distance x fo P = 48 lb. F 2 2 0) (48) 1 .00 lb − = 8 lb 4 lb M 2.64 connected as s frictionless ho or which the orce Triangle 196 shown to a 50 orizontal rod. collar is in eq e 0-lb load and c . Determine quilibrium wh 68.6 in. x = can the hen Copyright © McGraw-Hill Education. Permission required for reproduction or display. www.elsolucionario.org
  • 95.
    PROBLEM 2.65 Three forcesare applied to a bracket as shown. The directions of the two 150-N forces may vary, but the angle between these forces is always 50°. Determine the range of values of α for which the magnitude of the resultant of the forces acting at A is less than 600 N. SOLUTION Combine the two 150-N forces into a resultant force Q: 2(150 N)cos25 271.89 N Q = ° = Equivalent loading at A: Using the law of cosines: 2 2 2 (600 N) (500 N) (271.89 N) 2(500 N)(271.89 N)cos(55 ) cos(55 ) 0.132685 α α = + + ° + ° + = Two values for : α 55 82.375 27.4 α α ° + = = ° or 55 82.375 55 360 82.375 222.6 α α α ° + = − ° ° + = ° − ° = ° For 600 lb: R < 27.4 222.6 α ° < < D Copyright © McGraw-Hill Education. Permission required for reproduction or display. www.elsolucionario.org
  • 96.
    SOLUT Free-Bo TION ody Diagram: PROBL A 200-kg Determine thefree en the same o Ch. 4.) : Pulley A LEM 2.66 g crate is to be e the magnitu nd of the rope on each side o cos F α α Σ For α = + y F Σ = For α = − y F Σ = e supported b ude and direct to maintain e of a simple pu 0: 2 0.59655 53.377 x F P α α ⎛ = − ⎜ ⎝ = = ± ° 53.377 : + ° 16 0: 2 2 P ⎛ = ⎜ ⎝ 53.377 : − ° 16 0: 2 2 P ⎛ = ⎜ ⎝ by the rope-an tion of the for quilibrium. (H ulley. This can 5 c 281 P ⎛ ⎞ + ⎟ ⎝ ⎠ 6 sin53 81 P ⎞ + ⎟ ⎠ 6 sin( 5 81 P ⎞ + − ⎟ ⎠ nd-pulley arra rce P that mu Hint: The tensi n be proved by cos 0 α = 3.377 1962 N ° − 724 = P 53.377 ) 196 ° − 17 = P ngement show ust be exerted ion in the rope y the methods N 0 = 4 N 53.4° 62 N 0 = 773 53.4° wn. on e is s of Copyright © McGraw-Hill Education. Permission required for reproduction or display. www.elsolucionario.org
  • 97.
    SOLUT Free-Bo (a) (b) (c) (d) (e) TION ody Diagram ofPulley F Σ F Σ F Σ F Σ F Σ 0: 2 y F T = − 0: 2 y F T = − 0: 3 y F T = − 0: 3 y F T = − 0: 4 y F T = − PR A 6 and for (Se (600 lb) 0 1 2 T − = = (600 lb) 0 1 2 T − = = (600 lb) 0 1 ( 3 T − = = (600 lb) 0 1 ( 3 T − = = (600 lb) 0 1 4 T − = = ROBLEM 2 600-lb crate i d-pulley arrang each arrange ee the hint for (600 lb) (600 lb) (600 lb) (600 lb) (600 lb) .67 is supported b gements as sh ement the tens Problem 2.66 by several rop hown. Determ sion in the ro .) 300 lb T = 300 lb T = 200 lb T = 200 lb T = 150.0 lb T = pe- ine pe. Copyright © McGraw-Hill Education. Permission required for reproduction or display. www.elsolucionario.org
  • 98.
    SOLUT Free-Bo (b) (d) TION ody Diagram ofPulley and d Crate 0: y F Σ = 0: y F Σ = PR Solv that crat PR by sho tens 2.66 3 (600 lb T T − 4 (600 lb T − ROBLEM 2. ve Parts b and t the free end te. OBLEM 2.67 several rope wn. Determin sion in the rop 6.) b) 0 1 (600 lb) 3 T = = b) 0 1 (600 lb) 4 T = = .68 d d of Problem of the rope is 7 A 600-lb cr e-and-pulley a ne for each a pe. (See the h ) m 2.67, assumi s attached to rate is suppor arrangements arrangement hint for Probl 200 lb T = 150.0 lb T = ing the rted as the em Copyright © McGraw-Hill Education. Permission required for reproduction or display. www.elsolucionario.org
  • 99.
    SOLUT Free-Bo TION ody Diagram: : PulleyC PRO A lo cable secon suppo (a) th (a) Σ Henc (b) F Σ or OBLEM 2.6 ad Q is appli e ACB. The p nd cable CAD orts a load he tension in c 0: x ACB F T Σ = ce: 0: ( (1292.88 N)( y ACB F T = 69 ied to the pul pulley is held D, which pa P. Knowing cable ACB, (b) (cos25 cos B ° − 129 ACB T = (sin 25 sin5 sin 25 sin5 ° + ° + Q = lley C, which d in the posit asses over the that 75 P = ) the magnitud s55 ) (750 N ° − 92.88 N A T 5 ) (750 N) 5 ) (750 N) ° + ° + 2219.8 N = h can roll on ion shown by e pulley A a 50 N, determ de of load Q. N)cos55° 0 = 1293 N ACB T = sin55 0 sin55 0 Q Q ° − = ° − = 2220 N Q = the y a and mine 0 0 Copyright © McGraw-Hill Education. Permission required for reproduction or display. www.elsolucionario.org
  • 100.
    SOLUT Free-Bo TION ody Diagram: : PulleyC PRO An 1 on th a sec suppo (b) th 0 x F Σ = or y F Σ = or (a) Substit 1.24 Hence: (b) Using ( OBLEM 2.7 800-N load Q he cable ACB. cond cable CA orts a load P he magnitude o 0: (cos2 ACB T 0: (sin2 ACB T tute Equation ( 4177 0. ACB T + (1), 0. P = 70 Q is applied to The pulley is CAD, which p . Determine ( of load P. 25 cos55 ) ° − ° − 25 sin55 ) ° + ° + 1.24177T (1) into Equat 81915(0.5801 58010(1048.3 o the pulley C held in the po passes over th (a) the tension cos55 0 P − ° = 0 P = sin55 1 P + ° − 0.81915 ACB T + tion (2): 10 ) 1800 ACB T = 1048 ACB T = A T 37 N) 608.16 = C, which can r osition shown he pulley A a n in cable AC 0 0.58010 ACB T 800 N 0 = 5 1800 N P = 0 N 8.37 N 1048 N ACB T = 6 N 608 N P = roll by and CB, (1) (2) Copyright © McGraw-Hill Education. Permission required for reproduction or display. www.elsolucionario.org
  • 101.
    PROBLEM 2.71 Determine (a)the x, y, and z components of the 600-N force, (b) the angles θx, θy, and θz that the force forms with the coordinate axes. SOLUTION (a) (600 N)sin 25 cos30 x F = ° D 219.60 N x F = 220 N x F = (600 N)cos25° 543.78 N y y F F = = 544 N y F = (380.36 N)sin 25 sin30 126.785 N z z F F = ° = D 126.8 N z F = (b) 219.60 N cos 600 N x x F F θ = = 68.5 x θ = ° 543.78 N cos 600 N y y F F θ = = 25.0 y θ = ° 126.785 N cos 600 N z z F F θ = = 77.8 z θ = ° Copyright © McGraw-Hill Education. Permission required for reproduction or display. www.elsolucionario.org
  • 102.
    PROBLEM 2.72 Determine (a)the x, y, and z components of the 450-N force, (b) the angles θx, θy, and θz that the force forms with the coordinate axes. SOLUTION (a) (450 N)cos 35 sin40 x F = − ° D 236.94 N x F = − 237 N x F = − (450 N)sin 35° 258.11 N y y F F = = 258 N y F = (450 N)cos35 cos40 282.38 N z z F F = ° = D 282 N z F = (b) -236.94 N cos 450 N x x F F θ = = 121.8 x θ = ° 258.11 N cos 450 N y y F F θ = = 55.0 y θ = ° 282.38 N cos 450 N z z F F θ = = 51.1 z θ = ° Note: From the given data, we could have computed directly 90 35 55 , which checks with the answer obtained. y θ = − = D D D Copyright © McGraw-Hill Education. Permission required for reproduction or display. www.elsolucionario.org
  • 103.
    PROBLEM 2.73 A gunis aimed at a point A located 35° east of north. Knowing that the barrel of the gun forms an angle of 40° with the horizontal and that the maximum recoil force is 400 N, determine (a) the x, y, and z components of that force, (b) the values of the angles θx, θy, and θz defining the direction of the recoil force. (Assume that the x, y, and z axes are directed, respectively, east, up, and south.) SOLUTION Recoil force 400 N F = (400 N)cos40 306.42 N H F ∴ = ° = (a) sin35 (306.42 N)sin35 x H F F = − ° = − ° 175.755 N = − 175.8 N x F = − sin 40 (400 N)sin 40 257.12 N y F F = − ° = − ° = − 257 N y F = − cos35 (306.42 N)cos35 251.00 N z H F F = + ° = + ° = + 251N z F = + (b) 175.755 N cos 400 N x x F F θ − = = 116.1 x θ = ° 257.12 N cos 400 N y y F F θ − = = 130.0 y θ = ° 251.00 N cos 400 N z z F F θ = = 51.1 z θ = ° Copyright © McGraw-Hill Education. Permission required for reproduction or display. www.elsolucionario.org
  • 104.
    PROBLEM 2.74 Solve Problem2.73, assuming that point A is located 15° north of west and that the barrel of the gun forms an angle of 25° with the horizontal. PROBLEM 2.73 A gun is aimed at a point A located 35° east of north. Knowing that the barrel of the gun forms an angle of 40° with the horizontal and that the maximum recoil force is 400 N, determine (a) the x, y, and z components of that force, (b) the values of the angles θx, θy, and θz defining the direction of the recoil force. (Assume that the x, y, and z axes are directed, respectively, east, up, and south.) SOLUTION Recoil force 400 N F = (400 N)cos25 362.52 N H F ∴ = ° = (a) cos15 (362.52 N)cos15 x H F F = + ° = + ° 350.17 N = + 350 N x F = + sin 25 (400 N)sin 25 169.047 N y F F = − ° = − ° = − 169.0 N y F = − sin15 (362.52 N)sin15 93.827 N z H F F = + ° = + ° = + 93.8 N z F = + (b) 350.17 N cos 400 N x x F F θ + = = 28.9 x θ = ° 169.047 N cos 400 N y y F F θ − = = 115.0 y θ = ° 93.827 N cos 400 N z z F F θ + = = 76.4 z θ = ° Copyright © McGraw-Hill Education. Permission required for reproduction or display. www.elsolucionario.org
  • 105.
    PROBLEM 2.75 The anglebetween spring AB and the post DA is 30°. Knowing that the tension in the spring is 50 lb, determine (a) the x, y, and z components of the force exerted on the circular plate at B, (b) the angles θx, θy, and θz defining the direction of the force at B. SOLUTION cos 60 (50 lb)cos 60 25.0 lb h h F F F = ° = ° = cos 35 sin60 sin35 ( 25.0 lb)cos35 (50.0 lb)sin60 ( 25.0 lb)sin35 20.479 lb 43.301 lb 14.3394 l x h y z h x y z x y z F F F F F F F F F F F F = − ° = = − = − = = − = − = = − D D D D D b (a)  20.5 lb x F = − 43.3 lb y F = 14.33 lb z F = − (b) 20.479 lb cos 50 lb x x F F θ − = = 114.2 x θ = ° 43.301 lb cos 50 lb y y F F θ = = 30.0 y θ = ° -14.3394 lb cos 50 lb z z F F θ = = 106.7 z θ = ° Copyright © McGraw-Hill Education. Permission required for reproduction or display. www.elsolucionario.org
  • 106.
    PROBLEM 2.76 The anglebetween spring AC and the post DA is 30°. Knowing that the tension in the spring is 40 lb, determine (a) the x, y, and z components of the force exerted on the circular plate at C, (b) the angles θx, θy, and θz defining the direction of the force at C. SOLUTION cos 60 (40 lb)cos 60 20.0 lb h h F F F = ° = ° = (a) cos 35 x h F F = ° sin60 y F F = ° sin 35 z h F F = − ° (20.0 lb)cos 35° = (40 lb)sin 60° = (20.0 lb)sin35 = − ° 16.3830 lb x F = 34.641 lb y F = 11.4715 lb z F = −  16.38 lb x F = 34.6 lb y F = 11.47 lb z F = − (b) 16.3830 lb cos 40 lb x x F F θ = = 65.8 x θ = ° 34.641 lb cos 40 lb y y F F θ = = 30.0 y θ = ° -11.4715 lb cos 40 lb z z F F θ = = 106.7 z θ = ° Copyright © McGraw-Hill Education. Permission required for reproduction or display. www.elsolucionario.org
  • 107.
    SOLUT TION P C D c d From trian (a) (b) Fro PROBLEM Cable ABis Determine (a) cable on the a direction of tha ngle AOB: F F F cosθ om above: 2.77 65 ft long, a the x, y, and anchor B, (b) at force. cos y y θ θ sin (3900 lb x y F F θ = − = − cos y y F F θ = + (3900 lb z F = + 18 39 x x F F θ = = − 30.5 y θ = cos z z F F θ = and the tensio d z component the angles θ 56 ft 65 ft 0.86154 30.51 y y = = = ° cos20 b)sin30.51 co ° ° (3900 lb)(0 y = b)sin 30.51° si 861 lb 0.47 900 lb = − 51° 677 lb 3900 lb = + = on in that ca ts of the force , x θ , y θ and os20° F 0.86154) F in 20° 771 0.1736 = + able is 3900 e exerted by z θ defining 1861 lb x F = − 3360 lb y F = + 677 lb z F = + 118.5 x θ = ° 30.5 y θ = ° 80.0 z θ = ° lb. the the Copyright © McGraw-Hill Education. Permission required for reproduction or display. www.elsolucionario.org
  • 108.
    PROBLEM 2.78 Cable ACis 70 ft long, and the tension in that cable is 5250 lb. Determine (a) the x, y, and z components of the force exerted by the cable on the anchor C, (b) the angles θx, θy, and θz defining the direction of that force. SOLUTION In triangle AOB: 70 ft 56 ft 5250 lb AC OA F = = = 56 ft cos 70 ft 36.870 sin (5250 lb)sin36.870 3150.0 lb y y H y F F θ θ θ = = ° = = ° = (a) sin50 (3150.0 lb)sin50 2413.0 lb x H F F = − ° = − ° = − 2410 lb x F = − cos (5250 lb)cos36.870 4200.0 lb y y F F θ = + = + ° = + 4200 lb y F = + cos50 3150cos50 2024.8 lb z H F F = − ° = − ° = − 2025 lb z F = − (b) 2413.0 lb cos 5250 lb x x F F θ − = = 117.4 x θ = ° From above: 36.870 y θ = ° 36.9 y θ = ° 2024.8 lb 5250 lb z z F F θ − = = 112.7 z θ = ° Copyright © McGraw-Hill Education. Permission required for reproduction or display. www.elsolucionario.org
  • 109.
    PROBLEM 2.79 Determine themagnitude and direction of the force F = (240 N)i – (270 N)j + (680 N)k. SOLUTION 2 2 2 2 2 2 (240 N) ( 270 N) ( 680 N) x y z F F F F F = + + = + − + − 770 N F = 240 N cos 770 N x x F F θ = = 71.8 x θ = ° 270 N cos 770 N y y F F θ − = = 110.5 y θ = ° 680 N cos 770 N z y F F θ = = 28.0 z θ = ° Copyright © McGraw-Hill Education. Permission required for reproduction or display. www.elsolucionario.org
  • 110.
    PROBLEM 2.80 Determine themagnitude and direction of the force F = (320 N)i + (400 N)j − (250 N)k. SOLUTION 2 2 2 2 2 2 (320 N) (400 N) ( 250 N) x y z F F F F F = + + = + + − 570 N F = 320 N cos 570 N x x F F θ = = 55.8 x θ = ° 400 N cos 570 N y y F F θ = = 45.4 y θ = ° 250 N cos 570 N z y F F θ − = = 116.0 z θ = ° Copyright © McGraw-Hill Education. Permission required for reproduction or display. www.elsolucionario.org
  • 111.
    PROBLEM 2.81 A forceacts at the origin of a coordinate system in a direction defined by the angles θx = 69.3° and θz = 57.9°. Knowing that the y component of the force is –174.0 lb, determine (a) the angle θy, (b) the other components and the magnitude of the force. SOLUTION 2 2 2 2 2 2 cos cos cos 1 cos (69.3 ) cos cos (57.9 ) 1 cos 0.7699 x y z y y θ θ θ θ θ + + = ° + + ° = = ± (a) Since 0, y F < we choose cos 0.7699 y θ = − 140.3 y θ ∴ = ° (b) cos 174.0 lb ( 0.7699) y y F F F θ = − = − 226.0 lb F = 226 lb F = cos (226.0 lb)cos69.3 x x F F θ = = ° 79.9 lb x F = cos (226.0 lb)cos57.9 z z F F θ = = ° 120.1lb z F = Copyright © McGraw-Hill Education. Permission required for reproduction or display. www.elsolucionario.org
  • 112.
    PROBLEM 2.82 A forceacts at the origin of a coordinate system in a direction defined by the angles θx = 70.9° and θy = 144.9°. Knowing that the z component of the force is –52.0 lb, determine (a) the angle θz, (b) the other components and the magnitude of the force. SOLUTION 2 2 2 2 2 2 cos cos cos 1 cos 70.9 cos 144.9 cos 1 cos 0.47282 x y z z z θ θ θ θ θ + + = + ° + ° = = ± D (a) Since 0, z F < we choose cos 0.47282 z θ = − 118.2 z θ ∴ = ° (b) cos 52.0 ( 0.47282) z z F F lb F θ = − = − 110.0 lb F = 110.0 lb F = cos (110.0 lb)cos70.9 x x F F θ = = ° 36.0 lb x F = cos (110.0 lb)cos144.9 y y F F θ = = ° 90.0 lb y F = − Copyright © McGraw-Hill Education. Permission required for reproduction or display. www.elsolucionario.org
  • 113.
    PROBLEM 2.83 A forceF of magnitude 210 N acts at the origin of a coordinate system. Knowing that Fx = 80 N, θz = 151.2°, and Fy < 0, determine (a) the components Fy and Fz, (b) the angles θx and θy. SOLUTION (a) cos (210 N)cos151.2 z z F F θ = = ° 184.024 N = − 184.0 N z F = − Then: 2 2 2 2 x y z F F F F = + + So: 2 2 2 2 (210 N) (80 N) ( ) (184.024 N) y F = + + Hence: 2 2 2 (210 N) (80 N) (184.024 N) y F = − − − 61.929 N = − 62.0 lb y F = − (b) 80 N cos 0.38095 210 N x x F F θ = = = 67.6 x θ = ° 61.929 N cos 0.29490 210 N y y F F θ = = = − 107.2 y θ = ° Copyright © McGraw-Hill Education. Permission required for reproduction or display. www.elsolucionario.org
  • 114.
    PROBLEM 2.84 A forceF of magnitude 1200 N acts at the origin of a coordinate system. Knowing that θx = 65°, θy = 40°, and Fz > 0, determine (a) the components of the force, (b) the angle θz. SOLUTION 2 2 2 2 2 2 cos cos cos 1 cos 65 cos 40 cos 1 cos 0.48432 x y z z z θ θ θ θ θ + + = + ° + ° = = ± D (b) Since 0, z F > we choose cos 0.48432, or 61.032 z z θ θ = = D 61.0 z θ ∴ = ° (a) 1200 N F = cos (1200 N) cos65 x x F F θ = = D 507 N x F = cos (1200 N)cos40 y y F F θ = = ° 919 N y F = cos (1200 N)cos61.032 z z F F θ = = ° 582 N z F = Copyright © McGraw-Hill Education. Permission required for reproduction or display. www.elsolucionario.org
  • 115.
    PROBLEM 2.85 A frameABC is supported in part by cable DBE that passes through a frictionless ring at B. Knowing that the tension in the cable is 385 N, determine the components of the force exerted by the cable on the support at D. SOLUTION 2 2 2 (480 mm) (510 mm) (320 mm) (480 mm) (510 mm ) (320 mm) 770 mm 385 N [(480 mm) (510 mm) (320 mm) ] 770 mm (240 N) (255 N) (160 N) DB DB DB F DB F DB = − + = + + = = = = − + = − + i j k F λ i j k i j k JJJ G JJJ G 240 N, 255 N, 160.0 N x y z F F F = + = − = + Copyright © McGraw-Hill Education. Permission required for reproduction or display. www.elsolucionario.org
  • 116.
    PROBLEM 2.86 For theframe and cable of Problem 2.85, determine the components of the force exerted by the cable on the support at E. PROBLEM 2.85 A frame ABC is supported in part by cable DBE that passes through a frictionless ring at B. Knowing that the tension in the cable is 385 N, determine the components of the force exerted by the cable on the support at D. SOLUTION 2 2 2 (270 mm) (400 mm) (600 mm) (270 mm) (400 mm) (600 mm) 770 mm 385 N [(270 mm) (400 mm) (600 mm) ] 770 mm (135 N) (200 N) (300 N) EB EB EB F EB F EB = − + = + + = = = = − + = − + i j k F λ i j k F i j k JJJ G JJJ G 135.0 N, 200 N, 300 N x y z F F F = + = − = + Copyright © McGraw-Hill Education. Permission required for reproduction or display. www.elsolucionario.org
  • 117.
    PROBLEM 2.87 In orderto move a wrecked truck, two cables are attached at A and pulled by winches B and C as shown. Knowing that the tension in cable AB is 2 kips, determine the components of the force exerted at A by the cable. SOLUTION Cable AB: ( 46.765 ft) (45 ft) (36 ft) 74.216 ft 46.765 45 36 74.216 AB AB AB AB AB AB T − + + = = − + + = = i j k λ i j k T λ JJJ G ( ) 1.260 kips AB x T = − ( ) 1.213 kips AB y T = + ( ) 0.970 kips AB z T = + Copyright © McGraw-Hill Education. Permission required for reproduction or display. www.elsolucionario.org
  • 118.
    PROBLEM 2.88 In orderto move a wrecked truck, two cables are attached at A and pulled by winches B and C as shown. Knowing that the tension in cable AC is 1.5 kips, determine the components of the force exerted at A by the cable. SOLUTION Cable AB: ( 46.765 ft) (55.8 ft) ( 45 ft) 85.590 ft 46.765 55.8 45 (1.5 kips) 85.590 AC AC AC AC AC AC T − + + − = = − + − = = i j k λ i j k T λ JJJG ( ) 0.820 kips AC x T = − ( ) 0.978 kips AC y T = + ( ) 0.789 kips = − AC z T Copyright © McGraw-Hill Education. Permission required for reproduction or display. www.elsolucionario.org
  • 119.
    PROBLEM 2.89 A rectangularplate is supported by three cables as shown. Knowing that the tension in cable AB is 408 N, determine the components of the force exerted on the plate at B. SOLUTION We have: (320 mm) (480 mm) (360 mm) 680 mm BA BA = + = i + j- k JJJ G Thus: 8 12 9 F 17 17 17 B BA BA BA BA BA T T T BA ⎛ ⎞ = = = ⎜ ⎟ ⎝ ⎠ λ i + j- k JJJ G 8 12 9 0 17 17 17 BA BA BA T T T ⎛ ⎞ ⎛ ⎞ ⎛ ⎞ + − = ⎜ ⎟ ⎜ ⎟ ⎜ ⎟ ⎝ ⎠ ⎝ ⎠ ⎝ ⎠ i j k Setting 408 N BA T = yields, 192.0 N, 288 N, 216 N x y z F F F = + = + = − Copyright © McGraw-Hill Education. Permission required for reproduction or display. www.elsolucionario.org
  • 120.
    PROBLEM 2.90 A rectangularplate is supported by three cables as shown. Knowing that the tension in cable AD is 429 N, determine the components of the force exerted on the plate at D. SOLUTION We have: (250 mm) (480 mm) (360 mm) 650 mm DA DA = − = i + j+ k JJJ G Thus: 5 48 36 F 13 65 65 D DA DA DA DA DA T T T DA ⎛ ⎞ = = = − ⎜ ⎟ ⎝ ⎠ λ i + j+ k JJJ G 5 48 36 0 13 65 65 DA DA DA T T T ⎛ ⎞ ⎛ ⎞ ⎛ ⎞ − + + = ⎜ ⎟ ⎜ ⎟ ⎜ ⎟ ⎝ ⎠ ⎝ ⎠ ⎝ ⎠ i j k Setting 429 N DA T = yields, 165.0 N, 317 N, 238 N x y z F F F = − = + = + Copyright © McGraw-Hill Education. Permission required for reproduction or display. www.elsolucionario.org
  • 121.
    PROBLEM 2.91 Find themagnitude and direction of the resultant of the two forces shown knowing that P = 300 N and Q = 400 N. SOLUTION (300 N)[ cos30 sin15 sin30 cos30 cos15 ] (67.243 N) (150 N) (250.95 N) (400 N)[cos50 cos20 sin50 cos50 sin 20 ] (400 N)[0.60402 0.76604 0.21985] (241.61 N) (306.42 N) (87.939 N) (174. = − ° ° + ° + ° ° = − + + = ° ° + ° − ° ° = + − = + − = + = P i j k i j k Q i j k i j i j k R P Q 2 2 2 367 N) (456.42 N) (163.011 N) (174.367 N) (456.42 N) (163.011 N) 515.07 N R + + = + + = i j k 515 N R = 174.367 N cos 0.33853 515.07 N x x R R θ = = = 70.2 x θ = ° 456.42 N cos 0.88613 515.07 N y y R R θ = = = 27.6 y θ = ° 163.011 N cos 0.31648 515.07 N z z R R θ = = = 71.5 z θ = ° Copyright © McGraw-Hill Education. Permission required for reproduction or display. www.elsolucionario.org
  • 122.
    PROBLEM 2.92 Find themagnitude and direction of the resultant of the two forces shown knowing that P = 400 N and Q = 300 N. SOLUTION (400 N)[ cos30 sin15 sin30 cos30 cos15 ] (89.678 N) (200 N) (334.61 N) (300 N)[cos50 cos20 sin50 cos50 sin 20 ] (181.21 N) (229.81 N) (65.954 N) (91.532 N) (429.81 N) (268.66 N) (91.5 R = − ° ° + ° + ° ° = − + + = ° ° + ° − ° ° = + − = + = + + = P i j k i j k Q i j k i j k R P Q i j k 2 2 2 32 N) (429.81 N) (268.66 N) 515.07 N + + = 515 N R = 91.532 N cos 0.177708 515.07 N x x R R θ = = = 79.8 x θ = ° 429.81 N cos 0.83447 515.07 N y y R R θ = = = 33.4 y θ = ° 268.66 N cos 0.52160 515.07 N z z R R θ = = = 58.6 z θ = ° Copyright © McGraw-Hill Education. Permission required for reproduction or display. www.elsolucionario.org
  • 123.
    PROBLEM 2.93 Knowing thatthe tension is 425 lb in cable AB and 510 lb in cable AC, determine the magnitude and direction of the resultant of the forces exerted at A by the two cables. SOLUTION 2 2 2 2 2 2 (40 in.) (45 in.) (60 in.) (40 in.) (45 in.) (60 in.) 85 in. (100 in.) (45 in.) (60 in.) (100 in.) (45 in.) (60 in.) 125 in. (40 in.) (45 in.) (60 in.) (425 lb) 85 in. AB AB AB AB AB AB AC AC AB T T AB = − + = + + = = − + = + + = − + = = = i j k i j k i j k T λ JJJ G JJJG JJJ G (200 lb) (225 lb) (300 lb) (100 in.) (45 in.) (60 in.) (510 lb) 125 in. (408 lb) (183.6 lb) (244.8 lb) (608) (408.6 lb) (544.8 lb) AB AC AC AC AC AC AB AC AC T T AC ⎡ ⎤ ⎢ ⎥ ⎣ ⎦ = − + ⎡ ⎤ − + = = = ⎢ ⎥ ⎣ ⎦ = − + = + = − + T i j k i j k T λ T i j k R T T i j k JJJG Then: 912.92 lb R = 913 lb R = and 608 lb cos 0.66599 912.92 lb x θ = = 48.2 x θ = ° 408.6 lb cos 0.44757 912.92 lb y θ = = − 116.6 y θ = ° 544.8 lb cos 0.59677 912.92 lb z θ = = 53.4 z θ = ° Copyright © McGraw-Hill Education. Permission required for reproduction or display. www.elsolucionario.org
  • 124.
    PROBLEM 2.94 Knowing thatthe tension is 510 lb in cable AB and 425 lb in cable AC, determine the magnitude and direction of the resultant of the forces exerted at A by the two cables. SOLUTION 2 2 2 2 2 2 (40 in.) (45 in.) (60 in.) (40 in.) (45 in.) (60 in.) 85 in. (100 in.) (45 in.) (60 in.) (100 in.) (45 in.) (60 in.) 125 in. (40 in.) (45 in.) (60 in.) (510 lb) 85 in. AB AB AB AB AB AB AC AC AB T T AB = − + = + + = = − + = + + = − + = = = i j k i j k i j k T λ JJJ G JJJG JJJ G (240 lb) (270 lb) (360 lb) (100 in.) (45 in.) (60 in.) (425 lb) 125 in. (340 lb) (153 lb) (204 lb) (580 lb) (423 lb) (564 lb) AB AC AC AC AC AC AB AC AC T T AC ⎡ ⎤ ⎢ ⎥ ⎣ ⎦ = − + ⎡ ⎤ − + = = = ⎢ ⎥ ⎣ ⎦ = − + = + = − + T i j k i j k T λ T i j k R T T i j k JJJG Then: 912.92 lb R = 913 lb R = and 580 lb cos 0.63532 912.92 lb x θ = = 50.6 x θ = ° 423 lb cos 0.46335 912.92 lb y θ − = = − 117.6 y θ = ° 564 lb cos 0.61780 912.92 lb z θ = = 51.8 z θ = ° Copyright © McGraw-Hill Education. Permission required for reproduction or display. www.elsolucionario.org
  • 125.
    PROBLEM 2.95 For theframe of Problem 2.85, determine the magnitude and direction of the resultant of the forces exerted by the cable at B knowing that the tension in the cable is 385 N. PROBLEM 2.85 A frame ABC is supported in part by cable DBE that passes through a frictionless ring at B. Knowing that the tension in the cable is 385 N, determine the components of the force exerted by the cable on the support at D. SOLUTION 2 2 2 (480 mm) (510 mm) (320 mm) (480 mm) (510 mm) (320 mm) 770 mm BD BD = − + − = + + = i j k JJJG (385 N) [ (480 mm) (510 mm) (320 mm) ] (770 mm) (240 N) (255 N) (160 N) BD BD BD BD BD T T BD = = = − + − = − + − F λ i j k i j k JJJ G 2 2 2 (270 mm) (400 mm) (600 mm) (270 mm) (400 mm) (600 mm) 770 mm BE BE = − + − = + + = i j k JJJ G (385 N) [ (270 mm) (400 mm) (600 mm) ] (770 mm) (135 N) (200 N) (300 N) BE BE BE BE BE T T BE = = = − + − = − + − F λ i j k i j k JJJ G (375 N) (455 N) (460 N) BD BE = + = − + − R F F i j k 2 2 2 (375 N) (455 N) (460 N) 747.83 N R = + + = 748 N R = 375 N cos 747.83 N x θ − = 120.1 x θ = ° 455 N cos 747.83 N y θ = 52.5 y θ = ° 460 N cos 747.83 N z θ − = 128.0 z θ = ° Copyright © McGraw-Hill Education. Permission required for reproduction or display. www.elsolucionario.org
  • 126.
    PROBLEM 2.96 For theplate of Prob. 2.89, determine the tensions in cables AB and AD knowing that the tension in cable AC is 54 N and that the resultant of the forces exerted by the three cables at A must be vertical. SOLUTION We have: ( ) (320 mm) (480 mm) (360 mm) 680 mm (450 mm) (480 mm) (360 mm) 750 mm (250 mm) (480 mm) 360 mm 650 mm AB AB AC AC AD AD = − − + = = − + = = − − = i j k i j k i j k JJJ G JJJG JJJG Thus: ( ) ( ) ( ) 320 480 360 680 54 450 480 360 750 250 480 360 650 AB AB AB AB AB AC AC AC AC AD AD AD AD AD T AB T T AB AC T T AC T AD T T AD = = = − − + = = = − + = = = − − T λ i j k T λ i j k T λ i j k JJJ G JJJG JJJG Substituting into the Eq. = Σ R F and factoring , , : i j k 320 250 32.40 680 650 480 480 34.560 680 650 360 360 25.920 680 650 AB AD AB AD AB AD T T T T T T ⎛ ⎞ = − + + ⎜ ⎟ ⎝ ⎠ ⎛ ⎞ + − − − ⎜ ⎟ ⎝ ⎠ ⎛ ⎞ + + − ⎜ ⎟ ⎝ ⎠ R i j k Copyright © McGraw-Hill Education. Permission required for reproduction or display. www.elsolucionario.org
  • 127.
    PROBLEM 2.96 (Continued) SinceR is vertical, the coefficients of i and k are zero: : i 320 250 32.40 0 680 650 AB AD T T − + + = (1) : k 360 360 25.920 0 680 650 AB AD T T + − = (2) Multiply (1) by 3.6 and (2) by 2.5 then add: 252 181.440 0 680 AB T − + = 489.60 N AB T = 490 N AB T = Substitute into (2) and solve for : AD T 360 360 (489.60 N) 25.920 0 680 650 AD T + − = 514.80 N AD T = 515 N AD T = Copyright © McGraw-Hill Education. Permission required for reproduction or display. www.elsolucionario.org
  • 128.
    PROBLEM 2.97 The boomOA carries a load P and is supported by two cables as shown. Knowing that the tension in cable AB is 183 lb and that the resultant of the load P and of the forces exerted at A by the two cables must be directed along OA, determine the tension in cable AC. SOLUTION Cable AB: 183lb AB T = ( 48 in.) (29 in.) (24 in.) (183 lb) 61in. (144 lb) (87 lb) (72 lb) AB AB AB AB AB AB T T AB − + + = = = = − + + i j k T T i j k JJJ G λ Cable AC: ( 48 in.) (25 in.) ( 36 in.) 65 in. 48 25 36 65 65 65 AC AC AC AC AC AC AC AC AC AC T T T AC T T T − + + − = = = = − + − i j k T T i j k JJJG λ Load P: P = P j For resultant to be directed along OA, i.e., x-axis 36 0: (72 lb) 0 65 z z AC R F T′ = Σ = − = 130.0 lb AC T = Copyright © McGraw-Hill Education. Permission required for reproduction or display. www.elsolucionario.org
  • 129.
    PROBLEM 2.98 For theboom and loading of Problem. 2.97, determine the magnitude of the load P. PROBLEM 2.97 The boom OA carries a load P and is supported by two cables as shown. Knowing that the tension in cable AB is 183 lb and that the resultant of the load P and of the forces exerted at A by the two cables must be directed along OA, determine the tension in cable AC. SOLUTION See Problem 2.97. Since resultant must be directed along OA, i.e., the x-axis, we write 25 0: (87 lb) 0 65 y y AC R F T P = Σ = + − = 130.0 lb AC T = from Problem 2.97. Then 25 (87 lb) (130.0 lb) 0 65 P + − = 137.0 lb P = Copyright © McGraw-Hill Education. Permission required for reproduction or display. www.elsolucionario.org
  • 130.
    PROBLEM 2.99 A containeris supported by three cables that are attached to a ceiling as shown. Determine the weight W of the container, knowing that the tension in cable AB is 6 kN. SOLUTION Free-Body Diagram at A: The forces applied at A are: , , , and AB AC AD T T T W where . W = W j To express the other forces in terms of the unit vectors i, j, k, we write (450 mm) (600 mm) 750 mm (600 mm) (320 mm) 680 mm (500 mm) (600 mm) (360 mm) 860 mm AB AB AC AC AD AD = − + = = + − = = + + + = i j j k i j k JJJ G JJJG JJJG and ( 450 mm) (600 mm) 750 mm AB AB AB AB AB AB T T T AB − + = = = i j T λ JJJ G 45 60 75 75 AB T ⎛ ⎞ = − + ⎜ ⎟ ⎝ ⎠ i j (600 mm) (320 mm) 680 mm 60 32 68 68 (500 mm) (600 mm) (360 mm) 860 mm 50 60 36 86 86 86 − = = = ⎛ ⎞ = − ⎜ ⎟ ⎝ ⎠ + + = = = ⎛ ⎞ = + + ⎜ ⎟ ⎝ ⎠ JJJG JJJG AC AC AC AC AC AC AD AD AD AD AD AD AC T T T AC T AD T T T AD T i j T λ j k i j k T λ i j k Copyright © McGraw-Hill Education. Permission required for reproduction or display. www.elsolucionario.org
  • 131.
    PROBLEM 2.99 (Continued) Equilibriumcondition: 0: 0 AB AC AD F Σ = ∴ + + + = T T T W Substituting the expressions obtained for , , and ; AB AC AD T T T factoring i, j, and k; and equating each of the coefficients to zero gives the following equations: From i: 45 50 0 75 86 AB AD T T − + = (1) From j: 60 60 60 0 75 68 86 AB AC AD T T T W + + − = (2) From k: 32 36 0 68 86 AC AD T T − + = (3) Setting 6 kN AB T = in (1) and (2), and solving the resulting set of equations gives 6.1920 kN 5.5080 kN AC AC T T = = 13.98 kN W = Copyright © McGraw-Hill Education. Permission required for reproduction or display. www.elsolucionario.org
  • 132.
    PROBLEM 2.100 A containeris supported by three cables that are attached to a ceiling as shown. Determine the weight W of the container, knowing that the tension in cable AD is 4.3 kN. SOLUTION See Problem 2.99 for the figure and analysis leading to the following set of linear algebraic equations: 45 50 0 75 86 AB AD T T − + = (1) 60 60 60 0 75 68 86 AB AC AD T T T W + + − = (2) 32 36 0 68 86 AC AD T T − + = (3) Setting 4.3 kN AD T = into the above equations gives 4.1667 kN 3.8250 kN AB AC T T = = 9.71kN W = Copyright © McGraw-Hill Education. Permission required for reproduction or display. www.elsolucionario.org
  • 133.
    SOLUT The forc where P and TION cesapplied at A . P = P j To exp A are: press the other AB AC AD = = = JJJ G JJJG JJJG AB AC AD = = = T T T PROB Three c the vert tension FREE-BOD , AB T r forces in term (4.20 m) (2.40 m) ( (5.60 m) = − − = − = − − i i j AB AB AB AC AC A AD AD A T T T T T T = = = = = = λ λ λ BLEM 2.101 cables are use tical force P e in cable AD i DY DIAGRA , , and AC AD T T ms of the unit (5.60 m) (5.60 m) (4 (3.30 m) − + − j j k ( 0.6 (0.32 ( 0.8 B AC AD AB AB AC AC AD AD = − = = − JJJ G JJJG JJJG 1 ed to tether a exerted by the s 481 N. AM AT A d P vectors i, j, k .20 m) AB AC AD k 0.8 ) 2432 0.7567 86154 0.507 AB T − − − i j i j balloon as sh balloon at A k , we write 7.00 m 7.40 m 6.50 m D = = = 76 0.56757 769 ) AD T + j k k hown. Determ knowing that ) AC T k ine the Copyright © McGraw-Hill Education. Permission required for reproduction or display. www.elsolucionario.org
  • 134.
    Equilibr Substitu Equating Setting rium condition uting theexpre (− g to zero the c 481 N AD T = P n: essions obtaine 0.6 0.3 AB T − + coefficients of 0.8 AB T − − in (2) and (3), PROBLEM 2 0: AB F Σ = T ed for , AB A T T 2432 ) ( (0.56757 AC T + + i f i, j, k: 0.6 A T − 0.75676 AC T − 0.56757T , and solving t 43 23 AC AD T T = = 2.101 (Con B AC AD + + T T , and AC AD T an ( 0.8 0.7 7 0.50769 AB AC T T − − − 0.32432 AB T T + 0.86154 AD T − + 0.50769 AC T T − the resulting se 30.26 N 32.57 N ntinued) 0 P + = j nd factoring i, 5676 0.8 9 ) 0 AC AD T T − = k 0 AC T = 0 P + = 0 AD T = et of equation , j, and k: 86154 ) AD T P + s gives )j 926 N = P (1) (2) (3) Copyright © McGraw-Hill Education. Permission required for reproduction or display. www.elsolucionario.org
  • 135.
    PROBLEM 2.102 Three cablesare used to tether a balloon as shown. Knowing that the balloon exerts an 800-N vertical force at A, determine the tension in each cable. SOLUTION See Problem 2.101 for the figure and analysis leading to the linear algebraic Equations (1), (2), and (3). 0.6 0.32432 0 AB AC T T − + = (1) 0.8 0.75676 0.86154 0 AB AC AD T T T P − − − + = (2) 0.56757 0.50769 0 AC AD T T − = (3) From Eq. (1): 0.54053 AB AC T T = From Eq. (3): 1.11795 AD AC T T = Substituting for AB T and AD T in terms of AC T into Eq. (2) gives 0.8(0.54053 ) 0.75676 0.86154(1.11795 ) 0 AC AC AC T T T P − − − + = 2.1523 ; 800 N 800 N 2.1523 371.69 N AC AC T P P T = = = = Substituting into expressions for AB T and AD T gives 0.54053(371.69 N) 1.11795(371.69 N) AB AD T T = = 201 N, 372 N, 416 N AB AC AD T T T = = = Copyright © McGraw-Hill Education. Permission required for reproduction or display. www.elsolucionario.org
  • 136.
    PROBLEM 2.103 A 36-lbtriangular plate is supported by three wires as shown. Determine the tension in each wire, knowing that a = 6 in. SOLUTION By Symmetry DB DC T T = Free-Body Diagram of Point D: The forces applied at D are: , , , and DB DC DA T T T P where (36 lb) . P = = P j j To express the other forces in terms of the unit vectors i, j, k, we write (16 in.) (24 in.) 28.844 in. (8 in.) (24 in.) (6 in.) 26.0 in. (8 in.) (24 in.) (6 in.) 26.0 in. DA DA DB DB DC DC = − = = − − + = = − − − = i j i j k i j k JJJ G JJJ G JJJG and (0.55471 0.83206 ) ( 0.30769 0.92308 0.23077 ) ( 0.30769 0.92308 0.23077 ) DA DA DA DA DA DB DB DB DB DB DC DC DC DC DC DA T T T DA DB T T T DB DC T T T DC = = = − = = = − − + = = = − − − T λ i j T λ i j k T λ i j k JJJ G JJJ G JJJG Copyright © McGraw-Hill Education. Permission required for reproduction or display. www.elsolucionario.org
  • 137.
    PROBLEM 2.103 (Continued) Equilibriumcondition: 0: (36 lb) 0 DA DB DC F Σ = + + + = T T T j Substituting the expressions obtained for , , and DA DB DC T T T and factoring i, j, and k: (0.55471 0.30769 0.30769 ) ( 0.83206 0.92308 0.92308 36 lb) (0.23077 0.23077 ) 0 DA DB DC DA DB DC DB DC T T T T T T T T − − + − − − + + − = i j k Equating to zero the coefficients of i, j, k: 0.55471 0.30769 0.30769 0 DA DB DC T T T − − = (1) 0.83206 0.92308 0.92308 36 lb 0 DA DB DC T T T − − − + = (2) 0.23077 0.23077 0 DB DC T T − = (3) Equation (3) confirms that DB DC T T = . Solving simultaneously gives, 14.42 lb; 13.00 lb DA DB DC T T T = = = Copyright © McGraw-Hill Education. Permission required for reproduction or display. www.elsolucionario.org
  • 138.
    PROBLEM 2.104 Solve Prob.2.103, assuming that a = 8 in. PROBLEM 2.103 A 36-lb triangular plate is supported by three wires as shown. Determine the tension in each wire, knowing that a = 6 in. SOLUTION By Symmetry DB DC T T = Free-Body Diagram of Point D: The forces applied at D are: , , , and DB DC DA T T T P where (36 lb) . P = = P j j To express the other forces in terms of the unit vectors i, j, k, we write (16 in.) (24 in.) 28.844 in. (8 in.) (24 in.) (8 in.) 26.533 in. (8 in.) (24 in.) (8 in.) 26.533 in. DA DA DB DB DC DC = − = = − − + = = − − − = i j i j k i j k JJJ G JJJ G JJJG and (0.55471 0.83206 ) ( 0.30151 0.90453 0.30151 ) ( 0.30151 0.90453 0.30151 ) DA DA DA DA DA DB DB DB DB DB DC DC DC DC DC DA T T T DA DB T T T DB DC T T T DC = = = − = = = − − + = = = − − − T λ i j T λ i j k T λ i j k JJJ G JJJ G JJJG Copyright © McGraw-Hill Education. Permission required for reproduction or display. www.elsolucionario.org
  • 139.
    PROBLEM 2.104 (Continued) Equilibriumcondition: 0: (36 lb) 0 DA DB DC F Σ = + + + = T T T j Substituting the expressions obtained for , , and DA DB DC T T T and factoring i, j, and k: (0.55471 0.30151 0.30151 ) ( 0.83206 0.90453 0.90453 36 lb) (0.30151 0.30151 ) 0 DA DB DC DA DB DC DB DC T T T T T T T T − − + − − − + + − = i j k Equating to zero the coefficients of i, j, k: 0.55471 0.30151 0.30151 0 DA DB DC T T T − − = (1) 0.83206 0.90453 0.90453 36 lb 0 DA DB DC T T T − − − + = (2) 0.30151 0.30151 0 DB DC T T − = (3) Equation (3) confirms that DB DC T T = . Solving simultaneously gives, 14.42 lb; 13.27 lb DA DB DC T T T = = = Copyright © McGraw-Hill Education. Permission required for reproduction or display. www.elsolucionario.org
  • 140.
    Solution where P and Equilibr n Theforces ap . P = P j To exp rium Condition pplied at A are press the other AB AB AC AC AD AD = = = = = = JJJ G JJJG JJJG AB AC AD = = = = = = T T T n with = W F Σ = PR A the is 5 e: , , AB AC AD T T T r forces in term (36 in.) 75 in. (60 in.) (3 68 in. (40 in.) (6 77 in. = − + = = + = = + = i j i ( 0.48 0.8 (0.88235 (0.51948 AB AB A AC AC A AD AD A T T T T T T = = = − + = = = + = = = + λ i λ j λ i W = − j 0: AB A = + T T ROBLEM 2 crate is suppo e weight of the 544 lb. and D W ms of the unit (60 in.) (27 32 in.) 60 in.) (27 in − − j k j 8 0.36 ) 0.47059 ) 0.77922 0.3 B AB AC AC AD AB AB T AC AC T AD AD − − j k k j JJJ G JJJG JJJG AC AD W + − T j 2.105 orted by three e crate knowin vectors i, j, k in.) n.) k k 35065 ) B C AD T k 0 = e cables as sh ng that the ten , we write hown. Determ nsion in cable A ine AC Copyright © McGraw-Hill Education. Permission required for reproduction or display. www.elsolucionario.org
  • 141.
    PROBLEM 2.105 (Continued) Substitutingthe expressions obtained for , , and AB AC AD T T T and factoring i, j, and k: ( 0.48 0.51948 ) (0.8 0.88235 0.77922 ) ( 0.36 0.47059 0.35065 ) 0 AB AD AB AC AD AB AC AD T T T T T W T T T − + + + + − + − + − = i j k Equating to zero the coefficients of i, j, k: 0.48 0.51948 0 AB AD T T − + = (1) 0.8 0.88235 0.77922 0 AB AC AD T T T W + + − = (2) 0.36 0.47059 0.35065 0 AB AC AD T T T − + − = (3) Substituting 544 lb AC T = in Equations (1), (2), and (3) above, and solving the resulting set of equations using conventional algorithms, gives: 374.27 lb 345.82 lb AB AD T T = = 1049 lb W = Copyright © McGraw-Hill Education. Permission required for reproduction or display. www.elsolucionario.org
  • 142.
    SOLUT The forc where P and Equilibr TION cesapplied at A . P = P j To exp rium Condition A are: press the other AB AB AC AC AD AD = = = = = = JJJ G JJJG JJJG AB AC AD = = = = = = T T T n with = W F Σ = P A D , , AB AC AD T T T r forces in term (36 in.) 75 in. (60 in.) (3 68 in. (40 in.) (6 77 in. = − + = = + = = + = i j i ( 0.48 0.8 (0.88235 (0.51948 AB AB A AC AC A AD AD A T T T T T T = = = − + = = = + = = = + λ i λ j λ i W = − j 0: AB A = + T T PROBLEM 2 A 1600-lb crat etermine the t and D W ms of the unit (60 in.) (27 32 in.) 60 in.) (27 in − − j k j 8 0.36 ) 0.47059 ) 0.77922 0.3 B AB AC AC AD AB AB T AC AC T AD AD − − j k k j JJJ G JJJG JJJG AC AD W + − T j 2.106 te is supporte tension in each vectors i, j, k in.) n.) k k 35065 ) B C AD T k 0 = ed by three c h cable. , we write ables as show wn. Copyright © McGraw-Hill Education. Permission required for reproduction or display. www.elsolucionario.org
  • 143.
    PROBLEM 2.106 (Continued) Substitutingthe expressions obtained for , , and AB AC AD T T T and factoring i, j, and k: ( 0.48 0.51948 ) (0.8 0.88235 0.77922 ) ( 0.36 0.47059 0.35065 ) 0 AB AD AB AC AD AB AC AD T T T T T W T T T − + + + + − + − + − = i j k Equating to zero the coefficients of i, j, k: 0.48 0.51948 0 AB AD T T − + = (1) 0.8 0.88235 0.77922 0 AB AC AD T T T W + + − = (2) 0.36 0.47059 0.35065 0 AB AC AD T T T − + − = (3) Substituting 1600 lb W = in Equations (1), (2), and (3) above, and solving the resulting set of equations using conventional algorithms gives, 571 lb AB T = 830 lb AC T = 528 lb AD T = Copyright © McGraw-Hill Education. Permission required for reproduction or display. www.elsolucionario.org
  • 144.
    PROBLEM 2.107 Three cablesare connected at A, where the forces P and Q are applied as shown. Knowing that 0, Q = find the value of P for which the tension in cable AD is 305 N. SOLUTION 0: 0 A AB AC AD Σ = + + + = F T T T P where P = P i (960 mm) (240 mm) (380 mm) 1060 mm (960 mm) (240 mm) (320 mm) 1040 mm (960 mm) (720 mm) (220 mm) 1220 mm AB AB AC AC AD AD = − − + = = − − − = = − + − = i j k i j k i j k JJJ G JJJG JJJG 48 12 19 53 53 53 12 3 4 13 13 13 305 N [( 960 mm) (720 mm) (220 mm) ] 1220 mm (240 N) (180 N) (55 N) AB AB AB AB AB AC AC AC AC AC AD AD AD AB T T T AB AC T T T AC T ⎛ ⎞ = = = − − + ⎜ ⎟ ⎝ ⎠ ⎛ ⎞ = = = − − − ⎜ ⎟ ⎝ ⎠ = = − + − = − + − T λ i j k T λ i j k T λ i j k i j k JJJ G JJJG Substituting into 0, A Σ = F factoring , , , i j k and setting each coefficient equal to φ gives: 48 12 : 240 N 53 13 AB AC P T T = + + i (1) : j 12 3 180 N 53 13 AB AC T T + = (2) : k 19 4 55 N 53 13 AB AC T T − = (3) Solving the system of linear equations using conventional algorithms gives: 446.71 N 341.71 N AB AC T T = = 960 N P = Copyright © McGraw-Hill Education. Permission required for reproduction or display. www.elsolucionario.org
  • 145.
    PROBLEM 2.108 Three cablesare connected at A, where the forces P and Q are applied as shown. Knowing that 1200 N, P = determine the values of Q for which cable AD is taut. SOLUTION We assume that 0 AD T = and write 0: (1200 N) 0 A AB AC Q Σ = + + + = F T T j i (960 mm) (240 mm) (380 mm) 1060 mm (960 mm) (240 mm) (320 mm) 1040 mm AB AB AC AC = − − + = = − − − = i j k i j k JJJ G JJJG 48 12 19 53 53 53 12 3 4 13 13 13 AB AB AB AB AB AC AC AC AC AC AB T T T AB AC T T T AC ⎛ ⎞ = = = − − + ⎜ ⎟ ⎝ ⎠ ⎛ ⎞ = = = − − − ⎜ ⎟ ⎝ ⎠ T λ i j k T λ i j k JJJ G JJJG Substituting into 0, A Σ = F factoring , , , i j k and setting each coefficient equal to φ gives: 48 12 : 1200 N 0 53 13 AB AC T T − − + = i (1) 12 3 : 0 53 13 AB AC T T Q − − + = j (2) 19 4 : 0 53 13 AB AC T T − = k (3) Solving the resulting system of linear equations using conventional algorithms gives: 605.71 N 705.71 N 300.00 N AB AC T T Q = = = 0 300 N Q ≤ < Note: This solution assumes that Q is directed upward as shown ( 0), Q ≥ if negative values of Q are considered, cable AD remains taut, but AC becomes slack for 460 N. Q = − Copyright © McGraw-Hill Education. Permission required for reproduction or display. www.elsolucionario.org
  • 146.
    SOLUT We note Point A. Wehave Thus: Substitu TION e that the we e: (4 (2 AB AC AD = − = = JJJ G JJJG JJJG uting into the E ight of the pl F Σ (320 mm) 450 mm) (4 250 mm) (4 − − − − i i i AB AC AD = = = T T T Eq. 0 F Σ = an PROB A recta Knowin weight late is equal 0: AB F = + T ( (480 mm) ( 480 mm) (3 480 mm) 3 + + − j j j AB AB A AC AC A AD AD A T T T T T T = = = = = = λ λ λ nd factoring , i 8 17 12 17 9 17 AB AB AB T T T ⎛ − + ⎜ ⎝ ⎛ + − ⎜ ⎝ ⎛ + + ⎜ ⎝ BLEM 2.10 angular plate ng that the te of the plate. in magnitude AC AD + + + T T ) (360 mm) 360 mm) 360 mm A A A k k k ( 8 17 0.6 5 13 AB AC AD AB AB AC AC AD AD ⎛ = − ⎜ ⎝ = ⎛ = ⎜ ⎝ i i JJJ G JJJG JJJG , , : j k 5 0.6 13 0.64 7. 0.48 13 AC A B AC AC T T T T + − − + − 9 is supported ension in cabl to the force 0 P = j 680 mm 750 mm 650 mm AB AC AD = = = 12 9 17 17 0.64 0.48 9.6 7.2 13 13 − + − + − − i j k j i j k 9.6 13 .2 0 3 AD AD AD T T P T ⎞ ⎟ ⎠ ⎞ + ⎟ ⎠ ⎞ = ⎟ ⎠ i j k d by three ca le AC is 60 N P exerted by Free m m m ) 8 AB AC AD T T T ⎞ ⎟ ⎠ ⎞ ⎟ ⎠ k k k j Dim ables as show N, determine y the support e Body A: mensions in m wn. the on mm Copyright © McGraw-Hill Education. Permission required for reproduction or display. www.elsolucionario.org
  • 147.
    PROBLEM 2.109 (Continued) Settingthe coefficient of i, j, k equal to zero: : i 8 5 0.6 0 17 13 AB AC AD T T T − + + = (1) : j 12 9.6 0.64 0 7 13 AB AC AD T T T P − − − + = (2) : k 9 7.2 0.48 0 17 13 AB AC AD T T T + − = (3) Making 60 N AC T = in (1) and (3): 8 5 36 N 0 17 13 AB AD T T − + + = (1′) 9 7.2 28.8 N 0 17 13 AB AD T T + − = (3′) Multiply (1′) by 9, (3′) by 8, and add: 12.6 554.4 N 0 572.0 N 13 AD AD T T − = = Substitute into (1′) and solve for : AB T 17 5 36 572 544.0 N 8 13 AB AB T T ⎛ ⎞ = + × = ⎜ ⎟ ⎝ ⎠ Substitute for the tensions in Eq. (2) and solve for P: 12 9.6 (544 N) 0.64(60 N) (572 N) 17 13 844.8 N P = + + = Weight of plate 845 N P = = Copyright © McGraw-Hill Education. Permission required for reproduction or display. www.elsolucionario.org
  • 148.
    PROBLEM 2.110 A rectangularplate is supported by three cables as shown. Knowing that the tension in cable AD is 520 N, determine the weight of the plate. SOLUTION See Problem 2.109 for the figure and the analysis leading to the linear algebraic Equations (1), (2), and (3) below: 8 5 0.6 0 17 13 AB AC AD T T T − + + = (1) 12 9.6 0.64 0 17 13 AB AC AD T T T P − + − + = (2) 9 7.2 0.48 0 17 13 AB AC AD T T T + − = (3) Making 520 N AD T = in Eqs. (1) and (3): 8 0.6 200 N 0 17 AB AC T T − + + = (1′) 9 0.48 288 N 0 17 AB AC T T + − = (3′) Multiply (1′) by 9, (3′) by 8, and add: 9.24 504 N 0 54.5455 N AC AC T T − = = Substitute into (1′) and solve for : AB T 17 (0.6 54.5455 200) 494.545 N 8 AB AB T T = × + = Substitute for the tensions in Eq. (2) and solve for P: 12 9.6 (494.545 N) 0.64(54.5455 N) (520 N) 17 13 768.00 N P = + + = Weight of plate 768 N P = = Copyright © McGraw-Hill Education. Permission required for reproduction or display. www.elsolucionario.org
  • 149.
    PROBLEM 2.111 A transmissiontower is held by three guy wires attached to a pin at A and anchored by bolts at B, C, and D. If the tension in wire AB is 840 lb, determine the vertical force P exerted by the tower on the pin at A. SOLUTION 0: 0 AB AC AD P Σ = + + + = F T T T j Free-Body Diagram at A: = 20 100 25 105 ft 60 100 18 118 ft 20 100 74 126 ft AB AB AC AC AD AD − − + = = − + = = − − − = i j k i j k i j k JJJ G JJJG JJJG We write 4 20 5 21 21 21 AB AB AB AB AB AB T T AB T = = ⎛ ⎞ = − − + ⎜ ⎟ ⎝ ⎠ T λ i j k JJJ G 30 50 9 59 59 59 AC AC AC AC AC AC T T AC T = = ⎛ ⎞ = − + ⎜ ⎟ ⎝ ⎠ T λ i j k JJJG 10 50 37 63 63 63 AD AD AD AD AD AD T T AD T = = ⎛ ⎞ = − − − ⎜ ⎟ ⎝ ⎠ T λ i j k JJJG Substituting into the Eq. 0 Σ = F and factoring , , : i j k Copyright © McGraw-Hill Education. Permission required for reproduction or display. www.elsolucionario.org
  • 150.
    PROBLEM 2.111 (Continued) 430 10 21 59 63 20 50 50 21 59 63 5 9 37 0 21 59 63 AB AC AD AB AC AD AB AC AD T T T T T T P T T T ⎛ ⎞ − + − ⎜ ⎟ ⎝ ⎠ ⎛ ⎞ + − − − + ⎜ ⎟ ⎝ ⎠ ⎛ ⎞ + + − = ⎜ ⎟ ⎝ ⎠ i j k Setting the coefficients of , , , i j k equal to zero: : i 4 30 10 0 21 59 63 AB AC AD T T T − + − = (1) : j 20 50 50 0 21 59 63 AB AC AD T T T P − − − + = (2) : k 5 9 37 0 21 59 63 AB AC AD T T T + − = (3) Set 840 lb AB T = in Eqs. (1) – (3): 30 10 160 lb 0 59 63 AC AD T T − + − = (1′) 50 50 800 lb 0 59 63 AC AD T T P − − − + = (2′) 9 37 200 lb 0 59 63 AC AD T T + − = (3′) Solving, 458.12 lb 459.53 lb 1552.94 lb AC AD T T P = = = 1553 lb P = Copyright © McGraw-Hill Education. Permission required for reproduction or display. www.elsolucionario.org
  • 151.
    PROBLEM 2.112 A transmissiontower is held by three guy wires attached to a pin at A and anchored by bolts at B, C, and D. If the tension in wire AC is 590 lb, determine the vertical force P exerted by the tower on the pin at A. SOLUTION 0: 0 AB AC AD P Σ = + + + = F T T T j Free-Body Diagram at A: = 20 100 25 105 ft 60 100 18 118 ft 20 100 74 126 ft AB AB AC AC AD AD − − + = = − + = = − − − = i j k i j k i j k JJJ G JJJG JJJG We write 4 20 5 21 21 21 AB AB AB AB AB AB T T AB T = = ⎛ ⎞ = − − + ⎜ ⎟ ⎝ ⎠ T λ i j k JJJ G 30 50 9 59 59 59 AC AC AC AC AC AC T T AC T = = ⎛ ⎞ = − + ⎜ ⎟ ⎝ ⎠ T λ i j k JJJG 10 50 37 63 63 63 AD AD AD AD AD AD T T AD T = = ⎛ ⎞ = − − − ⎜ ⎟ ⎝ ⎠ T λ i j k JJJG Substituting into the Eq. 0 Σ = F and factoring , , : i j k Copyright © McGraw-Hill Education. Permission required for reproduction or display. www.elsolucionario.org
  • 152.
    PROBLEM 2.112 (Continued) 430 10 21 59 63 20 50 50 21 59 63 5 9 37 0 21 59 63 AB AC AD AB AC AD AB AC AD T T T T T T P T T T ⎛ ⎞ − + − ⎜ ⎟ ⎝ ⎠ ⎛ ⎞ + − − − + ⎜ ⎟ ⎝ ⎠ ⎛ ⎞ + + − = ⎜ ⎟ ⎝ ⎠ i j k Setting the coefficients of , , , i j k equal to zero: : i 4 30 10 0 21 59 63 AB AC AD T T T − + − = (1) : j 20 50 50 0 21 59 63 AB AC AD T T T P − − − + = (2) : k 5 9 37 0 21 59 63 AB AC AD T T T + − = (3) Set 590 lb AC T = in Eqs. (1) – (3): 4 10 300 lb 0 21 63 AB AD T T − + − = (1′) 20 50 500 lb 0 21 63 AB AD T T P − − − + = (2′) 5 37 90 lb 0 21 63 AB AD T T + − = (3′) Solving, 1081.82 lb 591.82 lb AB AD T T = = 2000 lb P = Copyright © McGraw-Hill Education. Permission required for reproduction or display. www.elsolucionario.org
  • 153.
    PROBLEM 2.113 In tryingto move across a slippery icy surface, a 175-lb man uses two ropes AB and AC. Knowing that the force exerted on the man by the icy surface is perpendicular to that surface, determine the tension in each rope. SOLUTION Free-Body Diagram at A 16 30 34 34 N ⎛ ⎞ = + ⎜ ⎟ ⎝ ⎠ N i j and (175 lb) W = = − W j j ( 30 ft) (20 ft) (12 ft) 38 ft 15 10 6 19 19 19 AC AC AC AC AC AC AC T T T AC T − + − = = = ⎛ ⎞ = − + − ⎜ ⎟ ⎝ ⎠ i j k T λ i j k JJJG ( 30 ft) (24 ft) (32 ft) 50 ft 15 12 16 25 25 25 AB AB AB AB AB AB AB T T T AB T − + + = = = ⎛ ⎞ = − + + ⎜ ⎟ ⎝ ⎠ i j k T λ i j k JJJ G Equilibrium condition: 0 Σ = F 0 AB AC + + + = T T N W Copyright © McGraw-Hill Education. Permission required for reproduction or display. www.elsolucionario.org
  • 154.
    PROBLEM 2.113 (Continued) Substitutingthe expressions obtained for , , , AB AC T T N and W; factoring i, j, and k; and equating each of the coefficients to zero gives the following equations: From i: 15 15 16 0 25 19 34 AB AC T T N − − + = (1) From j: 12 10 30 (175 lb) 0 25 19 34 AB AC T T N + + − = (2) From k: 16 6 0 25 19 AB AC T T − = (3) Solving the resulting set of equations gives: 30.8 lb; 62.5 lb AB AC T T = = Copyright © McGraw-Hill Education. Permission required for reproduction or display. www.elsolucionario.org
  • 155.
    PROBLEM 2.114 Solve Problem2.113, assuming that a friend is helping the man at A by pulling on him with a force P = −(45 lb)k. PROBLEM 2.113 In trying to move across a slippery icy surface, a 175-lb man uses two ropes AB and AC. Knowing that the force exerted on the man by the icy surface is perpendicular to that surface, determine the tension in each rope. SOLUTION Refer to Problem 2.113 for the figure and analysis leading to the following set of equations, Equation (3) being modified to include the additional force ( 45 lb) . = − P k 15 15 16 0 25 19 34 AB AC T T N − − + = (1) 12 10 30 (175 lb) 0 25 19 34 AB AC T T N + + − = (2) 16 6 (45 lb) 0 25 19 AB AC T T − − = (3) Solving the resulting set of equations simultaneously gives: 81.3 lb AB T = 22.2 lb AC T = Copyright © McGraw-Hill Education. Permission required for reproduction or display. www.elsolucionario.org
  • 156.
    PROBLEM 2.115 For therectangular plate of Problems 2.109 and 2.110, determine the tension in each of the three cables knowing that the weight of the plate is 792 N. SOLUTION See Problem 2.109 for the figure and the analysis leading to the linear algebraic Equations (1), (2), and (3) below. Setting 792 N P = gives: 8 5 0.6 0 17 13 AB AC AD T T T − + + = (1) 12 9.6 0.64 792 N 0 17 13 AB AC AD T T T − − − + = (2) 9 7.2 0.48 0 17 13 AB AC AD T T T + − = (3) Solving Equations (1), (2), and (3) by conventional algorithms gives 510.00 N AB T = 510 N AB T = 56.250 N AC T = 56.2 N AC T = 536.25 N AD T = 536 N AD T = Copyright © McGraw-Hill Education. Permission required for reproduction or display. www.elsolucionario.org
  • 157.
    PROBLEM 2.116 For thecable system of Problems 2.107 and 2.108, determine the tension in each cable knowing that 2880 N P = and 0. Q = SOLUTION 0: 0 A AB AC AD Σ = + + + + = F T T T P Q Where P = P i and Q = Q j (960 mm) (240 mm) (380 mm) 1060 mm (960 mm) (240 mm) (320 mm) 1040 mm (960 mm) (720 mm) (220 mm) 1220 mm AB AB AC AC AD AD = − − + = = − − − = = − + − = i j k i j k i j k JJJ G JJJG JJJG 48 12 19 53 53 53 12 3 4 13 13 13 48 36 11 61 61 61 AB AB AB AB AB AC AC AC AC AC AD AD AD AD AD AB T T T AB AC T T T AC AD T T T AD ⎛ ⎞ = = = − − + ⎜ ⎟ ⎝ ⎠ ⎛ ⎞ = = = − − − ⎜ ⎟ ⎝ ⎠ ⎛ ⎞ = = = − + − ⎜ ⎟ ⎝ ⎠ T λ i j k T λ i j k T λ i j k JJJ G JJJG JJJG Substituting into 0, A Σ = F setting (2880 N) P = i and 0, Q = and setting the coefficients of , , i j k equal to 0, we obtain the following three equilibrium equations: 48 12 48 : 2880 N 0 53 13 61 AB AC AD T T T − − − + = i (1) 12 3 36 : 0 53 13 61 AB AC AD T T T − − + = j (2) 19 4 11 : 0 53 13 61 AB AC AD T T T − − = k (3) Copyright © McGraw-Hill Education. Permission required for reproduction or display. www.elsolucionario.org
  • 158.
    PROBLEM 2.116 (Continued) Solvingthe system of linear equations using conventional algorithms gives: 1340.14 N 1025.12 N 915.03 N AB AC AD T T T = = = 1340 N AB T = 1025 N AC T = 915 N AD T = Copyright © McGraw-Hill Education. Permission required for reproduction or display. www.elsolucionario.org
  • 159.
    PROBLEM 2.117 For thecable system of Problems 2.107 and 2.108, determine the tension in each cable knowing that 2880 N P = and 576 N. Q = SOLUTION See Problem 2.116 for the analysis leading to the linear algebraic Equations (1), (2), and (3) below: 48 12 48 0 53 13 61 AB AC AD T T T P − − − + = (1) 12 3 36 0 53 13 61 AB AC AD T T T Q − − + + = (2) 19 4 11 0 53 13 61 AB AC AD T T T − − = (3) Setting 2880 N P = and 576 N Q = gives: 48 12 48 2880 N 0 53 13 61 AB AC AD T T T − − − + = (1′) 12 3 36 576 N 0 53 13 61 AB AC AD T T T − − + + = (2′) 19 4 11 0 53 13 61 AB AC AD T T T − − = (3′) Solving the resulting set of equations using conventional algorithms gives: 1431.00 N 1560.00 N 183.010 N AB AC AD T T T = = = 1431 N AB T = 1560 N AC T = 183.0 N AD T = Copyright © McGraw-Hill Education. Permission required for reproduction or display. www.elsolucionario.org
  • 160.
    PROBLEM 2.118 For thecable system of Problems 2.107 and 2.108, determine the tension in each cable knowing that 2880 N P = and 576 Q = − N. (Q is directed downward). SOLUTION See Problem 2.116 for the analysis leading to the linear algebraic Equations (1), (2), and (3) below: 48 12 48 0 53 13 61 AB AC AD T T T P − − − + = (1) 12 3 36 0 53 13 61 AB AC AD T T T Q − − + + = (2) 19 4 11 0 53 13 61 AB AC AD T T T − − = (3) Setting 2880 N P = and 576 N Q = − gives: 48 12 48 2880 N 0 53 13 61 AB AC AD T T T − − − + = (1′) 12 3 36 576 N 0 53 13 61 AB AC AD T T T − − + − = (2′) 19 4 11 0 53 13 61 AB AC AD T T T − − = (3′) Solving the resulting set of equations using conventional algorithms gives: 1249.29 N 490.31 N 1646.97 N AB AC AD T T T = = = 1249 N AB T = 490 N AC T = 1647 N AD T = Copyright © McGraw-Hill Education. Permission required for reproduction or display. www.elsolucionario.org
  • 161.
    PROBLEM 2.119 For thetransmission tower of Probs. 2.111 and 2.112, determine the tension in each guy wire knowing that the tower exerts on the pin at A an upward vertical force of 1800 lb. PROBLEM 2.111 A transmission tower is held by three guy wires attached to a pin at A and anchored by bolts at B, C, and D. If the tension in wire AB is 840 lb, determine the vertical force P exerted by the tower on the pin at A. SOLUTION See Problem 2.111 for the figure and the analysis leading to the linear algebraic Equations (1), (2), and (3) below: : i 4 30 10 0 21 59 63 AB AC AD T T T − + − = (1) : j 20 50 50 0 21 59 63 AB AC AD T T T P − − − + = (2) : k 5 9 37 0 21 59 63 AB AC AD T T T + − = (3) Substituting for 1800 lb P = in Equations (1), (2), and (3) above and solving the resulting set of equations using conventional algorithms gives: 4 30 10 0 21 59 63 AB AC AD T T T − + − = (1′) 20 50 50 1800 lb 0 21 59 63 AB AC AD T T T − − − + = (2′) 5 9 37 0 21 59 63 AB AC AD T T T + − = (3′) 973.64 lb 531.00 lb 532.64 lb AB AC AD T T T = = = 974 lb AB T = 531 lb AC T = 533 lb AD T = Copyright © McGraw-Hill Education. Permission required for reproduction or display. www.elsolucionario.org
  • 162.
    PROBLEM 2.120 Three wiresare connected at point D, which is located 18 in. below the T-shaped pipe support ABC. Determine the tension in each wire when a 180-lb cylinder is suspended from point D as shown. SOLUTION Free-Body Diagram of Point D: The forces applied at D are: , , and DA DB DC T T T W where 180.0 lb . = − W j To express the other forces in terms of the unit vectors i, j, k, we write (18 in.) (22 in.) 28.425 in. (24 in.) (18 in.) (16 in.) 34.0 in. (24 in.) (18 in.) (16 in.) 34.0 in. DA DA DB DB DC DC = + = = − + − = = + − = j k i j k i j k JJJ G JJJ G JJJG Copyright © McGraw-Hill Education. Permission required for reproduction or display. www.elsolucionario.org
  • 163.
    PROBLEM 2.120 (Continued) and (0.633240.77397 ) ( 0.70588 0.52941 0.47059 ) (0.70588 0.52941 0.47059 ) DA Da DA Da DA DB DB DB DB DB DC DC DC DC DC DA T T DA T DB T T DB T DC T T DC T = = = + = = = − + − = = = + − T λ j k T λ i j k T λ i j k JJJ G JJJ G JJJG Equilibrium Condition with W = − W j 0: 0 DA DB DC F W Σ = + + − = T T T j Substituting the expressions obtained for , , and DA DB DC T T T and factoring i, j, and k: ( 0.70588 0.70588 ) (0.63324 0.52941 0.52941 ) (0.77397 0.47059 0.47059 ) DB DC DA DB DC DA DB DC T T T T T W T T T − + + + − − − i j k Equating to zero the coefficients of i, j, k: 0.70588 0.70588 0 DB DC T T − + = (1) 0.63324 0.52941 0.52941 0 DA DB DC T T T W + + − = (2) 0.77397 0.47059 0.47059 0 DA DB DC T T T − − = (3) Substituting 180 lb W = in Equations (1), (2), and (3) above, and solving the resulting set of equations using conventional algorithms gives, 119.7 lb DA T = 98.4 lb DB T = 98.4 lb DC T = Copyright © McGraw-Hill Education. Permission required for reproduction or display. www.elsolucionario.org
  • 164.
    PROBLEM 2.121 A containerof weight W is suspended from ring A, to which cables AC and AE are attached. A force P is applied to the end F of a third cable that passes over a pulley at B and through ring A and that is attached to a support at D. Knowing that 1000 N, W = determine the magnitude of P. (Hint: The tension is the same in all portions of cable FBAD.) SOLUTION The (vector) force in each cable can be written as the product of the (scalar) force and the unit vector along the cable. That is, with 2 2 2 (0.78 m) (1.6 m) (0 m) ( 0.78 m) (1.6 m) (0) 1.78 m [ (0.78 m) (1.6 m) (0 m) ] 1.78 m ( 0.4382 0.8989 0 ) AB AB AB AB AB AB AB AB AB T T AB T T = − + + = − + + = = = = − + + = − + + i j k T λ i j k T i j k JJJ G JJJ G and 2 2 2 (0) (1.6 m) (1.2 m) (0 m) (1.6 m) (1.2 m) 2 m [(0) (1.6 m) (1.2 m) ] 2 m (0.8 0.6 ) AC AC AC AC AC AC AC AC T AC T T AC T = + + = + + = = = = + + = + i j k T λ i j k T j k JJJG JJJG and 2 2 2 (1.3 m) (1.6 m) (0.4 m) (1.3 m) (1.6 m) (0.4 m) 2.1 m [(1.3 m) (1.6 m) (0.4 m) ] 2.1 m (0.6190 0.7619 0.1905 ) AD AD AD AD AD AD AD AD T AD T T AD T = + + = + + = = = = + + = + + i j k T λ i j k T i j k JJJG JJJG Copyright © McGraw-Hill Education. Permission required for reproduction or display. www.elsolucionario.org
  • 165.
    PROBLEM 2.121 (Continued) Finally, 22 2 (0.4 m) (1.6 m) (0.86 m) ( 0.4 m) (1.6 m) ( 0.86 m) 1.86 m [ (0.4 m) (1.6 m) (0.86 m) ] 1.86 m ( 0.2151 0.8602 0.4624 ) AE AE AE AE AE AE AE AE AE T T AE T T = − + − = − + + − = = = = − + − = − + − i j k T λ i j k T i j k JJJ G JJJ G With the weight of the container , W = − W j at A we have: 0: 0 AB AC AD W Σ = + + − = F T T T j Equating the factors of i, j, and k to zero, we obtain the following linear algebraic equations: 0.4382 0.6190 0.2151 0 AB AD AE T T T − + − = (1) 0.8989 0.8 0.7619 0.8602 0 AB AC AD AE T T T T W + + + − = (2) 0.6 0.1905 0.4624 0 AC AD AE T T T + − = (3) Knowing that 1000 N W = and that because of the pulley system at B , AB AD T T P = = where P is the externally applied (unknown) force, we can solve the system of linear Equations (1), (2) and (3) uniquely for P. 378 N P = Copyright © McGraw-Hill Education. Permission required for reproduction or display. www.elsolucionario.org
  • 166.
    PROBLEM 2.122 Knowing thatthe tension in cable AC of the system described in Problem 2.121 is 150 N, determine (a) the magnitude of the force P, (b) the weight W of the container. PROBLEM 2.121 A container of weight W is suspended from ring A, to which cables AC and AE are attached. A force P is applied to the end F of a third cable that passes over a pulley at B and through ring A and that is attached to a support at D. Knowing that 1000 N, W = determine the magnitude of P. (Hint: The tension is the same in all portions of cable FBAD.) SOLUTION Here, as in Problem 2.121, the support of the container consists of the four cables AE, AC, AD, and AB, with the condition that the force in cables AB and AD is equal to the externally applied force P. Thus, with the condition AB AD T T P = = and using the linear algebraic equations of Problem 2.131 with 150 N, AC T = we obtain (a) 454 N P = (b) 1202 N W = Copyright © McGraw-Hill Education. Permission required for reproduction or display. www.elsolucionario.org
  • 167.
    PROBLEM 2.123 Cable BACpasses through a frictionless ring A and is attached to fixed supports at B and C, while cables AD and AE are both tied to the ring and are attached, respectively, to supports at D and E. Knowing that a 200-lb vertical load P is applied to ring A, determine the tension in each of the three cables. SOLUTION Free Body Diagram at A: Since tension in BAC T = cable BAC, it follows that AB AC BAC T T T = = ( 17.5 in.) (60 in.) 17.5 60 62.5 in. 62.5 62.5 (60 in.) (25 in.) 60 25 65 in. 65 65 (80 in.) (60 in.) 4 3 100 in. 5 5 AB BAC AB BAC BAC AC BAC AC BAC BAC AD AD AD AD AD AE AE AE AE T T T T T T T T T T T − + − ⎛ ⎞ = = = + ⎜ ⎟ ⎝ ⎠ + ⎛ ⎞ = = = + ⎜ ⎟ ⎝ ⎠ + ⎛ ⎞ = = = + ⎜ ⎟ ⎝ ⎠ = = i j T λ i j i k T λ j k i j T λ i j T λ (60 in.) (45 in.) 4 3 75 in. 5 5 AE T − ⎛ ⎞ = − ⎜ ⎟ ⎝ ⎠ j k j k Copyright © McGraw-Hill Education. Permission required for reproduction or display. www.elsolucionario.org
  • 168.
    PROBLEM 2.123 (Continued) Substitutinginto 0, A Σ = F setting ( 200 lb) , = − P j and setting the coefficients of i, j, k equal to , φ we obtain the following three equilibrium equations: From 17.5 4 : 0 62.5 5 BAC AD T T − + = i (1) From 60 60 3 4 : 200 lb 0 62.5 65 5 5 BAC AD AE T T T ⎛ ⎞ + + + − = ⎜ ⎟ ⎝ ⎠ j (2) From 25 3 : 0 65 5 BAC AE T T − = k (3) Solving the system of linear equations using conventional algorithms gives: 76.7 lb; 26.9 lb; 49.2 lb BAC AD AE T T T = = = Copyright © McGraw-Hill Education. Permission required for reproduction or display. www.elsolucionario.org
  • 169.
    PROBLEM 2.124 Knowing thatthe tension in cable AE of Prob. 2.123 is 75 lb, determine (a) the magnitude of the load P, (b) the tension in cables BAC and AD. PROBLEM 2.123 Cable BAC passes through a frictionless ring A and is attached to fixed supports at B and C, while cables AD and AE are both tied to the ring and are attached, respectively, to supports at D and E. Knowing that a 200-lb vertical load P is applied to ring A, determine the tension in each of the three cables. SOLUTION Refer to the solution to Problem 2.123 for the figure and analysis leading to the following set of equilibrium equations, Equation (2) being modified to include Pj as an unknown quantity: 17.5 4 0 62.5 5 BAC AD T T − + = (1) 60 60 3 4 0 62.5 65 5 5 BAC AD AE T T T P ⎛ ⎞ + + + − = ⎜ ⎟ ⎝ ⎠ (2) 25 3 0 65 5 BAC AE T T − = (3) Substituting for 75 lb AE T = and solving simultaneously gives: (a) 305 lb P = (b) 117.0 lb; 40.9 lb BAC AD T T = = Copyright © McGraw-Hill Education. Permission required for reproduction or display. www.elsolucionario.org
  • 170.
    SOLUT For both Here or Thus, w Now Wherey From th Setting t With Now, fr Setting t And usi TION h Problems 2. when y given, z y and z are in u he F.B. Diagra the j coefficie rom the free bo the k coefficie ing the above r 125 and 2.126 (0 z is determined λ units of meter am of collar A: ent to zero give ody diagram o ent to zero giv result for AB T P C ca P te of sy 6: 2 2 ( ) AB x = 2 0.525 m) (0 = 2 2 0. y z + = d, 1 0.525 m 0.38095 AB AB AB = = = λ i JJJ G rs, m. : 0: Σ = F es (1.9 P − AB P T of collar B: ves , we have PROBLEM 2 ollars A and B an slide fre (341 N) = P j i ension in the w f the force Q ystem. 2 2 2 y z + + 2 2 0.20 m) y + 2 .23563 m (0.20 1.90476 y z y − + − + i j i j : x z N N + + i k 90476 ) AB y T = 341 N 341 N 1.90476 P y = = 0: N Σ = F (1.9 AB Q T − ( AB Q T z = = 2.125 B are connecte eely on fric is applied to wire when y = required to m Free 2 z + )m 1.90476 z z + k k AB AB P T λ + + j 0 x y N N Q + + i j k 0476 ) 0 z = 341 N (1. (1.90476)y ed by a 525-m ctionless rod collar A, de 155 mm, = (b maintain the eq e-Body Diagr 0 = 0 AB AB T − = k λ (34 .90476 ) z = mm-long wire a ds. If a fo etermine (a) b) the magnitu quilibrium of rams of Colla 0 41 N)( ) z y and rce the ude the rs: Copyright © McGraw-Hill Education. Permission required for reproduction or display. www.elsolucionario.org
  • 171.
    PROBLEM 2.125 (Continued) Thenfrom the specifications of the problem, 155 mm 0.155 m y = = 2 2 2 0.23563 m (0.155 m) 0.46 m z z = − = and (a) 341 N 0.155(1.90476) 1155.00 N AB T = = or 1155 N = AB T and (b) 341 N(0.46 m)(0.866) (0.155 m) (1012.00 N) Q = = or 1012 N = Q Copyright © McGraw-Hill Education. Permission required for reproduction or display. www.elsolucionario.org
  • 172.
    PROBLEM 2.126 Solve Problem2.125 assuming that 275 mm. y = PROBLEM 2.125 Collars A and B are connected by a 525-mm-long wire and can slide freely on frictionless rods. If a force (341 N) = P j is applied to collar A, determine (a) the tension in the wire when y 155 mm, = (b) the magnitude of the force Q required to maintain the equilibrium of the system. SOLUTION From the analysis of Problem 2.125, particularly the results: 2 2 2 0.23563 m 341 N 1.90476 341 N AB y z T y Q z y + = = = With 275 mm 0.275 m, y = = we obtain: 2 2 2 0.23563 m (0.275 m) 0.40 m z z = − = and (a) 341 N 651.00 (1.90476)(0.275 m) AB T = = or 651 N AB T = and (b) 341 N(0.40 m) (0.275 m) Q = or 496 N Q = Copyright © McGraw-Hill Education. Permission required for reproduction or display. www.elsolucionario.org
  • 173.
    SOLUT Using th we have Then and Hence: TION heforce triang e gle and the law γ R R 10 kN sin sin α α α φ PROB Two st shown. that the determ resultan B. ws of cosines a 180 (40 120 γ = ° − = ° 2 2 2 (15 kN) 2(15 kN 475 kN 21.794 kN R R = + − = = N 21.794 kN sin120 10 kN 21.794 k 0.39737 23.414 α α α = ° ⎛ = ⎜ ⎝ = = 50 φ α = + ° = BLEM 2.12 tructural mem . Knowing th e force is 15 mine by trigon nt of the force and sines, 0 20 ) ° + ° 2 (10 kN) N)(10 kN)cos1 N + N N sin120 kN ⎞ ° ⎟ ⎠ 73.414 27 mbers A and hat both mem kN in membe ometry the m es applied to t 20° B are bolted mbers are in c er A and 10 k magnitude and the bracket by 21.8 = R to a bracket compression a kN in member direction of y members A a 8 kN 73.4° as and r B, the and Copyright © McGraw-Hill Education. Permission required for reproduction or display. www.elsolucionario.org
  • 174.
    PROBLEM 2.128 Determine thex and y components of each of the forces shown. SOLUTION Compute the following distances: 2 2 2 2 2 2 (24 in.) (45 in.) 51.0 in. (28 in.) (45 in.) 53.0 in. (40 in.) (30 in.) 50.0 in. OA OB OC = + = = + = = + = 102-lb Force: 24 in. 102 lb 51.0 in. x F = − 48.0 lb x F = − 45 in. 102 lb 51.0 in. y F = + 90.0 lb y F = + 106-lb Force: 28 in. 106 lb 53.0 in. = + x F 56.0 lb x F = + 45 in. 106 lb 53.0 in. y F = + 90.0 lb y F = + 200-lb Force: 40 in. 200 lb 50.0 in. x F = − 160.0 lb x F = − 30 in. 200 lb 50.0 in. y F = − 120.0 lb y F = − Copyright © McGraw-Hill Education. Permission required for reproduction or display. www.elsolucionario.org
  • 175.
    SOLUT (a) Fo S (b) Si TION orR to be ver et ince R is to be rtical, we must e vertical: PROBLEM A hoist troll α = 40°, det resultant of magnitude o x R = Σ 1 x R P = − y R = F Σ 410. y R = t have 0. x R = 0 x R = in E 0 17 177.86 P P = − = = R M 2.129 ley is subjecte ermine (a) th the three forc f the resultant (20 x F P Σ = + 177.860 lb (200 lb)c y F = 32 lb . Eq. (1) 77.860 lb 60 lb 410 lb = = y R ed to the three he required ma ces is to be v t. 0 lb)sin 40° − cos40 (400 ° + e forces show agnitude of th vertical, (b) th (400 lb)cos4 lb)sin40° wn. Knowing t he force P if he correspondi 40° 177.9 lb P = 410 lb R = that the ing (1) (2) Copyright © McGraw-Hill Education. Permission required for reproduction or display. www.elsolucionario.org
  • 176.
    SOLUT Law of s (a) (b) TION Free sines: PRO Know along cable e-BodyDiagra sin F OBLEM 2.1 wing that α = g line AC, dete BC. am n 35 sin 50 AC BC F T = ° 300 lb sin 95 AC F = 300 lb sin 95 BC T = 30 55° and that ermine (a) the 300 lb 0 sin 95 = ° ° b sin 35 5 ° ° b sin 50 5 ° ° boom AC ex e magnitude o Force Triang erts on pin C of that force, ( gle F a force direc (b) the tension 172.7 lb AC F = 231 lb BC T = ted n in Copyright © McGraw-Hill Education. Permission required for reproduction or display. www.elsolucionario.org
  • 177.
    SOLUT (a) (b) TION 0: x Σ = − F 0: 1 y Σ= F T PR Two Kno AC, Fr 12 4 (3 13 5 AC T − + 5 (312 N) 13 T + 480 N BC T = − ROBLEM 2. o cables are owing that P = (b) in cable B ee Body: C 360 N) 0 = 3 (360 N 5 BC T + 120 N 216 N − 131 tied together 360 N, = determ BC. N) 480 N 0 − = N at C and lo mine the tens 0 T oaded as show sion (a) in ca 312 N AC T = 144.0 N BC T = wn. able Copyright © McGraw-Hill Education. Permission required for reproduction or display. www.elsolucionario.org
  • 178.
    SOLUT Force tri (a) S (b) TION iangle isisosc ince 0, P > th Free-Body D celes with he solution is c PROB Two cab the max determin applied a Diagram: C 2 18 4 β β = = 2 P = correct. 1 α = LEM 2.132 bles tied togeth ximum allow ne (a) the ma at C, (b) the co 80 85 7.5 ° − ° ° 2(800 N)cos 47 80 50 47 ° − ° − 2 her at C are lo wable tension agnitude of th orresponding 7.5° 1081 N = 7.5 82.5 ° = ° oaded as show n in each ca he largest forc value of α. Force Trian wn. Knowing t able is 800 ce P that can ngle 1081 N P = 82.5 α = ° that N, be Copyright © McGraw-Hill Education. Permission required for reproduction or display. www.elsolucionario.org
  • 179.
    PROBLEM 2.133 The endof the coaxial cable AE is attached to the pole AB, which is strengthened by the guy wires AC and AD. Knowing that the tension in wire AC is 120 lb, determine (a) the components of the force exerted by this wire on the pole, (b) the angles θx, θy, and θz that the force forms with the coordinate axes. SOLUTION (a) (120 lb)cos 60 cos 20 x F = ° ° 56.382 lb x F = 56.4 lb x F = + (120 lb)sin 60 103.923 lb y y F F = − ° = − 103.9 lb y F = − (120 lb)cos 60 sin 20 20.521 lb z z F F = − ° ° = − 20.5 lb z F = − (b) 56.382 lb cos 120 lb x x F F θ = = 62.0 x θ = ° 103.923 lb cos 120 lb y y F F θ − = = 150.0 y θ = ° 20.52 lb cos 120 lb z z F F θ − = = 99.8 z θ = ° Copyright © McGraw-Hill Education. Permission required for reproduction or display. www.elsolucionario.org
  • 180.
    PROBLEM 2.134 Knowing thatthe tension in cable AC is 2130 N, determine the components of the force exerted on the plate at C. SOLUTION 2 2 2 (900 mm) (600 mm) (920 mm) (900 mm) (600 mm) (920 mm) 1420 mm 2130 N [ (900 mm) (600 mm) (920 mm) ] 1420 mm (1350 N) (900 N) (1380 N) CA CA CA CA CA CA CA T CA T CA = − + − = + + = = = = − + − = − + − i j k T λ T i j k i j k JJJ G JJJ G ( ) 1350 N, ( ) 900 N, ( ) 1380 N CA x CA y CA z T T T = − = = − Copyright © McGraw-Hill Education. Permission required for reproduction or display. www.elsolucionario.org
  • 181.
    PROBLEM 2.135 Find themagnitude and direction of the resultant of the two forces shown knowing that P = 600 N and Q = 450 N. SOLUTION (600 N)[sin 40 sin 25 cos40 sin 40 cos25 ] (162.992 N) (459.63 N) (349.54 N) (450 N)[cos55 cos30 sin55 cos55 sin30 ] (223.53 N) (368.62 N) (129.055 N) (386.52 N) (828.25 N) (220.49 N) (3 R = ° ° + ° + ° ° = + + = ° ° + ° − ° ° = + − = + = + + = P i j k i j k Q i j k i j k R P Q i j k 2 2 2 86.52 N) (828.25 N) (220.49 N) 940.22 N + + = 940 N R = 386.52 N cos 940.22 N x x R R θ = = 65.7 x θ = ° 828.25 N cos 940.22 N y y R R θ = = 28.2 y θ = ° 220.49 N cos 940.22 N z z R R θ = = 76.4 z θ = ° Copyright © McGraw-Hill Education. Permission required for reproduction or display. www.elsolucionario.org
  • 182.
    SOLUT Setting TION coefficients of ( 13 13 45 ABAB T AB T AB T T = = − = ⎛ = − ⎜ ⎝ T λ JJJ K ( 15 15 49 0: AC AC AB T AC T AC T T F = = − = ⎛ = − ⎜ ⎝ Σ = T λ T JJJK f i, j, k equal t 13 : 45 T − − i 40 : 45 T + + j 16 : 45 T + − k 0 mm) (400 450 3 40 16 5 45 45 + + + i i j 0 mm) (400 49 5 40 24 9 49 49 B AC + + − + + + i i j T Q to zero: 15 0 49 T P − + = 40 0 49 T W − = 24 0 49 T Q − + = PROBLE A containe Cable BAC fixed supp Q Q = k a container i 376 N, = the same in 0 mm) (160 0 mm + ⎞ ⎟ ⎠ j k 0 mm) ( 24 90 mm 0 + − ⎞ ⎟ ⎠ + + = j k P W 0.595 1.705 0 0.13424 EM 2.136 er of weight C passes throu ports at B and are applied t in the positio determine P n both portions 0 mm)k 40 mm)k 01T P = 21T W = 40T Q = W is suspend ugh the ring an d C. Two for to the ring t on shown. K and Q. (Hint s of cable BAC Free-Bod ded from ring nd is attached rces P = P i a to maintain Knowing that t: The tension C.) dy A: A. d to and the W n is (1) (2) (3) Copyright © McGraw-Hill Education. Permission required for reproduction or display. www.elsolucionario.org
  • 183.
    PROBLEM 2.136 (Continued) Data:376 N 1.70521 376 N 220.50 N W T T = = = 0.59501(220.50 N) P = 131.2 N P = 0.134240(220.50 N) Q = 29.6 N Q = Copyright © McGraw-Hill Education. Permission required for reproduction or display. www.elsolucionario.org
  • 184.
    SOLUT A: Collar A Substitu Collar B Substitu (a) Fr (b)F TION A: ute for AB λ an B: ute for AB λ and rom Eq. (2): From Eq. (1): A λ Σ nd set coefficie 0: (6 Σ = F d set coefficien 9 in. x = PROB Collars A freely on B as sh 9 in. x = required Free-Body D B AB x AB − = = i JJJ G 0: P N Σ = + F i ent of i equal t 60 lb) x N′ + + k i nt of k equal to 60 lb 2 T − 2 (9 in.) + 60 lb 25 A T − (125 P = LEM 2.137 A and B are co n frictionless hown, determ ., (b) the co d to maintain th Diagrams of C B (20 in.) 25 in. z − + i j y z N N T + + j k to zero: 25 in AB T x P − y AB AB N T ′ + − j λ o zero: 0 5 in. AB T z = 2 2 (20 in.) z z + (12 in.) in. AB 5.0 lb)(9 in.) 25 in. 7 onnected by a rods. If a 60-l mine (a) the orresponding he equilibrium Collars: B: zk 0 AB AB T = λ 0 . = 0 B = 2 (25 in.) 12 in. z = = 25-in.-long w lb force Q is tension in magnitude o m of the system T wire and can sl applied to col the wire wh of the force m. 125.0 lb AB T = 45.0 lb P = ide llar hen P (1) (2) Copyright © McGraw-Hill Education. Permission required for reproduction or display. www.elsolucionario.org
  • 185.
    PROBLEM 2.138 Collars Aand B are connected by a 25-in.-long wire and can slide freely on frictionless rods. Determine the distances x and z for which the equilibrium of the system is maintained when 120 lb P = and 60 lb. Q = SOLUTION See Problem 2.137 for the diagrams and analysis leading to Equations (1) and (2) below: 0 25 in. AB T x P = = (1) 60 lb 0 25 in. AB T z − = (2) For 120 lb, P = Eq. (1) yields (25 in.)(20 lb) AB T x = (1′) From Eq. (2): (25 in.)(60 lb) AB T z = (2′) Dividing Eq. (1′) by (2′), 2 x z = (3) Now write 2 2 2 2 (20 in.) (25 in.) x z + + = (4) Solving (3) and (4) simultaneously, 2 2 2 4 400 625 45 6.7082 in. z z z z + + = = = From Eq. (3): 2 2(6.7082 in.) 13.4164 in. x z = = = 13.42 in., 6.71 in. x z = = Copyright © McGraw-Hill Education. Permission required for reproduction or display. www.elsolucionario.org
  • 186.
    PROBLEM 2F1 Two cablesare tied together at C and loaded as shown. Draw the free-body diagram needed to determine the tension in AC and BC. SOLUTION Free-Body Diagram of Point C: 2 3 (1600 kg)(9.81 m/s ) 15.6960(10 ) N =15.696 kN W W W = = Copyright © McGraw-Hill Education. Permission required for reproduction or display. www.elsolucionario.org
  • 187.
    PROBLEM 2.F2 Two forcesof magnitude TA = 8 kips and TB = 15 kips are applied as shown to a welded connection. Knowing that the connection is in equilibrium, draw the free-body diagram needed to determine the magnitudes of the forces TC and TD. SOLUTION Free-Body Diagram of Point E: Copyright © McGraw-Hill Education. Permission required for reproduction or display. www.elsolucionario.org
  • 188.
    PROBLEM 2.F3 The 60-lbcollar A can slide on a frictionless vertical rod and is connected as shown to a 65-lb counterweight C. Draw the free-body diagram needed to determine the value of h for which the system is in equilibrium. SOLUTION Free-Body Diagram of Point A: Copyright © McGraw-Hill Education. Permission required for reproduction or display. www.elsolucionario.org
  • 189.
    SOLUT Free-Bo Free-Bo TION ody Diagram ody Diagram ofPoint B: of Point C: P A sh N dr de 1 1 250 N 8 tan 1 tan 2 E AB BC W θ θ − − = = = Use this free 1 1 tan CD θ − = Use this free Then weight PROBLEM 2 A chairlift has hown. Knowin N and that the s raw the free etermine the w 765 N 101 8.25 30.510 14 10 22.620 24 + = = ° = ° body to determ 1.1 10.3889 6 = ° body to determ of skier WS is 2.F4 been stopped ng that each c skier in chair E e-body diagra weight of the s 15 N ° mine TAB and mine TCD and found by S W = d in the positi chair weighs 2 E weighs 765 ams needed skier in chair F TBC. WF. 250 N F W = − ion 250 N, to F. Copyright © McGraw-Hill Education. Permission required for reproduction or display. www.elsolucionario.org
  • 190.
    PROBLEM 2.F5 Three cablesare used to tether a balloon as shown. Knowing that the tension in cable AC is 444 N, draw the free-body diagram needed to determine the vertical force P exerted by the balloon at A. SOLUTION Free-Body Diagram of Point A: Copyright © McGraw-Hill Education. Permission required for reproduction or display. www.elsolucionario.org
  • 191.
    PROBLEM 2.F6 A containerof mass m = 120 kg is supported by three cables as shown. Draw the free-body diagram needed to determine the tension in each cable SOLUTION Free-Body Diagram of Point A: 2 (120 kg)(9.81 m/s ) 1177.2 N W = = Copyright © McGraw-Hill Education. Permission required for reproduction or display. www.elsolucionario.org
  • 192.
    PROBLEM 2.F7 A 150-lbcylinder is supported by two cables AC and BC that are attached to the top of vertical posts. A horizontal force P, which is perpendicular to the plane containing the posts, holds the cylinder in the position shown. Draw the free-body diagram needed to determine the magnitude of P and the force in each cable. SOLUTION Free-Body Diagram of Point C: Copyright © McGraw-Hill Education. Permission required for reproduction or display. www.elsolucionario.org
  • 193.
    PROBLEM 2.F8 A transmissiontower is held by three guy wires attached to a pin at A and anchored by bolts at B, C, and D. Knowing that the tension in wire AB is 630 lb, draw the free-body diagram needed to determine the vertical force P exerted by the tower on the pin at A. SOLUTION Free-Body Diagram of point A: Copyright © McGraw-Hill Education. Permission required for reproduction or display. www.elsolucionario.org
  • 194.
  • 195.
  • 196.
    Copyright © McGraw-HillEducation. Permission required for reproduction or display. PROBLEM 3.1 A crate of mass 80 kg is held in the position shown. Determine (a) the moment produced by the weight W of the crate about E, (b) the smallest force applied at B that creates a moment of equal magnitude and opposite sense about E. SOLUTION (a) By definition, 2 80 kg(9.81m/s ) 784.8 N W mg    We have : (784.8 N)(0.25 m) E E M M   196.2 N m E   M  (b) For the force at B to be the smallest, resulting in a moment (ME) about E, the line of action of force FB must be perpendicular to the line connecting E to B. The sense of FB must be such that the force produces a counterclockwise moment about E. Note: 2 2 (0.85 m) (0.5 m) 0.98615 m d    We have : 196.2 N m (0.98615 m) E B M F    198.954 N B F  and 1 0.85 m tan 59.534 0.5 m            or 199.0 N B  F 59.5°  www.elsolucionario.org
  • 197.
    Copyright © McGraw-HillEducation. Permission required for reproduction or display. PROBLEM 3.2 A crate of mass 80 kg is held in the position shown. Determine (a) the moment produced by the weight W of the crate about E, (b) the smallest force applied at A that creates a moment of equal magnitude and opposite sense about E, (c) the magnitude, sense, and point of application on the bottom of the crate of the smallest vertical force that creates a moment of equal magnitude and opposite sense about E. SOLUTION First note. . . 2 mg (80 kg)(9.81m/s ) 784.8 N W    (a) We have / (0.25 m)(784.8 N) 196.2 N m E H E M r W     or 196.2 N m E   M  (b) For FA to be minimum, it must be perpendicular to the line joining Points A and E. Then with FA directed as shown, we have / min ( ) ( ) . E A E A M r F   Where 2 2 / (0.35 m) (0.5 m) 0.61033 m A E r    then min 196.2 N m (0.61033 m)( ) A F   or min ( ) 321 N A F  Also 0.35 m tan 0.5 m   or 35.0    min ( ) 321 N A  F 35.0°  (c) For Fvertical to be minimum, the perpendicular distance from its line of action to Point E must be maximum. Thus, apply (Fvertical)min at Point D, and then / min min ( ) ( ) 196.2 N m (0.85 m)( ) E D E vertical vertical M r F F     or min ( ) 231 N vertical  F at Point D  www.elsolucionario.org
  • 198.
    Copyright © McGraw-HillEducation. Permission required for reproduction or display. PROBLEM 3.3 It is known that a vertical force of 200 lb is required to remove the nail at C from the board. As the nail first starts moving, determine (a) the moment about B of the force exerted on the nail, (b) the magnitude of the force P that creates the same moment about B if α  10°, (c) the smallest force P that creates the same moment about B. SOLUTION (a) We have / (4 in.)(200 lb) 800 lb in. B C B N M r F     or 800 lb in. B M    (b) By definition, / sin 10 (180 70 ) 120 B A B M r P            Then 800 lb in. (18 in.) sin120 P     or 51.3 lb P   (c) For P to be minimum, it must be perpendicular to the line joining Points A and B. Thus, P must be directed as shown. Thus min / B A B M dP d r   or min 800 lb in. (18 in.)P   or min 44.4 lb P  min 44.4 lb  P 20°  www.elsolucionario.org
  • 199.
    Copyright © McGraw-HillEducation. Permission required for reproduction or display. PROBLEM 3.4 A 300-N force is applied at A as shown. Determine (a) the moment of the 300-N force about D, (b) the smallest force applied at B that creates the same moment about D. SOLUTION (a) (300 N)cos 25 271.89 N (300 N)sin 25 126.785 N (271.89 N) (126.785 N) x y F F         F i j (0.1m) (0.2 m) [ (0.1m) (0.2 m) ] [(271.89 N) (126.785 N) ] (12.6785 N m) (54.378 N m) (41.700 N m) D D DA                   r i j M r F M i j i j k k k   41.7 N m D   M  (b) The smallest force Q at B must be perpendicular to DB  at 45° ( ) 41.700 N m (0.28284 m) D Q DB Q    M   147.4 N Q  45.0°  www.elsolucionario.org
  • 200.
    Copyright © McGraw-HillEducation. Permission required for reproduction or display. PROBLEM 3.5 A 300-N force is applied at A as shown. Determine (a) the moment of the 300-N force about D, (b) the magnitude and sense of the horizontal force applied at C that creates the same moment about D, (c) the smallest force applied at C that creates the same moment about D. SOLUTION (a) See Problem 3.3 for the figure and analysis leading to the determination of MD 41.7 N m D   M  (b) Since C is horizontal C  C i (0.2 m) (0.125 m) (0.125 m) 41.7 N m (0.125 m)( ) 333.60 N D DC C C C C          r i j M r i k  334 N C   (c) The smallest force C must be perpendicular to DC; thus, it forms  with the vertical 2 2 0.125 m tan 0.2 m 32.0 ( ); (0.2 m) (0.125 m) 0.23585 m D C DC DC          M 41.70 N m (0.23585 m) C   176.8 N  C 58.0°  www.elsolucionario.org
  • 201.
    Copyright © McGraw-HillEducation. Permission required for reproduction or display. PROBLEM 3.6 A 20-lb force is applied to the control rod AB as shown. Knowing that the length of the rod is 9 in. and that α  25°, determine the moment of the force about Point B by resolving the force into horizontal and vertical components. SOLUTION Free-Body Diagram of Rod AB: (9 in.)cos65 3.8036 in. (9 in.)sin 65 8.1568 in. x y       (20 lb cos25 ) ( 20 lb sin 25 ) (18.1262 lb) (8.4524 lb) x y F F          F i j i j i j / ( 3.8036 in.) (8.1568 in.) A B BA     r i j   / ( 3.8036 8.1568 ) (18.1262 8.4524 ) 32.150 147.852 115.702 lb-in. B A B            M r F i j i j k k 115.7 lb-in. B  M  www.elsolucionario.org
  • 202.
    Copyright © McGraw-HillEducation. Permission required for reproduction or display. PROBLEM 3.7 A 20-lb force is applied to the control rod AB as shown. Knowing that the length of the rod is 9 in. and that α  25°, determine the moment of the force about Point B by resolving the force into components along AB and in a direction perpendicular to AB. SOLUTION Free-Body Diagram of Rod AB: 90 (65 25 ) 50          (20 lb)cos50 12.8558 lb (9 in.) (12.8558 lb)(9 in.) 115.702 lb-in. B Q M Q       115.7 lb-in. B  M  www.elsolucionario.org
  • 203.
    Copyright © McGraw-HillEducation. Permission required for reproduction or display. PROBLEM 3.8 A 20-lb force is applied to the control rod AB as shown. Knowing that the length of the rod is 9 in. and that the moment of the force about B is 120 lb·in. clockwise, determine the value of α. SOLUTION Free-Body Diagram of Rod AB: 25      (20 lb)cos Q   and ( )(9 in.) B M Q  Therefore, 120 lb-in. (20 lb)(cos )(9 in.) 120 lb-in. cos 180 lb-in.     or 48.190    Therefore, 48.190 25      23.2     www.elsolucionario.org
  • 204.
    Copyright © McGraw-HillEducation. Permission required for reproduction or display. PROBLEM 3.9 Rod AB is held in place by the cord AC. Knowing that the tension in the cord is 1350 N and that c = 360 mm, determine the moment about B of the force exerted by the cord at point A by resolving that force into horizontal and vertical components applied (a) at point A, (b) at point C. SOLUTION Free-Body Diagram of Rod AB: (a) 2 2 1350 N (450) (600) 750 mm F AC     450 600 cos 0.6 sin 0.8 750 750       cos sin (1350 N)0.6 (1350 N)0.8 (810 N) (1080N) F F        F i + j i j i j   / (0.45 m) (0.24 m) A B    r i j  / ( 0.45 0.24 ) (810 1080 ) B A B        M r F i j i j      486 194.4    k k (291.6 N m)    k 292 N m B   M  (b) (810 N) (1080 N)   F i j / (0.36 m) C B  r j / 0.36 (810 1080 ) (291.6 N m) B C B         M r F j i j k 292 N m B   M  www.elsolucionario.org
  • 205.
    Copyright © McGraw-HillEducation. Permission required for reproduction or display. PROBLEM 3.10 Rod AB is held in place by the cord AC. Knowing that c = 840 mm and that the moment about B of the force exerted by the cord at point A is 756 N·m, determine the tension in the cord. SOLUTION Free-Body Diagram of Rod AB: 2 2 (756 N m ) (450) (1080) 1170 mm B AC       M k 450 1080 cos sin 1170 1170     cos sin 450 1080 1170 1170 F F F F      F i + j i j   / (0.45 m) (0.24 m) A B    r i j  / ( 0.45 0.24 ) (450 1080 ) 1170 B A B F        M r F i j i j      ( 486 108 ) 1170 F    k k 378 1170 F         k Substituting for : B M 378 756 1170 F    2340 N F   www.elsolucionario.org
  • 206.
    Copyright © McGraw-HillEducation. Permission required for reproduction or display. PROBLEM 3.11 The tailgate of a car is supported by the hydraulic lift BC. If the lift exerts a 125-lb force directed along its centerline on the ball and socket at B, determine the moment of the force about A. SOLUTION First note 2 2 (12.0 in.) (2.33 in.) 12.2241in. CB d    Then 12.0 in. cos 12.2241in. 2.33 in. sin 12.2241in.     and cos sin 125 lb [(12.0 in.) (2.33 in.) ] 12.2241in. CB CB CB F F       F i j i j Now / A B A CB   M r F where / (15.3 in.) (12.0 in. 2.33 in.) (15.3 in.) (14.33 in.) B A      r i j i j Then 125 lb [(15.3 in.) (14.33 in.) ] (12.0 2.33 ) 12.2241in. (1393.87 lb in.) A       M i j i j k (116.156 lb ft)   k or 116.2 lb ft A   M  www.elsolucionario.org
  • 207.
    Copyright © McGraw-HillEducation. Permission required for reproduction or display. PROBLEM 3.12 The tailgate of a car is supported by the hydraulic lift BC. If the lift exerts a 125-lb force directed along its centerline on the ball and socket at B, determine the moment of the force about A. SOLUTION First note 2 2 (17.2 in.) (7.62 in.) 18.8123 in. CB d    Then 17.2 in. cos 18.8123 in. 7.62 in. sin 18.8123 in.     and ( cos ) ( sin ) 125 lb [(17.2 in.) (7.62 in.) ] 18.8123 in. CB CB CB F F       F i j i j Now / A B A CB   M r F where / (20.5 in.) (4.38 in.) B A   r i j Then 125 lb [(20.5 in.) (4.38 in.) ] (17.2 7.62 ) 18.8123 in. A     M i j i j (1538.53 lb in.) (128.2 lb ft)     k k or 128.2 lb ft A   M  www.elsolucionario.org
  • 208.
    Copyright © McGraw-HillEducation. Permission required for reproduction or display. PROBLEM 3.13 It is known that the connecting rod AB exerts on the crank BC a 2.5-kN force directed down and to the left along the centerline of AB. Determine the moment of the force about C. SOLUTION Using (a): 1 1 ( ) ( ) 7 24 (0.056 m) 2500 N (0.042 m) 2500 N 25 25 140.0 N m C AB x AB y M y F x F                     (a) 140.0 N m C   M  Using (b): 2 ( ) 7 (0.2 m) 2500 N 25 140.0 N m C AB x M y F            (b) 140.0 N m C   M  www.elsolucionario.org
  • 209.
    Copyright © McGraw-HillEducation. Permission required for reproduction or display. PROBLEM 3.14 It is known that the connecting rod AB exerts on the crank BC a 2.5-kN force directed down and to the left along the centerline of AB. Determine the moment of the force about C. SOLUTION Using (a): 1 1 ( ) ( ) 7 24 (0.056 m) 2500 N (0.042 m) 2500 N 25 25 61.6 N m C AB x AB y M y F x F                        (a) 61.6 N m C   M  Using (b): 2 ( ) 7 (0.088 m) 2500 N 25 61.6 N m C AB x M y F             (b) 61.6 N m C   M  www.elsolucionario.org
  • 210.
    Copyright © McGraw-HillEducation. Permission required for reproduction or display. PROBLEM 3.15 Form the vector products B × C and B × C, where B  B, and use the results obtained to prove the identity 1 1 sin cos sin ( ) sin ( ). 2 2           SOLUTION Note: (cos sin ) (cos sin ) (cos sin ) B B C              B i j B i j C i j By definition, | | sin ( ) BC      B C (1) | | sin ( ) BC      B C (2) Now (cos sin ) (cos sin ) B C          B C i j i j (cos sin sin cos ) BC       k (3) and (cos sin ) (cos sin ) B C          B C i j i j (cos sin sin cos ) BC       k (4) Equating the magnitudes of  B C from Equations (1) and (3) yields: sin( ) (cos sin sin cos ) BC BC          (5) Similarly, equating the magnitudes of  B C from Equations (2) and (4) yields: sin( ) (cos sin sin cos ) BC BC          (6) Adding Equations (5) and (6) gives: sin( ) sin( ) 2cos sin           or 1 1 sin cos sin( ) sin( ) 2 2            www.elsolucionario.org
  • 211.
    Copyright © McGraw-HillEducation. Permission required for reproduction or display. PROBLEM 3.16 The vectors P and Q are two adjacent sides of a parallelogram. Determine the area of the parallelogram when (a) P = –8i + 4j – 4k and Q = 3i + 3j + 6k, (b) P = 7i – 6j – 3k and Q = –3i + 6j – 2k SOLUTION (a) We have | | A   P Q where 8 4 4     P i j k 3 3 6    Q i j k Then 8 4 4 3 3 6 [(24 12) ( 12 48) ( 24 12) ] (36) (36) ( 36)                 i j k P Q i j k i j k 2 2 2 (36) (36) ( 36) A     or 62.4 A   (b) We have | | A   P Q where 7 6 3    P i j k 3 6 2     Q i j k Then 7 6 3 3 6 2 [(12 18) (9 14) (42 18) ] (30) (23) (24)                i j k P Q i j k i j k 2 2 2 (30) (23) (24) A    or 44.8 A   www.elsolucionario.org
  • 212.
    Copyright © McGraw-HillEducation. Permission required for reproduction or display. PROBLEM 3.17 A plane contains the vectors A and B. Determine the unit vector normal to the plane when A and B are equal to, respectively, (a) 2i + 3j – 6k and 5i – 8j – 6k, (b) 4i – 4j + 3k and –3i + 7j – 5k. SOLUTION (a) We have | |    A B λ A B where 2 3 6    A i j k 5 8 6    B i j k Then 2 3 6 5 8 6 ( 18 15) ( 30 12) ( 16 15) ( 33 18 31 )                   i j k A B i j k i j k and 2 2 2 | | ( 33) ( 18) ( 31) 2374         A B ( 33 18 31 ) 2374     i j k λ or 0.677 0.369 0.636     λ i j k  (b) We have | |    A B λ A B where 4 4 3    A i j k 3 7 5     B i j k Then 4 4 3 3 7 5 (20 21) ( 9 20) (28 12) ( 11 16 )                 i j k A B i j k i j k and 2 2 | | ( 1) (11) (16) 378       A B ( 11 16 ) 378     i j k λ or 0.0514 0.566 0.823     λ i j k  www.elsolucionario.org
  • 213.
    Copyright © McGraw-HillEducation. Permission required for reproduction or display. PROBLEM 3.18 A line passes through the points (12 m, 8 m) and (–3 m, –5 m). Determine the perpendicular distance d from the line to the origin O of the system of coordinates. SOLUTION 2 2 [12 m ( 3 m)] [8 m ( 5 m)] 394 m AB d        Assume that a force F, or magnitude F(N), acts at Point A and is directed from A to B. Then AB F  F  where 1 (15 13 ) 394 B A AB AB d     r r i j  By definition, | | O A dF    M r F where ( 3 m) ( 5 m) A    r i + j Then [( 3 m) ( 5 m) ] [(15 m) (13 m) ] 394m [ 39 75 ] N m 394 36 N m 394 O F F F                  M i + j i j k k k Finally, 36 ( ) 394 F d F        36 m 394 d  1.184 m d   www.elsolucionario.org
  • 214.
    Copyright © McGraw-HillEducation. Permission required for reproduction or display. PROBLEM 3.19 Determine the moment about the origin O of the force F  4i  3j  5k that acts at a Point A. Assume that the position vector of A is (a) r  2i  3j  4k, (b) r  8i  6j  10k, (c) r  8i  6j  5k. SOLUTION O   M r F (a) 2 3 4 4 3 5 O    i j k M (15 12) ( 16 10) ( 6 12)         i j k 3 26 18 O    M i j k  (b) 8 6 10 4 3 5 O     i j k M (30 30) ( 40 40) (24 24)        i j k 0 O  M  (c) 8 6 5 4 3 5 O    i j k M ( 30 15) (20 40) ( 24 24)         i j k 15 20 O    M i j  Note: The answer to Part (b) could have been anticipated since the elements of the last two rows of the determinant are proportional. www.elsolucionario.org
  • 215.
    Copyright © McGraw-HillEducation. Permission required for reproduction or display. PROBLEM 3.20 Determine the moment about the origin O of the force F  2i  3j  4k that acts at a Point A. Assume that the position vector of A is (a) r  3i  6j  5k, (b) r  i  4j  2k, (c) r  4i  6j  8k. SOLUTION O   M r F (a) 3 6 5 2 3 4 O    i j k M (24 15) (10 12) (9 12)       i j k 9 22 21 O    M i j k  (b) 1 4 2 2 3 4 O     i j k M (16 6) ( 4 4) (3 8)        i j k 22 11 O   M i k  (c) 4 6 8 2 3 4 O    i j k M ( 24 24) ( 16 16) (12 12)         i j k 0 O  M  Note: The answer to Part (c) could have been anticipated since the elements of the last two rows of the determinant are proportional. www.elsolucionario.org
  • 216.
    Copyright © McGraw-HillEducation. Permission required for reproduction or display. PROBLEM 3.21 Before the trunk of a large tree is felled, cables AB and BC are attached as shown. Knowing that the tensions in cables AB and BC are 555 N and 660 N, respectively, determine the moment about O of the resultant force exerted on the tree by the cables at B. SOLUTION 2 2 2 2 2 2 ( 0.75 m) ( 7 m) (6 m) 9.25 m (4.25 m) ( 7 m) (1 m) 8.25 m BA BC d d            Have A A A 555 N ( 0.75 m 7 m 6 m ) 9.25 m B B B BA T d      T i j k   (45 N) (420 N) (360 N) BA     T i j k 660 N (4.25 m 7 m ) 8.25 m BC BC BC BC T d     T i j k   (340 N) (540 N) (80 N) BC    T i j k BA BC   R T T       295 N 980 N 440 N     R i j k / / where (7 m) O B O B O    M r R r j 0 7 0 N m 295 980 440 O    i j k M     3080 N m 2065 N m     i k     3080 N m 2070 N m O     M i k  www.elsolucionario.org
  • 217.
    Copyright © McGraw-HillEducation. Permission required for reproduction or display. PROBLEM 3.22 The 12-ft boom AB has a fixed end A. A steel cable is stretched from the free end B of the boom to a point C located on the vertical wall. If the tension in the cable is 380 lb, determine the moment about A of the force exerted by the cable at B. SOLUTION First note 2 2 2 ( 12) (4.8) ( 8) 15.2 ft BC d       Then 380 lb ( 12 4.8 8 ) 15.2 BC     T i j k We have / A B A BC   M r T where / (12 ft) B A  r i Then 380 lb (12 ft) ( 12 4.8 8 ) 15.2 A      M i i j k or (2400 lb ft) (1440 lb ft) A     M j k  www.elsolucionario.org
  • 218.
    Copyright © McGraw-HillEducation. Permission required for reproduction or display. PROBLEM 3.23 A 200-N force is applied as shown to the bracket ABC. Determine the moment of the force about A. SOLUTION We have / A C A C   M r F where / (0.06 m) (0.075 m) (200 N)cos 30 (200 N)sin 30 C A C        r i j F j k Then 200 0.06 0.075 0 0 cos30 sin 30 200[(0.075sin 30 ) (0.06sin 30 ) (0.06cos 30 ) ] A           i j k M i j k or (7.50 N m) (6.00 N m) (10.39 N m) A       M i j k  www.elsolucionario.org
  • 219.
    Copyright © McGraw-HillEducation. Permission required for reproduction or display. PROBLEM 3.24 The wire AE is stretched between the corners A and E of a bent plate. Knowing that the tension in the wire is 435 N, determine the moment about O of the force exerted by the wire (a) on corner A, (b) on corner E. SOLUTION 2 2 2 (0.21 m) (0.16 m) (0.12 m) (0.21 m) ( 0.16 m) (0.12 m) 0.29 m AE AE         i j k   (a) 0.21 0.16 0.12 (435 N) 0.29 (315 N) (240 N) (180 N) A A AE AE F F AE         F i j k i j k    / (0.09 m) (0.16 m) A O    r i j 0.09 0.16 0 315 240 180 O    i j k M 28.8 16.20 (21.6 50.4)     i j k (28.8 N m) (16.20 N m) (28.8 N m) O       M i j k  (b) (315 N) (240 N) (180 N) E A       F F i j k / (0.12 m) (0.12 m) E O   r i k 0.12 0 0.12 315 240 180 O    i j k M 28.8 ( 37.8 21.6) 28.8       i j k (28.8 N m) (16.20 N m) (28.8 N m) O        M i j k  www.elsolucionario.org
  • 220.
    Copyright © McGraw-HillEducation. Permission required for reproduction or display. PROBLEM 3.25 A 6-ft-long fishing rod AB is securely anchored in the sand of a beach. After a fish takes the bait, the resulting force in the line is 6 lb. Determine the moment about A of the force exerted by the line at B. SOLUTION We have (6 lb)cos 8 5.9416 lb xz T    Then sin 30 2.9708 lb sin 8 0.83504 lb cos 30 5.1456 lb x xz y BC z xz T T T T T T            Now / A B A BC   M r T where / (6sin 45 ) (6cos 45 ) 6 ft ( ) 2 B A       r j k j k Then 6 0 1 1 2 2.9708 0.83504 5.1456 6 6 6 ( 5.1456 0.83504) (2.9708) (2.9708) 2 2 2 A          i j k M i j k or (25.4 lb ft) (12.60 lb ft) (12.60 lb ft) A        M i j k  www.elsolucionario.org
  • 221.
    Copyright © McGraw-HillEducation. Permission required for reproduction or display. PROBLEM 3.26 A precast concrete wall section is temporarily held by two cables as shown. Knowing that the tension in cable BD is 900 N, determine the moment about Point O of the force exerted by the cable at B. SOLUTION where 900 N BD F F BD   F   2 2 2 (1 m) (2 m) (2 m) ( 1 m) ( 2 m) (2 m) 3 m BD BD           i j k   / 2 2 (900 N) 3 (300 N) (600 N) (600 N) (2.5 m) (2 m) B O           i j k F i j k r i j / O B O   M r F 2.5 2 0 300 600 600 1200 1500 ( 1500 600)         i j k i j k (1200 N m) (1500 N m) (900 N m) O       M i j k  www.elsolucionario.org
  • 222.
    Copyright © McGraw-HillEducation. Permission required for reproduction or display. PROBLEM 3.27 In Prob. 3.22, determine the perpendicular distance from point A to cable BC. PROBLEM 3.22 The 12-ft boom AB has a fixed end A. A steel cable is stretched from the free end B of the boom to a point C located on the vertical wall. If the tension in the cable is 380 lb, determine the moment about A of the force exerted by the cable at B. SOLUTION From the solution to problem 3.22 2 2 (2400) (1440) 2798.9 lb ft A M     But A B M F d   A B M d F  2798.9 lb ft 380 lb d   or 7.37 ft d   www.elsolucionario.org
  • 223.
    Copyright © McGraw-HillEducation. Permission required for reproduction or display. PROBLEM 3.28 In Prob. 3.24, determine the perpendicular distance from point O to wire AE. PROBLEM 3.24 The wire AE is stretched between the corners A and E of a bent plate. Knowing that the tension in the wire is 435 N, determine the moment about O of the force exerted by the wire (a) on corner A, (b) on corner E. SOLUTION From the solution to Prob. 3.24 2 2 2 (28.8 N m) (16.20 N m) (28.8 N m) (28.8) (16.20) (28.8) 43.8329 N m O O M            M i j k But or O O A A M M F d d F   43.8329 N m 435 N 0.100765 m d    100.8 mm d   www.elsolucionario.org
  • 224.
    Copyright © McGraw-HillEducation. Permission required for reproduction or display. PROBLEM 3.29 In Prob. 3.24, determine the perpendicular distance from point B to wire AE. PROBLEM 3.24 The wire AE is stretched between the corners A and E of a bent plate. Knowing that the tension in the wire is 435 N, determine the moment about O of the force exerted by the wire (a) on corner A, (b) on corner E. SOLUTION From the solution to Prob. 3.24 / / (315 N) (240 N) (180 N) (0.210 m) 0.21 (315 240 180 ) A A B B A B A             F i j k r i M r F i i j k 50.4 37.8   k j 2 2 (50.4) (37.8) 63.0 N m B M     or B B A A M M F d d F   63.0 N m 435 N 0.144829 m d    144.8 mm d   www.elsolucionario.org
  • 225.
    Copyright © McGraw-HillEducation. Permission required for reproduction or display. PROBLEM 3.30 In Prob. 3.25, determine the perpendicular distance from point A to a line drawn through points B and C. PROBLEM 3.25 A 6-ft-long fishing rod AB is securely anchored in the sand of a beach. After a fish takes the bait, the resulting force in the line is 6 lb. Determine the moment about A of the force exerted by the line at B. SOLUTION From the solution to Prob. 3.25: 2 2 2 (25.4 lb ft) (12.60 lb ft) (12.60 lb ft) ( 25.4) ( 12.60) ( 12.60) 31.027 lb ft A A M                M i j k or A A BC BC M M T d d T   31.027 lb ft 6 lb 5.1712 ft    5.17 ft d   www.elsolucionario.org
  • 226.
    Copyright © McGraw-HillEducation. Permission required for reproduction or display. PROBLEM 3.31 In Prob. 3.25, determine the perpendicular distance from point D to a line drawn through points B and C. PROBLEM 3.25 A 6-ft-long fishing rod AB is securely anchored in the sand of a beach. After a fish takes the bait, the resulting force in the line is 6 lb. Determine the moment about A of the force exerted by the line at B. SOLUTION 6 ft 6 lb BC AB T   We have | | D BC T d  M where d  perpendicular distance from D to line BC. / / (6sin 45 ft) (4.2426 ft) D B D BC B D      M r T r j : ( ) (6 lb)cos8 sin 30 2.9708 lb BC BC x T     T ( ) (6 lb)sin8 0.83504 lb ( ) (6 lb)cos8 cos30 5.1456 lb BC y BC z T T            (2.9708 lb) (0.83504 lb) (5.1456 lb) 0 4.2426 0 2.9708 0.83504 5.1456 (21.831 lb ft) (12.6039 lb ft) BC D            T i j k i j k M i 2 2 | | ( 21.831) ( 12.6039) 25.208 lb ft D M       25.208 lb ft (6 lb)d   4.20 ft d   www.elsolucionario.org
  • 227.
    Copyright © McGraw-HillEducation. Permission required for reproduction or display. PROBLEM 3.32 In Prob. 3.26, determine the perpendicular distance from point O to cable BD. PROBLEM 3.26 A precast concrete wall section is temporarily held by two cables as shown. Knowing that the tension in cable BD is 900 N, determine the moment about Point O of the force exerted by the cable at B. SOLUTION From the solution to Prob. 3.26 we have 2 2 2 (1200 N m) (1500 N m) (900 N m) (1200) ( 1500) ( 900) 2121.3 N m O O O O M M M Fd d F                M i j k 2121.3 N m 900 N   2.36 m d   www.elsolucionario.org
  • 228.
    Copyright © McGraw-HillEducation. Permission required for reproduction or display. PROBLEM 3.33 In Prob. 3.26, determine the perpendicular distance from point C to cable BD. PROBLEM 3.26 A precast concrete wall section is temporarily held by two cables as shown. Knowing that the tension in cable BD is 900 N, determine the moment about Point O of the force exerted by the cable at B. SOLUTION From the solution to Prob. 3.26 we have / / (300 N) (600 N) (600 N) (2 m) (2 m) ( 300 N 600 N 600 N ) B C C B C             F i j k r j M r F j i j k (600 N m) (1200 N m)     k i 2 2 (600) (1200) 1341.64 N m C M     C C M M Fd d F   1341.64 N m 900 N   1.491 m d   www.elsolucionario.org
  • 229.
    Copyright © McGraw-HillEducation. Permission required for reproduction or display. PROBLEM 3.34 Determine the value of a that minimizes the perpendicular distance from Point C to a section of pipeline that passes through Points A and B. SOLUTION Assuming a force F acts along AB, / | | | | ( ) C A C F d    M r F where d  perpendicular distance from C to line AB 2 2 2 / (24 ft) (24 ft) (28 ft) (24) (24) (28) ft (6) (6) (7) 11 (3 ft) (10 ft) ( 10 ft) 3 10 10 11 6 6 7 [(10 6 ) (81 6 ) 78 ] 11 AB A C C F F F a F a F a a                      F λ i j k i j k r i j k i j k M i j k Since 2 2 2 / / | | | | or | | ( ) C A C A C dF     M r F r F 2 2 2 2 1 (10 6 ) (81 6 ) (78) 121 a a d      Setting 2 ( ) 0 d da d  to find a to minimize d: 1 [2(6)(10 6 ) 2( 6)(81 6 )] 0 121 a a      Solving 5.92 ft a  or 5.92 ft a   www.elsolucionario.org
  • 230.
    Copyright © McGraw-HillEducation. Permission required for reproduction or display. PROBLEM 3.35 Given the vectors P = 2i + 3j – k, Q = 5i – 4j + 3k, and S = –3i + 2j – 5k, compute the scalar products P · Q, P · S, and Q · S. SOLUTION (2 3 ) (5 4 3 ) (2)(5) (3)( 4) ( 1)(3) 10 12 3                P Q i j k i j k 5    P Q  (2 3 ) ( 3 2 5 ) (2)( 3) (3)(2) ( 1)( 5) 6 6 5                   P S i j k i j k 5    P S  (5 4 3 ) ( 3 2 5 ) (5)( 3) ( 4)(2) (3)( 5) 15 8 15                   Q S i j k i j k 38    Q S  www.elsolucionario.org
  • 231.
    Copyright © McGraw-HillEducation. Permission required for reproduction or display. PROBLEM 3.36 Form the scalar product B · C and use the result obtained to prove the identity cos (α  β)  cos α cos β  sin α sin β . SOLUTION cos sin B B     B i j (1) cos sin C C     C i j (2) By definition: cos( ) BC      B C (3) From (1) and (2): ( cos sin ) ( cos sin ) (cos cos sin sin ) B B C C BC                B C i j i j (4) Equating the right-hand members of (3) and (4), cos( ) cos cos sin sin           www.elsolucionario.org
  • 232.
    Copyright © McGraw-HillEducation. Permission required for reproduction or display. PROBLEM 3.37 Three cables are used to support a container as shown. Determine the angle formed by cables AB and AD. SOLUTION First note: 2 2 2 2 2 (450 mm) (600 mm) 750 mm ( 500 mm) (600 mm) (360 mm) 860 mm AB AD         and (450 mm) (600 mm) ( 500 mm) (600 mm) (360 mm) AB AD       i j i j k    By definition, ( )( )cos AB AD AB AD       (450 600 ) ( 500 600 360 ) (750)(860)cos       i j i j k (450)( 500) (600)(600) (0)(360) (750)(860)cos     or cos 0.20930   77.9     www.elsolucionario.org
  • 233.
    Copyright © McGraw-HillEducation. Permission required for reproduction or display. PROBLEM 3.38 Three cables are used to support a container as shown. Determine the angle formed by cables AC and AD. SOLUTION First note: 2 2 2 2 2 (600 mm) ( 320 mm) 680 mm ( 500 mm) (600 mm) (360 mm) 860 mm AC AD          and (600 mm) ( 320 mm) ( 500 mm) (600 mm) (360 mm) AC AD        j k i j k   By definition, ( )( )cos AC AD AC AD      (600 320 ) ( 500 600 360 ) (680)(860)cos       j k i j k 0( 500) (600)(600) ( 320)(360) (680)(860)cos      cos 0.41860   65.3     www.elsolucionario.org
  • 234.
    Copyright © McGraw-HillEducation. Permission required for reproduction or display. PROBLEM 3.39 Knowing that the tension in cable AC is 280 lb, determine (a) the angle between cable AC and the boom AB, (b) the projection on AB of the force exerted by cable AC at point A. SOLUTION (a) First note 2 2 2 2 2 2 ( 6) (2) (3) 7.00 ft ( 6) ( 4.5) (0) 7.50 ft AC AB            and (6 ft) (2 ft) (3 ft) (6 ft) (4.5 ft) AC AB        i j k i j    By definition ( )( )cos AC AB AC AB       or ( 6 2 3 ) ( 6 4.5 ) (7.00)(7.50) cos         i j k i j or ( 6)( 6) (2)( 4.5) (3)(0) 52.50cos       or cos 0.51429   or 59.0     (b) We have ( ) cos (280 lb)(0.51429) AC AB AC AB AC T T      T  or ( ) 144.0 lb AC AB T   www.elsolucionario.org
  • 235.
    Copyright © McGraw-HillEducation. Permission required for reproduction or display. PROBLEM 3.40 Knowing that the tension in cable AD is 180 lb, determine (a) the angle between cable AD and the boom AB, (b) the projection on AB of the force exerted by cable AD at point A. SOLUTION (a) First note 2 2 2 2 2 2 ( 6) (3) ( 6) 9.00 ft ( 6) ( 4.5) (0) 7.50 ft AD AB             and (6 ft) (3 ft) (6 ft) (6 ft) (4.5 ft) AD AB        i j k i j    By definition, ( )( )cos AD AB AD AB       ( 6 3 6 ) ( 6 4.5 ) (9.00)(7.50)cos ( 6)( 6) (3)( 4.5) ( 6)(0) 67.50cos                 i j k i j 1 cos 3   70.5     (b) ( ) cos AD AB AD AB AD T T     T  1 (180 lb) 3        ( ) 60.0 lb AD AB T   www.elsolucionario.org
  • 236.
    Copyright © McGraw-HillEducation. Permission required for reproduction or display. PROBLEM 3.41 Ropes AB and BC are two of the ropes used to support a tent. The two ropes are attached to a stake at B. If the tension in rope AB is 540 N, determine (a) the angle between rope AB and the stake, (b) the projection on the stake of the force exerted by rope AB at Point B. SOLUTION First note: 2 2 2 2 2 2 ( 3) (3) ( 1.5) 4.5 m ( 0.08) (0.38) (0.16) 0.42 m BA BD            Then ( 3 3 1.5 ) 4.5 ( 2 2 ) 3 1 ( 0.08 0.38 0.16 ) 0.42 1 ( 4 19 8 ) 21 BA BA BA BD T T BD BD                  T i j k i j k i j k i j k    (a) We have cos BA BD BA T    T  or 1 ( 2 2 ) ( 4 19 8 ) cos 3 21 BA BA T T          i j k i j k or 1 cos [( 2)( 4) (2)(19) ( 1)(8)] 63 0.60317         or 52.9     (b) We have ( ) cos (540 N)(0.60317) BA BD BA BD BA T T      T  or ( ) 326 N BA BD T   www.elsolucionario.org
  • 237.
    Copyright © McGraw-HillEducation. Permission required for reproduction or display. PROBLEM 3.42 Ropes AB and BC are two of the ropes used to support a tent. The two ropes are attached to a stake at B. If the tension in rope BC is 490 N, determine (a) the angle between rope BC and the stake, (b) the projection on the stake of the force exerted by rope BC at Point B. SOLUTION First note: 2 2 2 2 2 2 (1) (3) ( 1.5) 3.5 m ( 0.08) (0.38) (0.16) 0.42 m BC BD           ( 3 1.5 ) 3.5 (2 6 3 ) 7 1 ( 0.08 0.38 0.16 ) 0.42 1 ( 4 19 8 ) 21 BC BC BC BD T T BD BD                 T i j k i j k i j k i j k   (a) cos BC BD BC T     T 1 (2 6 3 ) ( 4 19 8 ) cos 7 21 BC BC T T         i j k i j k 1 cos [(2)( 4) (6)(19) ( 3)(8)] 147 0.55782        56.1     (b) ( ) cos (490 N)(0.55782) BC BD BC BD BC T T       T ( ) 273 N BC BD T   www.elsolucionario.org
  • 238.
    Copyright © McGraw-HillEducation. Permission required for reproduction or display. PROBLEM 3.43 The 20-in. tube AB can slide along a horizontal rod. The ends A and B of the tube are connected by elastic cords to the fixed point C. For the position corresponding to x  11 in., determine the angle formed by the two cords (a) using Eq. (3.32), (b) applying the law of cosines to triangle ABC. SOLUTION (a) Using Eq. (3.32): 2 2 2 2 2 2 11 12 24 (11) ( 12) (24) 29 in. 31 12 24 (31) ( 12) (24) 41 in. CA CA CB CB                 i j k i j k     cos ( )( ) (11 12 24 ) (31 12 24 ) (29)(41) (11)(31) ( 12)( 12) (24)(24) (29)(41) 0.89235 CA CB CA CB                i j k i j k     26.8     (b) Law of cosines: 2 2 2 2 2 2 ( ) ( ) ( ) 2( )( )cos (20) (29) (41) 2(29)(41)cos cos 0.89235 AB CA CB CA CB           26.8     www.elsolucionario.org
  • 239.
    Copyright © McGraw-HillEducation. Permission required for reproduction or display. PROBLEM 3.44 Solve Prob. 3.43 for the position corresponding to x  4 in. PROBLEM 3.43 The 20-in. tube AB can slide along a horizontal rod. The ends A and B of the tube are connected by elastic cords to the fixed point C. For the position corresponding to x  11 in., determine the angle formed by the two cords (a) using Eq. (3.32), (b) applying the law of cosines to triangle ABC. SOLUTION (a) Using Eq. (3.32): 2 2 2 2 2 2 4 12 24 (4) ( 12) (24) 27.129 in. 24 12 24 (24) ( 12) (24) 36 in. CA CA CB CB                 i j k i j k     cos ( )( ) (4 12 24 ) (24 12 24 ) (27.129)(36) 0.83551 CA CB CA CB           i j k i j k     33.3     (b) Law of cosines: 2 2 2 2 2 2 ( ) ( ) ( ) 2( )( )cos (20) (27.129) (36) 2(27.129)(36)cos cos 0.83551 AB CA CB CA CB           33.3     www.elsolucionario.org
  • 240.
    Copyright © McGraw-HillEducation. Permission required for reproduction or display. PROBLEM 3.45 Determine the volume of the parallelepiped of Fig. 3.25 when (a) P  4i  3j  2k, Q  2i  5j  k, and S  7i  j  k, (b) P  5i  j  6k, Q  2i  3j  k, and S  3i  2j  4k. SOLUTION Volume of a parallelepiped is found using the mixed triple product. (a) 3 Vol. ( ) 4 3 2 2 5 1 in. 7 1 1 (20 21 4 70 6 4) 67                P Q S or Volume 67.0   (b) 3 Vol. ( ) 5 1 6 2 3 1 in. 3 2 4 (60 3 24 54 8 10) 111               P Q S or Volume 111.0   www.elsolucionario.org
  • 241.
    Copyright © McGraw-HillEducation. Permission required for reproduction or display. PROBLEM 3.46 Given the vectors P = 3i – j + k, Q = 4i + Qyj – 2k, and S = 2i – 2j + 2k, determine the value of Qy for which the three vectors are coplanar. SOLUTION If P, Q, and S are coplanar, then P must be perpendicular to ( ).  Q S ( ) 0    P Q S (or, the volume of a parallelepiped defined by P, Q, and S is zero). Then 3 1 1 4 Q 2 0 2 2 2 y     or 6 4 8 2 8 12 0 y y Q Q       2 y Q   www.elsolucionario.org
  • 242.
    Copyright © McGraw-HillEducation. Permission required for reproduction or display. PROBLEM 3.47 A crane is oriented so that the end of the 25-m boom AO lies in the yz plane. At the instant shown, the tension in cable AB is 4 kN. Determine the moment about each of the coordinate axes of the force exerted on A by cable AB. SOLUTION 2 2 2 2 ( ) ( ) (25 m) (15 m) 20 m OC OA AC      (15 m) (20 m) A   r j k 2 2 (2.5 m) (15 m) 15.2069 m 2.5 15 (4 kN) 15.2069 (0.65760 kN) (3.9456 kN) AB AB P AB         P i j i j   Using Eq. (3.11): 0 15 20 0.65760 3.9456 0 (78.912 kN m) (13.1520 kN m) (9.8640 kN m) O A O        i j k M r P M i + j- k But O x y z M M M    M i j k Therefore, 78.9 kN m, 13.15 kN m, 9.86 kN m x y z M M M         www.elsolucionario.org
  • 243.
    Copyright © McGraw-HillEducation. Permission required for reproduction or display. PROBLEM 3.48 The 25-m crane boom AO lies in the yz plane. Determine the maximum permissible tension in cable AB if the absolute value of moments about the coordinate axes of the force exerted on A by cable AB must be |Mx| ≤ 60 kN·m, |My| ≤ 12 kN·m, |Mz| ≤ 8 kN·m 2 2 2 2 ( ) ( ) (25 m) (15 m) 20 m OC OA AC      (15 m) (20 m) A   r j k 2 2 (2.5 m) (15 m) 15.2069 m 2.5 15 ( ) 15.2069 (0.164399 kN) (0.98639 kN) AB AB P AB P P P         P i j i j   Using Eq. (3.11): 0 15 20 0.163499 0.98639 0 (19.7278 ) (3.2700 ) (2.4525 ) O A O P P P P P      i j k M r P M i + j- k But 60 kN m: 19.7278 60 3.04 kN 12 kN m: 3.270 12 3.67 kN 8 kN m: 2.4525 8 3.15 kN x y z M P P M P P M P P            < Therefore, the maximum permissible tension is 3.04 kN P   www.elsolucionario.org
  • 244.
    Copyright © McGraw-HillEducation. Permission required for reproduction or display. PROBLEM 3.49 To loosen a frozen valve, a force F of magnitude 70 lb is applied to the handle of the valve. Knowing that 25 ,    Mx 61lb ft,    and 43 lb ft, z M    determine  and d. SOLUTION We have / : O A O O    M r F M where / (4 in.) (11in.) ( ) (cos cos sin cos sin ) A O d F             r i j k F i j k For 70 lb, 25 F     (70 lb)[(0.90631cos ) 0.42262 (0.90631sin ) ] (70 lb) 4 11 in. 0.90631cos 0.42262 0.90631sin (70 lb)[(9.9694sin 0.42262 ) ( 0.90631 cos 3.6252sin ) (1.69048 9.9694cos ) ] in. O d d d                        F i j k i j k M i j k and (70 lb)(9.9694sin 0.42262 ) in. (61lb ft)(12 in./ft) x M d       (1) (70 lb)( 0.90631 cos 3.6252sin ) in. y M d      (2) (70 lb)(1.69048 9.9694cos ) in. 43 lb ft(12 in./ft) z M       (3) From Equation (3): 1 634.33 cos 24.636 697.86            or 24.6     From Equation (1): 1022.90 34.577 in. 29.583 d         or 34.6 in. d   www.elsolucionario.org
  • 245.
    Copyright © McGraw-HillEducation. Permission required for reproduction or display. PROBLEM 3.50 When a force F is applied to the handle of the valve shown, its moments about the x and z axes are, respectively, 77 lb ft x M    and 81lb ft. z M    For 27 d  in., determine the moment My of F about the y axis. SOLUTION We have / : O A O O    M r F M Where / (4 in.) (11in.) (27 in.) (cos cos sin cos sin ) A O F             r i j k F i j k 4 11 27 lb in. cos cos sin cos sin [(11cos sin 27sin ) ( 27cos cos 4cos sin ) (4sin 11cos cos ) ](lb in.) O F F                             i j k M i j k and (11cos sin 27sin )(lb in.) x M F       (1) ( 27cos cos 4cos sin ) (lb in.) y M F         (2) (4sin 11cos cos ) (lb in.) z M F       (3) Now, Equation (1) 1 cos sin 27sin 11 x M F            (4) and Equation (3) 1 cos cos 4sin 11 z M F            (5) Substituting Equations (4) and (5) into Equation (2), 1 1 27 4sin 4 27sin 11 11 x z y M M M F F F                                          or 1 (27 4 ) 11 y z x M M M   www.elsolucionario.org
  • 246.
    Copyright © McGraw-HillEducation. Permission required for reproduction or display. PROBLEM 3.50 (Continued) Noting that the ratios 27 11 and 4 11 are the ratios of lengths, have 27 4 ( 81lb ft) ( 77 lb ft) 11 11 226.82 lb ft y M         or 227 lb ft y M     www.elsolucionario.org
  • 247.
    Copyright © McGraw-HillEducation. Permission required for reproduction or display. PROBLEM 3.51 To lift a heavy crate, a man uses a block and tackle attached to the bottom of an I-beam at hook B. Knowing that the moments about the y and the z axes of the force exerted at B by portion AB of the rope are, respectively, 120 N  m and 460 N  m, determine the distance a. SOLUTION First note (2.2 m) (3.2 m) ( m) BA a    i j k   Now / D A D BA   M r T where / (2.2 m) (1.6 m) (2.2 3.2 ) (N) A D BA BA BA T a d      r i j T i j k Then 2.2 1.6 0 2.2 3.2 { 1.6 2.2 [(2.2)( 3.2) (1.6)(2.2)] } BA D BA BA BA T d a T a a d          i j k M i j k Thus 2.2 (N m) 10.56 (N m) BA y BA BA z BA T M a d T M d      Then forming the ratio y z M M 2.2 (N m) 120 N m 460 N m 10.56 (N m) BA BA BA BA T d T d        or 1.252 m a   www.elsolucionario.org
  • 248.
    Copyright © McGraw-HillEducation. Permission required for reproduction or display. PROBLEM 3.52 To lift a heavy crate, a man uses a block and tackle attached to the bottom of an I-beam at hook B. Knowing that the man applies a 195-N force to end A of the rope and that the moment of that force about the y axis is 132 N  m, determine the distance a. SOLUTION First note 2 2 2 2 (2.2) ( 3.2) ( ) 15.08 m BA d a a        and 195 N (2.2 3.2 ) BA BA a d    T i j k Now / ( ) y A D BA M    j r T where /0 (2.2 m) (1.6 m) A   r i j Then 0 1 0 195 2.2 1.6 0 2.2 3.2 195 (2.2 ) (N m) y BA BA M d a a d      Substituting for My and dBA 2 195 132 N m (2.2 ) 15.08 a a    or 2 0.30769 15.08 a a   Squaring both sides of the equation 2 2 0.094675(15.08 ) a a   or 1.256 m a   www.elsolucionario.org
  • 249.
    Copyright © McGraw-HillEducation. Permission required for reproduction or display. PROBLEM 3.53 A farmer uses cables and winch pullers B and E to plumb one side of a small barn. If it is known that the sum of the moments about the x-axis of the forces exerted by the cables on the barn at Points A and D is equal to 4728 lb  ft, determine the magnitude of TDE when TAB  255 lb. SOLUTION The moment about the x-axis due to the two cable forces can be found using the z components of each force acting at their intersection with the xy plane (A and D). The x components of the forces are parallel to the x-axis, and the y components of the forces intersect the x-axis. Therefore, neither the x or y components produce a moment about the x-axis. We have : ( ) ( ) ( ) ( ) x AB z A DE z D x M T y T y M    where ( ) ( ) 12 12 255 lb 17 180 lb AB z AB AB AB T T                        k T k i j k k ( ) ( ) 1.5 14 12 18.5 0.64865 12 ft 14 ft 4728 lb ft DE z DE DE DE DE DE A D x T T T T y y M                           k T k i j k k (180 lb)(12 ft) (0.64865 )(14 ft) 4728 lb ft DE T    and 282.79 lb DE T  or 283 lb DE T   www.elsolucionario.org
  • 250.
    Copyright © McGraw-HillEducation. Permission required for reproduction or display. PROBLEM 3.54 Solve Problem 3.53 when the tension in cable AB is 306 lb. PROBLEM 3.53 A farmer uses cables and winch pullers B and E to plumb one side of a small barn. If it is known that the sum of the moments about the x-axis of the forces exerted by the cables on the barn at Points A and D is equal to 4728 lb  ft, determine the magnitude of TDE when TAB  255 lb. SOLUTION The moment about the x-axis due to the two cable forces can be found using the z components of each force acting at the intersection with the xy plane (A and D). The x components of the forces are parallel to the x-axis, and the y components of the forces intersect the x-axis. Therefore, neither the x or y components produce a moment about the x-axis. We have : ( ) ( ) ( ) ( ) x AB z A DE z D x M T y T y M    Where ( ) ( ) 12 12 306 lb 17 216 lb AB z AB AB AB T T                       k T k λ i j k k ( ) ( ) 1.5 14 12 18.5 0.64865 12 ft 14 ft 4728 lb ft DE z DE DE DE DE DE A D x T T T T y y M                          k T k λ i j k k (216 lb)(12 ft) (0.64865 )(14 ft) 4728 lb ft DE T    and 235.21lb DE T  or 235 lb DE T   www.elsolucionario.org
  • 251.
    Copyright © McGraw-HillEducation. Permission required for reproduction or display. PROBLEM 3.55 The 23-in. vertical rod CD is welded to the midpoint C of the 50-in. rod AB. Determine the moment about AB of the 235-lb force P. SOLUTION (32 in.) (30 in.) (24 in.) AB    i j k   2 2 2 (32) ( 30) ( 24) 50 in. AB       0.64 0.60 0.48 AB AB AB     i k    We shall apply the force P at Point G: / (5 in.) (30 in.) G B   r i k (21 in.) (38 in.) (18 in.) DG    i j k  2 2 2 (21) ( 38) (18) 47 in. DG      21 38 18 (235 lb) 47 DG P DG     i j k P  (105 lb) (190 lb) (90 lb)    P i j k The moment of P about AB is given by Eq. (3.46): / 0.64 0.60 0.48 ( ) 5 in. 0 30 in. 105 lb 190 lb 90 lb AB AB G B P        M r  0.64[0 (30 in.)( 190 lb)] 0.60[(30 in.)(105 lb) (5 in.)(90 lb)] 0.48[(5 in.)( 190 lb) 0] 2484 lb in. AB            M 207 lb ft AB    M  www.elsolucionario.org
  • 252.
    Copyright © McGraw-HillEducation. Permission required for reproduction or display. PROBLEM 3.56 The 23-in. vertical rod CD is welded to the midpoint C of the 50-in. rod AB. Determine the moment about AB of the 174-lb force Q. SOLUTION (32 in.) (30 in.) (24 in.) AB    i j k   2 2 2 (32) ( 30) ( 24) 50 in. AB       0.64 0.60 0.48 AB AB AB     i j k    We shall apply the force Q at Point H: / (32 in.) (17 in.) H B    r i j (16 in.) (21 in.) (12 in.) DH     i j k   2 2 2 (16) ( 21) ( 12) 29 in. DH       16 21 12 (174 lb) 29 DH DH      i j k Q   (96 lb) (126 lb) (72 lb) Q     i j k The moment of Q about AB is given by Eq. (3.46): / 0.64 0.60 0.48 ( ) 32 in. 17 in. 0 96 lb 126 lb 72 lb AB AB H B           M r Q  0.64[(17 in.)( 72 lb) 0] 0.60[(0 ( 32 in.)( 72 lb)] 0.48[( 32 in.)( 126 lb) (17 in.)( 96 lb)] 2119.7 lb in. AB                M 176.6 lb ft AB    M  www.elsolucionario.org
  • 253.
    Copyright © McGraw-HillEducation. Permission required for reproduction or display. PROBLEM 3.57 The frame ACD is hinged at A and D and is supported by a cable that passes through a ring at B and is attached to hooks at G and H. Knowing that the tension in the cable is 450 N, determine the moment about the diagonal AD of the force exerted on the frame by portion BH of the cable. SOLUTION / ( ) AD AD B A BH M    r T  Where / 1 (4 3 ) 5 (0.5 m) AD B A    i k r i  and 2 2 2 (0.375) (0.75) ( 0.75) 1.125 m BH d      Then 450 N (0.375 0.75 0.75 ) 1.125 (150 N) (300 N) (300 N) BH       T i j k i j k Finally, 4 0 3 1 0.5 0 0 5 150 300 300 1 [( 3)(0.5)(300)] 5 AD M      or 90.0 N m AD M     www.elsolucionario.org
  • 254.
    Copyright © McGraw-HillEducation. Permission required for reproduction or display. PROBLEM 3.58 In Problem 3.57, determine the moment about the diagonal AD of the force exerted on the frame by portion BG of the cable. PROBLEM 3.57 The frame ACD is hinged at A and D and is supported by a cable that passes through a ring at B and is attached to hooks at G and H. Knowing that the tension in the cable is 450 N, determine the moment about the diagonal AD of the force exerted on the frame by portion BH of the cable. SOLUTION / ( ) AD AD B A BG M    r T  Where / 1 (4 3 ) 5 (0.5 m) AD B A    i k r j  and 2 2 2 ( 0.5) (0.925) ( 0.4) 1.125 m BG       Then 450 N ( 0.5 0.925 0.4 ) 1.125 (200 N) (370 N) (160 N) BG         T i j k i j k Finally, 4 0 3 1 0.5 0 0 5 200 370 160 AD M     1 [( 3)(0.5)(370)] 5   111.0 N m AD M     www.elsolucionario.org
  • 255.
    Copyright © McGraw-HillEducation. Permission required for reproduction or display. PROBLEM 3.59 The triangular plate ABC is supported by ball-and-socket joints at B and D and is held in the position shown by cables AE and CF. If the force exerted by cable AE at A is 55 N, determine the moment of that force about the line joining Points D and B. SOLUTION First note: AE AE AE T AE  T   2 2 2 (0.9) ( 0.6) (0.2) 1.1 m AE      Then 55 N (0.9 0.6 0.2 ) 1.1 5[(9 N) (6 N) (2 N) ] AE       T i j k i j k Also, 2 2 2 (1.2) ( 0.35) (0) 1.25 m DB      Then 1 (1.2 0.35 ) 1.25 1 (24 7 ) 25 DB DB DB      i j i j    Now / ( ) DB DB A D AE M    r T  where / (0.1 m) (0.2 m) A D    r j k Then 24 7 0 1 (5) 0 0.1 0.2 25 9 6 2 1 ( 4.8 12.6 28.8) 5 DB M         or 2.28 N m DB M    www.elsolucionario.org
  • 256.
    Copyright © McGraw-HillEducation. Permission required for reproduction or display. PROBLEM 3.60 The triangular plate ABC is supported by ball-and-socket joints at B and D and is held in the position shown by cables AE and CF. If the force exerted by cable CF at C is 33 N, determine the moment of that force about the line joining Points D and B. SOLUTION First note: CF CF CF T CF  T   2 2 2 (0.6) ( 0.9) ( 0.2) 1.1 m CF       Then 33 N (0.6 0.9 0.2 ) 1.1 3[(6 N) (9 N) (2 N) ] CF       T i j k i j k Also, 2 2 2 (1.2) ( 0.35) (0) 1.25 m DB      Then 1 (1.2 0.35 ) 1.25 1 (24 7 ) 25 DB DB DB      i j i j    Now / ( ) DB DB C D CF M    r T  where / (0.2 m) (0.4 m) C D   r j k Then 24 7 0 1 (3) 0 0.2 0.4 25 6 9 2 3 ( 9.6 16.8 86.4) 25 DB M          or 9.50 N m DB M     www.elsolucionario.org
  • 257.
    Copyright © McGraw-HillEducation. Permission required for reproduction or display. PROBLEM 3.61 A regular tetrahedron has six edges of length a. A force P is directed as shown along edge BC. Determine the moment of P about edge OA. SOLUTION We have / ( ) OA OA C O M    r P  From triangle OBC: ( ) 2 1 ( ) ( ) tan30 2 3 2 3 x z x a OA a a OA OA            Since 2 2 2 2 ( ) ( ) ( ) ( ) x y z OA OA OA OA    or 2 2 2 2 2 2 2 ( ) 2 2 3 2 ( ) 4 12 3 y y a a a OA a a OA a a                    Then / 2 2 3 2 3 A O a a a    r i j k and 1 2 1 2 3 2 3 OA    i j k  / ( sin30 ) ( cos30 ) ( ) ( 3 ) 2 BC C O a a P P P a a         i k P i k r i  1 2 1 2 3 2 3 ( ) 1 0 0 2 1 0 3 2 (1)( 3) 2 3 2 OA P M a aP aP                     2 OA aP M   www.elsolucionario.org
  • 258.
    Copyright © McGraw-HillEducation. Permission required for reproduction or display. PROBLEM 3.62 A regular tetrahedron has six edges of length a. (a) Show that two opposite edges, such as OA and BC, are perpendicular to each other. (b) Use this property and the result obtained in Problem 3.61 to determine the perpendicular distance between edges OA and BC. SOLUTION (a) For edge OA to be perpendicular to edge BC, 0 OA BC       From triangle OBC: ( ) 2 1 ( ) ( ) tan30 2 3 2 3 ( ) 2 2 3 x z x y a OA a a OA OA a a OA OA                           i j k   and ( sin30 ) ( cos30 ) 3 ( 3 ) 2 2 2 BC a a a a a         i k i k i k   Then ( ) ( 3 ) 0 2 2 2 3 y a a a OA                  i j k i k or 2 2 ( ) (0) 0 4 4 0 y a a OA OA BC          so that OA   is perpendicular to . BC    (b) We have , OA M Pd  with P acting along BC and d the perpendicular distance from OA   to . BC   From the results of Problem 3.57, 2 2 OA Pa M Pa Pd   or 2 a d   www.elsolucionario.org
  • 259.
    Copyright © McGraw-HillEducation. Permission required for reproduction or display. PROBLEM 3.63 Two forces 1 F and 2 F in space have the same magnitude F. Prove that the moment of 1 F about the line of action of 2 F is equal to the moment of 2 F about the line of action of 1 F . SOLUTION First note that 1 1 1 2 2 2 and F F   F F   Let 1 2 moment of M  F about the line of action of 1 F and 2 moment M  of 1 F about the line of action of 2 F . Now, by definition, 1 1 / 2 1 / 2 2 2 2 / 1 2 / 1 1 ( ) ( ) ( ) ( ) B A B A A B A B M F M F             r F r r F r       Since 1 2 / / 1 1 / 2 2 2 / 1 and ( ) ( ) A B B A B A B A F F F M F M F            r r r r     Using Equation (3.39): 1 / 2 2 / 1 ( ) ( ) B A B A       r r     so that 2 1 / 2 ( ) B A M F    r    12 21 M M   www.elsolucionario.org
  • 260.
    Copyright © McGraw-HillEducation. Permission required for reproduction or display. PROBLEM 3.64 In Prob. 3.55, determine the perpendicular distance between rod AB and the line of action of P. PROBLEM 3.55 The 23-in. vertical rod CD is welded to the midpoint C of the 50-in. rod AB. Determine the moment about AB of the 235-lb force P. SOLUTION (32 in.) (30 in.) (24 in.) AB    i j k   2 2 2 (32) ( 30) ( 24) 50 in. AB       0.64 0.60 0.48 AB AB AB     i j k    105 190 90 235 P P     P i j k  Angle  between AB and P: cos 105 190 90 (0.64 0.60 0.48 ) 235 0.58723 AB P           i j k i j k   54.039     The moment of P about AB may be obtained by multiplying the projection of P on a plane perpendicular to AB by the perpendicular distance d from AB to P: ( sin ) AB P d   M From the solution to Prob. 3.55: 207 lb ft 2484 lb in. AB     M We have 2484 lb in. (235 lb)(sin54.039)d   13.06 in. d   www.elsolucionario.org
  • 261.
    Copyright © McGraw-HillEducation. Permission required for reproduction or display. PROBLEM 3.65 In Prob. 3.56, determine the perpendicular distance between rod AB and the line of action of Q. PROBLEM 3.56 The 23-in. vertical rod CD is welded to the midpoint C of the 50-in. rod AB. Determine the moment about AB of the 174-lb force Q. SOLUTION (32 in.) (30 in.) (24 in.) AB    i j k   2 2 2 (32) ( 30) ( 24) 50 in. AB       0.64 0.60 0.48 AB AB AB     i j k    96 126 72 174 Q Q      Q i j k  Angle  between AB and Q: cos ( 96 126 72 ) (0.64 0.60 0.48 ) 174 0.28000 AB Q            i j k i j k   73.740     The moment of Q about AB may be obtained by multiplying the projection of Q on a plane perpendicular to AB by the perpendicular distance d from AB to Q: ( sin ) AB Q d   M From the solution to Prob. 3.56: 176.6 lb ft 2119.2 lb in. AB     M 2119.2 lb in. (174 lb)(sin 73.740 )d    12.69 in. d   www.elsolucionario.org
  • 262.
    Copyright © McGraw-HillEducation. Permission required for reproduction or display. PROBLEM 3.66 In Problem 3.57, determine the perpendicular distance between portion BH of the cable and the diagonal AD. PROBLEM 3.57 The frame ACD is hinged at A and D and is supported by a cable that passes through a ring at B and is attached to hooks at G and H. Knowing that the tension in the cable is 450 N, determine the moment about the diagonal AD of the force exerted on the frame by portion BH of the cable. SOLUTION From the solution to Problem 3.57: 450 N (150 N) (300 N) (300 N) BH BH T     T i j k | | 90.0 N m AD M   1 (4 3 ) 5 AD   i k  Based on the discussion of Section 3.11, it follows that only the perpendicular component of TBH will contribute to the moment of TBH about line . AD  Now parallel ( ) 1 (150 300 300 ) (4 3 ) 5 1 [(150)(4) ( 300)( 3)] 5 300 N BH BH AD T             T i j k i k  Also, parallel perpendicular ( ) ( ) BH BH BH   T T T so that 2 2 perpendicular ( ) (450) (300) 335.41 N BH T    Since AD  and perpendicular ( ) BH T are perpendicular, it follows that perpendicular ( ) AD BH M d T  or 90.0 N m (335.41 N) d   0.26833 m d  0.268 m d   www.elsolucionario.org
  • 263.
    Copyright © McGraw-HillEducation. Permission required for reproduction or display. PROBLEM 3.67 In Problem 3.58, determine the perpendicular distance between portion BG of the cable and the diagonal AD. PROBLEM 3.58 In Problem 3.57, determine the moment about the diagonal AD of the force exerted on the frame by portion BG of the cable. PROBLEM 3.57 The frame ACD is hinged at A and D and is supported by a cable that passes through a ring at B and is attached to hooks at G and H. Knowing that the tension in the cable is 450 N, determine the moment about the diagonal AD of the force exerted on the frame by portion BH of the cable. SOLUTION From the solution to Problem 3.58: 450 N (200 N) (370 N) (160 N) BG BG      T i j k  | | 111 N m AD M   1 (4 3 ) 5 AD   i k  Based on the discussion of Section 3.11, it follows that only the perpendicular component of TBG will contribute to the moment of TBG about line . AD  Now parallel ( ) 1 ( 200 370 160 ) (4 3 ) 5 1 [( 200)(4) ( 160)( 3)] 5 64 N BG BG AD T                T i j k i k  Also, parallel perpendicular ( ) ( ) BG BG BG   T T T so that 2 2 perpendicular ( ) (450) ( 64) 445.43 N BG     T Since AD  and perpendicular ( ) BG T are perpendicular, it follows that perpendicular ( ) AD BG M d T  or 111 N m (445.43 N) d   0.24920 m d  0.249 m d   www.elsolucionario.org
  • 264.
    Copyright © McGraw-HillEducation. Permission required for reproduction or display. PROBLEM 3.68 In Problem 3.59, determine the perpendicular distance between cable AE and the line joining Points D and B. PROBLEM 3.59 The triangular plate ABC is supported by ball-and-socket joints at B and D and is held in the position shown by cables AE and CF. If the force exerted by cable AE at A is 55 N, determine the moment of that force about the line joining Points D and B. SOLUTION From the solution to Problem 3.59: 55 N 5[(9 N) (6 N) (2 N) ] AE AE     T i j k  | | 2.28 N m DB M   1 (24 7 ) 25 DB   i j  Based on the discussion of Section 3.11, it follows that only the perpendicular component of TAE will contribute to the moment of TAE about line . DB   Now parallel ( ) 1 5(9 6 2 ) (24 7 ) 25 1 [(9)(24) ( 6)( 7)] 5 51.6 N AE AE DB T             T i j k i j  Also, parallel perpendicular ( ) ( ) AE AE AE   T T T so that 2 2 perpendicular ( ) (55) (51.6) 19.0379 N AE    T Since DB  and perpendicular ( ) AE T are perpendicular, it follows that perpendicular ( ) DB AE M d T  or 2.28 N m (19.0379 N) d   0.119761 d  0.1198 m d   www.elsolucionario.org
  • 265.
    Copyright © McGraw-HillEducation. Permission required for reproduction or display. PROBLEM 3.69 In Problem 3.60, determine the perpendicular distance between cable CF and the line joining Points D and B. PROBLEM 3.60 The triangular plate ABC is supported by ball-and-socket joints at B and D and is held in the position shown by cables AE and CF. If the force exerted by cable CF at C is 33 N, determine the moment of that force about the line joining Points D and B. SOLUTION From the solution to Problem 3.60: 33 N 3[(6 N) (9 N) (2 N) ] CF CF     T i j k  | | 9.50 N m DB M   1 (24 7 ) 25 DB   i j  Based on the discussion of Section 3.11, it follows that only the perpendicular component of TCF will contribute to the moment of TCF about line . DB   Now parallel ( ) 1 3(6 9 2 ) (24 7 ) 25 3 [(6)(24) ( 9)( 7)] 25 24.84 N CF CF DB             T T i j k i j  Also, parallel perpendicular ( ) ( ) CF CF CF   T T T so that 2 2 perpendicular ( ) (33) (24.84) 21.725 N CF    T Since DB  and perpendicular ( ) CF T are perpendicular, it follows that perpendicular | | ( ) DB CF M d T  or 9.50 N m 21.725 N d    or 0.437 m d   www.elsolucionario.org
  • 266.
    Copyright © McGraw-HillEducation. Permission required for reproduction or display. PROBLEM 3.70 Two 80-N forces are applied as shown to the corners B and D of a rectangular plate. (a) Determine the moment of the couple formed by the two forces by resolving each force into horizontal and vertical components and adding the moments of the two resulting couples. (b) Use the result obtained to determine the perpendicular distance between lines BE and DF. SOLUTION (a) Resolving forces into components: (80 N)sin50 61.284 N P    (80 N)cos50 51.423 N Q    (51.423 N)(0.5 m) (61.284 N)(0.3 m) 7.3263 N m M        7.33 N m   M  (b) Distance between lines BE and DF Fd  M or 7.3263 N m=(80 N) 0.091579 m d d   91.6 mm d   www.elsolucionario.org
  • 267.
    Copyright © McGraw-HillEducation. Permission required for reproduction or display. PROBLEM 3.71 Two parallel 40-N forces are applied to a lever as shown. Determine the moment of the couple formed by the two forces (a) by resolving each force into horizontal and vertical components and adding the moments of the two resulting couples, (b) by using the perpendicular distance between the two forces, (c) by summing the moments of the two forces about Point A. SOLUTION (a) We have 1 2 : B x y d C d C     M M where 1 2 (0.270 m)sin55° 0.22117 m (0.270 m)cos55 0.154866 m d d      (40 N)cos20 37.588 N (40 N)sin 20 13.6808 N x y C C       (0.22117 m)(37.588 N) (0.154866 m)(13.6808 N) (6.1946 N m)       M k k k or 6.19 N m   M  (b) We have ( ) 40 N[(0.270 m)sin(55 20 )]( ) Fd        M k k (6.1946 N m)    k or 6.19 N m   M  (c) We have / / : ( ) A A B A B C A C         M r F r F r F M (0.390 m)(40 N) cos55 sin55 0 cos20 sin 20 0 (0.660 m)(40 N) cos55 sin55 0 cos20 sin 20 0 (8.9478 N m 15.1424 N m) (6.1946 N m) M                    i j k i j k k k or 6.19 N m   M  www.elsolucionario.org
  • 268.
    Copyright © McGraw-HillEducation. Permission required for reproduction or display. PROBLEM 3.72 Four 1 1 2 -in.-diameter pegs are attached to a board as shown. Two strings are passed around the pegs and pulled with the forces indicated. (a) Determine the resultant couple acting on the board. (b) If only one string is used, around which pegs should it pass and in what directions should it be pulled to create the same couple with the minimum tension in the string? (c) What is the value of that minimum tension? SOLUTION (a) (60 lb)(10.5 in.) (40 lb)(13.5 in.) 630 lb in. 540 lb in. M       1170 lb in. M    (b) With only one string, pegs A and D, or B and C should be used. We have 9 tan 36.9 90 53.1 12           Direction of forces: With pegs A and D: 53.1     With pegs B and C: 53.1     (c) The distance between the centers of the two pegs is 2 2 12 9 15 in.   Therefore, the perpendicular distance d between the forces is 3 15 in. 2 in. 4 16.5 in. d          We must have 1170 lb in. (16.5 in.) M Fd F    70.9 lb F   www.elsolucionario.org
  • 269.
    Copyright © McGraw-HillEducation. Permission required for reproduction or display. PROBLEM 3.73 Four pegs of the same diameter are attached to a board as shown. Two strings are passed around the pegs and pulled with the forces indicated. Determine the diameter of the pegs knowing that the resultant couple applied to the board is 1132.5 lb·in. counterclockwise. SOLUTION 1132.5 lb in. [(9 ) in.](60 lb) [(12 ) in.](40 lb) AD AD BC BC M d F d F d d        1.125 in. d   www.elsolucionario.org
  • 270.
    Copyright © McGraw-HillEducation. Permission required for reproduction or display. PROBLEM 3.74 A piece of plywood in which several holes are being drilled successively has been secured to a workbench by means of two nails. Knowing that the drill exerts a 12-N·m couple on the piece of plywood, determine the magnitude of the resulting forces applied to the nails if they are located (a) at A and B, (b) at B and C, (c) at A and C. SOLUTION (a) 12 N m (0.45 m) M Fd F    26.7 N F   (b) 12 N m (0.24 m) M Fd F    50.0 N F   (c) 2 2 (0.45 m) (0.24 m) 0.510 m M Fd d     12 N m (0.510 m) F   23.5 N F   www.elsolucionario.org
  • 271.
    Copyright © McGraw-HillEducation. Permission required for reproduction or display. PROBLEM 3.75 The two shafts of a speed-reducer unit are subjected to couples of magnitude M1  15 lb·ft and M2  3 lb·ft, respectively. Replace the two couples with a single equivalent couple, specifying its magnitude and the direction of its axis. SOLUTION 1 (15 lb ft) M   k 2 (3 lb ft) M   i 2 2 1 2 2 2 (15) (3) 15.30 lb ft M M M       15 tan 5 3 x    78.7 x    90 y    90 78.7 11.30 z        15.30 lb ft; 78.7 , 90.0 , 11.30 x y z M             www.elsolucionario.org
  • 272.
    Copyright © McGraw-HillEducation. Permission required for reproduction or display. PROBLEM 3.76 If 0, P  replace the two remaining couples with a single equivalent couple, specifying its magnitude and the direction of its axis. SOLUTION 1 2 1 2 1 / 2 / 2 2 2 2 2 ; 16 lb, 40 lb (30 in.) [ (16 lb) ] (480 lb in.) ; (15 in.) (5 in.) (0) (5) (10) 5 5 in. 40 lb (5 10 ) 5 5 8 5[(1 lb) (2 lb) ] 8 5 15 5 0 0 1 2 8 5[(10 lb in.) C E B E B DE F F d F                              1 2 M M M M r F i j k M r F r i j j k j k i j k M i (30 lb in.) (15 lb in.) ] (480 lb in.) 8 5[(10 lb in.) (30 lb in.) (15 lb in.) ] (178.885 lb in.) (536.66 lb in.) (211.67 lb in.)                    j k M k i j k i j k 2 2 2 (178.885) (536.66) ( 211.67) 603.99 lb in M       604 lb in. M    axis z 0.29617 0.88852 0.35045 cos 0.29617 cos 0.88852 cos 0.35045 x y M            M i j k  z 72.8 27.3 110.5 x y           www.elsolucionario.org
  • 273.
    Copyright © McGraw-HillEducation. Permission required for reproduction or display. PROBLEM 3.77 If 20 lb, P  replace the three couples with a single equivalent couple, specifying its magnitude and the direction of its axis. SOLUTION From the solution to Problem. 3.78: 16-lb force: 1 (480 lb in.) M    k 40-lb force: 2 8 5[(10 lb in.) (30 lb in.) (15 lb in.) ] M       i j k P 20 lb  3 (30 in.) (20 lb) (600 lb in.) C M P       r i k j 1 2 3 2 2 2 (480) 8 5 (10 30 15 ) 600 (178.885 lb in.) (1136.66 lb in.) (211.67 lb in.) (178.885) (113.66) (211.67) 1169.96 lb in. M                     M M M M k i j k j i j k 1170 lb in. M    axis 0.152898 0.97154 0.180921 cos 0.152898 cos 0.97154 cos 0.180921 x y z M            M i j k  81.2 13.70 100.4 x y z           www.elsolucionario.org
  • 274.
    Copyright © McGraw-HillEducation. Permission required for reproduction or display. PROBLEM 3.78 Replace the two couples shown with a single equivalent couple, specifying its magnitude and the direction of its axis. SOLUTION Replace the couple in the ABCD plane with two couples P and Q shown: 160 mm (50 N) (50 N) 40 N 200 mm CD P CG          120 mm (50 N) (50 N) 30 N 200 mm CF Q CG          Couple vector M1 perpendicular to plane ABCD: 1 (40 N)(0.24 m) (30 N)(0.16 m) 4.80 N m M     Couple vector M2 in the xy plane: 2 (12.5 N)(0.192 m) 2.40 N m M      144 mm tan 36.870 192 mm      1 (4.80 cos36.870 ) (4.80 sin36.870 ) 3.84 2.88       M j k j k 2 2.40   M j 1 2 1.44 2.88     M M M j k 3.22 N m; 90.0 , 53.1 , 36.9 x y z            M  www.elsolucionario.org
  • 275.
    Copyright © McGraw-HillEducation. Permission required for reproduction or display. PROBLEM 3.79 Solve Prob. 3.78, assuming that two 10-N vertical forces have been added, one acting upward at C and the other downward at B. PROBLEM 3.78 Replace the two couples shown with a single equivalent couple, specifying its magnitude and the direction of its axis. SOLUTION Replace the couple in the ABCD plane with two couples P and Q shown. 160 mm (50 N) (50 N) 40 N 200 mm CD P CG          120 mm (50 N) (50 N) 30 N 200 mm CF Q CG          Couple vector M1 perpendicular to plane ABCD. 1 (40 N)(0.24 m) (30 N)(0.16 m) 4.80 N m M     144 mm tan 36.870 192 mm      1 (4.80cos36.870 ) (4.80sin36.870 ) 3.84 2.88       M j k j k 2 (12.5 N)(0.192 m) 2.40 N m 2.40 M        j 3 / 3 / ; (0.16 m) (0.144 m) (0.192 m) (0.16 m) (0.144 m) (0.192 m) ( 10 N) 1.92 1.6 B C B C M              M r r i j k i j k j i k www.elsolucionario.org
  • 276.
    Copyright © McGraw-HillEducation. Permission required for reproduction or display. PROBLEM 3.79 (Continued) 1 2 3 (3.84 2.88 ) 2.40 ( 1.92 1.6 ) (1.92 N m) (1.44 N m) (1.28 N m) M M M M                 j k j i k i j k 2 2 2 ( 1.92) (1.44) (1.28) 2.72 N m M       2.72 N m M    cos 1.92/2.72 cos 1.44/2.72 cos 1.28/2.72 x y z        134.9 58.0 61.9 x y z           www.elsolucionario.org
  • 277.
    Copyright © McGraw-HillEducation. Permission required for reproduction or display. PROBLEM 3.80 Shafts A and B connect the gear box to the wheel assemblies of a tractor, and shaft C connects it to the engine. Shafts A and B lie in the vertical yz plane, while shaft C is directed along the x axis. Replace the couples applied to the shafts by a single equivalent couple, specifying its magnitude and the direction of its axis. SOLUTION 1200sin 20 1200cos20 410.42 1127.63 900sin 20 900cos20 307.82 845.72 840 The single equivalent couple is the sum of the three moments (840 lb ft) (102.60 lb ft) (1973.35 lb ft A B C                    M j k j k M j k j k M i M i j     )k 2 2 2 ( 840) ( 102.60) (1973.35) 2147.3 lb ft M        2150 lb ft M    axis z 0.39119 0.047921 0.91899 cos 0.39119 cos 0.047921 cos 0.91899 x y M              M i j k  z 113.0 92.7 23.2 x y           www.elsolucionario.org
  • 278.
    Copyright © McGraw-HillEducation. Permission required for reproduction or display. PROBLEM 3.81 A 500-N force is applied to a bent plate as shown. Determine (a) an equivalent force-couple system at B, (b) an equivalent system formed by a vertical force at A and a force at B. SOLUTION (a) Force-couple system at B (500 N)sin30 (500 N)cos30 (250.0 N) (433.01 N)     F i k F i k   (0.3 0.175 ) (250 433.01 ) 86.153 N m B        M i j i j k The equivalent force-couple system at B is 500 N B  F 60.0 86.2 N m B   M  (b) Require Equivalence requires 86.153 N m (0.125 m); (689.22 N) or ; (250 N) (433.01 N) (689.22 N) B B M M            A A j F A + B B F - A B i j j (250 N) (1122.23 N) 1149.74 N    B i j 77.4 1150 N  B 77.4  689 N   A  www.elsolucionario.org
  • 279.
    Copyright © McGraw-HillEducation. Permission required for reproduction or display. PROBLEM 3.82 The tension in the cable attached to the end C of an adjustable boom ABC is 560 lb. Replace the force exerted by the cable at C with an equivalent force-couple system (a) at A, (b) at B. SOLUTION (a) Based on : 560 lb A F F T    or 560 lb A  F 20.0°  : ( sin 50 )( ) A A A M M T d    (560 lb)sin50 (18 ft) 7721.7 lb ft     or 7720 lb ft A   M  (b) Based on : 560 lb B F F T    or 560 lb B  F 20.0°  : ( sin 50 )( ) B B B M M T d    (560 lb)sin50°(10 ft) 4289.8 lb ft    or 4290 lb ft B   M  www.elsolucionario.org
  • 280.
    Copyright © McGraw-HillEducation. Permission required for reproduction or display. PROBLEM 3.83 A dirigible is tethered by a cable attached to its cabin at B. If the tension in the cable is 1040 N, replace the force exerted by the cable at B with an equivalent system formed by two parallel forces applied at A and C. SOLUTION Require the equivalent forces acting at A and C be parallel and at an angle of  with the vertical. Then for equivalence, : (1040 N)sin 30 sin sin x A B F F F       (1) : (1040 N)cos30 cos cos y A B F F F         (2) Dividing Equation (1) by Equation (2), ( )sin (1040 N)sin30 (1040 N)cos30 ( )cos A B A B F F F F          Simplifying yields 30 .    Based on : [(1040 N)cos30 ](4 m) ( cos30 )(10.7 m) C A M F     388.79 N A F  or 389 N A  F 60.0°  Based on : [(1040 N)cos30 ](6.7 m) ( cos30 )(10.7 m) A C M F      651.21 N C F  or 651 N C  F 60.0°  www.elsolucionario.org
  • 281.
    Copyright © McGraw-HillEducation. Permission required for reproduction or display. PROBLEM 3.84 A 30-lb vertical force P is applied at A to the bracket shown, which is held by screws at B and C. (a) Replace P with an equivalent force-couple system at B. (b) Find the two horizontal forces at B and C that are equivalent to the couple obtained in part a. SOLUTION (a) (30 lb)(5 in.) 150.0 lb in. B M    30.0 lb  F , 150.0 lb in. B   M  (b) 150 lb in. 50.0 lb 3.0 in. B C     50.0 lb  B ; 50.0 lb  C  www.elsolucionario.org
  • 282.
    Copyright © McGraw-HillEducation. Permission required for reproduction or display. PROBLEM 3.85 A worker tries to move a rock by applying a 360-N force to a steel bar as shown. (a) Replace that force with an equivalent force-couple system at D. (b) Two workers attempt to move the same rock by applying a vertical force at A and another force at D. Determine these two forces if they are to be equivalent to the single force of Part a. SOLUTION (a) We have : 360 N( sin 40° cos40 ) (231.40 N) (275.78 N)         F i j i j F or 360 N  F 50°  We have / : D B D    M r R M where / [(0.65 m)cos30 ] [(0.65 m)sin30 ] (0.56292 m) (0.32500 m) 0.56292 0.32500 0 N m 231.40 275.78 0 [155.240 75.206)N m] B D                 r i j i j i j k M k (230.45 N m)   k or 230 N m   M  (b) We have / : D A D A    M M r F where / [(1.05 m)cos30 ] [(1.05 m)sin30 ] (0.90933 m) (0.52500 m) 0.90933 0.52500 0 N m 0 1 0 [230.45 N m] B D A F               r i j i j i j k k (a) (b) www.elsolucionario.org
  • 283.
    Copyright © McGraw-HillEducation. Permission required for reproduction or display. PROBLEM 3.85 (Continued) or (0.90933 ) 230.45 A F  k k 253.42 N A F  or 253 N A  F  We have : A D    F F F F (231.40 N) (275.78 N) (253.42 N) ( cos sin ) D F          i j j i j From : 231.40 N cos D F   i (1) : j 22.36 N sin D F   (2) Equation (2) divided by Equation (1) tan 0.096629 5.5193 or 5.52         Substitution into Equation (1) 231.40 232.48 N cos5.5193 D F    or 232 N D  F 5.52°  www.elsolucionario.org
  • 284.
    Copyright © McGraw-HillEducation. Permission required for reproduction or display. PROBLEM 3.86 A worker tries to move a rock by applying a 360-N force to a steel bar as shown. If two workers attempt to move the same rock by applying a force at A and a parallel force at C, determine these two forces so that they will be equivalent to the single 360-N force shown in the figure. SOLUTION : -360sin40 = sin sin (1) X A C F F F       : -360cos40 cos F cos (2) Y A C F F       Dividing (1) by (2) yields 40    and then 360 N (3) A C F F   : 0 (0.4 m) cos10 (0.35 m) cos10 7 (4) 8 Substituting into (3) .... 7 360 8 B A C A C C C F F F F F F       M   Finally 168.0 N A  F 50.0°; 192.0 N C  F 50.0°;  www.elsolucionario.org
  • 285.
    Copyright © McGraw-HillEducation. Permission required for reproduction or display. PROBLEM 3.87 The shearing forces exerted on the cross section of a steel channel can be represented by a 900-N vertical force and two 250-N horizontal forces as shown. Replace this force and couple with a single force F applied at Point C, and determine the distance x from C to line BD. (Point C is defined as the shear center of the section.) SOLUTION Replace the 250-N forces with a couple and move the 900-N force to Point C such that its moment about H is equal to the moment of the couple (0.18)(250 N) 45 N m H M    Then (900 N) H M x  or 45 N m (900 N) 0.05 m x x    900 N  F 50.0 mm x   www.elsolucionario.org
  • 286.
    Copyright © McGraw-HillEducation. Permission required for reproduction or display. PROBLEM 3.88 A force and a couple are applied as shown to the end of a cantilever beam. (a) Replace this system with a single force F applied at Point C, and determine the distance d from C to a line drawn through Points D and E. (b) Solve part a if the directions of the two 360-N forces are reversed. SOLUTION (a) We have : (360 N) (360 N) (600 N)     F F j j k or (600 N)   F k  and : (360 N)(0.15 m) (600 N)( ) D M d   0.09 m d  or 90.0 mm below d ED   (b) We have from part a: (600 N)   F k  and : (360 N)(0.15 m) (600 N)( ) D M d     0.09 m d  or 90.0 mm above d ED   www.elsolucionario.org
  • 287.
    Copyright © McGraw-HillEducation. Permission required for reproduction or display. PROBLEM 3.89 Three control rods attached to a lever ABC exert on it the forces shown. (a) Replace the three forces with an equivalent force-couple system at B. (b) Determine the single force that is equivalent to the force-couple system obtained in Part a, and specify its point of application on the lever. SOLUTION (a) First note that the two 20-lb forces form A couple. Then 48 lb  F  where 180 (60 55 ) 65          and (30 in.)(48 lb)cos55 (70 in.)(20 lb)cos20 489.62 lb in B M M          The equivalent force-couple system at B is 48.0 lb  F 65.0°; 490 lb in.   M  (b) The single equivalent force  F is equal to F. Further, since the sense of M is clockwise,  F must be applied between A and B. For equivalence. : cos 55 B M M aF     where a is the distance from B to the point of application of F. Then 489.62 lb in. (48.0 lb)cos 55 a      or 17.78 in. a  48.0 lb   F 65.0°  and is applied to the lever 17.78 in. to the left of pin B  www.elsolucionario.org
  • 288.
    Copyright © McGraw-HillEducation. Permission required for reproduction or display. PROBLEM 3.90 A rectangular plate is acted upon by the force and couple shown. This system is to be replaced with a single equivalent force. (a) For   40, specify the magnitude and the line of action of the equivalent force. (b) Specify the value of  if the line of action of the equivalent force is to intersect line CD 300 mm to the right of D. SOLUTION (a) The given force-couple system (F, M) at B is 48 N  F and (0.4 m)(15 N)cos 40 (0.24 m)(15 N)sin 40 B M M       or 6.9103 N m   M The single equivalent force F is equal to F. Further for equivalence : B M M dF   or 6.9103 N m 48 N d    or 0.14396 m d  48.0 N F   and the line of action of F intersects line AB 144.0 mm to the right of A.  (b) Following the solution to Part a but with 0.1 m d  and  unknown, have : (0.4 m)(15 N)cos (0.24 m)(15 N)sin B M     (0.1 m)(48 N)  or 5cos 3sin 4     Rearranging and squaring 2 2 25 cos (4 3 sin )     Using 2 2 cos 1 sin     and expanding 2 2 25(1 sin ) 16 24 sin 9 sin        or 2 34 sin 24 sin 9 0      Then 2 24 ( 24) 4(34)( 9) sin 2(34) sin 0.97686 or sin 0.27098            77.7 or 15.72         www.elsolucionario.org
  • 289.
    Copyright © McGraw-HillEducation. Permission required for reproduction or display. PROBLEM 3.91 While tapping a hole, a machinist applies the horizontal forces shown to the handle of the tap wrench. Show that these forces are equivalent to a single force, and specify, if possible, the point of application of the single force on the handle. SOLUTION Since the forces at A and B are parallel, the force at B can be replaced with the sum of two forces with one of the forces equal in magnitude to the force at A except with an opposite sense, resulting in a force- couple. We have 2.9 lb 2.65 lb 0.25 lb, B F    where the 2.65-lb force is part of the couple. Combining the two parallel forces, couple (2.65 lb)[(3.2 in. 2.8 in.)cos25 ] 14.4103 lb in. M      and couple 14.4103 lb in.   M A single equivalent force will be located in the negative z direction. Based on : 14.4103 lb in. [(0.25 lb)cos 25 ]( ) B M a      63.600 in. a  F (0.25 lb)(cos 25 sin 25 )     i k F (0.227 lb) (0.1057 lb)   i k and is applied on an extension of handle BD at a distance of 63.6 in. to the right of B.  www.elsolucionario.org
  • 290.
    Copyright © McGraw-HillEducation. Permission required for reproduction or display. PROBLEM 3.92 A hexagonal plate is acted upon by the force P and the couple shown. Determine the magnitude and the direction of the smallest force P for which this system can be replaced with a single force at E. SOLUTION From the statement of the problem, it follows that 0 E M   for the given force-couple system. Further, for Pmin, we must require that P be perpendicular to / . B E r Then min : (0.2 sin 30 0.2)m 300 N (0.2 m)sin 30 300 N (0.4 m) 0 E M P         or min 300 N P  min 300 N  P 30.0°  www.elsolucionario.org
  • 291.
    Copyright © McGraw-HillEducation. Permission required for reproduction or display. PROBLEM 3.93 An eccentric, compressive 250-kN force P is applied to the end of a column. Replace P with an equivalent force-couple system at G. SOLUTION Have   : 250 kN    F j F or   250 kN   F j  Also have : G P    M r P M 0.030 0 0.060 kN m = 0 250 0    i j k M     15 kN m 7.5 kN m      M i k or     15.00 kN m 7.50 kN m     M i k  www.elsolucionario.org
  • 292.
    Copyright © McGraw-HillEducation. Permission required for reproduction or display. PROBLEM 3.94 A 2.6-kip force is applied at Point D of the cast iron post shown. Replace that force with an equivalent force-couple system at the center A of the base section. SOLUTION (12 in.) (5 in.) ; 13.00 in. DE DE     j k  (2.6 kips) DE DE  F  12 5 (2.6 kips) 13    j k F (2.40 kips) (1.000 kip)    F j k  / A D A   M r F where / (6 in.) (12 in.) D A   r i j 6 in. 12 in. 0 0 2.4 kips 1.0 kips A    i j k M (12.00 kip in.) (6.00 kip in.) (14.40 kip in.) A        M i j k  www.elsolucionario.org
  • 293.
    Copyright © McGraw-HillEducation. Permission required for reproduction or display. PROBLEM 3.95 Replace the 150-N force with an equivalent force-couple system at A. SOLUTION Equivalence requires : (150 N)( cos 35 sin 35 ) (122.873 N) (86.036 N)          F F j k j k / : A D A    M M r F where / (0.18 m) (0.12 m) (0.1 m) D A    r i j k Then 0.18 0.12 0.1 N m 0 122.873 86.036 [( 0.12)( 86.036) (0.1)( 122.873)] [ (0.18)( 86.036)] [(0.18)( 122.873)] (22.6 N m) (15.49 N m) (22.1 N m)                      i j k M i j k i j k The equivalent force-couple system at A is (122.9 N) (86.0 N)    F j k  (22.6 N m) (15.49 N m) (22.1 N m)       M i j k  www.elsolucionario.org
  • 294.
    Copyright © McGraw-HillEducation. Permission required for reproduction or display. PROBLEM 3.96 To keep a door closed, a wooden stick is wedged between the floor and the doorknob. The stick exerts at B a 175-N force directed along line AB. Replace that force with an equivalent force-couple system at C. SOLUTION We have : AB C   F P F where (33 mm) (990 mm) (594 mm) (175 N) 1155.00 mm AB AB AB P     P λ i j k or (5.00 N) (150.0 N) (90.0 N) C    F i j k  We have / : C B C AB C    M r P M 5 0.683 0.860 0 N m 1 30 18 (5){( 0.860)( 18) (0.683)( 18) [(0.683)(30) (0.860)(1)] } C            i j k M i j k or (77.4 N m) (61.5 N m) (106.8 N m) C       M i j k  www.elsolucionario.org
  • 295.
    Copyright © McGraw-HillEducation. Permission required for reproduction or display. PROBLEM 3.97 A 46-lb force F and a 2120-lbin. couple M are applied to corner A of the block shown. Replace the given force-couple system with an equivalent force-couple system at corner H. SOLUTION We have 2 2 2 (18) ( 14) ( 3) 23 in. AJ d       Then 46 lb (18 14 3 ) 23 (36 lb) (28 lb) (6 lb)       F i j k i j k Also 2 2 2 ( 45) (0) ( 28) 53 in. AC d       Then 2120 lb in. ( 45 28 ) 53 (1800 lb in.) (1120 lb in.)          M i k i k Now / A H     M M r F where / (45 in.) (14 in.) A H   r i j Then ( 1800 1120 ) 45 14 0 36 28 6        i j k M i k ( 1800 1120 ) {[(14)( 6)] [ (45)( 6)] [(45)( 28) (14)(36)] } ( 1800 84) (270) ( 1120 1764) (1884 lb in.) (270 lb in.) (2884 lb in.) (157 lb ft) (22.5 lb ft) (240 lb ft)                                 i k i j k i j k i j k i j k The equivalent force-couple system at H is (36.0 lb) (28.0 lb) (6.00 lb)     F i j k  (157.0 lb ft) (22.5 lb ft) (240 lb ft)         M i j k  www.elsolucionario.org
  • 296.
    Copyright © McGraw-HillEducation. Permission required for reproduction or display. PROBLEM 3.98 A 110-N force acting in a vertical plane parallel to the yz- plane is applied to the 220-mm-long horizontal handle AB of a socket wrench. Replace the force with an equivalent force-couple system at the origin O of the coordinate system. SOLUTION We have : B   F P F where 110 N[ (sin15 ) (cos15 ) ] (28.470 N) (106.252 N) B         P j k j k or (28.5 N) (106.3 N)    F j k  We have / : O B O B O M    r P M where / [(0.22cos35 ) (0.15) (0.22sin35 ) ] m (0.180213 m) (0.15 m) (0.126187 m) B O         r i j k i j k 0.180213 0.15 0.126187 N m 0 28.5 106.3 O    i j k M [(12.3487) (19.1566) (5.1361) ] N m O     M i j k or (12.35 N m) (19.16 N m) (5.13 N m) O       M i j k  www.elsolucionario.org
  • 297.
    Copyright © McGraw-HillEducation. Permission required for reproduction or display. PROBLEM 3.99 An antenna is guyed by three cables as shown. Knowing that the tension in cable AB is 288 lb, replace the force exerted at A by cable AB with an equivalent force-couple system at the center O of the base of the antenna. SOLUTION We have 2 2 2 ( 64) ( 128) (16) 144 ft AB d       Then 288 lb ( 64 128 16 ) 144 (32 lb)( 4 8 ) AB         T i j k i j k Now / 128 32( 4 8 ) (4096 lb ft) (16,384 lb ft) O A O AB             M M r T j i j k i k The equivalent force-couple system at O is (128.0 lb) (256 lb) (32.0 lb)     F i j k  (4.10 kip ft) (16.38 kip ft)     M i k  www.elsolucionario.org
  • 298.
    Copyright © McGraw-HillEducation. Permission required for reproduction or display. PROBLEM 3.100 An antenna is guyed by three cables as shown. Knowing that the tension in cable AD is 270 lb, replace the force exerted at A by cable AD with an equivalent force-couple system at the center O of the base of the antenna. SOLUTION We have 2 2 2 ( 64) ( 128) ( 128) 192 ft AD d        Then 270 lb ( 64 128 128 ) 192 (90 lb)( 2 2 ) AD         T i j k i j k Now / 128 90( 2 2 ) (23,040 lb ft) (11,520 lb ft) O A O AD              M M r T j i j k i k The equivalent force-couple system at O is (90.0 lb) (180.0 lb) (180.0 lb)     F i j k  (23.0 kip ft) (11.52 kip ft)      M i k  www.elsolucionario.org
  • 299.
    Copyright © McGraw-HillEducation. Permission required for reproduction or display. PROBLEM 3.101 A 3-m-long beam is subjected to a variety of loadings. (a) Replace each loading with an equivalent force- couple system at end A of the beam. (b) Which of the loadings are equivalent? SOLUTION (a) (a) We have : 300 N 200 N Y a F R     or 500 N a  R  and : 400 N m (200 N)(3 m) A a M M      or 1000 N m a   M  (b) We have : 200 N 300 N Y b F R    or 500 N b  R  and : 400 N m (300 N)(3 m) A b M M      or 500 N m b   M  (c) We have : 200 N 300 N Y c F R     or 500 N c  R  and : 400 N m (300 N)(3 m) A c M M     or 500 N m c   M  www.elsolucionario.org
  • 300.
    Copyright © McGraw-HillEducation. Permission required for reproduction or display. PROBLEM 3.101 (Continued) (d) We have : 500 N Y d F R    or 500 N d  R  and : 400 N m (500 N)(3 m) A d M M     or 1100 N m d   M  (e) We have : 300 N 800 N Y e F R    or 500 N e  R  and : 400 N m 1000 N m (800 N)(3 m) A e M M       or 1000 N m e   M  (f ) We have : 300 N 200 N Y f F R     or 500 N f  R  and : 400 N m (200 N)(3 m) A f M M     or 200 N m f   M  (g) We have : 800 N 300 N Y g F R     or 500 N g  R  and : 1000 N m 400 N m (300 N)(3 m) A g M M       or 2300 N m g   M  (h) We have : 250 N 250 N Y h F R     or 500 N h  R  and : 1000 N m 400 N m (250 N)(3 m) A h M M       or 650 N m h   M  (b) Therefore, loadings (a) and (e) are equivalent. www.elsolucionario.org
  • 301.
    Copyright © McGraw-HillEducation. Permission required for reproduction or display. PROBLEM 3.102 A 3-m-long beam is loaded as shown. Determine the loading of Prob. 3.101 that is equivalent to this loading. SOLUTION We have : 200 N 300 N Y F R     or 500 N  R and : 500 N m 200 N m (300 N)(3 m) A M M       or 200 N m   M Problem 3.101 equivalent force-couples at A: Case R  M   (a) 500 N 1000 Nm (b) 500 N 500 Nm (c) 500 N 500 Nm (d) 500 N 1100 Nm (e) 500 N 1000 Nm (f ) 500 N 200 Nm (g) 500 N 2300 Nm (h) 500 N 650 Nm Equivalent to case (f ) of Problem 3.101  www.elsolucionario.org
  • 302.
    Copyright © McGraw-HillEducation. Permission required for reproduction or display. PROBLEM 3.103 Determine the single equivalent force and the distance from Point A to its line of action for the beam and loading of (a) Prob. 3.101a, (b) Prob. 3.101b, (c) Prob. 3.102. SOLUTION For equivalent single force at distance d from A: (a) We have : 300 N 200 N Y F R     or 500 N  R  and : 400 N m (300 N)( ) (200 N)(3 ) 0 C M d d        or 2.00 m d   (b) We have : 200 N 300 N Y F R    or 500 N  R  and : 400 N m (200 N)( ) (300 N)(3 ) 0 C M d d        or 1.000 m d   (c) We have : 200 N 300 N Y F R     or 500 N  R  and : 500 N m 200 N m (200 N)( ) (300 N)(3 ) 0 C M d d         or 0.400 m d   www.elsolucionario.org
  • 303.
    Copyright © McGraw-HillEducation. Permission required for reproduction or display. PROBLEM 3.104 Five separate force-couple systems act at the corners of a piece of sheet metal, which has been bent into the shape shown. Determine which of these systems is equivalent to a force F  (10 lb)i and a couple of moment M  (15 lb  ft)j  (15 lb  ft)k located at the origin. SOLUTION First note that the force-couple system at F cannot be equivalent because of the direction of the force [The force of the other four systems is (10 lb)i]. Next, move each of the systems to the origin O; the forces remain unchanged. : (5 lb ft) (15 lb ft) (2 ft) (10 lb) A O A         M M j k k i (25 lb ft) (15 lb ft)     j k : (5 lb ft) (25 lb ft) [(4.5 ft) (1 ft) (2 ft) ] 10 lb) (15 lb ft) (15 lb ft) D O D                M M j k i j k i i k : (15 lb ft) (15 lb ft) : (15 lb ft) (5 lb ft) [(4.5 ft) (1 ft) ] (10 lb) G O I I G I                M M i j M M j k i j j (15 lb ft) (15 lb ft)     j k The equivalent force-couple system is the system at corner D.  www.elsolucionario.org
  • 304.
    Copyright © McGraw-HillEducation. Permission required for reproduction or display. PROBLEM 3.105 The weights of two children sitting at ends A and B of a seesaw are 84 lb and 64 lb, respectively. Where should a third child sit so that the resultant of the weights of the three children will pass through C if she weighs (a) 60 lb, (b) 52 lb. SOLUTION (a) For the resultant weight to act at C, 0 60 lb C C M W    Then (84 lb)(6 ft) 60 lb( ) 64 lb(6 ft) 0 d    2.00 ft to the right of d C   (b) For the resultant weight to act at C, 0 52 lb C C M W    Then (84 lb)(6 ft) 52 lb( ) 64 lb(6 ft) 0 d    2.31 ft to the right of d C   www.elsolucionario.org
  • 305.
    Copyright © McGraw-HillEducation. Permission required for reproduction or display. PROBLEM 3.106 Three stage lights are mounted on a pipe as shown. The lights at A and B each weigh 4.1 lb, while the one at C weighs 3.5 lb. (a) If d  25 in., determine the distance from D to the line of action of the resultant of the weights of the three lights. (b) Determine the value of d so that the resultant of the weights passes through the midpoint of the pipe. SOLUTION For equivalence : 4.1 4.1 3.5 or 11.7 lb y F R        R : (10 in.)(4.1 lb) (44 in.)(4.1 lb) [(4.4 )in.](3.5 lb) ( in.)(11.7 lb) D F d L        or 375.4 3.5 11.7 ( , in in.) d L d L   (a) 25 in. d  We have 375.4 3.5(25) 11.7 or 39.6 in. L L    The resultant passes through a Point 39.6 in. to the right of D.  (b) 42 in. L  We have 375.4 3.5 11.7(42) d   or 33.1 in. d   www.elsolucionario.org
  • 306.
    Copyright © McGraw-HillEducation. Permission required for reproduction or display. PROBLEM 3.107 A beam supports three loads of given magnitude and a fourth load whose magnitude is a function of position. If b  1.5 m and the loads are to be replaced with a single equivalent force, determine (a) the value of a so that the distance from support A to the line of action of the equivalent force is maximum, (b) the magnitude of the equivalent force and its point of application on the beam. SOLUTION For equivalence, : 1300 400 400 600 y a F R b        or 2300 400 N a R b         (1) : 400 (400) ( )(600) 2 A a a M a a b LR b             or 2 1000 600 200 2300 400 a a b b L a b     Then with 2 4 10 9 3 1.5 m 8 23 3 a a b L a      (2) where a, L are in m. (a) Find value of a to maximize L. 2 2 8 8 4 8 10 23 10 9 3 3 3 3 8 23 3 a a a a dL da a                                 www.elsolucionario.org
  • 307.
    Copyright © McGraw-HillEducation. Permission required for reproduction or display. PROBLEM 3.107 (Continued) or 2 2 184 80 64 80 32 230 24 0 3 3 9 3 9 a a a a a        or 2 16 276 1143 0 a a    Then 2 276 ( 276) 4(16)(1143) 2(16) a     or 10.3435 m and 6.9065 m a a   Since 9 m, AB  a must be less than 9 m 6.91 m a   (b) Using Eq. (1), 6.9065 2300 400 1.5 R   or 458 N R   and using Eq. (2), 2 4 10(6.9065) 9 (6.9065) 3 3.16 m 8 23 (6.9065) 3 L      R is applied 3.16 m to the right of A.  www.elsolucionario.org
  • 308.
    Copyright © McGraw-HillEducation. Permission required for reproduction or display. PROBLEM 3.108 A 6 × 12-in. plate is subjected to four loads as shown. Find the resultant of the four loads and the two points at which the line of action of the resultant intersects the edge of the plate. SOLUTION We have For equivalence, (40 lb) (20 lb)    R i j 44.721 lb  R 44.7 lb  R 26.6°  / = (6 in.) (50 lb)(cos45 sin 45 ) = (212.13 lb in.) C B C M        r B i i j k   Intersection with edge AC ( ) (20) 212.13 (20 ) 10.61 in. C M x x x        i j k k 10.61 in. to the left of C.  Intersection with edge CD ( ) ( 40 ) 213.13 (40 ) 5.30 in. C M y y y         j i k k 5.30 in. below . C  www.elsolucionario.org
  • 309.
    Copyright © McGraw-HillEducation. Permission required for reproduction or display. PROBLEM 3.109 A 32-lb motor is mounted on the floor. Find the resultant of the weight and the forces exerted on the belt, and determine where the line of action of the resultant intersects the floor. SOLUTION We have : (60 lb) (32 lb) (140 lb)(cos30 sin30 )        F i j i j R (181.244 lb) (38.0 lb)   R i j or 185.2 lb  R 11.84°  We have : O O y M M xR    [(140 lb)cos30 ][(4 2cos30 )in.] [(140 lb)sin30 ][(2 in.)sin30 ]        (60 lb)(2 in.) (38.0 lb) x   1 ( 694.97 70.0 120) in. 38.0 x     and 23.289 in. x   Or resultant intersects the base (x-axis) 23.3 in. to the left of the vertical centerline (y-axis) of the motor.  www.elsolucionario.org
  • 310.
    Copyright © McGraw-HillEducation. Permission required for reproduction or display. PROBLEM 3.110 To test the strength of a 625  500-mm suitcase, forces are applied as shown. If P = 88 N, (a) determine the resultant of the applied forces, (b) locate the two points where the line of action of the resultant intersects the edge of the suitcase. SOLUTION We have First replace the applied forces and couples with an equivalent force-couple system at B. (a )Thus, 45 : 100 (212) 180 53 x x F R     ; 100 N x R  28 : (212) 88 53 y y F R     ; 200 N y R   (100 N) (200 N)   R i j 224 N  R 63.4°  (b) 28 : (0.1 m)(100 N) (0.53 m) (212 N) 53 (0.08 m)(88 N) (0.28 m)(180 N) B B M M            26.0 N m B M   (1) The single equivalent force R must then act as indicated. Then with R at E: : 26.0 N m (200 N) B M x     130 mm x  2 or 260 mm 1 y y x   Therefore, the line of action of R intersects top AB 130.0 mm to the left of B and intersects side BC 260 mm below B.  www.elsolucionario.org
  • 311.
    Copyright © McGraw-HillEducation. Permission required for reproduction or display. PROBLEM 3.111 Solve Prob. 3.110, assuming that P = 138 N. Problem 3.110 To test the strength of a 625  500-mm suitcase, forces are applied as shown. If P = 88 N, (a) determine the resultant of the applied forces, (b) locate the two points where the line of action of the resultant intersects the edge of the suitcase. SOLUTION We have First replace the applied forces and couples with an equivalent force-couple system at B. (a) Thus, 45 : 100 (212) 180 53 x x F R     ; 100 N x R  28 : (212) 138 53 y y F R     ; 250 N y R   269 N  R 68.2°  (b) 28 : (0.1 m)(100 N) (0.53 m) (212 N) 53 (0.08 m)(138 N) (0.28 m)(180 N) B B M M            30.0 N m B M   The single equivalent force R must then act as indicated. Then with R at E: : 30 N m (250 N) B M x     120 mm x  5 or 300 mm 2 y y x   Therefore, the line of action of R intersects top AB 120 mm to the left of B and intersects side BC 300 mm below B.  www.elsolucionario.org
  • 312.
    Copyright © McGraw-HillEducation. Permission required for reproduction or display. PROBLEM 3.112 Pulleys A and B are mounted on bracket CDEF. The tension on each side of the two belts is as shown. Replace the four forces with a single equivalent force, and determine where its line of action intersects the bottom edge of the bracket. SOLUTION Equivalent force-couple at A due to belts on pulley A We have : 120 lb 160 lb A R     F 280 lb A  R We have : A M 40 lb(2 in.) A M   80 lb in. A   M Equivalent force-couple at B due to belts on pulley B We have : (210 lb 150 lb)   F 25 B   R 360 lb B  R 25° We have : 60 lb(1.5 in.) B B M    M 90 lb in. B   M Equivalent force-couple at F We have : ( 280 lb) (360 lb)(cos25 sin 25 ) F        F R j i j 2 2 2 2 1 1 (326.27 lb) (127.857 lb) (326.27) (127.857) 350.43 lb tan 127.857 tan 326.27 21.399 F Fx Fy Fy Fx R R R R R R                              i j or 350 lb F   R R 21.4°  PROBLEM 3.112 (Continued) www.elsolucionario.org
  • 313.
    Copyright © McGraw-HillEducation. Permission required for reproduction or display. We have : (280 lb)(6 in.) 80 lb in. F F M      M [(360 lb)cos25 ](1.0 in.) [(360 lb)sin 25 ](12 in.) 90 lb in.       (350.56 lb in.) F    M k To determine where a single resultant force will intersect line FE, 350.56 lb in. 127 857 lb 2.7418 in. F y F y M dR M d R         or 2.74 in. d   www.elsolucionario.org
  • 314.
    Copyright © McGraw-HillEducation. Permission required for reproduction or display. PROBLEM 3.113 A truss supports the loading shown. Determine the equivalent force acting on the truss and the point of intersection of its line of action with a line drawn through Points A and G. SOLUTION We have (240 lb)(cos70 sin 70 ) (160 lb) (300 lb)( cos40 sin 40 ) (180 lb)              R F R i j j i j j 2 2 2 2 1 1 (147.728 lb) (758.36 lb) (147.728) (758.36) 772.62 lb tan 758.36 tan 147.728 78.977 x y y x R R R R R                              R i j or 773 lb  R 79.0  We have A y M dR   where [240 lbcos70 ](6 ft) [240 lbsin 70 ](4 ft) (160 lb)(12 ft) [300 lbcos40 ](6 ft) [300 lbsin 40 ](20 ft) (180 lb)(8 ft) 7232.5 lb ft A M                7232.5 lb ft 758.36 lb 9.5370 ft d      or 9.54 ft to the right of d A   www.elsolucionario.org
  • 315.
    Copyright © McGraw-HillEducation. Permission required for reproduction or display. PROBLEM 3.114 A couple of magnitude M = 80 lb·in. and the three forces shown are applied to an angle bracket. (a) Find the resultant of this system of forces. (b) Locate the points where the line of action of the resultant intersects line AB and line BC. SOLUTION (a) We have : ( 10 ) (25 cos 60 ) (25 sin 60 ) ( 40 ) (27.50 lb) (11.6506 lb)             F R j i j i i j or 29.9 lb  R 23.0°  (b) First reduce the given forces and couple to an equivalent force-couple system ( , ) B R M at B. We have : (80 lb in) (12 in.)(10 lb) (8 in.)(40 lb) 120.0 lb in. B B M M         Then with R at D, : 120.0 lb in (11.6506 lb) B M a     or 10.30 in. a  and with R at E, : 120.0 lb in (27.5 lb) B M c     or 4.36 in. c  The line of action of R intersects line AB 10.30 in. to the left of B and intersects line BC 4.36 in. below B.  www.elsolucionario.org
  • 316.
    Copyright © McGraw-HillEducation. Permission required for reproduction or display. PROBLEM 3.115 A couple M and the three forces shown are applied to an angle bracket. Find the moment of the couple if the line of action of the resultant of the force system is to pass through (a) point A, (b) point B, (c) point C. SOLUTION In each case, we must have 1 0 R  M (a) (12 in.)[(25 lb)sin 60 ] (8 in.)(40 lb) 0 B A A M M M        60.192 lb in. M    60.2 lb in.   M  (b) (12 in.)(10 lb) (8 in.)(40 lb) 0 R B B M M M       200 lb in. M    200 lb in.   M  (c) (12 in.)(10 lb) (8 in.)[(25 lb)cos60 ] 0 R C C M M M        20.0 lb in. M    20.0 lb in.   M  www.elsolucionario.org
  • 317.
    Copyright © McGraw-HillEducation. Permission required for reproduction or display. PROBLEM 3.116 A machine component is subjected to the forces and couples shown. The component is to be held in place by a single rivet that can resist a force but not a couple. For P  0, determine the location of the rivet hole if it is to be located (a) on line FG, (b) on line GH. SOLUTION We have First replace the applied forces and couples with an equivalent force-couple system at G. Thus, : 200cos15 120cos 70 x x F P R       or (152.142 ) N x R P   : 200sin 15 120sin 70 80 y y F R        or 244.53 N y R   : (0.47 m)(200 N)cos15 (0.05 m)(200 N)sin15 (0.47 m)(120 N)cos70 (0.19 m)(120 N)sin 70 (0.13 m)( N) (0.59 m)(80 N) 42 N m 40 N m G G M P M                 or (55.544 0.13 ) N m G M P     (1) Setting 0 P  in Eq. (1): Now with R at I, : 55.544 N m (244.53 N) G M a      or 0.227 m a  and with R at J, : 55.544 N m (152.142 N) G M b      or 0.365 m b  (a) The rivet hole is 0.365 m above G.  (b) The rivet hole is 0.227 m to the right of G.  www.elsolucionario.org
  • 318.
    Copyright © McGraw-HillEducation. Permission required for reproduction or display. PROBLEM 3.117 Solve Problem 3.116, assuming that P  60 N. PROBLEM 3.116 A machine component is subjected to the forces and couples shown. The component is to be held in place by a single rivet that can resist a force but not a couple. For P  0, determine the location of the rivet hole if it is to be located (a) on line FG, (b) on line GH. SOLUTION See the solution to Problem 3.116 leading to the development of Equation (1): and (55.544 0.13 ) N m (152.142 ) N G x M P R P       For 60 N P  we have (152.142 60) 212.14 N [55.544 0.13(60)] 63.344 N m x G R M          Then with R at I, : 63.344 N m (244.53 N) G M a      or 0.259 m a  and with R at J, : 63.344 N m (212.14 N) G M b      or 0.299 m b  (a) The rivet hole is 0.299 m above G.  (b) The rivet hole is 0.259 m to the right of G.  www.elsolucionario.org
  • 319.
    Copyright © McGraw-HillEducation. Permission required for reproduction or display. PROBLEM 3.118 As follower AB rolls along the surface of member C, it exerts a constant force F perpendicular to the surface. (a) Replace F with an equivalent force-couple system at Point D obtained by drawing the perpendicular from the point of contact to the x-axis. (b) For a  1 m and b  2 m, determine the value of x for which the moment of the equivalent force- couple system at D is maximum. SOLUTION (a) The slope of any tangent to the surface of member C is 2 2 2 2 1 dy d x b b x dx dx a a                     Since the force F is perpendicular to the surface, 1 2 1 tan 2 dy a dx b x                  For equivalence, : F   F R : ( cos )( ) D A D M F y M    where 2 2 2 2 2 3 2 2 4 2 2 2 cos ( ) (2 ) 1 2 4 A D bx a bx x y b a x Fb x a M a b x                       Therefore, the equivalent force-couple system at D is F  R 2 1 tan 2 a bx           3 2 2 4 2 2 2 4 x Fb x a a b x          M  www.elsolucionario.org
  • 320.
    Copyright © McGraw-HillEducation. Permission required for reproduction or display. PROBLEM 3.118 (Continued) (b) To maximize M, the value of x must satisfy 0 dM dx  where for 1m, 2 m a b   3 2 2 2 3 2 1/2 2 8 ( ) 1 16 1 1 16 (1 3 ) ( ) (32 )(1 16 ) 2 8 0 (1 16 ) F x x M x x x x x x x dM F dx x                   2 2 3 (1 16 )(1 3 ) 16 ( ) 0 x x x x x      or 4 2 32 3 1 0 x x    2 2 2 3 9 4(32)( 1) 0.136011 m and 0.22976 m 2(32) x        Using the positive value of x2 : 0.36880 m x  or 0.369 m x   www.elsolucionario.org
  • 321.
    Copyright © McGraw-HillEducation. Permission required for reproduction or display. PROBLEM 3.119 A machine component is subjected to the forces shown, each of which is parallel to one of the coordinate axes. Replace these forces with an equivalent force-couple system at A. SOLUTION For equivalence : B C D A     F F F F R         240 N 125 N 300 N 150 N A      R j k i k       300 N 240 N 25.0 N A      R i j k  Also for equivalence / / / : B A B C A C D A D A         r F r F r F M  or 0 0.12 m 0 0.06 m 0.03 m 0.075 m 0.06 m 0.08 m 0.75 m 0 240 N 125 N 300 N 0 0 0 0 150 N A M         i j k i j k i j k           15 N m 22.5 N m 9 N m 12 N m 9 N m                        i j k i j or       3.00 N m 13.50 N m 9.00 N m A        M i j k  www.elsolucionario.org
  • 322.
    Copyright © McGraw-HillEducation. Permission required for reproduction or display. PROBLEM 3.120 Two 150-mm-diameter pulleys are mounted on line shaft AD. The belts at B and C lie in vertical planes parallel to the yz-plane. Replace the belt forces shown with an equivalent force-couple system at A. SOLUTION Equivalent force-couple at each pulley: Pulley B: (145 N)( cos20 sin 20 ) 215 N (351.26 N) (49.593 N) (215 N 145 N)(0.075 m) (5.25 N m) B B                R j k j j k M i i Pulley C: (155 N 240 N)( sin10 cos10 ) (68.591 N) (389.00 N) (240 N 155 N)(0.075 m) (6.3750 N m) C C              R j k j k M i i Then (419.85 N) (339.41) B C      R R R j k or (420 N) (339 N)   R j k  / / (5.25 N m) (6.3750 N m) 0.225 0 0 N m 0 351.26 49.593 + 0.45 0 0 N m 0 68.591 389.00 (1.12500 N m) (163.892 N m) (109.899 N m) A B C B A B C A C                        M M M r R r R i j k i i i j k i j k or (1.125 N m) (163.9 N m) (109.9 N m) A       M i j k  www.elsolucionario.org
  • 323.
    Copyright © McGraw-HillEducation. Permission required for reproduction or display. PROBLEM 3.121 As an adjustable brace BC is used to bring a wall into plumb, the force-couple system shown is exerted on the wall. Replace this force-couple system with an equivalent force-couple system at A if 21.2 lb R  and 13.25 lb · ft. M  SOLUTION We have : A BC     F R R R where (42 in.) (96 in.) (16 in.) 106 in. BC    i j k λ 21.2 lb (42 96 16 ) 106 A    R i j k or (8.40 lb) (19.20 lb) (3.20 lb) A    R i j k  We have / : A C A A     M r R M M where / 1 (42 in.) (48 in.) (42 48 )ft 12 (3.5 ft) (4.0 ft) C A       r i k i k i k (8.40 lb) (19.50 lb) (3.20 lb) 42 96 16 (13.25 lb ft) 106 (5.25 lb ft) (12 lb ft) (2 lb ft) BC M                   R i j k M i j k i j k Then 3.5 0 4.0 lb ft ( 5.25 12 2 ) lb ft 8.40 19.20 3.20 A          i j k i j k M (71.55 lb ft) (56.80 lb ft) (65.20 lb ft) A       M i j k or (71.6 lb ft) (56.8 lb ft) (65.2 lb ft) A       M i j k  www.elsolucionario.org
  • 324.
    Copyright © McGraw-HillEducation. Permission required for reproduction or display. PROBLEM 3.122 In order to unscrew the tapped faucet A, a plumber uses two pipe wrenches as shown. By exerting a 40-lb force on each wrench, at a distance of 10 in. from the axis of the pipe and in a direction perpendicular to the pipe and to the wrench, he prevents the pipe from rotating, and thus avoids loosening or further tightening the joint between the pipe and the tapped elbow C. Determine (a) the angle θ that the wrench at A should form with the vertical if elbow C is not to rotate about the vertical, (b) the force-couple system at C equivalent to the two 40-lb forces when this condition is satisfied. SOLUTION We first reduce the given forces to force-couple systems at A and B, noting that | | | | (40 lb)(10 in.) 400 lb in. A B     M M We now determine the equivalent force-couple system at C. (40 lb)(1 cos ) (40 lb)sin      R i j (1) (15 in.) [ (40 lb)cos (40 lb)sin ] (7.5 in.) (40 lb) 400 400 600cos 600sin 300 (600 lb in.)sin (300 lb in.)(1 2cos ) R C A B                          M M M k i j k i j i j i j (2) (a) For no rotation about vertical, y component of R C M must be zero. 1 2cos 0 cos 1/2      60.0     (b) For 60.0    in Eqs. (1) and (2), (20.0 lb) (34.641 lb) ; (519.62 lb in.) R C     R i j M i (20.0 lb) (34.6 lb) ; (520 lb in.) R C     R i j M i  www.elsolucionario.org
  • 325.
    Copyright © McGraw-HillEducation. Permission required for reproduction or display. PROBLEM 3.123 Assuming θ  60° in Prob. 3.122, replace the two 40-lb forces with an equivalent force- couple system at D and determine whether the plumber’s action tends to tighten or loosen the joint between (a) pipe CD and elbow D, (b) elbow D and pipe DE. Assume all threads to be right-handed. PROBLEM 3.122 In order to unscrew the tapped faucet A, a plumber uses two pipe wrenches as shown. By exerting a 40-lb force on each wrench, at a distance of 10 in. from the axis of the pipe and in a direction perpendicular to the pipe and to the wrench, he prevents the pipe from rotating, and thus avoids loosening or further tightening the joint between the pipe and the tapped elbow C. Determine (a) the angle θ that the wrench at A should form with the vertical if elbow C is not to rotate about the vertical, (b) the force-couple system at C equivalent to the two 40-lb forces when this condition is satisfied. SOLUTION The equivalent force-couple system at C for 60    was obtained in the solution to Prob. 3.122: (20.0 lb) (34.641 lb) (519.62 lb in.) R C     R i j M i The equivalent force-couple system at D is made of R and R D M where / (519.62 lb in.) (25.0 in.) [(20.0 lb) (34.641 lb) ] (519.62 lb in.) (500 lb in.) R R D C C D             M M r R i j i j i k Equivalent force-couple at D: (20.0 lb) (34.6 lb) ; (520 lb in.) (500 lb in.) R C       R i j M i k  (a) Since R D M has no component along the y-axis, the plumber’s action will neither loosen nor tighten the joint between pipe CD and elbow.  (b) Since the x component of R D M is , the plumber’s action will tend to tighten the joint between elbow and pipe DE.  www.elsolucionario.org
  • 326.
    Copyright © McGraw-HillEducation. Permission required for reproduction or display. PROBLEM 3.124 Four forces are applied to the machine component ABDE as shown. Replace these forces with an equivalent force-couple system at A. SOLUTION (50 N) (300 N) (120 N) (250 N) (420 N) (50 N) (250 N) (0.2 m) (0.2 m) (0.16 m) (0.2 m) (0.1 m) (0.16 m) B D E                R j i i k R i j k r i r k i r i j k [ (300 N) (50 N) ] ( 250 N) ( 120 N) 0.2 m 0 0 0.2 m 0 0.16 m 300 N 50 N 0 0 0 250 N 0.2 m 0.1 m 0.16 m 120 N 0 0 (10 N m) (50 N m) (19.2 N m) (12 N m) R A B D                            M r i j r k r i i j k i j k i j k k j j k Force-couple system at A is (420 N) (50 N) (250 N) (30.8 N m) (22.0 N m) R A         R i j k M j k  www.elsolucionario.org
  • 327.
    Copyright © McGraw-HillEducation. Permission required for reproduction or display. PROBLEM 3.125 A blade held in a brace is used to tighten a screw at A. (a) Determine the forces exerted at B and C, knowing that these forces are equivalent to a force- couple system at A consisting of R = (25 N)i + Ryj + Rzk and M R A = – (13.5 N·m)i. (b) Find the corresponding values of Ry and Rz. (c) What is the orientation of the slot in the head of the screw for which the blade is least likely to slip when the brace is in the position shown? SOLUTION (a) Equivalence requires :    F R B C or (25 N) ( ) y z x y z R R B C C C          i j k k i j k Equating the i coefficients: : 25 N or 25 N x x C C     i Also, / / : R A A B A C A      M M r B r C or (13.5 N m) [(0.2 m) (0.15 m) ] ( ) (0.4 m) [ (25 N) ] y z B C C            i i j k i i j k Equating coefficients: : 13.5 N m (0.15 m) or 75 N : 0 (0.4 m) or 0 : 0 (0.2 m)(75 N) (0.4 m) or 37.5 N y y z z B B C C C C           i k j (75.0 N) (25.0 N) (37.5 N)      B k C i k  (b) Now we have for the equivalence of forces (25 N) (75 N) [( 25 N) (37.5 N) ] y z R R         i j k k i k Equating coefficients: : 0 y R  j 0 y R   : 75 37.5 z R    k or 37.5 N z R    (c) First note that (25 N) (37.5 N) .    R i k Thus, the screw is best able to resist the lateral force z R when the slot in the head of the screw is vertical.  www.elsolucionario.org
  • 328.
    Copyright © McGraw-HillEducation. Permission required for reproduction or display. PROBLEM 3.126 A mechanic uses a crowfoot wrench to loosen a bolt at C. The mechanic holds the socket wrench handle at Points A and B and applies forces at these points. Knowing that these forces are equivalent to a force-couple system at C consisting of the force (8 lb) + (4 lb)  C i k and the couple (360 lb · C  M in.)i, determine the forces applied at A and at B when 2 lb. z A  SOLUTION We have : F   A B C or : 8 lb x x x F A B   ( 8 lb) x x B A    (1) : 0 y y y F A B    or y y A B   (2) : 2 lb 4 lb z z F B    or 2 lb z B  (3) We have / / : C B C A C C      M r B r A M 8 0 2 8 0 8 lb in. (360 lb in.) 2 2 x y x y B B A A     i j k i j k i or (2 8 ) (2 16 8 16) y y x x B A B A      i j (8 8 ) (360 lb in.) y y B A     k i From i-coefficient: 2 8 360 lb in. y y B A    (4) j-coefficient: 2 8 32 lb in. x x B A     (5) k-coefficient: 8 8 0 y y B A   (6) www.elsolucionario.org
  • 329.
    Copyright © McGraw-HillEducation. Permission required for reproduction or display. PROBLEM 3.126 (Continued) From Equations (2) and (4): 2 8( ) 360 y y B B    36 lb 36 lb y y B A   From Equations (1) and (5): 2( 8) 8 32 x x A A     1.6 lb x A  From Equation (1): (1.6 8) 9.6 lb x B      (1.600 lb) (36.0 lb) (2.00 lb)    A i j k  (9.60 lb) (36.0 lb) (2.00 lb)     B i j k  www.elsolucionario.org
  • 330.
    Copyright © McGraw-HillEducation. Permission required for reproduction or display. PROBLEM 3.127 Three children are standing on a 5 5-m  raft. If the weights of the children at Points A, B, and C are 375 N, 260 N, and 400 N, respectively, determine the magnitude and the point of application of the resultant of the three weights. SOLUTION We have : A B C     F F F F R (375 N) (260 N) (400 N) (1035 N)       j j j R j R or 1035 N R   We have : ( ) ( ) ( ) ( ) x A A B B C C D M F z F z F z R z     (375 N)(3 m) (260 N)(0.5 m) (400 N)(4.75 m) (1035 N)( ) D z    3.0483 m D z  or 3.05 m D z   We have : ( ) ( ) ( ) ( ) z A A B B C C D M F x F x F x R x     375 N(1 m) (260 N)(1.5 m) (400 N)(4.75 m) (1035 N)( ) D x    2.5749 m D x  or 2.57 m D x   www.elsolucionario.org
  • 331.
    Copyright © McGraw-HillEducation. Permission required for reproduction or display. PROBLEM 3.128 Three children are standing on a 5 5-m raft.  The weights of the children at Points A, B, and C are 375 N, 260 N, and 400 N, respectively. If a fourth child of weight 425 N climbs onto the raft, determine where she should stand if the other children remain in the positions shown and the line of action of the resultant of the four weights is to pass through the center of the raft. SOLUTION We have : A B C     F F F F R (375 N) (260 N) (400 N) (425 N)      j j j j R (1460 N)   R j We have : ( ) ( ) ( ) ( ) ( ) x A A B B C C D D H M F z F z F z F z R z      (375 N)(3 m) (260 N)(0.5 m) (400 N)(4.75 m) (425 N)( ) (1460 N)(2.5 m) D z     1.16471 m D z  or 1.165 m D z   We have : ( ) ( ) ( ) ( ) ( ) z A A B B C C D D H M F x F x F x F x R x      (375 N)(1 m) (260 N)(1.5 m) (400 N)(4.75 m) (425 N)( ) (1460 N)(2.5 m) D x     2.3235 m D x  or 2.32 m D x   www.elsolucionario.org
  • 332.
    Copyright © McGraw-HillEducation. Permission required for reproduction or display. PROBLEM 3.129 Four signs are mounted on a frame spanning a highway, and the magnitudes of the horizontal wind forces acting on the signs are as shown. Determine the magnitude and the point of application of the resultant of the four wind forces when 1 ft a  and 12 ft. b  SOLUTION We have Assume that the resultant R is applied at Point P whose coordinates are (x, y, 0). Equivalence then requires : 105 90 160 50 z F R        or 405 lb R   : (5 ft)(105 lb) (1 ft)(90 lb) (3 ft)(160 lb) (5.5 ft)(50 lb) (405 lb) x M y       or 2.94 ft y   : (5.5 ft)(105 lb) (12 ft)(90 lb) (14.5 ft)(160 lb) (22.5 ft)(50 lb) (405 lb) y M x       or 12.60 ft x  R acts 12.60 ft to the right of member AB and 2.94 ft below member BC.  www.elsolucionario.org
  • 333.
    Copyright © McGraw-HillEducation. Permission required for reproduction or display. PROBLEM 3.130 Four signs are mounted on a frame spanning a highway, and the magnitudes of the horizontal wind forces acting on the signs are as shown. Determine a and b so that the point of application of the resultant of the four forces is at G. SOLUTION Since R acts at G, equivalence then requires that G M of the applied system of forces also be zero. Then at : : ( 3) ft (90 lb) (2 ft)(105 lb) (2.5 ft)(50 lb) 0 x G M a        or 0.722 ft a    : (9 ft)(105 ft) (14.5 ) ft (90 lb) (8 ft)(50 lb) 0 y M b         or 20.6 ft b   www.elsolucionario.org
  • 334.
    Copyright © McGraw-HillEducation. Permission required for reproduction or display. PROBLEM 3.131 A concrete foundation mat of 5-m radius supports four equally spaced columns, each of which is located 4 m from the center of the mat. Determine the magnitude and the point of application of the resultant of the four loads. SOLUTION Have: : A C D E      F F F F F R         100 kN 125 kN 25kN 75 kN      R j j j j   325 kN   j (325 kN)    R P j or 325 kN R   Have:       : x C C E E G M F z F z R z      125 kN (4 m) (75 kN)(4 m)     325 kN G z  0.61539 m G z    or 0.615 m G z          : z A A D D G M F x F x R x        100 kN (4 m) (25 kN) 4 m    325 kN G x   or 0.923 m G x   www.elsolucionario.org
  • 335.
    Copyright © McGraw-HillEducation. Permission required for reproduction or display. PROBLEM 3.132 Determine the magnitude and the point of application of the smallest additional load that must be applied to the foundation mat of Prob. 3.131 if the resultant of the five loads is to pass through the center of the mat. SOLUTION The smallest load P will be placed on the edge of the mat at a radius of 5 m. Therefore 2 2 2 (5 m) (1) P P x z   Have:         : x C C E E P G M F z F z P z R z          125 kN 4 m 75 kN (4 m) ( ) (0) P P z R     ( ) 200 kN m G P z   (2) Also       : ( ) z A A D D P G M F x F x P x R x       100 kN (4 m) (25 kN)(4 m) ( ) (0) P P x R    ( ) 300 kN m P P x   (3) Substituting for x and z from equations (2) and (3) into (1), 2 2 2 300 200 (5) P P               2 2 2 2 (300) (200) 5200 (5) P    or 72.111 kN P  72.1 kN P   Finally, from (2) and (3) 4.16 m ; z 2.77 m P P x    www.elsolucionario.org
  • 336.
    Copyright © McGraw-HillEducation. Permission required for reproduction or display. PROBLEM 3.133* Three forces of the same magnitude P act on a cube of side a as shown. Replace the three forces by an equivalent wrench and determine (a) the magnitude and direction of the resultant force R, (b) the pitch of the wrench, (c) the axis of the wrench. SOLUTION Force-couple system at O: ( ) P P P P       R i j k i j k R O a P a P a P Pa Pa Pa           M j i k j i k k i j ( ) R O Pa     M i j k Since R and R O M have the same direction, they form a wrench with 1 . R O  M M Thus, the axis of the wrench is the diagonal OA. We note that 1 cos cos cos 3 3 x y z a a        1 3 54.7 3 x y z R O R P M M Pa            1 3 Pitch 3 M Pa p a R P       (a) 3 54.7 x y z R P          (b) – a (c) Axis of the wrench is diagonal OA. www.elsolucionario.org
  • 337.
    Copyright © McGraw-HillEducation. Permission required for reproduction or display. PROBLEM 3.134* A piece of sheet metal is bent into the shape shown and is acted upon by three forces. If the forces have the same magnitude P, replace them with an equivalent wrench and determine (a) the magnitude and the direction of the resultant force R, (b) the pitch of the wrench, (c) the axis of the wrench. SOLUTION First reduce the given forces to an equivalent force-couple system   , R O R M at the origin. We have : P P P R      F j j k or P  R k 5 : ( ) ( ) 2 R O O aP aP aP M                   M j i k or 5 2 R O aP           M i j k (a) Then for the wrench, R P   and axis R   R λ k cos 0 cos 0 cos 1 x y z       or 90 90 0 x y z           (b) Now 1 axis 5 2 5 2 R O M aP aP               M k i j k  Then 5 1 2 aP P R P   M or 5 2 P a   www.elsolucionario.org
  • 338.
    Copyright © McGraw-HillEducation. Permission required for reproduction or display. PROBLEM 3.134* (Continued) (c) The components of the wrench are 1 ( , ), R M where 1 1 axis , M  M  and the axis of the wrench is assumed to intersect the xy-plane at Point Q, whose coordinates are (x, y, 0). Thus, we require z Q R   M r R where 1 z O   M M M Then 5 5 ( ) 2 2 aP aP x y P              i j k k i j k Equating coefficients: : or : or aP yP y a aP xP x a         i j The axis of the wrench is parallel to the z-axis and intersects the xy-plane at , . x a y a     www.elsolucionario.org
  • 339.
    Copyright © McGraw-HillEducation. Permission required for reproduction or display. PROBLEM 3.135* The forces and couples shown are applied to two screws as a piece of sheet metal is fastened to a block of wood. Reduce the forces and the couples to an equivalent wrench and determine (a) the resultant force R, (b) the pitch of the wrench, (c) the point where the axis of the wrench intersects the xz-plane. SOLUTION First, reduce the given force system to a force-couple system. We have : (20 N) (15 N) 25 N R      F i j R We have : ( ) R O O C O       M r F M M 20 N(0.1 m) (4 N m) (1 N m) (4 N m) (3 N m) R O            M j i j i j (a) (20.0 N) (15.00 N)    R i j  (b) We have 1 ( 0.8 0.6 ) [ (4 N m) (3 N m) ] 5 N m R R O M R              R M i j i j   Pitch: 1 5 N m 0.200 m 25 N M p R     or 0.200 m p   (c) From above, note that 1 R O  M M Therefore, the axis of the wrench goes through the origin. The line of action of the wrench lies in the xy-plane with a slope of 3 4 y x   www.elsolucionario.org
  • 340.
    Copyright © McGraw-HillEducation. Permission required for reproduction or display. PROBLEM 3.136* The forces and couples shown are applied to two screws as a piece of sheet metal is fastened to a block of wood. Reduce the forces and the couples to an equivalent wrench and determine (a) the resultant force R, (b) the pitch of the wrench, (c) the point where the axis of the wrench intersects the xz-plane. SOLUTION First, reduce the given force system to a force-couple at the origin. We have : (10 lb) (11lb)     F j j R (21lb)   R j We have : ( ) R O O C O       M r F M M 0 0 20 lb in. 0 0 15 lb in. (12 lb in) 0 10 0 0 11 0 (35 lb in.) (12 lb in.) R O              i j k i j k M j i j (a) (21lb)   R j or (21.0 lb)   R j  (b) We have 1 1 ( ) [(35 lb in.) (12 lb in.) ] 12 lb in. and (12 lb in.) R R O R M R               R λ M λ j i j M j and pitch 1 12 lb in. 0.57143 in. 21lb M p R     or 0.571in. p   www.elsolucionario.org
  • 341.
    Copyright © McGraw-HillEducation. Permission required for reproduction or display. PROBLEM 3.136* (Continued) (c) We have 1 2 2 1 (35 lb in.) R O R O       M M M M M M i We require 2 / (35 lb in.) ( ) [ (21lb) ] 35 (21 ) (21 ) Q O x z x z           M r R i i k j i k i From i: 35 21 1.66667 in. z z   From k: 0 21 0 x z    The axis of the wrench is parallel to the y-axis and intersects the xz-plane at 0, 1.667 in. x z    www.elsolucionario.org
  • 342.
    Copyright © McGraw-HillEducation. Permission required for reproduction or display. PROBLEM 3.137* Two bolts at A and B are tightened by applying the forces and couples shown. Replace the two wrenches with a single equivalent wrench and determine (a) the resultant R, (b) the pitch of the single equivalent wrench, (c) the point where the axis of the wrench intersects the xz-plane. SOLUTION First, reduce the given force system to a force-couple at the origin. We have : (84 N) (80 N) 116 N R      F j k R and : ( ) R O O C O       M r F M M 0.6 0 0.1 0.4 0.3 0 ( 30 32 ) N m 0 84 0 0 0 80 R O       i j k i j k j k M (15.6 N m) (2 N m) (82.4 N m) R O        M i j k (a) (84.0 N) (80.0 N)    R j k  (b) We have 1 84 80 [ (15.6 N m) (2 N m) (82.4 N m) ] 116 55.379 N m R R O R M R                 R λ M λ j k i j k and 1 1 (40.102 N m) (38.192 N m) R M        M j k Then pitch 1 55.379 N m 0.47741m 116 N M p R     or 0.477 m p   www.elsolucionario.org
  • 343.
    Copyright © McGraw-HillEducation. Permission required for reproduction or display. PROBLEM 3.137* (Continued) (c) We have 1 2 2 1 [( 15.6 2 82.4 ) (40.102 38.192 )] N m (15.6 N m) (42.102 N m) (44.208 N m) R O R O                   M M M M M M i j k j k i j k We require 2 / ( 15.6 42.102 44.208 ) ( ) (84 80 ) (84 ) (80 ) (84 ) Q O x z z x x             M r R i j k i k j k i j k From i: 15.6 84 0.185714 m z z     or 0.1857 m z   From k: 44.208 84 0.52629 m x x     or 0.526 m x  The axis of the wrench intersects the xz-plane at 0.526 m 0 0.1857 m x y z      www.elsolucionario.org
  • 344.
    Copyright © McGraw-HillEducation. Permission required for reproduction or display. PROBLEM 3.138* Two bolts at A and B are tightened by applying the forces and couples shown. Replace the two wrenches with a single equivalent wrench and determine (a) the resultant R, (b) the pitch of the single equivalent wrench, (c) the point where the axis of the wrench intersects the xz-plane. SOLUTION First, reduce the given force system to a force-couple at the origin at B. (a) We have 8 15 : (26.4 lb) (17 lb) 17 17            F k i j R (8.00 lb) (15.00 lb) (26.4 lb)     R i j k  and 31.4 lb R  We have / : R B A B A A B B      M r F M M M 8 15 0 10 0 220 238 264 220 14(8 15 ) 17 17 0 0 26.4 (152 lb in.) (210 lb in.) (220 lb in.) R B R B                       i j k M k i j i k i j M i j k (b) We have 1 8.00 15.00 26.4 [(152 lb in.) (210 lb in.) (220 lb in.) ] 31.4 246.56 lb in. R R O R M R                R λ M λ i j k i j k www.elsolucionario.org
  • 345.
    Copyright © McGraw-HillEducation. Permission required for reproduction or display. PROBLEM 3.138* (Continued) and 1 1 (62.818 lb in.) (117.783 lb in.) (207.30 lb in.) R M          M i j k Then pitch 1 246.56 lb in. 7.8522 in. 31.4 lb M p R     or 7.85 in. p   (c) We have 1 2 2 1 (152 210 220 ) ( 62.818 117.783 207.30 ) (214.82 lb in.) (92.217 lb in.) (12.7000 lb in.) R B R B                  M M M M M M i j k i j k i j k We require 2 / Q B   M r R 214.82 92.217 12.7000 0 8 15 26.4 (15 ) (8 ) (26.4 ) (15 ) x z z z x x           i j k i j k i j j k From i: 214.82 15 14.3213 in. z z   From k: 12.7000 15 0.84667 in. x x     The axis of the wrench intersects the xz-plane at 0.847 in. 0 14.32 in. x y z     www.elsolucionario.org
  • 346.
    Copyright © McGraw-HillEducation. Permission required for reproduction or display. PROBLEM 3.139* Two ropes attached at A and B are used to move the trunk of a fallen tree. Replace the forces exerted by the ropes with an equivalent wrench and determine (a) the resultant force R, (b) the pitch of the wrench, (c) the point where the axis of the wrench intersects the yz-plane. SOLUTION (a) First replace the given forces with an equivalent force-couple system   , R O R M at the origin. We have 2 2 2 2 2 2 (6) (2) (9) 11 m (14) (2) (5) 15 m AC BD d d         Then 1650 N (6 2 9 ) 11 (900 N) (300 N) (1350 N) AC T        i j k i j k and 1500 N (14 2 5 ) 15 (1400 N) (200 N) (500 N) BD T        i j k i j k Equivalence then requires : (900 300 1350 ) (1400 200 500 ) (2300 N) (500 N) (1850 N) AC BD             F R T T i j k i j k i j k : R O O A AC B BD      M M r T r T (12 m) [(900 N) (300 N) (1350 N) ] (9 m) [(1400 N) (200 N) (500 N) ] (3600) (10,800 4500) (1800) (3600 N m) (6300 N m) (1800 N m)                     k i j k i i j k i j k i j k The components of the wrench are 1 ( , ), R M where (2300 N) (500 N) (1850 N)    R i j k  www.elsolucionario.org
  • 347.
    Copyright © McGraw-HillEducation. Permission required for reproduction or display. PROBLEM 3.139* (Continued)  (b) We have 2 2 2 100 (23) (5) (18.5) 2993.7 N R     Let axis 1 (23 5 18.5 ) 29.937 R     R i j k  Then 1 axis 1 (23 5 18.5 ) ( 3600 6300 1800 ) 29.937 1 [(23)( 36) (5)(63) (18.5)(18)] 0.29937 601.26 N m R O M                 M i j k i j k  Finally, 1 601.26 N m 2993.7 N M P R     or 0.201 m P    (c) We have 1 1 axis 1 ( 601.26 N m) (23 5 18.5 ) 29.937 M M        λ i j k or 1 (461.93 N m) (100.421 N m) (371.56 N m)        M i j k Now 2 1 ( 3600 6300 1800 ) ( 461.93 100.421 371.56 ) (3138.1 N m) (6400.4 N m) (2171.6 N m) R O                  M M M i j k i j k i j k For equivalence: www.elsolucionario.org
  • 348.
    Copyright © McGraw-HillEducation. Permission required for reproduction or display. PROBLEM 3.139* (Continued) Thus, we require 2 ( ) P y z     M r R r j k Substituting: 3138.1 6400.4 2171.6 0 2300 500 1850 y z     i j k i j k Equating coefficients: : 6400.4 2300 or 2.78 m : 2171.6 2300 or 0.944 m z z y y       j k The axis of the wrench intersects the yz-plane at 0.944 m 2.78 m y z     www.elsolucionario.org
  • 349.
    Copyright © McGraw-HillEducation. Permission required for reproduction or display. PROBLEM 3.140* A flagpole is guyed by three cables. If the tensions in the cables have the same magnitude P, replace the forces exerted on the pole with an equivalent wrench and determine (a) the resultant force R, (b) the pitch of the wrench, (c) the point where the axis of the wrench intersects the xz-plane. SOLUTION (a) First reduce the given force system to a force-couple at the origin. We have : BA DC DE P P P     F λ λ λ R 4 3 3 4 9 4 12 5 5 5 5 25 5 25 P                                 R j k i j i j k 3 (2 20 ) 25 P    R i j k  2 2 2 3 27 5 (2) (20) (1) 25 25 P R P     We have : ( ) R O O P     M r M 4 3 3 4 9 4 12 (24 ) (20 ) (20 ) 5 5 5 5 25 5 25 R O P P P P P P P a a a                               j j k j i j j i j k M 24 ( ) 5 R O Pa    M i k www.elsolucionario.org
  • 350.
    Copyright © McGraw-HillEducation. Permission required for reproduction or display. PROBLEM 3.140* (Continued) (b) We have 1 R R O M  M  where 3 25 1 (2 20 ) (2 20 ) 25 27 5 9 5 R P R P        R i j k i j k  Then 1 1 24 8 (2 20 ) ( ) 5 9 5 15 5 Pa Pa M         i j k i k and pitch 1 8 25 8 81 15 5 27 5 M Pa a p R P            or 0.0988 p a    (c) 1 1 8 1 8 (2 20 ) ( 2 20 ) 675 15 5 9 5 R Pa Pa M                M i j k i j k  Then 2 1 24 8 8 ( ) ( 2 20 ) ( 430 20 406 ) 5 675 675 R O Pa Pa Pa              M M M i k i j k i j k We require 2 / Q O   M r R 8 3 ( 403 20 406 ) ( ) (2 20 ) 675 25 3 [20 ( 2 ) 20 ] 25 Pa P x z P z x z x                               i j k i k i j k i j k From i: 3 8( 403) 20 1.99012 675 25 Pa P z z a           From k: 3 8( 406) 20 2.0049 675 25 Pa P x x a           The axis of the wrench intersects the xz-plane at 2.00 , 1.990 x a z a     www.elsolucionario.org
  • 351.
    Copyright © McGraw-HillEducation. Permission required for reproduction or display. PROBLEM 3.141* Determine whether the force-and-couple system shown can be reduced to a single equivalent force R. If it can, determine R and the point where the line of action of R intersects the yz-plane. If it cannot be so reduced, replace the given system with an equivalent wrench and determine its resultant, its pitch, and the point where its axis intersects the yz-plane. SOLUTION First, reduce the given force system to a force-couple at the origin. We have : A G    F F F R (40 mm) (60 mm) (120 mm) (50 N) 70 N 140 mm (20 N) (30 N) (10 N)              i j k R k i j k and 37.417 N R  We have : ( ) R O O C O       M r F M M 0 [(0.12 m) (50 N) ] {(0.16 m) [(20 N) (30 N) (60 N) ]} (160 mm) (120 mm) (10 N m) 200 mm (40 mm) (120 mm) (60 mm) (14 N m) 140 mm (18 N m) (8.4 N m) (10.8 N m) R O R                                M j k i i j k i j i j k M i j k To be able to reduce the original forces and couples to a single equivalent force, R and M must be perpendicular. Thus, 0.   R M Substituting ? (20 30 10 ) (18 8.4 10.8 ) 0       i j k i j k or ? (20)(18) (30)( 8.4) ( 10)(10.8) 0      or 0 0   R and M are perpendicular so that the given system can be reduced to the single equivalent force. (20.0 N) (30.0 N) (10.00 N)    R i j k  www.elsolucionario.org
  • 352.
    Copyright © McGraw-HillEducation. Permission required for reproduction or display. PROBLEM 3.141* (Continued)  Then for equivalence, Thus, we require R O p p y z     M r R r j k Substituting: 18 8.4 10.8 0 20 30 10 y z     i j k i j k Equating coefficients: : 8.4 20 or 0.42 m : 10.8 20 or 0.54 m z z y y         j k The line of action of R intersects the yz-plane at 0 0.540 m 0.420 m x y z       www.elsolucionario.org
  • 353.
    Copyright © McGraw-HillEducation. Permission required for reproduction or display. PROBLEM 3.142* Determine whether the force-and-couple system shown can be reduced to a single equivalent force R. If it can, determine R and the point where the line of action of R intersects the yz-plane. If it cannot be so reduced, replace the given system with an equivalent wrench and determine its resultant, its pitch, and the point where its axis intersects the yz-plane. SOLUTION First determine the resultant of the forces at D. We have 2 2 2 2 2 2 ( 12) (9) (8) 17 in. ( 6) (0) ( 8) 10 in. DA ED d d            Then 34 lb ( 12 9 8 ) 17 (24 lb) (18 lb) (16 lb) DA          F i j k i j k and 30 lb ( 6 8 ) 10 (18 lb) (24 lb) ED        F i k i k Then : DA ED    F R F F ( 24 18 16 ( 18 24 ) (42 lb) (18 lb) (8 lb)            i j k i k i j k For the applied couple 2 2 2 ( 6) ( 6) (18) 6 11 in. AK d       Then 160 lb in. ( 6 6 18 ) 6 11 160 [ (1 lb in.) (1 lb in.) (3 lb in.) ] 11             M i j k i j k To be able to reduce the original forces and couple to a single equivalent force, R and M must be perpendicular. Thus ? 0   R M www.elsolucionario.org
  • 354.
    Copyright © McGraw-HillEducation. Permission required for reproduction or display. PROBLEM 3.142* (Continued) Substituting ? 160 ( 42 18 8 ) ( 3 ) 0 11         i j k i j k or ? 160 [( 42)( 1) (18)( 1) ( 8)(3)] 0 11        or 0 0   R and M are perpendicular so that the given system can be reduced to the single equivalent force. (42.0 lb) (18.00 lb) (8.00 lb)     R i j k  Then for equivalence, Thus, we require / P D   M r R where / (12 in.) [( 3)in.] ( in.) P D y z      r i j k Substituting: 160 ( 3 ) 12 ( 3) 11 42 18 8 [( 3)( 8) ( )(18)] [( )( 42) ( 12)( 8)] [( 12)(18) ( 3)( 42)] y z y z z y                       i j k i j k i j k Equating coefficients: 160 : 42 96 or 1.137 in. 11 480 : 216 42( 3) or 11.59 in. 11 z z y y            j k The line of action of R intersects the yz-plane at 0 11.59 in. 1.137 in. x y z      www.elsolucionario.org
  • 355.
    Copyright © McGraw-HillEducation. Permission required for reproduction or display. PROBLEM 3.143* Replace the wrench shown with an equivalent system consisting of two forces perpendicular to the y-axis and applied respectively at A and B. SOLUTION Express the forces at A and B as x z x z A A B B     A i k B i k Then, for equivalence to the given force system, : 0 x x x F A B    (1) : z z z F A B R    (2) : ( ) ( ) 0 x z z M A a B a b     (3) : ( ) ( ) z x x M A a B a b M      (4) From Equation (1), x x B A   Substitute into Equation (4): ( ) ( ) x x A a A a b M     and x x M M A B b b    From Equation (2), z z B R A   and Equation (3), ( )( ) 0 z z A a R A a b     1 z a A R b         and 1 z a B R R b          z a B R b   Then 1 M a R b b                A i k  M a R b b                B i k  www.elsolucionario.org
  • 356.
    Copyright © McGraw-HillEducation. Permission required for reproduction or display. PROBLEM 3.144* Show that, in general, a wrench can be replaced with two forces chosen in such a way that one force passes through a given point while the other force lies in a given plane. SOLUTION First, choose a coordinate system so that the xy-plane coincides with the given plane. Also, position the coordinate system so that the line of action of the wrench passes through the origin as shown in Figure a. Since the orientation of the plane and the components (R, M) of the wrench are known, it follows that the scalar components of R and M are known relative to the shown coordinate system. A force system to be shown as equivalent is illustrated in Figure b. Let A be the force passing through the given Point P and B be the force that lies in the given plane. Let b be the x-axis intercept of B. The known components of the wrench can be expressed as and x y z x y z R R R M M M M       R i j k i j k while the unknown forces A and B can be expressed as and x y z x z A A A B B      A i j k B i k Since the position vector of Point P is given, it follows that the scalar components (x, y, z) of the position vector rP are also known. Then, for equivalence of the two systems, : x x x x F R A B    (1) : y y y F R A   (2) : z z z z F R A B    (3) : x x z y M M yA zA    (4) : y y x z z M M zA xA bB     (5) : z z y x M M xA yA    (6) Based on the above six independent equations for the six unknowns ( , , , , , ), x y z x z A A A B B b there exists a unique solution for A and B. From Equation (2), y y A R   www.elsolucionario.org
  • 357.
    Copyright © McGraw-HillEducation. Permission required for reproduction or display. PROBLEM 3.144* (Continued) Equation (6): 1 ( ) x y z A xR M y          Equation (1): 1 ( ) x x y z B R xR M y           Equation (4): 1 ( ) z x y A M zR y          Equation (3): 1 ( ) z z x y B R M zR y           Equation (5): ( ) ( ) x y z x z y xM yM zM b M yR zR       www.elsolucionario.org
  • 358.
    Copyright © McGraw-HillEducation. Permission required for reproduction or display. PROBLEM 3.145* Show that a wrench can be replaced with two perpendicular forces, one of which is applied at a given point. SOLUTION First, observe that it is always possible to construct a line perpendicular to a given line so that the constructed line also passes through a given point. Thus, it is possible to align one of the coordinate axes of a rectangular coordinate system with the axis of the wrench while one of the other axes passes through the given point. See Figures a and b. We have and R M   R j M j and are known. The unknown forces A and B can be expressed as and x y z x y z A A A B B B       A i j k B i j k The distance a is known. It is assumed that force B intersects the xz-plane at (x, 0, z). Then for equivalence, : x F  0 x x A B   (1) : y F  y y R A B   (2) : z F  0 z z A B   (3) : x M  0 y zB   (4) : y z z x M M aA xB zB      (5) : z M  0 y y aA xB   (6) Since A and B are made perpendicular, 0 or 0 x x y y z z A B A B A B      A B (7) There are eight unknowns: , , , , , , , x y z x y z A A A B B B x z But only seven independent equations. Therefore, there exists an infinite number of solutions. Next, consider Equation (4): 0 y zB   If 0, y B  Equation (7) becomes 0 x x z z A B A B   Using Equations (1) and (3), this equation becomes 2 2 0 x z A A   www.elsolucionario.org
  • 359.
    Copyright © McGraw-HillEducation. Permission required for reproduction or display. PROBLEM 3.145* (Continued) Since the components of A must be real, a nontrivial solution is not possible. Thus, it is required that 0, y B  so that from Equation (4), 0. z  To obtain one possible solution, arbitrarily let 0. x A  (Note: Setting , , or y z z A A B equal to zero results in unacceptable solutions.) The defining equations then become 0 x B  (1) y y R A B   (2) 0 z z A B   (3) z z M aA xB    (5) 0 y y aA xB   (6) 0 y y z z A B A B   (7) Then Equation (2) can be written y y A R B   Equation (3) can be written z z B A   Equation (6) can be written y y aA x B   Substituting into Equation (5), ( ) y z z y R B M aA a A B               or z y M A B aR   (8) Substituting into Equation (7), ( ) 0 y y y y M M R B B B B aR aR              or 2 3 2 2 2 y a R B a R M   Then from Equations (2), (8), and (3), 2 2 2 2 2 2 2 2 2 2 3 2 2 2 2 2 2 2 2 2 2 2 y z z a R RM A R a R M a R M M a R aR M A aR a R M a R M aR M B a R M                      PROBLEM 3.145* (Continued) www.elsolucionario.org
  • 360.
    Copyright © McGraw-HillEducation. Permission required for reproduction or display. In summary, 2 2 2 ( ) RM M aR a R M    A j k  2 2 2 2 ( ) aR aR M a R M    B j k  Which shows that it is possible to replace a wrench with two perpendicular forces, one of which is applied at a given point. Lastly, if 0 R  and 0, M  it follows from the equations found for A and B that 0 y A  and 0. y B  From Equation (6), 0 x  (assuming 0). a  Then, as a consequence of letting 0, x A  force A lies in a plane parallel to the yz-plane and to the right of the origin, while force B lies in a plane parallel to the yz- plane but to the left to the origin, as shown in the figure below.  www.elsolucionario.org
  • 361.
    Copyright © McGraw-HillEducation. Permission required for reproduction or display. PROBLEM 3.146* Show that a wrench can be replaced with two forces, one of which has a prescribed line of action. SOLUTION First, choose a rectangular coordinate system where one axis coincides with the axis of the wrench and another axis intersects the prescribed line of action (AA). Note that it has been assumed that the line of action of force B intersects the xz-plane at Point P(x, 0, z). Denoting the known direction of line AA by A x y z        i j k it follows that force A can be expressed as ( ) A x y z A A         A i j k Force B can be expressed as x y z B B B    B i j k Next, observe that since the axis of the wrench and the prescribed line of action AA are known, it follows that the distance a can be determined. In the following solution, it is assumed that a is known. Then for equivalence, : 0 x x x F A B     (1) : y y y F R A B     (2) : 0 z z z F A B     (3) : 0 x y M zB    (4) : y z x z M M aA zB xB       (5) : 0 x y y M aA xB      (6) Since there are six unknowns (A, Bx, By, Bz, x, z) and six independent equations, it will be possible to obtain a solution. www.elsolucionario.org
  • 362.
    Copyright © McGraw-HillEducation. Permission required for reproduction or display. PROBLEM 3.146* (Continued) Case 1: Let 0 z  to satisfy Equation (4). Now Equation (2): y y A R B    Equation (3): z z B A   Equation (6): ( ) y y y y aA a x R B B B               Substitution into Equation (5): ( )( ) 1 z y z y y z a M aA R B A B M A B aR                                  Substitution into Equation (2): 2 1 y y y z z y z y M R B B aR aR B aR M                 Then z y y z x x x z y z z z z y MR R A aR aR M M MR B A aR M MR B A aR M                          In summary, A y z P aR M      A  ( ) x z z z y R M aR M aR M          B i j k  and 2 1 1 y z y z R x a B aR M a R aR                                 or y z M x R     Note that for this case, the lines of action of both A and B intersect the x-axis. www.elsolucionario.org
  • 363.
    Copyright © McGraw-HillEducation. Permission required for reproduction or display. PROBLEM 3.146* (Continued) Case 2: Let 0 y B  to satisfy Equation (4). Now Equation (2): y R A   Equation (1): x x y B R             Equation (3): z z y B R             Equation (6): 0 y aA  which requires 0 a  Substitution into Equation (5): or x z z x y y y M M z R x R x z R                                                    This last expression is the equation for the line of action of force B. In summary, A y R            A  ( ) x x y R               B i k  Assuming that , , 0, x y z    . the equivalent force system is as shown below. Note that the component of A in the xz-plane is parallel to B. www.elsolucionario.org
  • 364.
    Copyright © McGraw-HillEducation. Permission required for reproduction or display. PROBLEM 3.147 A 300-N force P is applied at Point A of the bell crank shown. (a) Compute the moment of the force P about O by resolving it into horizontal and vertical components. (b) Using the result of part (a), determine the perpendicular distance from O to the line of action of P. SOLUTION (0.2 m)cos40 0.153209 m (0.2 m)sin 40 0.128558 m x y       / (0.153209 m) (0.128558 m) A O    r i j (a) (300 N)sin30 150 N (300 N)cos30 259.81 N x y F F       (150 N) (259.81 N)   F i j / (0.153209 0.128558 ) m (150 259.81 ) N (39.805 19.2837 ) N m (20.521 N m) O A O            M r F i j i j k k k 20.5 N m O   M  (b) O M Fd  20.521 N m (300 N)( ) 0.068403 m d d    68.4 mm d   www.elsolucionario.org
  • 365.
    Copyright © McGraw-HillEducation. Permission required for reproduction or display. PROBLEM 3.148 A winch puller AB is used to straighten a fence post. Knowing that the tension in cable BC is 1040 N and length d is 1.90 m, determine the moment about D of the force exerted by the cable at C by resolving that force into horizontal and vertical components applied (a) at Point C, (b) at Point E. SOLUTION (a) Slope of line: 0.875 m 5 1.90 m 0.2 m 12 EC    Then 12 ( ) 13 ABx AB T T  12 (1040 N) 13 960 N   (a) and 5 (1040 N) 13 400 N ABy T   Then (0.875 m) (0.2 m) (960 N)(0.875 m) (400 N)(0.2 m) D ABx ABy M T T     760 N m   or 760 N m D   M  (b) We have ( ) ( ) D ABx ABx M T y T x   (960 N)(0) (400 N)(1.90 m) 760 N m     (b) or 760 N m D   M  www.elsolucionario.org
  • 366.
    Copyright © McGraw-HillEducation. Permission required for reproduction or display. PROBLEM 3.149 A small boat hangs from two davits, one of which is shown in the figure. The tension in line ABAD is 82 lb. Determine the moment about C of the resultant force RA exerted on the davit at A. SOLUTION We have 2 A AB AD   R F F where (82 lb) AB   F j and 6 7.75 3 (82 lb) 10.25 (48 lb) (62 lb) (24 lb) AD AD AD AD AD        i j k F F F i j k  Thus 2 (48 lb) (226 lb) (24 lb) A AB AD      R F F i j k Also / (7.75 ft) (3 ft) A C   r j k Using Eq. (3.21): 0 7.75 3 48 226 24 (492 lb ft) (144.0 lb ft) (372 lb ft) C          i j k M i j k (492 lb ft) (144.0 lb ft) (372 lb ft) C       M i j k  www.elsolucionario.org
  • 367.
    Copyright © McGraw-HillEducation. Permission required for reproduction or display. PROBLEM 3.150 Consider the volleyball net shown. Determine the angle formed by guy wires AB and AC. SOLUTION First note: 2 2 2 2 2 2 ( 6.5) ( 8) (2) 10.5 ft (0) ( 8) (6) 10 ft AB AC            and (6.5 ft) (8 ft) (2 ft) (8 ft) (6 ft) AB AC        i j k j k    By definition, ( )( )cos AB AC AB AC       or ( 6.5 8 2 ) ( 8 6 ) (10.5)(10)cos ( 6.5)(0) ( 8)( 8) (2)(6) 105cos                i j k j k or cos 0.72381   or 43.6     www.elsolucionario.org
  • 368.
    Copyright © McGraw-HillEducation. Permission required for reproduction or display. PROBLEM 3.151 A single force P acts at C in a direction perpendicular to the handle BC of the crank shown. Determine the moment Mx of P about the x-axis when θ  65°, knowing that My  15 N · m and Mz  36 N · m. SOLUTION See the solution to Prob. 3.53 for the derivation of the following equations: (0.2) sin( ) x M P     (1) tan z y M M   (4) 2 2 4 y z P M M   (5) Substituting for known data gives: 2 2 36 N m tan 15 N m 67.380 4 ( 15) ( 36) 156.0 N 0.2 m(156.0 N)sin(65 67.380 ) 23.047 N m x P P M                     23.0 N m x M    www.elsolucionario.org
  • 369.
    Copyright © McGraw-HillEducation. Permission required for reproduction or display. PROBLEM 3.152 A small boat hangs from two davits, one of which is shown in the figure. It is known that the moment about the z-axis of the resultant force A R exerted on the davit at A must not exceed 279 lbft in absolute value. Determine the largest allowable tension in line ABAD when 6 x  ft. SOLUTION First note: 2 A AB AD   R T T Also note that only TAD will contribute to the moment about the z-axis. Now 2 2 2 (6) ( 7.75) ( 3) 10.25 ft AD       Then (6 7.75 3 ) 10.25 AD AD T AD T     T i j k  Now / ( ) z A C AD M    k r T where / (7.75 ft) (3 ft) A C   r j k Then for max, T max max 0 0 1 279 0 7.75 3 10.25 6 7.75 3 | (1)(7.75)(6)| 10.25 T T      or max 61.5 lb T   www.elsolucionario.org
  • 370.
    Copyright © McGraw-HillEducation. Permission required for reproduction or display. PROBLEM 3.153 In a manufacturing operation, three holes are drilled simultaneously in a workpiece. If the holes are perpendicular to the surfaces of the workpiece, replace the couples applied to the drills with a single equivalent couple, specifying its magnitude and the direction of its axis. SOLUTION 1 2 3 2 2 2 (1.5 N m)( cos20 sin 20 ) (1.5 N m) (1.75 N m)( cos25 sin 25 ) (4.4956 N m) (0.22655 N m) (0) ( 4.4956) (0.22655) 4.5013 N m M                             M M M M j k j j k j k 4.50 N m M    axis (0.99873 0.050330 ) cos 0 cos 0.99873 cos 0.050330 x y z M            M j k  90.0 , 177.1 , 87.1 x y z           www.elsolucionario.org
  • 371.
    Copyright © McGraw-HillEducation. Permission required for reproduction or display. PROBLEM 3.154 A 260-lb force is applied at A to the rolled-steel section shown. Replace that force with an equivalent force-couple system at the center C of the section. SOLUTION 2 2 (2.5 in.) (6.0 in.) 6.50 in. AB    2.5 in. 5 sin 6.5 in. 13 6.0 in. 12 cos 22.6 6.5 in. 13          sin cos 5 12 (260 lb) (260 lb) 13 13 (100.0 lb) (240 lb) F F            F i j i j i j / (2.5 4.0 ) ( 100.0 240 ) 400 600 (200 lb in.) C A C             M r F i j i j k k k 260 lb  F 67.4°; 200 lb in. C   M  www.elsolucionario.org
  • 372.
    Copyright © McGraw-HillEducation. Permission required for reproduction or display. PROBLEM 3.155 The force and couple shown are to be replaced by an equivalent single force. Knowing that P  2Q, determine the required value of α if the line of action of the single equivalent force is to pass through (a) Point A, (b) Point C. SOLUTION (a) We must have 0 A M  ( sin ) ( ) 0 P a Q a    1 sin 2 2 Q Q P Q     30.0     (b) We must have 0 C M  ( sin ) ( cos ) ( ) 0 P a P a Q a      1 sin cos 2 2 Q Q P Q       1 sin cos 2     (1) 2 2 1 sin cos cos 4       2 2 1 1 cos cos cos 4        2 2cos cos 0.75 0      (2) Solving the quadratic in cos :  1 7 cos 65.7 or 155.7 4         Only the first value of  satisfies Eq. (1), therefore 65.7     www.elsolucionario.org
  • 373.
    Copyright © McGraw-HillEducation. Permission required for reproduction or display. PROBLEM 3.156 A 77-N force F1 and a 31-N  m couple M1 are applied to corner E of the bent plate shown. If F1 and M1 are to be replaced with an equivalent force-couple system (F2, M2) at corner B and if (M2)z  0, determine (a) the distance d, (b) F2 and M2. SOLUTION (a) We have 2 : 0 Bz z M M   / 1 1 ( ) 0 H B z M     k r F (1) where / (0.31 m) (0.0233) H B   r i j 1 1 1 1 1 1 2 (0.06 m) (0.06 m) (0.07 m) (77 N) 0.11m (42 N) (42 N) (49 N) (0.03 m) (0.07 m) (31 N m) 0.0058 m EH z EJ F M M d d                 F λ i j k i j k k M M λ i j k Then from Equation (1), 2 0 0 1 ( 0.07 m)(31 N m) 0.31 0.0233 0 0 0.0058 42 42 49 d        Solving for d, Equation (1) reduces to 2 2.17 N m (13.0200 0.9786) 0 0.0058 d      from which 0.1350 m d  or 135.0 mm d   www.elsolucionario.org
  • 374.
    Copyright © McGraw-HillEducation. Permission required for reproduction or display. PROBLEM 3.156 (Continued) (b) 2 1 (42 42 49 ) N     F F i j k or 2 (42.0 N) (42.0 N) (49.0 N)    F i j k  2 / 1 1 2 (0.1350) 0.03 0.07 0.31 0.0233 0 (31 N m) 0.155000 42 42 49 (1.14170 15.1900 13.9986 ) N m ( 27.000 6.0000 14.0000 ) N m (25.858 N m) (21.190 N m) H B                         M r F M i j k i j k i j k i j k M i j or 2 (25.9 N m) (21.2 N m)      M i j  www.elsolucionario.org
  • 375.
    Copyright © McGraw-HillEducation. Permission required for reproduction or display. PROBLEM 3.157 Three horizontal forces are applied as shown to a vertical cast iron arm. Determine the resultant of the forces and the distance from the ground to its line of action when (a) P  200 N, (b) P  2400 N, (c) P  1000 N. SOLUTION (a) 200 N 600 N 400 N 800 N D R       (200 N)(0.450 m) (600 N)(0.300 m) (400 N)(0.1500 m) 150.0 N m D M        150 N m 0.1875 m 800 N D M y R     800 N  R ; 187.5 mm y   (b) 2400 N 600 N 400 N 1400 N D R       (2400 N)(0.450 m) (600 N)(0.300 m) (400 N)(0.1500 m) 840 N m D M        840 N m 0.600 m 1400 N D M y R     1400 N  R ; 600 mm y   www.elsolucionario.org
  • 376.
    Copyright © McGraw-HillEducation. Permission required for reproduction or display. PROBLEM 3.157 (Continued) (c) 1000 600 400 0 D R      (1000 N)(0.450 m) (600 N)(0.300 m) (400 N)(0.1500 m) 210 N m D M        y    System reduces to a couple. 210 N m D   M  www.elsolucionario.org
  • 377.
    Copyright © McGraw-HillEducation. Permission required for reproduction or display. PROBLEM 3.158 While using a pencil sharpener, a student applies the forces and couple shown. (a) Determine the forces exerted at B and C knowing that these forces and the couple are equivalent to a force-couple system at A consisting of the force (2.6 lb) +  R i (0.7 y R  j lb)k and the couple R A x M   M i (1.0 lb · ft)  j (0.72 lb · ft) . k (b) Find the corresponding values of y R and . x M SOLUTION (a) From the statement of the problem, equivalence requires :    F B C R or : 2.6 lb x x x F B C    (1) : y y y F C R    (2) : 0.7 lb or 0.7 lb z z z F C C      and / / : ( ) R A B A B C A A M       M r B M r C or 1.75 : (1 lb ft) ft ( ) 12 x y x C M           M (3) 3.75 1.75 3.5 : ft ( ) ft ( ) ft (0.7 lb) 1 lb ft 12 12 12 y x x M B C                        or 3.75 1.75 9.55 x x B C   Using Eq. (1): 3.75 1.75(2.6 ) 9.55 x x B B   or 2.5 lb x B  and 0.1 lb x C  3.5 : ft ( ) 0.72 lb ft 12 z y M C            or 2.4686 lb y C  (2.50 lb) (0.1000 lb) (2.47 lb) (0.700 lb)     B i C i j k  (b) Eq. (2)  2.47 lb y R    Using Eq. (3): 1.75 1 (2.4686) 12 x M         or 1.360 lb ft x M    www.elsolucionario.org
  • 378.
  • 379.
  • 380.
    Copyright © McGraw-HillEducation. Permission required for reproduction or display. PROBLEM 4.1 A gardener uses a 60-N wheelbarrow to transport a 250-N bag of fertilizer. What force must she exert on each handle? SOLUTION Free-Body Diagram:   0: (2 )(1 m) (60 N)(0.15 m) (250 N)(0.3 m) 0 A M F      42.0 N  F  www.elsolucionario.org
  • 381.
    Copyright © McGraw-HillEducation. Permission required for reproduction or display. PROBLEM 4.2 The gardener of Problem 4.1 wishes to transport a second 250-N bag of fertilizer at the same time as the first one. Determine the maximum allowable horizontal distance from the axle A of the wheelbarrow to the center of gravity of the second bag if she can hold only 75 N with each arm. PROBLEM 4.1 A gardener uses a 60-N wheelbarrow to transport a 250-N bag of fertilizer. What force must she exert on each handle? SOLUTION Free-Body Diagram:    0: 2(75 N)(1 m) (60 N)(0.15 m) (250 N)(0.3 m) (250 N) 0 A M x       0.264 m x   www.elsolucionario.org
  • 382.
    Copyright © McGraw-HillEducation. Permission required for reproduction or display. PROBLEM 4.3 A 2100-lb tractor is used to lift 900 lb of gravel. Determine the reaction at each of the two (a) rear wheels A, (b) front wheels B. SOLUTION (a) Rear wheels 0: (2100 lb)(40 in.) (900 lb)(50 in.) 2 (60 in.) 0 B M A       325 lb A   325 lb  A  (b) Front wheels : (2100 lb)(20 in.) (900 lb)(110 in.) 2 (60 in.) 0 A M B      1175 lb B   1175 lb  B  Check: 0: 2 2 2100 lb 900 lb 0 y F A B       2(325 lb) 2(1175 lb) 2100 lb 900 0     0 0 (Checks)   www.elsolucionario.org
  • 383.
    Copyright © McGraw-HillEducation. Permission required for reproduction or display. PROBLEM 4.4 For the beam and loading shown, determine (a) the reaction at A, (b) the tension in cable BC. SOLUTION Free-Body Diagram: (a) Reaction at A: 0: 0 x x F A    0: (15 lb)(28 in.) (20 lb)(22 in.) (35 lb)(14 in.) (20 lb)(6 in.) (6 in.) 0 B y M A        245 lb y A   245 lb  A  (b) Tension in BC: 0: (15 lb)(22 in.) (20 lb)(16 in.) (35 lb)(8 in.) (15 lb)(6 in.) (6 in.) 0 A BC M F        140.0 lb BC F   140.0 lb BC F   Check: 0: 15 lb 20 lb 35 lb 20 lb 0 105 lb 245 lb 140.0 0 y BC F A F              0 0 (Checks)  www.elsolucionario.org
  • 384.
    Copyright © McGraw-HillEducation. Permission required for reproduction or display. PROBLEM 4.5 A load of lumber weighing 25 kN W  is being raised by a mobile crane. The weight of the boom ABC and the combined weight of the truck and driver are as shown. Determine the reaction at each of the two (a) front wheels H, (b) rear wheels K. SOLUTION Free-Body Diagram: (a)            0: 25 kN 5.4 m + 3 kN 3.4 m 2 2.5 m + 50 kN 0.5 m 0 K H M F     2 68.080 kN H F  or 34.0 kN H  F  (b)            0: 25 kN 2.9 m + 3 kN 0.9 m 50 kN 2.0 m + 2 2.5 m 0 H K M F     2 9.9200 kN K F  or 4.96 kN K  F  www.elsolucionario.org
  • 385.
    Copyright © McGraw-HillEducation. Permission required for reproduction or display. PROBLEM 4.6 A load of lumber weighing 25 kN W  is being raised as shown by a mobile crane. Knowing that the tension is 25 kN in all portions of cable AEF and that the weight of boom ABC is 3 kN, determine (a) the tension in rod CD, (b) the reaction at pin B. SOLUTION Free-Body Diagram: (boom) (a)            0: 25 kN 2.6 m + 3 kN 0.6 m 25 kN 0.4 m 0.7 m 0 B CD M T      81.143 kN CD T  or 81.1 kN CD T   (b) 0: 0 x x F B    so that y B B    0: 25 3 25 81.143 kN 0 y F B         134.143 kN B  or 134.1 kN  B  www.elsolucionario.org
  • 386.
    Copyright © McGraw-HillEducation. Permission required for reproduction or display. PROBLEM 4.7 A T-shaped bracket supports the four loads shown. Determine the reactions at A and B (a) if 10 in., a  (b) if 7 in. a  SOLUTION Free-Body Diagram: 0: 0 x x F B    0: (40 lb)(6 in.) (30 lb) (10 lb)( 8 in.) (12 in.) 0 B M a a A        (40 160) 12 a A   (1) 0: (40 lb)(6 in.) (50 lb)(12 in.) (30 lb)( 12 in.) (10 lb)( 20 in.) (12 in.) 0 A y M a a B           (1400 40 ) 12 y a B   Since (1400 40 ) 0, 12 x a B B    (2) (a) For 10 in., a  Eq. (1): (40 10 160) 20.0 lb 12 A      20.0 lb  A  Eq. (2): (1400 40 10) 150.0 lb 12 B      150.0 lb  B  (b) For 7 in., a  Eq. (1): (40 7 160) 10.00 lb 12 A      10.00 lb  A  Eq. (2): (1400 40 7) 140.0 lb 12 B      140.0 lb  B  www.elsolucionario.org
  • 387.
    Copyright © McGraw-HillEducation. Permission required for reproduction or display. PROBLEM 4.8 For the bracket and loading of Problem 4.7, determine the smallest distance a if the bracket is not to move. PROBLEM 4.7 A T-shaped bracket supports the four loads shown. Determine the reactions at A and B (a) if 10 in., a  (b) if 7 in. a  SOLUTION Free-Body Diagram: For no motion, reaction at A must be downward or zero; smallest distance a for no motion corresponds to 0.  A 0: (40 lb)(6 in.) (30 lb) (10 lb)( 8 in.) (12 in.) 0 B M a a A        (40 160) 12 a A   0: (40 160) 0 A a    4.00 in. a   www.elsolucionario.org
  • 388.
    Copyright © McGraw-HillEducation. Permission required for reproduction or display. PROBLEM 4.9 Three loads are applied as shown to a light beam supported by cables attached at B and D. Neglecting the weight of the beam, determine the range of values of Q for which neither cable becomes slack when 0. P  SOLUTION Free-Body Diagram: For min, 0 D Q T       min 0: 7.5 kN 0.5 m 3 m 0 B M Q     min 1.250 kN Q  For max, 0 B Q T       max 0: 7.5 kN 2.75 m 0.75 m 0 D M Q     max 27.5 kN Q  Therefore: 1.250 kN 27.5 kN Q    www.elsolucionario.org
  • 389.
    Copyright © McGraw-HillEducation. Permission required for reproduction or display. PROBLEM 4.10 Three loads are applied as shown to a light beam supported by cables attached at B and D. Knowing that the maximum allowable tension in each cable is 12 kN and neglecting the weight of the beam, determine the range of values of Q for which the loading is safe when 0. P  SOLUTION Free-Body Diagram:        0: 7.5 kN 2.75 m 2.25 m 0.75 m 0 D B M T Q      27.5 3 B Q T   (1)        0: 7.5 kN 0.5 m + 2.25 m 3 m 0 B D M T Q       1.25 0.75 D Q T   (2) For the loading to be safe, cables must not be slack and tension must not exceed 12 kN. Thus, making 0  TB  12 kN in (1), we have -8.50 kN  Q  27.5 kN (3) And making 0  TD  12 kN in (2), we have 1.25  Q  10.25 kN (4) (3) and (4) now give: 1.250 kN  Q  10.25 kN  www.elsolucionario.org
  • 390.
    Copyright © McGraw-HillEducation. Permission required for reproduction or display. PROBLEM 4.11 For the beam of Prob. 4.10, determine the range of values of Q for which the loading is safe when P = 5 kN. SOLUTION Free-Body Diagram:           0: 7.5 kN 2.75 m 2.25 m + 5 kN 1.5 m 0.75 m 0 D B M T Q        37.5 3 kN B Q T   (1)           0: 7.5 kN 0.5 m 5 kN 0.75 m + 2.25 m 3 m 0 B D M T Q        0.75 kN D Q T  (2) For the loading to be safe, cables must not be slack and tension must not exceed 12 kN. Thus, making 0  TB  12 kN in (1), we have 1.500 kN  Q  37.5 kN (3) And making 0  TD  12 kN in (2), we have 0  Q  9.00 kN (4) (3) and (4) now give: 1.500 kN  Q  9.00 kN  www.elsolucionario.org
  • 391.
    Copyright © McGraw-HillEducation. Permission required for reproduction or display. PROBLEM 4.12 For the beam of Sample Prob. 4.2, determine the range of values of P for which the beam will be safe, knowing that the maximum allowable value of each of the reactions is 25 kips and that the reaction at A must be directed upward. SOLUTION Free-Body Diagram:        0: (3 ft) 9 ft (6 kips) 11ft 6 kips 13 ft 0 A y M P B          3B 48 kips y Q   (1)         0: 9 ft 6 ft (6 kips) 2 ft (6 kips) 4 ft 0 B y M A P          1.5 +6 kips y P A  (2) For the loading to meet the design criteria, the reactions must not exceed 25 kips. Thus, making 25 kips y B  in (1), we have P  27.0 kips (3) And making 0  Ay  25 kips in (2), we have 6.00  P  43.5 kips (4) (3) and (4) now give: 6.00 kips  P  27.0 kips www.elsolucionario.org
  • 392.
    Copyright © McGraw-HillEducation. Permission required for reproduction or display. PROBLEM 4.13 The maximum allowable value of each of the reactions is 180 N. Neglecting the weight of the beam, determine the range of the distance d for which the beam is safe. SOLUTION 0: 0 x x F B    y B B  0: (50 N) (100 N)(0.45 m ) (150 N)(0.9 m ) (0.9 m ) 0 A M d d d B d          50 45 100 135 150 0.9 0 d d d B Bd        180 N m (0.9 m) 300 B d A B     (1) 0: (50 N)(0.9 m) (0.9 m ) (100 N)(0.45 m) 0 B M A d       45 0.9 45 0 A Ad     (0.9 m) 90 N m A d A    (2) Since 180 N, B  Eq. (1) yields 180 (0.9)180 18 0.15 m 300 180 120 d      150.0 mm d   Since 180 N, A  Eq. (2) yields (0.9)180 90 72 0.40 m 180 180 d     400 mm d   Range: 150.0 mm 400 mm d    www.elsolucionario.org
  • 393.
    Copyright © McGraw-HillEducation. Permission required for reproduction or display. PROBLEM 4.14 For the beam and loading shown, determine the range of the distance a for which the reaction at B does not exceed 100 lb downward or 200 lb upward. SOLUTION Assume B is positive when directed . Sketch showing distance from D to forces. 0: (300 lb)(8 in. ) (300 lb)( 2 in.) (50 lb)(4 in.) 16 0 D M a a B         600 2800 16 0 a B     (2800 16 ) 600 B a   (1) For 100 lb B  100 lb,   Eq. (1) yields: [2800 16( 100)] 1200 2 in. 600 600 a      2.00 in. a   For 200 B  200 lb,   Eq. (1) yields: [2800 16(200)] 6000 10 in. 600 600 a     10.00 in. a   Required range: 2.00 in. 10.00 in. a    www.elsolucionario.org
  • 394.
    Copyright © McGraw-HillEducation. Permission required for reproduction or display. PROBLEM 4.15 Two links AB and DE are connected by a bell crank as shown. Knowing that the tension in link AB is 720 N, determine (a) the tension in link DE, (b) the reaction at C. SOLUTION Free-Body Diagram: 0: (100 mm) (120 mm) 0 C AB DE M F F     5 6 DE AB F F  (1) (a) For 720 N AB F  5 (720 N) 6 DE F  600 N DE F   (b) 3 0: (720 N) 0 5 x x F C      432 N x C   4 0: (720 N) 600 N 0 5 1176 N y y y F C C         1252.84 N 69.829 C     1253 N  C 69.8°  www.elsolucionario.org
  • 395.
    Copyright © McGraw-HillEducation. Permission required for reproduction or display. PROBLEM 4.16 Two links AB and DE are connected by a bell crank as shown. Determine the maximum force that may be safely exerted by link AB on the bell crank if the maximum allowable value for the reaction at C is 1600 N. SOLUTION See solution to Problem 4.15 for F.B.D. and derivation of Eq. (1). 5 6 DE AB F F  (1) 3 3 0: 0 5 5 x AB x x AB F F C C F       4 0: 0 5 y AB y DE F F C F       4 5 0 5 6 49 30 AB y AB y AB F C F C F      2 2 2 2 1 (49) (18) 30 1.74005 x y AB AB C C C F C F      For 1600 N, 1600 N 1.74005 AB C F   920 N AB F   www.elsolucionario.org
  • 396.
    Copyright © McGraw-HillEducation. Permission required for reproduction or display. PROBLEM 4.17 The required tension in cable AB is 200 lb. Determine (a) the vertical force P that must be applied to the pedal, (b) the corresponding reaction at C. SOLUTION Free-Body Diagram: 7 in. BC  (a) 0: (15 in.) (200 lb)(6.062 in.) 0     C M P 80.83 lb P  80.8 lb  P  (b) 0: 200 lb 0 y x F C     200 lb x  C 0: 0 80.83 lb 0 y y y F C P C       80.83 lb y  C 22.0 215.7 lb C     216 lb  C 22.0  www.elsolucionario.org
  • 397.
    Copyright © McGraw-HillEducation. Permission required for reproduction or display. PROBLEM 4.18 Determine the maximum tension that can be developed in cable AB if the maximum allowable value of the reaction at C is 250 lb. SOLUTION Free-Body Diagram: 7 in. BC  0: (15 in.) (6.062 in.) 0 0.40415 C M P T P T      0: 0 0.40415 0 y y y F P C P C         0.40415 y C T  0: 0 x x F T C      x C T  2 2 2 2 (0.40415 ) 1.0786 x y C C C T T C T      For 250 lb C  250 lb 1.0786T  232 lb T   www.elsolucionario.org
  • 398.
    Copyright © McGraw-HillEducation. Permission required for reproduction or display. PROBLEM 4.19 The bracket BCD is hinged at C and attached to a control cable at B. For the loading shown, determine (a) the tension in the cable, (b) the reaction at C. SOLUTION At B: 0.18 m 0.24 m y x T T  3 4 y x T T  (1) (a) 0: (0.18 m) (240 N)(0.4 m) (240 N)(0.8 m) 0 C x M T      1600 N x T   From Eq. (1): 3 (1600 N) 1200 N 4 y T   2 2 2 2 1600 1200 2000 N x y T T T      2.00 kN T   (b) 0: 0 x x x F C T     1600 N 0 1600 N x x C C     1600 N x  C 0: 240 N 240 N 0 y y y F C T       1200 N 480 N 0 y C    1680 N y C   1680 N y  C 46.4 2320 N C     2.32 kN  C 46.4°  www.elsolucionario.org
  • 399.
    Copyright © McGraw-HillEducation. Permission required for reproduction or display. PROBLEM 4.20 Solve Problem 4.19, assuming that 0.32 m. a  PROBLEM 4.19 The bracket BCD is hinged at C and attached to a control cable at B. For the loading shown, determine (a) the tension in the cable, (b) the reaction at C. SOLUTION At B: 0.32 m 0.24 m 4 3 y x y x T T T T   0: (0.32 m) (240 N)(0.4 m) (240 N)(0.8 m) 0 C x M T      900 N x T  From Eq. (1): 4 (900 N) 1200 N 3 y T   2 2 2 2 900 1200 1500 N x y T T T      1.500 kN T   0: 0 x x x F C T     900 N 0 900 N x x C C     900 N x  C 0: 240 N 240 N 0 y y y F C T       1200 N 480 N 0 y C    1680 N y C   1680 N y  C 61.8 1906 N C     1.906 kN  C 61.8°  www.elsolucionario.org
  • 400.
    Copyright © McGraw-HillEducation. Permission required for reproduction or display. PROBLEM 4.21 The 40-ft boom AB weighs 2 kips; the distance from the axle A to the center of gravity G of the boom is 20 ft. For the position shown, determine (a) the tension T in the cable, (b) the reaction at A. SOLUTION ( )sin10 (40 ft)sin10 6.9459 ft AD AB AD      0: ( ) 2(20cos30 ) 5(40cos30 ) 0 A M T AD        29.924 kips T  29.9 kips T   0: (29.924)cos 20 0 x x F A      28.119 kips x A   0: (29.924)sin 20 2 5 0 y y F A        17.2346 kips y A  2 2 28.119 17.2346 32.980 kips    A 1 17.2346 tan 28.119 31.5            33.0 kips  A 31.5°  www.elsolucionario.org
  • 401.
    Copyright © McGraw-HillEducation. Permission required for reproduction or display. PROBLEM 4.22 A lever AB is hinged at C and attached to a control cable at A. If the lever is subjected to a 500-N horizontal force at B, determine (a) the tension in the cable, (b) the reaction at C. SOLUTION Triangle ACD is isosceles with 90 30 120 C        1 (180 120 ) 30 . 2 A D          Thus, DA forms angle of 60° with the horizontal axis. (a) We resolve AD F into components along AB and perpendicular to AB. 0: ( sin30 )(250 mm) (500 N)(100 mm) 0 C AD M F      400 N AD F   (b) 0: (400 N)cos60 500 N 0 x x F C        300 N x C   0: (400 N)sin 60° 0 y y F C      346.4 N y C   458 N  C 49.1°  www.elsolucionario.org
  • 402.
    Copyright © McGraw-HillEducation. Permission required for reproduction or display. PROBLEM 4.23 For each of the plates and loadings shown, determine the reactions at A and B. SOLUTION (a) Free-Body Diagram: 0: (20 in.) (50 lb)(4 in.) (40 lb)(10 in.) 0 A M B      30 lb B   30.0 lb  B  0: 40 lb 0 x x F A     40 lb x A   40.0 lb x  A 0: 50 lb 0 y y F A B      30 lb 50 lb 0 y A    20 lb y A   20.0 lb y  A 26.56 44.72 lb A     44.7 lb  A 26.6°     www.elsolucionario.org
  • 403.
    Copyright © McGraw-HillEducation. Permission required for reproduction or display. PROBLEM 4.23 (Continued) (b) Free-Body Diagram: 0: ( cos30 )(20 in.) (40 lb)(10 in.) (50 lb)(4 in.) 0 A M B       34.64 lb B  34.6 lb  B 60.0°  0: sin30 40 lb x x F A B      (34.64 lb)sin30 40 lb 0 x A     22.68 lb x A   22.68 lb x  A 0: cos30 50 lb 0 y y F A B       (34.64 lb)cos30 50 lb 0 y A     20 lb y A   20.0 lb y  A 41.4 30.24 lb A     30.2 lb  A 41.4°  www.elsolucionario.org
  • 404.
    Copyright © McGraw-HillEducation. Permission required for reproduction or display. PROBLEM 4.24 For each of the plates and loadings shown, determine the reactions at A and B. SOLUTION (a) Free-Body Diagram: 0: (20 in.) (50 lb)(16 in.) (40 lb)(10 in.) 0 B M A      20 lb A   20.0 lb  A  0: 40 lb 0 x x F B     40 lb x B   40 lb x  B 0: 50 lb 0 y y F A B      20 lb 50 lb 0 y B    30 lb y B   30 lb y  B 36.87    50 lb B  50.0 lb  B 36.9°  www.elsolucionario.org
  • 405.
    Copyright © McGraw-HillEducation. Permission required for reproduction or display. PROBLEM 4.24 (Continued) (b) 0: ( cos30 )(20 in.) (40 lb)(10 in.) (50 lb)(16 in.) 0 A M A        23.09 lb A  23.1lb  A 60.0°  0: sin30 40 lb 0 x x F A B       (23.09 lb)sin30 40 lb 8 0 x     51.55 lb x B   51.55 lb x  B 0: cos30 50 lb 0 y y F A B       (23.09 lb)cos30 50 lb 0 y B     30 lb y B   30 lb y  B 30.2 59.64 lb B     59.6 lb  B 30.2°  www.elsolucionario.org
  • 406.
    Copyright © McGraw-HillEducation. Permission required for reproduction or display. PROBLEM 4.25 A rod AB hinged at A and attached at B to cable BD supports the loads shown. Knowing that 200 mm, d  determine (a) the tension in cable BD, (b) the reaction at A. SOLUTION Free-Body Diagram: (a) Move T along BD until it acts at Point D. 0: ( sin 45 )(0.2 m) (90 N)(0.1 m) (90 N)(0.2 m) 0 A M T       190.919 N T  190.9 N T   (b) 0: (190.919 N)cos45 0 x x F A      135.0 N x A   135.0 N x  A 0: 90 N 90 N (190.919 N)sin 45° 0 y y F A       45.0 N y A   45.0 N y  A 142.3 N  A 18.43° www.elsolucionario.org
  • 407.
    Copyright © McGraw-HillEducation. Permission required for reproduction or display. PROBLEM 4.26 A rod AB, hinged at A and attached at B to cable BD, supports the loads shown. Knowing that 150 mm, d  determine (a) the tension in cable BD, (b) the reaction at A. SOLUTION Free-Body Diagram: 10 tan ; 33.690° 15     (a) Move T along BD until it acts at Point D. 0: ( sin33.690 )(0.15 m) (90 N)(0.1 m) (90 N)(0.2 m) 0 A M T       324.50 N T  324 N T   (b) 0: (324.50 N)cos33.690 0 x x F A      270 N x A   270 N x  A 0: 90 N 90 N (324.50 N)sin 33.690 0 y y F A        0 y A  270 N  A  www.elsolucionario.org
  • 408.
    Copyright © McGraw-HillEducation. Permission required for reproduction or display. PROBLEM 4.27 Determine the reactions at A and B when (a)   0, (b)   90, (c)   30. SOLUTION (a) 0   0: (20 in.) 75 lb(10 in.) 0 37.5 lb A M B B      0: 0 x x F A     0: 75 lb 37.5 lb 0 37.5 lb y y y F A A       37.5 lb   A B  (b) 90    0: (12 in.) 75 lb(10 in.) 0 62.5 lb A M B B      0: 0 62.5 lb x x x F A B A      0: 75 lb 0 75 lb y y y F A A      2 2 2 2 (62.5 lb) (75 lb) 97.6 lb x y A A A      75 tan 62.5 50.2      97.6 lb  A 50.2 ; 62.51 lb   B    www.elsolucionario.org
  • 409.
    Copyright © McGraw-HillEducation. Permission required for reproduction or display. PROBLEM 4.27 (Continued) (c) 30    0: ( cos 30°)(20 in.) ( sin30 )(12 in.) (75 lb)(10 in.) 0 A M B B       32.161 lb B  0: (32.161)sin30 0 16.0805 lb x x x F A A       0: (32.161)cos30 75 0 47.148 lb y y y F A A        2 2 2 2 (16.0805) (47.148) 49.8 lb x y A A A      47.148 tan 16.0805 71.2      49.8 lb  A 71.2 ; 32.2 lb   B 60.0  www.elsolucionario.org
  • 410.
    Copyright © McGraw-HillEducation. Permission required for reproduction or display. PROBLEM 4.28 Determine the reactions at A and C when (a) 0,   (b) 30 .    SOLUTION (a) 0   From F.B.D. of member ABC: 0: (300 N)(0.2 m) (300 N)(0.4 m) (0.8 m) 0 C M A      225 N A  or 225 N  A  0: 225 N 0 y y F C     225 N or 225 N y y C    C 0: 300 N 300 N 0 x x F C      600 N or 600 N x x C    C Then 2 2 2 2 (600) (225) 640.80 N x y C C C      and 1 1 225 tan tan 20.556 600 y x C C                      or 641 N  C 20.6  (b) 30    From F.B.D. of member ABC: 0: (300 N)(0.2 m) (300 N)(0.4 m) ( cos30 )(0.8 m) ( sin30 )(20 in.) 0 C M A A         365.24 N A  or 365 N  A 60.0  0: 300 N 300 N (365.24 N)sin30 0 x x F C        782.62 x C   www.elsolucionario.org
  • 411.
    Copyright © McGraw-HillEducation. Permission required for reproduction or display. PROBLEM 4.28 (Continued) 0: (365.24 N)cos30 0 y y F C      316.31 N or 316 N y y C    C Then 2 2 2 2 (782.62) (316.31) 884.12 N x y C C C      and 1 1 316.31 tan tan 22.007 782.62 y x C C                      or 884 N  C 22.0  www.elsolucionario.org
  • 412.
    Copyright © McGraw-HillEducation. Permission required for reproduction or display. PROBLEM 4.29 Rod ABC is bent in the shape of an arc of circle of radius R. Knowing the   30, determine the reaction (a) at B, (b) at C. SOLUTION Free-Body Diagram: 0: ( ) ( ) 0 D x M C R P R     x C P   0: sin 0 x x F C B      sin 0 /sin P B B P      sin P   B  0: cos 0 y y F C B P       ( /sin )cos 0 1 1 tan y y C P P C P               For 30 ,    (a) /sin30 2 B P P    2P  B 60.0°  (b) x x C P C P    (1 1/tan 30 ) 0.732/ y C P P      0.7321 y P  C 1.239P  C 36.2°  www.elsolucionario.org
  • 413.
    Copyright © McGraw-HillEducation. Permission required for reproduction or display. PROBLEM 4.30 Rod ABC is bent in the shape of an arc of circle of radius R. Knowing that   60, determine the reaction (a) at B, (b) at C. SOLUTION See the solution to Problem 4.33 for the free-body diagram and analysis leading to the following expressions: 1 1 tan sin x y C P C P P B              For 60 ,    (a) /sin60 1.1547 B P P    1.155P  B 30.0°  (b) x x C P C P    (1 1/tan 60 ) 0.4226 y C P P      0.4226 y P  C 1.086P  C 22.9°  www.elsolucionario.org
  • 414.
    Copyright © McGraw-HillEducation. Permission required for reproduction or display. PROBLEM 4.31 Neglecting friction, determine the tension in cable ABD and the reaction at C when   60. SOLUTION 0: (2 cos ) 0 C M T a a Ta Pa        1 cos P T    (1) 0: sin 0 x x F C T      sin sin 1 cos x P C T       0: cos 0 y y F C T T P        1 cos (1 cos ) 1 cos 0 y y C P T P P C            Since 0, y x C C C   sin 1 cos P     C (2) For 60 :    Eq. (1): 1 2 1 cos60 1 P P T      2 3 T P   Eq. (2): 1 2 sin 60 0.866 1 cos60 1 C P P       0.577P  C  www.elsolucionario.org
  • 415.
    Copyright © McGraw-HillEducation. Permission required for reproduction or display. PROBLEM 4.32 Neglecting friction, determine the tension in cable ABD and the reaction at C when   45. SOLUTION Free-Body Diagram: Equilibrium for bracket: 0: ( ) ( ) ( sin 45 )(2 sin 45 ) ( cos45 )( 2 cos45 ) 0 C M T a P a T a T a a             0.58579 T  or 0.586 T P   0: (0.58579 )sin 45 0 x x F C P      0.41422 x C P  0: 0.58579 (0.58579 )cos 45 0 y y F C P P P        0 y C  or 0.414P  C  www.elsolucionario.org
  • 416.
    Copyright © McGraw-HillEducation. Permission required for reproduction or display. PROBLEM 4.33 A force P of magnitude 90 lb is applied to member ACDE, which is supported by a frictionless pin at D and by the cable ABE. Since the cable passes over a small pulley at B, the tension may be assumed to be the same in portions AB and BE of the cable. For the case when a  3 in., determine (a) the tension in the cable, (b) the reaction at D. SOLUTION Free-Body Diagram: (a) 5 12 0: (90 lb)(9 in.) (9 in.) (7 in.) (3 in.) 0 13 13 D M T T T       117 lb T  117.0 lb T   (b) 5 0: 117 lb (117 lb) 90 0 13 x x F D       72 lb x D   12 0: lb) 0 13 y y F D      108 lb y D   129.8 lb  D 56.3°   www.elsolucionario.org
  • 417.
    Copyright © McGraw-HillEducation. Permission required for reproduction or display. PROBLEM 4.34 Solve Problem 4.33 for a  6 in. PROBLEM 4.33 A force P of magnitude 90 lb is applied to member ACDE, which is supported by a frictionless pin at D and by the cable ABE. Since the cable passes over a small pulley at B, the tension may be assumed to be the same in portions AB and BE of the cable. For the case when a  3 in., determine (a) the tension in the cable, (b) the reaction at D. SOLUTION Free-Body Diagram: (a) 5 12 0: (90 lb)(6 in.) (6 in.) (7 in.) (6 in.) 0 13 13 D M T T T       195 lb T  195.0 lb T   (b) 5 0: 195 lb (195 lb) 90 0 13 x x F D       180 lb x D   12 0: lb) 0 13 y y F D      180 lb y D   255 lb  D 45.0°  www.elsolucionario.org
  • 418.
    Copyright © McGraw-HillEducation. Permission required for reproduction or display. PROBLEM 4.35 Bar AC supports two 400-N loads as shown. Rollers at A and C rest against frictionless surfaces and a cable BD is attached at B. Determine (a) the tension in cable BD, (b) the reaction at A, (c) the reaction at C. SOLUTION Similar triangles: ABE and ACD 0.15 m ; ; 0.075 m 0.5 m 0.25 m AE BE BE BE AD CD    (a) 0.075 0: (0.25 m) (0.5 m) (400 N)(0.1 m) (400 N)(0.4 m) 0 0.35 A x x M T T             1400 N x T  0.075 (1400 N) 0.35 300 N y T   1432 N T   www.elsolucionario.org
  • 419.
    Copyright © McGraw-HillEducation. Permission required for reproduction or display. PROBLEM 4.35 (Continued) (b) 0: 300 N 400 N 400 N 0 y F A       1100 N A   1100 N  A  (c) 0: 1400 N 0 x F C      1400 N C   1400 N  C  www.elsolucionario.org
  • 420.
    Copyright © McGraw-HillEducation. Permission required for reproduction or display. PROBLEM 4.36 A light bar AD is suspended from a cable BE and supports a 20-kg block at C. The ends A and D of the bar are in contact with frictionless vertical walls. Determine the tension in cable BE and the reactions at A and D. SOLUTION Free-Body Diagram: 2 (20 kg)(9.81 m/s ) 196.20 N W   0: x F A D    0: y BE F T W    196.2 N BE T   We note that the forces shown form two couples. 0: (200 mm) (196.20 N)(75 mm) 0 B M A     73.575 N A  73.6 N  A , 73.6 N  D  www.elsolucionario.org
  • 421.
    Copyright © McGraw-HillEducation. Permission required for reproduction or display. PROBLEM 4.37 The T-shaped bracket shown is supported by a small wheel at E and pegs at C and D. Neglecting the effect of friction, determine the reactions at C, D, and E when 30 .    SOLUTION Free-Body Diagram: 0: cos30 20 40 0 y F E       60 lb 69.282 lb cos 30° E   69.3 lb  E 60.0  0: (20 lb)(4 in.) (40 lb)(4 in.) (3 in.) sin 30 (3 in.) 0        D M C E 80 3 69.282(0.5)(3) 0 C     7.9743 lb C  7.97 lb  C  0: sin30 0 x F E C D       (69.282 lb)(0.5) 7.9743 lb 0 D    42.615 lb D  42.6 lb  D  www.elsolucionario.org
  • 422.
    Copyright © McGraw-HillEducation. Permission required for reproduction or display. PROBLEM 4.38 The T-shaped bracket shown is supported by a small wheel at E and pegs at C and D. Neglecting the effect of friction, determine (a) the smallest value of  for which the equilibrium of the bracket is maintained, (b) the corresponding reactions at C, D, and E. SOLUTION Free-Body Diagram: 0: cos 20 40 0 y F E       60 cos E   (1) 0: (20 lb)(4 in.) (40 lb)(4 in.) (3 in.) 60 + sin 3 in. 0 cos D M C              1 (180tan 80) 3 C    (a) For 0, C  180tan 80   4 tan 23.962 9      24.0     From Eq. (1): 60 65.659 cos23.962 E    0: sin 0 x F D C E        (65.659)sin 23.962 26.666 lb   D (b) 0, 26.7 lb,   C D 65.7 lb  E 66.0  www.elsolucionario.org
  • 423.
    Copyright © McGraw-HillEducation. Permission required for reproduction or display. PROBLEM 4.39 A movable bracket is held at rest by a cable attached at C and by frictionless rollers at A and B. For the loading shown, determine (a) the tension in the cable, (b) the reactions at A and B. SOLUTION Free-Body Diagram: (a) 0: 600 N 0 y F T     600 N T   (b) 0: 0 x F B A B A       Note that the forces shown form two couples. 0: (600 N)(600 mm) (90 mm) 0 M A     4000 N A  4000 N B   4.00 kN  A ; 4.00 kN  B  www.elsolucionario.org
  • 424.
    Copyright © McGraw-HillEducation. Permission required for reproduction or display. PROBLEM 4.40 A light bar AB supports a 15-kg block at its midpoint C. Rollers at A and B rest against frictionless surfaces, and a horizontal cable AD is attached at A. Determine (a) the tension in cable AD, (b) the reactions at A and B. SOLUTION Free-Body Diagram: 2 (15 kg)(9.81 m/s ) 147.150 N W   (a) 0: 105.107 N 0 x AD F T     105.1 N AD T   (b) 0: 0 y F A W     147.150 N 0 A  147.2 N  A  0: (350 mm) (147.150 N)(250 mm) 0 105.107 N A M B B      105.1 N  B  www.elsolucionario.org
  • 425.
    Copyright © McGraw-HillEducation. Permission required for reproduction or display. PROBLEM 4.41 Two slots have been cut in plate DEF, and the plate has been placed so that the slots fit two fixed, frictionless pins A and B. Knowing that P  15 lb, determine (a) the force each pin exerts on the plate, (b) the reaction at F. SOLUTION Free-Body Diagram: (a) 0: 15 lb sin30 0 x F B      30.0 lb  B 60.0°  (b) 0: (30 lb)(4 in.) sin30 (3 in.) cos30 (11in.) (13 in.) 0 A M B B F          120 lb in. (30 lb)sin30 (3 in.) (30 lb)cos30 (11in.) (13 in.) 0 F         16.2145 lb F   16.21lb  F  (a) 0: 30 lb cos30 0 y F A B F        30 lb (30 lb)cos30 16.2145 lb 0 A      20.23 lb A   20.2 lb  A  www.elsolucionario.org
  • 426.
    Copyright © McGraw-HillEducation. Permission required for reproduction or display. PROBLEM 4.42 For the plate of Problem 4.41 the reaction at F must be directed downward, and its maximum allowable value is 20 lb. Neglecting friction at the pins, determine the required range of values of P. PROBLEM 4.41 Two slots have been cut in plate DEF, and the plate has been placed so that the slots fit two fixed, frictionless pins A and B. Knowing that P  15 lb, determine (a) the force each pin exerts on the plate, (b) the reaction at F. SOLUTION Free-Body Diagram: 0: sin30 0 x F P B      2P  B 60° 0: (30 lb)(4 in.) sin30 (3 in.) cos30 (11in.) (13 in.) 0 A M B B F          120 lb in.+2 sin30 (3 in.) 2 cos30 (11in.) (13 in.) 0 120 3 19.0525 13 0 P P F P P F             13 120 22.0525 F P   (1) For 0: F  13(0) 120 5.442 lb 22.0525 P    For 20 lb: P  13(20) 120 17.232 lb 22.0525 P    For 0 20 lb: F   5.44 lb 17.23 lb P    www.elsolucionario.org
  • 427.
    Copyright © McGraw-HillEducation. Permission required for reproduction or display. PROBLEM 4.43 The rig shown consists of a 1200-lb horizontal member ABC and a vertical member DBE welded together at B. The rig is being used to raise a 3600-lb crate at a distance x  12 ft from the vertical member DBE. If the tension in the cable is 4 kips, determine the reaction at E, assuming that the cable is (a) anchored at F as shown in the figure, (b) attached to the vertical member at a point located 1 ft above E. SOLUTION Free-Body Diagram: 0: (3600 lb) (1200 lb)(6.5 ft) (3.75 ft) 0 E E M M x T      3.75 3600 7800 E M T x    (1) (a) For 12 ft and 4000 lbs, x T   3.75(4000) 3600(12) 7800 36,000 lb ft E M      0 0 x x F E     0: 3600 lb 1200 lb 4000 0 y y F E       8800 lb y E  8.80 kips  E ; 36.0 kip ft E   M     www.elsolucionario.org
  • 428.
    Copyright © McGraw-HillEducation. Permission required for reproduction or display. PROBLEM 4.43 (Continued) (b) 0: (3600 lb)(12 ft) (1200 lb)(6.5 ft) 0 E E M M        51,000 lb ft E M     0 0 x x F E     0: 3600 lb 1200 lb 0 y y F E      4800 lb y E  4.80 kips  E ; 51.0 kip ft E   M  www.elsolucionario.org
  • 429.
    Copyright © McGraw-HillEducation. Permission required for reproduction or display. PROBLEM 4.44 For the rig and crate of Prob. 4.43, and assuming that cable is anchored at F as shown, determine (a) the required tension in cable ADCF if the maximum value of the couple at E as x varies from 1.5 to 17.5 ft is to be as small as possible, (b) the corresponding maximum value of the couple. SOLUTION Free-Body Diagram: 0: (3600 lb) (1200 lb)(6.5 ft) (3.75 ft) 0 E E M M x T      3.75 3600 7800 E M T x    (1) For 1.5 ft, Eq. (1) becomes x  1 ( ) 3.75 3600(1.5) 7800 E M T    (2) For 17.5 ft, Eq. (1) becomes x  2 ( ) 3.75 3600(17.5) 7800 E M T    (a) For smallest max value of | |, E M we set 1 2 ( ) ( ) E E M M   3.75 13,200 3.75 70,800 T T     11.20 kips  T  (b) From Equation (2), then 3.75(11.20) 13.20 E M   | | 28.8 kip ft E M    www.elsolucionario.org
  • 430.
    Copyright © McGraw-HillEducation. Permission required for reproduction or display. PROBLEM 4.45 A 175-kg utility pole is used to support at C the end of an electric wire. The tension in the wire is 600 N, and the wire forms an angle of 15° with the horizontal at C. Determine the largest and smallest allowable tensions in the guy cable BD if the magnitude of the couple at A may not exceed 500 N·m. SOLUTION Free-Body Diagram: Geometry: Distance BD = 2 2 (1.5) (3.6)   3.90 m Note also that: W  mg  (175 kg)(9.81 m/s2 )  1716.75 N With MA  500 N m  clockwise: (i.e. corresponding to Tmax ) 0: A M   500 N m   – [(600 N) cos 15o ](4.5 m) + max 1.5 3.90 T             (3.6 m)  0 Tmax  2244.7 N or Tmax  2240 N With MA  500 N m  counter-clockwise: (i.e. corresponding to Tmin ) 0: A M   500 N m  – [(600 N) cos 15o ](4.5 m) + min 1.5 3.90 T             (3.6 m)  0 Tmin  1522.44 N or Tmin  1522 N www.elsolucionario.org
  • 431.
    Copyright © McGraw-HillEducation. Permission required for reproduction or display. PROBLEM 4.46 Knowing that the tension in wire BD is 1300 N, determine the reaction at the fixed support C of the frame shown. SOLUTION 1300 N 5 13 500 N 12 13 1200 N x y T T T T T      0: 450 N 500 N 0 50 N x x x M C C        50 N x  C 0: 750 N 1200 N 0 1950 N y y y F C C        1950 N y  C 1951 N  C 88.5°  0: (750 N)(0.5 m) (4.50 N)(0.4 m) (1200 N)(0.4 m) 0 C C M M       75.0 N m C M    75.0 N m C   M  www.elsolucionario.org
  • 432.
    Copyright © McGraw-HillEducation. Permission required for reproduction or display. PROBLEM 4.47 Determine the range of allowable values of the tension in wire BD if the magnitude of the couple at the fixed support C is not to exceed 100 N · m. SOLUTION 5 0: (750 N)(0.5 m) (450 N)(0.4 m) (0.6 m) 13 12 (0.15 m) 0 13 C C M T T M                    4.8 375 N m 180 N m m 0 13 C T M             13 (555 ) 4.8 C T M   For 13 100 N m: (555 100) 1232 N 4.8 C M T       For 13 100 N m: (555 100) 1774 N 4.8 C M T       For | | 100 N m: C M   1.232 kN 1.774 kN T    www.elsolucionario.org
  • 433.
    Copyright © McGraw-HillEducation. Permission required for reproduction or display. PROBLEM 4.48 Beam AD carries the two 40-lb loads shown. The beam is held by a fixed support at D and by the cable BE that is attached to the counterweight W. Determine the reaction at D when (a) 100 W  lb, (b) 90 lb. W  SOLUTION (a) 100 lb W  From F.B.D. of beam AD: 0: 0 x x F D    0: 40 lb 40 lb 100 lb 0 y y F D       20.0 lb y D   or 20.0 lb  D  0: (100 lb)(5 ft) (40 lb)(8 ft) (40 lb)(4 ft) 0 D D M M       20.0 lb ft D M   or 20.0 lb ft D   M  (b) 90 lb W  From F.B.D. of beam AD: 0: 0 x x F D    0: 90 lb 40 lb 40 lb 0 y y F D       10.00 lb y D   or 10.00 lb  D  0: (90 lb)(5 ft) (40 lb)(8 ft) (40 lb)(4 ft) 0 D D M M       30.0 lb ft D M    or 30.0 lb ft D   M  www.elsolucionario.org
  • 434.
    Copyright © McGraw-HillEducation. Permission required for reproduction or display. PROBLEM 4.49 For the beam and loading shown, determine the range of values of W for which the magnitude of the couple at D does not exceed 40 lb  ft. SOLUTION For min , W 40 lb ft D M    From F.B.D. of beam AD: min 0: (40 lb)(8 ft) (5 ft) (40 lb)(4 ft) 40 lb ft 0 D M W        min 88.0 lb W  For max, W 40 lb ft D M   From F.B.D. of beam AD: max 0: (40 lb)(8 ft) (5 ft) (40 lb)(4 ft) 40 lb ft 0 D M W        max 104.0 lb W  or 88.0 lb 104.0 lb W    www.elsolucionario.org
  • 435.
    Copyright © McGraw-HillEducation. Permission required for reproduction or display. PROBLEM 4.50 An 8-kg mass can be supported in the three different ways shown. Knowing that the pulleys have a 100-mm radius, determine the reaction at A in each case. SOLUTION               2 (8 kg)(9.81 m/s ) 78.480 N W mg    (a) 0: 0 x x F A    0: 0 y y F A W     78.480 N y  A 0: (1.6 m) 0 A A M M W     (78.480 N)(1.6 m) A M   125.568 N m A   M 78.5 N  A , 125.6 N m A   M  (b) 0: 0 x x F A W     78.480 x  A 0: 0 y y F A W     78.480 y  A (78.480 N) 2 110.987 N   A 45° 0: (1.6 m) 0 A A M M W     (78.480 N)(1.6 m) 125.568 N m A A M     M 111.0 N  A 45°, 125.6 N m A   M  (c) 0: 0 x x F A    0: 2 0 y y F A W     2 2(78.480 N) 156.960 N y A W    0: 2 (1.6 m) 0 A A M M W     2(78.480 N)(1.6 m) A M   251.14 N m A   M 157.0 N  A , 251 N m A   M  www.elsolucionario.org
  • 436.
    Copyright © McGraw-HillEducation. Permission required for reproduction or display. PROBLEM 4.51 A uniform rod AB with a length of l and weight of W is suspended from two cords AC and BC of equal length. Determine the angle θ corresponding to the equilibrium position when a couple M is applied to the rod. SOLUTION Free-Body Diagram: Using h  tan 2 l  0: C M   (W)( sin ) 0 M h    or sin M Wh   2 cot M W l         or 1 cot sin 2M Wl            www.elsolucionario.org
  • 437.
    Copyright © McGraw-HillEducation. Permission required for reproduction or display. PROBLEM 4.52 Rod AD is acted upon by a vertical force P at end A and by two equal and opposite horizontal forces of magnitude Q at points B and C. Neglecting the weight of the rod, express the angle  corresponding to the equilibrium position in terms of P and Q. SOLUTION Free-Body Diagram: 0: D M   (3 sin ) ( cos ) (2 cos ) 0 P a Q a Q a       3 sin cos P Q    tan 3 Q P   or 1 tan 3 Q P           www.elsolucionario.org
  • 438.
    Copyright © McGraw-HillEducation. Permission required for reproduction or display. PROBLEM 4.53 A slender rod AB, of weight W, is attached to blocks A and B, which move freely in the guides shown. The blocks are connected by an elastic cord that passes over a pulley at C. (a) Express the tension in the cord in terms of W and . (b) Determine the value of  for which the tension in the cord is equal to 3W. SOLUTION (a) From F.B.D. of rod AB: 1 0: ( sin ) cos ( cos ) 0 2 C M T l W T l                     cos 2(cos sin ) W T      Dividing both numerator and denominator by cos , 1 2 1 tan W T          or   2 (1 tan ) W T     (b) For 3 , T W    2 3 (1 tan ) 1 1 tan 6 W W       or 1 5 tan 39.806 6            or 39.8     www.elsolucionario.org
  • 439.
    Copyright © McGraw-HillEducation. Permission required for reproduction or display. PROBLEM 4.54 A vertical load P is applied at end B of rod BC. (a) Neglecting the weight of the rod, express the angle  corresponding to the equilibrium position in terms of P, l, and the counterweight W. (b) Determine the value of  corresponding to equilibrium if P  2W. SOLUTION Free-Body Diagram: (a) Triangle ABC is isosceles. We have ( )cos cos 2 2 CD BC l                 0: ( cos ) cos 0 2 C M P l W l             Setting 2 cos 2cos 1: 2     2 2cos 1 cos 0 2 2 Pl Wl            2 2 2 1 cos cos 0 2 2 2 2 1 cos 8 2 4 W P W W P P                        2 1 2 1 2cos 8 4 W W P P                        www.elsolucionario.org
  • 440.
    Copyright © McGraw-HillEducation. Permission required for reproduction or display. PROBLEM 4.54 (Continued) (b) For 2 , P W    1 1 1 1 cos 8 1 33 2 4 2 4 8               cos 0.84307 and cos 0.59307 2 2 32.534 126.375 2 2            65.1    252.75 (discard)    65.1     www.elsolucionario.org
  • 441.
    Copyright © McGraw-HillEducation. Permission required for reproduction or display. PROBLEM 4.55 A vertical load P is applied at end B of rod BC. (a) Neglecting the weight of the rod, express the angle  corresponding to the equilibrium position in terms of P, l, and the counterweight W. (b) Determine the value of  corresponding to equilibrium if P  2W. SOLUTION (a) Triangle ABC is isosceles. We have ( )cos cos 2 2 CD BC l     0: cos ( sin ) 0 2 C M W l P l             Setting sin 2sin cos : cos 2 sin cos 0 2 2 2 2 2 Wl Pl          2 sin 0 2 W P    1 2sin 2 W P           (b) For 2 , P W  sin 0.25 2 2 4 W W P W     14.5 2    29.0     or 165.5 331 (discard) 2       www.elsolucionario.org
  • 442.
    Copyright © McGraw-HillEducation. Permission required for reproduction or display. PROBLEM 4.56 A collar B of weight W can move freely along the vertical rod shown. The constant of the spring is k, and the spring is unstretched when  0.  (a) Derive an equation in , W, k, and l that must be satisfied when the collar is in equilibrium. (b) Knowing that 300 N, W  l 500 mm,  and 800 N/m, k  determine the value of  corresponding to equilibrium. SOLUTION First note: T ks  where spring constant elongation of spring cos (1 cos ) cos (1 cos ) cos k s l l l kl T              (a) From F.B.D. of collar B: 0: sin 0 y F T W      or (1 cos )sin 0 cos kl W       or tan sin W kl      (b) For 3 lb 6 in. 8 lb/ft 6 in. 0.5 ft 12 in./ft 3 lb tan sin 0.75 (8 lb/ft)(0.5 ft) W l k l           Solving numerically, 57.957    or 58.0     www.elsolucionario.org
  • 443.
    Copyright © McGraw-HillEducation. Permission required for reproduction or display. PROBLEM 4.57 Solve Sample Problem 4.5, assuming that the spring is unstretched when 90 .    SOLUTION First note: tension in spring T ks   where deformation of spring s r F kr      From F.B.D. of assembly: 0 0: ( cos ) ( ) 0 M W l F r      or 2 2 cos 0 cos Wl kr kr Wl        For 2 250 lb/in. 3 in. 8 in. 400 lb (250 lb/in.)(3 in.) cos (400 lb)(8 in.) k r l W        or cos 0.703125    Solving numerically, 0.89245 rad   or 51.134    Then 90 51.134 141.134        or 141.1     www.elsolucionario.org
  • 444.
    Copyright © McGraw-HillEducation. Permission required for reproduction or display. PROBLEM 4.58 A vertical load P is applied at end B of rod BC. The constant of the spring is k, and the spring is unstretched when θ = 60°. (a) Neglecting the weight of the rod, express the angle θ corresponding to the equilibrium position terms of P, k, and l. (b) Determine the value of θ corresponding to equilibrium if P = 4 1 kl. SOLUTION Free-Body Diagram: (a) Triangle ABC is isosceles. We have 2( ) 2 sin ; cos 2 2 AB AD l CD l                  Elongation of spring: ( ) ( ) 60 2 sin 2 sin30 2 x AB AB l l                 1 2 sin 2 2 T k x kl           0: cos ( sin ) 0 2 C M T l P l             www.elsolucionario.org
  • 445.
    Copyright © McGraw-HillEducation. Permission required for reproduction or display. PROBLEM 4.58 (Continued) 1 2 1 2 sin cos 2sin cos 0 2 2 2 2 2 cos 0 or 2( )sin 0 2 2 180 (trivial) sin 2 kl l Pl kl P kl kl kl P                                1 1 2sin /( ) 2 kl kl P            (b) For 1 , 4 P kl  1 2 3 4 2 sin 2 3 kl kl    41.8 2    83.6     www.elsolucionario.org
  • 446.
    Copyright © McGraw-HillEducation. Permission required for reproduction or display. PROBLEM 4.59 Eight identical 500 750-mm  rectangular plates, each of mass 40 kg, m  are held in a vertical plane as shown. All connections consist of frictionless pins, rollers, or short links. In each case, determine whether (a) the plate is completely, partially, or improperly constrained, (b) the reactions are statically determinate or indeterminate, (c) the equilibrium of the plate is maintained in the position shown. Also, wherever possible, compute the reactions. SOLUTION 1. Three non-concurrent, non-parallel reactions: (a) Plate: completely constrained (b) Reactions: determinate (c) Equilibrium maintained 196.2 N   A C 2. Three non-concurrent, non-parallel reactions: (a) Plate: completely constrained (b) Reactions: determinate (c) Equilibrium maintained 0, 196.2 N    B C D 3. Four non-concurrent, non-parallel reactions: (a) Plate: completely constrained (b) Reactions: indeterminate (c) Equilibrium maintained 294 N x  A , 294 N x  D ( 392 N y y   A D ) 4. Three concurrent reactions (through D): (a) Plate: improperly constrained (b) Reactions: indeterminate (c) No equilibrium ( 0) D M   www.elsolucionario.org
  • 447.
    Copyright © McGraw-HillEducation. Permission required for reproduction or display. PROBLEM 4.59 (Continued) 5. Two reactions: (a) Plate: partial constraint (b) Reactions: determinate (c) Equilibrium maintained 196.2 N   C D 6. Three non-concurrent, non-parallel reactions: (a) Plate: completely constrained (b) Reactions: determinate (c) Equilibrium maintained 294 N  B , 491 N  D 53.1° 7. Two reactions: (a) Plate: improperly constrained (b) Reactions determined by dynamics (c) No equilibrium ( 0) y F   8. Four non-concurrent, non-parallel reactions: (a) Plate: completely constrained (b) Reactions: indeterminate (c) Equilibrium maintained 196.2 N y   B D ( 0) x   C D www.elsolucionario.org
  • 448.
    Copyright © McGraw-HillEducation. Permission required for reproduction or display. PROBLEM 4.60 The bracket ABC can be supported in the eight different ways shown. All connections consist of smooth pins, rollers, or short links. For each case, answer the questions listed in Problem 4.59, and, wherever possible, compute the reactions, assuming that the magnitude of the force P is 100 lb. SOLUTION 1. Three non-concurrent, non-parallel reactions: (a) Bracket: complete constraint (b) Reactions: determinate (c) Equilibrium maintained 120.2 lb  A 56.3°, 66.7 lb  B 2. Four concurrent, reactions (through A): (a) Bracket: improper constraint (b) Reactions: indeterminate (c) No equilibrium ( 0) A M   3. Two reactions: (a) Bracket: partial constraint (b) Reactions: indeterminate (c) Equilibrium maintained 50 lb  A , 50 lb  C 4. Three non-concurrent, non-parallel reactions: (a) Bracket: complete constraint (b) Reactions: determinate (c) Equilibrium maintained 50 lb  A , 83.3 lb  B 36.9°, 66.7 lb  C www.elsolucionario.org
  • 449.
    Copyright © McGraw-HillEducation. Permission required for reproduction or display. PROBLEM 4.60 (Continued) 5. Four non-concurrent, non-parallel reactions: (a) Bracket: complete constraint (b) Reactions: indeterminate (c) Equilibrium maintained ( 0) 50 lb C y M    A 6. Four non-concurrent, non-parallel reactions: (a) Bracket: complete constraint (b) Reactions: indeterminate (c) Equilibrium maintained 66.7 lb x  A 66.7 lb x  B ( 100 lb y y   A B ) 7. Three non-concurrent, non-parallel reactions: (a) Bracket: complete constraint (b) Reactions: determinate (c) Equilibrium maintained 50 lb   A C 8. Three concurrent, reactions (through A) (a) Bracket: improper constraint (b) Reactions: indeterminate (c) No equilibrium ( 0) A M   www.elsolucionario.org
  • 450.
    Copyright © McGraw-HillEducation. Permission required for reproduction or display. PROBLEM 4.61 A 500-lb cylindrical tank, 8 ft in diameter, is to be raised over a 2-ft obstruction. A cable is wrapped around the tank and pulled horizontally as shown. Knowing that the corner of the obstruction at A is rough, find the required tension in the cable and the reaction at A. SOLUTION Free-Body Diagram: Force triangle 2 ft cos 0.5 60 4 ft GD AG        1 30 ( 60 ) 2 (500 lb) tan 30° T          T=289 lb 500 lb cos30 A   577 lb  A 60.0  www.elsolucionario.org
  • 451.
    Copyright © McGraw-HillEducation. Permission required for reproduction or display. PROBLEM 4.62 Determine the reactions at A and B when 180 mm. a  SOLUTION Reaction at B must pass through D where A and 300-N load intersect. : BCD  240 tan 180 53.13      Force triangle (300 N) tan53.13 400 N A    400 N  A  300 N cos 53.13° 500 N B    500 N  B 53.1  Free-Body Diagram: (Three-force member) www.elsolucionario.org
  • 452.
    Copyright © McGraw-HillEducation. Permission required for reproduction or display. PROBLEM 4.63 For the bracket and loading shown, determine the range of values of the distance a for which the magnitude of the reaction at B does not exceed 600 N. SOLUTION Reaction at B must pass through D where A and 300-N load intersect. 240 mm tan a   (1) Force Triangle (with 600 N) B  300 N cos 0.5 600 N 60.0       Eq. (1) 240 mm tan 60.0° 138.56 mm a   For 600 N B  138.6 mm a   Free-Body Diagram: (Three-force member) www.elsolucionario.org
  • 453.
    Copyright © McGraw-HillEducation. Permission required for reproduction or display. PROBLEM 4.64 The spanner shown is used to rotate a shaft. A pin fits in a hole at A, while a flat, frictionless surface rests against the shaft at B. If a 60-lb force P is exerted on the spanner at D, find the reactions at A and B. SOLUTION Free-Body Diagram: (Three-force body) The line of action of A must pass through D, where B and P intersect. 3sin50 tan 3cos50 15 0.135756 7.7310          60 lb sin 7.7310° 446.02 lb 60 lb tan 7.7310° 441.97 lb A B     Force triangle 446 lb  A 7.73   442 lb  B  www.elsolucionario.org
  • 454.
    Copyright © McGraw-HillEducation. Permission required for reproduction or display. PROBLEM 4.65 Determine the reactions at B and C when a = 30 mm. SOLUTION Since CD is a two-force member, the force it exerts on member ABD is directed along DC. Free-Body Diagram of ABD: (Three-Force member) The reaction at B must pass through E, where D and the 250-N load intersect. Triangle CFD: 60 tan 0.6 100 30.964       Triangle EAD: 200tan 120 mm 120 30 90 mm AE GE AE AG         Triangle EGB: 60 tan 90 33.690 GB GE       Force triangle 250 N sin120.964 sin33.690 sin 25.346° B D     500.7 N 323.9 N B D   501 N  B 56.3   324 N   C D 31.0  www.elsolucionario.org
  • 455.
    Copyright © McGraw-HillEducation. Permission required for reproduction or display. PROBLEM 4.66 A 12-ft wooden beam weighing 80 lb is supported by a pin and bracket at A and by cable BC. Find the reaction at A and the tension in the cable. SOLUTION Since CB is a two-force member, the force it exerts on member AB is directed along CB. Free-Body Diagram of AB: (Three-Force member) The reaction at B must pass through E, where T and the 80-lb load intersect. Triangle CFD:     2 6 ft 1.50 ft 8 BG DG AC AB DG    Triangle EAD: 1.50 tan 6 14.0362 DG AE       Triangle EGB: Force triangle 80 lb sin53.13 sin75.964 sin 50.906° A T     82.5 lb  A 14.04   100.0 lb T   www.elsolucionario.org
  • 456.
    Copyright © McGraw-HillEducation. Permission required for reproduction or display. PROBLEM 4.67 Determine the reactions at B and D when 60 mm. b  SOLUTION Since CD is a two-force member, the line of action of reaction at D must pass through Points C and D. Free-Body Diagram: (Three-force body) Reaction at B must pass through E, where the reaction at D and the 80-N force intersect. 220 mm tan 250 mm 41.348      Force triangle Law of sines: 80 N sin 3.652° sin 45 sin131.348 888.0 N 942.8 N B D B D        888 N  B 41.3 943 N  D 45.0  www.elsolucionario.org
  • 457.
    Copyright © McGraw-HillEducation. Permission required for reproduction or display. PROBLEM 4.68 For the frame and loading shown, determine the reactions at C and D. SOLUTION Since BD is a two-force member, the reaction at D must pass through Points B and D. Free-Body Diagram: (Three-force body) Reaction at C must pass through E, where the reaction at D and the 150-lb load intersect. Triangle CEF: 4.5 ft tan 56.310 3 ft      Triangle ABE: 1 tan 26.565 2      www.elsolucionario.org
  • 458.
    Copyright © McGraw-HillEducation. Permission required for reproduction or display. PROBLEM 4.68 (Continued) Force Triangle Law of sines: 150 lb sin 29.745 sin116.565 sin33.690 C D      270.42 lb, 167.704 lb C D   270 lb  C 56.3 ;  167.7 lb  D 26.6 www.elsolucionario.org
  • 459.
    Copyright © McGraw-HillEducation. Permission required for reproduction or display. PROBLEM 4.69 A 50-kg crate is attached to the trolley-beam system shown. Knowing that 1.5 m, a  determine (a) the tension in cable CD, (b) the reaction at B. SOLUTION Three-force body: W and CD T intersect at E. 0.7497 m tan 1.5 m 26.556      Three forces intersect at E. 2 (50 kg) 9.81 m/s 490.50 N W   Force triangle Law of sines: 490.50 N sin 61.556° sin 63.444 sin55 498.99 N 456.96 N CD CD T B T B       (a) 499 N CD T   (b) 457 N  B 26.6  www.elsolucionario.org
  • 460.
    Copyright © McGraw-HillEducation. Permission required for reproduction or display. PROBLEM 4.70 One end of rod AB rests in the corner A and the other end is attached to cord BD. If the rod supports a 150-N load at its midpoint C, find the reaction at A and the tension in the cord. SOLUTION Free-Body Diagram: (Three-force body) Dimensions in mm The line of action of reaction at A must pass through E, where T and the 150-N load intersect. Force triangle 460 tan 240 62.447 100 tan 240 22.620 EF AF EH DH             150 N sin67.380 sin 27.553 sin 85.067° A T     139.0 N  A 62.4  69.6 N T   www.elsolucionario.org
  • 461.
    Copyright © McGraw-HillEducation. Permission required for reproduction or display. PROBLEM 4.71 For the boom and loading shown, determine (a) the tension in cord BD, (b) the reaction at C. SOLUTION Three-force body: 3-kip load and T intersect at E. Geometry: 32 ; 12 48 8 in. BF CF BF AG CG BF    32 32 8 24 in. 48 ; ; 36 in. 24 32 36 32 4 in. BH BF JE DJ JE JE BH DH EG JE JG              4 in. tan 48 in. 4.7636 24 in. tan 32 in. 36.870           Force Triangle Law of sines: 3 kips sin94.764 sin32.106 sin53.13 BD T C      (a) 5.63 kips BD T   (b) 4.52 kips  C 4.76  Free-Body Diagram: www.elsolucionario.org
  • 462.
    Copyright © McGraw-HillEducation. Permission required for reproduction or display. PROBLEM 4.72 A 40-lb roller, of diameter 8 in., which is to be used on a tile floor, is resting directly on the subflooring as shown. Knowing that the thickness of each tile is 0.3 in., determine the force P required to move the roller onto the tiles if the roller is (a) pushed to the left, (b) pulled to the right. SOLUTION   Force Triangle    Force Triangle   Geometry: For each case as roller comes into contact with tile, 1 3.7 in. cos 4 in. 22.332       (a) Roller pushed to left (three-force body): Forces must pass through O. Law of sines: 40 lb ; 24.87 lb sin37.668 sin 22.332 P P     24.9 lb  P 30.0°  (b) Roller pulled to right (three-force body): Forces must pass through O. Law of sines: 40 lb ; 15.3361 lb sin97.668 sin 22.332 P P     15.34 lb  P 30.0°   www.elsolucionario.org
  • 463.
    Copyright © McGraw-HillEducation. Permission required for reproduction or display. PROBLEM 4.73 A T-shaped bracket supports a 300-N load as shown. Determine the reactions at A and C when α  45°. SOLUTION Free-Body Diagram: (Three-force body) The line of action of C must pass through E, where A and the 300-N force intersect. Triangle ABE is isosceles: 400 mm EA AB   In triangle CEF: 150 mm tan 700 mm CF CF EF EA AF      12.0948    www.elsolucionario.org
  • 464.
    Copyright © McGraw-HillEducation. Permission required for reproduction or display. PROBLEM 4.73 (Continued) Force Triangle Law of sines: 300 N sin32.905 sin135 sin12.0948 A C      778 N  A ; 1012 N  C 77.9  www.elsolucionario.org
  • 465.
    Copyright © McGraw-HillEducation. Permission required for reproduction or display. PROBLEM 4.74 A T-shaped bracket supports a 300-N load as shown. Determine the reactions at A and C when α  60°. SOLUTION Free-Body Diagram: (400 mm) tan30° 230.94 mm EA   In triangle CEF: tan CF CF EF EA AF     150 tan 230.94 300 15.7759       www.elsolucionario.org
  • 466.
    Copyright © McGraw-HillEducation. Permission required for reproduction or display. PROBLEM 4.74 (Continued) Force Triangle Law of sines: 300 N sin 44.224 sin120 sin15.7759 770 N 956 N A C A C        770 N  A ; 956 N  C 74.2  www.elsolucionario.org
  • 467.
    Copyright © McGraw-HillEducation. Permission required for reproduction or display. PROBLEM 4.75 Rod AB is supported by a pin and bracket at A and rests against a frictionless peg at C. Determine the reactions at A and C when a 170-N vertical force is applied at B. SOLUTION The reaction at A must pass through D where C and the 170-N force intersect. 160 mm tan 300 mm 28.07      We note that triangle ABD is isosceles (since AC  BC) and, therefore, 28.07 CAD      Also, since , CD CB  reaction C forms angle 28.07   with the horizontal axis. Force triangle We note that A forms angle 2 with the vertical axis. Thus, A and C form angle 180 (90 ) 2 90            Force triangle is isosceles, and we have 170 N 2(170 N)sin 160.0 N A C     170.0 N  A 33.9°; 160.0 N  C 28.1°  Free-Body Diagram: (Three-force body) www.elsolucionario.org
  • 468.
    Copyright © McGraw-HillEducation. Permission required for reproduction or display. PROBLEM 4.76 Solve Problem 4.75, assuming that the 170-N force applied at B is horizontal and directed to the left. PROBLEM 4.75 Rod AB is supported by a pin and bracket at A and rests against a frictionless peg at C. Determine the reactions at A and C when a 170-N vertical force is applied at B. SOLUTION Free-Body Diagram: (Three-Force body) The reaction at A must pass through D, where C and the 170-N force intersect. 160 mm tan 300 mm 28.07      We note that triangle ADB is isosceles (since AC  BC). Therefore 90 . A B        Also 2 ADB    Force triangle The angle between A and C must be 2     Thus, force triangle is isosceles and 28.07    170.0 N 2(170 N)cos 300 N A C     170.0 N  A 56.1° 300 N  C 28.1°  www.elsolucionario.org
  • 469.
    Copyright © McGraw-HillEducation. Permission required for reproduction or display. PROBLEM 4.77 Member ABC is supported by a pin and bracket at B and by an inextensible cord attached at A and C and passing over a frictionless pulley at D. The tension may be assumed to be the same in portions AD and CD of the cord. For the loading shown and neglecting the size of the pulley, determine the tension in the cord and the reaction at B. SOLUTION Reaction at B must pass through D. 7 in. tan 12 in. 30.256 7 in. tan 24 in. 16.26           Force Triangle Law of sines: 72 lb sin59.744 sin13.996 sin106.26 (sin13.996 ) ( 72 lb)(sin 59.744°) (0.24185) ( 72)(0.86378) T T B T T T T           100.00 lb T  100.0 lb T   sin 106.26° (100 lb) sin59.744 111.14 lb B    111.1 lb  B 30.3  Free-Body Diagram: www.elsolucionario.org
  • 470.
    Copyright © McGraw-HillEducation. Permission required for reproduction or display. PROBLEM 4.78 Using the method of Section 4.7, solve Problem 4.22. PROBLEM 4.22 A lever AB is hinged at C and attached to a control cable at A. If the lever is subjected to a 500-N horizontal force at B, determine (a) the tension in the cable, (b) the reaction at C. SOLUTION Reaction at C must pass through E, where FAD and 500-N force intersect. Since 250 mm, AC CD   triangle ACD is isosceles. We have 90 30 120 C        and 1 (180 120 ) 30 2 A D          Dimensions in mm On the other hand, from triangle BCF: ( )sin30 200 sin 30 100 mm 250 100 150 mm CF BC FD CD CF           From triangle EFD, and since 30 : D    ( )tan30 150tan30 86.60 mm EF FD      From triangle EFC: 100 mm tan 86.60 mm 49.11 CF EF       Force triangle Law of sines 500 N sin 49.11 sin60 sin 70.89° 400 N, 458 N AD AD F C F C       (a) 400 N AD F   (b) 458 N  C 49.1°  Free-Body Diagram: (Three-Force body) www.elsolucionario.org
  • 471.
    Copyright © McGraw-HillEducation. Permission required for reproduction or display. PROBLEM 4.79 Knowing that   30, determine the reaction (a) at B, (b) at C. SOLUTION Reaction at C must pass through D where force P and reaction at B intersect. In  CDE: ( 3 1) tan 3 1 36.2 R R         Force Triangle Law of sines: sin 23.8 sin126.2 sin30 2.00 1.239 P B C B P C P        (a) 2P  B 60.0°  (b) 1.239P  C 36.2°  Free-Body Diagram: (Three-force body) www.elsolucionario.org
  • 472.
    Copyright © McGraw-HillEducation. Permission required for reproduction or display. PROBLEM 4.80 Knowing that   60, determine the reaction (a) at B, (b) at C. SOLUTION Reaction at C must pass through D where force P and reaction at B intersect. In CDE: 3 tan 1 1 3 22.9 R R R         Force Triangle Law of sines: sin52.9 sin67.1 sin60 1.155 1.086 P B C B P C P        (a) 1.155P  B 30.0°  (b) 1.086P  C 22.9°  Free-Body Diagram: (Three-force body) www.elsolucionario.org
  • 473.
    Copyright © McGraw-HillEducation. Permission required for reproduction or display. PROBLEM 4.81 Determine the reactions at A and B when 50°.   SOLUTION Free-Body Diagram: (Three-force body) Reaction A must pass through Point D where the 100-N force and B intersect. In right  BCD: 90 75 15 250tan 75 933.01 mm BD           In right  ABD: 150 mm tan 933.01mm 9.1333 AB BD       Force Triangle Law of sines: 100 N sin9.1333° sin15 sin155.867 163.1 N; 257.6 N A B A B       163.1 N  A 74.1° 258 N  B 65.0°  Dimensions in mm www.elsolucionario.org
  • 474.
    Copyright © McGraw-HillEducation. Permission required for reproduction or display. PROBLEM 4.82 Determine the reactions at A and B when   80. SOLUTION Free-Body Diagram: (Three-force body) Reaction A must pass through D where the 100-N force and B intersect. In right triangle BCD: 90 75 15        tan75 250 tan75 933.01 mm BD BC BD      In right triangle ABD: 150 mm tan 933.01 mm AB BD    9.1333    www.elsolucionario.org
  • 475.
    Copyright © McGraw-HillEducation. Permission required for reproduction or display. PROBLEM 4.82 (Continued) Force Triangle Law of sines: 100 N sin 9.1333° sin15 sin155.867 A B      163.1 N  A 55.9   258 N  B 65.0  www.elsolucionario.org
  • 476.
    Copyright © McGraw-HillEducation. Permission required for reproduction or display. PROBLEM 4.83 Rod AB is bent into the shape of an arc of circle and is lodged between two pegs D and E. It supports a load P at end B. Neglecting friction and the weight of the rod, determine the distance c corresponding to equilibrium when a  20 mm and R  100 mm. SOLUTION Free-Body Diagram: Since , ED ED y x a   slope of ED is 45 ;  slope of HC is 45 .  Also 2 DE a  and 1 2 2 a DH HE DE          For triangles DHC and EHC, 2 sin 2 a a R R    Now sin(45 ) c R     For 20 mm and 100 mm 20 mm sin 2(100 mm) 0.141421 8.1301 a R         and (100 mm)sin(45 8.1301 ) c     60.00 mm  or 60.0 mm c   www.elsolucionario.org
  • 477.
    Copyright © McGraw-HillEducation. Permission required for reproduction or display. PROBLEM 4.84 A slender rod of length L is attached to collars that can slide freely along the guides shown. Knowing that the rod is in equilibrium, derive an expression for the angle  in terms of the angle . SOLUTION As shown in the free-body diagram of the slender rod AB, the three forces intersect at C. From the force geometry: Free-Body Diagram: tan GB AB x y   where cos AB y L   and 1 sin 2 GB x L   1 2 sin tan cos 1 tan 2 L L       or tan 2tan     www.elsolucionario.org
  • 478.
    Copyright © McGraw-HillEducation. Permission required for reproduction or display. PROBLEM 4.85 An 8-kg slender rod of length L is attached to collars that can slide freely along the guides shown. Knowing that the rod is in equilibrium and that   30, determine (a) the angle  that the rod forms with the vertical, (b) the reactions at A and B. SOLUTION (a) As shown in the free-body diagram of the slender rod AB, the three forces intersect at C. From the geometry of the forces: Free-Body Diagram: tan CB BC x y   where 1 sin 2 CB x L   and cos 1 tan tan 2 BC y L      or tan 2tan    For 30    tan 2tan30 1.15470 49.107        or 49.1     (b) 2 (8 kg)(9.81 m/s ) 78.480 N W mg    From force triangle: tan (78.480 N)tan30 A W     45.310 N  or 45.3 N  A  and 78.480 N 90.621 N cos cos30 W B      or 90.6 N  B 60.0  www.elsolucionario.org
  • 479.
    Copyright © McGraw-HillEducation. Permission required for reproduction or display. PROBLEM 4.86 A uniform rod AB of length 2R rests inside a hemispherical bowl of radius R as shown. Neglecting friction, determine the angle  corresponding to equilibrium. SOLUTION Based on the F.B.D., the uniform rod AB is a three-force body. Point E is the point of intersection of the three forces. Since force A passes through O, the center of the circle, and since force C is perpendicular to the rod, triangle ACE is a right triangle inscribed in the circle. Thus, E is a point on the circle. Note that the angle  of triangle DOA is the central angle corresponding to the inscribed angle of triangle DCA. 2    The horizontal projections of , ( ), AE AE x and , ( ), AG AG x are equal. AE AG A x x x   or ( )cos2 ( )cos AE AG    and (2 )cos2 cos R R    Now 2 cos2 2cos 1     then 2 4cos 2 cos     or 2 4cos cos 2 0      Applying the quadratic equation, cos 0.84307 and cos 0.59307      32.534 and 126.375 (Discard)       or 32.5     www.elsolucionario.org
  • 480.
    Copyright © McGraw-HillEducation. Permission required for reproduction or display. PROBLEM 4.87 A slender rod BC of length L and weight W is held by two cables as shown. Knowing that cable AB is horizontal and that the rod forms an angle of 40 with the horizontal, determine (a) the angle  that cable CD forms with the horizontal, (b) the tension in each cable. SOLUTION Free-Body Diagram: (Three-force body) (a) The line of action of TCD must pass through E, where TAB and W intersect. 1 2 tan sin 40 cos40 2tan 40 59.210 CF EF L L          59.2     (b) Force Triangle tan30.790 0.59588 AB T W W    0.596 AB T W    cos30.790 1.16408 CD W T W      1.164 CD T W   www.elsolucionario.org
  • 481.
    Copyright © McGraw-HillEducation. Permission required for reproduction or display. PROBLEM 4.88 A thin ring of mass 2 kg and radius r  140 mm is held against a frictionless wall by a 125-mm string AB. Determine (a) the distance d, (b) the tension in the string, (c) the reaction at C. SOLUTION Free-Body Diagram: (Three-force body) The force T exerted at B must pass through the center G of the ring, since C and W intersect at that point. Thus, points A, B, and G are in a straight line. (a) From triangle ACG: 2 2 2 2 ( ) ( ) (265 mm) (140 mm) 225.00 mm d AG CG      225 mm d   Force Triangle 2 (2 kg)(9.81 m/s ) 19.6200 N W   Law of sines: 19.6200 N 265 mm 140 mm 225.00 mm T C   (b) 23.1 N T   (c) 12.21 N  C  www.elsolucionario.org
  • 482.
    Copyright © McGraw-HillEducation. Permission required for reproduction or display. PROBLEM 4.89 A slender rod of length L and weight W is attached to a collar at A and is fitted with a small wheel at B. Knowing that the wheel rolls freely along a cylindrical surface of radius R, and neglecting friction, derive an equation in , L, and R that must be satisfied when the rod is in equilibrium. SOLUTION Free-Body Diagram (Three-force body) Reaction B must pass through D where B and W intersect. Note that ABC and BGD are similar. cos AC AE L    In  ABC: 2 2 2 2 2 2 2 2 2 2 2 2 2 2 ( ) ( ) ( ) (2 cos ) ( sin ) 4cos sin 4cos 1 cos 3cos 1 CE BE BC L L R R L R L R L                                     2 2 1 cos 1 3 R L                 www.elsolucionario.org
  • 483.
    Copyright © McGraw-HillEducation. Permission required for reproduction or display. PROBLEM 4.90 Knowing that for the rod of Problem 4.89, L  15 in., R  20 in., and W  10 lb, determine (a) the angle  corresponding to equilibrium, (b) the reactions at A and B. SOLUTION See the solution to Problem 4.86 for the free-body diagram and analysis leading to the following equation: 2 2 1 cos 1 3 R L                For 15 in., 20 in., and 10 lb, L R W    (a) 2 2 1 20 in. cos 1 ; 59.39 3 15 in.                     59.4     In  ABC: sin 1 tan tan 2 cos 2 1 tan tan59.39 0.8452 2 40.2 BE L CE L               Force Triangle tan (10 lb)tan 40.2 8.45 lb (10 lb) 13.09 lb cos cos 40.2 A W W B           (b) 8.45 lb  A  13.09 lb  B 49.8°  www.elsolucionario.org
  • 484.
    Copyright © McGraw-HillEducation. Permission required for reproduction or display. PROBLEM 4.91 Two transmission belts pass over a double-sheaved pulley that is attached to an axle supported by bearings at A and D. The radius of the inner sheave is 125 mm and the radius of the outer sheave is 250 mm. Knowing that when the system is at rest, the tension is 90 N in both portions of belt B and 150 N in both portions of belt C, determine the reactions at A and D. Assume that the bearing at D does not exert any axial thrust. SOLUTION We replace B T and B  T by their resultant ( 180 N)  j and C T and C  T by their resultant ( 300 N) .  k Dimensions in mm We have five unknowns and six equations of equilibrium. Axle AD is free to rotate about the x-axis, but equilibrium is maintained ( 0). x M   0: (150 ) ( 180 ) (250 ) ( 300 ) (450 ) ( ) 0 A y z D D            M i j i k i j k 3 3 27 10 75 10 450 450 0 y z D D        k j k j Equating coefficients of j and k to zero, : j 3 75 10 450 0 z D    166.7 N z D  3 : 27 10 450 0 y D     k 60.0 N y D  0: x F   0 x A  0: 180 N 0 y y y F A D      180 60 120.0 N y A    0: 300 N 0 z z z F A D      300 166.7 133.3 N z A    (120.0 N) (133.3 N) ; (60.0 N) (166.7 N)     A j k D j k  www.elsolucionario.org
  • 485.
    Copyright © McGraw-HillEducation. Permission required for reproduction or display. PROBLEM 4.92 Solve Problem 4.91, assuming that the pulley rotates at a constant rate and that TB  104 N, T′B  84 N, TC  175 N. PROBLEM 4.91 Two transmission belts pass over a double-sheaved pulley that is attached to an axle supported by bearings at A and D. The radius of the inner sheave is 125 mm and the radius of the outer sheave is 250 mm. Knowing that when the system is at rest, the tension is 90 N in both portions of belt B and 150 N in both portions of belt C, determine the reactions at A and D. Assume that the bearing at D does not exert any axial thrust. SOLUTION Dimensions in mm We have six unknowns and six equations of equilibrium. —OK 0: (150 250 ) ( 104 ) (150 250 ) ( 84 ) (250 125 ) ( 175 ) (250 125 ) ( ) 450 ( ) 0 A C y z T D D                      M i k j i k j j k i j i i j k 150(104 84) 250(104 84) 250(175 ) 125(175 ) 450 450 0 C C y z T T D D              k i j k j Equating the coefficients of the unit vectors to zero, : 250(104 84) 125(175 ) 0 175 40 135; C C C T T T           i : 250(175 135) 450 0 z D    j 172.2 N z D  : 150(104 84) 450 0 y D     k 62.7 N y D  www.elsolucionario.org
  • 486.
    Copyright © McGraw-HillEducation. Permission required for reproduction or display. PROBLEM 4.92 (Continued) 0: x F   0 x A  0: y F   104 84 62.7 0 y A     125.3 N y A  0: z F   175 135 172.2 0 z A     137.8 N z A  (125.3 N) (137.8 N) ; (62.7 N) (172.2 N)     A j k D j k  www.elsolucionario.org
  • 487.
    Copyright © McGraw-HillEducation. Permission required for reproduction or display. PROBLEM 4.93 A small winch is used to raise a 120-lb load. Find (a) the magnitude of the vertical force P that should be applied at C to maintain equilibrium in the position shown, (b) the reactions at A and B, assuming that the bearing at B does not exert any axial thrust. SOLUTION Dimensions in in. We have six unknowns and six equations of equilibrium. (32 in.) (10 in.)cos30 (10 in.)sin30 32 8.6603 5 C       r i j k i j k   0: (10 4 ) ( 120 ) (20 ) ( ) (32 8.6603 5 ) ( ) 0 1200 480 20 20 32 5 0 A y z y z B B P B B P P                      M i k j i j k j k j i k i k j k i Equating the coefficients of the unit vectors to zero, : 480 5 ) 0 96.0 lb; P P    i ( ) 96.0 lb a P   : 20 0 z B  j 0 z B  : 1200 20 32(96.0) 0 y B     k 213.6 lb y B  0: x F   0 x A  0: y F   120 213.6 96.0 0 y A     2.40 lb y A  0: z F   0 z z A B   0 z z A B    (2.40 lb) ; (214 lb)   A j B j  www.elsolucionario.org
  • 488.
    Copyright © McGraw-HillEducation. Permission required for reproduction or display. PROBLEM 4.94 A 4 8-ft  sheet of plywood weighing 34 lb has been temporarily placed among three pipe supports. The lower edge of the sheet rests on small collars at A and B and its upper edge leans against pipe C. Neglecting friction at all surfaces, determine the reactions at A, B, and C. SOLUTION / 3.75 1.3919 2 2 G B    r i j k We have 5 unknowns and 6 Eqs. of equilibrium. Plywood sheet is free to move in z direction, but equilibrium is maintained ( 0). z F   / / / 0: ( ) ( ) ( ) 0 B A B x y C B G B M r A A r C r w            i j i j 0 0 4 3.75 1.3919 2 1.875 0.696 1 0 0 0 0 0 34 0 x y A A C      i j k i j k i j k 4 4 2 1.3919 34 63.75 0 y x A A C C        i j j k i k Equating coefficients of unit vectors to zero: : i 4 34 0 y A    8.5 lb y A  : j 2 4 0 x C A    1 1 (45.80) 22.9 lb 2 2 x A C    : 1.3919 63.75 0 C   k 45.80 lb C  45.8 lb C  0: x F   0: x x A B C    45.8 22.9 22.9 lb x B    0: y F   0: y y A B W    34.0 8.50 25.5 lb y B    (22.9 lb) (8.50 lb) (22.9 lb) (25.5 lb) (45.8 lb)       A i j B i j C i  www.elsolucionario.org
  • 489.
    Copyright © McGraw-HillEducation. Permission required for reproduction or display. PROBLEM 4.95 A 250 × 400-mm plate of mass 12 kg and a 300-mm-diameter pulley are welded to axle AC that is supported by bearings at A and B. For  = 30°, determine (a) the tension in the cable, (b) the reactions at A and B. Assume that the bearing at B does not exert any axial thrust. SOLUTION Free-Body Diagram: 2 (12 kg)(9.81 m/s ) 117.720 N W mg       j / /A / 570 ; 150 770 ; (200sin ) (200cos ) 285 B A D G A          r k r j k r i j k / D/ / 0: ( ) ( ) 0 A B A x y A G A M B B T W           r i j r i r j 0 0 570 0 150 770 200sin 200cos 285 0 0 0 0 0 0 x y B B T W            i j k i j k i j k 570 570 770 150 285 (200sin ) 0 y x B B T T W W        i j j k i k Equating the coefficients of the unit vectors to zero, : i 570 285(117.72) 0 y B   58.860 N y B  : j 570 770 0 x B T    77 ; 106.017 N 57 x x B T B   : k 150 (200sin30 )117.720 0 T    78.480 N T  ( ) 78.5 N a T   0: y F   0 y y A B W    117.720 58.860 58.860 N y A    0: z F   0 z A  0: x F   0; 27.537 N x x x A B T A      (b) (27.5 N) (58.9 N) ; (106.0 N) (58.9 N)      A i j B i j  www.elsolucionario.org
  • 490.
    Copyright © McGraw-HillEducation. Permission required for reproduction or display. PROBLEM 4.96 Solve Prob. 4.95 for  = 60°. PROBLEM 4.95 A 250 × 400-mm plate of mass 12 kg and a 300-mm-diameter pulley are welded to axle AC that is supported by bearings at A and B. For  = 30°, determine (a) the tension in the cable, (b) the reactions at A and B. Assume that the bearing at B does not exert any axial thrust. SOLUTION Free-Body Diagram: 2 (12 kg)(9.81 m/s ) 117.720 N W mg       j / /A / 570 ; 150 770 ; (200sin ) (200cos ) 285 B A D G A          r k r j k r i j k / D/ / 0: ( ) ( ) 0 A B A x y A G A M B B T W           r i j r i r j 0 0 570 0 150 770 200sin 200cos 285 0 0 0 0 0 0 x y B B T W            i j k i j k i j k 570 570 770 150 285 (200sin ) 0 y x B B T T W W        i j j k i k : i 570 285(117.72) 0 y B   58.860 N y B  : j 570 770 0 x B T    77 ; 183.625 N 57 x x B T B   : k 150 (200sin60 )117.720 0 T    135.931 N T  ( ) 135.9 N a T   0: y F   0 y y A B W    117.720 58.860 58.860 N y A    0: z F   0 z A  0: x F   0; 47.694 N x x x A B T A      (b) (47.7 N) (58.9 N) ; (183.6 N) (58.9 N)      A i j B i j  www.elsolucionario.org
  • 491.
    Copyright © McGraw-HillEducation. Permission required for reproduction or display. PROBLEM 4.97 The 20 × 20-in. square plate shown weighs 56 lb and is supported by three vertical wires. Determine the tension in each wire. SOLUTION 0 b W  j and (56.0 lb) W   j / / / 0: ( ) 0 A B A B C A C G A M T T W          r j r j r j (16 10 ) (16 10 ) T 10 ( ) 0 B C T W          i k j i k j i j 16 10 16 10 10 0 B B C C T T T T W      k i k i k Equate coefficients of unit vectors to zero: : 10 10 0; B C B C T T T T    i : 16 16 10 0 16 16 10(56.0 lb)=0 B C B B T T W T T      k 17.50 lb B C T T   0: 0 y A B C F T T T W       17.50 17.50 56.0 0 21.0 lb A A T T      21.0 lb A T   17.50 lb B C T T    www.elsolucionario.org
  • 492.
    Copyright © McGraw-HillEducation. Permission required for reproduction or display. PROBLEM 4.98 The 20 × 20-in. square plate shown weighs 56 lb and is supported by three vertical wires. Determine the weight and location of the lightest block that should be placed on the plate if the tensions in the three wires are to be equal. SOLUTION Let be the weight of block; and its coordinates. b W x z  j Since the tensions in the wires are equal, let A B C T T T T    0: ( ) ( ) ( ) 0 O A B C G b M T T T W x z W                r j r j r j r j i k j (10 ) (16 ) (16 20 ) (10 10 ) ( ) ( ) ( ) 0 b T T T W x z W                k j i j i k j i k j i k j 10 16 16 20 10 10 0 b b T T T T W W W x W z          i k k i k i k i Equate coefficients of unit vectors to zero: : 30 10 0; (1) b T W W z     i : 32 10 0 (2) b T W W x    k Also, 0: 3 0 (3) y b F T W W      (1)+10(3): ( 10) 0 since and must be 20 in. 10 in. b z W x z z     3(2) 32(3) : 2 ( 3 32) 0 2 2 ; since 20 in. 3 32 3(20) 32 1 Finally, with 56 lb; (56 lb) 4.00 lb 14 b b b b W x W W W x W x W W W              4.00 lb at 20.0 in., 10.00 in. b W x z     www.elsolucionario.org
  • 493.
    Copyright © McGraw-HillEducation. Permission required for reproduction or display. PROBLEM 4.99 An opening in a floor is covered by a 1 1.2-m  sheet of plywood of mass 18 kg. The sheet is hinged at A and B and is maintained in a position slightly above the floor by a small block C. Determine the vertical component of the reaction (a) at A, (b) at B, (c) at C. SOLUTION / / / 0.6 0.8 1.05 0.3 0.6 B A C A G A      r i r i k r i k (18 kg)9.81 176.58 N W mg W    / / / 0: ( ) 0 A B A C A G A M B C W          r j r j r j (0.6 ) (0.8 1.05 ) (0.3 0.6 ) ( ) 0 B C W          i j i k j i k j 0.6 0.8 1.05 0.3 0.6 0 B C C W W      k k i k i Equate coefficients of unit vectors to zero: 0.6 : 1.05 0.6 0 176.58 N 100.90 N 1.05 C W C           i : 0.6 0.8 0.3 0 B C W    k 0.6 0.8(100.90 N) 0.3(176.58 N) 0 46.24 N B B      0: 0 y F A B C W       46.24 N 100.90 N 176.58 N 0 121.92 N A A      ( ) 121.9 N ( ) 46.2 N ( ) 100.9 N a A b B c C      www.elsolucionario.org
  • 494.
    Copyright © McGraw-HillEducation. Permission required for reproduction or display. PROBLEM 4.100 Solve Problem 4.99, assuming that the small block C is moved and placed under edge DE at a point 0.15 m from corner E. PROBLEM 4.99 An opening in a floor is covered by a 1 1.2-m  sheet of plywood of mass 18 kg. The sheet is hinged at A and B and is maintained in a position slightly above the floor by a small block C. Determine the vertical component of the reaction (a) at A, (b) at B, (c) at C. SOLUTION / / / 0.6 0.65 1.2 0.3 0.6 B A C A G A      r i r i k r i k 2 (18 kg) 9.81 m/s 176.58 N W mg W    / / / 0: ( ) 0 A B A C A G A M B C W          r j r j r j 0.6 (0.65 1.2 ) (0.3 0.6 ) ( ) 0 B C W          i j i k j i k j 0.6 0.65 1.2 0.3 0.6 0 B C C W W      k k i k i Equate coefficients of unit vectors to zero: 0.6 : 1.2 0.6 0 176.58 N 88.29 N 1.2 C W C            i : 0.6 0.65 0.3 0 B C W    k 0.6 0.65(88.29 N) 0.3(176.58 N) 0 7.36 N B B      0: 0 y F A B C W       7.36 N 88.29 N 176.58 N 0 95.648 N A A      ( ) 95.6 N ( ) 7.36 N ( ) 88.3 N a A b B c C      www.elsolucionario.org
  • 495.
    Copyright © McGraw-HillEducation. Permission required for reproduction or display. PROBLEM 4.101 Two steel pipes AB and BC, each having a mass per unit length of 8 kg/m, are welded together at B and supported by three wires. Knowing that 0.4 m, a  determine the tension in each wire. SOLUTION 1 2 0.6 1.2 W m g W m g     / / 1 / 2 / 0: ( ) ( ) 0 D A D A E D F D C D C M T W W T             r j r j r j r j 1 2 ( 0.4 0.6 ) ( 0.4 0.3 ) ( ) 0.2 ( ) 0.8 0 A C T W W T               i k j i k j i j i j 1 1 2 0.4 0.6 0.4 0.3 0.2 0.8 0 A A C T T W W W T        k i k i k k Equate coefficients of unit vectors to zero: 1 1 1 1 : 0.6 0.3 0; 0.6 0.3 2 2 A A T W T W m g m g         i 1 2 : 0.4 0.4 0.2 0.8 0 A C T W W T      k 0.4(0.3 ) 0.4(0.6 ) 0.2(1.2 ) 0.8 0 C m g m g m g T         (0.12 0.24 0.24) 0.15 0.8 C m g T m g       1 2 0: 0 y A C D F T T T W W        0.3 0.15 0.6 1.2 0 1.35 D D m g m g T m g m g T m g            2 (8 kg/m)(9.81m/s ) 78.480 N/m m g    0.3 0.3 78.480 A T m g     23.5 N A T   0.15 0.15 78.480 C T m g     11.77 N C T   1.35 1.35 78.480 D T m g     105.9 N D T   www.elsolucionario.org
  • 496.
    Copyright © McGraw-HillEducation. Permission required for reproduction or display. PROBLEM 4.102 For the pipe assembly of Problem 4.101, determine (a) the largest permissible value of a if the assembly is not to tip, (b) the corresponding tension in each wire. SOLUTION 1 2 0.6 1.2 W m g W m g     / / 1 / 2 / 0: ( ) ( ) 0 D A D A E D F D C D C M T W W T             r j r j r j r j 1 2 ( 0.6 ) ( 0.3 ) ( ) (0.6 ) ( ) (1.2 ) 0 A C a T a W a W a T                 i k j i k j i j i j 1 1 2 0.6 0.3 (0.6 ) (1.2 ) 0 A A C T a T W a W W a T a          k i k i k k Equate coefficients of unit vectors to zero: 1 1 1 1 : 0.6 0.3 0; 0.6 0.3 2 2 A A T W T W m g m g         i 1 2 : (0.6 ) (1.2 ) 0 A C T a W a W a T a        k 0.3 0.6 1.2 (0.6 ) (1.2 ) 0 C m ga m ga m g a T a           0.3 0.6 1.2(0.6 ) 1.2 C a a a T a      For maximum a and no tipping, 0. C T  (a) 0.3 1.2(0.6 ) 0 0.3 0.72 1.2 0 a a a a         1.5 0.72 a  0.480 m a   www.elsolucionario.org
  • 497.
    Copyright © McGraw-HillEducation. Permission required for reproduction or display. PROBLEM 4.102 (Continued) (b) Reactions: 2 (8 kg/m) 9.81m/s 78.48 N/m m g    0.3 0.3 78.48 23.544 N A T m g      23.5 N A T   1 2 0: 0 y A C D F T T T W W        0 0.6 1.2 0 A D T T m g m g        1.8 1.8 78.48 23.544 117.72 D A T m g T        117.7 N D T   www.elsolucionario.org
  • 498.
    Copyright © McGraw-HillEducation. Permission required for reproduction or display. PROBLEM 4.103 The 24-lb square plate shown is supported by three vertical wires. Determine (a) the tension in each wire when 10 a  in., (b) the value of a for which the tension in each wire is 8 lb. SOLUTION / / / 30 30 15 15 B A C A G A a a       r i k r i k r i k By symmetry, . B C  / / 0: ( ) 0 A B A C G A M B C W          r j r j r j ( 30 ) (30 ) (15 15 ) ( ) 0 a B a B W           i k j i k j i k j 30 30 15 15 0 Ba B B Ba W W       k i k i k i Equate coefficient of unit vector i to zero: : 30 15 0 B Ba W     i 15 15 30 30 W W B C B a a      (1) 0: 0 y F A B C W       15 2 0; 30 30 W aW A W A a a             (2) (a) For 10 in. a  From Eq. (1): 15(24 lb) 9.00 lb 30 10 C B     From Eq. (2): 10(24 lb) 6.00 lb 30 10 A    6.00 lb; 9.00 lb A B C     www.elsolucionario.org
  • 499.
    Copyright © McGraw-HillEducation. Permission required for reproduction or display. PROBLEM 4.103 (Continued) (b) For tension in each wire  8 lb, From Eq. (1): 15(24 lb) 8 lb 30 a   30 in. 45 a   15.00 in. a   www.elsolucionario.org
  • 500.
    Copyright © McGraw-HillEducation. Permission required for reproduction or display. PROBLEM 4.104 The table shown weighs 30 lb and has a diameter of 4 ft. It is supported by three legs equally spaced around the edge. A vertical load P of magnitude 100 lb is applied to the top of the table at D. Determine the maximum value of a if the table is not to tip over. Show, on a sketch, the area of the table over which P can act without tipping the table. SOLUTION 2 ft sin30 1ft r b r     We shall sum moments about AB. ( ) ( ) 0 b r C a b P bW      (1 2) ( 1)100 (1)30 0 C a      1 [30 ( 1)100] 3 C a    If table is not to tip, 0. C  [30 ( 1)100] 0 30 ( 1)100 a a      1 0.3 1.3 ft 1.300 ft a a a      Only  distance from P to AB matters. Same condition must be satisfied for each leg. P must be located in shaded area for no tipping. www.elsolucionario.org
  • 501.
    Copyright © McGraw-HillEducation. Permission required for reproduction or display. PROBLEM 4.105 A 10-ft boom is acted upon by the 840-lb force shown. Determine the tension in each cable and the reaction at the ball-and-socket joint at A. SOLUTION We have five unknowns and six equations of equilibrium, but equilibrium is maintained ( 0). x M   Free-Body Diagram: ( 6 ft) (7 ft) (6 ft) 11ft ( 6 ft) (7 ft) (6 ft) 11ft ( 6 7 6 ) 11 ( 6 7 6 ) 11 BD BD BD BE BE BE BD BD BE BE T BD T T BD T BE T T BE                     i j k i j k i j k i j k         0: ( 840 ) 0 A B BD B BE C M T T          r r r j 6 ( 6 7 6 ) 6 ( 6 7 6 ) 10 ( 840 ) 0 11 11 BD BE T T              i i j k i i j k i j 42 36 42 36 8400 0 11 11 11 11 BD BD BE BE T T T T      k j k j k Equate coefficients of unit vectors to zero: 36 36 : 0 11 11 BD BE BE BD T T T T     i 42 42 : 8400 0 11 11 BD BE T T    k 42 2 8400 11 BD T        1100 lb BD T   1100 lb BE T   www.elsolucionario.org
  • 502.
    Copyright © McGraw-HillEducation. Permission required for reproduction or display. PROBLEM 4.105 (Continued) 6 6 0: (1100 lb) (1100 lb) 0 11 11 x x F A      1200 lb x A  7 7 0: (1100 lb) (1100 lb) 840 lb 0 11 11 y y F A       560 lb y A   6 6 0: (1100 lb) (1100 lb) 0 11 11 z z F A      0 z A  (1200 lb) (560 lb)   A i j  www.elsolucionario.org
  • 503.
    Copyright © McGraw-HillEducation. Permission required for reproduction or display. PROBLEM 4.106 The 6-m pole ABC is acted upon by a 455-N force as shown. The pole is held by a ball-and-socket joint at A and by two cables BD and BE. For 3 m, a  determine the tension in each cable and the reaction at A. SOLUTION Free-Body Diagram: Five unknowns and six Eqs. of equilibrium, but equilibrium is maintained ( 0) AC M   3 6 B C   r j r j 3 6 2 7 m 1.5 3 3 4.5 m 1.5 3 3 4.5 m CF CF BD BD BE BE              i j k i j k i j k       ( 3 6 2 ) 7 (1.5 3 3 ) ( 2 2 ) 4.5 3 ( 2 2 ) 3 BD BD BD BD BD BE BE CF P P CE T T BD T BD T BE T BE                  P i j k T i j k i j k T i j k       0: 0 0 3 0 0 3 0 0 6 0 0 3 3 7 1 2 2 1 2 2 3 6 2 A B BD B BE C BD BE M T T P                 r T r T r P i j k i j k i j k Coefficient of i: 12 2 2 0 7 BD BE T T P     (1) Coefficient of k: 18 0 7 BD BF T T P     (2) www.elsolucionario.org
  • 504.
    Copyright © McGraw-HillEducation. Permission required for reproduction or display. PROBLEM 4.106 (Continued) Eq. (1)  2 Eq. (2): 48 12 4 0 7 7 BD BD T P T P     Eq. (2): 12 18 6 0 7 7 7 BE BE P T P T P      Since 12 445 N (455) 7 BD P T   780 N BD T   6 (455) 7 BE T  390 N BE T   0: 0 BD BE       F T T P A Coefficient of i: 780 390 455 (3) 0 3 3 7 x A     260 130 195 0 195.0 N x x A A      Coefficient of j: 780 390 455 (2) (2) (6) 0 3 3 7 y A      520 260 390 0 1170 N y y A A       Coefficient of k: 780 390 455 (2) (2) (2) 0 3 3 7 z A      520 260 130 0 130.0 N z z A A        (195.0 N) (1170 N) (130.0 N)     A i j k  www.elsolucionario.org
  • 505.
    Copyright © McGraw-HillEducation. Permission required for reproduction or display. PROBLEM 4.107 Solve Problem 4.106 for 1.5 m. a  PROBLEM 4.106 The 6-m pole ABC is acted upon by a 455- N force as shown. The pole is held by a ball-and-socket joint at A and by two cables BD and BE. For 3 m, a  determine the tension in each cable and the reaction at A. SOLUTION Free-Body Diagram: Five unknowns and six Eqs. of equilibrium but equilibrium is maintained ( 0) AC M   3 6 B C   r j r j 1.5 6 2 6.5 m 1.5 3 3 4.5 m 1.5 3 3 4.5 m CF CF BD BD BE BE              i j k i j k i j k       ( 1.5 6 2 ) ( 3 12 4 ) 6.5 13 (1.5 3 3 ) ( 2 2 ) 4.5 3 ( 2 2 ) 3 BD BD BD BD BD BE BE CF P P P CE T T BD T BD T BE T BE                      P i j k i j k T i j k i j k T i j k       0: 0 0 3 0 0 3 0 0 6 0 0 3 3 13 1 2 2 1 2 2 3 12 4 A B BD B BE C BD BE M T T P                  r T r T r P i j k i j k i j k Coefficient of i: 24 2 2 0 13 BD BE T T P     (1) Coefficient of k: 18 0 13 BD BE T T P     (2) www.elsolucionario.org
  • 506.
    Copyright © McGraw-HillEducation. Permission required for reproduction or display. PROBLEM 4.107 (Continued) Eq. (1) 2 Eq. (2): 60 15 4 0 13 13 BD BD T P T P     Eq (2): 15 18 3 0 13 13 13 BE BE P T P T P      Since 15 445 N (455) 13 BD P T   525 N BD T   3 (455) 13 BE T  105.0 N BE T   0: 0 BD BE       F T T P A Coefficient of i: 525 105 455 (3) 0 3 3 13 x A     175 35 105 0 105.0 N x x A A      Coefficient of j: 525 105 455 (2) (2) (12) 0 3 3 13 y A      350 70 420 0 840 N y y A A       Coefficient of k: 525 105 455 (2) (2) (4) 0 3 3 13 z A      350 70 140 0 140.0 N z z A A       (105.0 N) (840 N) (140.0 N)     A i j k  www.elsolucionario.org
  • 507.
    Copyright © McGraw-HillEducation. Permission required for reproduction or display. PROBLEM 4.108 A 2.4-m boom is held by a ball-and-socket joint at C and by two cables AD and AE. Determine the tension in each cable and the reaction at C. SOLUTION Free-Body Diagram: Five unknowns and six equations of equilibrium, but equilibrium is maintained ( 0). AC M   1.2 2.4 B A   r k r k 0.8 0.6 2.4 2.6 m 0.8 1.2 2.4 2.8 m AD AD AE AE          i j k i j k    ( 0.8 0.6 2.4 ) 2.6 (0.8 1.2 2.4 ) 2.8 AD AD AE AE T AD T AD T AE T AE          i j k i j k    0: ( 3 kN) 0 C A AD A AE B M          r T r T r j 0 0 2.4 0 0 2.4 1.2 ( 3.6 kN) 0 2.6 2.8 0.8 0.6 2.4 0.8 1.2 2.4 AD AE T T         i j k i j k k j Equate coefficients of unit vectors to zero: : 0.55385 1.02857 4.32 0 : 0.73846 0.68671 0 AD AE AD AE T T T T        i j (1) 0.92857 AD AE T T  (2) From Eq. (1): 0.55385(0.92857) 1.02857 4.32 0 AE AE T T     1.54286 4.32 2.800 kN AE AE T T   2.80 kN AE T   www.elsolucionario.org
  • 508.
    Copyright © McGraw-HillEducation. Permission required for reproduction or display. PROBLEM 4.108 (Continued) From Eq. (2): 0.92857(2.80) 2.600 kN AD T   2.60 kN AD T   0.8 0.8 0: (2.6 kN) (2.8 kN) 0 0 2.6 2.8 0.6 1.2 0: (2.6 kN) (2.8 kN) (3.6 kN) 0 1.800 kN 2.6 2.8 2.4 2.4 0: (2.6 kN) (2.8 kN) 0 4.80 kN 2.6 2.8 x x x y y y z z z F C C F C C F C C                    (1.800 kN) (4.80 kN)   C j k  www.elsolucionario.org
  • 509.
    Copyright © McGraw-HillEducation. Permission required for reproduction or display. PROBLEM 4.109 Solve Problem 4.108, assuming that the 3.6-kN load is applied at Point A. PROBLEM 4.108 A 2.4-m boom is held by a ball-and- socket joint at C and by two cables AD and AE. Determine the tension in each cable and the reaction at C. SOLUTION Free-Body Diagram: Five unknowns and six equations of equilibrium, but equilibrium is maintained ( 0). AC M   0.8 0.6 2.4 2.6 m 0.8 1.2 2.4 2.8 m AD AD AE AE          i j k i j k    ( 0.8 0.6 2.4 ) 2.6 (0.8 1.2 2.4 ) 2.8 AD AD AE AE T AD T AD T AE T AE          i j k i j k    0: ( 3.6 kN) C A AD A AE A M         r T r T r j Factor : A r ( (3.6 kN) ) A AD AE    r T T j or (3 kN) 0 AD AE    T T j (Forces concurrent at A) Coefficient of i: (0.8) (0.8) 0 2.6 2.8 AD AE T T    2.6 2.8 AD AE T T  (1) Coefficient of j: (0.6) (1.2) 3.6 kN 0 2.6 2.8 2.6 0.6 1.2 3.6 kN 0 2.8 2.6 2.8 0.6 1.2 3.6 kN 2.8 AD AE AE AE AE T T T T T                     5.600 kN AE T  5.60 kN AE T   www.elsolucionario.org
  • 510.
    Copyright © McGraw-HillEducation. Permission required for reproduction or display. PROBLEM 4.109 (Continued) From Eq. (1): 2.6 (5.6) 5.200 kN 2.8 AD T   5.20 kN AD T   0.8 0.8 0: (5.2 kN) (5.6 kN) 0 0 2.6 2.8 0.6 1.2 0: (5.2 kN) (5.6 kN) 3.6 kN 0 0 2.6 2.8 2.4 2.4 0: (5.2 kN) (5.6 kN) 0 9.60 kN 2.6 2.8 x x x y y y z z z F C C F C C F C C                    (9.60 kN)  C k  Note: Since the forces and reaction are concurrent at A, we could have used the methods of Chapter 2. www.elsolucionario.org
  • 511.
    Copyright © McGraw-HillEducation. Permission required for reproduction or display. PROBLEM 4.110 The 10-ft flagpole AC forms an angle of 30 with the z axis. It is held by a ball-and-socket joint at C and by two thin braces BD and BE. Knowing that the distance BC is 3 ft, determine the tension in each brace and the reaction at C. SOLUTION Free-Body Diagram: Express all forces in terms of rectangular components:     3 ft 3 ft E   r i j         3 ft sin30 3 ft cos30 1.5 ft 2.598 ft B       r j k j k     3 ft 3 ft D    r i j         10 ft sin30 10 ft cos30 5 ft 8.66 ft A       r j k j k         3 ft 3 ft 1.5 ft 2.598 ft E B BE       r r i j j k   or       3 ft 1.5 ft 2.598 ft , BE    i j k   and 4.243 ft BE          3 ft 3 ft 1.5 ft 2.598 ft D B BD        r r i j j k   or       3 ft 1.5 ft 2.598 ft , BD     i j k   and 4.243 ft BD  Then   0.707 0.3535 0.6123 BD BD BD BD T T T BD      i j k       0.707 0.3535 0.6123 BE BE BE BE T T T BE     i j k     www.elsolucionario.org
  • 512.
    Copyright © McGraw-HillEducation. Permission required for reproduction or display. PROBLEM 4.110 (Continued)       0: 5 ft 8.66 ft 75 lb C B BD B BE              M r T r T j k j or 0 1.5 2.598 0 1.5 2.598 649.5 0 0.707 0.3535 0.6123 0.707 0.3535 0.6123 BD T       i j k i j k i Equating the coefficients of the unit vectors to zero: : 1.837 1.837 0 BD BE T T    j : 1.837 1.837 649.5 lb 0 BD BE T T     i 176.8 lb BD T   176.8 lb BE T   Force equations:       176.8 0.707 176.8 0.707 0, x C     or 0  x C       176.8 0.3535 176.8 0.3535 75 lb 0, y C     or 50 lb y C         176.8 0.6123 176.8 0.6123 0, z C      or 216.5 lb z C      50 lb 216.5 lb    C j k  www.elsolucionario.org
  • 513.
    Copyright © McGraw-HillEducation. Permission required for reproduction or display. PROBLEM 4.111 A 48-in. boom is held by a ball-and-socket joint at C and by two cables BF and DAE; cable DAE passes around a frictionless pulley at A. For the loading shown, determine the tension in each cable and the reaction at C. SOLUTION Free-Body Diagram: Five unknowns and six equations of equilibrium, but equilibrium is maintained ( 0). AC M   T  Tension in both parts of cable DAE. 30 48 B A   r k r k 20 48 52 in. 20 48 52 in. 16 30 34 in. AD AD AE AE BF BF           i k j k i k      ( 20 48 ) ( 5 12 ) 52 13 (20 48 ) (5 12 ) 52 13 (16 30 ) (8 15 ) 34 17 AD AE BF BF BF BF AD T T T AD AE T T T AE T T BF T BF                  T i k i k T j k j k T i k i k      0: ( 320 lb) 0 C A AD A AE B BF B            M r T r T r T r j 0 0 48 0 0 48 0 0 30 (30 ) ( 320 ) 0 13 13 17 5 0 12 0 5 12 8 0 15 BF T T T           i j k i j k i j k k j Coefficient of i: 240 9600 0 520 lb 13 T T     www.elsolucionario.org
  • 514.
    Copyright © McGraw-HillEducation. Permission required for reproduction or display. PROBLEM 4.111 (Continued) Coefficient of j: 240 240 0 13 17 BD T T    17 17 (520) 680 lb 13 13 BD BD T T T    0: 320 0 AD AE BF C        F T T T j Coefficient of i: 20 8 (520) (680) 0 52 17 x C     200 320 0 120 lb x x C C       Coefficient of j: 20 (520) 320 0 52 y C    200 320 0 120 lb y y C C     Coefficient of k: 48 48 30 (520) (520) (680) 0 52 52 34 z C      480 480 600 0 z C      1560 lb z C  Answers: DAE T T  520 lb DAE T   680 lb BD T   (120.0 lb) (120.0 lb) (1560 lb)     C i j k  www.elsolucionario.org
  • 515.
    Copyright © McGraw-HillEducation. Permission required for reproduction or display. PROBLEM 4.112 Solve Problem 4.111, assuming that the 320-lb load is applied at A. PROBLEM 4.111 A 48-in. boom is held by a ball-and- socket joint at C and by two cables BF and DAE; cable DAE passes around a frictionless pulley at A. For the loading shown, determine the tension in each cable and the reaction at C. SOLUTION Free-Body Diagram: Five unknowns and six equations of equilibrium, but equilibrium is maintained ( 0). AC M   T  tension in both parts of cable DAE. 30 48 B A   r k r k 20 48 52 in. 20 48 52 in. 16 30 34 in. AD AD AE AE BF BF           i k j k i k      ( 20 48 ) ( 5 12 ) 52 13 (20 48 ) (5 12 ) 52 13 (16 30 ) (8 15 ) 34 17 AD AE BF BF BF BF AD T T T AD AE T T T AE T T BF T BF                  T i k i k T j k j k T i k i k      0: ( 320 lb) 0 C A AD A AE B BF A M            r T r T r T r j 0 0 48 0 0 48 0 0 30 48 ( 320 ) 0 13 13 17 5 0 12 0 5 12 8 0 15 BF T T T           i j k i j k i j k k j Coefficient of i: 240 15,360 0 832 lb 13 T T     www.elsolucionario.org
  • 516.
    Copyright © McGraw-HillEducation. Permission required for reproduction or display. PROBLEM 4.112 (Continued) Coefficient of j: 240 240 0 13 17 BD T T    17 17 (832) 1088 lb 13 13 BD BD T T T    0: 320 0 AD AE BF        F T T T j C Coefficient of i: 20 8 (832) (1088) 0 52 17 x C     320 512 0 192 lb x x C C       Coefficient of j: 20 (832) 320 0 52 y C    320 320 0 0 y y C C     Coefficient of k: 48 48 30 (832) (852) (1088) 0 52 52 34 z C      768 768 960 0 2496 lb z z C C       Answers: DAE T T  832 lb DAE T   1088 lb BD T   (192.0 lb) (2500 lb)    C i k  www.elsolucionario.org
  • 517.
    Copyright © McGraw-HillEducation. Permission required for reproduction or display. PROBLEM 4.113 A 10-kg storm window measuring 900 × 1500 mm is held by hinges at A and B. In the position shown, it is held away from the side of the house by a 600-mm stick CD. Assuming that the hinge at A does not exert any axial thrust, determine the magnitude of the force exerted by the stick and the components of the reactions at A and B. SOLUTION Free-Body Diagram: Since CD is a two-force member, CD F is directed along CD and triangle ACD is isosceles. We have 0.3 m sin 0.2; 11.5370 and 2 23.074 1.5 m          2 (10 kg)(9.81 m/s ) (98.10 N)     W j (0.75 m)sin 23.074 (0.75 m)cos23.074 (0.45 m) (0.29394 m) (0.690 m) (0.45 m) (cos11.5370 sin11.5370 ) (0.97980 0.20 ) G G CD CD CD CD F F           r i j k r i j k F i j F i j     0: 0 B A G C CD M         r A r W r F 0.9 ( ) (0.29394 0.690 0.45 ) ( 98.10 ) (1.5 0.9 ) (0.97980 0.20 ) 0 x y CD A A F             k i j i j k j j k i j 0.90 0.90 28.836 44.145 1.46970 0.88182 0.180 0 x y CD CD CD A A F F F        j i k i k j i Equating the coefficients of the unit vectors to zero, 28.836 1.46970 0; 19.6203 N CD CD F F     k : www.elsolucionario.org
  • 518.
    Copyright © McGraw-HillEducation. Permission required for reproduction or display. PROBLEM 4.113 (Continued) 0.90 0.88182(19.6203 N) 0; 19.2240 N x x A A     j: 0.90 44.145 0.180(19.6203 N) 0; 45.123 N y y A A      i: 19.62 N CD F   (19.22N) (45.1 N)    A i j  0: cos11.5370 0 19.2240 19.6203cos11.5370 0 0 x x x CD x x F A B F B B             0: sin11.5370 0 45.122 19.6230sin11.5370 98.1 0 49.053 N y y y CD y y F A B F W B B              0: 0 z z F B    (49.1 N)   B j  www.elsolucionario.org
  • 519.
    Copyright © McGraw-HillEducation. Permission required for reproduction or display. PROBLEM 4.114 The bent rod ABEF is supported by bearings at C and D and by wire AH. Knowing that portion AB of the rod is 250 mm long, determine (a) the tension in wire AH, (b) the reactions at C and D. Assume that the bearing at D does not exert any axial thrust. SOLUTION Free-Body Diagram: ABH  is equilateral. Dimensions in mm / / / 50 250 300 350 250 (sin30 ) (cos30 ) (0.5 0.866 ) H C D C F C T T T             r i j r i r i k T j k j k / / 0: ( 400 ) 0 C H C D F C          M r T r D r j 50 250 0 300 0 0 350 0 250 0 0 0.5 0.866 0 0 400 0 y z T D D       i j k i j k i j k Coefficient i: 3 216.5 100 10 0 T     461.9 N T  462 N T   Coefficient of j: 43.3 300 0 z T D    43.3(461.9) 300 0 66.67 N z z D D      www.elsolucionario.org
  • 520.
    Copyright © McGraw-HillEducation. Permission required for reproduction or display. PROBLEM 4.114 (Continued) Coefficient of k: 3 25 300 140 10 0 y T D      3 25(461.9) 300 140 10 0 505.1 N y y D D       (505 N) (66.7 N)   D j k  0: 400 0       F C D T j Coefficient i: 0 x C  0 x C  Coefficient j: (461.9)0.5 505.1 400 0 336 N y y C C       Coefficient k: (461.9)0.866 66.67 0 z C    467 N z C  (336 N) (467 N)    C j k  www.elsolucionario.org
  • 521.
    Copyright © McGraw-HillEducation. Permission required for reproduction or display. PROBLEM 4.115 The horizontal platform ABCD weighs 60 lb and supports a 240-lb load at its center. The platform is normally held in position by hinges at A and B and by braces CE and DE. If brace DE is removed, determine the reactions at the hinges and the force exerted by the remaining brace CE. The hinge at A does not exert any axial thrust. SOLUTION Free-Body Diagram: Express forces, weight in terms of rectangular components:       3 ft 4 ft 2 ft EC    i j k         2 2 2 3 4 2 3 4 2 CE CE CE EC F F EC       i j k F   0.55709 0.74278 0.37139 CE CE CE F F F    i j k ( ) (300 lb) mg     W j j             0: 4 ft 1.5 ft 2 ft 300 lb 3 ft 4 ft 0 B CE                    M k A i k j i k F or           4 ft 4 ft 1.5 ft 300 lb 2 ft 300 lb y z A A     i j k i   3 0 4 ft 0 0.55709 0.74278 0.37139 CE F   i j k www.elsolucionario.org
  • 522.
    Copyright © McGraw-HillEducation. Permission required for reproduction or display. PROBLEM 4.115 (Continued) Setting the coefficients of the unit vectors equal to zero:       : 0.74278 3 ft 300 lb 1.5 ft 0 CE F   k 201.94 lb CE F  or 202 lb CE F             : 4 ft 0.55709 201.94 lb 4 ft 0.37139 201.94 lb 3 ft 0 x A            j 56.250 lb x A            : 4 ft 0.74278 201.94 lb 4 ft 300 lb 2 ft 0 y A         i 0 y A    0: 56.250 lb 0.55709 201.94 lb 0 x x F B       56.249 lb x B     0: 0 300 lb 0.74278 201.94 lb 0 y y F B       150.003 lb y B    0: 0.371391 201.94 lb 0 z z F B     74.999 lb z B   Therefore:   56.3 lb   A i        56.2 lb 150.0 lb 75.0 lb     B i j k  www.elsolucionario.org
  • 523.
    Copyright © McGraw-HillEducation. Permission required for reproduction or display. PROBLEM 4.116 The lid of a roof scuttle weighs 75 lb. It is hinged at corners A and B and maintained in the desired position by a rod CD pivoted at C; a pin at end D of the rod fits into one of several holes drilled in the edge of the lid. For the position shown, determine (a) the magnitude of the force exerted by rod CD, (b) the reactions at the hinges. Assume that the hinge at B does not exert any axial thrust. SOLUTION Free-Body Diagram: Geometry: Using triangle ACD and the law of sines sin sin50 or 20.946 7 in. 15 in.       20.946 70.946        Expressing CD F in terms of its rectangular coordinates: sin cos CD CD CD F F     F j k sin 70.946 cos70.946 CD CD F F     j k 0.94521 0.32646 CD CD CD F F   F j k           0: 26 in. 13 in. 16 in. sin50 16 in. cos50 75 lb B                 M i A i j k j     26 in. 7 in. 0 CD          i k F or           26 in. 26 in. 13 in. 75 lb 16 in. 75 lb cos50 y z A A      k j k i          26 in. 0.94521 26 in. 0.32646 7 in. 0.94521 0 CD CD CD F F F     k j i www.elsolucionario.org
  • 524.
    Copyright © McGraw-HillEducation. Permission required for reproduction or display. PROBLEM 4.116 (Continued) (a) Setting the coefficients of the unit vectors to zero:        : 75 lb 16 in. cos50 0.94521 7 in. 0 CD F        i 116.6 lb CD F   (b) 0: 0 x x F A             : 0.94521 116.580 lb 26 in. 75 lb 13 in. 26 in. 0 y A         k 72.693 lb y A         : 0.32646 116.580 lb 26 in. 26 in. 0 z A       j 38.059 lb z A     0: 72.693 lb 0.94521 116.580 lb 75 lb 0 y y F B        37.500 lb y B    0: 38.059 lb 0.32646 116.580 lb 0 z z F B       0  z B Therefore:     72.7 lb 38.1 lb    A j k    37.5 lb  B j  www.elsolucionario.org
  • 525.
    Copyright © McGraw-HillEducation. Permission required for reproduction or display. PROBLEM 4.117 A 100-kg uniform rectangular plate is supported in the position shown by hinges A and B and by cable DCE that passes over a frictionless hook at C. Assuming that the tension is the same in both parts of the cable, determine (a) the tension in the cable, (b) the reactions at A and B. Assume that the hinge at B does not exert any axial thrust. SOLUTION / / / (960 180) 780 960 450 90 2 2 390 225 600 450 B A G A C A                r i i r i k i k r i k Dimensions in mm T  Tension in cable DCE 690 675 450 1065 mm 270 675 450 855 mm CD CD CE CE          i j k i j k     2 ( 690 675 450 ) 1065 (270 675 450 ) 855 (100 kg)(9.81m/s ) (981 N) CD CE T T mg              T i j k T i j k W i j j / / / / 0: ( ) 0 A C A CD C A CE G A B A W            M r T r T r j r B 600 0 450 600 0 450 1065 855 690 675 450 270 675 450 390 0 225 780 0 0 0 0 981 0 0 y z T T B B         i j k i j k i j k i j k www.elsolucionario.org
  • 526.
    Copyright © McGraw-HillEducation. Permission required for reproduction or display. PROBLEM 4.117 (Continued) Coefficient of i: 3 (450)(675) (450)(675) 220.73 10 0 1065 855 T T      (a) 344.64 N T  345 N T   Coefficient of j: 344.64 344.64 ( 690 450 600 450) (270 450 600 450) 780 0 1065 855 z B           185.516 N z B  Coefficient of k: 3 344.64 344.64 (600)(675) (600)(675) 382.59 10 780 0 113.178 N 1065 855 y y B B       (b) (113.2 N) (185.5 N)   B j k  0: 0 CD CE        F A B T T W Coefficient of i: 690 270 (344.64) (344.64) 0 1065 855 x A    114.454 N x A  Coefficient of j: 675 675 113.178 (344.64) (344.64) 981 0 377.30 N 1065 855 y y A A       Coefficient of k: 450 450 185.516 (344.64) (344.64) 0 1065 855 z A     141.496 N z A  (114.4 N) (377 N) (141.5 N)    A i j k  www.elsolucionario.org
  • 527.
    Copyright © McGraw-HillEducation. Permission required for reproduction or display. PROBLEM 4.118 Solve Problem 4.117, assuming that cable DCE is replaced by a cable attached to Point E and hook C. PROBLEM 4.117 A 100-kg uniform rectangular plate is supported in the position shown by hinges A and B and by cable DCE that passes over a frictionless hook at C. Assuming that the tension is the same in both parts of the cable, determine (a) the tension in the cable, (b) the reactions at A and B. Assume that the hinge at B does not exert any axial thrust. SOLUTION See solution to Problem 4.113 for free-body diagram and analysis leading to the following: 1065 mm 855 mm CD CE   Now, 2 ( 690 675 450 ) 1065 (270 675 450 ) 855 (100 kg)(9.81 m/s ) (981 N) CD CE T T mg              T i j k T i j k W i j j / / / 0: ( ) 0 A C A CE G A B A T W B          M r r j r 600 0 450 390 0 225 780 0 0 0 855 270 675 450 0 981 0 0 y z T B B      i j k i j k i j k Coefficient of i: 3 (450)(675) 220.73 10 0 855 T     621.31 N T  621 N T   Coefficient of j: 621.31 (270 450 600 450) 780 0 364.74 N 855 z z B B       Coefficient of k: 3 621.31 (600)(675) 382.59 10 780 0 113.186 N 855 y y B B      (113.2 N) (365 N)   B j k  www.elsolucionario.org
  • 528.
    Copyright © McGraw-HillEducation. Permission required for reproduction or display. PROBLEM 4.118 (Continued) 0: 0 CE       F A B T W Coefficient of i: 270 (621.31) 0 855 x A   196.2 N x A   Coefficient of j: 675 113.186 (621.31) 981 0 855 y A     377.3 N y A  Coefficient of k: 450 364.74 (621.31) 0 855 z A    37.7 N   z A    (196.2 N) (377 N) (37.7 N)     A i j k  www.elsolucionario.org
  • 529.
    Copyright © McGraw-HillEducation. Permission required for reproduction or display. PROBLEM 4.119 Solve Prob. 4.113, assuming that the hinge at A has been removed and that the hinge at B can exert couples about axes parallel to the x and y axes. PROBLEM 4.113A 10-kg storm window measuring 900 × 1500 mm is held by hinges at A and B. In the position shown, it is held away from the side of the house by a 600-mm stick CD. Assuming that the hinge at A does not exert any axial thrust, determine the magnitude of the force exerted by the stick and the components of the reactions at A and B. SOLUTION Free-Body Diagram: Since CD is a two-force member, CD F is directed along CD and triangle ACD is isosceles. We have 2 (10 kg)(9.81 m/s ) (98.10 N)     W j (0.75 m)sin 23.074 (0.75 m)cos23.074 (0.45 m) (0.29394 m) (0.690 m) (0.45 m) (cos11.5370 sin11.5370 ) (0.97980 0.20 ) G G CD CD CD CD F F           r i j k r i j k F i j F i j     With hinge at A removed, hinge at B will develop two couples to prevent rotation about the x and z axes. 0: ( ) ( ) 0 B B x B y G C CD M M M         i j r W r F ( ) ( ) (0.29394 0.690 0.45 ) ( 98.10) (1.5 0.9 ) (0.97980 0.20 ) 0 B x B y CD M M F            i j i j k j j k i j ( ) ( ) 28.836 44.145 1.46970 0.88182 0.180 0 B x B y CD CD CD M M F F F        i j k i k j i www.elsolucionario.org
  • 530.
    Copyright © McGraw-HillEducation. Permission required for reproduction or display. PROBLEM 4.119 (Continued) Equating the coefficients of the unit vectors to zero, 28.836 1.46970 0; 19.6203 N CD CD F F     k : ( ) 0.88182(19.6203) 0; ( ) 17.3016 N m B y B y M M      j: ( ) 44.145 0.180(19.6203) 0; ( ) 40.613 N m B x B x M M       i: 19.62 N CD F   (40.6 N m) (17.30 N m) B      M i j  0: cos11.5370 0 19.6203cos11.5370 0 19.22 N x x CD x x F B F B B           0: sin11.5370 0 19.6230sin11.5370 98.1 0 94.2 N y y CD y y F B F W B B            0: 0 z z F B    (19.22 N) (94.2 N)    B i j  www.elsolucionario.org
  • 531.
    Copyright © McGraw-HillEducation. Permission required for reproduction or display. PROBLEM 4.120 Solve Prob. 4.115, assuming that the hinge at B has been removed and that the hinge at A can exert an axial thrust, as well as couples about axes parallel to the x and y axes. PROBLEM 4.115 The horizontal platform ABCD weighs 60 lb and supports a 240-lb load at its center. The platform is normally held in position by hinges at A and B and by braces CE and DE. If brace DE is removed, determine the reactions at the hinges and the force exerted by the remaining brace CE. The hinge at A does not exert any axial thrust. SOLUTION Free-Body Diagram: 0 x y z B B B    Express forces, weight in terms of rectangular components:       3 ft 4 ft 2 ft EC    i j k         2 2 2 3 4 2 3 4 2 CE CE CE EC F F EC       i j k F   0.55709 0.74278 0.37139 CE CE CE F F F    i j k ( ) (300 lb) mg     W j j / / 0: ( ) ( ) ( ) 0 x y A G A C A CE A A W F M M          M r j r i j 0: (1.5 2 ) ( 300 ) 3 (0.55709 0.74278 0.37139 ) ( ) ( ) 0 x y A CE A A F M M             M i k j i i j k i j or 450 600 2.2283 1.11417 0 x y CE CE A A F F M M        k i k j i j www.elsolucionario.org
  • 532.
    Copyright © McGraw-HillEducation. Permission required for reproduction or display. PROBLEM 4.120 (Continued) Setting the coefficients of the unit vectors equal to zero:   : 450 2.2283 0 CE F    k 201.95 lb CE F  or 202 lb CE F   : 1.11417(201.95) ( ) 0 y A M    j 225.00 lb ft y A M   : 600 0 x A M    i 600 lb ft x A M     0: 0.55709 201.94 lb 0 x x F A     112.499 lb x A     0: 300 lb 0.74278 201.94 lb 0 y y F A      150.003 lb y A    0: 0.371391 201.94 lb 0 z z F A     74.999 lb z A   Therefore:   600 lb ft (225 lb ft) A     M i j       112.5 lb 150.0 lb 75.0 lb     A i j k  www.elsolucionario.org
  • 533.
    Copyright © McGraw-HillEducation. Permission required for reproduction or display. PROBLEM 4.121 The assembly shown is used to control the tension T in a tape that passes around a frictionless spool at E. Collar C is welded to rods ABC and CDE. It can rotate about shaft FG but its motion along the shaft is prevented by a washer S. For the loading shown, determine (a) the tension T in the tape, (b) the reaction at C. SOLUTION Free-Body Diagram: / / 4.2 2 1.6 2.4 A C E C     r j k r i j / / 0: ( 6 ) ( ) ( ) ( ) 0           C A C E C C y C z M T M M r j r i k j k (4.2 2 ) ( 6 ) (1.6 2.4 ) ( ) ( ) ( ) 0 C y C z T M M           j k j i j i k j k Coefficient of i: 12 2.4 0   T 5.00 lb T   Coefficient of j: 1.6(5 lb) ( ) 0 ( ) 8 lb in. C y C y M M      Coefficient of k: 2.4(5 lb) ( ) 0 ( ) 12 lb in. C z C z M M      (8.00 lb in.) (12.00 lb in.) C     M j k  0: (6 lb) (5 lb) (5 lb) 0         x y z F C C C i j k j i k Equate coefficients of unit vectors to zero. 5 lb 6 lb 5 lb x y z C C C        (5.00 lb) (6.00 lb) (5.00 lb)     C i j k  www.elsolucionario.org
  • 534.
    Copyright © McGraw-HillEducation. Permission required for reproduction or display. PROBLEM 4.122 The assembly shown is welded to collar A that fits on the vertical pin shown. The pin can exert couples about the x and z axes but does not prevent motion about or along the y- axis. For the loading shown, determine the tension in each cable and the reaction at A. SOLUTION Free-Body Diagram: First note: 2 2 2 2 (0.08 m) (0.06 m) (0.08) (0.06) m ( 0.8 0.6 ) (0.12 m) (0.09 m) (0.12) (0.09) m (0.8 0.6 )               CF CF CF CF CF DE DE DE DE DE T T T T T T i j T λ i j j k T λ j k (a) From F.B.D. of assembly: 0: 0.6 0.8 480 N 0      y CF DE F T T or 0.6 0.8 480 N CF DE T T   (1) 0: (0.8 )(0.135 m) (0.6 )(0.08 m) 0      y CF DE M T T or 2.25 DE CF T T  (2) Substituting Equation (2) into Equation (1), 0.6 0.8[(2.25) ] 480 N CF CF T T   200.00 N CF T  or 200 N CF T    and from Equation (2): 2.25(200.00 N) 450.00 DE T   or 450 N DE T   www.elsolucionario.org
  • 535.
    Copyright © McGraw-HillEducation. Permission required for reproduction or display. PROBLEM 4.122 (Continued) (b) From F.B.D. of assembly: 0: (0.6)(450.00 N) 0 270.00 N      z z z F A A 0: (0.8)(200.00 N) 0 160.000 N      x x x F A A or (160.0 N) (270 N)   A i k  0: (480 N)(0.135 m) [(200.00 N)(0.6)](0.135 m) [(450 N)(0.8)](0.09 m) 0       x x A M M 16.2000 N m x A M    0: (480 N)(0.08 m) [(200.00 N)(0.6)](0.08 m) [(450 N)(0.8)](0.08 m) 0 z z A M M       0 z A M  or (16.20 N m) A    M i  www.elsolucionario.org
  • 536.
    Copyright © McGraw-HillEducation. Permission required for reproduction or display. PROBLEM 4.123 The rigid L-shaped member ABC is supported by a ball-and-socket joint at A and by three cables. If a 1.8-kN load is applied at F, determine the tension in each cable. SOLUTION Free-Body Diagram: Dimensions in mm In this problem: 210 mm a  We have (240 mm) (320 mm) 400 mm (420 mm) (240 mm) (320 mm) 580 mm (420 mm) (320 mm) 528.02 mm CD CD BD BD BE BE            j k i j k i k       Thus, (0.6 0.8 ) ( 0.72414 0.41379 0.55172 ) (0.79542 0.60604 ) CD CD CD BD BD BD BE BE BE CD T T T CD BD T T T BD BE T T T BE            j k i j k i k       0: ( ) ( ) ( ) ( ) 0           A C CD B BD B BE W M r T r T r T r W www.elsolucionario.org
  • 537.
    Copyright © McGraw-HillEducation. Permission required for reproduction or display. PROBLEM 4.123 (Continued) Noting that (420 mm) (320 mm) (320 mm) (320 mm) C B W a        r i k r k r i k and using determinants, we write 420 0 320 0 0 320 0 0.6 0.8 0.72414 0.41379 0.55172 0 0 320 0 320 0 0.79542 0 0.60604 0 1.8 0 CD BD BE T T T a            i j k i j k i j k i j k Equating to zero the coefficients of the unit vectors, i: 192 132.413 576 0 CD BD T T     (1) : j 336 231.72 254.53 0 CD BD BE T T T     (2) k: 252 1.8 0 CD T a    (3) Recalling that 210 mm, a  Eq. (3) yields 1.8(210) 1.500 kN 252 CD T   1.500 kN CD T   From Eq. (1): 192(1.5) 132.413 576 0 BD T     2.1751 kN BD T  2.18 kN BD T   From Eq. (2): 336(1.5) 231.72(2.1751) 254.53 0 BE T      3.9603 kN BE T   3.96 kN BE T   www.elsolucionario.org
  • 538.
    Copyright © McGraw-HillEducation. Permission required for reproduction or display. PROBLEM 4.124 Solve Problem 4.123, assuming that the 1.8- kN load is applied at C. PROBLEM 4.123 The rigid L-shaped member ABC is supported by a ball-and- socket joint at A and by three cables. If a 1.8- kN load is applied at F, determine the tension in each cable. SOLUTION See solution of Problem 4.123 for free-body diagram and derivation of Eqs. (1), (2), and (3): 192 132.413 576 0 CD BD T T     (1) 336 231.72 254.53 0 CD BD BE T T T     (2) 252 1.8 0 CD T a    (3) In this problem, the 1.8-kN load is applied at C and we have 420 mm. a  Carrying into Eq. (3) and solving for , CD T 3.00 CD T  3.00 kN CD T   From Eq. (1): (192)(3) 132.413 576 0 BD T     0 BD T   From Eq. (2): 336(3) 0 254.53 0 BE T      3.96 kN BE T   www.elsolucionario.org
  • 539.
    Copyright © McGraw-HillEducation. Permission required for reproduction or display. PROBLEM 4.125 The rigid L-shaped member ABF is supported by a ball-and-socket joint at A and by three cables. For the loading shown, determine the tension in each cable and the reaction at A. SOLUTION Free-Body Diagram: / / / / / 12 12 8 12 16 12 24 12 32          r i r j k r i k r i k r i k B A F A D A E A F A 12 9 15 in. 0.8 0.6 BG BG BG        i k λ i k  12 16 ; 20 in.; 0.6 0.8 12 16 ; 20 in.; 0.6 0.8 DH FJ DH DH FJ FJ                 i j i j i j i j     / / / / 0: ( 24 ) ( 24 ) 0 12 0 0 12 0 16 12 0 32 0.8 0 0.6 0.6 0.8 0 0.6 0.8 0 12 0 8 12 0 24 0 0 24 0 0 24 0 A B A BG BG DH DH DH F A FJ FJ F A E A BG DH FJ T T T                                M r T r T r T r j r j i j k i j k i j k i j k i j k Coefficient of i: 12.8 25.6 192 576 0 DH FJ T T      (1) Coefficient of k: 9.6 9.6 288 288 0 DH FJ T T      (2) 3 4 Eq. (1)  Eq. (2): 9.6 0 FJ T  0 FJ T   www.elsolucionario.org
  • 540.
    Copyright © McGraw-HillEducation. Permission required for reproduction or display. PROBLEM 4.125 (Continued) From Eq. (1): 12.8 268 0 DH T   60 lb DH T   Coefficient of j: 7.2 (16 0.6)(60.0 lb) 0     BG T 80.0 lb BG T   0: 24 24 0 BG BG DH DH FJ T T T         F A j j   Coefficient of i: (80)( 0.8) (60.0)( 0.6) 0 100.0 lb       x x A A Coefficient of j: (60.0)(0.8) 24 24 0 y A     0 y A  Coefficient of k: (80.0)( 0.6) 0 z A    48.0 lb z A   (100.0 lb) (48.0 lb)   A i k  Note: The value 0 y A  can be confirmed by considering 0. BF M   www.elsolucionario.org
  • 541.
    Copyright © McGraw-HillEducation. Permission required for reproduction or display. PROBLEM 4.126 Solve Problem 4.125, assuming that the load at C has been removed. PROBLEM 4.125 The rigid L-shaped member ABF is supported by a ball-and- socket joint at A and by three cables. For the loading shown, determine the tension in each cable and the reaction at A. SOLUTION Free-Body Diagram: / / / / 12 12 16 12 24 12 32 B A B A E A F A        r i r i k r i k r i k 12 9 ; 15 in.; 0.8 0.6 12 16 ; 20 in.; 0.6 0.8 12 16 ; 20 in.; 0.6 0.8 BG DH FJ BG BG DH DH FJ FJ                      i k i k i j i j i j i j         / / 0: A B A BG BG D A DH T T      M r r  / / ( 24 ) 0 DH F A FJ FJ E A T       r r j   12 0 0 12 0 16 12 0 32 12 0 24 0 0.8 0 0.6 0.6 0.8 0 0.6 0.8 0 0 24 0 BG DH FJ T T T            i j k i j k i j k i j k : 12.8 25.6 576 0 DH FJ T T     i (1) : k 9.6 9.6 288 0 DH FJ T T     (2) www.elsolucionario.org
  • 542.
    Copyright © McGraw-HillEducation. Permission required for reproduction or display. PROBLEM 4.126 (Continued) Multiply Eq. (1) by 3 4 and subtract Eq. (2): 9.6 144 0 FJ T   15.00 lb FJ T   From Eq. (1): 12.8 25.6(15.00) 576 0 DH T    15.00 lb DH T   : j 7.2 (16)(0.6)(15) (32)(0.6)(15) 0 BG T     7.2 432 0 BG T    60.0 lb BG T   0: 24 0 BG BG DA DH FJ FJ F T T T        A j    : (60)( 0.8) (15)( 0.6) (15)( 0.6) 0 x A        i 66.0 lb x A  : j (15)(0.8) (15)(0.8) 24 0 y A     0 y A  : k (60)(0.6) 0 z A   36.0 lb z A   (66.0 lb) (36.0 lb)   A i k  www.elsolucionario.org
  • 543.
    Copyright © McGraw-HillEducation. Permission required for reproduction or display. PROBLEM 4.127 Three rods are welded together to form a “corner” that is supported by three eyebolts. Neglecting friction, determine the reactions at A, B, and C when 240 P  lb, 12 in., 8 in., a b   and 10 in. c  SOLUTION From F.B.D. of weldment: / / / 0: 0 O A O B O C O         M r A r B r C 12 0 0 0 8 0 0 0 10 0 0 0 0 y z x z x y A A B B C C    i j k i j k i j k ( 12 12 ) (8 8 ) ( 10 10 ) 0 z y z x y x A A B B C C         j k i k i j From i-coefficient: 8 10 0 z y B C   or 1.25 z y B C  (1) j-coefficient: 12 10 0 z x A C    or 1.2 x z C A  (2) k-coefficient: 12 8 0 y x A B   or 1.5 x y B A  (3)  0: 0       F A B C P  or ( ) ( 240 lb) ( ) 0 x x y y z z B C A C A B        i j k  From i-coefficient: 0 x x B C   or x x C B   (4) j-coefficient: 240 lb 0 y y A C    or 240 lb y y A C   (5) www.elsolucionario.org
  • 544.
    Copyright © McGraw-HillEducation. Permission required for reproduction or display. PROBLEM 4.127 (Continued) k-coefficient: 0 z z A B   or z z A B   (6) Substituting x C from Equation (4) into Equation (2), 1.2 z z B A   (7) Using Equations (1), (6), and (7), 1 1.25 1.25 1.25 1.2 1.5 x x z z y B B B A C            (8) From Equations (3) and (8): 1.5 or 1.5 y y y y A C C A   and substituting into Equation (5), 2 240 lb y A  120 lb y y A C   (9) Using Equation (1) and Equation (9), 1.25(120 lb) 150.0 lb z B   Using Equation (3) and Equation (9), 1.5(120 lb) 180.0 lb x B   From Equation (4): 180.0 lb x C   From Equation (6): 150.0 lb z A   Therefore, (120.0 lb) (150.0 lb)   A j k   (180.0 lb) (150.0 lb)   B i k   (180.0 lb) (120.0 lb)    C i j  www.elsolucionario.org
  • 545.
    Copyright © McGraw-HillEducation. Permission required for reproduction or display. PROBLEM 4.128 Solve Problem 4.127, assuming that the force P is removed and is replaced by a couple (600 lb in.)    M j acting at B. PROBLEM 4.127 Three rods are welded together to form a “corner” that is supported by three eyebolts. Neglecting friction, determine the reactions at A, B, and C when 240 P  lb, 12 in., 8 in., a b   and c 10 in.  SOLUTION From F.B.D. of weldment: / / / 0: 0 O A O B O C O          M r A r B r C M 12 0 0 0 8 0 0 0 10 (600 lb in.) 0 0 0 0 y z x z x y A A B B C C      i j k i j k i j k j ( 12 12 ) (8 8 ) ( 10 10 ) (600 lb in.) 0 z y z x y x A A B B C C           j k j k i j j From i-coefficient: 8 10 0 z y B C   or 0.8 y z C B  (1) j-coefficient: 12 10 600 0 z x A C     or 1.2 60 x z C A   (2) k-coefficient: 12 8 0 y x A B   or 1.5 x y B A  (3)  0: 0      F A B C   ( ) ( ) ( ) 0 x x y y z z B C A C A B       i j k  From i-coefficient: x x C B   (4) j-coefficient: y y C A   (5) k-coefficient: z z A B   (6) www.elsolucionario.org
  • 546.
    Copyright © McGraw-HillEducation. Permission required for reproduction or display. PROBLEM 4.128 (Continued) Substituting x C from Equation (4) into Equation (2), 50 1.2 x z B A         (7) Using Equations (1), (6), and (7), 2 0.8 0.8 40 3 y z z x C B A B            (8) From Equations (3) and (8): 40 y y C A   Substituting into Equation (5), 2 40 y A  20.0 lb y A  From Equation (5): 20.0 lb y C   Equation (1): 25.0 lb z B   Equation (3): 30.0 lb x B  Equation (4): 30.0 lb x C   Equation (6): 25.0 lb z A  Therefore, (20.0 lb) (25.0 lb)   A j k    (30.0 lb) (25.0 lb)   B i k   (30.0 lb) (20.0 lb)    C i j  www.elsolucionario.org
  • 547.
    Copyright © McGraw-HillEducation. Permission required for reproduction or display. PROBLEM 4.129 Frame ABCD is supported by a ball-and- socket joint at A and by three cables. For 150 mm, a  determine the tension in each cable and the reaction at A. SOLUTION First note: 2 2 (0.48 m) (0.14 m) (0.48) (0.14) m DG DG DG DG T T      i j T  0.48 0.14 0.50 (24 7 ) 25 DG DG T T      i j i j 2 2 (0.48 m) (0.2 m) (0.48) (0.2) m BE BE BE BE T T      i k T  0.48 0.2 0.52 ( 12 5 ) 13 BE BE T T       i k j k From F.B.D. of frame ABCD: 7 0: (0.3 m) (350 N)(0.15 m) 0 25 x DG M T           or 625 N DG T   24 5 0: 625 N (0.3 m) (0.48 m) 0 25 13 y BE M T                  or 975 N BE T   7 0: (0.14 m) 625 N (0.48 m) (350 N)(0.48 m) 0 25             z CF M T or 600 N CF T   www.elsolucionario.org
  • 548.
    Copyright © McGraw-HillEducation. Permission required for reproduction or display. PROBLEM 4.129 (Continued) 0: ( ) ( ) 0 x x CF BE x DG x F A T T T       12 24 600 N 975 N 625 N 0 13 25 x A                   2100 N x A  0: ( ) 350 N 0 y y DG y F A T      7 625 N 350 N 0 25 y A           175.0 N y A  0: ( ) 0 z z BE z F A T     5 975 N 0 13 z A          375 N z A   Therefore, (2100 N) (175.0 N) (375 N)    A i j k  www.elsolucionario.org
  • 549.
    Copyright © McGraw-HillEducation. Permission required for reproduction or display. PROBLEM 4.130 Frame ABCD is supported by a ball-and- socket joint at A and by three cables. Knowing that the 350-N load is applied at D ( 300 mm), a  determine the tension in each cable and the reaction at A. SOLUTION First note 2 2 (0.48 m) (0.14 m) (0.48) (0.14) m DG DG DG DG T T      i j T  0.48 0.14 0.50 (24 7 ) 25 DG DG T T      i j i j 2 2 (0.48 m) (0.2 m) (0.48) (0.2) m BE BE BE BE T T      i k T  0.48 0.2 0.52 ( 12 5 ) 13 BE BE T T       i k i k From f.b.d. of frame ABCD 7 0: (0.3 m) (350 N)(0.3 m) 0 25 x DG M T           or 1250 N DG T   24 5 0: 1250 N (0.3 m) (0.48 m) 0 25 13 y BE M T                  or 1950 N BE T   7 0: (0.14 m) 1250 N (0.48 m) (350 N)(0.48 m) 0 25             z CF M T or 0 CF T    www.elsolucionario.org
  • 550.
    Copyright © McGraw-HillEducation. Permission required for reproduction or display. PROBLEM 4.130 (Continued) 0: ( ) ( ) 0 x x CF BE x DG x F A T T T       12 24 0 1950 N 1250 N 0 13 25 x A                     3000 N x A   0: ( ) 350 N 0 y y DG y F A T      7 1250 N 350 N 0 25 y A           0 y A  0: ( ) 0 z z BE z F A T     5 1950 N 0 13 z A          750 N z A   Therefore (3000 N) (750 N)   A i k  www.elsolucionario.org
  • 551.
    Copyright © McGraw-HillEducation. Permission required for reproduction or display. PROBLEM 4.131 The assembly shown consists of an 80- mm rod AF that is welded to a cross consisting of four 200-mm arms. The assembly is supported by a ball-and- socket joint at F and by three short links, each of which forms an angle of 45 with the vertical. For the loading shown, determine (a) the tension in each link, (b) the reaction at F. SOLUTION / / / / 200 80 ( ) / 2 80 200 ( ) / 2 200 80 ( ) / 2 80 200                  r i j T i j r j k T j k r i j T i j r j k E F B B B F C C C F D D D E T T T / / / / 0: ( ) 0 F B F B C F C D F D E F M T P            r T r T r r j 0 80 200 200 80 0 0 80 200 200 80 0 0 2 2 2 1 1 0 0 1 1 1 1 0 0 0 C B D T T T P            i j k i j k i j k i j k Equate coefficients of unit vectors to zero and multiply each equation by 2. : i 200 80 200 0 B C D T T T     (1) : j 200 200 200 0 B C D T T T     (2) : k 80 200 80 200 2 0 B C D T T T P      (3) 80 (2): 200 80 80 80 0 B C D T T T     (4) Eqs. (3) (4):  160 280 200 2 0 B C T T P     (5) Eqs. (1) (2):  400 120 0 B C T T    120 0.3 400 B C C T T T    (6) www.elsolucionario.org
  • 552.
    Copyright © McGraw-HillEducation. Permission required for reproduction or display. PROBLEM 4.131 (Continued) Eqs. (6) (5): 160( 0.3 ) 280 200 2 0 C C T T P      232 200 2 0 C T P    1.2191 C T P  1.219 C T P   From Eq. (6): 0.3(1.2191 ) 0.36574 B T P P      0.366 B T P    From Eq. (2): 200( 0.3657 ) 200(1.2191 ) 200 0 D P P T      0.8534 D T P   0.853 D T P    0:   F 0 B C D P      F T T T j ( 0.36574 ) ( 0.8534 ) : 0 2 2 x P P F      i 0.3448 0.345 x x F P F P     ( 0.36574 ) (1.2191 ) ( 0.8534 ) : 200 0 2 2 2 y P P P F        j y y F P F P   (1.2191 ) : 0 2 z P F   k 0.8620 0.862 z z F P F P     0.345 0.862 P P P     F i j k  www.elsolucionario.org
  • 553.
    Copyright © McGraw-HillEducation. Permission required for reproduction or display. PROBLEM 4.132 The uniform 10-kg rod AB is supported by a ball-and-socket joint at A and by the cord CG that is attached to the midpoint G of the rod. Knowing that the rod leans against a frictionless vertical wall at B, determine (a) the tension in the cord, (b) the reactions at A and B. SOLUTION Free-Body Diagram: Five unknowns and six equations of equilibrium, but equilibrium is maintained ( 0). AB M   (a) 2 (10 kg)9.81m/s 98.1 N    W mg W / / 300 200 225 425 mm ( 300 200 225 ) 425 600 400 150 mm 300 200 75 mm B A G A GC GC GC T T GC                   i j k T i j k r i j r i j   / / / 0: ( ) 0 A B A G A G A M W          r B r T r j 600 400 150 300 200 75 300 200 75 425 0 0 300 200 225 0 98.1 0 T B         i j k i j k i j k Coefficient of : ( 105.88 35.29) 7357.5 0 T     i 52.12 N T  52.1 N T     www.elsolucionario.org
  • 554.
    Copyright © McGraw-HillEducation. Permission required for reproduction or display. PROBLEM 4.132 (Continued) (b) Coefficient of 52.12 : 150 (300 75 300 225) 0 425 B      j 73.58 N B  (73.6 N)  B i  0: 0 W       F A B T j Coefficient of : i 300 73.58 52.15 0 425 x A    36.8 N x A    Coefficient of : j 200 52.15 98.1 0 425 y A    73.6 N y A   Coefficient of : k 225 52.15 0 425 z A   27.6 N z A   www.elsolucionario.org
  • 555.
    Copyright © McGraw-HillEducation. Permission required for reproduction or display. PROBLEM 4.133 The frame ACD is supported by ball-and-socket joints at A and D and by a cable that passes through a ring at B and is attached to hooks at G and H. Knowing that the frame supports at Point C a load of magnitude P  268 N, determine the tension in the cable. SOLUTION Free-Body Diagram: (1 m) (0.75 m) 1.25 m 0.8 0.6 0.5 0.925 0.4 1.125 0.375 0.75 0.75 1.125 AD AD BG BG BG BH BH BH AD AD BG T BG T BH T T BH T               i k i k T i j k i j k      www.elsolucionario.org
  • 556.
    Copyright © McGraw-HillEducation. Permission required for reproduction or display. PROBLEM 4.133 (Continued) / / (0.5 m) ; (1 m) ; (268 N) B A C A     r i r i P j To eliminate the reactions at A and D, we shall write 0: AD   M / / / ( ) ( ) ( ) 0 AD B A BG AD B A BH AD C A          r T r T r P    (1) Substituting for terms in Eq. (1) and using determinants, 0.8 0 0.6 0.8 0 0.6 0.8 0 0.6 0.5 0 0 0.5 0 0 1 0 0 0 1.125 1.125 0.5 0.925 0.4 0.375 0.75 0.75 0 268 0 BG BH T T           Multiplying all terms by (–1.125), 0.27750 0.22500 180.900 BG BH T T   (2) For this problem, BG BH T T T   (0.27750 0.22500) 180.900 T   360 N T   www.elsolucionario.org
  • 557.
    Copyright © McGraw-HillEducation. Permission required for reproduction or display. PROBLEM 4.134 Solve Prob. 4.133, assuming that cable GBH is replaced by a cable GB attached at G and B. PROBLEM 4.133 The frame ACD is supported by ball- and-socket joints at A and D and by a cable that passes through a ring at B and is attached to hooks at G and H. Knowing that the frame supports at Point C a load of magnitude P  268 N, determine the tension in the cable. SOLUTION Free-Body Diagram: (1 m) (0.75 m) 1.25 m 0.8 0.6 0.5 0.925 0.4 1.125 0.375 0.75 0.75 1.125 AD AD BG BG BG BH BH BH AD AD BG T T BG T BH T T BH T               i k i k i j k i j k      www.elsolucionario.org
  • 558.
    Copyright © McGraw-HillEducation. Permission required for reproduction or display. PROBLEM 4.134 (Continued) / / (0.5 m) ; (1 m) ; (268 N) B A C A     r i r i P j To eliminate the reactions at A and D, we shall write / / / 0: ( ) ( ) ( ) 0 AD AD B A BG AD B A BH AD C A            M r T r T r P    (1) Substituting for terms in Eq. (1) and using determinants, 0.8 0 0.6 0.8 0 0.6 0.8 0 0.6 0.5 0 0 0.5 0 0 1 0 0 0 1.125 1.125 0.5 0.925 0.4 0.375 0.75 0.75 0 268 0 BG BH T T           Multiplying all terms by (–1.125), 0.27750 0.22500 180.900 BG BH T T   (2) For this problem, 0. BH T  Thus, Eq. (2) reduces to 0.27750 180.900 BG T  652 N BG T   www.elsolucionario.org
  • 559.
    Copyright © McGraw-HillEducation. Permission required for reproduction or display. PROBLEM 4.135 The bent rod ABDE is supported by ball-and-socket joints at A and E and by the cable DF. If a 60-lb load is applied at C as shown, determine the tension in the cable. SOLUTION Free-Body Diagram: / / 16 11 8 21in. ( 16 11 8 ) 21 16 16 14 7 24 25 D E C E EA DF DF DE T T DF EA EA                 i j k T i j k r i r i k i k λ     / / 0: ( ) ( ( 60 )) 0 EA EA B E EA C E M          λ r T λ r j 7 0 24 7 0 24 1 16 0 0 16 0 14 0 21 25 25 16 11 8 0 60 0 24 16 11 7 14 60 24 16 60 0 21 25 25 201.14 17,160 0 T T T                        85.314 lb T  85.3 lb T   www.elsolucionario.org
  • 560.
    Copyright © McGraw-HillEducation. Permission required for reproduction or display. PROBLEM 4.136 Solve Problem 4.135, assuming that cable DF is replaced by a cable connecting B and F. PROBLEM 4.135 The bent rod ABDE is supported by ball-and-socket joints at A and E and by the cable DF. If a 60-lb load is applied at C as shown, determine the tension in the cable. SOLUTION Free-Body Diagram: / / 9 9 10 B A C A    r i r i k 16 11 16 25.16 in. ( 16 11 16 ) 25.16 7 24 AE BF BF BF T T BF AE AE              i j k T i j k i k λ 25       / / 0: ( ) ( ( 60 )) 0 AE AF B A AE C A M          λ r T λ r j 7 0 24 7 0 24 1 9 0 0 9 0 10 0 25 25.16 25 16 11 16 0 60 0 T        24 9 11 24 9 60 7 10 60 0 25 25.16 25 T            94.436 17,160 0   T 181.7 lb T   www.elsolucionario.org
  • 561.
    Copyright © McGraw-HillEducation. Permission required for reproduction or display. PROBLEM 4.137 Two rectangular plates are welded together to form the assembly shown. The assembly is supported by ball-and- socket joints at B and D and by a ball on a horizontal surface at C. For the loading shown, determine the reaction at C. SOLUTION First note: 2 2 2 / / (6 in.) (9 in.) (12 in.) (6) (9) (12) in. 1 ( 6 9 12 ) 16.1555 (6 in.) (80 lb) (8 in.) ( )                i j k i j k r i P k r i C j BD A B C D C  From the F.B.D. of the plates: / / 0: ( P C 0 BD BD A B BD C D M         r r     6 9 12 6 9 12 6(80) (8) 1 0 0 1 0 0 0 16.1555 16.1555 0 0 1 0 1 0 ( 9)(6)(80) (12)(8) 0 C C                       45.0 lb C  or (45.0 lb)  C j  www.elsolucionario.org
  • 562.
    Copyright © McGraw-HillEducation. Permission required for reproduction or display. PROBLEM 4.138 The pipe ACDE is supported by ball-and-socket joints at A and E and by the wire DF. Determine the tension in the wire when a 640-N load is applied at B as shown. SOLUTION Free-Body Diagram: Dimensions in mm / / 480 160 240 560 mm 480 160 240 560 6 2 3 7 200 480 160 AE AE B A D A AE AE AE AE               i j k i j k λ i j k λ r i r i j     480 330 240 ; 630 mm 480 330 240 16 11 8 630 21 DF DF DF DF DF DF DF T T T DF               i j k i j k i j k T   / / ( ) ( ( 600 )) 0 AE AE D A DF AE B A M          λ r T λ r j 6 2 3 6 2 3 1 480 160 0 200 0 0 0 21 7 7 16 11 8 0 640 0 DF T         6 160 8 2 480 8 3 480 11 3 160 16 3 200 640 0 21 7 7 DF T                  3 1120 384 10 0 DF T     342.86 N DF T  343 N DF T   www.elsolucionario.org
  • 563.
    Copyright © McGraw-HillEducation. Permission required for reproduction or display. PROBLEM 4.139 Solve Problem 4.138, assuming that wire DF is replaced by a wire connecting C and F. PROBLEM 4.138 The pipe ACDE is supported by ball-and- socket joints at A and E and by the wire DF. Determine the tension in the wire when a 640-N load is applied at B as shown. SOLUTION Free-Body Diagram: Dimensions in mm / / 480 160 240 560 mm 480 160 240 560 6 2 3 7 200 480 480 490 240 ; 726.70 mm 480 490 240 726.70 AE AE B A C A CF CF AE AE AE AE CF CF CE T CF                        i j k i j k λ i j k λ r i r i i j k i j k T         / / 0: ( ) ( ( 600 )) 0 AE AE C A CF AE B A M          λ r T λ r j 6 2 3 6 2 3 1 480 0 0 200 0 0 0 726.7 7 7 480 490 240 0 640 0 CF T          2 480 240 3 480 490 3 200 640 0 726.7 7 7 CF T           3 653.91 384 10 0 CF T     587 N CF T   www.elsolucionario.org
  • 564.
    Copyright © McGraw-HillEducation. Permission required for reproduction or display. PROBLEM 4.140 Two 2 4-ft  plywood panels, each of weight 12 lb, are nailed together as shown. The panels are supported by ball-and- socket joints at A and F and by the wire BH. Determine (a) the location of H in the xy plane if the tension in the wire is to be minimum, (b) the corresponding minimum tension. SOLUTION Free-Body Diagram: 1 2 / / / 4 2 4 6ft 1 (2 2 ) 3 2 4 2 4              i j k λ i j k r i j r i j k r i  AF G A G A B A AF AF 1 2 / / / 0: ( ( 12 ) ( ( 12 )) ( ) 0 AF AF G A AF G A AF B A M T              λ r j λ r j λ r / 2 1 2 2 1 2 1 1 2 1 0 4 1 2 ( ) 0 3 3 0 12 0 0 12 0               λ r T AF B A / 1 1 (2 2 12) ( 2 2 12 2 4 12) ( ) 0 3 3 AF B A              λ r T / / / ( ) 32 or ( ) 32         λ r T T λ r AF B A A F B A (1) www.elsolucionario.org
  • 565.
    Copyright © McGraw-HillEducation. Permission required for reproduction or display. PROBLEM 4.140 (Continued) Projection of T on / ( ) AF B A  λ r is constant. Thus, min T is parallel to / 1 1 (2 2 ) 4 ( 8 4 ) 3 3 AF B A         λ r i j k i j k Corresponding unit vector is 1 5 ( 2 ).   j k min 1 ( 2 ) 5 T T    j k (2) From Eq. (1): 1 ( 2 ) (2 2 ) 4 32 3 5 1 ( 2 ) ( 8 4 ) 32 3 5 T T                      j k i j k i j k j k 3 5(32) (16 4) 32 4.8 5 20 3 5 T T       10.7331 lb T  From Eq. (2): min min 1 ( 2 ) 5 1 4.8 5( 2 ) 5 (9.6 lb) (4.8 lb ) T T          j k j k T j k Since min T has no i component, wire BH is parallel to the yz plane, and 4 ft. x  (a) 4.00 ft; 8.00 ft x y    (b) min 10.73 lb T   www.elsolucionario.org
  • 566.
    Copyright © McGraw-HillEducation. Permission required for reproduction or display. PROBLEM 4.141 Solve Problem 4.140, subject to the restriction that H must lie on the y-axis. PROBLEM 4.140 Two 2 4-ft  plywood panels, each of weight 12 lb, are nailed together as shown. The panels are supported by ball-and-socket joints at A and F and by the wire BH. Determine (a) the location of H in the xy plane if the tension in the wire is to be minimum, (b) the corresponding minimum tension. SOLUTION Free-Body Diagram: 1 2 / / / 4 2 4 1 (2 2 ) 3 2 4 2 4 AF G A G A B A AF             i j k λ i j k r i j r i j k r i  2 / / / 0: ( ( 12 ) ( ( 12 )) ( ) 0 AF AF G A AF G A AF B A M T              λ r j λ r j λ r / 2 1 2 2 1 2 1 1 2 1 0 4 1 2 ( ) 0 3 3 0 12 0 0 12 0              λ r T AF B A / 1 1 (2 2 12) ( 2 2 12 2 4 12) ( ) 0 3 3 AF B A              λ r T / ( ) 32 AF B A     λ r T (1) 2 1/2 4 4 (32 ) BH y BH y       i j k   2 1/2 4 4 (32 ) BH y T T BH y       i j k T   www.elsolucionario.org
  • 567.
    Copyright © McGraw-HillEducation. Permission required for reproduction or display. PROBLEM 4.141 (Continued) From Eq. (1): / 2 1/2 2 1 2 ( ) 4 0 0 32 3(32 ) 4 4 AF B A T T y y           λ r 2 1/2 2 1/2 (32 ) ( 16 8 ) 3 32(32 ) 96 8 16          y y T y T y (2) 2 1/2 2 1/2 1 2 2 (8 +16) (32 ) (2 ) (32 ) (8) 0: 96 (8 16) y y y y dT dy y       Numerator  0: 2 (8 16) (32 )8 y y y    2 2 8 16 32 8 8 y y y     0 ft; 16.00 ft x y    From Eq. (2): 2 1/2 (32 16 ) 96 11.3137 lb 8 16 16 T      min 11.31 lb T   www.elsolucionario.org
  • 568.
    Copyright © McGraw-HillEducation. Permission required for reproduction or display. PROBLEM 4.142 A 3200-lb forklift truck is used to lift a 1700-lb crate. Determine the reaction at each of the two (a) front wheels A, (b) rear wheels B. SOLUTION Free-Body Diagram: (a) Front wheels: 0: (1700 lb)(52 in.) (3200 lb)(12 in.) 2 (36 in.) 0 B M A      1761.11lb A   1761lb  A  (b) Rear wheels: 0: 1700 lb 3200 lb 2(1761.11lb) 2 0 y F B        688.89 lb B   689 lb  B  www.elsolucionario.org
  • 569.
    Copyright © McGraw-HillEducation. Permission required for reproduction or display. PROBLEM 4.143 The lever BCD is hinged at C and attached to a control rod at B. If P  100 lb, determine (a) the tension in rod AB, (b) the reaction at C. SOLUTION Free-Body Diagram: (a) 0: (5 in.) (100 lb)(7.5 in.) 0 C M T     150.0 lb T   (b) 3 0: 100 lb (150.0 lb) 0 5 x x F C      190 lb x C   190 lb x  C 4 0: lb) 0 5 y y F C      120 lb y C   120 lb y  C 32.3    225 lb C  225 lb  C 32.3°  www.elsolucionario.org
  • 570.
    Copyright © McGraw-HillEducation. Permission required for reproduction or display. PROBLEM 4.144 Determine the reactions at A and B when (a) 0, h  (b) 200 mm. h  SOLUTION Free-Body Diagram: 0: ( cos60 )(0.5 m) ( sin 60 ) (150 N)(0.25 m) 0 A M B B h        37.5 0.25 0.866 B h   (1) (a) When 0, h  From Eq. (1): 37.5 150 N 0.25 B   150.0 N  B 30.0°  0: sin60 0 y x F A B      (150)sin 60 129.9 N x A    129.9 N x  A 0: 150 cos60 0 y y F A B       150 (150)cos60 75 N y A     75 N y  A 30 150.0 N A     150.0 N  A 30.0°  (b) When h  200 mm  0.2 m, From Eq. (1): 37.5 488.3 N 0.25 0.866(0.2) B    488 N  B 30.0°  0: sin 60 0 x x F A B      (488.3)sin 60 422.88 N x A    422.88 N x  A 0: 150 cos60 0 y y F A B       150 (488.3)cos60 94.15 N y A      94.15 N y  A 12.55 433.2 N A     433 N  A 12.55°  www.elsolucionario.org
  • 571.
    Copyright © McGraw-HillEducation. Permission required for reproduction or display. PROBLEM 4.145 Neglecting friction and the radius of the pulley, determine (a) the tension in cable ADB, (b) the reaction at C. SOLUTION Free-Body Diagram: Dimensions in mm Geometry: Distance: 2 2 (0.36) (0.150) 0.39 m AD    Distance: 2 2 (0.2) (0.15) 0.25 m BD    Equilibrium for beam: (a) 0.15 0.15 0: (120 N)(0.28 m) (0.36 m) (0.2 m) 0 0.39 0.25 C M T T                  130.000 N T  or 130.0 N T   (b) 0.36 0.2 0: (130.000 N) (130.000 N) 0 0.39 0.25 x x F C                  224.00 N x C   0.15 0.15 0: (130.00 N) (130.00 N) 120 N 0 0.39 0.25 y y F C                   8.0000 N y C   Thus, 2 2 2 2 ( 224) ( 8) 224.14 N x y C C C        and 1 1 8 tan tan 2.0454 224 y x C C        224 N  C 2.05  www.elsolucionario.org
  • 572.
    Copyright © McGraw-HillEducation. Permission required for reproduction or display. PROBLEM 4.146 Bar AD is attached at A and C to collars that can move freely on the rods shown. If the cord BE is vertical (  0), determine the tension in the cord and the reactions at A and C. SOLUTION Free-Body Diagram: 0: cos30 (80 N)cos30 0 y F T        80 N T  80.0 N T   0: ( sin30 )(0.4 m) (80 N)(0.2 m) (80 N)(0.2 m) 0 C M A       160 N A   160.0 N  A 30.0°  0: (80 N)(0.2 m) (80 N)(0.6 m) ( sin30 )(0.4 m) 0 A M C       160 N C   160.0 N  C 30.0°  www.elsolucionario.org
  • 573.
    Copyright © McGraw-HillEducation. Permission required for reproduction or display. PROBLEM 4.147 A slender rod AB, of weight W, is attached to blocks A and B that move freely in the guides shown. The constant of the spring is k, and the spring is unstretched when 0.   (a) Neglecting the weight of the blocks, derive an equation in W, k, l, and  that must be satisfied when the rod is in equilibrium. (b) Determine the value of  when 75 lb, W  30 in., l  and 3 lb/in. k  SOLUTION Free-Body Diagram: Spring force: ( cos ) (1 cos ) s F ks k l l kl        (a) 0: ( sin ) cos 0 2 D s l M F l W             (1 cos ) sin cos 0 2 W kl l l       (1 cos )tan 0 2 W kl      or (1 cos )tan 2 W kl      (b) For given values of 75 lb 30 in. 3 lb/in. (1 cos )tan tan sin 75 lb 2(3 lb/in.)(30 in.) 0.41667 W l k             Solving numerically, 49.710    or 49.7     www.elsolucionario.org
  • 574.
    Copyright © McGraw-HillEducation. Permission required for reproduction or display. PROBLEM 4.148 Determine the reactions at A and B when a  150 mm. SOLUTION Free-Body Diagram: Force triangle 80 mm 80 mm tan 150 mm 28.072 a       320 N sin 28.072 A   680 N  A 28.1  320 N tan 28.072 B   600 N  B   www.elsolucionario.org
  • 575.
    Copyright © McGraw-HillEducation. Permission required for reproduction or display. PROBLEM 4.149 For the frame and loading shown, determine the reactions at A and C. SOLUTION Since member AB is acted upon by two forces, A and B, they must be colinear, have the same magnitude, and be opposite in direction for AB to be in equilibrium. The force B acting at B of member BCD will be equal in magnitude but opposite in direction to force B acting on member AB. Member BCD is a three- force body with member forces intersecting at E. The F.B.D.’s of members AB and BCD illustrate the above conditions. The force triangle for member BCD is also shown. The angle  is found from the member dimensions: 1 6 in. tan 30.964 10 in.            Applying the law of sines to the force triangle for member BCD, 30 lb sin(45 ) sin sin135 B C        or 30 lb sin14.036 sin30.964 sin135 B C      (30 lb)sin30.964 63.641 lb sin14.036 A B      or 63.6 lb  A 45.0  and (30 lb)sin135 87.466 lb sin14.036 C     or 87.5 lb  C 59.0  www.elsolucionario.org
  • 576.
    Copyright © McGraw-HillEducation. Permission required for reproduction or display. PROBLEM 4.150 A 200-mm lever and a 240-mm-diameter pulley are welded to the axle BE that is supported by bearings at C and D. If a 720-N vertical load is applied at A when the lever is horizontal, determine (a) the tension in the cord, (b) the reactions at C and D. Assume that the bearing at D does not exert any axial thrust. SOLUTION Dimensions in mm We have six unknowns and six equations of equilibrium. —OK 0: ( 120 ) ( ) (120 160 ) (80 200 ) ( 720 ) 0 C x y D D T              M k i j j k i k i j 3 3 120 120 120 160 57.6 10 144 10 0 x y D D T T          j i k j i k Equating to zero the coefficients of the unit vectors: : k 3 120 144 10 0 T     (a) 1200 N T   : i 3 120 57.6 10 0 480 N y y D D      : 120 160(1200 N) 0 x D    j 1600 N x D   0: x F   0 x x C D T    1600 1200 400 N x C    0: y F   720 0 y y C D    480 720 1200 N y C    0: z F   0 z C  (b) (400 N) (1200 N) ; (1600 N) (480 N)      C i j D i j  www.elsolucionario.org
  • 577.
    Copyright © McGraw-HillEducation. Permission required for reproduction or display. PROBLEM 4.151 The 45-lb square plate shown is supported by three vertical wires. Determine the tension in each wire. SOLUTION Free-Body Diagram: / / / 0: ( 45 lb) 0 B C B C A B A G B M T T          r j r j r j [ (20 in.) (15 in.) ] (20 in.) C A T T      i k j k j  [ (10 in.) (10 in.) ] [ (45 lb) ] 0       i k j 20 15 20 450 450 0 C C A T T T       k i i k i Equating to zero the coefficients of the unit vectors, : k 20 450 0 C T    ; 22.5 lb C T  : i 15(22.5) 20 450 0 A T     ; 5.625 lb A T  0: y F   45 lb 0 A B C T T T     5.625 lb 22.5 lb 45 lb 0 B T     ; 16.875 lb B T   5.63 lb; 16.88 lb; 22.5 lb A B C T T T     www.elsolucionario.org
  • 578.
    Copyright © McGraw-HillEducation. Permission required for reproduction or display. PROBLEM 4.152 The rectangular plate shown weighs 75 lb and is held in the position shown by hinges at A and B and by cable EF. Assuming that the hinge at B does not exert any axial thrust, determine (a) the tension in the cable, (b) the reactions at A and B. SOLUTION / / / / / / (38 8) 30 (30 4) 20 26 20 38 10 2 19 10 8 25 20 33 in. (8 25 20 ) 33 0: ( 75 ) 0                                  B A E A G A A E A G A B A EF EF AE T T AE T B r i i r i k i k r i k i k i j k T i j k M r r j r 26 0 20 19 0 10 30 0 0 0 33 8 25 20 0 75 0 0 y z T B B      i j k i j k i j k Coefficient of i: (25)(20) 750 0: 33 T    49.5 lb T   Coefficient of j: 49.5 (160 520) 30 0: 34 lb 33 z z B B     Coefficient of k: 49.5 (26)(25) 1425 30 0: 15 lb 33 y y B B     (15.00 lb) (34.0 lb)   B j k     www.elsolucionario.org
  • 579.
    Copyright © McGraw-HillEducation. Permission required for reproduction or display.  PROBLEM 4.152 (Continued)  0: (75 lb) 0       F A B T j  Coefficient of i: 8 (49.5) 0 12.00 lb 33 x x A A     Coefficient of j: 25 15 (49.5) 75 0 22.5 lb 33 y y A A      Coefficient of k: 20 34 (49.5) 0 4.00 lb 33 z z A A        (12.00 lb) (22.5 lb) (4.00 lb)     A i j k  www.elsolucionario.org
  • 580.
    Copyright © McGraw-HillEducation. Permission required for reproduction or display. PROBLEM 4.153 A force P is applied to a bent rod ABC, which may be supported in four different ways as shown. In each case, if possible, determine the reactions at the supports. SOLUTION (a) 0: ( sin 45 )2 (cos45 ) 0 A a M P C a a         3 2 C P  2 3 C P  0.471P  C 45°  2 1 0: 3 2 x x F A P            3 x P A  2 1 2 0: 3 3 2 y y y P F A P P A              0.745P  A 63.4°  (b) 0: ( cos 30 )2 ( sin 30 ) 0         C M Pa A a A a (1.732 0.5) 0.812 A P A P    0.812P  A 60.0°  0: (0.812 )sin30 0 x x F P C      0.406 x C P   0: (0.812 )cos30 0 y y F P P C       0.297 y C P   0.503P  C 36.2°  www.elsolucionario.org
  • 581.
    Copyright © McGraw-HillEducation. Permission required for reproduction or display. PROBLEM 4.153 (Continued) (c) 0: ( cos30 )2 ( sin30 ) 0 C M Pa A a A a         (1.732 0.5) 0.448 A P A P    0.448P  A 60.0°  0: (0.448 )sin30 0 0.224 x x x F P C C P        0: (0.448 )cos30 0 0.612 y y y F P P C C P        0.652P  C 69.9°   (d) Force T exerted by wire and reactions A and C all intersect at Point D. 0: 0 D a M P    Equilibrium is not maintained. Rod is improperly constrained.  www.elsolucionario.org
  • 582.
    Copyright © McGraw-HillEducation. Permission required for reproduction or display. PROBLEM 4.F1 Two crates, each of mass 350 kg, are placed as shown in the bed of a 1400-kg pick-up truck. Draw the free-body diagram needed to determine the reactions at each of the two rear wheels A and front wheels B. SOLUTION Free-Body Diagram of Truck:  Weights: 2 (350 kg)(9.81 m/s ) 3.4335 N W   2 (1400 kg)(9.81 m/s ) 13.734 N T W      www.elsolucionario.org
  • 583.
    Copyright © McGraw-HillEducation. Permission required for reproduction or display. PROBLEM 4.F2 A lever AB is hinged at C and attached to a control cable at A. If the lever is subjected to a 75-lb vertical force at B, draw the free-body diagram needed to determine the tension in the cable and the reaction at C. SOLUTION Free-Body Diagram of Lever AB:  Geometry:  1 1 (10 in.)cos20 9.3969 in. (10 in.)sin 20 3.4202 in. 12 in. 3.4202 in. 8.5798 in. 8.5798 in. = tan tan 42.398 9.3969 in. 90 20 42.398 27.602 AC AC AD AD AC x y y y x                                      www.elsolucionario.org
  • 584.
    Copyright © McGraw-HillEducation. Permission required for reproduction or display. PROBLEM 4.F3 A light rod AD is supported by frictionless pegs at B and C and rests against a frictionless wall at A. A vertical 120-lb force is applied at D. Draw the free-body diagram needed to determine the reactions at A, B, and C. SOLUTION Free-Body Diagram of Rod AD:   www.elsolucionario.org
  • 585.
    Copyright © McGraw-HillEducation. Permission required for reproduction or display. PROBLEM 4.F4 A tension of 20 N is maintained in a tape as it passes through the support system shown. Knowing that the radius of each pulley is 10 mm, draw the free-body diagram needed to determine the reaction at C. SOLUTION Free-Body Diagram of Support System:  www.elsolucionario.org
  • 586.
    Copyright © McGraw-HillEducation. Permission required for reproduction or display. PROBLEM 4.F5 Two tape spools are attached to an axle supported by bearings at A and D. The radius of spool B is 1.5 in. and the radius of spool C is 2 in. Knowing that TB = 20 lb and that the system rotates at a constant rate, draw the free- body diagram needed to determine the reactions at A and D. Assume that the bearing at A does not exert any axial thrust and neglect the weights of the spools and axle. SOLUTION Free-Body Diagram of Axle-Spool System:  www.elsolucionario.org
  • 587.
    Copyright © McGraw-HillEducation. Permission required for reproduction or display. PROBLEM 4.F6 A 12-m pole supports a horizontal cable CD and is held by a ball and socket at A and two cables BE and BF. Knowing that the tension in cable CD is 14 kN and assuming that CD is parallel to the x axis ( = 0), draw the free-body diagram needed to determine the tension in cables BE and BF and the reaction at A. SOLUTION Free-Body Diagram of Pole:  www.elsolucionario.org
  • 588.
    Copyright © McGraw-HillEducation. Permission required for reproduction or display. PROBLEM 4.F7 A 20-kg cover for a roof opening is hinged at corners A and B. The roof forms an angle of 30 with the horizontal, and the cover is maintained in a horizontal position by the brace CE. Draw the free-body diagram needed to determine the magnitude of the force exerted by the brace and the reactions at the hinges. Assume that the hinge at A does not exert any axial thrust. SOLUTION Geometry of Brace CE:  Free-Body Diagram of Brace CE:  Cover Weight: 2 (20 kg)(9.81 m/s ) 196.2 N W     www.elsolucionario.org
  • 589.
  • 590.
  • 591.
    Copyright © McGraw-HillEducation. Permission required for reproduction or display. PROBLEM 5.1 Locate the centroid of the plane area shown. SOLUTION Area 1: Rectangle 72 mm by 45 mm. Area 2: Triangle b = 27 mm, h = 45 mm. 2 , mm A , mm x , mm y 3 ,mm xA 3 ,mm yA 1 3240 36 22.5 116,640 72,900 2 -607.5 9 215 -5467.5 -9112.5  2632.5 11,172.5 63,787.5 X A x A   2 3 (2632.5 mm ) 11,172.5 mm X  42.2 mm X   Y A y A    2 3 (2632.5 mm ) 63787.5 mm Y  24.2 mm Y    www.elsolucionario.org
  • 592.
    Copyright © McGraw-HillEducation. Permission required for reproduction or display. PROBLEM 5.2 Locate the centroid of the plane area shown. SOLUTION 2 , in A , in. x , in. y 3 ,in xA 3 ,in yA 1 8 0.5 4 4 32 2 3 2.5 2.5 7.5 7.5  11 11.5 39.5 X A x A   2 3 (11in ) 11.5 in X  1.045 in. X   Y A y A    2 3 (11 in ) 39.5 in Y  3.59 in. Y    www.elsolucionario.org
  • 593.
    Copyright © McGraw-HillEducation. Permission required for reproduction or display. PROBLEM 5.3 Locate the centroid of the plane area shown. SOLUTION Area 1: Rectangle 42 mm by 44 mm. Area 2: Triangle b = 18 mm, h = 12 mm. Area 3: Triangle b = 24 mm, h = 12 mm. 2 , mm A , mm x , mm y 3 , mm xA 3 , mm yA 1 42 44 1848   3 22 5544 40,656 2 1 18 12 108 2      -12 4 1296 -432 3 1 24 12 144 2      16 4 -2304 -576  1596 4536 39,648 Then X A xA    2 3 (1596 mm ) 4536 mm X  or 2.84 mm X   and Y A yA    2 3 (1596 mm ) 39,648 mm Y  or 24.8 mm Y   www.elsolucionario.org
  • 594.
    Copyright © McGraw-HillEducation. Permission required for reproduction or display. PROBLEM 5.4 Locate the centroid of the plane area shown. SOLUTION Area 1: Triangle b = 60 mm, h = 75 mm. Area 2: Four triangles b = 60 mm, h = 75 mm forming the diamond. 2 , mm A , mm x , mm y 3 , mm xA 3 , mm yA 1 1 60 75 2250 2    20 25 45,000 56,250 2 1 4 60 75 9000 2     60 75 540,000 675,000  11,250 585,000 731,250 Then X A xA    2 3 (11,250 mm ) 585,000 mm X  or 52.0 mm X   and Y A yA    2 3 (11,250 m ) 731,250 mm Y  or 65.0 mm Y   www.elsolucionario.org
  • 595.
    Copyright © McGraw-HillEducation. Permission required for reproduction or display. PROBLEM 5.5 Locate the centroid of the plane area shown. SOLUTION Area 1: Rectangle 6 in. by 4 in. Area 2: Triangle b = 6 in., h = 3 in. 2 , in A , in x , in y 3 ,in xA 3 ,in yA 1 24 3 2 72 48 2 9 4 5 36 45  33 108 93 X A x A   2 3 (33in ) 108 in X  3.27 in. X   Y A y A    2 3 (33 in ) 93 in Y  2.82 in. Y    www.elsolucionario.org
  • 596.
    Copyright © McGraw-HillEducation. Permission required for reproduction or display. PROBLEM 5.6 Locate the centroid of the plane area shown. SOLUTION 2 , mm A , mm x , mm y 3 , mm xA 3 , mm yA 1 (60)(120) 7200  –30 60 3 216 10   3 432 10  2 2 (60) 2827.4 4   25.465 95.435 3 72.000 10  3 269.83 10  3 2 (60) 2827.4 4     –25.465 25.465 3 72.000 10  3 72.000 10    7200 3 72.000 10   3 629.83 10  Then 2 3 3 (7200 mm ) 72.000 10 mm XA x A X      10.00 mm X    2 3 3 (7200 mm ) 629.83 10 mm YA y A Y     87.5 mm Y   www.elsolucionario.org
  • 597.
    Copyright © McGraw-HillEducation. Permission required for reproduction or display. PROBLEM 5.7 Locate the centroid of the plane area shown. SOLUTION Area 1: Rectangle 16 in. by 8 in. Area 2: Semicircle radius of 5 in. 2 , in A , in x , in y 3 ,in xA 3 ,in yA 1 128 0 4 0 512 2 -39.27 0 5.878 0 -230.83  88.73 0 281.17 X A x A   0 in. X   Y A y A    2 3 (88.73 in ) 281.17 in Y  3.17 in. Y    www.elsolucionario.org
  • 598.
    Copyright © McGraw-HillEducation. Permission required for reproduction or display. PROBLEM 5.8 Locate the centroid of the plane area shown. SOLUTION 2 , in A , in. x , in. y 3 , in xA 3 , in yA 1 2 (38) 2268.2 2   0 16.1277 0 36,581 2 20 16 320    10 8 3200 2560  1948.23 3200 34,021 Then 3 2 3200 in 1948.23 in xA X A     1.643in. X   3 2 34,021 in 1948.23 in yA Y A     17.46 in. Y   www.elsolucionario.org
  • 599.
    Copyright © McGraw-HillEducation. Permission required for reproduction or display. PROBLEM 5.9 Locate the centroid of the plane area shown. SOLUTION Area 1: Square 75 mm by 75 mm. Area 2: Quarter circle radius of 75 mm. 2 , mm A , mm x , mm y 3 ,mm xA 3 ,mm yA 1 75 75 5625   37.5 37.5 210,938 210,938 2 2 75 4417.9 4      43.169  43.169 -190,715   1207.10 20,223 20,223 Then by symmetry xA X Y A     2 3 (1207.14 mm ) 20,223 mm X  16.75 mm X Y    www.elsolucionario.org
  • 600.
    Copyright © McGraw-HillEducation. Permission required for reproduction or display. PROBLEM 5.10 Locate the centroid of the plane area shown. SOLUTION Area 1: Parabolic Spandrel, refer to fig 5.8A for centroid location. Area 2: Rectangle 16 in. by 3 in. 2 , in. A , in. x , in. y 3 , in xA 3 , in yA 1 1 (10)(16) 53.333 3  12 6 640 320 2 (3)(16) 48.0  8 1.5 384 72  101.333 1024 392 Then XA xA   2 3 (101.333 in ) 1024 in X  10.11in. X   2 3 (101.333 in ) 393 in YA yA Y    3.88 in. Y   www.elsolucionario.org
  • 601.
    Copyright © McGraw-HillEducation. Permission required for reproduction or display. PROBLEM 5.11 Locate the centroid of the plane area shown. SOLUTION 2 , mm A , mm x , mm y 3 , mm xA 3 , mm yA 1 2 (75)(120) 6000 3  28.125 48 168,750 288,000 2 1 (75)(60) 2250 2    25 20 –56,250 –45,000  3750 112,500 243,000 Then X A xA    2 3 (3750 mm ) 112,500 mm X  or 30.0 mm X   and Y A yA    2 3 (3750 mm ) 243,000 mm Y  or 64.8 mm Y   www.elsolucionario.org
  • 602.
    Copyright © McGraw-HillEducation. Permission required for reproduction or display. PROBLEM 5.12 Locate the centroid of the plane area shown. SOLUTION Area 1: Outer semicircle diameter 120 mm. Area 2: Inner semicircle diameter 72 mm. 2 , mm A , mm x , mm y 3 , mm xA 3 , mm yA 1 2 (120) 22,620 2   -50.93 0 3 1152.04 10   0 2 2 (72) 8143.0 2     -30.558 0 3 248.80 10  0  14,477 3 903.20 10   0 Then XA xA   2 3 3 (14,477 mm ) 903.20 10 mm X    62.4 mm X    YA yA   0 Y   www.elsolucionario.org
  • 603.
    Copyright © McGraw-HillEducation. Permission required for reproduction or display. PROBLEM 5.13 Locate the centroid of the plane area shown. SOLUTION Dimensions in in. 2 , in A , in. x , in. y 3 , in xA 3 , in yA 1 2 (4)(8) 21.333 3  4.8 1.5 102.398 32.000 2 1 (4)(8) 16.0000 2    5.3333 1.33333 85.333 21.333  5.3333 17.0650 10.6670 Then X A xA    2 3 (5.3333in ) 17.0650 in X  or 3.20 in. X   and Y A yA    2 3 (5.3333in ) 10.6670 in Y  or 2.00 in. Y   www.elsolucionario.org
  • 604.
    Copyright © McGraw-HillEducation. Permission required for reproduction or display. PROBLEM 5.14 Locate the centroid of the plane area shown. SOLUTION First note that symmetry implies 0 X    2 , m A , m y 3 , m yA 1 4 4.5 3 18 3    1.2 21.6 2 2 (1.8) 5.0894 2     0.76394 3.8880  12.9106 17.7120  Then 3 2 17.7120 m 12.9106 m y A Y A     or 1.372 m Y   www.elsolucionario.org
  • 605.
    Copyright © McGraw-HillEducation. Permission required for reproduction or display. PROBLEM 5.15 Locate the centroid of the plane area shown. SOLUTION 2 , mm A , mm x , mm y 3 , mm xA 3 , mm yA 1 1 (120)(90) 5400 2  0 30 0 162,000 2 2 (60 2) 5654.9 4   0 9.07 0 51,290 3 1 (120)(60) 3600 2    0 20 0 -72,000  7454.9 0 141,290 Then XA x A   0 mm X   2 3 (7454.9 mm ) 141,290 mm YA y A Y    18.95 mm Y   www.elsolucionario.org
  • 606.
    Copyright © McGraw-HillEducation. Permission required for reproduction or display. PROBLEM 5.16 Determine the y coordinate of the centroid of the shaded area in terms of r1, r2, and . SOLUTION First, determine the location of the centroid. From Figure 5.8A:       2 2 2 2 2 2 2 2 2 sin 2 3 2 2 cos 3 y r A r r                       Similarly,   2 1 1 1 1 2 2 cos 3 2 y r A r                Then       2 2 2 2 1 1 2 2 3 3 2 1 2 cos 2 cos 3 2 3 2 2 cos 3 yA r r r r r r                                             and   2 2 2 1 2 2 2 1 2 2 2 A r r r r                                 Now Y A yA        2 2 3 3 2 1 2 1 2 cos 2 3 Y r r r r                    3 3 2 1 2 2 2 1 2 2cos 3 2 r r Y r r                      www.elsolucionario.org
  • 607.
    Copyright © McGraw-HillEducation. Permission required for reproduction or display. PROBLEM 5.17 Show that as r1 approaches r2, the location of the centroid approaches that for an arc of circle of radius 1 2 ( )/2. r r  SOLUTION First, determine the location of the centroid. From Figure 5.8A:       2 2 2 2 2 2 2 2 2 sin 2 3 2 2 cos 3 y r A r r                       Similarly,   2 1 1 1 1 2 2 cos 3 2 y r A r                Then       2 2 2 2 1 1 2 2 3 3 2 1 2 cos 2 cos 3 2 3 2 2 cos 3 yA r r r r r r                                             and   2 2 2 1 2 2 2 1 2 2 2 A r r r r                                 Now Y A yA        2 2 3 3 2 1 2 1 3 3 2 1 2 2 2 1 2 cos 2 3 2 2cos 3 2 Y r r r r r r Y r r                                        www.elsolucionario.org
  • 608.
    Copyright © McGraw-HillEducation. Permission required for reproduction or display. PROBLEM 5.17 (Continued) Using Figure 5.8B, Y of an arc of radius 1 2 1 ( ) 2 r r  is 2 1 2 2 1 2 2 sin( ) 1 ( ) 2 ( ) 1 cos ( ) 2 ( ) Y r r r r               (1) Now   2 2 3 3 2 1 2 1 2 1 2 1 2 2 2 1 2 1 2 1 2 2 2 1 2 1 2 1 ( ) ( )( ) r r r r r r r r r r r r r r r r r r r r             Let 2 1 r r r r       Then 1 2 1 ( ) 2 r r r   and 3 3 2 2 2 1 2 2 2 1 2 2 ( ) ( )( )( ) ( ) ( ) 3 2 r r r r r r r r r r r r                     In the limit as  0 (i.e., 1 2 ), r r  then 3 3 2 1 2 2 2 1 1 2 3 2 3 1 ( ) 2 2 r r r r r r r       So that 1 2 2 2 3 cos ( ) 3 4 Y r r        or 1 2 cos ( ) 2 Y r r        which agrees with Equation (1). www.elsolucionario.org
  • 609.
    Copyright © McGraw-HillEducation. Permission required for reproduction or display. PROBLEM 5.18 Determine the x coordinate of the centroid of the trapezoid shown in terms of h1, h2, and a. SOLUTION Area 1: A x xA 1 1 1 2 h a 1 3 a 2 1 1 6 h a 2 2 1 2 h a 2 3 a 2 2 2 6 h a  1 2 1 ( ) 2 a h h  2 1 2 1 ( 2 ) 6 a h h  2 1 1 2 6 1 1 2 2 ( 2 ) ( ) a h h x A X A a h h       1 2 1 2 2 3 h h a X h h           www.elsolucionario.org
  • 610.
    Copyright © McGraw-HillEducation. Permission required for reproduction or display. PROBLEM 5.19 For the semiannular area of Prob. 5.12, determine the ratio r1 to r2 so that the centroid of the area is located at x = 2 1 2 r  and y = 0. SOLUTION First, determine the location of the centroid. 2 2 4 3 x r    Similarly, 1 1 4 3 x r      2 2 2 1 2 A r r     Then   2 2 2 1 2 1 3 3 2 1 4 4 2 3 2 3 2 3 r r xA r r r r                         Now X A xA              2 2 3 3 2 1 2 1 2 1 2 2 2 1 2 2 1 1 2 2 2 2 1 1 2 1 2 ; Dividing by 2 3 2 (1) 2 3 4 3 X r r r r r r X r r r r r r r r r r X r r                                           By symmetry, 0 Y  www.elsolucionario.org
  • 611.
    Copyright © McGraw-HillEducation. Permission required for reproduction or display. PROBLEM 5.19 (Continued) Now substituting for 2 1 2 X r   in equation (1) gives.   2 2 2 2 1 2 1 2 1 1 2 ( r ) 2 2 3 r r r r r r                 (1) Dividing through by 2 and 2/3, r  2 1 1 1 2 2 2 3 1 1 2 4 r r r r r r                          Then 2 1 1 2 2 0.1781 0.1781 0 r r r r                Solving the quadratic yields, 1 2 0.520 r r         www.elsolucionario.org
  • 612.
    Copyright © McGraw-HillEducation. Permission required for reproduction or display. PROBLEM 5.20 A composite beam is constructed by bolting four plates to four 60  60  12-mm angles as shown. The bolts are equally spaced along the beam, and the beam supports a vertical load. As proved in mechanics of materials, the shearing forces exerted on the bolts at A and B are proportional to the first moments with respect to the centroidal x-axis of the red- shaded areas shown, respectively, in parts a and b of the figure. Knowing that the force exerted on the bolt at A is 280 N, determine the force exerted on the bolt at B. SOLUTION From the problem statement, F is proportional to . x Q Therefore, ( ) , or ( ) ( ) ( ) x B A B B A x A x B x A Q F F F F Q Q Q   For the first moments, 3 3 12 ( ) 225 (300 12) 2 831,600 mm 12 ( ) ( ) 2 225 (48 12) 2(225 30)(12 60) 2 1,364,688 mm x A x B x Q Q Q A                         Then 1,364,688 (280 N) 831,600 B F  or 459 N B F   www.elsolucionario.org
  • 613.
    Copyright © McGraw-HillEducation. Permission required for reproduction or display. PROBLEM 5.21 The horizontal x-axis is drawn through the centroid C of the area shown, and it divides the area into two component areas A1 and A2. Determine the first moment of each component area with respect to the x-axis, and explain the results obtained. SOLUTION Length of BD: 0.84in. 0.48 in. (1.44 in. 0.48 in.) 0.48 0.56 1.04 in. 0.84 in. 0.60 in. BD        Area above x-axis (consider two triangular areas): 1 3 3 1 1 (0.28 in.) (0.84 in.)(1.04 in.) (0.56 in.) (0.84 in.)(0.48 in.) 2 2 0.122304 in 0.112896 in A Q y                   3 1 0.235 in Q   Area below x-axis: 2 3 3 1 1 (0.40 in.) (0.60 in.)(1.44 in.) (0.20 in.) (0.60 in.) 2 2 0.1728 in 0.0624 in Q yA                     3 2 0.235 in Q    2 | | | |, Q Q  since C is centroid and thus, 0 Q y A    www.elsolucionario.org
  • 614.
    Copyright © McGraw-HillEducation. Permission required for reproduction or display. PROBLEM 5.22 The horizontal x-axis is drawn through the centroid C of the area shown, and it divides the area into two component areas A1 and A2. Determine the first moment of each component area with respect to the x-axis, and explain the results obtained. SOLUTION Area above x-axis (Area A1): 1 3 3 (25)(20 80) (7.5)(15 20) 40 10 2.25 10 Q y A           3 3 1 42.3 10 mm Q    Area below x-axis (Area A2): 2 ( 32.5)(65 20) Q y A      3 3 2 42.3 10 mm Q     1 2 | | | |, Q Q  since C is centroid and thus, 0 Q y A     Dimensions in mm www.elsolucionario.org
  • 615.
    Copyright © McGraw-HillEducation. Permission required for reproduction or display. PROBLEM 5.23 The first moment of the shaded area with respect to the x-axis is denoted by Qx. (a) Express Qx in terms of b, c, and the distance y from the base of the shaded area to the x-axis. (b) For what value of y is x Q maximum, and what is that maximum value? SOLUTION Shaded area: ( ) 1 ( )[ ( )] 2 x A b c y Q yA c y b c y       (a) 2 2 1 ( ) 2 x Q b c y    (b) For max, Q 1 0 or ( 2 ) 0 2 dQ b y dy    0 y   For 0, y  2 1 ( ) 2 x Q bc  2 1 ( ) 2 x Q bc   www.elsolucionario.org
  • 616.
    Copyright © McGraw-HillEducation. Permission required for reproduction or display. PROBLEM 5.24 A thin, homogeneous wire is bent to form the perimeter of the figure indicated. Locate the center of gravity of the wire figure thus formed. SOLUTION , mm L , mm x , mm y 2 ,mm xL 2 ,mm yL 1 45 49.5 0 2227.5 0 2 45 72 22.5 3240 1012.5 3 72 36 45 2592 3240 4 52.479 13.5 22.5 708.47 1180.78  2632.5 8768.0 5433.3 X L x L   2 (214.479 mm) 8768.0 mm X  40.9 mm X   Y L yL    2 (214.479 mm) 5433.3 mm Y  25.3 mm Y    www.elsolucionario.org
  • 617.
    Copyright © McGraw-HillEducation. Permission required for reproduction or display. PROBLEM 5.25 A thin, homogeneous wire is bent to form the perimeter of the figure indicated. Locate the center of gravity of the wire figure thus formed. SOLUTION L, mm , mm x , mm y 2 , mm xL 2 , mm yL 1 2 2 24 12 26.833   12  322  2 32 24 28 768 896 3 42 3 44 126 1848 4 32 18 28 576 896 5 2 2 18 12 21.633   9 6 194.697 129.798  154.466   3930.8 Then X L x L    (154.466) 445.30 X  or 2.88 mm X   Y L y L    (154.466) 3930.8 Y  or 25.4 mm Y   www.elsolucionario.org
  • 618.
    Copyright © McGraw-HillEducation. Permission required for reproduction or display. PROBLEM 5.26 A thin, homogeneous wire is bent to form the perimeter of the figure indicated. Locate the center of gravity of the wire figure thus formed. SOLUTION L, in. , in. x , in. y 2 , in xL 2 , in yL 1 4 0 2 0 8 2 2 2 3 6 6.7082   3 5.5 20.125 36.894 3 7 6 3.5 42 24.5 4 6 3 0 18 0  23.708 80.125 69.394 Then (23.708) 80.125 X L x L X     3.38 in. X   (23.708) 69.394 Y L y L Y     2.93 in. Y   www.elsolucionario.org
  • 619.
    Copyright © McGraw-HillEducation. Permission required for reproduction or display. PROBLEM 5.27 A thin, homogeneous wire is bent to form the perimeter of the figure indicated. Locate the center of gravity of the wire figure thus formed. SOLUTION First note that because the wire is homogeneous, its center of gravity will coincide with the centroid of the corresponding line. 6 2 (38 in.) Y   , in. L , in. x , in. y 2 , in. xL 2 , in. yL 1 18 –29 0 –522 0 2 16 –20 8 –320 128 3 20 –10 16 –200 320 4 16 0 8 0 128 5 38 19 0 722 0 6 (38) 119.381   0 24.192 0 2888.1  227.38 –320 3464.1 Then 320 227.38 x L X L      1.407 in. X    3464.1 227.38 yL Y L     15.23 in. Y   www.elsolucionario.org
  • 620.
    Copyright © McGraw-HillEducation. Permission required for reproduction or display. PROBLEM 5.28 The homogeneous wire ABC is bent into a semicircular arc and a straight section as shown and is attached to a hinge at A. Determine the value of  for which the wire is in equilibrium for the indicated position. SOLUTION First note that for equilibrium, the center of gravity of the wire must lie on a vertical line through A. Further, because the wire is homogeneous, its center of gravity will coincide with the centroid of the corresponding line. Thus, 0 X  so that 0 x L   Then 1 2 cos ( ) cos ( ) 0 2 r r r r r                     or 4 cos 1 2 0.54921      or 56.7     www.elsolucionario.org
  • 621.
    Copyright © McGraw-HillEducation. Permission required for reproduction or display. PROBLEM 5.29 The frame for a sign is fabricated from thin, flat steel bar stock of mass per unit length 4.73 kg/m. The frame is supported by a pin at C and by a cable AB. Determine (a) the tension in the cable, (b) the reaction at C. SOLUTION First note that because the frame is fabricated from uniform bar stock, its center of gravity will coincide with the centroid of the corresponding line. L, m , m x 2 , m xL 1 1.35 0.675 0.91125 2 0.6 0.3 0.18 3 0.75 0 0 4 0.75 0.2 0.15 5 (0.75) 1.17810 2   1.07746 1.26936  4.62810 2.5106 Then (4.62810) 2.5106 X L x L X     or 0.54247 m X  The free-body diagram of the frame is then where 2 ( ) 4.73 kg/m 4.62810 m 9.81 m/s 214.75 N W m L g        www.elsolucionario.org
  • 622.
    Copyright © McGraw-HillEducation. Permission required for reproduction or display. PROBLEM 5.29 (Continued) Equilibrium then requires (a) 3 0: (1.55 m) (0.54247 m)(214.75 N) 0 5 C BA M T           or 125.264 N BA T  or 125.3 N BA T   (b) 3 0: (125.264 N) 0 5 x x F C     or 75.158 N x  C 4 0: (125.264 N) (214.75 N) 0 5 y y F C      or 114.539 N y  C Then 137.0 N  C 56.7°  www.elsolucionario.org
  • 623.
    Copyright © McGraw-HillEducation. Permission required for reproduction or display. PROBLEM 5.30 The homogeneous wire ABCD is bent as shown and is attached to a hinge at C. Determine the length L for which portion BCD of the wire is horizontal. SOLUTION First note that for equilibrium, the center of gravity of the wire must lie on a vertical line through C. Further, because the wire is homogeneous, the center of gravity of the wire will coincide with the centroid of the corresponding line. Thus, 0  X so that 0 X L   Then ( 40 mm)(80 mm) ( 40 mm)(100 mm) 0 2      L 2 2 14,400 mm L  120.0 mm  L  www.elsolucionario.org
  • 624.
    Copyright © McGraw-HillEducation. Permission required for reproduction or display. PROBLEM 5.31 The homogeneous wire ABCD is bent as shown and is attached to a hinge at C. Determine the length L for which portion AB of the wire is horizontal. SOLUTION I II III 80 100 W w W w W Lw    0: (80 )(32) (100 )(14) ( )(0.4 ) 0 C M w w Lw L      2 9900 L  99.5 mm L   www.elsolucionario.org
  • 625.
    Copyright © McGraw-HillEducation. Permission required for reproduction or display. PROBLEM 5.32 Determine the distance h for which the centroid of the shaded area is as far above line BB′ as possible when (a) k  0.10, (b) k  0.80. SOLUTION A y yA 1 1 2 ba 1 3 a 2 1 6 a b 2 1 ( ) 2 kb h  1 3 h 2 1 6 kbh   ( ) 2 b a kh  2 2 ( ) 6 b a kh  Then 2 2 ( ) ( ) 2 6 Y A yA b b Y a kh a kh             or 2 2 3( ) a kh Y a kh    (1) and 2 2 2 1 2 ( ) ( )( ) 0 3 ( ) dY kh a kh a kh k dh a kh         or 2 2 2 ( ) 0 h a kh a kh     (2) Simplifying Eq. (2) yields 2 2 2 0 kh ah a    www.elsolucionario.org
  • 626.
    Copyright © McGraw-HillEducation. Permission required for reproduction or display. PROBLEM 5.32 (Continued) Then 2 2 2 ( 2 ) 4( )( ) 2 1 1 a a k a h k a k k            Note that only the negative root is acceptable since . h a  Then (a) 0.10 k  1 1 0.10 0.10 a h        or 0.513 h a   (b) 0.80 k  1 1 0.80 0.80 a h        or 0.691 h a   www.elsolucionario.org
  • 627.
    Copyright © McGraw-HillEducation. Permission required for reproduction or display. PROBLEM 5.33 Knowing that the distance h has been selected to maximize the distance y from line BB′ to the centroid of the shaded area, show that 2 /3. y h  SOLUTION See solution to Problem 5.32 for analysis leading to the following equations: 2 2 3( ) a kh Y a kh    (1) 2 2 2 ( ) 0 h a kh a kh     (2) Rearranging Eq. (2) (which defines the value of h which maximizes ) Y yields 2 2 2 ( ) a kh h a kh    Then substituting into Eq. (1) (which defines ), Y 1 2 ( ) 3( ) Y h a kh a kh     or 2 3 Y h   www.elsolucionario.org
  • 628.
    Copyright © McGraw-HillEducation. Permission required for reproduction or display. PROBLEM 5.34 Determine by direct integration the centroid of the area shown. Express your answer in terms of a and h. SOLUTION We have h y x a  and ( ) 1 dA h y dx x h dx a           1 ( ) 2 1 2 EL EL x x y h y h x a            Then 2 0 0 1 1 2 2 a a x x A dA h dx h x ah a a                     and 2 3 2 0 0 1 1 2 3 6 a a EL x x x x dA x h dx h a h a a                          0 2 2 2 3 2 2 2 0 0 1 1 2 1 1 2 2 3 3 a EL a a h x x y dA h dx a a h x h x dx x ah a a                                            2 1 1 : 2 6 EL xA x dA x ah a h          2 3 x a   2 1 1 : 2 3 EL y A y dA y ah ah          2 3 y h   www.elsolucionario.org
  • 629.
    Copyright © McGraw-HillEducation. Permission required for reproduction or display. PROBLEM 5.35 Determine by direct integration the centroid of the area shown. Express your answer in terms of a and h. SOLUTION At ( , ), a h 2 1 : y h ka  or 2 h k a  2 : y h ma  or h m a  Now 1 2 1 ( ) 2 EL EL x x y y y    and 2 2 1 2 2 2 ( ) ( ) h h dA y y dx x x dx a a h ax x dx a             Then 2 2 3 2 2 0 0 1 1 ( ) 2 3 6 a a h h a A dA ax x dx x x ah a a               and   2 3 4 2 2 2 0 0 2 2 1 2 2 1 2 1 1 1 ( ) 3 4 12 1 1 ( )[( ) ] 2 2 a a EL EL h h a x dA x ax x dx x x a h a a y dA y y y y dx y y dx                         www.elsolucionario.org
  • 630.
    Copyright © McGraw-HillEducation. Permission required for reproduction or display. PROBLEM 5.35 (Continued) 2 2 2 4 2 4 0 2 2 3 5 4 0 2 1 2 1 1 2 3 5 1 15 a a h h x x dx a a h a x x a ah                     2 1 1 : 6 12 EL xA x dA x ah a h          1 2 x a   2 1 1 : 6 15 EL yA y dA y ah ah          2 5 y h   www.elsolucionario.org
  • 631.
    Copyright © McGraw-HillEducation. Permission required for reproduction or display. PROBLEM 5.36 Determine by direct integration the centroid of the area shown. Express your answer in terms of a and h. SOLUTION For the element (el) shown at 2 , x a y h   or  2 2 h k a  2 = 4 h k a  el x x  1 2 el y y  dA ydx  2 3 2 2 2 2 0 0 Then 3 4 4 7 12 a a h h x A dA x dx a a ah               2 4 2 2 2 2 2 and 4 4 4 15 16 a a el a a h h x x dA x x dx a a ha                      2 2 2 2 2 2 4 2 4 2 2 5 2 4 1 2 1 2 4 32 31 5 160 32 a el a a a a a y dA y dx hx h dx x dx a a h x ah a                        Then 2 7 15 : 12 16 el xA x dA x ah a h          or 1.607 x a   2 7 31 : 12 160 EL yA y dA y ah ah          or 0.332 y h   www.elsolucionario.org
  • 632.
    Copyright © McGraw-HillEducation. Permission required for reproduction or display. PROBLEM 5.37 Determine by direct integration the centroid of the area shown. SOLUTION First note that symmetry implies 0 y   EL dA adx x x   1 ( ) 2 2 cos 3 EL dA a ad x a     Then 2 0 2 2 0 1 2 [ ] [ ] (1 ) 2                   a a A dA adx a d a a x a and 2 0 2 3 0 3 2 1 ( ) cos 3 2 1 [sin ] 2 3 1 2 sin 2 3                                      a EL a x dA x adx a a d x a a a 2 3 1 2 : [ (1 )] sin 2 3 EL xA x dA x a a              or 3 4sin 6(1 ) x a       www.elsolucionario.org
  • 633.
    Copyright © McGraw-HillEducation. Permission required for reproduction or display. PROBLEM 5.38 Determine by direct integration the centroid of the area shown. SOLUTION First note that symmetry implies 0 x   For the element (EL) shown 2 (Figure 5.8B) EL r y dA rdr     Then   2 2 1 1 2 2 2 2 1 2 2 r r r r r A dA rdr r r                   and   2 2 1 1 3 3 3 2 1 2 1 2 ( ) 2 3 3 r r EL r r r y dA rdr r r r               So     2 2 3 3 2 1 2 1 2 : 2 3 EL yA y dA y r r r r             or 3 3 2 1 2 2 2 1 4 3 r r y r r      www.elsolucionario.org
  • 634.
    Copyright © McGraw-HillEducation. Permission required for reproduction or display. PROBLEM 5.39 Determine by direct integration the centroid of the area shown. SOLUTION For the element (EL) shown, 2 2 b y a x a   and     2 2 2 2 ( ) 1 ( ) 2 2 EL EL dA b y dx b a a x dx a x x y y b b a a x a            Then   2 2 0 a b A dA a a x dx a       To integrate, let 2 2 sin : cos , cos x a a x a dx a d         Then /2 0 /2 2 2 0 ( cos )( cos ) 2 sin sin 2 4 1 4 b A a a a d a b a a a ab                                    and   2 2 0 /2 2 2 2 3/2 0 3 1 ( ) 2 3 1 6 a EL b x dA x a a x dx a b a x a x a a b                             www.elsolucionario.org
  • 635.
    Copyright © McGraw-HillEducation. Permission required for reproduction or display. PROBLEM 5.39 (Continued)     2 2 2 2 0 2 2 3 2 2 2 0 0 2 2 ( ) 3 2 2 1 6 a EL a a b b y dA a a x a a x dx a a b b x x dx a a ab                          2 1 : 1 4 6 EL xA x dA x ab a b                  2 or 3(4 ) a x     2 1 : 1 4 6 EL yA y dA y ab ab                  2 or 3(4 ) b y     www.elsolucionario.org
  • 636.
    Copyright © McGraw-HillEducation. Permission required for reproduction or display. PROBLEM 5.40 Determine by direct integration the centroid of the area shown. Express your answer in terms of a and b. SOLUTION At 2 2 0, (0 ) or x y b b b k a k a      Then 2 2 ( ) b y x a a   Now 2 2 ( ) 2 2 EL EL x x y b y x a a     and 2 2 ( ) b dA ydx x a dx a    Then   3 2 2 2 0 0 1 ( ) 3 3 a a b b A dA x a dx x a ab a a             and   2 3 2 2 2 2 0 0 4 2 3 2 2 2 2 2 2 5 2 2 4 0 0 2 ( ) 2 2 1 4 3 2 12 1 ( ) ( ) ( ) 5 2 2 1 10 a a EL a a EL b b x dA x x a dx x ax a x dx a a b x a ax x a b a b b b y dA x a x a dx x a a a a ab                                               Hence 2 1 1 : 3 12 EL xA x dA x ab a b          1 4 x a   2 1 1 : 3 10 EL yA y dA y ab ab          3 10 y b   www.elsolucionario.org
  • 637.
    Copyright © McGraw-HillEducation. Permission required for reproduction or display. PROBLEM 5.41 Determine by direct integration the centroid of the area shown. Express your answer in terms of a and b. SOLUTION 2 2 2 1 1 1 1 2 3 3 3 2 2 2 2 3 3 2 2 1 2 1 2 3 2 2 but but ( ) 1 ( ) 2 2 EL EL b y k x b k a y x a b y k x b k a y x a b x dA y y dx x dx a a x x y y y b x x a a                                3 2 2 0 3 4 2 0 3 2 2 0 4 3 2 0 4 5 2 0 2 3 4 1 12 4 5 1 20 a a a EL a a b x A dA x dx a a b x x a a ba b x x dA x x dx a a b x x dx a a b x x a a a b                                                       www.elsolucionario.org
  • 638.
    Copyright © McGraw-HillEducation. Permission required for reproduction or display. PROBLEM 5.41 (Continued) 3 3 2 2 2 2 0 2 6 4 4 2 0 2 5 7 2 4 2 0 2 2 1 5 35 2 7 a EL a a b x b x y dA x x dx a a a a b x x dx a a b x x ab a a                                          2 1 1 : 12 20 EL xA x dA x ba a b          3 5 x a   2 1 1 : 12 35 EL yA y dA y ba ab          12 35 y b   www.elsolucionario.org
  • 639.
    Copyright © McGraw-HillEducation. Permission required for reproduction or display. PROBLEM 5.42 Determine by direct integration the centroid of the area shown. SOLUTION We have 2 2 2 2 1 1 2 2 1 EL EL x x a x x y y L L x x dA y dx a dx L L                          Then 2 2 2 3 2 2 2 0 0 1 2 3 8 3 L L x x x x A dA a dx a x L L L L aL                         and 2 2 2 3 4 2 2 2 0 0 2 1 2 3 4 10 3 L L EL x x x x x x dA x a dx a L L L L aL                                2 2 2 2 2 0 2 2 3 4 2 3 4 0 2 2 2 3 4 5 2 3 4 0 2 1 1 2 1 2 3 2 2 2 2 5 11 5 L EL EL L a x x x x y dA a dx L L L L a x x x x dx L L L L a x x x x x L L L L a L                                                          Hence, 2 8 10 : 3 3 EL xA x dA x aL aL          5 4 x L   2 1 11 : 8 5 EL yA y dA y a a          33 40 y a   www.elsolucionario.org
  • 640.
    Copyright © McGraw-HillEducation. Permission required for reproduction or display. PROBLEM 5.43 Determine by direct integration the centroid of the area shown. Express your answer in terms of a and b. SOLUTION For y2 at , x a  2 2 , , or a y b a kb k b    Then 1/2 2 b y x a  Now EL x x  and for 0 , 2 a x   1/2 2 1/2 2 2 2 EL y b x y a x dA y dx b dx a     For , 2 a x a   1/2 1 2 1 1 ( ) 2 2 2 EL b x x y y y a a              1/2 2 1 1 ( ) 2 x x dA y y dx b dx a a              Then 1/2 1/2 /2 0 /2 1 2 a a a x x x A dA b dx b dx a a a                 /2 3/2 2 3/2 0 /2 3/2 3/2 3/2 2 2 2 2 1 3 3 2 2 2 ( ) 3 2 2 1 1 ( ) ( ) 2 2 2 2 13 24 a a a b x x x b x a a a b a a a a a a b a a a ab                                                                                  www.elsolucionario.org
  • 641.
    Copyright © McGraw-HillEducation. Permission required for reproduction or display. PROBLEM 5.43 (Continued) and 1/2 1/2 /2 0 /2 1 2 a a EL a x x x x dA x b dx x b dx a a a                                /2 5/2 3 4 5/2 0 /2 5/2 5/2 5/2 3 2 3 2 2 2 2 5 5 3 4 2 ( ) 5 2 2 1 1 ( ) ( ) 3 2 4 2 71 240 a a a b x x x x b a a a b a a a a a a b a a a a b                                                                                    1/2 1/2 /2 0 1/2 1/2 /2 /2 3 2 2 2 2 0 /2 2 2 2 2 2 1 1 2 2 2 1 1 1 2 2 2 2 3 2 1 ( ) 4 2 2 6 2 2 a EL a a a a a b x x y dA b dx a a b x x x x b dx a a a a b b x x x a a a a b a a b a a a a                                                                                                  3 2 11 48 ab       Hence, 2 13 71 : 24 240 EL xA x dA x ab a b          17 130 x a   2 13 11 : 24 48 EL yA y dA y ab ab          11 26 y b   www.elsolucionario.org
  • 642.
    Copyright © McGraw-HillEducation. Permission required for reproduction or display. PROBLEM 5.44 Determine by direct integration the centroid of the area shown. Express your answer in terms of a and b. SOLUTION For y1 at , x a  2 2 2 2 , 2 , or b y b b ka k a    Then 2 1 2 2b y x a  By observation, 2 ( 2 ) 2 b x y x b b a a            Now EL x x  and for 0 , x a   2 2 1 1 2 2 1 2 and 2 EL b b y y x dA y dx x dx a a     For 2 , a x a   2 2 1 2 and 2 2 2 EL b x x y y dA y dx b dx a a                   Then 2 2 2 0 2 2 3 2 0 0 2 2 2 7 2 3 2 6 a a a a a b x A dA x dx b dx a a b x a x b ab a a                                       and 2 2 2 0 2 4 3 2 2 0 0 2 2 2 2 3 2 2 2 2 4 3 1 1 (2 ) ( ) (2 ) ( ) 2 3 7 6 a a EL a a a b x x dA x x dx x b dx a a b x x b x a a a b b a a a a a a b                                                            www.elsolucionario.org
  • 643.
    Copyright © McGraw-HillEducation. Permission required for reproduction or display. PROBLEM 5.44 (Continued) 2 2 2 2 2 0 0 2 3 2 5 2 4 0 2 2 2 2 2 2 2 5 2 3 17 30 a a EL a a a b b b x x y dA x x dx b dx a a a a b x b a x a a ab                                                         Hence, 2 7 7 : 6 6 EL xA x dA x ab a b          x a   2 7 17 : 6 30 EL yA y dA y ab ab          17 35 y b   www.elsolucionario.org
  • 644.
    Copyright © McGraw-HillEducation. Permission required for reproduction or display. PROBLEM 5.45 A homogeneous wire is bent into the shape shown. Determine by direct integration the x coordinate of its centroid. SOLUTION First note that because the wire is homogeneous, its center of gravity coincides with the centroid of the corresponding line. Now 3 2 2 cos and EL x a dL dx dy     where 3 2 3 2 cos : 3 cos sin sin : 3 sin cos x a dx a d y a dy a d              Then 2 2 2 2 1/2 2 2 1/2 /2 /2 2 0 0 [( 3 cos sin ) (3 sin cos ) ] 3 cos sin (cos sin ) 3 cos sin 1 3 cos sin 3 sin 2 3 2 dL a d a d a d a d L dL a d a a                                       and /2 3 0 /2 2 5 2 0 cos (3 cos sin ) 1 3 3 cos 5 5 EL x dL a a d a a                    Hence, 2 3 3 : 2 5 EL xL x dL x a a          2 5 x a   Alternative Solution: 2/3 3 2 2/3 3 2 cos cos sin sin x x a a y y a a                       www.elsolucionario.org
  • 645.
    Copyright © McGraw-HillEducation. Permission required for reproduction or display. PROBLEM 5.45 (Continued) 2/3 2/3 2/3 2/3 3/2 1 or ( ) x y y a x a a                 Then 2/3 2/3 1/2 1/3 ( ) ( ) dy a x x dx     Now EL x x  and   2 1/2 2 2/3 2/3 1/2 1/3 1 1 ( ) ( ) dy dL dx dx a x x dx                  Then 1/3 1/3 2/3 1/3 0 0 3 3 2 2 a a a L dL dx a x a x             and 1/3 1/3 5/3 2 1/3 0 0 3 3 5 5 a a EL a x dL x dx a x a x                    Hence 2 3 3 : 2 5 EL xL x dL x a a          2 5 x a   www.elsolucionario.org
  • 646.
    Copyright © McGraw-HillEducation. Permission required for reproduction or display. PROBLEM 5.46 A homogeneous wire is bent into the shape shown. Determine by direct integration the x coordinate of its centroid. SOLUTION First note that because the wire is homogeneous, its center of gravity coincides with the centroid of the corresponding line. Now cos and EL x r dL rd     Then 7 /4 7 /4 /4 /4 3 [ ] 2 L dL r d r r              and 7 /4 /4 7 /4 2 /4 2 2 cos ( ) [sin ] 1 1 2 2 2 EL x dL r rd r r r                       Thus 2 3 : 2 2 xL xdL x r r            2 2 3 x r     www.elsolucionario.org
  • 647.
    Copyright © McGraw-HillEducation. Permission required for reproduction or display. PROBLEM 5.47* A homogeneous wire is bent into the shape shown. Determine by direct integration the x coordinate of its centroid. Express your answer in terms of a. SOLUTION First note that because the wire is homogeneous, its center of gravity will coincide with the centroid of the corresponding line. We have at , x a  3/2 1 , , or y a a ka k a    Then 3/2 1 y x a  and 1/2 3 2 dy x dx a  Now EL x x  and 2 1/2 2 1/2 1 3 1 2 1 4 9 2 dy dL dx dx x dx a a x dx a                           Then 0 3/2 0 3/2 1 4 9 2 1 2 1 (4 9 ) 3 9 2 [(13) 8] 27 1.43971 a a L dL a x dx a a x a a a                  and 0 1 4 9 2 a EL x dL x a x dx a           www.elsolucionario.org
  • 648.
    Copyright © McGraw-HillEducation. Permission required for reproduction or display. PROBLEM 5.47* (Continued) Use integration by parts with 3/2 4 9 2 (4 9 ) 27 u x dv a x dx du dx v a x       Then 3/2 3/2 0 0 3/2 2 5/2 0 2 3/2 5/2 2 1 2 2 (4 9 ) (4 9 ) 27 27 2 (13) 1 2 (4 9 ) 27 45 27 2 (13) [(13) 32] 27 45 0.78566 a a EL a x dL x a x a x dx a a a x a a a                                           2 : (1.43971 ) 0.78566 EL xL x dL x a a    or 0.546 x a   www.elsolucionario.org
  • 649.
    Copyright © McGraw-HillEducation. Permission required for reproduction or display. PROBLEM 5.48* Determine by direct integration the centroid of the area shown. SOLUTION We have 2 2 cos cos 3 3 2 2 sin sin 3 3 EL EL x r ae y r ae           and 2 2 1 1 ( )( ) 2 2 dA r rd a e d      Then 2 2 2 2 0 0 2 2 2 1 1 1 2 2 2 1 ( 1) 4 133.623 A dA a e d a e a e a                     and 2 2 0 3 3 0 2 1 cos 3 2 1 cos 3 EL x dA ae a e d a e d                     To proceed, use integration by parts, with 3 u e   and 3 3 du e d    cos dv d    and sin v   Then 3 3 3 cos sin sin (3 ) e d e e d             Now let 3 u e   then 3 3 du e d    sin , dv d    then cos v    Then 3 3 3 3 cos sin 3 cos ( cos )(3 ) e d e e e d                        www.elsolucionario.org
  • 650.
    Copyright © McGraw-HillEducation. Permission required for reproduction or display. PROBLEM 5.48* (Continued) so that 3 3 3 3 0 3 3 3 cos (sin 3cos ) 10 1 (sin 3cos ) 3 10 ( 3 3) 1239.26 30 EL e e d e x dA a a e a                             Also, 2 2 0 3 3 0 2 1 sin 3 2 1 sin 3 EL y dA ae a e d a e d                     Use integration by parts, as above, with 3 u e   and 3 3 du e d    sin dv d     and cos v    Then 3 3 3 sin cos ( cos )(3 ) e d e e d               so that 3 3 3 3 0 3 3 3 sin ( cos 3sin ) 10 1 ( cos 3sin ) 3 10 ( 1) 413.09 30 EL e e d e y dA a a e a                             Hence, 2 3 : (133.623 ) 1239.26 EL xA x dA x a a     or 9.27 x a    2 3 : (133.623 ) 413.09 EL yA y dA y a a    or 3.09 y a   www.elsolucionario.org
  • 651.
    Copyright © McGraw-HillEducation. Permission required for reproduction or display. PROBLEM 5.49* Determine by direct integration the centroid of the area shown. SOLUTION /2 /2 0 0 /2 0 sin 1 , , 2 sin cos EL EL L L L x y a L x x y y dA y dx x A y dx a dx L L x aL A a L                             /2 /2 0 0 sin L L EL x x dA xydx xa dx L       Setting , x u L   we have , L x u   , L dx du   2 /2 /2 0 0 sin sin EL L L L x dA u a u du a u x du                             Integrating by parts, 2 2 /2 /2 0 2 0 2 /2 /2 /2 2 2 2 2 0 0 0 /2 2 2 /2 2 2 0 0 [ cos ] cos 1 1 sin sin 2 2 2 1 1 1 (1 cos2 ) sin 2 2 4 2 8 2 EL L L EL L aL x dA a u u u du x a L y dA y dx a dx u du L a L a L u du u u a L                                                 2 2 :            EL aL aL xA x dA x   L x  2 1 : 8           EL aL yA y dA y a L 8   y a  www.elsolucionario.org
  • 652.
    Copyright © McGraw-HillEducation. Permission required for reproduction or display. PROBLEM 5.50 Determine the centroid of the area shown in terms of a. SOLUTION We have 1 1 1 1 2 2 EL EL x x y y x           and 1 1 dA ydx dx x          Then     1 1 1 1 0 0 ln (1 2ln ) a a a a a a dx A dA adx ax x a x           and   1 1 2 2 1 1 0 0 1 1 2 1 2 2 2 a a a a EL a a dx ax a x dA xdx x x a x a a a                     1 2 2 1 2 2 1 2 0 0 0 1 1 1 1 1 1 2 1 2 2 2 2 2 2 2 2 2 a a a a a EL a a dx a a a a y dA y dx a dx x x a a x                     Because of symmetry, computation of only one coordinate was necessary.   2 2 1 : 1 2ln 2 EL a xA x dA x a a        2 2 1 2 1 2ln a x y a a      www.elsolucionario.org
  • 653.
    Copyright © McGraw-HillEducation. Permission required for reproduction or display. PROBLEM 5.51 Determine the centroid of the area shown when a = 4 in. SOLUTION We have 1 1 1 1 2 2 EL EL x x y y x           and 1 1 dA ydx dx x          Then     1 1 1 1 0 0 ln (1 2ln ) a a a a a a dx A dA adx ax x a x           and   1 1 2 2 1 1 0 0 1 1 2 1 2 2 2 a a a a EL a a dx ax a x dA xdx x x a x a a a                     1 2 2 1 2 2 1 2 0 0 0 1 1 1 1 1 1 2 1 2 2 2 2 2 2 2 2 2 a a a a a EL a a dx a a a a y dA y dx a dx x x a a x                     Because of symmetry, computation of only one coordinate was necessary.     2 2 2 1 : 1 2ln 2 2 1 2 1 2ln EL a xA x dA x a a a x y a a          Find x and y when 4 in. a  We have    2 2(4) 1 2 4 1 2ln 4 x y     or 1.027 in. x y    www.elsolucionario.org
  • 654.
    Copyright © McGraw-HillEducation. Permission required for reproduction or display. PROBLEM 5.52 Determine the volume and the surface area of the solid obtained by rotating the area of Prob. 5.1 about (a) the x axis, (b) the line x = 72 mm. SOLUTION From the solution of Problem 5.1, we have 2 3 3 2632.5 mm 111,172.5 mm 63,787.5 mm A xA yA      Applying the theorems of Pappus-Guldinus, we have (a) Rotation about the x-axis: area 3 Volume 2 2 2 (63,787.5 mm ) y A yA        or 3 3 Volume 401 10 mm      line line 2 2 3 3 4 4 2 2 Area 2 2 ( ) 2 ( ) 2 [(22.5) 45 (45)(72) (22.5) 27 45 ] y L y L y L y L y L               or 3 2 Area 34.1 10 mm    (b) Rotation about the line x=72 mm:      area 2 3 Volume 2 (72 ) 2 (72 ) 2 72 mm 2632.5 mm 111,172.5 mm x A A xA               or 3 3 Volume 492 10 mm      line line 1 3 4 1 1 3 3 4 4 2 2 Area 2 2 ( ) where , and are measured wrt 72 mm 2 ( ) 45 72 2 [(22.5)(45) (36)(72) 27 45 ] 2 x L x L x x x x x L x L x L                       or 3 2 Area 41.9 10 mm    www.elsolucionario.org
  • 655.
    Copyright © McGraw-HillEducation. Permission required for reproduction or display. PROBLEM 5.53 Determine the volume and the surface area of the solid obtained by rotating the area of Problem 5.2 about (a) the x-axis, (b) the y-axis. SOLUTION From the solution of Problem 5.2, we have 2 3 3 11in 11.5 in 39.5 in A xA yA      Applying the theorems of Pappus-Guldinus, we have (a) Rotation about the x-axis: area 3 Volume 2 2 2 (39.5 in ) y A yA        or 3 Volume 248 in   line line 2 2 3 3 4 4 5 5 6 6 7 7 8 8 Area 2 2 ( ) 2 ( ) 2 [(1)(2) (2)(3) (2.5)(1) (3)(3) (5.5)(5) (8)(1) (4)(8)]                      y L y L y L y L y L y L y L y L y L or 2 Area 547 in   (b) Rotation about the y-axis: area 3 Volume 2 2 2 (11.5 in ) x A xA        or 3 Volume 72.3in   line line 1 1 2 2 3 3 4 4 5 5 6 6 7 7 Area 2 2 ( ) 2 ( ) 2 [(0.5)(1) (1)(2) (2.5)(3) (4)(1) (2.5)(3) (1)(5) (0.5)(1)] x L x L x L x L x L x L x L x L x L                      or 2 Area 169.6 in   www.elsolucionario.org
  • 656.
    Copyright © McGraw-HillEducation. Permission required for reproduction or display. PROBLEM 5.54 Determine the volume and the surface area of the solid obtained by rotating the area of Problem 5.6 about (a) the line x  60 mm, (b) the line y  120 mm. SOLUTION From the solution of Problem 5.6, we have 2 3 3 3 3 7200 mm 72 10 mm 629.83 10 mm A x A y A         Applying the theorems of Pappus-Guldinus, we have (a) Rotation about line 60 mm: x   3 Volume 2 ( 60) 2 ( 60 ) 2 [ 72 10 60(7200)] x A xA A             6 3 Volume 2.26 10 mm    line line 1 1 2 2 3 3 Area 2 2 ( ) 2 ( ) 2(60) (60) 2(60) (60) 2 60 60 (60)(120) 2 2 x L x L x L x L x L                                            where 1 2 3 , , x x x are measured with respect to line 60 mm. x   3 2 Area 116.3 10 mm    (b) Rotation about line 120 mm: y  3 Volume 2 (120 ) 2 (120 ) 2 [120(7200) 629.83 10 ] y A A yA           6 3 Volume 1.471 10 mm    line line 1 1 2 2 4 4 Area 2 2 ( ) 2 ( ) y L y L y L y L y L          where 1 2 4 , , y y y are measured with respect to line 120 mm. y  2(60) (60) 2(60) (60) Area 2 120 (60)(120) 2 2                                  3 2 Area 116.3 10 mm    www.elsolucionario.org
  • 657.
    Copyright © McGraw-HillEducation. Permission required for reproduction or display. PROBLEM 5.55 Determine the volume and the surface area of the chain link shown, which is made from a 6-mm-diameter bar, if R  10 mm and L  30 mm. SOLUTION The area A and circumference C of the cross section of the bar are 2 and . 4 A d C d     Also, the semicircular ends of the link can be obtained by rotating the cross section through a horizontal semicircular arc of radius R. Now, applying the theorems of Pappus-Guldinus, we have for the volume V, side end 2( ) 2( ) 2( ) 2( ) 2( ) V V V AL RA L R A         or 2 2[30 mm (10 mm)] (6 mm) 4 V           3 3470 mm  3 or 3470 mm V   For the area A, side end 2( ) 2( ) 2( ) 2( ) 2( ) A A A CL RC L R C         or 2[30 mm (10 mm)][ (6 mm)] A     2 2320 mm  2 or 2320 mm A   www.elsolucionario.org
  • 658.
    Copyright © McGraw-HillEducation. Permission required for reproduction or display. PROBLEM 5.56 Determine the volume of the solid generated by rotating the parabolic area shown about (a) the x-axis, (b) the axis AA. SOLUTION First, from Figure 5.8a, we have 4 3 2 5 A ah y h   Applying the second theorem of Pappus-Guldinus, we have (a) Rotation about the x-axis: Volume 2 2 4 2 5 3 yA h ah              or 2 16 Volume 15 ah    (b) Rotation about the line : AA Volume 2 (2 ) 4 2 (2 ) 3 a A a ah           or 2 16 Volume 3 a h    www.elsolucionario.org
  • 659.
    Copyright © McGraw-HillEducation. Permission required for reproduction or display. PROBLEM 5.57 Verify that the expressions for the volumes of the first four shapes in Fig. 5.21 are correct. SOLUTION Following the second theorem of Pappus-Guldinus, in each case, a specific generating area A will be rotated about the x-axis to produce the given shape. Values of y are from Figure 5.8a. (1) Hemisphere: the generating area is a quarter circle. We have 2 4 2 2 3 4 a V y A a                or 3 2 3 V a    (2) Semiellipsoid of revolution: the generating area is a quarter ellipse. We have 4 2 2 3 4 a V y A ha                or 2 2 3 V a h    (3) Paraboloid of revolution: the generating area is a quarter parabola. We have 3 2 2 2 8 3 V y A a ah              or 2 1 2 V a h    (4) Cone: the generating area is a triangle. We have 1 2 2 3 2 a V y A ha              or 2 1 3 V a h    www.elsolucionario.org
  • 660.
    Copyright © McGraw-HillEducation. Permission required for reproduction or display. PROBLEM 5.58 Knowing that two equal caps have been removed from a 10-in.-diameter wooden sphere, determine the total surface area of the remaining portion. SOLUTION The surface area can be generated by rotating the line shown about the y-axis. Applying the first theorem of Pappus-Guldinus, we have 1 1 2 2 2 2 2 (2 ) A XL x L x L x L         Now 4 tan 3   or 53.130    Then 2 180 5 in. sin53.130 53.130 4.3136 in. x        and 2 2 53.130 (5 in.) 180 9.2729 in. 3 2 2 in. (3 in.) (4.3136 in.)(9.2729 in.) 2 L A                           or 2 308 in A   www.elsolucionario.org
  • 661.
    Copyright © McGraw-HillEducation. Permission required for reproduction or display. PROBLEM 5.59 Three different drive belt profiles are to be studied. If at any given time each belt makes contact with one-half of the circumference of its pulley, determine the contact area between the belt and the pulley for each design. SOLUTION Applying the first theorem of Pappus-Guldinus, the contact area C A of a belt is given by C A yL yL      where the individual lengths are the lengths of the belt cross section that are in contact with the pulley. (a) 1 1 2 2 [2( ) ] 0.125 0.125 in. 2 3 in. [(3 0.125) in.](0.625 in.) 2 cos20 C A y L y L                                      or 2 8.10 in C A   (b) 1 1 [2( )] 0.375 0.375 in. 2 3 0.08 in. 2 cos20 C A y L                          or 2 6.85 in C A   (c) 1 1 [2( )] 2(0.25) 3 in. [ (0.25 in.)] C A y L                    or 2 7.01in C A   www.elsolucionario.org
  • 662.
    Copyright © McGraw-HillEducation. Permission required for reproduction or display. PROBLEM 5.60 Determine the capacity, in liters, of the punch bowl shown if R  250 mm. SOLUTION The volume can be generated by rotating the triangle and circular sector shown about the y-axis. Applying the second theorem of Pappus-Guldinus and using Figure 5.8a, we have 1 1 2 2 2 6 3 3 3 3 3 2 2 2 ( ) 1 1 1 1 3 2 sin30 2 3 2 2 2 2 3 6 2 16 3 2 3 3 3 8 3 3 (0.25 m) 8 0.031883 m V xA xA x A x A R R R R R R R R                                                                       Since 3 3 10 l 1m  3 3 3 10 l 0.031883 m 1m V   31.9 liters V   www.elsolucionario.org
  • 663.
    Copyright © McGraw-HillEducation. Permission required for reproduction or display. PROBLEM 5.61 Determine the volume and total surface area of the bushing shown. SOLUTION Volume: The volume can be obtained by rotating the triangular area shown through  radians about the y axis. The area of the triangle is:    2 1 52 60 1560 mm 2 A   Applying the theorems of Pappus-Guldinus, we have    2 52 mm 1560 mm V xA     or 3 3 255 10 mm V    The surface area can be obtained by rotating the triangle shown through an angle of  radians about the y axis. Considering each line BD, DE, and BE separately: Line 2 2 1 : 22 60 63.906 mm BD L    1 22 20 31 mm 2 x    Line 2 : 52 mm DE L  2 20 22 26 68 mm x     Line 2 2 3 : 74 60 95.268 mm BE L    1 74 20 57 mm 2 x    www.elsolucionario.org
  • 664.
    Copyright © McGraw-HillEducation. Permission required for reproduction or display. PROBLEM 5.61 (Continued) Then applying the theorems of Pappus-Guldinus for the part of the surface area generated by the lines:            3 2 31 63.906 68 52 57 95.268 10947.6 34.392 10 mm L A xA                The area of the “end triangles”:    3 2 1 2 52 60 3.12 10 mm 2 E A          Total surface area is therefore:   3 2 34.392 3.12 10 mm L E A A A      3 2 or 37.5 10 mm A    www.elsolucionario.org
  • 665.
    Copyright © McGraw-HillEducation. Permission required for reproduction or display. PROBLEM 5.62 Determine the volume and weight of the solid brass knob shown, knowing that the specific weight of brass is 0.306 lb/in3 . SOLUTION Area, in2 , in. y 3 , in yA 1 2 (0.75) 0.4418 4   0.8183 0.3615 2 (0.5)(0.75) 0.375  0.25 0.0938 3 (1.25)(0.75) 0.9375  0.625 0.5859 4 2 (0.75) 0.4418 4     0.9317 0.4116  0.6296 3 3 2 2 (0.6296 in ) 3.9559 in V y A       3 3.96 in V   3 3 (0.306 lb/in )(3.9559 in ) W V    1.211lb  W  Volume of knob is obtained by rotating area at left about the x-axis. Consider area as made of components shown below. www.elsolucionario.org
  • 666.
    Copyright © McGraw-HillEducation. Permission required for reproduction or display. PROBLEM 5.63 Determine the total surface area of the solid brass knob shown. SOLUTION Area is obtained by rotating lines shown about the x-axis. L, in. , in. y 2 , in yL 1 0.5 0.25 0.1250 2 (0.75) 1.1781 2   0.9775 1.1516 3 (0.75) 1.1781 2   0.7725 0.9101 4 0.5 0.25 0.1250  2.3117 2 2 2 (2.3117 in ) A yL      2 14.52 in A   www.elsolucionario.org
  • 667.
    Copyright © McGraw-HillEducation. Permission required for reproduction or display. PROBLEM 5.64 The aluminum shade for the small high-intensity lamp shown has a uniform thickness of 1 mm. Knowing that the density of aluminum is 2800 kg/m3 , determine the mass of the shade. SOLUTION The mass of the lamp shade is given by m V At     where A is the surface area and t is the thickness of the shade. The area can be generated by rotating the line shown about the x-axis. Applying the first theorem of Pappus Guldinus, we have 1 1 2 2 3 3 4 4 2 2 2 ( ) A yL yL y L y L y L y L           or 2 2 2 2 2 2 2 13 mm 13 16 2 (13 mm) mm (32 mm) (3 mm) 2 2 16 28 mm (8 mm) (12 mm) 2 28 33 mm (28 mm) (5 mm) 2 2 (84.5 466.03 317.29 867.51) 10,903.4 mm A                                             Then 3 3 2 (2800 kg/m )(10.9034 10 m )(0.001 m) m At      or 0.0305 kg m   www.elsolucionario.org
  • 668.
    Copyright © McGraw-HillEducation. Permission required for reproduction or display. PROBLEM 5.65* The shade for a wall-mounted light is formed from a thin sheet of translucent plastic. Determine the surface area of the outside of the shade, knowing that it has the parabolic cross section shown. SOLUTION First note that the required surface area A can be generated by rotating the parabolic cross section through  radians about the y-axis. Applying the first theorem of Pappus-Guldinus, we have A xL   Now at 2 1 100 mm, 250 mm 250 (100) or 0.025 mm x y k k      and 2 1 EL x x dy dL dx dx          where 2 dy kx dx  Then 2 2 1 4 dL k x dx   We have   100 2 2 0 1 4 EL xL x dL x k x dx        100 2 2 3/2 2 0 2 2 3/2 3/2 2 2 1 1 (1 4 ) 3 4 1 1 [1 4(0.025) (100) ] (1) 12 (0.025) 17,543.3 mm xL k x k             Finally, 2 (17,543.3 mm ) A   or 3 2 55.1 10 mm A    www.elsolucionario.org
  • 669.
    Copyright © McGraw-HillEducation. Permission required for reproduction or display. PROBLEM 5.66 For the beam and loading shown, determine (a) the magnitude and location of the resultant of the distributed load, (b) the reactions at the beam supports. SOLUTION I II 1 ( ) (400 N/m)(6 m) 2 1200 N (1600 N/m)(6m) 4800 N a R R     I II F 0 : 1200 N 4800 N 6000 N y R R R R R                  0: 6000 2 1200 4 4800 3.60 m A M X X        6000 N , 3.60 m X    R  (b) Reactions 0 : 0 0 : 6000 0 6000 N x x y y y F A F A A         6000 N  A  0: (6000 N)(3.60 m) 0 A A M M     21.6 kN m A   M  www.elsolucionario.org
  • 670.
    Copyright © McGraw-HillEducation. Permission required for reproduction or display. PROBLEM 5.67 For the beam and loading shown, determine (a) the magnitude and location of the resultant of the distributed load, (b) the reactions at the beam supports. SOLUTION (a) I II I II 1 (1100N/m)(6 m) 2200 N 3 (900N/m)(6m) 5400N 2200 5400 7600N R R R R R          : (7600) (2200)(1.5) (5400)(3) XR xR X     2.5658 m X  7.60 kN  R , 2.57 m  X  (b) 0: (6 m) (7600 N)(2.5658 m) 0 3250.0 N A M B B      3.25 kN  B  0: 3250.0 N 7600 N 0 4350.0 N       y F A A 4.35 kN  A  www.elsolucionario.org
  • 671.
    Copyright © McGraw-HillEducation. Permission required for reproduction or display. PROBLEM 5.68 Determine the reactions at the beam supports for the given loading. SOLUTION I II (200 lb/ft)(4 ft) 800 lb 1 (150 lb/ft)(3 ft) 225 lb 2 R R     0: 800 lb 225 lb 0 y F A      575 lb  A  0: (800 lb)(2 ft) (225 lb)(5 ft) 0 A A M M      475 lb ft A   M  www.elsolucionario.org
  • 672.
    Copyright © McGraw-HillEducation. Permission required for reproduction or display. PROBLEM 5.69 Determine the reactions at the beam supports for the given loading. SOLUTION I II 1 (50 lb/in.)(12 in.) 2 300 lb (50 lb/in.)(20in.) 1000 lb R R     0: 300 lb 1000 lb 400 lb 0 y y F A       900 lb  A     0: (300 lb)(8 in.) (1000 lb)(22 in.) 400 lb 38 in. 0 A A M M       9200 lb in. A   M  www.elsolucionario.org
  • 673.
    Copyright © McGraw-HillEducation. Permission required for reproduction or display. PROBLEM 5.70 Determine the reactions at the beam supports for the given loading. SOLUTION We have I II III 1 (3ft)(480 lb/ft) 720 lb 2 1 (6 ft)(600 lb/ft) 1800 lb 2 (2ft)(600 lb/ft) 1200 lb R R R       Then 0: 0 x x F B    0: (2 ft)(720 lb) (4 ft)(1800 lb) (6 ft) (7 ft)(1200 lb) 0 B y M C       or 2360 lb y C  2360 lb  C  0: 720 lb 1800 lb 2360 lb 1200 lb 0 y y F B         or 1360 lb y B  1360 lb  B  www.elsolucionario.org
  • 674.
    Copyright © McGraw-HillEducation. Permission required for reproduction or display. PROBLEM 5.71 Determine the reactions at the beam supports for the given loading. SOLUTION First replace the given loading by the loadings shown below. Both loadings are equivalent since they are both defined by a linear relation between load and distance and have the same values at the end points. 1 2 1 (900 N/m)(1.5 m) 675 N 2 1 (400 N/m)(1.5 m) 300 N 2 R R     0: (675 N)(1.4 m) (300 N)(0.9 m) (2.5 m) A M B C       270 N  B 270 N  B  0: 675 N 300 N 270 N 0 y F A       105.0 N  A 105.0 N  A  www.elsolucionario.org
  • 675.
    Copyright © McGraw-HillEducation. Permission required for reproduction or display. PROBLEM 5.72 Determine the reactions at the beam supports for the given loading. SOLUTION We have I II 1 (12 ft)(200 lb/ft) 800 lb 3 1 (6 ft)(100 lb/ft) 200 lb 3 R R     Then 0: 0 x x F A    0: 800 lb 200 lb 0 y y F A      or 1000 lb y A  1000 lb  A  0: (3 ft)(800 lb) (16.5 ft)(200 lb) 0 A A M M      or 5700 lb ft A M   5700 lb ft A   M  www.elsolucionario.org
  • 676.
    Copyright © McGraw-HillEducation. Permission required for reproduction or display. PROBLEM 5.73 Determine the reactions at the beam supports for the given loading. SOLUTION First replace the given loading with the loading shown below. The two loadings are equivalent because both are defined by a parabolic relation between load and distance and the values at the end points are the same. We have I II (6 m)(300 N/m) 1800 N 2 (6 m)(1200 N/m) 4800 N 3 R R     Then 0: 0 x x F A    0: 1800 N 4800 N 0 y y F A      or 3000 N y A  3.00 kN  A  15 0: (3 m)(1800 N) m (4800 N) 0 4 A A M M            or 12.6 kN m A M   12.60 kN m   A M  www.elsolucionario.org
  • 677.
    Copyright © McGraw-HillEducation. Permission required for reproduction or display. PROBLEM 5.74 Determine (a) the distance a so that the vertical reactions at supports A and B are equal, (b) the corresponding reactions at the supports. SOLUTION (a) We have I II 1 ( m)(1800 N/m) 900 N 2 1 [(4 ) m](600 N/m) 300(4 ) N 2 R a a R a a       Then 0: 900 300(4 ) 0 y y y F A a a B        or 1200 600 y y A B a    Now 600 300 (N) y y y y A B A B a      (1) Also, 0: (4 m) 4 m [(900 ) N] 3 B y a M A a                  1 (4 ) m [300(4 ) N] 0 3 a a           or 2 400 700 50 y A a a    (2) Equating Eqs. (1) and (2), 2 600 300 400 700 50 a a a     or 2 8 4 0 a a    Then 2 8 ( 8) 4(1)(4) 2 a     or 0.53590 m a  7.4641m a  Now 4 m a   0.536 m a   www.elsolucionario.org
  • 678.
    Copyright © McGraw-HillEducation. Permission required for reproduction or display. PROBLEM 5.74 (Continued) (b) We have 0: 0 x x F A    From Eq. (1): 600 300(0.53590) y y A B    761 N  761 N   A B  www.elsolucionario.org
  • 679.
    Copyright © McGraw-HillEducation. Permission required for reproduction or display. PROBLEM 5.75 Determine (a) the distance a so that the reaction at support B is minimum, (b) the corresponding reactions at the supports. SOLUTION (a) We have I II 1 ( m)(1800 N/m) 900 N 2 1 [(4 )m](600 N/m) 300(4 ) N 2 R a a R a a       Then 8 0: m (900 N) m [300(4 )N] (4 m) 0 3 3 A y a a M a a B                     or 2 50 100 800 y B a a    (1) Then 100 100 0 y dB a da    or 1.000 m a   (b) From Eq. (1): 2 50(1) 100(1) 800 750 N y B     750 N  B  and 0: 0 x x F A    0: 900(1) N 300(4 1) N 750 N 0 y y F A        or 1050 N y A  1050 N  A  www.elsolucionario.org
  • 680.
    Copyright © McGraw-HillEducation. Permission required for reproduction or display. PROBLEM 5.76 Determine the reactions at the beam supports for the given loading when wO  400 lb/ft. SOLUTION I II 1 1 (12 ft) (400 lb/ft)(12 ft) 2400 lb 2 2 1 (300 lb/ft)(12 ft) 1800 lb 2 O R w R      0: (2400 lb)(1ft) (1800 lb)(3 ft) (7 ft) 0      B M C 428.57 lb  C 429 lb  C  0: 428.57 lb 2400 lb 1800 lb 0       y F B 3771lb  B 3770 lb  B  www.elsolucionario.org
  • 681.
    Copyright © McGraw-HillEducation. Permission required for reproduction or display. PROBLEM 5.77 Determine (a) the distributed load wO at the end A of the beam ABC for which the reaction at C is zero, (b) the corresponding reaction at B. SOLUTION For , O w I II 1 (12 ft) 6 2 1 (300 lb/ft)(12 ft) 1800 lb 2 O O R w w R     (a) For 0, C  0: (6 )(1ft) (1800 lb)(3 ft) 0 B O M w     900 lb/ft O w   (b) Corresponding value of I: R I 6(900) 5400 lb   R 0: 5400 lb 1800 lb 0      y F B 7200 lb  B  www.elsolucionario.org
  • 682.
    Copyright © McGraw-HillEducation. Permission required for reproduction or display. PROBLEM 5.78 The beam AB supports two concentrated loads and rests on soil that exerts a linearly distributed upward load as shown. Determine the values of A and B corresponding to equilibrium. SOLUTION I II 1 (1.8 m) 0.9 2 1 (1.8 m) 0.9 2 A A B B R R         0: (24 kN)(1.2 ) (30 kN)(0.3 m) (0.9 )(0.6 m) 0 D A M a        (1) For 0.6 m, a  24(1.2 0.6) (30)(0.3) 0.54 0 a      14.4 9 0.54 0 A     10.00 kN/m A    0: 24 kN 30 kN 0.9(10 kN/m) 0.9 0 y B F         50.0 kN/m B    www.elsolucionario.org
  • 683.
    Copyright © McGraw-HillEducation. Permission required for reproduction or display. PROBLEM 5.79 For the beam and loading of Problem 5.78, determine (a) the distance a for which A  20 kN/m, (b) the corresponding value of B. PROBLEM 5.78 The beam AB supports two concentrated loads and rests on soil that exerts a linearly distributed upward load as shown. Determine the values of A and B corresponding to equilibrium. SOLUTION We have I II 1 (1.8 m)(20 kN/m) 18 kN 2 1 (1.8 m)( kN/m) 0.9 kN 2 B B R R       (a) 0: (1.2 )m 24 kN 0.6 m 18 kN 0.3 m 30 kN 0 C M a          or 0.375 m a   (b) 0: 24 kN 18 kN (0.9 ) kN 30 kN 0 y B F         or 40.0 kN/m B    www.elsolucionario.org
  • 684.
    Copyright © McGraw-HillEducation. Permission required for reproduction or display. PROBLEM 5.80 The cross section of a concrete dam is as shown. For a 1-ft-wide dam section determine (a) the resultant of the reaction forces exerted by the ground on the base AB of the dam, (b) the point of application of the resultant of part a, (c) the resultant of the pressure forces exerted by the water on the face BC of the dam. SOLUTION The free body shown consists of a 1-ft thick section of the dam and the triangular section of water above the dam. Note:     1 2 3 4 6 ft (9 3)ft 12 ft 15 2 ft 17 ft 15 4 ft 19 ft x x x x           (a) Now W V   So that        3 1 3 2 3 3 3 4 1 (150 lb/ft ) (9 ft) 15 ft (1 ft) 10,125 lb 2 (150 lb/ft )[(6 ft)(18 ft)(1 ft)] 16,200 lb 1 (150 lb/ft ) 6 ft 18 ft (1 ft) 8100 lb 2 1 (62.4 lb/ft ) (6 ft) 18 ft (1 ft) 3369.6 lb 2 W W W W                           Also 3 1 1 [(18 ft)(1 ft)][(62.4 lb/ft )(18 ft)] 10,108.8 lb 2 2 P Ap    Then 0: 10,108.8 lb 0 x F H     or 10.11 kips  H  www.elsolucionario.org
  • 685.
    Copyright © McGraw-HillEducation. Permission required for reproduction or display. PROBLEM 5.80 (Continued) 0: 10,125 lb 16,200 lb 8100 lb 3369.6 lb 0 y F V        or 37,795 lb V  37.8 kips  V  (b) We have 0: (37,794.6 lb) (6 ft)(10,125 lb) (12 ft)(16,200 lb) (17 ft)(8100 lb) (19 ft)(3369.6 lb) +(6 ft)(10,108.8 lb) 0 A M x        or 37,794.6 60,750 194,400 137,700 64,022.4 60,652.8 0 x       or 10.48 ft x   (c) Consider water section BCD as the free body We have 0   F , 4 3369.6 lb, 10,108.8 lb W P   Then 10.66 kips   R 18.43 or 10.66 kips  R 18.43  www.elsolucionario.org
  • 686.
    Copyright © McGraw-HillEducation. Permission required for reproduction or display. PROBLEM 5.81 The cross section of a concrete dam is as shown. For a 1-m-wide dam section, determine (a) the resultant of the reaction forces exerted by the ground on the base AB of the dam, (b) the point of application of the resultant of part a, (c) the resultant of the pressure forces exerted by the water on the face BC of the dam. SOLUTION (a) Consider free body made of dam and section BDE of water. (Thickness  1 m) 3 2 (3 m)(10 kg/m )(9.81m/s ) p  3 3 2 1 3 3 2 2 3 3 2 3 3 3 2 (1.5 m)(4 m)(1m)(2.4 10 kg/m )(9.81m/s ) 144.26 kN 1 (2 m)(3 m)(1m)(2.4 10 kg/m )(9.81m/s ) 47.09 kN 3 2 (2 m)(3 m)(1m)(10 kg/m )(9.81m/s ) 39.24 kN 3 1 1 (3 m)(1 m)(3 m)(10 kg/m )(9.81m/s ) 44.145 kN 2 2            W W W P Ap 0: 44.145 kN 0     x F H 44.145 kN  H 44.1kN  H  0: 141.26 47.09 39.24 0       y F V 227.6 kN  V 228 kN  V  www.elsolucionario.org
  • 687.
    Copyright © McGraw-HillEducation. Permission required for reproduction or display. PROBLEM 5.81 (Continued) 1 2 3 1 (1.5 m) 0.75 m 2 1 1.5 m (2 m) 2 m 4 5 1.5 m (2 m) 2.75 m 8 x x x         0: (1 m) 0       A M xV xW P (227.6 kN) (141.26 kN)(0.75 m) (47.09 kN)(2 m) (39.24 kN)(2.75 m) (44.145 kN)(1m) 0 (227.6 kN) 105.9 94.2 107.9 44.145 0 (227.6) 263.9 0 x x x             1.159 m x  (to right of A)  (b) Resultant of face BC: Consider free body of section BDE of water. 59.1kN   R 41.6 59.1kN  R 41.6  www.elsolucionario.org
  • 688.
    Copyright © McGraw-HillEducation. Permission required for reproduction or display. PROBLEM 5.82 The dam for a lake is designed to withstand the additional force caused by silt that has settled on the lake bottom. Assuming that silt is equivalent to a liquid of density 3 3 1.76 10 kg/m s    and considering a 1-m-wide section of dam, determine the percentage increase in the force acting on the dam face for a silt accumulation of depth 2 m. SOLUTION First, determine the force on the dam face without the silt. We have 3 3 2 1 1 ( ) 2 2 1 [(6.6 m)(1 m)][(10 kg/m )(9.81 m/s )(6.6 m)] 2 213.66 kN w w P Ap A gh      Next, determine the force on the dam face with silt We have 3 3 2 3 3 2 I 3 3 2 II 1 [(4.6 m)(1 m)][(10 kg/m )(9.81m/s )(4.6 m)] 2 103.790 kN ( ) [(2.0 m)(1 m)][(10 kg/m )(9.81m/s )(4.6 m)] 90.252 kN 1 ( ) [(2.0 m)(1 m)][(1.76 10 kg/m )(9.81 m/s )(2.0 m)] 2 34.531 kN w s s P P P         Then I II ( ) ( ) 228.57 kN w s s P P P P       The percentage increase, % inc., is then given by % inc. 100% (228.57 213.66) 100% 213.66 6.9874%         w w P P P % inc. 6.98%   www.elsolucionario.org
  • 689.
    Copyright © McGraw-HillEducation. Permission required for reproduction or display. PROBLEM 5.83 The base of a dam for a lake is designed to resist up to 120 percent of the horizontal force of the water. After construction, it is found that silt (that is equivalent to a liquid of density 3 3 1.76 10 kg/m ) s    is settling on the lake bottom at the rate of 12 mm/year. Considering a 1-m-wide section of dam, determine the number of years until the dam becomes unsafe. SOLUTION First determine force on dam without the silt, 3 3 2 allow 1 1 ( ) 2 2 1 [(6.6 m)(1m)][(10 kg/m )(9.81m/s )(6.6 m)] 2 213.66 kN 1.2 (1.5)(213.66 kN) 256.39 kN w w p w P A A gh P P         Next determine the force Pon the dam face after a depth d of silt has settled. We have 3 3 2 2 3 3 2 I 2 3 3 2 II 2 1 [(6.6 ) m (1m)][(10 kg/m )(9.81m/s )(6.6 ) m] 2 4.905(6.6 ) kN ( ) [ (1m)][(10 kg/m )(9.81m/s )(6.6 ) m] 9.81(6.6 ) kN 1 ( ) [ (1m)][(1.76 10 kg/m )(9.81m/s )( ) m] 2 8.6328 kN w s s P d d d P d d d d P d d d               2 I II 2 2 2 ( ) ( ) [4.905(43.560 13.2000 ) 9.81(6.6 ) 8.6328 ] kN [3.7278 213.66] kN w s s P P P P d d d d d d              Now it’s required that allow P P   to determine the maximum value of d. 2 (3.7278 213.66) kN 256.39 kN d   or 3.3856 m d  Finally, 3 m 3.3856 m 12 10 N year     or 282 years N   www.elsolucionario.org
  • 690.
    Copyright © McGraw-HillEducation. Permission required for reproduction or display. PROBLEM 5.84 An automatic valve consists of a 9  9-in. square plate that is pivoted about a horizontal axis through A located at a distance h  3.6 in. above the lower edge. Determine the depth of water d for which the valve will open. SOLUTION Since valve is 9 in. wide, 9 9 , w p h    where all dimensions are in inches. 1 2 I 1 II 2 9 ( 9), 9 1 1 (9 in.) (9)(9 )( 9) 2 2 1 1 (9 in.) (9)(9 ) 2 2 w d w d P w d P w d             Valve opens when 0.  B I II 0: (6 in. 3.6 in.) (3.6 in. 3 in.) 0       A M P P 1 1 (9)(9 )( 9) (2.4) (9)(9 ) (0.6) 0 2 2 d d                  ( 9)(2.4) (0.6) 0 1.8 21.6 0      d d d 12.00 in.  d  www.elsolucionario.org
  • 691.
    Copyright © McGraw-HillEducation. Permission required for reproduction or display. PROBLEM 5.85 An automatic valve consists of a 9  9-in. square plate that is pivoted about a horizontal axis through A. If the valve is to open when the depth of water is d  18 in., determine the distance h from the bottom of the valve to the pivot A. SOLUTION Since valve is 9 in. wide, 9 9 , w p h    where all dimensions are in inches. 1 2 9 ( 9) 9 w d w d      For 18 in., d  1 2 I II 9 (18 9) 81 9 (18) 162 1 1 (9)(9 )(18 9) (729 ) 2 2 1 (9)(9 )(18) 729 2 w w P P                   Valve opens when 0. B  1 II 0: (6 ) ( 3) 0       A M P h P h 1 729 (6 ) 729( 3) 0 2 1 3 3 0 2 6 1.5 0 h h h h h            4.00 in.  h  www.elsolucionario.org
  • 692.
    Copyright © McGraw-HillEducation. Permission required for reproduction or display. PROBLEM 5.86 The 3  4-m side AB of a tank is hinged at its bottom A and is held in place by a thin rod BC. The maximum tensile force the rod can withstand without breaking is 200 kN, and the design specifications require the force in the rod not to exceed 20 percent of this value. If the tank is slowly filled with water, determine the maximum allowable depth of water d in the tank. SOLUTION Consider the free-body diagram of the side. We have 1 1 ( ) 2 2 P Ap A gd    Now 0: 0 3 A d M hT P     where 3 m h  Then for , max d 3 3 3 2 1 (3 m)(0.2 200 10 N) (4 m ) (10 kg/m 9.81 m/s ) 0 3 2 max max max d d d               or 3 2 120 N m 6.54 N/m 0 max d    or 2.64 m max d   www.elsolucionario.org
  • 693.
    Copyright © McGraw-HillEducation. Permission required for reproduction or display. PROBLEM 5.87 The 3  4-m side of an open tank is hinged at its bottom A and is held in place by a thin rod BC. The tank is to be filled with glycerine, whose density is 1263 kg/m3 . Determine the force T in the rod and the reactions at the hinge after the tank is filled to a depth of 2.9 m. SOLUTION Consider the free-body diagram of the side. We have 3 2 1 1 ( ) 2 2 1 [(2.9 m)(4 m)] [(1263 kg/m )(9.81 m/s )(2.9 m)] 2 = 208.40 kN P Ap A gd     Then 0: 0 y y F A    2.9 0: (3 m) m (208.4 kN) 0 3 A M T           or 67.151 kN T  67.2 kN  T  0: 208.40 kN 67.151 kN 0 x x F A      or 141.249 kN x A   141.2 kN  A  www.elsolucionario.org
  • 694.
    Copyright © McGraw-HillEducation. Permission required for reproduction or display. PROBLEM 5.88 A 0.5  0.8-m gate AB is located at the bottom of a tank filled with water. The gate is hinged along its top edge A and rests on a frictionless stop at B. Determine the reactions at A and B when cable BCD is slack. SOLUTION First consider the force of the water on the gate. We have 1 1 ( ) 2 2    P Ap A gh so that 3 3 2 I 1 [(0.5 m)(0.8 m)] [(10 kg/m )(9.81 m/s )(0.45 m)] 2 882.9 N P    3 3 2 II 1 [(0.5 m)(0.8 m)] [(10 kg/m )(9.81 m/s )(0.93 m)] 2 1824.66 N P    Reactions at A and B when T  0: We have 1 2 0: (0.8 m)(882.9 N) + (0.8 m)(1824.66 N) (0.8 m) 0 3 3 A M B     or 1510.74 N B  or 1511 N  B 53.1  0: 1510.74 N 882.9 N 1824.66 N 0 F A       or 1197 N  A 53.1  www.elsolucionario.org
  • 695.
    Copyright © McGraw-HillEducation. Permission required for reproduction or display. PROBLEM 5.89 A 0.5  0.8-m gate AB is located at the bottom of a tank filled with water. The gate is hinged along its top edge A and rests on a frictionless stop at B. Determine the minimum tension required in cable BCD to open the gate. SOLUTION First consider the force of the water on the gate. We have 1 1 ( ) 2 2    P Ap A gh so that 3 3 2 I 1 [(0.5 m)(0.8 m)] [(10 kg/m )(9.81 m/s )(0.45 m)] 2 882.9 N P    3 3 2 II 1 [(0.5 m)(0.8 m)] [(10 kg/m )(9.81 m/s )(0.93 m)] 2 1824.66 N P    T to open gate: First note that when the gate begins to open, the reaction at B 0. Then 1 2 0: (0.8 m)(882.9 N)+ (0.8 m)(1824.66 N) 3 3 8 (0.45 0.27)m 0 17 A M T             or 235.44 973.152 0.33882 0 T    or 3570 N  T  www.elsolucionario.org
  • 696.
    Copyright © McGraw-HillEducation. Permission required for reproduction or display. PROBLEM 5.90 A 4 2-ft  gate is hinged at A and is held in position by rod CD. End D rests against a spring whose constant is 828 lb/ft. The spring is undeformed when the gate is vertical. Assuming that the force exerted by rod CD on the gate remains horizontal, determine the minimum depth of water d for which the bottom B of the gate will move to the end of the cylindrical portion of the floor. SOLUTION First determine the forces exerted on the gate by the spring and the water when B is at the end of the cylindrical portion of the floor. We have 2 sin 30 4      Then (3 ft)tan30 SP x   and 828 lb/ft 3 ft tan30° 1434.14 lb SP SP F kx      Assume 4 ft d  We have 1 1 ( ) 2 2    P Ap A h Then 3 I 1 [(4 ft)(2 ft)] [(62.4 lb/ft )( 4) ft] 2 249.6( 4) lb P d d      3 II 1 [(4 ft)(2 ft)] [(62.4 lb/ft )( 4 4cos30 )] 2 249.6( 0.53590 ) lb P d d         For min d so that the gate opens, 0 W  Using the above free-body diagrams of the gate, we have 4 8 0: ft [249.6( 4) lb] ft [249.6( 0.53590) lb] 3 3 A M d d                  (3 ft)(1434.14 lb) 0   or (332.8 1331.2) (665.6 356.70) 4302.4 0 d d      or 6.00 ft d  4 ft d   assumption correct 6.00 ft d   www.elsolucionario.org
  • 697.
    Copyright © McGraw-HillEducation. Permission required for reproduction or display. PROBLEM 5.91 Solve Problem 5.90 if the gate weighs 1000 lb. PROBLEM 5.90 A 4 2-ft  gate is hinged at A and is held in position by rod CD. End D rests against a spring whose constant is 828 lb/ft. The spring is undeformed when the gate is vertical. Assuming that the force exerted by rod CD on the gate remains horizontal, determine the minimum depth of water d for which the bottom B of the gate will move to the end of the cylindrical portion of the floor. SOLUTION First determine the forces exerted on the gate by the spring and the water when B is at the end of the cylindrical portion of the floor. We have 2 sin 30 4      Then (3 ft)tan30 SP x   and 828 lb/ft 3 ft tan30° 1434.14 lb SP SP F kx      Assume 4 ft d  We have 1 1 ( ) 2 2    P Ap A h Then 3 I 1 [(4 ft)(2 ft)] [(62.4 lb/ft )( 4) ft] 2 249.6( 4) lb P d d      3 II 1 [(4 ft)(2 ft)] [(62.4 lb/ft )( 4 4cos30 )] 2 249.6( 0.53590 ) lb P d d         For min d so that the gate opens, 1000 lb  W Using the above free-body diagrams of the gate, we have 4 8 0: ft [249.6( 4) lb] ft [249.6( 0.53590) lb] 3 3 (3 ft)(1434.14 lb) (1ft)(1000 lb) 0 A M d d                     or (332.8 1331.2) (665.6 356.70) 4302.4 1000 0       d d or 7.00 ft d  4 ft d   assumption correct 7.00 ft d   www.elsolucionario.org
  • 698.
    Copyright © McGraw-HillEducation. Permission required for reproduction or display. PROBLEM 5.92 A prismatically shaped gate placed at the end of a freshwater channel is supported by a pin and bracket at A and rests on a frictionless support at B. The pin is located at a distance 0.10 m h  below the center of gravity C of the gate. Determine the depth of water d for which the gate will open. SOLUTION First note that when the gate is about to open (clockwise rotation is impending), y B 0 and the line of action of the resultant P of the pressure forces passes through the pin at A. In addition, if it is assumed that the gate is homogeneous, then its center of gravity C coincides with the centroid of the triangular area. Then (0.25 ) 3 d a h    and 2 8 (0.4) 3 15 3 d b         Now 8 15 a b  so that   3 8 2 3 15 3 (0.25 ) 8 15 (0.4) d d h     Simplifying yields 289 70.6 15 45 12 d h   (1) Alternative solution: Consider a free body consisting of a 1-m thick section of the gate and the triangular section BDE of water above the gate. Now 2 2 1 1 ( 1m)( ) 2 2 1 (N) 2 1 8 1m 2 15 4 (N) 15 P Ap d gd gd W gV g d d gd                         www.elsolucionario.org
  • 699.
    Copyright © McGraw-HillEducation. Permission required for reproduction or display. PROBLEM 5.92 (Continued) Then with 0 y B  (as explained above), we have 2 2 2 1 8 4 1 0: (0.4) (0.25 ) 0 3 3 15 15 3 2 A d M d gd h gd                                      Simplifying yields 289 70.6 15 45 12 d h   as above. Find d: 0.10 m h  Substituting into Eq. (1), 289 70.6 15(0.10) 45 12 d   or 0.683 m  d  www.elsolucionario.org
  • 700.
    Copyright © McGraw-HillEducation. Permission required for reproduction or display. PROBLEM 5.93 A prismatically shaped gate placed at the end of a freshwater channel is supported by a pin and bracket at A and rests on a frictionless support at B. Determine the distance h if the gate is to open when 0.75 m. d  SOLUTION First note that when the gate is about to open (clockwise rotation is impending), y B 0 and the line of action of the resultant P of the pressure forces passes through the pin at A. In addition, if it is assumed that the gate is homogeneous, then its center of gravity C coincides with the centroid of the triangular area. Then (0.25 ) 3 d a h    and 2 8 (0.4) 3 15 3 d b         Now 8 15 a b  so that   3 8 2 3 15 3 (0.25 ) 8 15 (0.4) d d h     Simplifying yields 289 70.6 15 45 12 d h   (1) Alternative solution: Consider a free body consisting of a 1-m thick section of the gate and the triangular section BDE of water above the gate. Now 2 2 1 1 ( 1 m)( ) 2 2 1 (N) 2 1 8 1 m 2 15 4 (N) 15 P Ap d gd gd W gV g d d gd                         www.elsolucionario.org
  • 701.
    Copyright © McGraw-HillEducation. Permission required for reproduction or display. PROBLEM 5.93 (Continued) Then with 0 y B  (as explained above), we have 2 2 2 1 8 4 1 0: (0.4) (0.25 ) 0 3 3 15 15 3 2 A d M d gd h gd                                      Simplifying yields 289 70.6 15 45 12 d h   as above. Find h: 0.75 m d  Substituting into Eq. (1), 289 70.6 (0.75) 15 45 12 h   or 0.0711m h   www.elsolucionario.org
  • 702.
    Copyright © McGraw-HillEducation. Permission required for reproduction or display. PROBLEM 5.94 A long trough is supported by a continuous hinge along its lower edge and by a series of horizontal cables attached to its upper edge. Determine the tension in each of the cables, at a time when the trough is completely full of water. SOLUTION Consider free body consisting of 20-in. length of the trough and water. 20-in. l  length of free body 2 2 4 1 1 1 ( ) 2 2 2 A A W v r l P r P P rl r rl r l                   1 0: 0 3 A M Tr Wr P r            2 2 4 1 1 0 4 3 2 3 r Tr r l r l r                          2 2 2 1 1 1 3 6 2 T r l r l r l       Data: 3 24 20 62.4 lb/ft ft 2 ft ft 12 12 r l      Then 3 2 1 20 (62.4 lb/ft )(2 ft) ft 2 12 T        208.00 lb  208 lb T   www.elsolucionario.org
  • 703.
    Copyright © McGraw-HillEducation. Permission required for reproduction or display. PROBLEM 5.95 The square gate AB is held in the position shown by hinges along its top edge A and by a shear pin at B. For a depth of water 3.5 d  ft, determine the force exerted on the gate by the shear pin. SOLUTION First consider the force of the water on the gate. We have 1 2 1 ( ) 2 P Ap A h    Then 2 3 I 2 3 II 1 (1.8 ft) (62.4 lb/ft )(1.7 ft) 2 171.850 lb 1 (1.8 ft) (62.4 lb/ft ) (1.7 1.8cos30 ) ft 2 329.43 lb P P        Now I II 1 2 0: 0 3 3 A AB AB AB B M L P L P L F                  or 1 2 (171.850 lb) (329.43 lb) 0 3 3 B F    or 276.90 lb B F  277 lb B  F 30.0  www.elsolucionario.org
  • 704.
    Copyright © McGraw-HillEducation. Permission required for reproduction or display. PROBLEM 5.96 Consider the composite body shown. Determine (a) the value of x when /2, h L  (b) the ratio h/L for which . x L  SOLUTION V x xV Rectangular prism Lab 1 2 L 2 1 2 L ab Pyramid 1 3 2 b a h       1 4 L h  1 1 6 4 abh L h        Then 2 1 6 1 1 3 6 4 V ab L h xV ab L h L h                          Now X V xV    so that 2 2 1 1 1 3 6 6 4 X ab L h ab L hL h                       or 2 2 1 1 1 1 3 6 6 4 h h h X L L L L                   (1) (a) ? X  when 1 . 2 h L  Substituting 1 into Eq. (1), 2 h L  2 1 1 1 1 1 1 1 3 6 2 6 2 4 2 X L                                     or 57 104 X L  0.548 X L   www.elsolucionario.org
  • 705.
    Copyright © McGraw-HillEducation. Permission required for reproduction or display. PROBLEM 5.96 (Continued) (b) ? h L  when . X L  Substituting into Eq. (1), 2 2 1 1 1 1 3 6 6 4 h h h L L L L L                   or 2 2 1 1 1 1 1 6 2 6 24 h h h L L L     or 2 2 12 h L  2 3 h L   www.elsolucionario.org
  • 706.
    Copyright © McGraw-HillEducation. Permission required for reproduction or display. PROBLEM 5.97 Determine the location of the centroid of the composite body shown when (a) 2 , h b  (b) 2.5 . h b  SOLUTION V x xV Cylinder I 2 a b  1 2 b 2 2 1 2 a b  Cone II 2 1 3 a h  1 4 b h  2 1 1 3 4 a h b h         2 2 2 2 1 3 1 1 1 2 3 12 V a b h xV a b hb h                     (a) For 2 , h b  2 2 1 5 (2 ) 3 3 V a b b a b            2 2 2 2 2 2 2 1 1 1 (2 ) (2 ) 2 3 12 1 2 1 3 2 3 3 2 xV a b b b b a b a b                        2 2 2 5 3 9 : 3 2 10 XV xV X a b a b X b            Centroid is 1 10 b to the left of base of cone.  www.elsolucionario.org
  • 707.
    Copyright © McGraw-HillEducation. Permission required for reproduction or display. PROBLEM 5.97 (Continued) (b) For 2.5 , h b  2 2 1 (2.5 ) 1.8333 3 V a b b a b            2 2 2 2 2 2 2 1 1 1 (2.5 ) (2.5 ) 2 3 12 [0.5 0.8333 0.52083] 1.85416 xV a b b b b a b a b                  2 2 2 : (1.8333 ) 1.85416 1.01136 XV xV X a b a b X b       Centroid is 0.01136b to the right of base of cone.  Note: Centroid is at base of cone for 6 2.449 . h b b    www.elsolucionario.org
  • 708.
    Copyright © McGraw-HillEducation. Permission required for reproduction or display. PROBLEM 5.98 The composite body shown is formed by removing a semiellipsoid of revolution of semimajor axis h and semiminor axis a/2 from a hemisphere of radius a. Determine (a) the y coordinate of the centroid when h  a/2, (b) the ratio h/a for which y  0.4a. SOLUTION V y yV Hemisphere 3 2 3 a 3 8 a  4 1 4 a   Semiellipsoid 2 2 2 1 3 2 6 a h a h            3 8 h  2 2 1 16 a h   Then 2 2 2 2 (4 ) 6 (4 ) 16 V a a h yV a a h          Now Y V yV    So that 2 2 2 2 (4 ) (4 ) 6 16 Y a a h a a h             or 2 3 4 4 8 h h Y a a a                         (1) (a) ? when 2 a Y h   Substituting 1 2 h a  into Eq. (1) 2 1 3 1 4 4 2 8 2 Y a                         or 45 112 Y a   0.402 Y a    www.elsolucionario.org
  • 709.
    Copyright © McGraw-HillEducation. Permission required for reproduction or display. PROBLEM 5.98 (Continued) (b) ? when 0.4 h Y a a    Substituting into Eq. (1) 2 3 ( 0.4 ) 4 4 8 h h a a a a                          or 2 3 3.2 0.8 0 h h a a                Then 2 3.2 ( 3.2) 4(3)(0.8) 2(3) h a     3.2 0.8 6   or 2 2 and 5 3 h h a a    www.elsolucionario.org
  • 710.
    Copyright © McGraw-HillEducation. Permission required for reproduction or display. PROBLEM 5.99 Locate the centroid of the frustum of a right circular cone when r1 = 40 mm, r2 = 50 mm, and h = 60 mm. SOLUTION By similar triangles: 1 1 1 2 60 240 mm, therefore 240 60 300 mm 40 50 h h h h               1 2 2 1 2 2 3 3 1 2 1 300 1 240 75 mm 60 60 120 mm 4 4 4 4 50 300 250 10 40 240 128 10 3 3 y h y h V V                   3 mm V mm y 4 mm yV Triangle 1 3 250 10   75 6 18.75 10   Triangle 2 3 128 10    120 6 15.36 10     3 122 10   6 3.39 10     3 6 122 10 3.39 10 Y V yV Y         27.787 mm Y  Centroid is 27.8 mm above base of cone.  www.elsolucionario.org
  • 711.
    Copyright © McGraw-HillEducation. Permission required for reproduction or display. PROBLEM 5.100 For the machine element shown, locate the x coordinate of the center of gravity. SOLUTION 3 , mm V , mm x , mm z 4 , mm xV 4 , mm zV I Rectangular plate 3 (10)(90)(38) 34.2 10   19 45 649.8  103 1539  103 II Half cylinder 2 3 (20) (10) 6.2832 10 2    46.5 20 292.17  103 125.664  103  III –(Cylinder) 2 3 (12) (10) 4.5239 10      38 20 171.908  103 90.478  103 IV Rectangular prism 3 (30)(10)(24) 7.2 10   5 78 36  103 561.6  103 V Triangular prism 3 1 (30)(9)(24) 3.24 10 2   13 78 42.12  103 252.72  103  46.399  103 848.18  103 2388.5  103 Dimensions in mm www.elsolucionario.org
  • 712.
    Copyright © McGraw-HillEducation. Permission required for reproduction or display. PROBLEM 5.100 (Continued) 3 4 3 3 848.18 10 mm 46.399 10 mm          X V xV xV X V 18.28 mm  X  www.elsolucionario.org
  • 713.
    Copyright © McGraw-HillEducation. Permission required for reproduction or display. PROBLEM 5.101 For the machine element shown, locate the z coordinate of the center of gravity. SOLUTION 3 , mm V , mm x , mm z 4 , mm xV 4 , mm zV I Rectangular plate 3 (10)(90)(38) 34.2 10   19 45 649.8  103 1539  103 II Half cylinder 2 3 (20) (10) 6.2832 10 2    46.5 20 292.17  103 125.664  103  III –(Cylinder) 2 3 (12) (10) 4.5239 10      38 20 171.908  103 90.478  103 IV Rectangular prism 3 (30)(10)(24) 7.2 10   5 78 36  103 561.6  103 V Triangular prism 3 1 (30)(9)(24) 3.24 10 2   13 78 42.12  103 252.72  103  46.399  103 848.18  103 2388.5  103 Dimensions in mm www.elsolucionario.org
  • 714.
    Copyright © McGraw-HillEducation. Permission required for reproduction or display. PROBLEM 5.101 (Continued) 3 4 3 3 2388.5 10 mm 46.399 10 mm          Z V zV zV Z V 51.5 mm  Z  www.elsolucionario.org
  • 715.
    Copyright © McGraw-HillEducation. Permission required for reproduction or display. PROBLEM 5.102 For the machine element shown, locate the y coordinate of the center of gravity. SOLUTION For half-cylindrical hole, III 0.95 in. 4(0.95) 1.5 3 1.097 in. r y      For half-cylindrical plate, IV 1.5 in. 4(1.5) 5.25 5.887 in. 3 r z      3 , in V , in. y , in. z 4 , in yV 4 , in zV I Rectangular plate (5.25)(3)(0.5) 7.875  0.25  2.625 1.9688  20.672 II Rectangular plate (3)(1.5)(0.75) 3.375  0.75 1.5 2.5313 5.0625 III –(Half cylinder) 2 (0.95) (0.75) 1.063 2     1.097 1.5 1.1664  1.595  IV Half cylinder 2 (1.5) (0.5) 1.767 2   0.25  5.887 0.4418  10.403 V –(Cylinder) 2 (0.95) (0.5) 1.418     0.25  5.25 0.3544 7.443   10.536 0.6910  27.10 3 4 (10.536 in ) 0.6910 in Y V yV Y      0.0656 in. Y    www.elsolucionario.org
  • 716.
    Copyright © McGraw-HillEducation. Permission required for reproduction or display. PROBLEM 5.103 For the machine element shown, locate the z coordinate of the center of gravity. SOLUTION For half-cylindrical hole, III 0.95 in. 4(0.95) 1.5 3 1.097 in. r y      For half-cylindrical plate, IV 1.5 in. 4(1.5) 5.25 5.887 in. 3 r z      3 , in V , in. y , in. z 4 , in yV 4 , in zV I Rectangular plate (5.25)(3)(0.5) 7.875  0.25  2.625 1.9688  20.672 II Rectangular plate (3)(1.5)(0.75) 3.375  0.75 1.5 2.5313 5.0625 III –(Half cylinder) 2 (0.95) (0.75) 1.063 2     1.097 1.5 1.1664  1.595  IV Half cylinder 2 (1.5) (0.5) 1.767 2   0.25  5.887 0.4418  10.403 V –(Cylinder) 2 (0.95) (0.5) 1.418     0.25  5.25 0.3544 7.443   10.536 0.6910  27.10 Now Z V zV   3 4 (10.536 in ) 27.10 in Z  2.57 in. Z   www.elsolucionario.org
  • 717.
    Copyright © McGraw-HillEducation. Permission required for reproduction or display. PROBLEM 5.104 For the machine element shown, locate the y coordinate of the center of gravity. SOLUTION First assume that the machine element is homogeneous so that its center of gravity will coincide with the centroid of the corresponding volume. 3 , mm V , mm x , mm y 4 , mm xV 4 , mm yV I 3 (120)(100)(10) 120 10   5 -50 6 0.60 10  6 6.00 10   II 3 (120)(50)(10) 60 10   35 -5 6 2.10 10  6 0.30 10   III 2 3 (60) (10) 56.549 10 2    85.5 -5 6 4.8349 10  6 0.28274 10   IV 2 3 (40) (10) 50.266 10    60 5 6 3.0160 10  6 0.25133 10  V     2 3 30 10 28.274 10      5 -50 6 0.141370 10   6 1.41370 10   3 258.54 10  6 10.4095 10  6 4.9177 10   We have Y V yV    3 3 6 4 (258.54 10 mm ) 4.9177 10 mm Y     or 19.02 mm Y    www.elsolucionario.org
  • 718.
    Copyright © McGraw-HillEducation. Permission required for reproduction or display. PROBLEM 5.105 For the machine element shown, locate the x coordinate of the center of gravity. SOLUTION First assume that the machine element is homogeneous so that its center of gravity will coincide with the centroid of the corresponding volume. 3 , mm V , mm x , mm y 4 , mm xV 4 , mm yV I 3 (120)(100)(10) 120 10   5 -50 6 0.60 10  6 6.00 10   II 3 (120)(50)(10) 60 10   35 -5 6 2.10 10  6 0.30 10   III 2 3 (60) (10) 56.549 10 2    85.5 -5 6 4.8349 10  6 0.28274 10   IV 2 3 (40) (10) 50.266 10    60 5 6 3.0160 10  6 0.25133 10  V     2 3 30 10 28.274 10      5 -50 6 0.141370 10   6 1.41370 10   3 258.54 10  6 10.4095 10  6 4.9177 10   We have X V xV    3 3 6 4 (258.54 10 mm ) 10.4095 10 mm Y    or 40.3 mm X   www.elsolucionario.org
  • 719.
    Copyright © McGraw-HillEducation. Permission required for reproduction or display. PROBLEM 5.106 Locate the center of gravity of the sheet-metal form shown. SOLUTION First assume that the sheet metal is homogeneous so that the center of gravity of the form will coincide with the centroid of the corresponding area. Now note that symmetry implies 125.0 mm X   II II III 2 80 150 200.93 mm 2 80 50.930 mm 4 125 230 3 283.05 mm y z y               2 , mm A , mm y , mm z 3 , mm yA 3 , mm zA I (250)(170) 42500  75 40 3187500 1700000 II (80)(250) 31416 2   200.93 50930 6312400 1600000 III 2 (125) 24544 2   283.05 0 6947200 0  98460 16447100 3300000 We have 2 3 : (98460 mm ) 16447100 mm Y A y A Y     or 167.0 mm Y   2 6 3 : (98460 mm ) 3.300 10 mm Z A z A Z      or 33.5 mm Z   www.elsolucionario.org
  • 720.
    Copyright © McGraw-HillEducation. Permission required for reproduction or display. PROBLEM 5.107 Locate the center of gravity of the sheet-metal form shown. SOLUTION First, assume that the sheet metal is homogeneous so that the center of gravity of the form will coincide with the centroid of the corresponding area. I I III 1 (1.2) 0.4 m 3 1 (3.6) 1.2 m 3 4(1.8) 2.4 m 3 y z x             2 , m A , m x , m y , m z 3 , m xA 3 , m yA 3 , m zA I 1 (3.6)(1.2) 2.16 2  1.5 0.4 1.2 3.24 0.864  2.592 II (3.6)(1.7) 6.12  0.75 0.4 1.8 4.59 2.448 11.016 III 2 (1.8) 5.0894 2   2.4   0.8 1.8 3.888 4.0715 9.1609  13.3694 3.942 5.6555 22.769 We have 2 3 : (13.3694 m ) 3.942 m X V xV X     or 0.295 m X   2 3 : (13.3694 m ) 5.6555 m Y V yV Y     or 0.423 m Y   2 3 : (13.3694 m ) 22.769 m Z V zV Z     or 1.703 m Z   www.elsolucionario.org
  • 721.
    Copyright © McGraw-HillEducation. Permission required for reproduction or display. PROBLEM 5.108 A corner reflector for tracking by radar has two sides in the shape of a quarter circle with a radius of 15 in. and one side in the shape of a triangle. Locate the center of gravity of the reflector, knowing that it is made of sheet metal of uniform thickness. SOLUTION By symmetry, X Z  For I and II (Quarter-circle ), 2 2 2 4 4(15) 6.3662 in. 3 3 (15) 1.76715 in 4 4 r x y A r            2 , in A , in. x , in. x 3 , in xA 3 , in yA I 176.715 6.3662 6.3662 1125.0 1125.0 II 176.715 0 6.3662 0 1125.0 III  2 1 15 112.50 2  5.0 0 562.50 0  465.93 1687.50 2250.0 : X A xA    2 3 (465.93in ) 1687.50 in X  3.62 in. X Z    : Y A yA    2 3 (465.93in ) 2250.0 in Y  4.83in. Y   www.elsolucionario.org
  • 722.
    Copyright © McGraw-HillEducation. Permission required for reproduction or display. PROBLEM 5.109 A wastebasket, designed to fit in the corner of a room, is 16 in. high and has a base in the shape of a quarter circle of radius 10 in. Locate the center of gravity of the wastebasket, knowing that it is made of sheet metal of uniform thickness. SOLUTION By symmetry, X Z  For III (Cylindrical surface), 2 2 2(10) 6.3662 in. (10)(16) 251.33 in 2 2 r x A rh           For IV (Quarter-circle bottom), 2 2 2 4 4(10) 4.2441in. 3 3 (10) 78.540 in 4 4 r x A r           2 , in A , in. x , in. x 3 , in xA 3 , in yA I (10)(16) 160  5 8 800 1280 II (10)(16) 160  0 8 0 1280 III 251.33 6.3662 8 1600.0 2010.6 IV 78.540 4.2441 0 333.33 0  649.87 2733.3 4570.6 : X A xA    2 3 (649.87 in ) 2733.3in X  4.2059 in. X  4.21in. X Z    : Y A yA    2 3 (649.87 in ) 4570.6 in Y  7.0331in. Y  7.03in. Y   www.elsolucionario.org
  • 723.
    Copyright © McGraw-HillEducation. Permission required for reproduction or display. PROBLEM 5.110 An elbow for the duct of a ventilating system is made of sheet metal of uniform thickness. Locate the center of gravity of the elbow. SOLUTION First, assume that the sheet metal is homogeneous so that the center of gravity of the duct coincides with the centroid of the corresponding area. Also, note that the shape of the duct implies 38.0 mm Y   I I II II IV IV V V 2 Note that 400 (400) 145.352 mm 2 400 (200) 272.68 mm 2 300 (200) 172.676 mm 4 400 (400) 230.23 mm 3 4 400 (200) 315.12 mm 3 4 300 (200) 215.12 mm 3 x z x z x z x z                           Also note that the corresponding top and bottom areas will contribute equally when determining and . x z Thus, 2 , mm A , mm x , mm z 3 , mm xA 3 , mm zA I (400)(76) 47,752 2   145.352 145.352 6,940,850 6,940,850 II (200)(76) 23,876 2   272.68 172.676 6,510,510 4,122,810 III 100(76) 7600  200 350 1,520,000 2,660,000 IV 2 2 (400) 251,327 4         230.23 230.23 57,863,020 57,863,020 V 2 2 (200) 62,832 4           315.12 215.12 –19,799,620 –13,516,420 VI 2(100)(200) 40,000    300 350 –12,000,000 –14,000,000  227,723 41,034,760 44,070,260 www.elsolucionario.org
  • 724.
    Copyright © McGraw-HillEducation. Permission required for reproduction or display. PROBLEM 5.110 (Continued) We have 2 3 : (227,723 mm ) 41,034,760 mm X A xA X     or 180.2 mm X   2 3 : (227,723 mm ) 44,070,260 mm Z A zA Z     or 193.5 mm Z   www.elsolucionario.org
  • 725.
    Copyright © McGraw-HillEducation. Permission required for reproduction or display. PROBLEM 5.111 A window awning is fabricated from sheet metal of uniform thickness. Locate the center of gravity of the awning. SOLUTION First, assume that the sheet metal is homogeneous so that the center of gravity of the awning coincides with the centroid of the corresponding area. II VI II VI IV IV 2 2 II VI 2 IV (4)(25) 4 14.6103 in. 3 (4)(25) 100 in. 3 3 (2)(25) 4 19.9155 in. (2)(25) 50 in. (25) 490.87 in 4 (25)(34) 1335.18 in 2 y y z z y z A A A                          2 , in A , in. y , in. z 3 , in yA 3 , in zA I (4)(25) 100  2 12.5 200 1250 II 490.87 14.6103 100 3 7171.8 5208.3 III (4)(34) 136  2 25 272 3400 IV 1335.18 19.9155 50  26,591 21,250 V (4)(25) 100  2 12.5 200 1250 VI 490.87 14.6103 100 3 7171.8 5208.3  2652.9 41,607 37,567 www.elsolucionario.org
  • 726.
    Copyright © McGraw-HillEducation. Permission required for reproduction or display. PROBLEM 5.111 (Continued) Now, symmetry implies 17.00 in. X   and 2 3 : (2652.9 in ) 41,607 in Y A yA Y     or 15.68 in. Y   2 3 : (2652.9 in ) 37,567 in Z A zA Z     or 14.16 in. Z   www.elsolucionario.org
  • 727.
    Copyright © McGraw-HillEducation. Permission required for reproduction or display. PROBLEM 5.112 A mounting bracket for electronic components is formed from sheet metal of uniform thickness. Locate the center of gravity of the bracket. SOLUTION First, assume that the sheet metal is homogeneous so that the center of gravity of the bracket coincides with the centroid of the corresponding area. Then (see diagram) V 2 V 2 4(0.625) 2.25 3 1.98474 in. (0.625) 2 0.61359 in z A          2 , in A , in. x , in. y , in. z 3 , in xA 3 , in yA 3 , in zA I (2.5)(6) 15  1.25 0 3 18.75 0 45 II (1.25)(6) 7.5  2.5 –0.625 3 18.75 –4.6875 22.5 III (0.75)(6) 4.5  2.875 –1.25 3 12.9375 –5.625 13.5 IV 5 (3) 3.75 4          1.0 0 3.75 3.75 0 –14.0625 V 0.61359  1.0 0 1.98474 0.61359 0 –1.21782  22.6364 46.0739 10.3125 65.7197 We have X A xA    2 3 (22.6364 in ) 46.0739 in X  or 2.04 in. X   2 3 (22.6364 in ) 10.3125 in Y A yA Y      or 0.456 in. Y    2 3 (22.6364 in ) 65.7197 in Z A zA Z     or 2.90 in. Z   www.elsolucionario.org
  • 728.
    Copyright © McGraw-HillEducation. Permission required for reproduction or display. PROBLEM 5.113 A thin sheet of plastic of uniform thickness is bent to form a desk organizer. Locate the center of gravity of the organizer. SOLUTION First assume that the plastic is homogeneous so that the center of gravity of the organizer will coincide with the centroid of the corresponding area. Now note that symmetry implies 30.0 mm Z   2 4 8 10 2 4 8 10 6 2 2 4 8 10 2 6 2 6 6 2.1803 mm 2 6 36 39.820 mm 2 6 58 54.180 mm 2 6 133 136.820 mm 2 6 6 2.1803 mm 2 5 75 78.183 mm 6 60 565.49 mm 2 5 60 942.48 mm x x x x y y y y y A A A A A                                               www.elsolucionario.org
  • 729.
    Copyright © McGraw-HillEducation. Permission required for reproduction or display. PROBLEM 5.113 (Continued) 2 , mm A , mm x , mm y 3 , mm xA 3 , mm yA 1 (74)(60) 4440  0 43 0 190,920 2 565.49 2.1803 2.1803 1233 1233 3 (30)(60) 1800  21 0 37,800 0 4 565.49 39.820 2.1803 22,518 1233 5 (69)(60) 4140  42 40.5 173,880 167,670 6 942.48 47 78.183 44,297 73,686 7 (69)(60) 4140  52 40.5 215,280 167,670 8 565.49 54.180 2.1803 30,638 1233 9 (75)(60) 4500  95.5 0 429,750 0 10 565.49 136.820 2.1803 77,370 1233  22,224.44 1,032,766 604,878 We have 2 3 : (22,224.44 mm ) 1,032,766 mm X A xA X     or 46.5 mm X   2 3 : (22,224.44 mm ) 604,878 mm Y A yA Y     or 27.2 mm Y   www.elsolucionario.org
  • 730.
    Copyright © McGraw-HillEducation. Permission required for reproduction or display. PROBLEM 5.114 A thin steel wire of uniform cross section is bent into the shape shown. Locate its center of gravity. SOLUTION First assume that the wire is homogeneous so that its center of gravity will coincide with the centroid of the corresponding line. 2 2 2 2.4 4.8 m x z       , m L , m x , m y , m z 2 , m xL 2 , m yL 2 , m zL 1 2.6 1.2 0.5 0 3.12 1.3 0 2 2.4 1.2 2     4.8  0 4.8  5.76 0 5.76 3 2.4 0 0 1.2 0 0 2.88 4 1.0 0 0.5 0 0 0.5 0  9.7699 8.88 1.8 8.64 We have 2 : (9.7699 m) 8.88 m     X L x L X or 0.909 m  X  2 : (9.7699 m) 1.8 m     Y L yL Y or 0.1842 m  Y  2 : (9.7699 m) 8.64 m     Z L z L Z or 0.884 m  Z  www.elsolucionario.org
  • 731.
    Copyright © McGraw-HillEducation. Permission required for reproduction or display. PROBLEM 5.115 The frame of a greenhouse is constructed from uniform aluminum channels. Locate the center of gravity of the portion of the frame shown. SOLUTION First assume that the channels are homogeneous so that the center of gravity of the frame will coincide with the centroid of the corresponding line. 8 9 8 9 2 3 6 ft 2 3 5 6.9099 ft x x y y             , ft L , ft x , ft y , ft z 2 , ft xL 2 , ft yL 2 , ft zL 1 2 3 0 1 6 0 2 2 3 1.5 0 2 4.5 0 6 3 5 3 2.5 0 15 12.5 0 4 5 3 2.5 2 15 12.5 10 5 8 0 4 2 0 32 16 6 2 3 5 1 6 10 2 7 3 1.5 5 2 4.5 15 6 8 3 4.7124 2    6  6.9099 0 9 32.562 0 9 3 4.7124 2    6  6.9099 2 9 32.562 9.4248 10 2 0 8 1 0 16 2  39.4248 69 163.124 53.4248 We have 2 : (39.4248 ft) 69 ft X L x L X     or 1.750 ft X   2 : (39.4248 ft) 163.124 ft Y L yL Y     or 4.14 ft Y   2 : (39.4248 ft) 53.4248 ft Z L z L Z     or 1.355 ft Z   www.elsolucionario.org
  • 732.
    Copyright © McGraw-HillEducation. Permission required for reproduction or display. PROBLEM 5.116 Locate the center of gravity of the figure shown, knowing that it is made of thin brass rods of uniform diameter. SOLUTION Uniform rod: 2 2 2 2 (1m) (0.6 m) (1.5 m) AB    1.9 m AB  , m L , m x , m y , m z 2 , m xL 2 , m yL , m L  AB 1.9 0.5 0.75 0.3 0.95 1.425 0.57 BD 0.6 1.0 0 0.3 0.60 0 0.18 DO 1.0 0.5 0 0 0.50 0 0 OA 1.5 0 0.75 0 0 1.125 0  5.0 2.05 2.550 0.75 2 : (5.0 m) 2.05 m X L x L X     0.410 m X   2 : (5.0 m) 2.55 m Y L yL Y     0.510 m Y   2 : (5.0 m) 0.75 m Z L z L Z     0.1500 m Z   www.elsolucionario.org
  • 733.
    Copyright © McGraw-HillEducation. Permission required for reproduction or display. PROBLEM 5.117 Locate the center of gravity of the figure shown, knowing that it is made of thin brass rods of uniform diameter. SOLUTION By symmetry, 0 X   L, in. , in. y , in. z 2 , in yL 2 , in zL AB 2 2 30 16 34   15 0 510 0 AD 2 2 30 16 34   15 8 510 272 AE 2 2 30 16 34   15 0 510 0 BDE (16) 50.265   0 2(16) 10.186   0 512  152.265 1530 784 2 : (152.265 in.) 1530 in Y L yL Y     10.048 in. Y  10.05 in. Y    2 : (152.265 in.) 784 in Z L z L Z       5.149 in. Z   5.15 in. Z   www.elsolucionario.org
  • 734.
    Copyright © McGraw-HillEducation. Permission required for reproduction or display. PROBLEM 5.118 A scratch awl has a plastic handle and a steel blade and shank. Knowing that the density of plastic is 1030 kg/m3 and of steel is 3 7860 kg/m , locate the center of gravity of the awl. SOLUTION First, note that symmetry implies 0 Y Z    I 3 3 I 3 II 3 2 II 3 III 3 2 III 5 (12.5 mm) 7.8125 mm 8 2 (1030 kg/m ) (0.0125 m) 3 4.2133 10 kg 52.5 mm (1030 kg/m ) (0.025 m) (0.08 m) 4 40.448 10 kg 92.5 mm 25 mm 67.5 mm (1030 kg/m ) (0.0035 m) (0. 4 x W x W x W                                      3 05 m) 0.49549 10 kg     IV 3 2 2 3 IV V 3 2 3 V 182.5 mm 70 mm 112.5 mm (7860 kg/m ) (0.0035 m) (0.14 m) 10.5871 10 kg 4 1 182.5 mm (10 mm) 185 mm 4 (7860 kg/m ) (0.00175 m) (0.01 m) 0.25207 10 kg 3 x W x W                             www.elsolucionario.org
  • 735.
    Copyright © McGraw-HillEducation. Permission required for reproduction or display. PROBLEM 5.118 (Continued) , kg W , mm x , kg mm xW  I 3 4.123 10  7.8125 3 32.916 10  II 3 40.948 10  52.5 3 2123.5 10  III 3 0.49549 10   67.5 3 33.447 10   IV 3 10.5871 10  112.5 3 1191.05 10  V 3 0.25207 10  185 3 46.633 10   3 55.005 10  3 3360.7 10  We have 3 3 : (55.005 10 kg) 3360.7 10 kg mm X W xW X          or 61.1mm X   (from the end of the handle) www.elsolucionario.org
  • 736.
    Copyright © McGraw-HillEducation. Permission required for reproduction or display. PROBLEM 5.119 A bronze bushing is mounted inside a steel sleeve. Knowing that the specific weight of bronze is 0.318 lb/in3 and of steel is 0.284 lb/in3 , determine the location of the center of gravity of the assembly. SOLUTION First, note that symmetry implies 0 X Z    Now ( ) W g V   3 2 2 2 I I 3 2 2 2 II II 3 2 III III 0.20 in. (0.284 lb/in ) [(1.8 0.75 ) in ](0.4 in.) 0.23889 lb 4 0.90 in. (0.284 lb/in ) [(1.125 0.75 ) in ](1in.) 0.156834 lb 4 0.70 in. (0.318 lb/in ) [(0.75 0 4 y W y W y W                                             2 2 .5 ) in ](1.4 in.) 0.109269 lb        We have (0.20 in.)(0.23889 lb) (0.90 in.)(0.156834 lb) (0.70 in.)(0.109269 lb) 0.23889 lb 0.156834 lb 0.109269 lb Y W yW Y         or 0.526 in. Y   (above base) www.elsolucionario.org
  • 737.
    Copyright © McGraw-HillEducation. Permission required for reproduction or display. PROBLEM 5.120 A brass collar, of length 2.5 in., is mounted on an aluminum rod of length 4 in. Locate the center of gravity of the composite body. (Specific weights: brass  0.306 lb/in3 , aluminum  0.101 lb/in3 ) SOLUTION Aluminum rod: 3 2 (0.101lb/in ) (1.6 in.) (4 in.) 4 0.81229 lb W V            Brass collar: 3 2 2 (0.306 lb/in. ) [(3 in.) (1.6 in.) ](2.5 in.) 4 3.8693 lb W V       Component W(lb) (in.) y (lb in.) yW  Rod 0.81229 2 1.62458 Collar 3.8693 1.25 4.8366  4.6816 6.4612 : (4.6816 lb) 6.4612 lb in. Y W yW Y      1.38013in. Y  1.380 in. Y   www.elsolucionario.org
  • 738.
    Copyright © McGraw-HillEducation. Permission required for reproduction or display. PROBLEM 5.121 The three legs of a small glass-topped table are equally spaced and are made of steel tubing, which has an outside diameter of 24 mm and a cross-sectional area of 2 150 mm . The diameter and the thickness of the table top are 600 mm and 10 mm, respectively. Knowing that the density of steel is 3 7860 kg/m and of glass is 3 2190 kg/m , locate the center of gravity of the table. SOLUTION First note that symmetry implies 0 X Z    Also, to account for the three legs, the masses of components I and II will each bex multiplied by three I 2 180 12 180 77.408 mm y       3 6 2 I I 7860 kg/m (150 10 m ) (0.180 m) 2 0.33335 kg ST m V          II 2 280 12 180 370.25 mm y       3 6 2 II II 7860 kg/m (150 10 m ) (0.280 m) 2 0.51855 kg ST m V          III 24 180 280 5 489 mm y      3 2 III III 2190 kg/m (0.6 m) (0.010 m) 4 6.1921kg GL m V        , kg m , mm y , kg mm ym  I 3(0.33335) 77.408 77.412 II 3(0.51855) 370.25 515.98 III 6.1921 489 3027.9  8.7478 3681.3 We have : (8.7478 kg) 3681.3 kg mm Y m ym Y      or 420.8 mm Y  The center of gravity is 421 mm  (above the floor) www.elsolucionario.org
  • 739.
    Copyright © McGraw-HillEducation. Permission required for reproduction or display. PROBLEM 5.122 Determine by direct integration the values of x for the two volumes obtained by passing a vertical cutting plane through the given shape of Figure 5.21. The cutting plane is parallel to the base of the given shape and divides the shape into two volumes of equal height. A hemisphere SOLUTION Choose as the element of volume a disk of radius r and thickness dx. Then 2 , EL dV r dx x x    The equation of the generating curve is 2 2 2 x y a   so that 2 2 2 r a x   and then 2 2 ( ) dV a x dx    Component 1: /2 3 /2 2 2 2 1 0 0 3 ( ) 3 11 24 a a x V a x dx a x a                and /2 2 2 1 0 /2 2 4 2 0 4 ( ) 2 4 7 64 a EL a x dV x a x dx x x a a                     Now 3 4 1 1 1 1 11 7 : 24 64 EL x V x dV x a a            1 21 or 88 x a   Component 2:   3 2 2 2 2 /2 /2 3 3 2 2 2 3 ( ) 3 ( ) 3 2 3 5 24 a a a a a x V a x dx a x a a a a a a                                                   www.elsolucionario.org
  • 740.
    Copyright © McGraw-HillEducation. Permission required for reproduction or display. PROBLEM 5.122 (Continued) and     2 4 2 2 2 2 /2 /2 2 4 2 4 2 2 2 2 4 ( ) 2 4 ( ) ( ) 2 4 2 4 9 64 a a EL a a a a x x x dV x a x dx a a a a a a                                                  Now 3 4 2 2 2 2 5 9 : 24 64 EL x V x dV x a a            2 27 or 40 x a   www.elsolucionario.org
  • 741.
    Copyright © McGraw-HillEducation. Permission required for reproduction or display. PROBLEM 5.123 Determine by direct integration the values of x for the two volumes obtained by passing a vertical cutting plane through the given shape of Figure 5.21. The cutting plane is parallel to the base of the given shape and divides the shape into two volumes of equal height. A semiellipsoid of revolution SOLUTION Choose as the element of volume a disk of radius r and thickness dx. Then 2 , EL dV r dx x x    The equation of the generating curve is 2 2 2 2 1 x y h a   so that 2 2 2 2 2 ( ) a r h x h   and then 2 2 2 2 ( ) a dV h x dx h    Component 1: /2 2 2 3 /2 2 2 2 1 2 2 0 0 2 ( ) 3 11 24 h h a a x V h x dx h x h h a h                and 2 /2 2 2 2 1 0 /2 2 2 4 2 2 0 2 2 ( ) 2 4 7 64 h EL h a x dV x h x dx h a x x h h a h                       Now 2 2 2 1 1 1 1 11 7 : 24 64 EL x V x dV x a h a h            1 21 or 88 x h   Component 2:     2 2 3 2 2 2 2 2 2 /2 /2 3 2 3 2 2 2 2 2 ( ) 3 ( ) 3 2 3 5 24 h h h h h a a x V h x dx h x h h a h h h h h h a h                                                   www.elsolucionario.org
  • 742.
    Copyright © McGraw-HillEducation. Permission required for reproduction or display. PROBLEM 5.123 (Continued) and 2 2 2 2 2 /2 2 2 4 2 2 /2 ( ) 2 4 h EL h h h a x dV x h x dx h a x x h h                         2 4 2 2 4 2 2 2 2 2 2 2 ( ) ( ) 2 4 2 4 9 64 h h a h h h h h a h                                Now 2 2 2 2 2 2 2 5 9 : 24 64 EL x V x dV x a h a h            2 27 or 40 x h   www.elsolucionario.org
  • 743.
    Copyright © McGraw-HillEducation. Permission required for reproduction or display. PROBLEM 5.124 Determine by direct integration the values of x for the two volumes obtained by passing a vertical cutting plane through the given shape of Figure 5.21. The cutting plane is parallel to the base of the given shape and divides the shape into two volumes of equal height. A paraboloid of revolution SOLUTION Choose as the element of volume a disk of radius r and thickness dx. Then 2 , EL dV r dx x x    The equation of the generating curve is 2 2 h x h y a   so that 2 2 ( ). a r h x h   and then 2 ( ) a dV h x dx h    Component 1: 2 /2 1 0 /2 2 2 0 2 ( ) 2 3 8 h h a V h x dx h a x hx h a h                and 2 /2 1 0 /2 2 2 3 2 2 0 ( ) 1 2 3 12 h EL h a x dV x h x dx h a x x h a h h                       Now 2 2 2 1 1 1 1 3 1 : 8 12 EL x V x dV x a h a h            1 2 or 9 x h   Component 2:   2 2 2 2 /2 /2 2 2 2 2 2 ( ) 2 ( ) ( ) 2 2 2 1 8 h h h h h a a x V h x dx hx h h a h h h h h h a h                                                   www.elsolucionario.org
  • 744.
    Copyright © McGraw-HillEducation. Permission required for reproduction or display. PROBLEM 5.124 (Continued) and     2 2 2 3 2 /2 /2 2 3 2 2 3 2 2 2 2 ( ) 2 3 ( ) ( ) 2 3 2 3 1 12 h h EL h h h h a a x x x dV x h x dx h h h a h h h h h a h                                                    Now 2 2 2 2 2 2 2 1 1 : 8 12 EL x V x dV x a h a h            2 2 or 3 x h   www.elsolucionario.org
  • 745.
    Copyright © McGraw-HillEducation. Permission required for reproduction or display. PROBLEM 5.125 Locate the centroid of the volume obtained by rotating the shaded area about the x-axis. SOLUTION First, note that symmetry implies 0 y   0 z   Choose as the element of volume a disk of radius r and thickness dx. Then 2 , EL dV r dx x x    Now 1 1 r x   so that 2 2 1 1 2 1 1 dV dx x dx x x                    Then 3 3 2 1 1 3 2 1 1 1 2ln 1 1 3 2ln3 1 2ln1 3 1 (0.46944 ) m V dx x x x x x                                                 and 3 2 3 2 1 1 2 3 2 1 1 2 ln 2 3 1 2(3) ln3 2(1) ln1 2 2 (1.09861 ) m EL x x dV x dx x x x x                                                            Now 3 4 : (0.46944 m ) 1.09861 m EL xV x dV x      or 2.34 m x   www.elsolucionario.org
  • 746.
    Copyright © McGraw-HillEducation. Permission required for reproduction or display. PROBLEM 5.126 Locate the centroid of the volume obtained by rotating the shaded area about the x-axis. SOLUTION First note that symmetry implies 0 y   and 0 z   We have 2 ( ) y k X h   At 0, , x y a   2 ( ) a k h   or 2 a k h  Choose as the element of volume a disk of radius r and thickness dx. Then 2 , EL dV r dx X x    Now 2 2 ( ) a r x h h   so that 2 4 4 ( ) a dV x h dx h    Then 2 2 4 5 0 4 4 0 2 ( ) [( ) ] 5 1 5 h h a a V x h dx x h h h a h          and 2 4 4 0 2 5 4 2 3 3 2 4 4 0 2 6 5 2 4 3 3 4 2 4 0 2 2 ( ) ( 4 6 4 ) 1 4 3 4 1 6 5 2 3 2 1 30 h EL h h a x dV x x h dx h a x hx h x h x h x dx h a x hx h x h x h x h a h                                 Now 2 2 2 : 5 30 EL xV x dV x a h a h            1 or 6 x h   www.elsolucionario.org
  • 747.
    Copyright © McGraw-HillEducation. Permission required for reproduction or display. PROBLEM 5.127 Locate the centroid of the volume obtained by rotating the shaded area about the line . x h  SOLUTION First, note that symmetry implies x h   0 z   Choose as the element of volume a disk of radius r and thickness dx. Then 2 , EL dV r dy y y    Now 2 2 2 2 2 ( ) h x a y a   so that 2 2 . h r h a y a    Then   2 2 2 2 2 h dV a a y dy a     and   2 2 2 2 2 0 a h V a a y dy a      Let sin cos y a dy a d       Then   2 2 /2 2 2 2 2 0 2 /2 2 2 2 2 2 0 /2 2 2 2 0 sin cos 2 ( cos ) ( sin ) cos (2cos 2cos sin cos ) h V a a a a d a h a a a a a a d a ah d                                    /2 2 3 0 2 2 2 sin 2 1 2sin 2 sin 2 4 3 1 2 2 2 3 0.095870 ah ah ah                                              www.elsolucionario.org
  • 748.
    Copyright © McGraw-HillEducation. Permission required for reproduction or display. PROBLEM 5.127 (Continued) and     2 2 2 2 2 0 2 2 2 2 3 2 0 2 2 a EL a h y dV y a a y dy a h a y ay a y y dy a                   2 2 2 2 2 3/2 4 2 0 2 2 2 4 2 3/2 2 2 2 2 1 ( ) 3 4 1 2 ( ) ( ) 4 3 1 12 a h a y a a y y a h a a a a a a a h                                    Now : EL yV y dV   2 2 2 1 (0.095870 ) 12 y ah a h    or 0.869 y a   www.elsolucionario.org
  • 749.
    Copyright © McGraw-HillEducation. Permission required for reproduction or display. PROBLEM 5.128* Locate the centroid of the volume generated by revolving the portion of the sine curve shown about the x-axis. SOLUTION First, note that symmetry implies 0 y   0 z   Choose as the element of volume a disk of radius r and thickness dx. Then 2 , EL dV r dx x x    Now sin 2 x r b a   so that 2 2 sin 2 x dV b dx a    Then     2 2 2 2 2 2 2 2 2 2 2 sin 2 sin 2 2 1 2 a a a x a a a a a x V b dx a x b b ab                           and 2 2 2 sin 2 a EL a x x dV x b dx a            Use integration by parts with 2 2 sin 2 sin 2 x a a x u x dV a x du dx V         www.elsolucionario.org
  • 750.
    Copyright © McGraw-HillEducation. Permission required for reproduction or display. PROBLEM 5.128* (Continued) Then 2 2 2 2 2 2 2 2 2 2 sin sin 2 2 2 1 2 cos 2 2 4 2 a x x a a a EL a a a a a a x x x dV b x dx a a a x b a a x a                                                                                       2 2 2 2 2 2 2 2 2 2 2 2 2 3 1 1 (2 ) ( ) 2 4 4 2 2 3 1 4 0.64868 a a b a a a a b a b                                           Now 2 2 2 1 : 0.64868 2 EL xV x dV x ab a b            or 1.297 x a   www.elsolucionario.org
  • 751.
    Copyright © McGraw-HillEducation. Permission required for reproduction or display. PROBLEM 5.129* Locate the centroid of the volume generated by revolving the portion of the sine curve shown about the y-axis. (Hint: Use a thin cylindrical shell of radius r and thickness dr as the element of volume.) SOLUTION First note that symmetry implies 0 x   0 z   Choose as the element of volume a cylindrical shell of radius r and thickness dr. Then 1 (2 )( )( ), 2 EL dV r y dr y y    Now sin 2 r y b a   so that 2 sin 2 r dV br dr a    Then 2 2 sin 2 a a r V br dr a     Use integration by parts with sin 2 2 cos 2 r u rd dv dr a a r du dr v a         Then   2 2 2 2 2 2 2 2 ( ) cos cos 2 2 2 4 2 ( )( ) sin 2 1 2 a a a a a a a r a r V b r dr a a a a r b a a                                                              2 2 2 2 2 4 4 2 1 8 1 5.4535 a a V b a b a b                        www.elsolucionario.org
  • 752.
    Copyright © McGraw-HillEducation. Permission required for reproduction or display. PROBLEM 5.129* (Continued) Also 2 1 2 2 2 2 sin 2 sin 2 2 sin 2 a EL a a a r r y dV b br dr a a r b r dr a                    Use integration by parts with 2 2 sin 2 sin 2 r a a r u r dv dr a r du dr v         Then 2 2 2 2 2 2 2 2 2 2 sin sin ( ) 2 2 2 (2 ) ( ) cos 2 2 4 2 a r r a a a EL a a a a a a r r y dV b r dr a a r a r b a a a                                                                                       2 2 2 2 2 2 2 2 2 2 2 2 2 3 (2 ) ( ) 2 4 4 2 2 3 1 4 2.0379 a a a a b a a b a b                                    Now 2 2 2 : (5.4535 ) 2.0379 EL yV y dV y a b a b    or 0.374 y b   www.elsolucionario.org
  • 753.
    Copyright © McGraw-HillEducation. Permission required for reproduction or display. PROBLEM 5.130* Show that for a regular pyramid of height h and n sides ( 3, 4, ) n   the centroid of the volume of the pyramid is located at a distance h/4 above the base. SOLUTION Choose as the element of a horizontal slice of thickness dy. For any number N of sides, the area of the base of the pyramid is given by 2 base A kb  where ( ); k k N  see note below. Using similar triangles, we have s h y b h   or ( ) b s h y h   Then 2 2 2 slice 2 ( ) b dV A dy ks dy k h y dy h     and 2 2 2 3 2 2 0 0 2 1 ( ) ( ) 3 1 3 h h b b V k h y dy k h y h h kb h              Also, EL y y  so that 2 2 2 2 2 3 2 2 0 0 2 2 2 3 4 2 2 2 0 ( ) ( 2 ) 1 2 1 1 2 3 4 12 h h EL h b b y dV y k h y dy k h y hy y dy h h b k h y hy y kb h h                         Now 2 2 2 1 1 : 3 12 EL yV y dV y kb h kb h          or 1 Q.E.D. 4 y h   Note: 2 base tan 2 2 1 2 4 tan ( ) N b N A N b N b k N b                 www.elsolucionario.org
  • 754.
    Copyright © McGraw-HillEducation. Permission required for reproduction or display. PROBLEM 5.131 Determine by direct integration the location of the centroid of one-half of a thin, uniform hemispherical shell of radius R. SOLUTION First note that symmetry implies 0 x   The element of area dA of the shell shown is obtained by cutting the shell with two planes parallel to the xy plane. Now ( )( ) 2 EL dA r Rd r y       where sin r R   so that 2 sin 2 sin EL dA R d R y         Then /2 2 2 /2 0 0 2 sin [ cos ] A R d R R              and /2 2 0 /2 3 0 3 2 sin ( sin ) sin 2 2 2 4 2 EL R y dA R d R R                                Now 2 3 : ( ) 2 EL yA y dA y R R       or 1 2 y R    Symmetry implies z y  1 2 z R    www.elsolucionario.org
  • 755.
    Copyright © McGraw-HillEducation. Permission required for reproduction or display. PROBLEM 5.132 The sides and the base of a punch bowl are of uniform thickness t. If t R  and R  250 mm, determine the location of the center of gravity of (a) the bowl, (b) the punch. SOLUTION (a) Bowl: First note that symmetry implies 0 x   0 z   for the coordinate axes shown below. Now assume that the bowl may be treated as a shell; the center of gravity of the bowl will coincide with the centroid of the shell. For the walls of the bowl, an element of area is obtained by rotating the arc ds about the y-axis. Then wall (2 sin )( ) dA R R d     and wall ( ) cos EL y R    Then /2 2 wall /6 /2 2 /6 2 2 sin 2 [ cos ] 3 A R d R R                and wall wall wall /2 2 /6 /2 3 2 /6 3 ( ) ( cos )(2 sin ) [cos ] 3 4 EL y A y dA R R d R R                    By observation, 2 base base 3 , 4 2 A R y R     Now y A yA    or 2 2 3 2 3 3 3 4 4 4 2 y R R R R R                        or 0.48763 250 mm y R R    121.9 mm y    www.elsolucionario.org
  • 756.
    Copyright © McGraw-HillEducation. Permission required for reproduction or display. PROBLEM 5.132 (Continued) (b) Punch: First note that symmetry implies 0 x   0 z   and that because the punch is homogeneous, its center of gravity will coincide with the centroid of the corresponding volume. Choose as the element of volume a disk of radius x and thickness dy. Then 2 , EL dV x dy y y    Now 2 2 2 x y R   so that 2 2 ( ) dV R y dy    Then 0 2 2 3/2 0 2 3 3/2 3 2 3 ( ) 1 3 3 1 3 3 3 2 3 2 8 R R V R y dy R y y R R R R                                                and   0 2 2 3/2 0 2 2 4 3/2 2 4 2 4 ( ) 1 1 2 4 1 3 1 3 15 2 2 4 2 64 EL R R y dV y R y dy R y y R R R R                                                      Now 3 4 3 15 : 3 8 64 EL yV y dV y R R             or 5 250 mm 8 3 y R R    90.2 mm y    www.elsolucionario.org
  • 757.
    Copyright © McGraw-HillEducation. Permission required for reproduction or display. PROBLEM 5.133 Locate the centroid of the section shown, which was cut from a thin circular pipe by two oblique planes. SOLUTION First note that symmetry implies 0 x   Assume that the pipe has a uniform wall thickness t and choose as the element of volume a vertical strip of width ad and height 2 1 ( ). y y  Then 2 1 1 2 1 ( ) , ( ) 2 EL EL dV y y ta d y y y z z       Now 3 1 2 6   h h y z a 2 3 2 2 2 3    h y z h a ( ) 6   h z a a ( 2 ) 3    h z a a and cos z a   Then 2 1 ( ) ( cos 2 ) ( cos ) 3 6 (1 cos ) 2 h h y y a a a a a a h            and 1 2 ( ) ( cos ) ( cos 2 ) 6 3 (5 cos ) 6 (1 cos ) (5 cos ), cos 2 12 EL EL h h y y a a a a a a h aht h dV d y z a                     www.elsolucionario.org
  • 758.
    Copyright © McGraw-HillEducation. Permission required for reproduction or display. PROBLEM 5.133 (Continued) Then 0 0 2 (1 cos ) [ sin ] 2 aht V d aht aht              and 0 2 2 0 2 0 2 2 (5 cos ) (1 cos ) 12 2 (5 6cos cos ) 12 sin 2 5 6sin 12 2 4 11 24 EL h aht y dV d ah t d ah t ah t                                         0 2 0 2 2 cos (1 cos ) 2 sin 2 sin 2 4 1 2 EL aht z dV a d a ht a ht                               Now 2 11 : ( ) 24 EL yV y dV y aht ah t      or 11 24 y h   and 2 1 : ( ) 2       EL zV z dV z aht a ht or 1 2 z a    www.elsolucionario.org
  • 759.
    Copyright © McGraw-HillEducation. Permission required for reproduction or display. PROBLEM 5.134* Locate the centroid of the section shown, which was cut from an elliptical cylinder by an oblique plane. SOLUTION First note that symmetry implies 0 x   Choose as the element of volume a vertical slice of width zx, thickness dz, and height y. Then 1 2 , , 24 EL EL dV xy dz y z z    Now 2 2 a x b z b   and /2 ( ) 2 2      h h h y z b z b b Then 2 2 2 ( ) 2               b b a h V b z b z dz b b Let sin cos z b dz b d      Then /2 2 /2 /2 2 2 /2 /2 3 /2 ( cos )[ (1 sin )] cos (cos sin cos ) sin 2 1 cos 2 4 3 1 2 ah V b b b d b abh d abh V abh                                     www.elsolucionario.org
  • 760.
    Copyright © McGraw-HillEducation. Permission required for reproduction or display. PROBLEM 5.134* (Continued) and 2 2 2 2 2 2 3 1 ( ) 2 ( ) 2 2 2 1 ( ) 4                                    b EL b b b h a h y dV b z b z b z dz b b b ah b z b z dz b Let sin cos z b dz b d      Then 2 /2 2 3 /2 /2 2 2 2 2 2 /2 1 [ (1 sin )] ( cos ) ( cos ) 4 1 (cos 2sin cos sin cos ) 4                          EL ah y dV b b b d b abh d Now 2 2 1 1 sin (1 cos2 ) cos (1 cos2 ) 2 2         so that 2 2 2 1 sin cos (1 cos 2 ) 4      Then /2 2 2 2 2 /2 /2 2 3 /2 2 1 1 cos 2sin cos (1 cos 2 ) 4 4 1 sin 2 1 1 1 sin 4 cos 4 2 4 3 4 4 2 8 5 32 EL y dV abh d abh abh                                                        Also, 2 2 2 2 2 2 ( ) 2 ( )                        b EL b b b a h z dV z a z b z dz b b ah z b z b z dz b Let sin cos z b dz b d      Then /2 2 /2 /2 2 2 2 2 /2 ( sin )[ (1 sin )]( cos ) ( cos ) (sin cos sin cos ) EL ah z dV b b b b d b ab h d                         Using 2 2 2 1 sin cos (1 cos 2 ) 4      from above, /2 2 2 2 /2 1 sin cos (1 cos 2 ) 4 EL z dV ab h d                   /2 2 3 2 /2 1 1 1 sin 4 1 cos 3 4 4 2 8 8 ab h ab h                            www.elsolucionario.org
  • 761.
    Copyright © McGraw-HillEducation. Permission required for reproduction or display. PROBLEM 5.134* (Continued) Now 2 1 5 : 2 32 EL yV y dV y abh abh            or 5 16 y h   and 2 1 1 : 2 8 EL z V z dV z abh ab h             or 1 4 z b    www.elsolucionario.org
  • 762.
    Copyright © McGraw-HillEducation. Permission required for reproduction or display. PROBLEM 5.135 Determine by direct integration the location of the centroid of the volume between the xz plane and the portion shown of the surface y  16h(ax  x2 )(bz  z2 )/a2 b2 . SOLUTION First note that symmetry implies 2 a x   2 b z   Choose as the element of volume a filament of base dx dz  and height y. Then 1 , 2 EL dV y dxdz y y   or 2 2 2 2 16 ( )( ) h dV ax x bz z dxdz a b    Then 2 2 2 2 0 0 16 ( )( ) b a h V ax x bz z dxdz a b      2 2 3 2 2 0 0 2 3 2 3 2 2 0 2 3 2 16 1 ( ) 3 16 1 1 ( ) ( ) 2 3 2 3 8 1 ( ) ( ) 2 3 3 4 9 a b b h a V bz z x x dz z a b h a b a a z z a b ah b b b b abh                                   www.elsolucionario.org
  • 763.
    Copyright © McGraw-HillEducation. Permission required for reproduction or display. PROBLEM 5.135 (Continued) and 2 2 2 2 2 2 2 2 0 0 2 2 2 3 4 2 2 3 4 4 4 0 0 2 2 2 2 3 4 3 4 5 2 4 0 0 1 16 16 ( )( ) ( )( ) 2 128 ( 2 )( 2 ) 128 1 ( 2 ) 3 2 5 b a EL b a a b h h y dV ax x bz z ax x bz z dxdz a b a b h a x ax x b z bz z dxdz a b h a a b z bz z x x x dz a b                                        2 2 2 3 4 5 3 4 5 4 4 0 2 3 3 4 5 2 4 128 1 1 ( ) ( ) ( ) 3 2 5 3 5 64 1 32 ( ) ( ) ( ) 3 2 5 225 15 b h a a b b a a a z z z z a b ah b b b b b abh b                            Now 2 4 32 : 9 225 EL yV y dV y abh abh          or 8 25 y h   www.elsolucionario.org
  • 764.
    Copyright © McGraw-HillEducation. Permission required for reproduction or display. PROBLEM 5.136 After grading a lot, a builder places four stakes to designate the corners of the slab for a house. To provide a firm, level base for the slab, the builder places a minimum of 3 in. of gravel beneath the slab. Determine the volume of gravel needed and the x coordinate of the centroid of the volume of the gravel. (Hint: The bottom surface of the gravel is an oblique plane, which can be represented by the equation y  a  bx  cz.) SOLUTION The centroid can be found by integration. The equation for the bottom of the gravel is , y a bx cz    where the constants a, b, and c can be determined as follows: For 0 x  and 0, z  3 in., and therefore, y   3 1 ft , or ft 12 4 a a     For 30 ft and 0, 5 in., x z y     and therefore, 5 1 1 ft ft (30 ft), or 12 4 180 b b       For 0 and 50 ft, 6 in., x z y     and therefore, 6 1 1 ft ft (50 ft), or 12 4 200 c c       Therefore, 1 1 1 ft 4 180 200 y x z     Now EL x dV x V   A volume element can be chosen as | | dV y dxdz  or 1 1 1 1 4 45 50 dV x z dxdz          and EL x x  www.elsolucionario.org
  • 765.
    Copyright © McGraw-HillEducation. Permission required for reproduction or display. PROBLEM 5.136 (Continued) Then 50 30 0 0 1 1 1 4 45 50 EL x x dV x z dxdz             30 2 50 3 2 0 0 50 0 50 2 0 4 1 1 4 2 135 100 1 (650 9 ) 4 1 9 650 4 2 10937.5 ft x z x x dz z dz z z                       The volume is 50 30 0 0 1 1 1 1 4 45 50 V dV x z dxdz             30 50 2 0 0 50 0 50 2 0 3 1 1 4 90 50 1 3 40 4 5 1 3 40 4 10 687.50 ft z x x x dz z dz z z                             Then 4 3 10937.5ft 15.9091 ft 687.5 ft EL x dV x V     Therefore, 3 688 ft V   15.91ft x   www.elsolucionario.org
  • 766.
    Copyright © McGraw-HillEducation. Permission required for reproduction or display. PROBLEM 5.137 Locate the centroid of the plane area shown. SOLUTION 2 , in A , in x , in y 3 , in xA 3 , in yA 1 1 (12)(6) 36 2  4 4 144 144 2 (6)(3) 18  9 7.5 162 135  54 306 279 Then XA xA   (54) 306 X  5.67 in. X   (54) 279 YA yA Y    5.17 in. Y   www.elsolucionario.org
  • 767.
    Copyright © McGraw-HillEducation. Permission required for reproduction or display. PROBLEM 5.138 Locate the centroid of the plane area shown. SOLUTION 2 , mm A , mm x , mm y 3 , mm xA 3 , mm yA 1 1 (120)(75) 4500 2  80 25 3 360 10  3 112.5 10  2 (75)(75) 5625  157.5 37.5 3 885.94 10  3 210.94 10  3 2 (75) 4417.9 4     163.169 43.169 3 720.86 10   3 190.716 10    5707.1 3 525.08 10  3 132.724 10  Then 3 (5707.1) 525.08 10 XA x A X     92.0 mm X   3 (5707.1) 132.724 10 YA y A Y     23.3 mm Y   www.elsolucionario.org
  • 768.
    Copyright © McGraw-HillEducation. Permission required for reproduction or display. PROBLEM 5.139 A uniform circular rod of weight 8 lb and radius 10 in. is attached to a pin at C and to the cable AB. Determine (a) the tension in the cable, (b) the reaction at C. SOLUTION For quarter circle, 2r r   (a) 2 0: 0 C r M W Tr            2 2 (8 lb) T W                 5.09 lb T   (b) 0: 0 5.09 lb 0 x x x F T C C       5.09 lb x  C 0: 0 8 lb 0 y y y F C W C       8 lb y  C 9.48 lb  C 57.5°  www.elsolucionario.org
  • 769.
    Copyright © McGraw-HillEducation. Permission required for reproduction or display. PROBLEM 5.140 Determine by direct integration the centroid of the area shown. Express your answer in terms of a and h. SOLUTION 3 (1 ) y h kx   For , 0. x a y   3 0 (1 )   h k a 3 1 k a   3 3 1 x y h a           1 , 2 EL EL x x y y dA ydx    3 4 3 3 0 0 0 3 1 4 4 a a a x x A dA ydx h dx h x ah a a                         4 2 5 2 3 3 0 0 0 3 2 10 5 a a a EL x x x x dA xydx h x dx h a h a a                        3 2 3 6 2 3 3 6 0 0 0 1 1 2 1 1 2 2 2 a a a EL x h x x y dA y ydx h dx dx a a a                                 2 4 7 2 3 6 0 9 2 28 2 7 a h x x x ah a a           2 3 3 : 4 10 EL xA x dA x ah a h          2 5  x a  2 3 9 : 4 28 EL yA y dA y ah ah          3 7  y h  www.elsolucionario.org
  • 770.
    Copyright © McGraw-HillEducation. Permission required for reproduction or display. PROBLEM 5.141 Determine by direct integration the centroid of the area shown. SOLUTION 1 2 EL EL x x y y dA y dx    2 2 3 2 2 0 0 2 2 3 2 2 0 0 2 3 4 2 2 0 2 5 1 2 2 3 6 1 2 2 1 2 1 2 3 4 3 L L L L EL L x x x x A dA h dx h x hL L L L L x x x x x dA xh dx h x dx L L L L x x x h hL L L                                                            2 5 1 : 6 3          EL xA x dA x hL hL 2 5  x L  2 2 5 1 1 2 6 2              EL x x A hL y y y h L L 2 2 2 2 2 0 2 2 4 2 3 2 4 2 3 0 2 3 5 2 3 4 2 2 4 2 3 0 1 1 2 2 2 1 4 2 4 4 2 4 4 4 2 10 3 5 3 L EL L L h x x y dA y dx dx L L h x x x x x dx L L L L L h x x x x x x h L L L L L L                                            2 5 4 : 6 10 EL yA y dA y hL h L          12 25 y h   www.elsolucionario.org
  • 771.
    Copyright © McGraw-HillEducation. Permission required for reproduction or display. PROBLEM 5.142 The escutcheon (a decorative plate placed on a pipe where the pipe exits from a wall) shown is cast from brass. Knowing that the density of brass is 8470 kg/m3 , determine the mass of the escutcheon. SOLUTION The mass of the escutcheon is given by (density) , m V  where V is the volume. V can be generated by rotating the area A about the x-axis. From the figure: 2 2 1 2 75 12.5 73.9510 m 37.5 76.8864 mm tan 26 L L       2 1 1 2.9324 mm 12.5 sin 9.5941 75 26 9.5941 8.2030 0.143168 rad 2 a L L                 Area A can be obtained by combining the following four areas: Applying the second theorem of Pappus-Guldinus and using Figure 5.8a, we have 2 2 V yA yA      Seg. 2 , mm A , mm y 3 , mm yA 1 1 (76.886)(37.5) 1441.61 2  1 (37.5) 12.5 3  18,020.1 2 2 (75) 805.32     2(75)sin sin ( ) 15.2303 3       12,265.3 3 1 (73.951)(12.5) 462.19 2    1 (12.5) 4.1667 3  1925.81 4 (2.9354)(12.5) 36.693    1 (12.5) 6.25 2  229.33  3599.7 www.elsolucionario.org
  • 772.
    Copyright © McGraw-HillEducation. Permission required for reproduction or display. PROBLEM 5.142 (Continued) Then 3 3 3 6 3 2 2 (3599.7 mm ) 22,618 mm (density) (8470 kg/m )(22.618 10 m ) V yA m V           0.191574 kg  or 0.1916 kg m   www.elsolucionario.org
  • 773.
    Copyright © McGraw-HillEducation. Permission required for reproduction or display. PROBLEM 5.143 Determine the reactions at the beam supports for the given loading. SOLUTION I I II II (200 lb/ft)(15 ft) 3000 lb 1 (200 lb/ft)(6 ft) 2 600 lb R R R R     0: (3000 lb)(1.5 ft) (600 lb)(9 ft 2ft) (15 ft) 0 A M B        740 lb B  740 lb  B  0: 740 lb 3000 lb 600 lb 0 y F A       2860 lb A  2860 lb  A  www.elsolucionario.org
  • 774.
    Copyright © McGraw-HillEducation. Permission required for reproduction or display. PROBLEM 5.144 A beam is subjected to a linearly distributed downward load and rests on two wide supports BC and DE, which exert uniformly distributed upward loads as shown. Determine the values of wBC and wDE corresponding to equilibrium when 600 A w  N/m. SOLUTION We have I II 1 (6 m)(600 N/m) 1800 N 2 1 (6 m)(1200 N/m) 3600 N 2 (0.8 m)( N/m) (0.8 ) N (1.0 m)( N/m) ( ) N BC BC BC DE DE DE R R R w w R w w         Then 0: (1 m)(1800 N) (3 m)(3600 N) (4 m)( N) 0 G DE M w       or 3150 N/m DE w   and 0: (0.8 ) N 1800 N 3600 N 3150 N 0 y BC F w       or 2812.5 N/m BC w  2810 N/m BC w   www.elsolucionario.org
  • 775.
    Copyright © McGraw-HillEducation. Permission required for reproduction or display. PROBLEM 5.145 A tank is divided into two sections by a 1  1-m square gate that is hinged at A. A couple of magnitude 490 N · m is required for the gate to rotate. If one side of the tank is filled with water at the rate of 0.1 m3 /min and the other side is filled simultaneously with methyl alcohol (density ma  789 kg/m3 ) at the rate of 0.2 m3 /min, determine at what time and in which direction the gate will rotate. SOLUTION Consider the free-body diagram of the gate. First note base V A d  and . V rt  Then 3 3 0.1m / min (min) 0.25 (m) (0.4 m)(1m) 0.2 m / min (min) (m) (0.2 m)(1m) W MA t d t t d t       Now 1 1 ( ) 2 2 P Ap A gh    so that 3 3 2 2 3 2 2 1 [(0.25 ) m (1 m)][(10 kg/m )(9.81 m/s )(0.25 ) m] 2 306.56 N 1 [( ) m (1 m)][(789 kg/m )(9.81m/s )( ) m] 2 3870 N W MA P t t t P t t t       Now assume that the gate will rotate clockwise and when 0.6 m.  MA d When rotation of the gate is impending, we require 1 1 : 0.6 m 0.6 m 3 3                  A R MA MA W W M M d P d P Substituting 2 2 1 1 490 N m 0.6 m (3870 ) N 0.6 0.25 m (306.56 ) N 3 3 t t t t                     www.elsolucionario.org
  • 776.
    Copyright © McGraw-HillEducation. Permission required for reproduction or display. PROBLEM 5.145 (Continued) Simplifying 3 2 1264.45 2138.1 490 0    t t Solving (positive roots only) 0.59451min t  and 1.52411min t  Now check assumption using the smaller root. We have ( ) m 0.59451m 0.6 m MA d t    0.59451min 35.7 s t     and the gate rotates clockwise.  www.elsolucionario.org
  • 777.
    Copyright © McGraw-HillEducation. Permission required for reproduction or display. PROBLEM 5.146 Determine the y coordinate of the centroid of the body shown. SOLUTION First note that the values of Y will be the same for the given body and the body shown below. Then V y yV Cone 2 1 3 a h  1 4 h  2 2 1 12 a h   Cylinder 2 2 1 2 4 a b a b            1 2 b  2 2 1 8 a b   2 (4 3 ) 12 a h b   2 2 2 (2 3 ) 24 a h b    We have    Y V yV Then 2 2 2 2 (4 3 ) (2 3 ) 12 24 Y a h b a h b             or 2 2 2 3 2(4 3 ) h b Y h b      www.elsolucionario.org
  • 778.
    Copyright © McGraw-HillEducation. Permission required for reproduction or display. PROBLEM 5.147 An 8-in.-diameter cylindrical duct and a 4  8-in. rectangular duct are to be joined as indicated. Knowing that the ducts were fabricated from the same sheet metal, which is of uniform thickness, locate the center of gravity of the assembly. SOLUTION Assume that the body is homogeneous so that its center of gravity coincides with the centroid of the area. By symmetry, 0. Z  2 , in A , in. x , in. y 3 , in xA 3 , in yA 1 (8)(12) 96    0 6 0 576 2 (8)(4) 16 2      2(4) 8    10 128  160  3 2 (4) 8 2    4(4) 16 3 3      12 42.667  96 4 (8)(12) 96  6 12 576 1152 5 (8)(12) 96  6 8 576 768 6 2 (4) 8 2      4(4) 16 3 3    8 42.667  64  7 (4)(12) 48  6 10 288 480 8 (4)(12) 48  6 10 288 480  539.33 1514.6 4287.4 Then 1514.67 in. 539.33 xA X A     or 2.81in. X   4287.4 in. 539.33 yA Y A     or 7.95 in. Y   www.elsolucionario.org
  • 779.
    Copyright © McGraw-HillEducation. Permission required for reproduction or display. PROBLEM 5.148 Three brass plates are brazed to a steel pipe to form the flagpole base shown. Knowing that the pipe has a wall thickness of 8 mm and that each plate is 6 mm thick, determine the location of the center of gravity of the base. (Densities: brass  8470 kg/m3 ; steel  7860 kg/m3 .) SOLUTION Since brass plates are equally spaced, we note that the center of gravity lies on the y-axis. Thus, 0 X Z    Steel pipe: 2 2 6 3 3 6 3 [(0.064 m) (0.048 m) ](0.192 m) 4 270.22 10 m (7860 kg/m )(270.22 10 m ) 2.1239 kg V m V             Each brass plate: 6 3 3 6 3 1 (0.096 m)(0.192 m)(0.006 m) 55.296 10 m 2 (8470 kg/m )(55.296 10 m ) 0.46836 kg           V m V Flagpole base: 2.1239 kg 3(0.46836 kg) 3.5290 kg (0.096 m)(2.1239 kg) 3[(0.064 m)(0.46836 kg)] 0.29382 kg m : (3.5290 kg) 0.29382 kg m m ym Y m ym Y               0.083259 m  Y 83.3 mm  Y above the base  www.elsolucionario.org
  • 780.
  • 781.
  • 782.
    Copyright © McGraw-HillEducation. Permission required for reproduction or display. PROBLEM 6.1 Using the method of joints, determine the force in each member of the truss shown. State whether each member is in tension or compression. SOLUTION Free body: Entire truss: 0: 0 0 y y y F B     B 0: (16 in.) (240 lb)(36 in.) 0 C x M B      540 kN 540 lb x x B    B 0: 540 lb 240 lb 0 x F C      300 lb C  300 lb  C Free body: Joint B: 540 lb 5 4 3 BC AB F F   900 lb AB F T   720 lb BC F T   www.elsolucionario.org
  • 783.
    Copyright © McGraw-HillEducation. Permission required for reproduction or display. PROBLEM 6.1 (Continued) Free body: Joint C: 300 lb 13 12 5 AC BC F F   780 lb AC F C   720 lb (checks) BC F  www.elsolucionario.org
  • 784.
    Copyright © McGraw-HillEducation. Permission required for reproduction or display. PROBLEM 6.2 Using the method of joints, determine the force in each member of the truss shown. State whether each member is in tension or compression. SOLUTION Free body: Entire truss: 0: 2.8 kN 0 2.8 kN y y y F A A        2.8 kN y  A 0: (1.4 m) (2.8 kN)(0.75 m) 0 A M C     1.500 kN 1.500 kN C   C 0: 1.500 kN 0 x x F A     1.500 kN x A   1.500 kN x  A Free body: Joint C: 1.500 kN 1.25 1 0.75 BC AC F F   2.00 kN AC F T   2.50 kN BC F T   www.elsolucionario.org
  • 785.
    Copyright © McGraw-HillEducation. Permission required for reproduction or display. PROBLEM 6.2 (Continued) Free body: Joint A: 7.5 0: 1.500 kN 0 8.5 x AB F F           1.700 kN AB F T   www.elsolucionario.org
  • 786.
    Copyright © McGraw-HillEducation. Permission required for reproduction or display. PROBLEM 6.3 Using the method of joints, determine the force in each member of the truss shown. State whether each member is in tension or compression. SOLUTION Reactions: 0: 1260 lb A M    C 0: 0 x x F    A 0: 960 lb y y F    A Joint B: 300 lb 12 13 5 BC AB F F   720 lb AB F T   780 lb BC F C   Joint A: 4 0: 960 lb 0 5 y AC F F      1200 lb AC F  1200 lb AC F C   3 0: 720 lb (1200 lb) 0 (checks) 5 x F     www.elsolucionario.org
  • 787.
    Copyright © McGraw-HillEducation. Permission required for reproduction or display. PROBLEM 6.4 Using the method of joints, determine the force in each member of the truss shown. State whether each member is in tension or compression. SOLUTION Reactions: 0: (3 m) (24 kN 8 kN)(1.5 m) (7 kN)(3 m) 0 D y M F       23.0 kN y  F 0: 0 x x F    F 0: (7 24 8 7) 23 0 y F D         23.0 kN  D Joint A: 0: 0 x AB F F    0 AB F   0: 7 0 y AD F F      7 kN AD F   7.00 kN AD F C   Joint D: 8 0: 7 23.0 0 17 y BD F F       34.0 kN BD F   34.0 kN BD F C   www.elsolucionario.org
  • 788.
    Copyright © McGraw-HillEducation. Permission required for reproduction or display. PROBLEM 6.4 (Continued) 15 0: ( 34.0) 0 17 x DE F F      30.0 kN DE F   30.0 kN DE F T   Joint E: 0: 8 0 y BE F F     8.00 kN BE F   8.00 kN BE F T   Truss and loading symmetrical about c . L  www.elsolucionario.org
  • 789.
    Copyright © McGraw-HillEducation. Permission required for reproduction or display. PROBLEM 6.5 Using the method of joints, determine the force in each member of the truss shown. State whether each member is in tension or compression. SOLUTION Reactions: 0: (5 ft) (10 kips)(10 ft) (10 kips)(20 ft) 0 B x M A      60.0 kips x  A 0: 0 x x F A B     60 kips  B 0: 10 kips 10 kips 0 y y F A      20.0 kips y  A Joint D: 10 kips 1 4 17 DC DA F F   41.2 kips DA F T    40.0 kips DC F C   www.elsolucionario.org
  • 790.
    Copyright © McGraw-HillEducation. Permission required for reproduction or display. PROBLEM 6.5 (Continued) Joint C: 1 0: 10 kips 0 5 y CA F F     22.4 kips CA F  22.4 kips CA F T   2 0: (22.4 kips) 40 kips 0 5 x CB F F      60.0 kips CB F   60.0 kips CB F C   Joint B: 0: 0 y BA F F    0 BA F   www.elsolucionario.org
  • 791.
    Copyright © McGraw-HillEducation. Permission required for reproduction or display. PROBLEM 6.6 Using the method of joints, determine the force in each member of the truss shown. State whether each member is in tension or compression. SOLUTION Reactions:     2 2 6 m 3.2 m 6.80 m DE    4 0: (4.5 m) (24 kN)(12 m) 0 5 B AC M F           80.0 kN AC T  F    4 0: 80 kN 0 5 x x F B           64 kN x  B   3 0: 80 kN 24 kN 0 5 y y F B            24 kN y  B Joint E: 24 kN 6 6.8 3.2 CE DE F F   45.0 kN CE F T   51.0 kN DE F C   www.elsolucionario.org
  • 792.
    Copyright © McGraw-HillEducation. Permission required for reproduction or display. PROBLEM 6.6 (Continued) Joint D:   6 6 0: 51.0 kN 0 6.8 6.8 x BD F F                 51.0 kN BD F C   48.0 kN CD F T   Joint C:     4 0: 80 kN 45.0 kN 0 5 x BC F F             19.00 kN BC F C     3 0 : 80 kN 48.0 kN 0 (checks) 5 y F            www.elsolucionario.org
  • 793.
    Copyright © McGraw-HillEducation. Permission required for reproduction or display. PROBLEM 6.7 Using the method of joints, determine the force in each member of the truss shown. State whether each member is in tension or compression. SOLUTION 2 2 2 2 5 12 13 ft 12 16 20 ft AD BCD       Reactions: 0: 0 x x F D    0: (21ft) (693 lb)(5 ft) 0 E y M D     165 lb y  D 0: 165 lb 693 lb 0 y F E      528 lb  E Joint D: 5 4 0: 0 13 5 x AD DC F F F     (1) 12 3 0: 165 lb 0 13 5 y AD DC F F F      (2) Solving Eqs. (1) and (2) simultaneously, 260 lb AD F   260 lb AD F C   125 lb DC F   125.0 lb DC F T   www.elsolucionario.org
  • 794.
    Copyright © McGraw-HillEducation. Permission required for reproduction or display. PROBLEM 6.7 (Continued) Joint E: 5 4 0: 0 13 5 x BE CE F F F     (3) 12 3 0: 528 lb 0 13 5 y BE CE F F F      (4) Solving Eqs. (3) and (4) simultaneously, 832 lb BE F   832 lb BE F C   400 lb CE F   400 lb CE F T   Joint C: Force polygon is a parallelogram (see Fig. 6.11, p. 290). 400 lb AC F T   125.0 lb BC F T   Joint A: 5 4 0: (260 lb) (400 lb) 0 13 5 x AB F F      420 lb AB F   420 lb AB F C   12 3 0: (260 lb) (400 lb) 0 13 5 0 0 (Checks) y F      www.elsolucionario.org
  • 795.
    Copyright © McGraw-HillEducation. Permission required for reproduction or display. PROBLEM 6.8 Using the method of joints, determine the force in each member of the truss shown. State whether each member is in tension or compression. SOLUTION Free body: Entire truss: 0: 2(5 kN) 0 x x F C     10 kN 10 kN x x C    C  0: (2 m) (5 kN)(8 m) (5 kN)(4 m) 0 C M D      30 kN 30 kN D    D  0: 30 kN 0 30 kN 30 kN y y y y F C C        C  Free body: Joint A: 5 kN 4 1 17 AB AD F F   20.0 kN AB F T     20.6 kN AD F C   Free body: Joint B: 1 0: 5 kN 0 5 x BD F F     5 5 kN BD F   11.18 kN BD F C   2 0: 20 kN ( 5 5 kN) 0 5 y BC F F       30 kN BC F   30.0 kN BC F T   www.elsolucionario.org
  • 796.
    Copyright © McGraw-HillEducation. Permission required for reproduction or display. PROBLEM 6.8 (Continued) Free body: Joint C: 0: 10 kN 0 x CD F F     10 kN CD F   10.00 kN CD F T   0: 30 kN 30 kN 0 (checks) y F     www.elsolucionario.org
  • 797.
    Copyright © McGraw-HillEducation. Permission required for reproduction or display. PROBLEM 6.9 Determine the force in each member of the truss shown. State whether each member is in tension or compression. SOLUTION Reactions for Entire truss: By inspection: 4 kN 4 kN     A E Free body: Joint A: 4 kN sin30 AB F   (4 kN)(cot 30 ) AF F   8.00 kN AB F C     6.93 kN AF F T   Free body: Joint F: 0: x FG AF F F F    6.93 kN FG F T   0: 4.00 kN y FB F F T    4.00 kN FB F T    www.elsolucionario.org
  • 798.
    Copyright © McGraw-HillEducation. Permission required for reproduction or display. PROBLEM 6.9 (Continued) Free body: Joint B: 0: 8cos30 cos30 cos30 0 (1) x BC BG F F F         0 : 8sin 30 4 sin 30 sin30 0 (2) y BC BG F F F          Solving (1) and (2) simultaneously yields: 4.00 kN BC F C     4.00 kN BG F C    Free body: Joint C: By symmetry, 4.00 kN CD CB F F C    0 : 4sin 30 4sin 30 0 y CG F F        4.00 kN CG F T   By symmetry about the truss centerline, we note: 4.00 kN , 6.93 kN , 4.00 kN , 8.00 kN , 6.93 kN GD GH DH DE EH F C F T F T F C F T       www.elsolucionario.org
  • 799.
    Copyright © McGraw-HillEducation. Permission required for reproduction or display. PROBLEM 6.10 Determine the force in each member of the truss shown. State whether each member is in tension or compression. SOLUTION Free body: Entire truss: 0: 0 x x F    F 0: 5 kN F M    H 0: 0 y y F    F Free body: Joint C: 5.00 kN, F 5 2 7.07 kN CB CE F    5.00 kN CB F T     7.07 kN CE F C    By symmetry about the horizontal centerline: 5.00 kN , 7.07 kN HG HE F T F C    Joint E: Members lie in two intersecting straight lines, thus we have: 7.07 kN ; 7.07 kN EG EC EB EH F F C F F C      www.elsolucionario.org
  • 800.
    Copyright © McGraw-HillEducation. Permission required for reproduction or display. PROBLEM 6.10 (Continued) Free body: Joint B:   1 1 0: 7.07 0 2 2 y BD F F     7.07 kN BD F T     1 1 0: 5 (7.07) 7.07 0 2 2 x BA F F       5.00 kN BA F C   By symmetry about the horizontal centerline: 7.07 kN , 5.00 kN DG GF F T F C    Joint D: 7.07 kN DF DB DA DG F F F F T      Free body: Joint A: 5.00 kN AF F C   www.elsolucionario.org
  • 801.
    Copyright © McGraw-HillEducation. Permission required for reproduction or display. PROBLEM 6.11 Determine the force in each member of the Gambrel roof truss shown. State whether each member is in tension or compression. SOLUTION Free body: Truss: 0: 0 x x F    H Because of the symmetry of the truss and loading, 1 total load 2 y   A H 1200 lb y   A H Free body: Joint A: 900 lb 5 4 3 AC AB F F   1500 lb AB C  F  1200 lb AC T  F  Free body: Joint C: BC is a zero-force member. 0 BC  F 1200 lb CE F T   Free body: Joint B: 24 4 4 0: (1500 lb) 0 25 5 5 x BD BE F F F      or 24 20 30,000 lb BD BE F F    (1) 7 3 3 0: (1500) 600 0 25 5 5 y BD BE F F F       or 7 15 7,500 lb BD BE F F    (2) www.elsolucionario.org
  • 802.
    Copyright © McGraw-HillEducation. Permission required for reproduction or display. PROBLEM 6.11 (Continued) Multiply Eq. (1) by 3, Eq. (2) by 4, and add: 100 120,000 lb BD F   1200 lb BD F C   Multiply Eq. (1) by 7, Eq. (2) by –24, and add: 500 30,000 lb BE F   60.0 lb BE F C   Free body: Joint D: 24 24 0: (1200 lb) 0 25 25 x DF F F     1200 lb DF F   1200 lb DF F C   7 7 0: (1200 lb) ( 1200 lb) 600 lb 0 25 25 y DE F F        72.0 lb DE F  72.0 lb DE F T   Because of the symmetry of the truss and loading, we deduce that  EF BE F F 60.0 lb EF F C   EG CE F F  1200 lb EG F T   FG BC F F  0 FG F   FH AB F F  1500 lb FH F C   GH AC F F  1200 lb GH F T   www.elsolucionario.org
  • 803.
    Copyright © McGraw-HillEducation. Permission required for reproduction or display. PROBLEM 6.12 Determine the force in each member of the Howe roof truss shown. State whether each member is in tension or compression. SOLUTION Free body: Truss: 0: 0 x x F    H Because of the symmetry of the truss and loading, 1 total load 2 y A H   1200 lb y   A H Free body: Joint A: 900 lb 5 4 3 AC AB F F   1500 lb AB C  F  1200 lb AC T  F  Free body: Joint C: BC is a zero-force member. 0 BC  F 1200 lb CE T  F  www.elsolucionario.org
  • 804.
    Copyright © McGraw-HillEducation. Permission required for reproduction or display. PROBLEM 6.12 (Continued) Free body: Joint B: 4 4 4 0: (1500 lb) 0 5 5 5 x BD BC F F F      or 1500 lb BD BE F F    (1) 3 3 3 0: (1500 lb) 600 lb 0 5 5 5 y BD BE F F F       or 500 lb BD BE F F    (2) Add Eqs. (1) and (2): 2 2000 lb BD F   1000 lb BD F C   Subtract Eq. (2) from Eq. (1): 2 1000 lb BE F   500 lb BE F C   Free Body: Joint D: 4 4 0: (1000 lb) 0 5 5 x DF F F     1000 lb DF F   1000 lb DF F C   3 3 0: (1000 lb) ( 1000 lb) 600 lb 0 5 5 y DE F F        600 lb DE F   600 lb DE F T   Because of the symmetry of the truss and loading, we deduce that  EF BE F F 500 lb EF F C   EG CE F F  1200 lb EG F T   FG BC F F  0 FG F   FH AB F F  1500 lb FH F C   GH AC F F  1200 lb GH F T   www.elsolucionario.org
  • 805.
    Copyright © McGraw-HillEducation. Permission required for reproduction or display. PROBLEM 6.13 Using the method of joints, determine the force in each member of the roof truss shown. State whether each member is in tension or compression. SOLUTION Free body: Truss: 0: 0 x x F    A From symmetry of loading: 1 total load 2 y   A E 3.6 kN y   A E We note that DF is a zero-force member and that EF is aligned with the load. Thus, 0  DF F  1.2 kN EF F C   Free body: Joint A: 2.4 kN 13 12 5 AC AB F F   6.24 kN AB F C   2.76 kN AC F T   Free body: Joint B: 3 12 12 0: (6.24 kN) 0 3.905 13 13 x BC BD F F F      (1) 2.5 5 5 0: (6.24 kN) 2.4 kN 0 3.905 13 13 y BC BD F F F        (2) www.elsolucionario.org
  • 806.
    Copyright © McGraw-HillEducation. Permission required for reproduction or display. PROBLEM 6.13 (Continued) Multiply Eq. (1) by 2.5, Eq. (2) by 3, and add: 45 45 (6.24 kN) 7.2 kN 0, 4.16 kN, 13 13 BD BD F F      4.16 kN BD F C   Multiply Eq. (1) by 5, Eq. (2) by –12, and add: 45 28.8 kN 0, 2.50 kN, 3.905 BC BC F F     2.50 kN BC F C   Free body: Joint C: 5 2.5 0: (2.50 kN) 0 5.831 3.905 y CD F F     1.867 kN CD F T   3 3 0: 5.76 kN (2.50 kN) (1.867 kN) 0 3.905 5.831 x CE F F       2.88 kN CE F T  Free body: Joint E: 5 0: 3.6 kN 1.2 kN 0 7.81 y DE F F      3.75 kN DE F   3.75 kN DE F C   6 0: ( 3.75 kN) 0 7.81 x CE F F       2.88 kN 2.88 kN CE CE F F T    (Checks) www.elsolucionario.org
  • 807.
    Copyright © McGraw-HillEducation. Permission required for reproduction or display. PROBLEM 6.14 Determine the force in each member of the Fink roof truss shown. State whether each member is in tension or compression. SOLUTION Free body: Truss: 0: 0 x x F    A Because of the symmetry of the truss and loading, 1 total load 2 y   A G 6.00 kN y   A G Free body: Joint A: 4.50 kN 2.462 2.25 1 AC AB F F   11.08 kN AB F C   10.125 kN AC F  10.13 kN AC F T   Free body: Joint B: 3 2.25 2.25 0: (11.08 kN) 0 5 2.462 2.462 x BC BD F F F      (1) 4 11.08 kN 0: 3 kN 0 5 2.462 2.462 BD y BC F F F        (2) Multiply Eq. (2) by –2.25 and add to Eq. (1): 12 6.75 kN 0 2.8125 5 BC BC F F     2.81 kN BC F C   Multiply Eq. (1) by 4, Eq. (2) by 3, and add: 12 12 (11.08 kN) 9 kN 0 2.462 2.462 BD F    9.2335 kN BD F   9.23 kN BD F C   www.elsolucionario.org
  • 808.
    Copyright © McGraw-HillEducation. Permission required for reproduction or display. PROBLEM 6.14 (Continued) Free body: Joint C: 4 4 0: (2.8125 kN) 0 5 5 y CD F F     2.8125 kN, CD F  2.81 kN CD F T   3 3 0: 10.125 kN (2.8125 kN) (2.8125 kN) 0 5 5 x CE F F       6.7500 kN CE F   6.75 kN CE F T   Because of the symmetry of the truss and loading, we deduce that DE CD F F  2.81 kN CD F T   DF BD F F  9.23 kN DF F C   EF BC F F  2.81 kN EF F C   EG AC F F  10.13 kN EG F T   FG AB F F  11.08 kN FG F C   www.elsolucionario.org
  • 809.
    Copyright © McGraw-HillEducation. Permission required for reproduction or display. PROBLEM 6.15 Determine the force in each member of the Warren bridge truss shown. State whether each member is in tension or compression. SOLUTION Free body: Truss: 0: 0 x x F A    Due to symmetry of truss and loading, 1 total load 6 kips 2 y A G    Free body: Joint A: 6 kips 5 3 4 AC AB F F   7.50 kips AB F C   4.50 kips AC F T    Free body: Joint B: 7.5 kips 5 6 5 BC BD F F   7.50 kips BC F T   9.00 kips BD F C   Free body: Joint C: 4 4 0: (7.5) 6 0 5 5 y CD F F      0 CD F   3 0: 4.5 (7.5) 0 5 x CE F F      9 kips CE F   9.00 kips CE F T   Truss and loading is symmetrical about c . L www.elsolucionario.org
  • 810.
    Copyright © McGraw-HillEducation. Permission required for reproduction or display. PROBLEM 6.16 Solve Problem 6.15 assuming that the load applied at E has been removed. PROBLEM 6.15 Determine the force in each member of the Warren bridge truss shown. State whether each member is in tension or compression. SOLUTION Free body: Truss: 0: 0 x x F A    0: 6(36) (54) 0 4 kips G y y M A      A 0: 4 6 0 2 kips y F G       G Free body: Joint A: 4 kips 5 3 4 AC AB F F   5.00 kips AB F C   3.00 kips AC F T   Free body Joint B: 5 kips 5 6 5 BC BD F F   5.00 kips BC F T   6.00 kips BD F C   Free body Joint C: 4 4 0: (5) 6 0 5 5 y CD M F      2.50 kips CD F T   3 3 0: (2.5) (5) 3 0 5 5 x CE F F       4.50 kips CE F T   www.elsolucionario.org
  • 811.
    Copyright © McGraw-HillEducation. Permission required for reproduction or display. PROBLEM 6.16 (Continued) Free body: Joint D: 4 4 0: (2.5) 0 5 5 y DE F F      2.5 kips DE F   2.50 kips DE F C   3 3 0: 6 (2.5) (2.5) 0 5 5 x DF F F       3 kips DF F   3.00 kips DF F C   Free body: Joint F: 3 kips 5 5 6 FG EF F F   2.50 kips EF F T   2.50 kips FG F C    Free body: Joint G: 2 kips 3 4 EG F  1.500 kips EG F T   Also, 2 kips 5 4 FG F  2.50 kips (Checks) FG F C  www.elsolucionario.org
  • 812.
    Copyright © McGraw-HillEducation. Permission required for reproduction or display. PROBLEM 6.17 Determine the force in each member of the Pratt roof truss shown. State whether each member is in tension or compression. SOLUTION Free body: Truss: 0: 0 x x F A    Due to symmetry of truss and load, 1 total load 21kN 2 y A H    Free body: Joint A: 15.3 kN 37 35 12 AC AB F F   47.175 kN 44.625 kN AB AC F F   47.2 kN AB F C   44.6 kN AC F T   Free body: Joint B: From force polygon: 47.175 kN, 10.5 kN BD BC F F   10.50 kN BC F C   47.2 kN BD F C   www.elsolucionario.org
  • 813.
    Copyright © McGraw-HillEducation. Permission required for reproduction or display. PROBLEM 6.17 (Continued) Free body: Joint C: 3 0: 10.5 0 5 y CD F F     17.50 kN CD F T   4 0: (17.50) 44.625 0 5 x CE F F      30.625 kN CE F  30.6 kN CE F T   Free body: Joint E: DE is a zero-force member. 0 DE F   Truss and loading symmetrical about . c L www.elsolucionario.org
  • 814.
    Copyright © McGraw-HillEducation. Permission required for reproduction or display. PROBLEM 6.18 The truss shown is one of several supporting an advertising panel. Determine the force in each member of the truss for a wind load equivalent to the two forces shown. State whether each member is in tension or compression. SOLUTION Free body: Entire truss: 0: (800 N)(7.5 m) (800 N)(3.75 m) (2 m) 0 F M A      2250 N A   2250 N  A 0: 2250 N 0 y y F F     2250 N 2250 N y y F    F 0: 800 N 800 N 0 x x F F       1600 N 1600 N x x F    F Joint D: 800 N 8 15 17 DE BD F F   1700 N BD F C   1500 N DE F T   Joint A: 2250 N 15 17 8 AC AB F F   2250 N AB F C   1200 N AC F T   Joint F: 0: 1600 N 0 x CF F F     1600 N CF F   1600 N CF F T   0: 2250 N 0 y EF F F     2250 N EF F   2250 N EF F T   www.elsolucionario.org
  • 815.
    Copyright © McGraw-HillEducation. Permission required for reproduction or display. PROBLEM 6.18 (Continued) Joint C: 8 0: 1200 N 1600 N 0 17 x CE F F      850 N CE F   850 N CE F C   15 0: 0 17 y BC CE F F F     15 15 ( 850 N) 17 17 BC CE F F      750 N BC F   750 N BC F T   Joint E: 8 0: 800 N (850 N) 0 17 x BE F F       400 N BE F   400 N BE F C   15 0: 1500 N 2250 N (850 N) 0 17 0 0 (checks) y F       www.elsolucionario.org
  • 816.
    Copyright © McGraw-HillEducation. Permission required for reproduction or display. PROBLEM 6.19 Determine the force in each member of the Pratt bridge truss shown. State whether each member is in tension or compression. SOLUTION Free body: Truss: 0: 0 z x F    A 0: (36 ft) (4 kips)(9 ft) (4 kips)(18 ft) (4 kips)(27 ft) 0 A M H       6 kips  H 0: 6 kips 12 kips 0 6 kips y y y F A       A Free body: Joint A: 6 kips 5 3 4 AC AB F F   7.50 kips AB F C   4.50 kips AC F T   Free body: Joint C: 0: x F   4.50 kips CE F T   0: y F   4.00 kips BC F T   Free body: Joint B: 4 4 0: (7.50 kips) 4.00 kips 0 5 5 y BE F F        2.50 kips BE F T   8 3 0: (7.50 kips) (2.50 kips) 0 5 5 x BD F F       6.00 kips BD F   6.00 kips BD F C   www.elsolucionario.org
  • 817.
    Copyright © McGraw-HillEducation. Permission required for reproduction or display. PROBLEM 6.19 (Continued) Free body: Joint D: We note that DE is a zero-force member: 0 DE F   Also, 6.00 kips DF F C   From symmetry: FE BE F F  2.50 kips EF F T   EG CE F F  4.50 kips EG F T   FG BC F F  4.00 kips FG F T   FH AB F F  7.50 kips FH F C   GH AC F F  4.50 kips GH F T   www.elsolucionario.org
  • 818.
    Copyright © McGraw-HillEducation. Permission required for reproduction or display. PROBLEM 6.20 Solve Problem 6.19 assuming that the load applied at G has been removed. PROBLEM 6.19 Determine the force in each member of the Pratt bridge truss shown. State whether each member is in tension or compression. SOLUTION Free body: Truss: 0: 0 x x F    A 0: (36 ft) (4 kips)(9 ft) (4 kips)(18 ft) 0 A H      M 3.00 kips  H 0: 5.00 kips y y F    A We note that DE and FG are zero-force members. Therefore, 0, DE F  0 FG F   Also, BD DF F F  (1) and EG GH F F  (2) Free body: Joint A: 5 kips 5 3 4 AC AB F F   6.25 kips AB F C   3.75 kips AC F T    Free body: Joint C: 0: x F   3.75 kips CE F T   0: y F   4.00 kips BC F T   Free body: Joint B: 4 4 0: (6.25 kips) 4.00 kips 0 5 5 x BE F F      1.250 kips BE F T   3 3 0: (6.25 kips) (1.250 kips) 0 5 5 x BD F F       4.50 kips BD F   4.50 kips BD F C   www.elsolucionario.org
  • 819.
    Copyright © McGraw-HillEducation. Permission required for reproduction or display. PROBLEM 6.20 (Continued) Free body: Joint F: We recall that 0, FG F  and from Eq. (1) that DF BD F F  4.50 kips DF F C   4.50 kips 5 5 6 EF FH F F   3.75 kips EF F T   3.75 kips FH F C   Free body: Joint H: 3.00 kips 3 4 GH F  2.25 kips GH F T   Also, 3.00 kips 5 4 FH F  3.75 kips (checks) FH F C  From Eq. (2): EG GH F F  2.25 kips EG F T   www.elsolucionario.org
  • 820.
    Copyright © McGraw-HillEducation. Permission required for reproduction or display. PROBLEM 6.21 Determine the force in each of the members located to the left of FG for the scissors roof truss shown. State whether each member is in tension or compression. SOLUTION Free Body: Truss: 0: 0 x x F    A 0: (1kN)(12 m) (2 kN)(10 m) (2 kN)(8 m) (1kN)(6 m) (12 m) 0 L y M A        4.50 kN y  A We note that BC is a zero-force member: 0 BC F   Also, CE AC F F  (1) Free body: Joint A: 1 2 0: 0 2 5 x AB AC F F F     (2) 1 1 0: 3.50 kN 0 2 5 y AB AC F F F      (3) Multiply Eq. (3) by –2 and add Eq. (2): 1 7 kN 0 2 AB F    9.90 kN AB F C   www.elsolucionario.org
  • 821.
    Copyright © McGraw-HillEducation. Permission required for reproduction or display. PROBLEM 6.21 (Continued) Subtract Eq. (3) from Eq. (2): 1 3.50 kN 0 7.826 kN 5 AC AC F F    7.83 kN AC F T   From Eq. (1): 7.826 kN CE AC F F   7.83 kN CE F T   Free body: Joint B: 1 1 0: (9.90 kN) 2 kN 0 2 2 y BD F F      7.071 kN BD F   7.07 kN BD F C   1 0: (9.90 7.071) kN 0 2 x BE F F      2.000 kN BE F   2.00 kN BE F C   Free body: Joint E: 2 0: ( 7.826 kN) 2.00 kN 0 5 x EG F F      5.590 kN EG F  5.59 kN EG F T   1 0: (7.826 5.590) kN 0 5 y DE F F      1.000 kN DE F  1.000 kN DE F T   Free body: Joint D: 2 1 0: ( ) (7.071kN) 5 2 x DF DG F F F     or 5.590 kN DF DG F F    (4) 1 1 0: ( ) (7.071kN) 2 kN 1kN 0 5 2 y DF DG F F F        or 4.472 DE DG F F    (5) Add Eqs. (4) and (5): 2 10.062 kN DF F   5.03 kN DF F C   Subtract Eq. (5) from Eq. (4): 2 1.1180 kN DG F   0.559 kN DG F C   www.elsolucionario.org
  • 822.
    Copyright © McGraw-HillEducation. Permission required for reproduction or display. PROBLEM 6.22 Determine the force in member DE and in each of the members located to the left of DE for the inverted Howe roof truss shown. State whether each member is in tension or compression. SOLUTION Free body: Truss: 0: 0 x x F    A 0: (400 lb)(4 ) (800 lb)(3 ) (800 lb)(2 ) (800 lb) (4 ) 0 H y M d d d d A d        1600 lb y A  Angles: 6.72 tan 32.52 10.54 6.72 tan 16.26 23.04           Free body: Joint A: 1200 lb sin57.48 sin106.26 sin16.26 AC AB F F      3613.8 lb 4114.3 lb AB AC F C F T   3610 lb , 4110 lb AB AC F C F T    www.elsolucionario.org
  • 823.
    Copyright © McGraw-HillEducation. Permission required for reproduction or display. PROBLEM 6.22 (Continued) Free body: Joint B: 0: (800 lb)cos16.26 0 y BC F F       768.0 lb 768 lb BC BC F F C     0: 3613.8 lb (800 lb) sin16.26° 0 x BD F F      3837.8 lb BD F   3840 lb BD F C   Free body: Joint C: 0: sin32.52 (4114.3 lb)sin32.52 (768 lb)cos16.26 0 y CE F F          2742.9 lb CE F  2740 lb CE F T   0: (4114.3 lb) cos 32.52° (2742.9 lb)cos32.52° (768 lb)sin16.26 0 x CD F F        1371.4 lb CD F  1371 lb CD F T   Free body: Joint E: 2742.9 lb sin32.52 sin73.74° DE F   1536 lb DE F C   www.elsolucionario.org
  • 824.
    Copyright © McGraw-HillEducation. Permission required for reproduction or display. PROBLEM 6.23 Determine the force in each of the members located to the right of DE for the inverted Howe roof truss shown. State whether each member is in tension or compression. SOLUTION Free body: Truss 0: (4 ) (800 lb) (800 lb)(2 ) (800 lb)(3 ) (400 lb)(4 ) 0 A H d d d d d        M 1600 lb  H Angles: 6.72 tan 32.52 10.54 6.72 tan 16.26 23.04           Free body: Joint H: (1200 lb)cot16.26 GH F   4114.3 lb GH F T  4110 lb GH F T   1200 lb 4285.8 lb sin16.26 FH F    4290 lb FH F C   www.elsolucionario.org
  • 825.
    Copyright © McGraw-HillEducation. Permission required for reproduction or display. PROBLEM 6.23 (Continued) Free body Joint F: 0: (800 lb)cos16.26 0 y FG F F       768.0 lb FG F   768 lb FG F C   0: 4285.8 lb (800 lb) sin 16.26° 0 x DF F F       4061.8 lb DF F   4060 lb DF F C   Free body: Joint G: 0: sin32.52 (768.0 lb)cos16.26 0 1371.4 lb y DG DG F F F         1371lb DG F T    0: 4114.3 lb (768.0 lb)sin16.26 (1371.4 lb)cos32.52 0 x EG F F          2742.9 lb EG F   2740 lb EG F T   www.elsolucionario.org
  • 826.
    Copyright © McGraw-HillEducation. Permission required for reproduction or display. PROBLEM 6.24 The portion of truss shown represents the upper part of a power transmission line tower. For the given loading, determine the force in each of the members located above HJ. State whether each member is in tension or compression. SOLUTION Free body: Joint A: 1.2 kN 2.29 2.29 1.2 AC AB F F   2.29 kN AB F T   2.29 kN AC F C   Free body: Joint F: 1.2 kN 2.29 2.29 2.1   DF EF F F 2.29 kN DF F T   2.29 kN EF F C   Free body: Joint D: 2.29 kN 2.21 0.6 2.29 BD DE F F   2.21 kN BD F T   0.600 kN DE F C   Free body: Joint B: 4 2.21 0: 2.21kN (2.29 kN) 0 5 2.29 x BE F F      0 BE F   3 0.6 0: (0) (2.29 kN) 0 5 2.29 y BC F F       0.600 kN BC F   0.600 kN BC F C   www.elsolucionario.org
  • 827.
    Copyright © McGraw-HillEducation. Permission required for reproduction or display. PROBLEM 6.24 (Continued) Free body: Joint C: 2.21 0: (2.29 kN) 0 2.29 x CE F F     2.21 kN CE F   2.21 kN CE F C   0.6 0: 0.600 kN (2.29 kN) 0 2.29 y CH F F       1.200 kN CH F   1.200 kN CH F C   Free body: Joint E: 2.21 4 0: 2.21kN (2.29 kN) 0 2.29 5      x EH F F 0 EH F   0.6 0: 0.600 kN (2.29 kN) 0 0 2.29 y EJ F F        1.200 kN EJ F   1.200 kN EJ F C   www.elsolucionario.org
  • 828.
    Copyright © McGraw-HillEducation. Permission required for reproduction or display. PROBLEM 6.25 For the tower and loading of Problem 6.24 and knowing that FCH  FEJ  1.2 kN C and FEH  0, determine the force in member HJ and in each of the members located between HJ and NO. State whether each member is in tension or compression. PROBLEM 6.24 The portion of truss shown represents the upper part of a power transmission line tower. For the given loading, determine the force in each of the members located above HJ. State whether each member is in tension or compression. SOLUTION Free body: Joint G: 1.2 kN 3.03 3.03 1.2 GH GI F F   3.03 kN GH F T   3.03 kN GI F C   Free body: Joint L: 1.2 kN 3.03 3.03 1.2   JL KL F F 3.03 kN JL F T   3.03 kN KL F C   Free body: Joint J: 2.97 0: (3.03 kN) 0 3.03      x HJ F F 2.97 kN HJ F T   0.6 0: 1.2 kN (3.03 kN) 0 3.03 y JK F F      1.800 kN JK F   1.800 kN JK F C   Free body: Joint H: 4 2.97 0: 2.97 kN (3.03 kN) 0 5 3.03 x HK F F      0 HK F   0.6 3 0: 1.2 kN (3.03) kN (0) 0 3.03 5 y HI F F        1.800 kN HI F   1.800 kN HI F C   www.elsolucionario.org
  • 829.
    Copyright © McGraw-HillEducation. Permission required for reproduction or display. PROBLEM 6.25 (Continued) Free body: Joint I: 2.97 0: (3.03 kN) 0 3.03 x IK F F     2.97 kN IK F   2.97 kN IK F C   0.6 0: 1.800 kN (3.03 kN) 0 3.03 y IN F F       2.40 kN IN F   2.40 kN IN F C   Free body: Joint K: 4 2.97 0: 2.97 kN (3.03 kN) 0 5 3.03 x KN F F       0 KN F   0.6 3 0: (3.03 kN) 1.800 kN (0) 0 3.03 5 y KO F F        2.40 kN KO F   2.40 kN KO F C   www.elsolucionario.org
  • 830.
    Copyright © McGraw-HillEducation. Permission required for reproduction or display. PROBLEM 6.26 Solve Problem 6.24 assuming that the cables hanging from the right side of the tower have fallen to the ground. PROBLEM 6.24 The portion of truss shown represents the upper part of a power transmission line tower. For the given loading, determine the force in each of the members located above HJ. State whether each member is in tension or compression. SOLUTION Zero-Force Members: Considering joint F, we note that DF and EF are zero-force members: 0   DF EF F F  Considering next joint D, we note that BD and DE are zero-force members: 0 BD DE F F    Free body: Joint A: 1.2 kN 2.29 2.29 1.2 AC AB F F   2.29 kN AB F T   2.29 kN AC F C   Free body: Joint B: 4 2.21 0: (2.29 kN) 0 5 2.29     x BE F F 2.7625 kN BE F  2.76 kN BE F T   0.6 3 0: (2.29 kN) (2.7625 kN) 0 2.29 5 y BC F F       2.2575 kN BC F   2.26 kN BC F C   www.elsolucionario.org
  • 831.
    Copyright © McGraw-HillEducation. Permission required for reproduction or display. PROBLEM 6.26 (Continued) Free body: Joint C: 2.21 0: (2.29 kN) 0 2.29     x CE F F 2.21 kN CE F C   0.6 0: 2.2575 kN (2.29 kN) 0 2.29 y CH F F       2.8575 kN CH F   2.86 kN CH F C   Free body: Joint E: 4 4 0: (2.7625 kN) 2.21kN 0 5 5 x EH F F       0 EH F   3 3 0: (2.7625 kN) (0) 0 5 5 y EJ F F       1.6575 kN EJ F   1.658 kN EJ F T   www.elsolucionario.org
  • 832.
    Copyright © McGraw-HillEducation. Permission required for reproduction or display. PROBLEM 6.27 Determine the force in each member of the truss shown. State whether each member is in tension or compression. SOLUTION Reactions: 0: x F   0 x  E 0: F M   45 kips y  E 0: y F   60 kips  F Joint D: 15 kips 12 13 5 CD DH F F   36.0 kips CD F T   39.0 kips DH F C   Joint H: 0: F   0 CH F   0: F   39.0 kips GH F C   Joint C: 0: F   0 CG F   0: F   36.0 kips BC F T   Joint G: 0: F   0 BG F   0: F   39.0 kips FG F C   Joint B: 0: F   0 BF F   0: F   36.0 kips AB F T   www.elsolucionario.org
  • 833.
    Copyright © McGraw-HillEducation. Permission required for reproduction or display. PROBLEM 6.27 (Continued) Joint A: 2 2 12 15 19.21 ft AE    36 kips tan38.7 AF F   45.0 kips AF F C   36 kips sin38.7 AE F   57.6 kips AE F T   Joint E: 0: (57.6 kips)sin 38.7 0 x EF F F       36.0 kips EF F   36.0 kips EF F C   0: (57.6 kips)cos38.7 45 kips 0 y F      (Checks) www.elsolucionario.org
  • 834.
    Copyright © McGraw-HillEducation. Permission required for reproduction or display. PROBLEM 6.28 Determine the force in each member of the truss shown. State whether each member is in tension or compression. SOLUTION Free body: Truss 0: 0 x x F    H 0: 48(16) (4) 0 192 kN H M G      G 0: 192 48 0 y y F H      144 kN 144 kN y y H    H Zero-Force Members: Examining successively joints C, B, E, D, and F, we note that the following are zero-force members: BC, BE, DE, DG, FG Thus, 0 BC BE DE DG FG F F F F F      Also note: AB BD DF FH F F F F    (1) AC CE EG F F F   (2) Free body: Joint A: 48 kN 8 3 73 AC AB F F   128 kN AB F  128.0 kN AB F T   136.704 kN AC F  136.7 kN AC F C   From Eq. (1): 128.0 kN BD DF FH F F F T     From Eq. (2):   136.7kN CE EG F F C  www.elsolucionario.org
  • 835.
    Copyright © McGraw-HillEducation. Permission required for reproduction or display. PROBLEM 6.28 (Continued) Free body: Joint H 144 kN 9 145 GH F  192.7 kN GH F C   Also 144 kN 8 9 FH F  128.0 kN (Checks) FH F T   www.elsolucionario.org
  • 836.
    Copyright © McGraw-HillEducation. Permission required for reproduction or display. PROBLEM 6.29 Determine whether the trusses of Problems 6.31a, 6.32a, and 6.33a are simple trusses. SOLUTION Truss of Problem 6.31a: Starting with triangle HDI and adding two members at a time, we obtain successively joints A, E, J, and B, but cannot go further. Thus, this truss is not a simple truss.  Truss of Problem 6.32a: Starting with triangle ABC and adding two members at a time, we obtain joints D, E, G, F, and H, but cannot go further. Thus, this truss is not a simple truss.  Truss of Problem 6.33a: Starting with triangle ABD and adding two members at a time, we obtain successively joints H, G, F, E, I, C, and J, thus completing the truss. Therefore, this is a simple truss.  www.elsolucionario.org
  • 837.
    Copyright © McGraw-HillEducation. Permission required for reproduction or display. PROBLEM 6.30 Determine whether the trusses of Problems 6.31b, 6.32b, and 6.33b are simple trusses. SOLUTION Truss of Problem 6.31b: Starting with triangle CGM and adding two members at a time, we obtain successively joints B, L, F, A, K, J, then H, D, N, I, E, O, and P, thus completing the truss. Therefore, this truss is a simple truss.  Truss of Problem 6.32b: Starting with triangle ABC and adding two members at a time, we obtain successively joints E, D, F, G, and H, but cannot go further. Thus, this truss is not a simple truss.  Truss of Problem 6.33b: Starting with triangle GFH and adding two members at a time, we obtain successively joints D, E, C, A, and B, thus completing the truss. Therefore, this is a simple truss.  www.elsolucionario.org
  • 838.
    Copyright © McGraw-HillEducation. Permission required for reproduction or display. PROBLEM 6.31 For the given loading, determine the zero-force members in each of the two trusses shown. SOLUTION Truss (a): : Joint : 0  BC FB B F : Joint : 0  CD FB C F : Joint : 0  IJ FB J F : Joint : 0  IL FB I F : Joint : 0  MN FB N F : Joint : 0  LM FB M F The zero-force members, therefore, are , , , , , BC CD IJ IL LM MN  Truss (b): : Joint : 0  BC FB C F : Joint : 0  BE FB B F : Joint : 0  FG FB G F : Joint : 0  EF FB F F : Joint : 0  DE FB E F : Joint : 0  IJ FB I F : Joint : 0  MN FB M F : Joint : 0  KN FB N F The zero-force members, therefore, are , , , , , , , BC BE DE EF FG IJ KN MN  (a) (b) www.elsolucionario.org
  • 839.
    Copyright © McGraw-HillEducation. Permission required for reproduction or display. PROBLEM 6.32 For the given loading, determine the zero-force members in each of the two trusses shown. SOLUTION Truss (a): : Joint : 0  BJ FB B F : Joint : 0  DI FB D F : Joint : 0  EI FB E F : Joint : 0  AI FB I F : Joint : 0  FK FB F F : Joint : 0  GK FB G F : Joint : 0  CK FB K F The zero-force members, therefore, are , , , , , , AI BJ CK DI EI FK GK  Truss (b): : Joint : 0  FK FB K F : Joint : FB O 0 IO F  The zero-force members, therefore, are and FK IO  All other members are either in tension or compression. (b) (a) www.elsolucionario.org
  • 840.
    Copyright © McGraw-HillEducation. Permission required for reproduction or display. PROBLEM 6.33 For the given loading, determine the zero-force members in each of the two trusses shown. SOLUTION Truss (a): Note: Reaction at F is vertical ( 0). x F  Joint : G 0, F   0 DG F   Joint : D 0, F   0 DB F   Joint : F 0, F   0 FG F   Joint : G 0, F   0 GH F   Joint : J 0, F   0 IJ F   Joint : I 0, F   0 HI F   Truss (b): Joint : A 0, F   0 AC F   Joint : C 0, F   0 CE F   Joint : E 0, F   0 EF F   Joint : F 0, F   0 FG F   Joint : G 0, F   0 GH F   www.elsolucionario.org
  • 841.
    Copyright © McGraw-HillEducation. Permission required for reproduction or display. PROBLEM 6.34 Determine the zero-force members in the truss of (a) Problem 6.21, (b) Problem 6.27. SOLUTION (a) Truss of Problem 6.21: : Joint : 0 BC FB C F  : Joint : 0 IJ FB J F  : Joint : 0 JK FB K F  : Joint : 0 HI FB I F  The zero-force members, therefore, are , , , BC HI IJ JK  (b) Truss of Problem 6.27: : Joint : 0 BF FB B F  : Joint : 0 BG FB B F  : Joint : 0 CG FB C F  : Joint : 0 CH FB C F  The zero-force members, therefore, are , , , BF BG CG CH  www.elsolucionario.org
  • 842.
    Copyright © McGraw-HillEducation. Permission required for reproduction or display. PROBLEM 6.35* The truss shown consists of six members and is supported by a short link at A, two short links at B, and a ball and socket at D. Determine the force in each of the members for the given loading. SOLUTION Free body: Truss: From symmetry: and   x x y y D B D B 0: (10 ft) (400 lb)(24 ft) 0 z M A      960 lb A   0: 0 x x x F B D A      2 960 lb 0, 480 lb x x B B    0: 400 lb 0 y y y F B D      2 400 lb 200 lb y y B B    Thus, (480 lb) (200 lb)   B i j  Free body: C: ( 24 10 ) 26 ( 24 7 ) 25 ( 24 7 ) 25 AC CA AC BC CB BC CD CD CD F CA F F CA F CB F F CB F CD F F CD             i j i k i k       0: (400 lb) 0 CA CB CD       F F F F j PROBLEM 6.35* (Continued) www.elsolucionario.org
  • 843.
    Copyright © McGraw-HillEducation. Permission required for reproduction or display. Substituting for , , , CA CB CD F F F and equating to zero the coefficients of , , : i j k i: 24 24 ( ) 0 26 25     AC BC CD F F F (1) j: 10 400 lb 0 26 AC F   1040 lb AC F T   k: 7 ( ) 0 25 BC CD CD BC F F F F    Substitute for AC F and CD F in Eq. (1): 24 24 (10.40 lb) (2 ) 0 500lb 26 25 BC BC F F      500 lb BC CD F F C    Free body: B: (500 lb) (480 lb) (140 lb) (10 7 ) 12.21 BC AB BA AB BD BD CB F CB F BA F F BA F F          i k j k k     0: (480 lb) (200 lb) 0 BA BD BC        F F F F i j Substituting for , , BA BD BC F F F and equating to zero the coefficients of j and k: j: 10 200 lb 0 244.2 lb 12.21     AB AB F F 244 lb AB F C   k: 7 140 lb 0 12.21 AB BD F F     7 ( 244.2 lb) 140 lb 280 lb 12.21 BD F       280 lb BD F T   From symmetry: AD AB F F  244 lb AD F C   www.elsolucionario.org
  • 844.
    Copyright © McGraw-HillEducation. Permission required for reproduction or display. PROBLEM 6.36* The truss shown consists of six members and is supported by a ball and socket at B, a short link at C, and two short links at D. Determine the force in each of the members for P  (2184 N)j and Q  0. SOLUTION Free body: Truss: From symmetry: and x x y y D B D B   0: 2 0 x x F B    0 x x B D   0: 0 z z F B    0: 2 (2.8 m) (2184 N)(2 m) 0 c z y M B      780 N y B  Thus, (780 N)  B j  Free body: A: ( 0.8 4.8 2.1 ) 5.30 (2 4.8 ) 5.20 ( 0.8 4.8 2.1 ) 5.30 AB AB AB AC AC AC AD AD AD F AB F F AB F AC F F AC F AD F F AD              i j k i j i j k     0: (2184 N) 0 AB AC AD       F F F F j www.elsolucionario.org
  • 845.
    Copyright © McGraw-HillEducation. Permission required for reproduction or display. PROBLEM 6.36* (Continued) Substituting for , , , AB AC AD F F F and equating to zero the coefficients of , , : i j k i: 0.8 2 ( ) 0 5.30 5.20 AB AD AC F F F     (1) j: 4.8 4.8 ( ) 2184 N 0 5.30 5.20 AB AD AC F F F      (2) k: 2.1 ( ) 0 5.30 AB AD F F   AD AB F F  Multiply Eq. (1) by –6 and add Eq. (2): 16.8 2184 N 0, 676 N 5.20 AC AC F F            676 N AC F C   Substitute for AC F and AD F in Eq. (1): 0.8 2 2 ( 676 N) 0, 861.25 N 5.30 5.20                   AB AB F F 861 N AB AD F F C    Free body: B: (861.25 N) (130 N) (780 N) (341.25 N) 2.8 2.1 (0.8 0.6 ) 3.5 AB BC BC BC BD BD AB AB F F F                  F i j k i k F i k F k   0: (780 N) 0 AB BC BD       F F F F j Substituting for , , AB BC BD F F F and equating to zero the coefficients of i and , k i: 130 N 0.8 0 162.5 N BC BC F F      162.5 N BC F T   k: 341.25 N 0.6 0 BC BD F F    341.25 0.6(162.5) 243.75 N     BD F 244 N BD F T   From symmetry: CD BC F F  162.5 N CD F T   www.elsolucionario.org
  • 846.
    Copyright © McGraw-HillEducation. Permission required for reproduction or display. PROBLEM 6.37* The truss shown consists of six members and is supported by a ball and socket at B, a short link at C, and two short links at D. Determine the force in each of the members for P  0 and Q  (2968 N)i. SOLUTION Free body: Truss: From symmetry: and x x y y D B D B   0: 2 2968 N 0 x x F B     1484 N x x B D    0: 2 (2.8 m) (2968 N)(4.8 m) 0 cz y M B       2544 N y B   Thus, (1484 N) (2544 N)    B i j  Free body: A: ( 0.8 4.8 2.1 ) 5.30 (2 4.8 ) 5.20 ( 0.8 4.8 2.1 ) 5.30 AB AB AB AC AC AC AD AD AD AB F F AB F F AC F F AC AD F F AD F              i j k i j i j k     0: (2968 N) 0 AB AC AD       F F F F i www.elsolucionario.org
  • 847.
    Copyright © McGraw-HillEducation. Permission required for reproduction or display. PROBLEM 6.37* (Continued) Substituting for , , , AB AC AD F F F and equating to zero the coefficients of , , , i j k i: 0.8 2 ( ) 2968 N 0 5.30 5.20 AB AD AC F F F      (1) j: 4.8 4.8 ( ) 0 5.30 5.20 AB AD AC F F F     (2) k: 2.1 ( ) 0 5.30 AB AD F F   AD AB F F  Multiply Eq. (1) by –6 and add Eq. (2): 16.8 6(2968 N) 0, 5512 N 5.20 AC AC F F            5510 N AC F C   Substitute for AC F and AD F in Eq. (2): 4.8 4.8 2 ( 5512 N) 0, 2809 N 5.30 5.20 AB AB F F                   2810 N AB AD F F T    Free body: B: (2809 N) (424 N) (2544 N) (1113 N) 2.8 2.1 (0.8 0.6 ) 3.5 AB BC BC BC BD BD BA BA F F F                 F i j k i k F i k F k   0: (1484 N) (2544 N) 0 AB BC BD        F F F F i j Substituting for , , AB BC BD F F F and equating to zero the coefficients of i and , k i: 24 N 0.8 1484 N 0, 1325 N BC BC F F       1325 N BC F T   k: 1113 N 0.6 0 BC BD F F     1113 N 0.6(1325 N) 1908 N, BD F      1908 N BD F C   From symmetry: CD BC F F  1325 N CD F T   www.elsolucionario.org
  • 848.
    Copyright © McGraw-HillEducation. Permission required for reproduction or display. PROBLEM 6.38* The truss shown consists of nine members and is supported by a ball and socket at A, two short links at B, and a short link at C. Determine the force in each of the members for the given loading. SOLUTION Free body: Truss: From symmetry: 0 z z A B   0: 0 x x F A    0: (6 ft) (1600 lb)(7.5 ft) 0 BC y M A     2000 lb y A   (2000 lb)   A j  From symmetry: y B C  0: 2 2000 lb 1600 lb 0 y y F B      1800 lb y B  (1800 lb)  B j  Free body: A: 0: (2000 lb) 0 AB AC AD       F F F F j (0.6 0.8 ) (2000 lb) 0 2 2        i k i k i j j AB AC AD F F F Factoring i, j, k and equating their coefficient to zero, 1 1 0.6 0 2 2 AB AC AD F F F    (1) 0.8 2000 lb 0 AD F   2500 lb AD F T   1 1 0 2 2 AB AC F F   AC AB F F  www.elsolucionario.org
  • 849.
    Copyright © McGraw-HillEducation. Permission required for reproduction or display. PROBLEM 6.38* (Continued) Substitute for AD F and AC F into Eq. (1): 2 0.6(2500 lb) 0, 1060.7 lb, 2 AB AB F     F 1061lb AB AC F F C    Free body: B: (1060.7 lb) (750 lb)( ) 2 (0.8 0.6 ) (7.5 8 6 ) 12.5 BA AB BC BC BD BD BE BE BE BA F BA F F F BE F BE               i k F i k F k F j k F i j k     0: (1800 lb) 0 BA BC BD BE        F F F F F j Substituting for , , , and BA BC BD BE F F F F and equating to zero the coefficients of , , , i j k i: 7.5 750 lb 0, 1250 lb 12.5 BE BE F F           1250 lb BE F C   j: 8 0.8 ( 1250 lb) 1800 lb 0 12.5 BD F           1250 lb BD F C   k: 6 750 lb 0.6( 1250 lb) ( 1250 lb) 0 12.5 BC F       2100 lb BC F T   From symmetry: 1250 lb BD CD F F C    Free body: D: 0: 0 DA DB DC DE       F F F F F i We now substitute for , , DA DB DC F F F and equate to zero the coefficient of i. Only DA F contains i and its coefficient is 0.6 0.6(2500 lb) 1500 lb AD F      i: 1500 lb 0 DE F    1500 lb DE F T   www.elsolucionario.org
  • 850.
    Copyright © McGraw-HillEducation. Permission required for reproduction or display. PROBLEM 6.39* The truss shown consists of nine members and is supported by a ball and socket at B, a short link at C, and two short links at D. (a) Check that this truss is a simple truss, that it is completely constrained, and that the reactions at its supports are statically determinate. (b) Determine the force in each member for P  (1200 N)j and Q  0. SOLUTION Free body: Truss: 0: 1.8 (1.8 3 ) ( ) B y C D D        M i j i k j k (0.6 0.75 ) ( 1200 ) 0      i k j 1.8 1.8 1.8 y z C D D    k k j 3 720 900 0 y D     i k i Equate to zero the coefficients of , , : i j k i: 3 900 0, 300 N y y D D    j: 0,  z D (300 N)  D j  k: 1.8 1.8(300) 720 0 C    (100 N)  C j  0: 300 100 1200 0       F B j j j (800 N)  B j  Free body: B: 0: (800 N) 0, BA BC BE       F F F F j with (0.6 3 0.75 ) 3.15 AB BA AB F BA BA     F F i j k   BC BC F  F i BE BE F   F k Substitute and equate to zero the coefficient of , , : j i k j: 3 800 N 0, 840 N, 3.315 AB AB F F           840 N AB F C   i: 0.6 ( 840 N) 0 3.15 BC F          160.0 N  BC F T  k: 0.75 ( 840 N) 0 3.15 BE F           200 N BE F T   www.elsolucionario.org
  • 851.
    Copyright © McGraw-HillEducation. Permission required for reproduction or display. PROBLEM 6.39* (Continued) Free body: C: 0: (100 N) 0, CA CB CD CE        F F F F F j with ( 1.2 3 0.75 ) 3.317 AC CA AC F CA F CA      F i j k   (160 N) CB F   i ( 1.8 3 ) 3,499 CE CD CD CE CE F CE F CE       F k F F i k   Substitute and equate to zero the coefficient of , , : j i k j: 3 100 N 0, 110.57 N 3.317 AC AC F F           110.6 N AC F C   i: 1.2 1.8 ( 110.57) 160 0, 233.3 3.317 3.499 CE CE F F        233 N CE F C   k: 0.75 3 ( 110.57) ( 233.3) 0 3.317 3.499 CD F       225 N CD F T   Free body: D: 0: (300 N) 0, DA DC DE       F F F F j with ( 1.2 3 2.25 ) 3.937 AD DA AD F DA F DA      F i j k   (225 N) DC CD F   F k k DE DE F F   i Substitute and equate to zero the coefficient of , , : j i k j: 3 300 N 0, 3.937 AD F         393.7 N, AD F   394 N AD F C   i: 1.2 ( 393.7 N) 0 3.937 DE F           120.0 N DE F T   k: 2.25 ( 393.7 N) 225 N 0 3.937          (Checks) Free body: E: Member AE is the only member at E which does not lie in the xz plane. Therefore, it is a zero-force member. 0 AE F   www.elsolucionario.org
  • 852.
    Copyright © McGraw-HillEducation. Permission required for reproduction or display. PROBLEM 6.40* Solve Problem 6.39 for P  0 and Q  (900 N)k. PROBLEM 6.39* The truss shown consists of nine members and is supported by a ball and socket at B, a short link at C, and two short links at D. (a) Check that this truss is a simple truss, that it is completely constrained, and that the reactions at its supports are statically determinate. (b) Determine the force in each member for P  (1200 N)j and Q  0. SOLUTION Free body: Truss: 0: 1.8 (1.8 3 ) ( ) B y z C D D        M i j i k j k (0.6 3 0.75 ) ( 900N) 0       i j k k 1.8 1.8 1.8 y z C D D   k k j 3 540 2700 0 y D     i j i Equate to zero the coefficient of , , : i j k 3 2700 0 900 N y y D D    1.8 540 0 300 N z z D D     1.8 1.8 0 900 N y y C D C D       Thus, (900 N) (900 N) (300 N)     C j D j k  0: 900 900 300 900 0        F B j j k k (600 N)  B k  Free body: B: Since B is aligned with member BE, 0, AB BC F F   600 N BE F T   Free body: C:  0: (900 N) 0, CA CD CE       F F F F j with www.elsolucionario.org
  • 853.
    Copyright © McGraw-HillEducation. Permission required for reproduction or display. PROBLEM 6.40* (Continued)  ( 1.2 3 0.75 ) 3.317 AC CA AC F CA F CA      F i j k    ( 1.8 3 ) 3.499 CE CD CD CE CE F CE F F CE       F k F i k   Substitute and equate to zero the coefficient of , , : j i k j: 3 900 N 0, 3.317 AC F         995.1 N AC F  995 N AC F T   i: 1.2 1.8 (995.1) 0, 699.8 N 3.317 3.499 CE CE F F      700 N CE F C   k: 0.75 3 (995.1) ( 699.8) 0 3.317 3.499 CD F      375 N CD F T   Free body: D: 0: (375N) +(900 N) (300 N) 0 DA DE       F F F k j k with ( 1.2 3 2.25 ) 3.937 AD DA AD F DA DA      F F i j k   and DE DE F F   i Substitute and equate to zero the coefficient , , : j i k j: 3 900 N 0, 1181.1 N 3.937 AD AD F F           1181 N AD F C   i: 1.2 ( 1181.1 N) 0 3.937 DE F           360 N DE F T   k: 2.25 ( 1181.1 N 375 N 300 N 0) 3.937           (Checks) Free body: E: Member AE is the only member at E which does not lie in the xz plane. Therefore, it is a zero-force member. 0 AE F   www.elsolucionario.org
  • 854.
    Copyright © McGraw-HillEducation. Permission required for reproduction or display. PROBLEM 6.41* The truss shown consists of 18 members and is supported by a ball and socket at A, two short links at B, and one short link at G. (a) Check that this truss is a simple truss, that it is completely constrained, and that the reactions at its supports are statically determinate. (b) For the given loading, determine the force in each of the six members joined at E. SOLUTION (a) Check simple truss. (1) Start with tetrahedron BEFG. (2) Add members BD, ED, GD joining at D. (3) Add members BA, DA, EA joining at A. (4) Add members DH, EH, GH joining at H. (5) Add members BC, DC, GC joining at C. Truss has been completed: It is a simple truss. Free body: Truss: Check constraints and reactions. Six unknown reactions—ok; however, supports at A and B constrain truss to rotate about AB and support at G prevents such a rotation. Thus, Truss is completely constrained and reactions are statically determinate. Determination of reactions: 0: 11 ( ) (11 9.6 ) (10.08 9.6 ) (275 240 ) 0 A y z B B G             M i j k i k j j k i k 11 11 11 9.6 (10.08)(275) (10.08)(240) (9.6)(275) 0 y y B B G G        k j k i k i j Equate to zero the coefficient of i, j, k: : 9.6 (10.08)(240) 0 252 lb     i G G ( 252 lb)   G j  : 11 (9.6)(275) 0 240 lb      j z z B B : 11 11( 252) (10.08)(275) 0, 504 lb y y B B      k (504 lb) (240 lb)   B j k  www.elsolucionario.org
  • 855.
    Copyright © McGraw-HillEducation. Permission required for reproduction or display. PROBLEM 6.41* (Continued) 0: (504 lb) (240 lb) (252 lb) (275 lb) (240 lb) 0         F A j k j i k (275 lb) (252 lb)    A i j  Zero-force members. The determination of these members will facilitate our solution. FB: C: Writing 0, 0, 0 x y z F F F       yields 0 BC CD CG F F F     FB: F: Writing 0, 0, 0 x y z F F F       yields 0 BF EF FG F F F     FB: A: Since 0, z A  writing 0 z F   yields 0 AD F   FB: H: Writing 0 y F   yields 0 DH F   FB: D: Since 0, AD CD DH F F F    we need consider only members DB, DE, and DG. Since DE F is the only force not contained in plane BDG, it must be zero. Simple reasonings show that the other two forces are also zero. 0 BD DE DG F F F     The results obtained for the reactions at the supports and for the zero-force members are shown on the figure below. Zero-force members are indicated by a zero (“0”). (b) Force in each of the members joined at E. We already found that 0   DE EF F F  Free body: A: 0 y F   yields 252 lb AE F T   Free body: H: 0 z F   yields 240 lb EH F C   www.elsolucionario.org
  • 856.
    Copyright © McGraw-HillEducation. Permission required for reproduction or display. PROBLEM 6.41* (Continued) Free body: E: 0: (240 lb) (252 lb) 0 EB EG       F F F k j (11 10.08 ) (11 9.6 ) 240 252 0 14.92 14.6 EG BE F F       i j i k k j Equate to zero the coefficient of y and k: 10.08 : 252 0 14.92 BE F          j 373 lb BE F C   : k 9.6 240 0 14.6 EG F          365 lb EG F T   www.elsolucionario.org
  • 857.
    Copyright © McGraw-HillEducation. Permission required for reproduction or display. PROBLEM 6.42* The truss shown consists of 18 members and is supported by a ball and socket at A, two short links at B, and one short link at G. (a) Check that this truss is a simple truss, that it is completely constrained, and that the reactions at its supports are statically determinate. (b) For the given loading, determine the force in each of the six members joined at G. SOLUTION See solution to Problem 6.41 for part (a) and for reactions and zero-force members. (b) Force in each of the members joined at G. We already know that 0 CG DG FG F F F     Free body: H: 0 x F   yields 275 lb GH F C   Free body: G: 0: (275 lb) (252 lb) 0 GB GE       F F F i j ( 10.08 9.6 ) ( 11 9.6 ) 275 252 0 13.92 14.6         BG EG F F j k i k i j Equate to zero the coefficient of i, j, k: 11 : 275 0 14.6 EG F          i 365 lb EG F T   10.08 : 252 0 13.92 BG F          j 348 lb BG F C   9.6 9.6 : ( 348) (365) 0 13.92 14.6                k (Checks) www.elsolucionario.org
  • 858.
    Copyright © McGraw-HillEducation. Permission required for reproduction or display. PROBLEM 6.43 A Mansard roof truss is loaded as shown. Determine the force in members DF, DG, and EG. SOLUTION Reactions: Because of the symmetry of the truss and loadings,   1 0, (1.2 kN) 5 3 kN 2 x y A A L     We pass a section through DF, DG, and EG and use the free body shown: Member DF:         0: (1.2 kN) 8 m 1.2 kN 4 m 3 kN 10.25 m (3 m) 0 G DF M F       5.45 kN DF F   5.45 kN DF F C   Member DG: 3 0: 3 kN 1.2 kN 1.2 kN 0 5 y DG F F             1.000 kN DG F  1.000 kN DG F T   Member EG:    0: 1.2 kN 4 m (3 m) (3 kN)(6.25 m) 0 D EG M F      4.65 kN EG F T   www.elsolucionario.org
  • 859.
    Copyright © McGraw-HillEducation. Permission required for reproduction or display. PROBLEM 6.44 A Mansard roof truss is loaded as shown. Determine the force in members GI, HI, and HJ. SOLUTION Reactions: Because of the symmetry of the truss and loadings,   1 0, (1.2 kN) 5 3 kN 2 x y A A L     We pass a section through GI, HI, and HJ and use the free body shown: Member DF:       0: 3 kN 6.25 m 1.2 kN 4 m (3 m) 0 H GI M F      4.65 kN GI F  4.65 kN GI F T   Member HI: 0: 3 kN 1.2 kN 0 y HI F F      1.800 kN HI F   1.800 kN HI F C   Member HJ:    0: 3 kN 6.25 m (3 m) (1.2 kN)(4 m) 0 I HJ M F      4.65 kN HJ F   4.65 kN HJ F C   Check 0 : 4.65 4.65 0 o.k. x     F www.elsolucionario.org
  • 860.
    Copyright © McGraw-HillEducation. Permission required for reproduction or display. PROBLEM 6.45 Determine the force in members BD and CD of the truss shown. SOLUTION Reactions from Free body of entire truss: 27 kips y   A A  45 kips  H  We pass a section through members BD, CD, and CE and use the free body shown. 0: (7.5 ft) (27 kips)(10 ft) 0 C BD M F      36.0 kips BD F   36.0 kips BD F C   3 0: 27 kips+ 0 5 y CD F F          45.0 kips CD F   45.0 kips CD F C   www.elsolucionario.org
  • 861.
    Copyright © McGraw-HillEducation. Permission required for reproduction or display. PROBLEM 6.46 Determine the force in members DF and DG of the truss shown. SOLUTION Reactions from Free body of entire truss: 27 kips y   A A  45 kips  H  We pass a section through members DF, DG, and EG and use the free body shown. 0: (7.5 ft) (45 kips)(10 ft) 0 G FD M F     60.0 kips FD F   60.0 kips FD F C   3 0: 45 kips+ 36 kips 0 5 y GD F F           15.00 kips GD F   15.00 kips GD F C   www.elsolucionario.org
  • 862.
    Copyright © McGraw-HillEducation. Permission required for reproduction or display. PROBLEM 6.47 Determine the force in members CD and DF of the truss shown. SOLUTION Reactions: 0: (12 kN)(4.8 m) (12 kN)(2.4 m) (9.6 m) 0 J M B      9.00 kN B  0: 9.00 kN 12.00 kN 12.00 kN 0 y F J       15.00 kN J  Member CD: 0: 9.00 kN 0 y CD F F     9.00 kN CD F C   Member DF: 0: (1.8 m) (9.00 kN)(2.4 m) 0 C DF M F     12.00 kN DF F T   www.elsolucionario.org
  • 863.
    Copyright © McGraw-HillEducation. Permission required for reproduction or display. PROBLEM 6.48 Determine the force in members FG and FH of the truss shown. SOLUTION Reactions: 0: (12 kN)(4.8 m) (12 kN)(2.4 m) (9.6 m) 0 J M B      9.00 kN B  0: 9.00 kN 12.00 kN 12.00 kN 0 y F J       15.00 kN J  Member FG: 3 0: 12.00 kN 15.00 kN 0 5 y FG F F       5.00 kN FG F T   Member FH: 0: (15.00 kN)(2.4 m) (1.8 m) 0 G FH M F     20.0 kN FH F T   www.elsolucionario.org
  • 864.
    Copyright © McGraw-HillEducation. Permission required for reproduction or display. PROBLEM 6.49 Determine the force in members CD and DF of the truss shown. SOLUTION 5 tan 22.62 12      5 12 sin cos 13 13     Member CD: 0: (9 m) (10 kN)(9 m) (10 kN)(6 m) (10 kN)(3 m) 0 I CD M F       20 kN CD F   20.0 kN CD F C   Member DF: 0: ( cos )(3.75 m) (10 kN)(3 m) (10 kN)(6 m) (10 kN)(9 m) 0 C DF M F        cos 48 kN DF F    12 48 kN 52.0 kN 13 DF DF F F           52.0 kN DF F C   www.elsolucionario.org
  • 865.
    Copyright © McGraw-HillEducation. Permission required for reproduction or display. PROBLEM 6.50 Determine the force in members CE and EF of the truss shown. SOLUTION Member CE: 0: (2.5 m) (10 kN)(3 m) (10 kN)(6 m) 0 F CE M F      36 kN CE F   36.0 kN CE F T   Member EF: 0: (6 m) (10 kN)(6 m) (10 kN)(3 m) 0 I EF M F      15 kN EF F   15.00 kN EF F C   www.elsolucionario.org
  • 866.
    Copyright © McGraw-HillEducation. Permission required for reproduction or display. PROBLEM 6.51 Determine the force in members DE and DF of the truss shown when P  20 kips. SOLUTION Reactions: 2.5P   C K 7.5 tan 18 22.62      Member DE: 0: (2.5 )(6 ft) (12 ft) 0 A DE M P F     1.25 DE F P   For 20 kips, P  1.25(20) 25 kips DE F     25.0 kips DE F T   Member DF: 0: (12 ft) (2.5 )(6 ft) cos (5 ft) 0 E DF M P P F       12 15 cos22.62 (5 ft) 0 DF P P F     0.65 DF F P   For 20 kips, P  0.65(20) 13 kips DF F     13.00 kips DF F C   www.elsolucionario.org
  • 867.
    Copyright © McGraw-HillEducation. Permission required for reproduction or display. PROBLEM 6.52 Determine the force in members EG and EF of the truss shown when P  20 kips. SOLUTION Reactions: 2.5 7.5 tan 6 51.34 P        C K Member EG: 0: (18 ft) 2.5 (12 ft) (6 ft) (7.5 ft) 0 F EG M P P P F       0.8 ; EG F P   For 20 kips, P  0.8(20) 16 kips EG F    16.00 kips EG F T   Member EF: 0: 2.5 (6 ft) (12 ft) sin 51.34 (12 ft) 0 A EF M P P F       0.320 ; EF F P   For 20 kips, P  0.320(20) 6.4 kips EF F     6.40 kips EF F C   www.elsolucionario.org
  • 868.
    Copyright © McGraw-HillEducation. Permission required for reproduction or display. PROBLEM 6.53 Determine the force in members DF and DE of the truss shown. SOLUTION 1 1 tan 7.1 8            Member CE: 0: (1.75 m) (30 kN)(4 m) (20 kN)(2 m) 0 F DF M F       91.4 kN DF F   91.4 kN DF F T   Member EF: 0: (14 m) (30 kN)(10 m) 20 kN)(12 m) 0 O DE M F       38.6 kN DE F   38.6 kN DE F C   www.elsolucionario.org
  • 869.
    Copyright © McGraw-HillEducation. Permission required for reproduction or display. PROBLEM 6.54 Determine the force in members CD and CE of the truss shown. SOLUTION 1 1 1 tan 7.1 8 1.5 tan 36.9 2                       Member CE:   0: sin 36.9 (14 m) (30 kN)(10 m) (20 kN)(12 m) 0 O CD M F       64.2 kN CD F   64.2 kN CD F T   Member EF:   0: cos 7.1 (1.75 m) (30 kN)(4 m) (20 kN)(2 m) 0 O CE M F       92.1 kN CE F   92.1 kN CE F C   www.elsolucionario.org
  • 870.
    Copyright © McGraw-HillEducation. Permission required for reproduction or display. PROBLEM 6.55 A monosloped roof truss is loaded as shown. Determine the force in members CE, DE, and DF. SOLUTION Reactions at supports: Because of the symmetry of the loading, 0 1 1 (Total load) (8 kN) 2 2 x y A A I     4 kN   A I  We pass a section through members CD, DE, and DF, and use the free body shown. (We moved DE F to E and DF F to F) Slope 2.16 m 9 9.6 m 40 BJ   Slope 9 40 1m 5 2.4 m 12 0.46 m 0.46 m 2.0444 m Slope DE a BJ        0: (1 m) (1 kN)(2.4 m) (4 kN)(2.4 m) 0      D CE M F 7.20 kN CE F   7.20 kN CE F T   0: (4 kN)(2.0444 m) (1kN)(2.0444 m) 5 (2 kN)(4.4444 m) (6.8444 m) 0 13 K DE M F             1.047 kN DE F   1.047 kN DE F C   0: (1kN)(4.8 m) (2kN)(2.4 m) (4 kN)(4.8 m) 40 (1.54 m) 0 41 E DF M F             6.39 kN DF F   6.39 kN DF F C   www.elsolucionario.org
  • 871.
    Copyright © McGraw-HillEducation. Permission required for reproduction or display. PROBLEM 6.56 A monosloped roof truss is loaded as shown. Determine the force in members EG, GH, and HJ. SOLUTION Reactions at supports: Because of the symmetry of the loading, 0 1 1 (Total load) (8 kN) 2 2 x y A A I     4 kN   A I  We pass a section through members EG, GH, and HJ, and use the free body shown. 0: (4 kN)(2.4 m) (1 kN)(2.4 m) (2.08 m) 0 H EG M F      3.4615 kN EG F   3.46 kN EG F T   0: (2.4 m) (2.62 m) 0 J GH EG M F F      2.62 (3.4615 kN) 2.4 GH F   3.7788 kN GH F   3.78 kN GH F C   2.4 0: 0 2.46 x EG HJ F F F      2.46 2.46 (3.4615 kN) 2.4 2.4 HJ EG F F     3.548 kN HJ F   3.55 kN HJ F C   www.elsolucionario.org
  • 872.
    Copyright © McGraw-HillEducation. Permission required for reproduction or display. PROBLEM 6.57 A Howe scissors roof truss is loaded as shown. Determine the force in members DF, DG, and EG. SOLUTION Reactions at supports. Because of symmetry of loading, 1 1 0, (total load) (9.60 kips) 4.80 kips 2 2 x y A A L      4.80 kips   A L  We pass a section through members DF, DG, and EG, and use the free body shown. We slide DF F to apply it at F: 2 2 0: (0.8 kip)(24 ft) (1.6 kips)(16 ft) (1.6 kips)(8 ft) 8 (4.8 kips)(24 ft) (6 ft) 0 8 3.5 G DF M F         10.48 kips, 10.48 kips DF DF F F C     2 2 2 2 0: (1.6 kips)(8 ft) (1.6 kips)(16 ft) 2.5 8 (16 ft) (7 ft) 0 8 2.5 8 2.5 A DG DG M F F          3.35 kips, 3.35 kips DG DG F F C     2 2 8 0: (0.8 kips)(16 ft) (1.6 kips)(8 ft) (4.8 kips)(16 ft) (4 ft) 0 8 1.5 EG D F M         13.02 kips, 13.02 kips EG EG F F T     www.elsolucionario.org
  • 873.
    Copyright © McGraw-HillEducation. Permission required for reproduction or display. PROBLEM 6.58 A Howe scissors roof truss is loaded as shown. Determine the force in members GI, HI, and HJ. SOLUTION Reactions at supports. Because of symmetry of loading, 0, x A  1 (Total load) 2 1 (9.60 kips) 2 y A L    4.80 kips  4.80 kips   A L  We pass a section through members GI, HI, and HJ, and use the free body shown. 2 2 16 0: (4 ft) (4.8 kips)(16 ft) (0.8 kip)(16 ft) (1.6 kips)(8 ft) 0 16 3 GI H F M         13.02 kips GI F   13.02 kips GI F T   0: (1.6 kips)(8 ft) (16 ft) 0 0.800 kips L HI HI M F F       0.800 kips HI F T   We slide HG F to apply it at H. 2 2 8 0: (4 ft) (4.8 kips)(16 ft) (1.6 kips)(8 ft) (0.8 kip)(16 ft) 0 8 3.5 HJ I F M        13.97 kips HJ F   13.97 kips HJ F C   www.elsolucionario.org
  • 874.
    Copyright © McGraw-HillEducation. Permission required for reproduction or display. PROBLEM 6.59 Determine the force in members AD, CD, and CE of the truss shown. SOLUTION Reactions: 0: 9 kips(8 ft) (45 ft) 5 kips(30 ft) 5 kips(15 ft) 0 k M B       6.6 kips  B 0: 9 kips 0 9 kips x x x F K       K 0: 6.6 kips 5 kips 5 kips 0 3.4 kips y y y F K        K 0: 9 kips(4 ft) 6.6 kips(7.5 ft) (4 ft) 0 C AD M F      3.375 kips AD F   3.38 kN AD F C   8 0: (15 ft) 0 17 A CD M F          0 CD F   15 0: (8 ft) 6.6 kips(15 ft) 0 17 D CE M F           14.025 kips CE F   14.03 kips CE F T   www.elsolucionario.org
  • 875.
    Copyright © McGraw-HillEducation. Permission required for reproduction or display. PROBLEM 6.60 Determine the force in members DG, FG, and FH of the truss shown. SOLUTION Reactions: 0: 9 kips(8 ft) (45 ft) 5 kips(30 ft) 5 kips(15 ft) 0 k M B       6.6 kips  B 0: 9 kips 0 9 kips x x x F K       K 0: 6.6 kips 5 kips 5 kips 0 3.4 kips y y y F K        K 0: 9 kips(4 ft) 6.6 kips(22.5 ft) 5 kips(7.5 ft) (4 ft) 0 F DG M F       18.75 kips DG F   18.75 kips DG F C   8 0: 6.6 kips(15 ft) (15 ft) 0 17 D FG M F            14.025 kips FG F   14.03 kips FG F T    15 0: 5 kips(15 ft) 6.6 kips(30 ft) (8 ft) 0 17 G FH M F              17.425 kips FH F    17.43 kips FH F T   www.elsolucionario.org
  • 876.
    Copyright © McGraw-HillEducation. Permission required for reproduction or display. PROBLEM 6.61 Determine the force in members DG and FI of the truss shown. (Hint: Use section aa.) SOLUTION 0: (4 m) (5 kN)(3 m) 0 F DG M F     3.75 kN DG F   3.75 kN DG F T   0: 3.75 kN 0 y FI F F      3.75 kN FI F   3.75 kN FI F C   www.elsolucionario.org
  • 877.
    Copyright © McGraw-HillEducation. Permission required for reproduction or display. PROBLEM 6.62 Determine the force in members GJ and IK of the truss shown. (Hint: Use section bb.) SOLUTION 0: (4 m) (5 kN)(6 m) (5 kN)(3 m) 0 I GJ M F      11.25 kN GJ F   11.25 kN GJ F T   0: 11.25 kN 0 y IK F F      11.25 kN IK F   11.25 kN IK F C   www.elsolucionario.org
  • 878.
    Copyright © McGraw-HillEducation. Permission required for reproduction or display. PROBLEM 6.63 Determine the force in members EH and GI of the truss shown. (Hint: Use section aa.) SOLUTION Reactions: 0: 0 x x F A    0: 12 kips(45 ft) 12 kips(30 ft) 12 kips(15 ft) (90 ft) 0 P y M A       12 kips y  A 0: 12 kips 12 kips 12 kips 12 kips 0 y F P        24 kips  P 0: (12 kips)(30 ft) (16 ft) 0 G EH M F      22.5 kips EH F   22.5 kips EH F C   0: 22.5 kips 0 x GI F F     22.5 kips GI F T   www.elsolucionario.org
  • 879.
    Copyright © McGraw-HillEducation. Permission required for reproduction or display. PROBLEM 6.64 Determine the force in members HJ and IL of the truss shown. (Hint: Use section bb.) SOLUTION See the solution to Problem 6.63 for free body diagram and analysis to determine the reactions at supports A and P. 0; 12.00 kips x y   A A ; 24.0 kips  P 0: (16 ft) (12 kips)(15 ft) (24 kips)(30 ft) 0 L HJ M F      33.75 kips HJ F   33.8 kips HJ F C   0: 33.75 kips 0 x IL F F     33.75 kips IL F   33.8 kips IL F T   www.elsolucionario.org
  • 880.
    Copyright © McGraw-HillEducation. Permission required for reproduction or display. PROBLEM 6.65 The diagonal members in the center panels of the power transmission line tower shown are very slender and can act only in tension; such members are known as counters. For the given loading, determine (a) which of the two counters listed below is acting, (b) the force in that counter. Counters CJ and HE SOLUTION Free body: Portion ABDFEC of tower. We assume that counter CJ is acting and show the forces exerted by that counter and by members CH and EJ. 4 0: 2(1.2 kN)sin 20 0 1.026 kN 5 x CJ CJ F F F        Since CJ is found to be in tension, our assumption was correct. Thus, the answers are (a) CJ  (b) 1.026 kN T  www.elsolucionario.org
  • 881.
    Copyright © McGraw-HillEducation. Permission required for reproduction or display. PROBLEM 6.66 The diagonal members in the center panels of the power transmission line tower shown are very slender and can act only in tension; such members are known as counters. For the given loading, determine (a) which of the two counters listed below is acting, (b) the force in that counter. Counters IO and KN SOLUTION Free body: Portion of tower shown. We assume that counter IO is acting and show the forces exerted by that counter and by members IN and KO. 4 0: 4(1.2 kN)sin 20 0 2.05 kN 5 x IO IO F F F        Since IO is found to be in tension, our assumption was correct. Thus, the answers are (a) IO  (b) 2.05 kN T  www.elsolucionario.org
  • 882.
    Copyright © McGraw-HillEducation. Permission required for reproduction or display. PROBLEM 6.67 The diagonal members in the center panels of the truss shown are very slender and can act only in tension; such members are known as counters. Determine the force in member DE and in the counters that are acting under the given loading. SOLUTION Reactions from free body of entire truss: 0: 12 kips H M     A 0 : 15 kips y F     H Portion to the left of vertical cut through panel BCDE: Required vertical component of bar forces and BE CD F F is downward. We must have tension and 0. BE CD F F   3 0: 12 kips 6 kips 0 5 y BE F F            10.00 kips BE F T    Required vertical component of bar forces EF and DG F F is downward. We must have tension and 0. EF DG F F    www.elsolucionario.org
  • 883.
    Copyright © McGraw-HillEducation. Permission required for reproduction or display. PROBLEM 6.67 (Continued) 3 0: 12 kips+15 kips 0 5 y EF F F            5.00 kips EF F  5.00 kips EF F T   Member DE: Free body of joint D 0: 0 y DE F F    Joint E: (check)     3 3 0 : 10 kips 5 kips 9 kips+ 0 5 5 y DE F F                  0 (checks) DE F  www.elsolucionario.org
  • 884.
    Copyright © McGraw-HillEducation. Permission required for reproduction or display. PROBLEM 6.68 Solve Prob. 6.67 assuming that the 9-kip load has been removed. Problem 6.67 The diagonal members in the center panels of the truss shown are very slender and can act only in tension; such members are known as counters. Determine the force in member DE and in the counters that are acting under the given loading. SOLUTION Reactions from free body of entire truss: 0: 7.5 kips H M     A 0 : 10.5 kips y F     H Portion to the left of vertical cut through panel BCDE: Required vertical component of bar forces and BE CD F F is downward. We must have tension and 0. BE CD F F   3 0: 7.5 kips 6 kips 0 5 y BE F F            2.50 kips BE F T   Portion to the right of vertical cut through panel DFEG:  Required vertical component of bar forces EF and DG F F is downward. We must have tension and 0. DG EF F F    www.elsolucionario.org
  • 885.
    Copyright © McGraw-HillEducation. Permission required for reproduction or display. PROBLEM 6.68 (Continued)  3 0: 12 kips+10.5 kips+ 0 5 y DG F F           2.5 kips DG F  2.50 kips DG F T   Member DE: Free body of joint D   3 0: 2.5 kips 0 5 y DE F F     1.500 kips DE F   1.500 kips DE F C   www.elsolucionario.org
  • 886.
    Copyright © McGraw-HillEducation. Permission required for reproduction or display. PROBLEM 6.69 Classify each of the structures shown as completely, partially, or improperly constrained; if completely constrained, further classify as determinate or indeterminate. (All members can act both in tension and in compression.) SOLUTION Structure (a) Number of members: 16 m  Number of joints: 10 n  Reaction components: 4 20, 2 20 r m r n     Thus, 2 m r n    To determine whether the structure is actually completely constrained and determinate, we must try to find the reactions at the supports. We divide the structure into two simple trusses and draw the free-body diagram of each truss. This is a properly supported simple truss – O.K. This is an improperly supported simple truss. (Reaction at C passes through B. Thus, Eq. 0 B M   cannot be satisfied.) Structure is improperly constrained.  Structure (b) 16 10 4 20, 2 20 m n r m r n       Thus, 2 m r n    (a) (b) www.elsolucionario.org
  • 887.
    Copyright © McGraw-HillEducation. Permission required for reproduction or display. PROBLEM 6.69 (Continued) We must again try to find the reactions at the supports dividing the structure as shown. Both portions are simply supported simple trusses. Structure is completely constrained and determinate.  Structure (c) 17 10 4 21, 2 20 m n r m r n       Thus, 2 m r n    This is a simple truss with an extra support which causes reactions (and forces in members) to be indeterminate. Structure is completely constrained and indeterminate.  (c) www.elsolucionario.org
  • 888.
    Copyright © McGraw-HillEducation. Permission required for reproduction or display. PROBLEM 6.70 Classify each of the structures shown as completely, partially, or improperly constrained; if completely constrained, further classify as determinate or indeterminate. (All members can act both in tension and in compression.) SOLUTION Structure (a): Nonsimple truss with 4, r  16, m  10, n  so 20 2 , m r n    but we must examine further. FBD Sections: FBD I: 0 A M    1 T II: 0 x F    2 T I: 0 x F    x A I: 0 y F    y A II: 0 E M    y C II: 0 y F    y E Since each section is a simple truss with reactions determined, structure is completely constrained and determinate.  Structure (b): Nonsimple truss with 3, r  16, m  10, n  so 19 2 20 m r n     Structure is partially constrained.  www.elsolucionario.org
  • 889.
    Copyright © McGraw-HillEducation. Permission required for reproduction or display. PROBLEM 6.70 (Continued) Structure (c): Simple truss with 3, r  17, m  10, n  20 2 , m r n    but the horizontal reaction forces and x x A E are collinear and no equilibrium equation will resolve them, so the structure is improperly constrained and indeterminate.  www.elsolucionario.org
  • 890.
    Copyright © McGraw-HillEducation. Permission required for reproduction or display. PROBLEM 6.71 Classify each of the structures shown as completely, partially, or improperly constrained; if completely constrained, further classify as determinate or indeterminate. (All members can act both in tension and in compression.) SOLUTION Structure (a): Nonsimple truss with 4, r  12, m  8 n  so 16 2 . r m n    Check for determinacy: One can solve joint F for forces in EF, FG and then solve joint E for y E and force in DE. This leaves a simple truss ABCDGH with 3, 9, 6 so 12 2 r m n r m n       Structure is completely constrained and determinate.  Structure (b): Simple truss (start with ABC and add joints alphabetically to complete truss) with 4, r  13, m  8 n  so 17 2 16 r m n     Constrained but indeterminate  www.elsolucionario.org
  • 891.
    Copyright © McGraw-HillEducation. Permission required for reproduction or display. PROBLEM 6.71 (Continued) Structure (c): Nonsimple truss with 3, r  13, m  8 n  so 16 2 .    r m n To further examine, follow procedure in part (a) above to get truss at left. Since 1 0  F (from solution of joint F), 1 A M aF   0  and there is no equilibrium. Structure is improperly constrained.  www.elsolucionario.org
  • 892.
    Copyright © McGraw-HillEducation. Permission required for reproduction or display. PROBLEM 6.72 Classify each of the structures shown as completely, partially, or improperly constrained; if completely constrained, further classify as determinate or indeterminate. (All members can act both in tension and in compression.) SOLUTION Structure (a) Number of members: 12  m Number of joints: 8 n  Reaction components: 3 15, 2 16 r m r n     Thus, 2 m r n    Structure is partially constrained.  Structure (b) 13, 8 3 16, 2 16       m n r m r n Thus, 2   m r n  To verify that the structure is actually completely constrained and determinate, we observe that it is a simple truss (follow lettering to check this) and that it is simply supported by a pin-and-bracket and a roller. Thus, structure is completely constrained and determinate.  www.elsolucionario.org
  • 893.
    Copyright © McGraw-HillEducation. Permission required for reproduction or display. PROBLEM 6.72 (Continued) Structure (c) 13, 8 4 17, 2 16 m n r m r n       Thus, 2 m r n    Structure is completely constrained and indeterminate.  This result can be verified by observing that the structure is a simple truss (follow lettering to check this), therefore it is rigid, and that its supports involve four unknowns. www.elsolucionario.org
  • 894.
    Copyright © McGraw-HillEducation. Permission required for reproduction or display. PROBLEM 6.73 Classify each of the structures shown as completely, partially, or improperly constrained; if completely constrained, further classify as determinate or indeterminate. (All members can act both in tension and in compression.) SOLUTION Structure (a): Rigid truss with 3, r  14, m  8, n  so 17 2 16 r m n     so completely constrained but indeterminate  Structure (b): Simple truss (start with ABC and add joints alphabetically), with 3, 13, 8, so 16 2 r m n r m n       so completely constrained and determinate  Structure (c): Simple truss with 3, r  13, m  8, n  so 16 2 , r m n    but horizontal reactions ( and ) x x A D are collinear, so cannot be resolved by any equilibrium equation. Structure is improperly constrained.  www.elsolucionario.org
  • 895.
    Copyright © McGraw-HillEducation. Permission required for reproduction or display. PROBLEM 6.74 Classify each of the structures shown as completely, partially, or improperly constrained; if completely constrained, further classify as determinate or indeterminate. (All members can act both in tension and in compression.) SOLUTION Structure (a): No. of members 12 m  No. of joints 8 16 2 n m r n     No. of reaction components 4 unknows equations r   FBD of EH: 0 H M   ; DE F 0 x F   ; GH F 0 y F   y H Then ABCDGF is a simple truss and all forces can be determined. This example is completely constrained and determinate.  Structure (b): No. of members 12 m  No. of joints 8 15 2 16 n m r n      No. of reaction components 3 unknows equations r   partially constrained  Note: Quadrilateral DEHG can collapse with joint D moving downward; in (a), the roller at F prevents this action. www.elsolucionario.org
  • 896.
    Copyright © McGraw-HillEducation. Permission required for reproduction or display. PROBLEM 6.74 (Continued) Structure (c): No. of members 13 m  No. of joints 8 17 2 16 n m r n      No. of reaction components 4 unknows equations r   completely constrained but indeterminate  www.elsolucionario.org
  • 897.
    Copyright © McGraw-HillEducation. Permission required for reproduction or display. PROBLEM 6.75 Determine the force in member BD and the components of the reaction at C. SOLUTION We note that BD is a two-force member. The force it exerts on ABC, therefore, is directed along line BD. Free body: ABC: We have   2 2 1.92 0.56 2 m BD    0: C M     0.56 1.92 (310 N)(2.1 m) (1.4 m) 1.4 m 0 2 2 BD BD F F                375 N BD F   375 N BD F C   0.56 0: 310 N ( 375 N) 0 2 x x F C       205 N x C   205 N x  C  1.92 0: ( 375 N) 0 2 y y F C      360 N y C   360 N y  C  www.elsolucionario.org
  • 898.
    Copyright © McGraw-HillEducation. Permission required for reproduction or display. PROBLEM 6.76 Determine the force in member BD and the components of the reaction at C. SOLUTION We note that BD is a two-force member. The force it exerts on ABC, therefore, is directed along line BD. Free body: ABC: 2 2 (24) (10) 26 in. BD    10 0: (160 lb)(30 in.) (16 in.) 0 26 C BD M F           780 lb BD F   780 lb BD F T   24 0: (780 lb) 0 26 x x M C     720 lb x C   720 lb x  C  10 0: 160 lb (780 lb) 0 26 y y F C      140.0 lb y C   140.0 lb y  C  www.elsolucionario.org
  • 899.
    Copyright © McGraw-HillEducation. Permission required for reproduction or display. PROBLEM 6.77 For the frame and loading shown, determine the force acting on member ABC (a) at B, (b) at C. SOLUTION FBD ABC: : is two-force member Note BD (a) 3 0: (0.09 m)(200 N) (2.4 m) 0 5 C BD M F           125.0 N BD  F 36.9  (b) 4 0: 200 N (125 N) 0 100 N 5 x x x F C       C 3 3 0: 0 (125 N) 75 N 5 5 y BD y y F F C       C 125.0 N  C 36.9  www.elsolucionario.org
  • 900.
    Copyright © McGraw-HillEducation. Permission required for reproduction or display. PROBLEM 6.78 Determine the components of all forces acting on member ABCD of the assembly shown. SOLUTION Free body: Entire assembly: 0: (6 in.) (120 lb)(4 in.) 0 B M D     80.0 lb  D  0: 120 lb 0 x x F B     120.0 lb x  B  0: 80 lb 0 y y F B     80.0 lb y  B  Free body: Member ABCD: 0: (80 lb)(10 in.) (8 in.) (120 lb)(2 in.) (80 lb)(4 in.) 0 A M C       30.0 lb  C  0: 120 lb 0 x x F A     120.0 lb x  A  0: 80 lb 30 lb 80 lb 0 y y F A       30.0 lb y  A  www.elsolucionario.org
  • 901.
    Copyright © McGraw-HillEducation. Permission required for reproduction or display. PROBLEM 6.79 For the frame and loading shown, determine the components of all forces acting on member ABC. SOLUTION Free body: Entire frame: 0: 18 kN 0 x x F A     18 kN x A   18.00 kN x  A  0: (18 kN)(4 m) (3.6 m) 0 E y M A      20 kN y A   20.0 kN y  A  0: 20 kN 0 y F F      20 kN F   20 kN  F Free body: Member ABC Note: BE is a two-force member, thus B is directed along line BE. 0: (4 m) (18 kN)(6 m) (20 kN)(3.6 m) 0 C M B      9 kN B  9.00 kN  B  0: 18 kN 9 kN 0 x x F C      9 kN x C  9.00 kN x  C  0: 20 kN 0 y y F C     20 kN y C  20.0 kN  Cy  www.elsolucionario.org
  • 902.
    Copyright © McGraw-HillEducation. Permission required for reproduction or display. PROBLEM 6.80 Solve Problem 6.79 assuming that the 18-kN load is replaced by a clockwise couple of magnitude 72 kN · m applied to member CDEF at Point D. PROBLEM 6.79 For the frame and loading shown, determine the components of all forces acting on member ABC. SOLUTION Free body: Entire frame 0: 0 x x F A    0: 72 kN m (3.6 m) 0 F y M A       20 kN 20 kN y y A    A 20.0 kN  A  Free body: Member ABC Note: BE is a two-force member. Thus B is directed along line BE. 0: (4 m) (20 kN)(3.6 m) 0     C M B 18 kN B   18.00 kN  B  0: 18 kN 0 x x F C     18 kN x C  18.00 kN x  C  0: 20 kN 0 y y F C     20 kN y C  20.0 kN y  C  www.elsolucionario.org
  • 903.
    Copyright © McGraw-HillEducation. Permission required for reproduction or display. PROBLEM 6.81 Determine the components of all forces acting on member ABCD when 0.   SOLUTION Free body: Entire assembly 0: (8 in.) (60 lb)(20 in.) 0     B M A 150 lb  A 150.0 lb  A  0: 150.0 lb 0 150 lb x x x F B B       150.0 lb x  B  0: 60.0 lb 0 60.0 lb y y y F B B       60.0 lb y  B  Free body: Member ABCD We note that D is directed along DE, since DE is a two-force member. 0: (12) (60 lb)(4) (150 lb)(8) 0 C M D      80 lb D   80.0 lb  D  0: 150.0 150.0 0 0 x x x F C C       0: 60.0 80.0 0 20.0 lb y y y F C C        20.0 lb  C  www.elsolucionario.org
  • 904.
    Copyright © McGraw-HillEducation. Permission required for reproduction or display. PROBLEM 6.82 Determine the components of all forces acting on member ABCD when 90 .    SOLUTION Free body: Entire assembly 0: (8 in.) (60 lb)(8 in.) 0     B M A 60.0 lb   A 60.0 lb  A  0: 60 lb 60 lb 0 0       x x x F B B 0: 0 y y F B    0  B  Free body: Member ABCD We note that D is directed along DE, since DE is a two-force member. 0: (12 in.) (60 lb)(8 in.) 0 C M D     40.0 lb D   40.0 lb  D  0: 60 lb 0     x x F C 60 lb x C   60.0 lb x  C  0: 40 lb 0 y y F C     40 lb y C   40.0 lb y  C  www.elsolucionario.org
  • 905.
    Copyright © McGraw-HillEducation. Permission required for reproduction or display. PROBLEM 6.83 Determine the components of the reactions at A and E, (a) if the 800-N load is applied as shown, (b) if the 800-N load is moved along its line of action and is applied at point D. SOLUTION Free body: Entire assembly. The analysis is valid for either (a) or (b), since position of the 800-N force on its line of action is immaterial. 0: (1200) (800 N)(900) 0 A y M E     600 N y  E  0: 0 (1) x x x F A E     0: 600 800 0 y y F A      200 N y  A  (a) Free body: Member BE: We note that E is directed along EB, since BE is a two-force member. 900 or 600 N 900 200 200 y x x E E E         2700 N x  E  From equation (1): 2700 N 0 x A   2700 N x A  2700 N x  A  www.elsolucionario.org
  • 906.
    Copyright © McGraw-HillEducation. Permission required for reproduction or display. PROBLEM 6.83 (Continued) (b) Free body: Member ABC: We note that A is directed along AB, since ABC is a two-force member. 300 or 200 N 300 200 200 y x x A A A         300 N x  A  From equation (1): 300 N 0 x E   300 N x E  300 N x  E  www.elsolucionario.org
  • 907.
    Copyright © McGraw-HillEducation. Permission required for reproduction or display. PROBLEM 6.84 Determine the components of the reactions at D and E if the frame is loaded by a clockwise couple of magnitude 150 N·m applied (a) at A, (b) at B. SOLUTION Free body: Entire assembly. The analysis is valid for either (a) or (b), since position of the couple is immaterial. 0: (0.6 m) (150 N m) 0 D y M E      250 N y  E  0: 0 (1) x x x F D E     0: 250 N 0 y y F D     250 N y  D  (a) Free body: Member BCE: We note that E is directed along EC, since BCE is a two-force member. 1.2 or 250 N 1.2 0.40 0.40 y x x E E E         750 N x  E  From equation (1): D 750 N 0 x   750 N x D  750 N x  D  www.elsolucionario.org
  • 908.
    Copyright © McGraw-HillEducation. Permission required for reproduction or display. PROBLEM 6.84 (Continued) (b) Free body: Member ACD: We note that D is directed along DC, since ACD is a two-force member. 0.6 or D 250 N 0.6 0.4 0.4 y x x D D         375 N x  D  From equation (1): 375 N 0 x E   375 N x E   375 N x  E  www.elsolucionario.org
  • 909.
    Copyright © McGraw-HillEducation. Permission required for reproduction or display. PROBLEM 6.85 Determine the components of the reactions at A and E if a 750-N force directed vertically downward is applied (a) at B, (b) at D. SOLUTION Free body: Entire frame: The following analysis is valid for both parts (a) and (b) since position of load on its line of action is immaterial. 0: (750 N)(80 mm) (200 mm) 0      E x M A 300 N 300 N x x A    A 0: 300 N 0 300 N 300 N x x x x F E E       E 0: 750 N 0 y y y F A E      (1) (a) Load applied at B. Free body: Member CE: CE is a two-force member. Thus, the reaction at E must be directed along CE. 75 mm 90 N 300 N 250 mm y y E E   From Eq. (1): 90 N 750 N 0 y A    660 N y A  Thus, reactions are 300 N x  A , 660 N y  A  300 N x  E , 90.0 N  Ey  (b) Load applied at D. Free body: Member AC: AC is a two-force member. Thus, the reaction at A must be directed along AC. 125 mm 150 N 300 N 250 mm y y A A   www.elsolucionario.org
  • 910.
    Copyright © McGraw-HillEducation. Permission required for reproduction or display. PROBLEM 6.85 (Continued) From Eq. (1): 750 N 0 150 N 750 N 0 y y y A E E       600 N 600 N y y E   E Thus, reactions are 300 N x  A , 150.0 N y  A  300 N x  E , 600 N y  E  www.elsolucionario.org
  • 911.
    Copyright © McGraw-HillEducation. Permission required for reproduction or display. PROBLEM 6.86 Determine the components of the reactions at A and E if the frame is loaded by a clockwise couple of magnitude 36 N · m applied (a) at B, (b) at D. SOLUTION Free body: Entire frame: The following analysis is valid for both parts (a) and (b) since the point of application of the couple is immaterial. 0: 36 N m (0.2 m) 0       E x M A 180 N 180 N x x A    A 0: 180 N + 0     x x F E 180 N 180 N   E x x E 0: 0 y y y F A E     (1) (a) Couple applied at B. Free body: Member CE: AC is a two-force member. Thus, the reaction at E must be directed along EC. 0.075 m 54 N 180 N 0.25 m   E y y E From Eq. (1): 54 N 0 y A   54 N 54.0 N y y A    A Thus, reactions are 180.0 N x  A , 54.0 N y  A  180.0 N x  E , 54.0 N  Ey  (b) Couple applied at D. Free body: Member AC: AC is a two-force member. Thus, the reaction at A must be directed along EC. www.elsolucionario.org
  • 912.
    Copyright © McGraw-HillEducation. Permission required for reproduction or display. PROBLEM 6.86 (Continued) 0.125 m 90 N 180 N 0.25 m y y A A   From Eq. (1): 0 90 N 0 y y y A E E     90 N 90 N y y E    E Thus, reactions are 180.0 N x  A , 90.0 N y  A  180.0 N x   E , 90.0 N y  E  www.elsolucionario.org
  • 913.
    Copyright © McGraw-HillEducation. Permission required for reproduction or display. PROBLEM 6.87 Determine the components of the reactions at A and B, (a) if the 500-N load is applied as shown, (b) if the 500-N load is moved along its line of action and is applied at Point F. SOLUTION Free body: Entire frame: Analysis is valid for either parts (a) or (b), since position of 100-lb load on its line of action is immaterial. 0: (10) (100 lb)(6) 0 60 lb A y y M B B       0: 60 100 0 40 lb y y y F A A        0: 0 x x x F A B     (1) (a) Load applied at E. Free body: Member AC: Since AC is a two-force member, the reaction at A must be directed along CA. We have 40 lb 10 in. 5 in. x A  80.0 lb x  A , 40.0 lb y  A  From Eq. (1): 80 0 80 lb x x B B      Thus, 80.0 lb x  B , 60.0 lb y  B  www.elsolucionario.org
  • 914.
    Copyright © McGraw-HillEducation. Permission required for reproduction or display. PROBLEM 6.87 (Continued) (b) Load applied at F. Free body: Member BCD: Since BCD is a two-force member (with forces applied at B and C only), the reaction at B must be directed along CB. We have, therefore, 0 x B  The reaction at B is 0 x  B 60.0 lb y  B  From Eq. (1): 0 0 0 x x A A    The reaction at A is 0 x  A 40.0 lb y  A  www.elsolucionario.org
  • 915.
    Copyright © McGraw-HillEducation. Permission required for reproduction or display. PROBLEM 6.88 The 48-lb load can be moved along the line of action shown and applied at A, D, or E. Determine the components of the reactions at B and F if the 48-lb load is applied (a) at A, (b) at D, (c) at E. SOLUTION Free body: Entire frame The following analysis is valid for (a), (b) and (c) since the position of the load along its line of action is immaterial. 0: (48lb)(8 in.) (12 in.) 0 F x M B     32 lb 32 lb x x B   B 0: 32 lb+ 0 x x F F    32 lb 32 lb x x F    F 0: 48 lb 0 y y y F B F      (1) (a) Load applied at A. Free body: Member CDB CDB is a two-force member. Thus, the reaction at B must be directed along BC. 5 in. 10 lb 32 lb 16 in. y y B   B From Eq. (1): 10 lb 48 lb 0 y F    38 lb 38 lb y y F   F Thus reactions are: 32.0 lb x  B , 10.00 lb y  B  32.0 lb x  F , 38.0 lb y  F  www.elsolucionario.org
  • 916.
    Copyright © McGraw-HillEducation. Permission required for reproduction or display. PROBLEM 6.88 (Continued) (b) Load applied at D. Free body: Member ACF. ACF is a two-force member. Thus, the reaction at F must be directed along CF. 7 in. 14 lb 32 lb 16 in. y y F   F From Eq. (1): 14 lb 48 lb 0 y B    34 lb 34 lb y y B B   Thus, reactions are: 32.0 lb x  B , 34.0 lb y  B  32.0 lb x  F , 14.00 lb y  F  (c) Load applied at E. Free body: Member CDB This is the same free body as in Part (a). Reactions are same as (a)  www.elsolucionario.org
  • 917.
    Copyright © McGraw-HillEducation. Permission required for reproduction or display. PROBLEM 6.89 The 48-lb load is removed and a 288-lb · in. clockwise couple is applied successively at A, D, and E. Determine the components of the reactions at B and F if the couple is applied (a) at A, (b) at D, (c) at E. SOLUTION Free body: Entire frame The following analysis is valid for (a), (b), and (c), since the point of application of the couple is immaterial. 0: 288 lb in. (12 in.) 0 F x M B       24 lb 24 lb x x B    B 0: 24 lb+ 0 x x F F     24 lb 24 lb x x F   F 0: 0 y y y F B F     (1) (a) Couple applied at A. Free body: Member CDB CDB is a two-force member. Thus, reaction at B must be directed along BC. 5 in. 7.5 lb 24 lb 16 in. y y B   B From Eq. (1): 7.5 lb 0 y F    7.5 lb 7.5 lb y y F   F Thus, reactions are: 24.0 lb x  B , 7.50 lb y  B  24.0 lb x  F , 7.50 lb y  F  www.elsolucionario.org
  • 918.
    Copyright © McGraw-HillEducation. Permission required for reproduction or display. PROBLEM 6.89 (Continued) (b) Couple applied at D. Free body: Member ACF. ACF is a two-force member. Thus, the reaction at F must be directed along CF. 7 in. 10.5 lb 24 lb 16 in. y y F   F From Eq. (1): 10.5 lb: y B  10.5 lb 10.5 lb y y B    B Thus, reactions are: 24.0 lb x  B , 10.50 lb y  B  24.0 lb x  F , 10.50 lb y  F  (c) Couple applied at E. Free body: Member CDB This is the same free body as in Part (a). Reactions are same as in (a)  www.elsolucionario.org
  • 919.
    Copyright © McGraw-HillEducation. Permission required for reproduction or display. PROBLEM 6.90 (a) Show that when a frame supports a pulley at A, an equivalent loading of the frame and of each of its component parts can be obtained by removing the pulley and applying at A two forces equal and parallel to the forces that the cable exerted on the pulley. (b) Show that if one end of the cable is attached to the frame at a Point B, a force of magnitude equal to the tension in the cable should also be applied at B. SOLUTION First note that, when a cable or cord passes over a frictionless, motionless pulley, the tension is unchanged. 1 2 1 2 0: 0 C M rT rT T T      (a) Replace each force with an equivalent force-couple. (b) Cut the cable and replace the forces on pulley with equivalent pair of forces at A as above.  www.elsolucionario.org
  • 920.
    Copyright © McGraw-HillEducation. Permission required for reproduction or display. PROBLEM 6.91 Knowing that each pulley has a radius of 250 mm, determine the components of the reactions at D and E. SOLUTION Free body: Entire assembly: 0: (4.8 kN)(4.25 m) (1.5 m) 0 E x M D     13.60 kN x D   13.60 kN x  D  0: 13.60 kN 0 x x F E     13.60 kN x E   13.60 kN x  E  0: 4.8 kN 0 y y y F D E      (1) Free body: Member ACE: 0: (4.8 kN)(2.25 m) (4 m) 0 A y M E     2.70 kN y E   2.70 kN y  E  From Eq. (1): 2.70 kN 4.80 kN 0 y D    7.50 kN y D   7.50 kN y  D  www.elsolucionario.org
  • 921.
    Copyright © McGraw-HillEducation. Permission required for reproduction or display. PROBLEM 6.92 Knowing that the pulley has a radius of 75 mm, determine the components of the reactions at A and B. SOLUTION Free body: Entire frame and pulley: 0: (240 N)(75 mm) (600 mm) 0 B y M A      30.0 N 30.0 N y y A    A  0: 0 (1) x x x x x F B A B A      0: 30 N 240 N 0 y y F B      270 N y  B  Free body: Member ACD: 0 : (200) (30 N)(300) (240 N)(75) 0 D x M A      45.0 N x A  45.0 N x  A  From Eq. (1): 45.0 N X x A B   45.0 N x  B  Thus, reactions are 45.0 N x  A , 30.0 N y  A  45.0 N x  B , 270 N y  B  www.elsolucionario.org
  • 922.
    Copyright © McGraw-HillEducation. Permission required for reproduction or display. PROBLEM 6.93 A 3-ft-diameter pipe is supported every 16 ft by a small frame like that shown. Knowing that the combined weight of the pipe and its contents is 500 lb/ft and assuming frictionless surfaces, determine the components (a) of the reaction at E, (b) of the force exerted at C on member CDE. SOLUTION Free body: 16-ft length of pipe: (500 lb/ft)(16 ft) 8 kips W   Force Triangle 8 kips 3 5 4 B D   6 kips 10 kips B D   Determination of CB  CD. We note that horizontal projection of horizontal projection of  BO OD CD     3 4 ( ) 5 5 r r CD   Thus, 8 2(1.5 ft) 3 ft 4 CB CD r     Free body: Member ABC: 0: (6 kips)( 3) A x M C h h     3 (6 kips) x h C h   (1) For 9 ft, h  9 3 (6 kips) 4 kips 9 x C    www.elsolucionario.org
  • 923.
    Copyright © McGraw-HillEducation. Permission required for reproduction or display. PROBLEM 6.93 (Continued) Free body: Member CDE: From above, we have 4.00 kips x  C  0: (10 kips)(7 ft) (4 kips)(6 ft) (8 ft) 0 E y M C      5.75 kips, y C   5.75 kips y  C  3 0: 4 kips (10 kips) 0 5 x x F E       2 kips, x E   2.00 kips x  E  4 0: 5.75 kips (10 kips) 0, 5 y y F E      2.25 kips y  E  www.elsolucionario.org
  • 924.
    Copyright © McGraw-HillEducation. Permission required for reproduction or display. PROBLEM 6.94 Solve Problem 6.93 for a frame where h  6 ft. PROBLEM 6.93 A 3-ft-diameter pipe is supported every 16 ft by a small frame like that shown. Knowing that the combined weight of the pipe and its contents is 500 lb/ft and assuming frictionless surfaces, determine the components (a) of the reaction at E, (b) of the force exerted at C on member CDE. SOLUTION See solution of Problem 6.91 for derivation of Eq. (1). For 3 6 3 6 ft, C (6 kips) 3 kips 6 x h h h       Free body: Member CDE: From above, we have 3.00 kips x  C  0: (10 kips)(7 ft) (3 kips)(6 ft) (8 ft) 0 E y M C      6.50 kips, y C   6.50 kips y  C  3 0: 3 kips (10 kips) 0 5 x x F E       3.00 kips, x E   3.00 kips x  E  4 0: 6.5 kips (10 kips) 0 5 y y F E      1.500 kips y E  1.500 kips y  E  www.elsolucionario.org
  • 925.
    Copyright © McGraw-HillEducation. Permission required for reproduction or display. PROBLEM 6.95 A trailer weighing 2400 lb is attached to a 2900-lb pickup truck by a ball-and-socket truck hitch at D. Determine (a) the reactions at each of the six wheels when the truck and trailer are at rest, (b) the additional load on each of the truck wheels due to the trailer. SOLUTION (a) Free body: Trailer: (We shall denote by A, B, C the reaction at one wheel.) 0: (2400 lb)(2 ft) (11ft) 0 A M D      436.36 lb D  0: 2 2400 lb 436.36 lb 0 y F A      981.82 lb A  982 lb  A  Free body: Truck. 0: (436.36 lb)(3 ft) (2900 lb)(5 ft) 2 (9 ft) 0 B M C      732.83 lb C  733 lb  C  0: 2 436.36 lb 2900 lb 2(732.83lb) 0 y F B       935.35 lb B  935 lb  B  (b) Additional load on truck wheels. Use free body diagram of truck without 2900 lb. 0: (436.36 lb)(3 ft) 2 (9 ft) 0 B M C     72.73 lb C   72.7 lb C     0: 2 436.36 lb 2(72.73lb) 0 y F B      290.9 lb B  291lb B     www.elsolucionario.org
  • 926.
    Copyright © McGraw-HillEducation. Permission required for reproduction or display. PROBLEM 6.96 In order to obtain a better weight distribution over the four wheels of the pickup truck of Problem 6.95, a compensating hitch of the type shown is used to attach the trailer to the truck. The hitch consists of two bar springs (only one is shown in the figure) that fit into bearings inside a support rigidly attached to the truck. The springs are also connected by chains to the trailer frame, and specially designed hooks make it possible to place both chains in tension. (a) Determine the tension T required in each of the two chains if the additional load due to the trailer is to be evenly distributed over the four wheels of the truck. (b) What are the resulting reactions at each of the six wheels of the trailer-truck combination? PROBLEM 6.95 A trailer weighing 2400 lb is attached to a 2900-lb pickup truck by a ball-and-socket truck hitch at D. Determine (a) the reactions at each of the six wheels when the truck and trailer are at rest, (b) the additional load on each of the truck wheels due to the trailer. SOLUTION (a) We small first find the additional reaction  at each wheel due to the trailer. Free body diagram: (Same  at each truck wheel) 0: (2400 lb)(2 ft) 2 (14 ft) 2 (23 ft) 0 A M         64.86 lb   0: 2 2400 lb 4(64.86 lb) 0; y F A      1070 lb; A  1070 lb  A Free body: Truck: (Trailer loading only) 0: 2 (12 ft) 2 (3 ft) 2 (1.7 ft) 0 D M T        8.824 8.824(64.86 lb) 572.3 lb T T     572 lb T   Free body: Truck: (Truck weight only) 0: (2900 lb)(5 ft) 2 (9 ft) 0 B M C      805.6 lb C  805.6 lb   C www.elsolucionario.org
  • 927.
    Copyright © McGraw-HillEducation. Permission required for reproduction or display. PROBLEM 6.96 (Continued) 0: 2 2900 lb 2(805.6 lb) 0 y F B      644.4 lb B  644.4 lb   B Actual reactions: 644.4 lb 64.86 709.2 lb B B       709 lb  B  805.6 lb 64.86 870.46 lb C C       870 lb  C  From part a: 1070 lb  A  www.elsolucionario.org
  • 928.
    Copyright © McGraw-HillEducation. Permission required for reproduction or display. PROBLEM 6.97 The cab and motor units of the front-end loader shown are connected by a vertical pin located 2 m behind the cab wheels. The distance from C to D is 1 m. The center of gravity of the 300-kN motor unit is located at Gm, while the centers of gravity of the 100-kN cab and 75-kN load are located, respectively, at Gc and Gl. Knowing that the machine is at rest with its brakes released, determine (a) the reactions at each of the four wheels, (b) the forces exerted on the motor unit at C and D. SOLUTION (a) Free body: Entire machine:  A Reaction at each front wheel  B Reaction at each rear wheel 0: 75(3.2 m) 100(1.2 m) 2 (4.8 m) 300(5.6 m) 0 A M B       2 325 kN B  162.5 kN  B  0: 2 325 75 100 300 0 y F A        2 150 kN A  75.0 kN  A  www.elsolucionario.org
  • 929.
    Copyright © McGraw-HillEducation. Permission required for reproduction or display. PROBLEM 6.97 (Continued) (b) Free body: Motor unit: 0: (1 m) 2 (2.8 m) 300(3.6 m) 0 D M C B      1080 5.6 C B   (1) Recalling 162.5 kN, 1080 5.6(162.5) 170 kN B C     170.0 kN  C  0: 170 0 x x F D     170.0 kN x  D     0: 2(162.5) 300 0 y y F D      25.0 kN y  D  www.elsolucionario.org
  • 930.
    Copyright © McGraw-HillEducation. Permission required for reproduction or display. PROBLEM 6.98 Solve Problem 6.97 assuming that the 75-kN load has been removed. PROBLEM 6.97 The cab and motor units of the front-end loader shown are connected by a vertical pin located 2 m behind the cab wheels. The distance from C to D is 1 m. The center of gravity of the 300-kN motor unit is located at Gm, while the centers of gravity of the 100-kN cab and 75-kN load are located, respectively, at Gc and Gl. Knowing that the machine is at rest with its brakes released, determine (a) the reactions at each of the four wheels, (b) the forces exerted on the motor unit at C and D. SOLUTION (a) Free body: Entire machine:  A Reaction at each front wheel  B Reaction at each rear wheel 0: 2 (4.8 m) 100(1.2 m) 300(5.6 m) 0 A M B      2 375 kN B  187.5 kN  B  0: 2 375 100 300 0 y F A       2 25 kN A  12.50 kN  A  (b) Free body: Motor unit: See solution of Problem 6.97 for free body diagram and derivation of Eq. (1). With 187.5 kN, B  we have 1080 5.6(187.5) 30 kN C    30.0 kN  C  0: 30 0 x x F D     30.0 kN x  D  0: 2(187.5) 300 0 y y F D      75.0 kN y  D  www.elsolucionario.org
  • 931.
    Copyright © McGraw-HillEducation. Permission required for reproduction or display. PROBLEM 6.99 Knowing that P = 90 lb and Q = 60 lb, determine the components of all forces acting on member BCDE of the assembly shown. SOLUTION Free body: Entire assembly:    0: (12 in.) (60 lb)(4 in.) 90 lb 12 in. 0 C M A      110.0 lb A   110.0 lb  A  0: 60 lb 0 x x F C     60 lb x C   60.0 lb x  C  0: 110 lb 90 lb 0 y y F C      200 lb y C  200 lb y  C  Free body: Member BCDE:       0: (10 in.) 200 lb (4 in.) 90 lb 8 in. 0 D M B      152.0 lb B   152.0 lb  B  www.elsolucionario.org
  • 932.
    Copyright © McGraw-HillEducation. Permission required for reproduction or display. PROBLEM 6.99 (Continued) 0: 60 lb 0 x x F D     60.0 lb x D  60.0 lb  D  0: 200 lb 152 lb 90 lb 0 y y F D       42.0 lb y D   42.0 lb y  D  www.elsolucionario.org
  • 933.
    Copyright © McGraw-HillEducation. Permission required for reproduction or display. PROBLEM 6.100 Knowing that P = 60 lb and Q = 90 lb, determine the components of all forces acting on member BCDE of the assembly shown. SOLUTION Free body: Entire assembly:    0: (12 in.) (60 lb)(12 in.) 90 lb 4 in. 0 C M A      90.0 lb A   90.0 lb  A  0: 90 lb 0 x x F C     90 lb x C   90.0 lb x  C  0: 60 lb 90 lb 0 y y F C      150 lb y C  150.0 lb y  C  Free body: Member BCDE:  www.elsolucionario.org
  • 934.
    Copyright © McGraw-HillEducation. Permission required for reproduction or display. PROBLEM 6.100 (Continued)      0: (10 in.) 150 lb (4 in.) 60 lb 8 in. 0 D M B      108.0 lb B   108.0 lb  B  0: 90 lb 0 x x F D     90.0 lb x D  90.0 lb  D  0: 150 lb 108 lb 60 lb 0 y y F D       18.00 lb y D   18.00 lb y  D  www.elsolucionario.org
  • 935.
    Copyright © McGraw-HillEducation. Permission required for reproduction or display. PROBLEM 6.101 For the frame and loading shown, determine the components of all forces acting on member ABE. SOLUTION FBD Frame: 0: (1.8 m) (2.1m)(12 kN) 0 E y M F     14.00 kN y  F 0: 14.00 kN 12 kN 0 y y F E       2 kN y E  2.00 kN y  E  FBD member BCD: 0: (1.2 m) (12 kN)(1.8 m) 0 18.00 kN B y y M C C      But C is  ACF, so 2 ; 36.0 kN x y x C C C   0: 0 36.0 kN x x x x x F B C B C        36.0 kN x B  on BCD 0: 18.00 kN 12 kN 0 6.00 kN y y y F B B        on BCD On ABE: 36.0 kN x  B  6.00 kN y  B  FBD member ABE: 0: (1.2 m)(36.0 kN) (0.6 m)(6.00 kN) (0.9 m)(2.00 kN) (1.8 m)( ) 0 A x M E       23.0 kN x  E  0: 23.0 kN 36.0 kN 0 x x F A       13.00 kN x  A  0: 2.00 kN 6.00 kN 0 y y F A       4.00 kN y  A  www.elsolucionario.org
  • 936.
    Copyright © McGraw-HillEducation. Permission required for reproduction or display. PROBLEM 6.102 For the frame and loading shown, determine the components of all forces acting on member ABE. SOLUTION FBD Frame: 0: (1.2 m)(2400 N) (4.8 m) 0 F y M E     600 N y  E  FBD member BC: 4.8 8 5.4 9 y x x C C C   0: (2.4 m) (1.2 m)(2400 N) 0 1200 N C y y M B B      On ABE: 1200 N y  B  0: 1200 N 2400 N 0 3600 N y y y F C C        so 9 4050 N 8 x y x C C C   0: 0 4050 N x x x x F B C B       on BC On ABE: 4050 N x  B  PROBLEM 6.102 (Continued) www.elsolucionario.org
  • 937.
    Copyright © McGraw-HillEducation. Permission required for reproduction or display. FBD member AB0E: 0: (4050 N) 2 0 A x M a aE     2025 N x E  2025 N x  E  0 : (4050 2025) N 0 x x F A       2025 N x  A  0: 600 N 1200 N 0 y y F A      1800 N y  A  www.elsolucionario.org
  • 938.
    Copyright © McGraw-HillEducation. Permission required for reproduction or display. PROBLEM 6.103 For the frame and loading shown, determine the components of all forces acting on member ABD. SOLUTION Free body: Entire frame: 0: (12 in.) (360 lb)(15 in.) (240 lb)(33 in.) 0 A M E      1110 lb E   1110 lb   E 0: 1110 lb 0 x x F A     1110 lb x A   1110 lb x  A  0: 360 lb 240 lb 0 y y F A      600 lb y A   600 lb y  A  Free body: Member CDE: 0: (1110 lb)(24 in.) (12 in.) 0 C x M D     2220 lb x D   www.elsolucionario.org
  • 939.
    Copyright © McGraw-HillEducation. Permission required for reproduction or display. PROBLEM 6.103 (Continued) Free body: Member ABD: From above: 2220 lb x  D  0: (18 in.) (600 lb)(6 in.) 0 B y M D     200 lb y D   200 lb y  D  0: 2220 lb 1110 lb 0 x x F B      1110 lb x B   1110 lb x  B  0: 200 lb 600 lb 0 y y F B      800 lb y B   800 lb y  B  www.elsolucionario.org
  • 940.
    Copyright © McGraw-HillEducation. Permission required for reproduction or display. PROBLEM 6.104 Solve Problem 6.103 assuming that the 360-lb load has been removed. PROBLEM 6.103 For the frame and loading shown, determine the components of all forces acting on member ABD. SOLUTION Free body diagram of entire frame. 0: (12 in.) (240 lb)(33 in.) 0 A M E     660 lb E   660 lb  E 0: 660 lb 0 x x F A     660 lb x A   660 lb x  A  0: 240 lb 0 y y F A     240 lb y A   240 lb y  A  Free body: Member CDE: 0: (660 lb)(24 in.) (12 in.) 0 C x M D     1320 lb x D   www.elsolucionario.org
  • 941.
    Copyright © McGraw-HillEducation. Permission required for reproduction or display. PROBLEM 6.104 (Continued) Free body: Member ABD: From above: 1320 lb x  D  0: (18 in.) (240 lb)(6 in.) 0 B y M D     80 lb y D   80.0 lb y  D  0: 1320 lb 660 lb 0 x x F B      660 lb x B   660 lb x  B  0: 80 lb 240 lb 0 y y F B      320 lb y B   320 lb y  B  www.elsolucionario.org
  • 942.
    Copyright © McGraw-HillEducation. Permission required for reproduction or display. PROBLEM 6.105 For the frame and loading shown, determine the components of the forces acting on member DABC at B and D. SOLUTION Free body: Entire frame: 0: (0.6 m) (12 kN)(1m) (6 kN)(0.5 m) 0 G M H      25 kN 25 kN H   H Free body: Member BEH: 0: (0.5 m) (25 kN)(0.2 m) 0 F x M B     10 kN x B   Free body: Member DABC: From above: 10.00 kN x  B  0: (0.8 m) (10 kN 12 kN)(0.5 m) 0 D y M B       13.75 kN y B   13.75 kN y  B  0: 10 kN 12 kN 0 x x F D       22 kN x D   22.0 kN x  D  0: 13.75 kN 0 y y F D      13.75 kN y D   13.75 kN y  D  www.elsolucionario.org
  • 943.
    Copyright © McGraw-HillEducation. Permission required for reproduction or display. PROBLEM 6.106 Solve Problem 6.105 assuming that the 6-kN load has been removed. PROBLEM 6.105 For the frame and loading shown, determine the components of the forces acting on member DABC at B and D. SOLUTION Free body: Entire frame 0: (0.6 m) (12 kN)(1 m) 0 G M H     20 kN 20 kN H   H Free body: Member BEH 0: (0.5 m) (20 kN)(0.2 m) 0 E x M B     8 kN x B   Free body: Member DABC From above: 8.00 kN x   B  0: (0.8 m) (8 kN 12 kN)(0.5 m) 0 D y M B       12.5 kN y B   12.50 kN y  B  0: 8 kN 12 kN 0 x x F D       20 kN x D   20.0 kN x  D  0: 12.5 kN 0; 12.5 kN y y y F D D        12.50 kN y  D  www.elsolucionario.org
  • 944.
    Copyright © McGraw-HillEducation. Permission required for reproduction or display. PROBLEM 6.107 The axis of the three-hinge arch ABC is a parabola with the vertex at B. Knowing that P  112 kN and Q  140 kN, determine (a) the components of the reaction at A, (b) the components of the force exerted at B on segment AB. SOLUTION Free body: Segment AB: 0: (3.2 m) (8 m) (5 m) 0 A x y M B B P      (1) 0.75 (Eq. 1): (2.4 m) (6 m) (3.75 m) 0 x y B B P    (2) Free body: Segment BC: 0: (1.8 m) (6 m) (3 m) 0 C x y M B B Q      (3) Add Eqs. (2) and (3): 4.2 3.75 3 0 x B P Q    (3.75 3 )/4.2 x B P Q   (4) From Eq. (1): 3.2 (3.75 3 ) 8 5 0 4.2 y P Q B P     ( 9 9.6 )/33.6 y B P Q    (5) given that 112 kN and 140 kN. P Q   (a) Reaction at A. Considering again AB as a free body, 0: 0; 200 kN x x x x x F A B A B       200 kN x  A  0: 0 y y y F A P B      112 kN 10 kN 0 y A    122 kN y A   122.0 kN y  A  www.elsolucionario.org
  • 945.
    Copyright © McGraw-HillEducation. Permission required for reproduction or display. PROBLEM 6.107 (Continued) (b) Force exerted at B on AB. From Eq. (4): (3.75 112 3 140)/4.2 200 kN x B      200 kN x  B  From Eq. (5): ( 9 112 9.6 140)/33.6 10 kN y B        10.00 kN y  B  www.elsolucionario.org
  • 946.
    Copyright © McGraw-HillEducation. Permission required for reproduction or display. PROBLEM 6.108 The axis of the three-hinge arch ABC is a parabola with the vertex at B. Knowing that P  140 kN and Q  112 kN, determine (a) the components of the reaction at A, (b) the components of the force exerted at B on segment AB. SOLUTION Free body: Segment AB: 0: (3.2 m) (8 m) (5 m) 0 A x y M B B P      (1) 0.75 (Eq. 1): (2.4 m) (6 m) (3.75 m) 0 x y B B P    (2) Free body: Segment BC: 0: (1.8 m) (6 m) (3 m) 0 C x y M B B Q      (3) Add Eqs. (2) and (3): 4.2 3.75 3 0 x B P Q    (3.75 3 )/4.2 x B P Q   (4) From Eq. (1): 3.2 (3.75 3 ) 8 5 0 4.2 y P Q B P     ( 9 9.6 )/33.6 y B P Q    (5) given that 140 kN and 112 kN. P Q   (a) Reaction at A. 0: 0; 205 kN x x x x x F A B A B       205 kN x  A  0: 0 y y y F A P B      140 kN ( 5.5 kN) 0 y A     134.5 kN y A  134.5 kN y  A  www.elsolucionario.org
  • 947.
    Copyright © McGraw-HillEducation. Permission required for reproduction or display. PROBLEM 6.108 (Continued) (b) Force exerted at B on AB. From Eq. (4): (3.75 140 3 112)/4.2 205 kN x B      205 kN x  B  From Eq. (5): ( 9 140 9.6 112)/33.6 5.5 kN y B        5.50 kN y  B  www.elsolucionario.org
  • 948.
    Copyright © McGraw-HillEducation. Permission required for reproduction or display. PROBLEM 6.109 Neglecting the effect of friction at the horizontal and vertical surfaces, determine the forces exerted at B and C on member BCE. SOLUTION Free body of Member ACD 0: (2 in.) (18 in.) 0 9 H x y x y M C C C C      (1) Free body of Member BCE 0: (6 in.) (6 in.) (50 lb)(12 in.) 0 B x y M C C      Substitute from (1): 9 (6) (6) 600 0 y y C C    10 lb; 9 9(10) 90 lb y x y C C C       90.6 lb  C 6.34°  0: 90 lb 0 90 lb x x x F B B      0: 10 lb 50 lb 0 40 lb y y y F B B       98.5 lb  B 24.0°  www.elsolucionario.org
  • 949.
    Copyright © McGraw-HillEducation. Permission required for reproduction or display. . PROBLEM 6.110 Neglecting the effect of friction at the horizontal and vertical surfaces, determine the forces exerted at B and C on member BCE. SOLUTION Free body of Member ACD We note that AC is a two-force member. or C 3 18 6 y x x y C C C   (1) On free body of Member BCE 0: (6 in.) (6 in.) (50.0 lb)(12 in.) 0 H x y M C C      Substitute from (1): 3 (6) (6) 600 0 y y C C    25.0 lb; 3 3(25.0) 75.0 lb y x y C C C       79.1lb  C 18.43°  0: 25.0 lb 50.0 lb 0 25.0 lb y F B B       25.0 lb  B  www.elsolucionario.org
  • 950.
    Copyright © McGraw-HillEducation. Permission required for reproduction or display. PROBLEM 6.111 Members ABC and CDE are pin-connected at C and supported by four links. For the loading shown, determine the force in each link. SOLUTION Member FBDs: I II FBD I: 1 0: 0 2 2 B y AF AF y M aC a F F C      FBD II: 1 0: 0 2 2 D y EH EH y M aC a F F C     FBDs combined: 1 1 1 1 0: 0 2 2 2 2 2 2 G AF EH y y M aP a F a F P C C        2 y P C  2 so 2 AF F P C    2 2 EH F P T   FBD I: 1 1 1 0: 0 0 2 2 2 2 2 y AF BG y BG P P F F F P C F P           0 BG F   FBD II: 1 1 1 0: 0 0 2 2 2 2 2 y y DG EH DG P P F C F F F           2 DG F P C   www.elsolucionario.org
  • 951.
    Copyright © McGraw-HillEducation. Permission required for reproduction or display. PROBLEM 6.112 Members ABC and CDE are pin-connected at C and supported by four links. For the loading shown, determine the force in each link. SOLUTION Member FBDs: I II FBD I: 0: 2 0 2 I y x y x M aC aC aP C C P        FBD II: 0: 2 0 2 0 J y x y x M aC aC C C       Solving, ; as shown. 2 4 x y P P C C   FBD I: 1 0: 0 2 2 x BG x BG x F F C F C       2 BG P F C   1 2 0: 0 2 4 2 y AF P F F P P               4 AF P F C   FBD II: 1 0: 0 2 2 x x DG DG x F C F F C       2 DG P F C   1 2 0: 0 2 4 2 4 2 y y EH EH P P P F C P F F                   4 EH P F T   www.elsolucionario.org
  • 952.
    Copyright © McGraw-HillEducation. Permission required for reproduction or display. PROBLEM 6.113 Members ABC and CDE are pin-connected at C and supported by four links. For the loading shown, determine the force in each link. SOLUTION Member FBDs: I II From FBD I: 3 0: 0 3 2 2 2 J x y x y a a a M C C P C C P        FBD II: 3 0: 0 3 0 2 2 K x y x y a a M C C C C       Solving, ; as drawn. 2 6 x y P P C C   FBD I: 1 2 0: 0 2 6 2 B y AG AG y M aC a F F C P       2 6 AG F P C   1 1 2 2 0: 0 2 6 2 2 2 x AG BF x BF AG x F F F C F F C P P           2 2 3 BF F P C   FBD II: 1 2 0: 0 2 6 2 D EH y EH y M a F aC F C P         2 6 EH F P T   1 1 2 2 0: 0 2 6 2 2 2 x x DI EH DI EH x F C F F F F C P P           2 3 DI F P C   www.elsolucionario.org
  • 953.
    Copyright © McGraw-HillEducation. Permission required for reproduction or display. PROBLEM 6.114 Members ABC and CDE are pin-connected at C and supported by the four links AF, BG, DG, and EH. For the loading shown, determine the force in each link. SOLUTION We consider members ABC and CDE: Free body: CDE: 0: (4 ) (2 ) 0 J x y M C a C a     2 y x C C   (1) Free body: ABC: 0: (2 ) (4 ) (3 ) 0 K x y M C a C a P a      Substituting for Cy from Eq. (1): (2 ) 2 (4 ) (3 ) 0 x x C a C a P a    1 1 2 2 2 x y C P C P P              1 0: 0 2 x BG x F F C     1 2 2 , 2 2 BG x P F C P              2 BG P F T   www.elsolucionario.org
  • 954.
    Copyright © McGraw-HillEducation. Permission required for reproduction or display. PROBLEM 6.114 (Continued) 1 0: 0 2 y AF BG y F F F P C        1 2 2 2 AF P P F P P       2 AF P F C   Free body: CDE: 1 0: 0 2 y DG y F F C     2 2 DG y F C P    2 DG F P T   1 0: 0 2 x EH x DG F F C F       1 1 2 2 2 2 EH P F P P             2 EH P F C   www.elsolucionario.org
  • 955.
    Copyright © McGraw-HillEducation. Permission required for reproduction or display. PROBLEM 6.115 Solve Problem 6.112 assuming that the force P is replaced by a clockwise couple of moment M0 applied to member CDE at D. PROBLEM 6.112 Members ABC and CDE are pin-connected at C and supported by four links. For the loading shown, determine the force in each link. SOLUTION Free body: Member ABC: 0: (2 ) ( ) 0 J y x M C a C a     2 x y C C   Free body: Member CDE: 0 0: (2 ) ( ) 0 K y x M C a C a M      0 (2 ) ( 2 )( ) 0 y y C a C a M     0 4 y M C a  v 2 : x y C C   0 2 x M C a   v 0 0: 0; 0 2 2 2 x x M D D F C a       0 2 M D a  0 2 DG M F T a   0 0: ( ) ( ) 0 D y M E a C a M      0 0 ( ) ( ) 0 4 M E a a M a          0 3 4 M E a   0 3 4 EH M F C a   Return to free body of ABC: 0 0: 0; 0 2 2 2 x x M B B F C a       0 2 M B a  0 2 BG M F T a   0 0: ( ) ( ); ( ) ( ) 0 4 B y M M A a C a A a a a      0 4 M A a   0 4 AF M F C a   www.elsolucionario.org
  • 956.
    Copyright © McGraw-HillEducation. Permission required for reproduction or display. PROBLEM 6.116 Solve Problem 6.114 assuming that the force P is replaced by a clockwise couple of moment M0 applied at the same point. PROBLEM 6.114 Members ABC and CDE are pin-connected at C and supported by the four links AF, BG, DG, and EH. For the loading shown, determine the force in each link. SOLUTION Free body: CDE: (same as for Problem 6.114) 0: (4 ) (2 ) 0 J x y M C a C a     2 y x C C   (1) Free body: ABC: 0 0: (2 ) (4 ) 0 K x y M C a C a M      Substituting for Cy from Eq. (1): 0 (2 ) 2 (4 ) 0 x x C a C a M    0 0 0 6 2 6 3 x y M C a M M C a a              1 0: 0 2 x BG x F F C     0 2 2 6 BG x M F C a     0 2 6 BG M F T a   1 0: 0 2 y AF BG y F F F C       0 0 0 2 1 6 3 6 2 AF M M M F a a a      0 6 AF M F T a   www.elsolucionario.org
  • 957.
    Copyright © McGraw-HillEducation. Permission required for reproduction or display. PROBLEM 6.116 (Continued) Free body: CDE: (Use F.B. diagram of Problem 6.114.) 1 0: 0 2 y DG y F F C     0 2 2 3 DG y M F C a    0 2 3 DG M F T a   1 0: 0 2 x EH x DG F F C F       0 0 0 2 1 , 6 3 6 2 EH M M M F a a a                          0 6 EH M F C a   www.elsolucionario.org
  • 958.
    Copyright © McGraw-HillEducation. Permission required for reproduction or display. PROBLEM 6.117 Four beams, each of length 2a, are nailed together at their midpoints to form the support system shown. Assuming that only vertical forces are exerted at the connections, determine the vertical reactions at A, D, E, and H. SOLUTION Note that, if we assume P is applied to EG, each individual member FBD looks like so left right middle 2 2 F F F   Labeling each interaction force with the letter corresponding to the joint of its application, we see that 2 2 2 2 2 2 2 ( 4 8 16 ) 2 B A F C B D G C H P F G C B F E             From 16 , P F F   15 P F  so 15 P  A   2 15 P  D  4 15 P  H  8 15 P  E  www.elsolucionario.org
  • 959.
    Copyright © McGraw-HillEducation. Permission required for reproduction or display. PROBLEM 6.118 Four beams, each of length 3a, are held together by single nails at A, B, C, and D. Each beam is attached to a support located at a distance a from an end of the beam as shown. Assuming that only vertical forces are exerted at the connections, determine the vertical reactions at E, F, G, and H. SOLUTION We shall draw the free body of each member. Force P will be applied to member AFB. Starting with member AED, we shall express all forces in terms of reaction E. Member AED: 0: (3 ) ( ) 0 D M A a E a     3 E A   0: (3 ) (2 ) 0 A M D a E a      2 3 E D   Member DHC: 2 0: (3 ) ( ) 0 3 C E M a H a            2 H E   (1) 2 0: (2 ) ( ) 0 3 H E M a C a            4 3 E C   Member CGB: 4 0: (3 ) ( ) 0 3 B E M a G a            4 G E   (2) 4 0: (2 ) ( ) 0 3 G E M a B a            8 3 E B   www.elsolucionario.org
  • 960.
    Copyright © McGraw-HillEducation. Permission required for reproduction or display. PROBLEM 6.118 (Continued) Member AFB: 0: 0 y F F A B P       8 0 3 3 E E F P                   3 F P E   (3) 0: ( ) (3 ) 0 A M F a B a     8 ( 3 )( ) (3 ) 0 3 E P E a a           3 8 0; 5 P P E E E      5 P  E  Substitute 5 P E   into Eqs. (1), (2), and (3). 2 2 5 P H E            2 5 P H   2 5 P  H  4 4 5 P G E           4 5 P G   4 5 P  G  3 3 5 P F P E P            8 5 P F   8 5 P  F   www.elsolucionario.org
  • 961.
    Copyright © McGraw-HillEducation. Permission required for reproduction or display. PROBLEM 6.119 Each of the frames shown consists of two L-shaped members connected by two rigid links. For each frame, determine the reactions at the supports and indicate whether the frame is rigid. SOLUTION (a) Member FBDs: I II FBD II: 0: 0 y y F B    2 0: 0 B M aF    2 0 F  FBD I: 2 0: 2 0, A M aF aP     but 2 0 F  so 0 P  not rigid for 0 P   (b) Member FBDs: Note: Seven unknowns 1 2 ( , , , , , , ), x y x y A A B B F F C but only six independent equations System is statically indeterminate.   System is, however, rigid.  www.elsolucionario.org
  • 962.
    Copyright © McGraw-HillEducation. Permission required for reproduction or display. PROBLEM 6.119 (Continued) (c) FBD whole: FBD right: I II FBD I: 0: 5 2 0 A y M aB aP     2 5 y P  B  2 0: 0 5 y y F A P P      3 5 y P  A FBD II: 5 0: 0 5 2 2 2 C x y x y x a a M B B B B P       B FBD I: 0: 0 x x x x x F A B A B       2 x P  A 2.09P  A 16.70  2.04P  B 11.31  System is rigid.  www.elsolucionario.org
  • 963.
    Copyright © McGraw-HillEducation. Permission required for reproduction or display. PROBLEM 6.120 Each of the frames shown consists of two L-shaped members connected by two rigid links. For each frame, determine the reactions at the supports and indicate whether the frame is rigid. SOLUTION Note: In all three cases, the right member has only three forces acting, two of which are parallel. Thus, the third force, at B, must be parallel to the link forces. (a) FBD whole: 4 0: 2 5 0 2.06 4 17 17 A a M aP B a B B P         2.06P  B 14.04  4 0: 0 17 x x F A B     2 x P  A 1 0: 0 2 17 y y y P F A P B       A 2.06P  A 14.04  rigid  (b) FBD whole: Since B passes through A, 2 0 only if 0. A M aP P     no equilibrium if 0 P  not rigid  www.elsolucionario.org
  • 964.
    Copyright © McGraw-HillEducation. Permission required for reproduction or display. PROBLEM 6.120 (Continued) (c) FBD whole: 1 3 4 17 0: 5 2 0 4 4 17 17 A a M a B B aP B P       1.031P  B 14.04  4 0: 0 17 x x x F A B A P       1 3 0: 0 4 4 17 y y y P P F A P B A P         1.250P  A 36.9  System is rigid.  www.elsolucionario.org
  • 965.
    Copyright © McGraw-HillEducation. Permission required for reproduction or display. PROBLEM 6.121 Each of the frames shown consists of two L-shaped members connected by two rigid links. For each frame, determine the reactions at the supports and indicate whether the frame is rigid. SOLUTION (a) Member FBDs: I II FBD I: 1 1 0: 2 0 2 ; A M aF aP F P      0: 0 y y y F A P P      A FBD II: 2 2 0: 0 0 B M aF F      1 1 0: 0, 2 x x x F B F B F P         2 x P  B 0: 0 y y F B    so 2P  B  FBD I: 1 2 2 1 0: 0 0 2 x x x F A F F A F F P           2 x P  A so 2.24P  A 26.6  Frame is rigid.  (b) FBD left: FBD whole: I II FBD I: 5 0: 0 5 2 2 2 E x y x y a a a M P A A A A P         FBD II: 0: 3 5 0 5 3 B x y x y M aP aA aA A A P         This is impossible unless 0. P  not rigid  www.elsolucionario.org
  • 966.
    Copyright © McGraw-HillEducation. Permission required for reproduction or display. PROBLEM 6.121 (Continued) (c) Member FBDs: I II FBD I: 0: 0 y F A P     P  A  1 1 0: 2 0 2 D M aF aA F P      2 1 2 0: 0 2 x F F F F P       FBD II: 1 1 0: 2 0 2 B F M aC aF C P       P  C  1 2 0: 0 0 x x x F F F B B P P          0: 0 x y y F B C B C P         P  B  Frame is rigid.  www.elsolucionario.org
  • 967.
    Copyright © McGraw-HillEducation. Permission required for reproduction or display. PROBLEM 6.122 The shear shown is used to cut and trim electronic circuit board laminates. For the position shown, determine (a) the vertical component of the force exerted on the shearing blade at D, (b) the reaction at C. SOLUTION We note that BD is a two-force member. Free body: Member ABC: We have the components: (400 N)sin30 200 N x    P (400 N)cos30 346.41 N y    P 25 ( ) 65 BD x BD F  F 60 ( ) 65 BD y BD F  F 0: ( ) (45) ( ) (30) (45 300sin30 ) (30 300cos30 ) 0 C BD x BD y x y M F F P P           3 25 60 (45) (30) (200)(195) (346.41)(289.81) 65 65 45 139.39 10 3097.6 N BD BD BD BD F F F F                   (a) Vertical component of force exerted on shearing blade at D. 60 60 ( ) (3097.6 N) 2859.3 N 65 65 BD y BD F F    ( ) 2860 N BD y  F  www.elsolucionario.org
  • 968.
    Copyright © McGraw-HillEducation. Permission required for reproduction or display. PROBLEM 6.122 (Continued) (b) Returning to FB diagram of member ABC, 0: ( ) 0 x BD x x x F F P C      25 ( ) 65 25 (3097.6) 200 65 991.39 x BD x x BD x x C F P F P C         991.39 N x  C 0: ( ) 0 y BD y y y F F P C      60 60 ( ) (3097.6) 346.41 65 65 y BD y y BD y C F P F P       2512.9 N y C   2512.9 y  C 2295 N C  2700 N  C 68.5°  www.elsolucionario.org
  • 969.
    Copyright © McGraw-HillEducation. Permission required for reproduction or display. PROBLEM 6.123 A 100-lb force directed vertically downward is applied to the toggle vise at C. Knowing that link BD is 6 in. long and that a = 4 in., determine the horizontal force exerted on block E. SOLUTION Free body: Entire Frame We have   4 in. sin15 1.03528 in. 1.03528 in. sin = 9.9359 6 in. BF        4cos15 6cos9.9359 9.7737 in. AD AG FD          0: (100 lb)(10 in.)cos 15 ( )sin (9.7737 in.) 0 A BD M F       572.77 lb BD F  Horizontal force exerted on block.   ( ) cos (572.77 lb)cos 9.9359 BD x BD F F     ( ) 564 lb BD x  F  www.elsolucionario.org
  • 970.
    Copyright © McGraw-HillEducation. Permission required for reproduction or display. PROBLEM 6.124 A 100-lb force directed vertically downward is applied to the toggle vise at C. Knowing that link BD is 6 in. long and that a = 8 in., determine the horizontal force exerted on block E. SOLUTION Free body: Entire Frame We have   8 in. sin15 2.0706 in. 2.0706 in. sin = 20.188 6 in. BF            8 in. cos15 7.7274 in. 6 in. cos20.188 5.6314 in. 13.359 in. AF FD AD AF FD            0: (100 lb)(14 in.)cos 15 ( )sin (13.359 in.) 0 A BD M F       293.33 lb BD F  Horizontal force exerted on block.   ( ) cos (293.33 lb)cos 20.188 BD x BD F F     ( ) 275 lb BD x  F  www.elsolucionario.org
  • 971.
    Copyright © McGraw-HillEducation. Permission required for reproduction or display. PROBLEM 6.125 The control rod CE passes through a horizontal hole in the body of the toggle system shown. Knowing that link BD is 250 mm long, determine the force Q required to hold the system in equilibrium when   20. SOLUTION We note that BD is a two-force member. Free body: Member ABC: Since 250, BD  1 33.404 sin ; 7.679 250       0: ( sin )187.94 ( cos )68.404 (100 N)328.89 0 C BD BD M F F        [187.94sin7.679 68.404cos7.679 ] 32,889 770.6 N BD BD F F      0: (770.6 N)cos7.679 0 x x F C      763.7 N x C   Member CQ: 0: 763.7 N x x F Q C     764 N  Q  Dimensions in mm www.elsolucionario.org
  • 972.
    Copyright © McGraw-HillEducation. Permission required for reproduction or display. PROBLEM 6.126 Solve Problem 6.125 when (a)   0, (b)   6. PROBLEM 6.125 The control rod CE passes through a horizontal hole in the body of the toggle system shown. Knowing that link BD is 250 mm long, determine the force Q required to hold the system in equilibrium when   20. SOLUTION We note that BD is a two-force member. (a) 0:   Free body: Member ABC Since 35 mm 250 mm, sin ; 8.048 250 mm BD       0: (100 N)(350 mm) sin (200 mm) 0 C BD M F      1250 N BD F  0: cos 0 x BD x F F C      (1250 N)(cos 8.048 ) 0 1237.7 N x x C     C Member CE: 0: (1237.7 N) 0 x F Q     1237.7 N Q  1238 N  Q  (b) 6    Free body: Member ABC Since 1 14.094 mm 250 mm, sin 250 mm BD     3.232    Dimensions in mm www.elsolucionario.org
  • 973.
    Copyright © McGraw-HillEducation. Permission required for reproduction or display. PROBLEM 6.126 (Continued) 0: ( sin )198.90 ( cos )20.906 (100 N)348.08 0 C BD BD M F F        [198.90sin3.232 20.906cos3.232 ] 34808 1084.8 N BD BD F F      0: cos 0 x BD x F F C      (1084.8 N)cos3.232 0 x C    1083.1 N x C   Member DE: 0:    x x F Q C 1083.1 N Q  1083 N  Q  www.elsolucionario.org
  • 974.
    Copyright © McGraw-HillEducation. Permission required for reproduction or display. PROBLEM 6.127 The press shown is used to emboss a small seal at E. Knowing that P  250 N, determine (a) the vertical component of the force exerted on the seal, (b) the reaction at A. SOLUTION FBD Stamp D: 0: cos20 0, cos20 y BD BD F E F E F        FBD ABC: 0: (0.2 m)(sin30 )( cos20 ) (0.2 m)(cos30 )( sin20 ) A BD BD M F F        [(0.2 m)sin30 (0.4 m)cos15 ](250 N) 0      793.64 N BD F C  and, from above, (793.64 N)cos20 E   (a) 746 N  E  0: (793.64 N)sin20 0 x x F A      271.44 N x  A 0: (793.64 N)cos20 250 N 0 y y F A       495.78 N y  A (b) 565 N  A 61.3°  www.elsolucionario.org
  • 975.
    Copyright © McGraw-HillEducation. Permission required for reproduction or display. PROBLEM 6.128 The press shown is used to emboss a small seal at E. Knowing that the vertical component of the force exerted on the seal must be 900 N, determine (a) the required vertical force P, (b) the corresponding reaction at A. SOLUTION FBD Stamp D: 0: 900 N cos20 0, 957.76 N y BD BD F F F C       (a) FBD ABC: 0: [(0.2 m)(sin30 )](957.76 N)cos20 [(0.2 m)(cos30 )](957.76 N)sin 20 A M        [(0.2 m)sin30 (0.4 m)cos15 ] 0 P      301.70 N, P  302 N  P  (b) 0: (957.76 N)sin20 0 x x F A      327.57 N x  A 0: (957.76 N)cos20 301.70 N 0 y y F A        598.30 N y  A 682 N  A 61.3°  www.elsolucionario.org
  • 976.
    Copyright © McGraw-HillEducation. Permission required for reproduction or display. PROBLEM 6.129 The pin at B is attached to member ABC and can slide freely along the slot cut in the fixed plate. Neglecting the effect of friction, determine the couple M required to hold the system in equilibrium when 30 .    SOLUTION Free body: Member ABC: 0: (25 lb)(13.856 in.) (3in.) 0 C M B     115.47 lb B   0: 25 lb 0 y y F C      25 lb y C   0: 115.47 lb 0 x x F C     115.47 lb x C   Free body: Member CD: 1 5.196 sin ; 40.505 8       cos (8 in.)cos40.505 6.083 in. CD     0: (25 lb)(5.196 in.) (115.47 lb)(6.083in.) 0 D M M      832.3 lb in. M    832 lb in.   M  www.elsolucionario.org
  • 977.
    Copyright © McGraw-HillEducation. Permission required for reproduction or display. PROBLEM 6.130 The pin at B is attached to member ABC and can slide freely along the slot cut in the fixed plate. Neglecting the effect of friction, determine the couple M required to hold the system in equilibrium when 60 .    SOLUTION Free body: Member ABC: 0: (25 lb)(8 in.) (5.196 in.) 0 C M B     38.49 lb B   0: 38.49 lb 0 x x F C     38.49 lb x C   0: 25 lb 0 y y F C      25 lb y C   Free body: Member CD: 1 3 sin ; 22.024 8       cos (8 in.)cos22.024 7.416 in. CD     0: (25 lb)(3in.) (38.49 lb)(7.416 in.) 0 D M M      360.4 lb in. M    360 lb in.   M  www.elsolucionario.org
  • 978.
    Copyright © McGraw-HillEducation. Permission required for reproduction or display. PROBLEM 6.131 Arm ABC is connected by pins to a collar at B and to crank CD at C. Neglecting the effect of friction, determine the couple M required to hold the system in equilibrium when 0.   SOLUTION Free body: Member ABC 0: 240 N 0 x x F C     240 N x C   0: (240 N)(500 mm) (160 mm) 0 C M B     750 N B   0: 750 N 0 y y F C     750 N y C   Free body: Member CD 0: (750 N)(300 mm) (240 N)(125 mm) 0 D M M      3 195 10 N mm M     195.0 kN m   M  www.elsolucionario.org
  • 979.
    Copyright © McGraw-HillEducation. Permission required for reproduction or display. PROBLEM 6.132 Arm ABC is connected by pins to a collar at B and to crank CD at C. Neglecting the effect of friction, determine the couple M required to hold the system in equilibrium when 90 .    SOLUTION Free body: Member ABC 0: 0 x x F C    0: (160 mm) (240 N)(90 mm) 0 B y M C     135 N y C   Free body: Member CD 0: (135 N)(300 mm) 0 D M M     3 40.5 10 N mm M     40.5 kN m   M  www.elsolucionario.org
  • 980.
    Copyright © McGraw-HillEducation. Permission required for reproduction or display. PROBLEM 6.133 The Whitworth mechanism shown is used to produce a quick-return motion of Point D. The block at B is pinned to the crank AB and is free to slide in a slot cut in member CD. Determine the couple M that must be applied to the crank AB to hold the mechanism in equilibrium when (a) α  0, (b) α  30°. SOLUTION (a) Free body: Member CD: 0: (0.5 m) (1200 N)(0.7 m) 0 C M B     1680 N B  Free body: Crank AB: 0: (1680 N)(0.1m) 0 A M M     168.0 N m M   168.0 N m   M  (b) Geometry: 100 mm, 30° AB    50 tan 5.87 486.6      2 2 (50) (486.6) 489.16 mm BC    Free body: Member CD: 0: (0.48916) (1200 N)(0.7)cos5.87 0 C M B      1708.2 N B  www.elsolucionario.org
  • 981.
    Copyright © McGraw-HillEducation. Permission required for reproduction or display. PROBLEM 6.133 (Continued) Free body: Crank AB: 0: ( sin65.87 )(0.1m) 0 A M M B      (1708.2 N)(0.1m)sin65.87 155.90 N m M M     155.9 N m   M  www.elsolucionario.org
  • 982.
    Copyright © McGraw-HillEducation. Permission required for reproduction or display. PROBLEM 6.134 Solve Problem 6.133 when (a) α  60, (b) α  90. PROBLEM 6.133 The Whitworth mechanism shown is used to produce a quick-return motion of Point D. The block at B is pinned to the crank AB and is free to slide in a slot cut in member CD. Determine the couple M that must be applied to the crank AB to hold the mechanism in equilibrium when (a) α  0, (b) α  30°. SOLUTION (a) Geometry: 100 mm, 60° AB    100cos60 86.60 BE    2 2 400 100sin 60 450 86.60 tan 10.89 450 (86.60) (450) 458.26 mm CE BC             Free body: Member CD: 0: (0.45826 m) (1200 N)(0.7 m)cos10.89 0 C M B      1800.0 N B  Free body: Crank AB: 0: ( sin40.89 )(0.1m) 0 A M M B      (1800.0 N)(0.1m)sin 40.89 M   117.83 N m M   117.8 N m   M  www.elsolucionario.org
  • 983.
    Copyright © McGraw-HillEducation. Permission required for reproduction or display. PROBLEM 6.134 (Continued) (b) Free body: Member CD: 2 2 0.1m tan 0.4 m 14.04 (0.1) (0.4) 0.41231m BC         0: (0.41231) (1200 N)(0.7cos14.04 ) 0 C M B      1976.4 N B  Free body: Crank AB: 0: ( sin14.04 )(0.1m) 0 A M M B      (1976.4 N)(0.1m)sin14.04 47.948 N m M M     47.9 N m   M  www.elsolucionario.org
  • 984.
    Copyright © McGraw-HillEducation. Permission required for reproduction or display. PROBLEM 6.135 Two rods are connected by a frictionless collar B. Knowing that the magnitude of the couple MA is 500 lb · in., determine (a) the couple MC required for equilibrium, (b) the corresponding components of the reaction at C. SOLUTION (a) Free body: Rod AB & collar: 0: ( cos )(6 in.) ( sin )(8 in.) 0 A A M B B M        (6cos21.8 8sin 21.8 ) 500 0 B       58.535 lb B  Free body: Rod BC: 0: 0 C C M M B      (58.535 lb)(21.541in.) 1260.9 lb in. C M B      1261lb in. C   M  (b) 0: cos 0 x x F C B      cos (58.535 lb)cos21.8 54.3 lb x C B         54.3lb x  C  0: sin 0 y y F C B      sin (58.535 lb)sin 21.8 21.7 lb y C B       21.7 lb y  C  www.elsolucionario.org
  • 985.
    Copyright © McGraw-HillEducation. Permission required for reproduction or display. PROBLEM 6.136 Two rods are connected by a frictionless collar B. Knowing that the magnitude of the couple MA is 500 lb · in., determine (a) the couple MC required for equilibrium, (b) the corresponding components of the reaction at C. SOLUTION (a) Free body: Rod AB: 0: (10 in.) 500 lb in. 0 A M B      50.0 B  Free body: Rod BC & collar: 0: (0.6 )(20 in.) (0.8 )(8 in.) 0 C C M M B B      (30 lb)(20 in.) (40 lb)(8 in.) 0 C M    920 lb in. C M   920 lb in. C   M  (b) 0: 0.6 0 x x F C B     0.6 0.6(50.0 lb) 30.0 lb x C B       30.0 lb x  C  0: 0.8 0 y y F C B     0.8 0.8(50.0 lb) 40.0 lb y C B     40.0 lb y  C  www.elsolucionario.org
  • 986.
    Copyright © McGraw-HillEducation. Permission required for reproduction or display. PROBLEM 6.137 Rod CD is attached to the collar D and passes through a collar welded to end B of lever AB. Neglecting the effect of friction, determine the couple M required to hold the system in equilibrium when 30 .    SOLUTION FBD DC: 0: sin30 (150 N)cos30 0 x y F D        (150 N) ctn 30 259.81 N y D    FBD machine: 0: (0.100 m)(150 N) (259.81 N) 0 A M d M      0.040 m d b   0.030718 m tan 30 b  so 0.053210 m b  0.0132100 m 18.4321 N m d M    18.43 N m   M  www.elsolucionario.org
  • 987.
    Copyright © McGraw-HillEducation. Permission required for reproduction or display. PROBLEM 6.138 Rod CD is attached to the collar D and passes through a collar welded to end B of lever AB. Neglecting the effect of friction, determine the couple M required to hold the system in equilibrium when 30 .    SOLUTION Note: CD  B FBD DC: 0: sin30 (300 N)cos30 0 x y F D        300 N 519.62 N tan30 y D    FBD machine: 0.200 m 0: 519.62 N 0 sin30 A M M      207.85 N m M   208 N m   M  www.elsolucionario.org
  • 988.
    Copyright © McGraw-HillEducation. Permission required for reproduction or display. PROBLEM 6.139 Two hydraulic cylinders control the position of the robotic arm ABC. Knowing that in the position shown the cylinders are parallel, determine the force exerted by each cylinder when 160 N P  and 80 N. Q  SOLUTION Free body: Member ABC: 4 0: (150 mm) (160 N)(600 mm) 0 5 B AE M F     800 N AE F   800 N AE F T   3 0: (800 N) 80 N 0 5 x x F B       560 N x B   4 0: (800 N) 160 N 0 5 y y F B       800 N y B   Free body: Member BDF: 4 0: (560 N)(400 mm) (800 N)(300 mm) (200 mm) 0 5 F DG M F      100 N DG F   100.0 N DG F C   www.elsolucionario.org
  • 989.
    Copyright © McGraw-HillEducation. Permission required for reproduction or display. PROBLEM 6.140 Two hydraulic cylinders control the position of the robotic arm ABC. In the position shown, the cylinders are parallel and both are in tension. Knowing the 600 N AE F  and 50 N, DG F  determine the forces P and Q applied at C to arm ABC. SOLUTION Free body: Member ABC: 4 0: (600 N)(150 mm) (600 mm) 0 5 B M P     120 N P   120.0 N  P  4 0: (600)(750 mm) (600 mm) 0 5 C y M B     600 N y B   Free body: Member BDF: 0: (400 mm) (600 N)(300 mm) F x M B    4 (50 N)(200 mm) 0 5   470 N x B   Return to free body: Member ABC: 3 0: (600 N) 470 N 0 5 x F Q       110 N Q   110.0 N  Q  www.elsolucionario.org
  • 990.
    Copyright © McGraw-HillEducation. Permission required for reproduction or display. PROBLEM 6.141 A 39-ft length of railroad rail of weight 44 lb/ft is lifted by the tongs shown. Determine the forces exerted at D and F on tong BDF. SOLUTION Free body: Rail: Free body: Upper link: Free Body: Tong BDF: (39 ft)(44 lb/ft) 1716 lb W   By symmetry, 1 858 lb 2 y y E F W    By symmetry, 1 ( ) ( ) 858 lb 2 AB y AC y F F W    Since AB is a two-force member, ( ) ( ) 9.6 ( ) (858) 1372.8 lb 9.6 6 6 AB y AB x AB x F F F    0: (Attach at .) D AB M F A   (8) ( ) (18) (0.8) 0 (8) (1372.8 lb)(18) (858 lb)(0.8) 0 x AB x y x F F F F       3174.6 lb x F   3290 lb  F 15.12  0: ( ) 0 x x AB x x F D F F       ( ) 1372.8 3174.6 4547.4 lb x AB x x D F F      0: ( ) 0 y y AB y y F D F F      0 y D  4550 lb  D  www.elsolucionario.org
  • 991.
    Copyright © McGraw-HillEducation. Permission required for reproduction or display. PROBLEM 6.142 A log weighing 800 lb is lifted by a pair of tongs as shown. Determine the forces exerted at E and F on tong DEF. SOLUTION FBD AB: FBD DEF: By symmetry: 400 lb y y A B   and 6 (400 lb) 5 480 lb x x A B    Note:   D B so 480 lb 400 lb x y D D   (10.5 in.)(400 lb) (15.5 in.)(480 lb) (12 in.) 0 F x M E      970 lb x E  970 lb  E  0: 480 lb 970 lb 0 490 lb x x x F F F        0: 400 lb 0 400 lb y y y F F F      633 lb  F 39.2  www.elsolucionario.org
  • 992.
    Copyright © McGraw-HillEducation. Permission required for reproduction or display. PROBLEM 6.143 The tongs shown are used to apply a total upward force of 45 kN on a pipe cap. Determine the forces exerted at D and F on tong ADF. SOLUTION FBD whole: FBD ADF: By symmetry, 22.5 kN   A B 0: (75 mm) (100 mm)(22.5 kN) 0 F M D     30.0 kN  D  0: 0 x x F F D     30 kN x F D   0: 22.5 kN 0 y y F F     22.5 kN y F  so 37.5 kN  F 36.9  www.elsolucionario.org
  • 993.
    Copyright © McGraw-HillEducation. Permission required for reproduction or display. PROBLEM 6.144 If the toggle shown is added to the tongs of Problem 6.141 and a single vertical force is applied at G, determine the forces exerted at D and F on tong ADF. SOLUTION Free body: Toggle: By symmetry, 1 (45 kN) 22.5 kN 2 y A   AG is a two-force member. 22.5 kN 22 mm 55 mm 56.25 kN x x A A   Free body: Tong ADF: 0: 22.5 kN 0 y y F F     22.5 kN y F   0: (75 mm) (22.5 kN)(100 mm) (56.25 kN)(160 mm) 0 F M D      150 kN D   150.0 kN  D  0: 56.25 kN 150 kN 0 x x F F      93.75 kN x F  96.4 kN  F 13.50  www.elsolucionario.org
  • 994.
    Copyright © McGraw-HillEducation. Permission required for reproduction or display. PROBLEM 6.145 The pliers shown are used to grip a 0.3-in.-diameter rod. Knowing that two 60-lb forces are applied to the handles, determine (a) the magnitude of the forces exerted on the rod, (b) the force exerted by the pin at A on portion AB of the pliers. SOLUTION Free body: Portion AB: (a) 0: (1.2 in.) (60 lb)(9.5 in.) 0 A M Q     475 lb Q   (b) 0: (sin30 ) 0 x x F Q A      (475 lb)(sin30 ) 0 x A    237.5 lb x A   237.5 lb x  A 0: (cos30 ) 60 lb 0 y y F Q A        (475 lb)(cos30 ) 60 lb 0      y A 471.4 lb y A   471.4 lb y  A 528 lb  A 63.3  www.elsolucionario.org
  • 995.
    Copyright © McGraw-HillEducation. Permission required for reproduction or display. PROBLEM 6.146 Determine the magnitude of the gripping forces exerted along line aa on the nut when two 50-lb forces are applied to the handles as shown. Assume that pins A and D slide freely in slots cut in the jaws. SOLUTION FBD jaw AB: 0: 0 x x F B    0: (0.5 in.) (1.5 in.) 0 B M Q A     3 Q A  0: 0 y y F A Q B      4 3 y Q B A Q    FBD handle ACE: By symmetry and FBD jaw DE, 3 0 4 3 x x y y Q D A E B Q E B       4 0: (5.25 in.)(50 lb) (0.75 in.) (0.75 in.) 0 3 3 C Q Q M      350 lb Q   www.elsolucionario.org
  • 996.
    Copyright © McGraw-HillEducation. Permission required for reproduction or display. PROBLEM 6.147 In using the bolt cutter shown, a worker applies two 300-N forces to the handles. Determine the magnitude of the forces exerted by the cutter on the bolt. SOLUTION FBD cutter AB: FBD handle BC: I Dimensions in mm II FBD I: 0: 0 x x F B    FBD II: 0: (12 mm) (448 mm)300 N 0 C y M B     11,200.0 N y B  Then FBD I: 0: (96 mm) (24 mm) 0 A y M B F     4 y F B  44,800 N 44.8 kN F    www.elsolucionario.org
  • 997.
    Copyright © McGraw-HillEducation. Permission required for reproduction or display. PROBLEM 6.148 Determine the magnitude of the gripping forces produced when two 300-N forces are applied as shown. SOLUTION We note that AC is a two-force member. FBD handle CD: 2.8 0: (126 mm)(300 N) (6 mm) 8.84 D M A     1 (30 mm) 0 8.84 A         Dimensions in mm 2863.6 8.84 N A  FBD handle AB: 1 0: (132 mm)(300 N) (120 mm) (2863.6 8.84 N) 8.84 (36 mm) 0      B M F 8.45 kN F   Dimensions in mm www.elsolucionario.org
  • 998.
    Copyright © McGraw-HillEducation. Permission required for reproduction or display. PROBLEM 6.149 Determine the force P that must be applied to the toggle CDE to maintain bracket ABC in the position shown. SOLUTION We note that CD and DE are two-force members. Free body: Joint D: ( ) ( ) ( ) 5( ) 30 150 CD y CD x CD y CD x F F F F   Similarly, ( ) 5( ) DE y DE x F F  0: ( ) ( ) y DE y CD y F F F    It follows that ( ) ( ) DE x CD x F F  0: ( ) ( ) 0 x DE x CD x F P F F      1 ( ) ( ) 2 DE x CD x F F P   Also, 1 ( ) ( ) 5 2.5 2 DE y CD y F F P P          Free body: Member ABC: 1 0: (2.5 )(300) (450) (910 N)(150) 0 2 A M P P            (750 225) (910 N)(150) P   140.0 N P   Dimensions in mm www.elsolucionario.org
  • 999.
    Copyright © McGraw-HillEducation. Permission required for reproduction or display. PROBLEM 6.150 Determine the force P that must be applied to the toggle CDE to maintain bracket ABC in the position shown. SOLUTION We note that CD and DE are two-force members. Free body: Joint D: ( ) ( ) ( ) 5( ) 30 150 CD y CD x CD y CD x F F F F   Similarly, ( ) 5( ) DE y DE x F F  0: ( ) ( ) y DE y CD y F F F    It follows that ( ) ( ) DE x CD x F F  0: ( ) ( ) 0 x DE x CD x F F F P      1 ( ) ( ) 2 DE x CD x F F P   Also, 1 ( ) ( ) 5 2.5 2 DE y CD y F F P P          Free body: Member ABC: 1 0: (2.5 )(300) (450) (910 N)(150) 0 2 A M P P            (750 225) (910 N)(150) P   260 N P   Dimensions in mm www.elsolucionario.org
  • 1000.
    Copyright © McGraw-HillEducation. Permission required for reproduction or display. PROBLEM 6.151 Since the brace shown must remain in position even when the magnitude of P is very small, a single safety spring is attached at D and E. The spring DE has a constant of 50 lb/in. and an unstretched length of 7 in. Knowing that l = 10 in. and that the magnitude of P is 800 lb, determine the force Q required to release the brace. SOLUTION Free body:     0: 15 in. 35 in. 0 A x M Q C     7 (1) 3 x Q C  0: 800 lb 0 or 800 lb y y y F C C      Spring force. Unstretched length: 0 7 in.   Stretched length: 10 in.   50 lb/in. k  0 ( ) 50(10 7) 150 lb F kx k         Free body: Portion BC         0: 150 lb 2 in. 800 lb 3 in. 20 in. 0 B x M C      135.0 lb x C  Substituting into equation (1) gives 315 lb  Q  www.elsolucionario.org
  • 1001.
    Copyright © McGraw-HillEducation. Permission required for reproduction or display. PROBLEM 6.152 The specialized plumbing wrench shown is used in confined areas (e.g., under a basin or sink). It consists essentially of a jaw BC pinned at B to a long rod. Knowing that the forces exerted on the nut are equivalent to a clockwise (when viewed from above) couple of magnitude 135 lb  in., determine (a) the magnitude of the force exerted by pin B on jaw BC, (b) the couple M0 that is applied to the wrench. SOLUTION Free body: Jaw BC: This is a two-force member. 5 8 2.4 1.5 in. in. y x y x C C C C   0: x x x F B C    (1) 0: 2.4 y y y x F B C C     (2) Free body: Nut: 0: x x x F C D    135 lb in. M    (1.125in.) 135 lb in. x C   120 lb x C  (a) Eq. (1): 120 lb x x B C   Eq. (2): 2.4(120 lb) 288 lb y y B C      1/2 2 2 2 2 1/2 (120 288 ) x y B B B     312 lb B   (b) Free body: Rod: 0 0: (0.625 in.) (0.375 in.) 0 D y x M M B B       0 (288)(0.625) (120)(0.375) 0 M     0 135.0 lb in.   M  www.elsolucionario.org
  • 1002.
    Copyright © McGraw-HillEducation. Permission required for reproduction or display. PROBLEM 6.153 The motion of the bucket of the front-end loader shown is controlled by two arms and a linkage that are pin-connected at D. The arms are located symmetrically with respect to the central, vertical, and longitudinal plane of the loader; one arm AFJ and its control cylinder EF are shown. The single linkage GHDB and its control cylinder BC are located in the plane of symmetry. For the position and loading shown, determine the force exerted (a) by cylinder BC, (b) by cylinder EF. SOLUTION Free body: Bucket 0: (4500 lb)(20 in.) (22 in.) 0 J GH M F     4091 lb GH F  Free body: Arm BDH 0: (4091 lb)(24 in.) (20 in.) 0 D BC M F      4909 lb BC F   4.91 kips BC F C   Free body: Entire mechanism (Two arms and cylinders AFJE) Note: Two arms thus 2 EF F 18 in. tan 65 in. 15.48      0: (4500 lb)(123 in.) (12 in.) 2 cos (24 in.) 0 A BC EF M F F       (4500 lb)(123 in.) (4909 lb)(12 in.) 2 cos15.48 (24 in.) 0 EF F     10.690 lb EF F   10.69 kips EF F C   www.elsolucionario.org
  • 1003.
    Copyright © McGraw-HillEducation. Permission required for reproduction or display. PROBLEM 6.154 The bucket of the front-end loader shown carries a 3200-lb load. The motion of the bucket is controlled by two identical mechanisms, only one of which is shown. Knowing that the mechanism shown supports one-half of the 3200-lb load, determine the force exerted (a) by cylinder CD, (b) by cylinder FH. SOLUTION Free body: Bucket: (one mechanism) 0: (1600 lb)(15 in.) (16 in.) 0 D AB M F     1500 lb AB F  Note: There are two identical support mechanisms. Free body: One arm BCE: 8 tan 20 21.8      0: (1500 lb)(23 in.) cos 21.8 (15 in.) sin 21.8 (5 in.) 0 E CD CD M F F        2858 lb CD F   2.86 kips CD F C   Free body: Arm DFG: 0: (1600 lb)(75 in.) sin 45 (24 in.) cos 45 (6 in.) 0 G FH FH M F F        9.428 kips FH F   9.43 kips FH F C   www.elsolucionario.org
  • 1004.
    Copyright © McGraw-HillEducation. Permission required for reproduction or display. PROBLEM 6.155 The telescoping arm ABC is used to provide an elevated platform for construction workers. The workers and the platform together have a mass of 200 kg and have a combined center of gravity located directly above C. For the position when   20, determine (a) the force exerted at B by the single hydraulic cylinder BD, (b) the force exerted on the supporting carriage at A. SOLUTION Geometry: (5 m)cos 20 4.6985 m (2.4 m)cos 20 2.2553 m (2.4 m)sin 20 0.8208 m 0.5 1.7553 m 0.9 1.7208 m a b c d b e c                1.7208 tan ; 44.43 1.7553 e d       Free body: Arm ABC: We note that BD is a two-force member. 2 (200 kg)(9.81 m/s ) 1.962 kN W   (a) 0: (1.962 kN)(4.6985 m) sin 44.43 (2.2553 m) cos 44.43(0.8208 m) 0 A BD BD M F F       9.2185 (0.9927) 0: 9.2867 kN BD BD F F    (b) 9.29 kN BD  F 44.4  0: cos 0 x x BD F A F      (9.2867 kN)cos 44.43 6.632 kN x A    6.632 kN x  A 0: 1.962 kN sin 0 y y BD F A F       1.962 kN (9.2867 kN)sin 44.43 4.539 kN y A      4.539 kN y  A 8.04 kN  A 34.4  www.elsolucionario.org
  • 1005.
    Copyright © McGraw-HillEducation. Permission required for reproduction or display. PROBLEM 6.156 The telescoping arm ABC of Prob. 6.155 can be lowered until end C is close to the ground, so that workers can easily board the platform. For the position when  = 20, determine (a) the force exerted at B by the single hydraulic cylinder BD, (b) the force exerted on the supporting carriage at A. SOLUTION Geometry: (5 m)cos 20 4.6985 m (2.4 m)cos 20 2.2552 m (2.4 m)sin 20 0.8208 m 0.5 1.7553 m 0.9 0.0792 m a b c d b e c                0.0792 tan ; 2.584 1.7552 e d       Free body: Arm ABC: We note that BD is a two-force member. 2 (200 kg)(9.81 m/s ) 1962 N 1.962 kN W W    (a) 0: (1.962 kN)(4.6985 m) sin 2.584 (2.2553 m) cos 2.584 (0.8208 m) 0 A BD BD M F F        9.2185 (0.9216) 0 10.003 kN BD BD F F    (b) 10.00 kN BD  F 2.58  0: cos 0 x x BD F A F      (10.003 kN)cos 2.583 9.993 kN x A    9.993 kN x  A 0: 1.962 kN sin 0 y y BD F A F       1.962 kN (10.003 kN)sin 2.583 1.5112 kN y A      1.5112 kN y  A 10.11 kN  A 8.60  www.elsolucionario.org
  • 1006.
    Copyright © McGraw-HillEducation. Permission required for reproduction or display. PROBLEM 6.157 The motion of the backhoe bucket shown is controlled by the hydraulic cylinders AD, CG, and EF. As a result of an attempt to dislodge a portion of a slab, a 2-kip force P is exerted on the bucket teeth at J. Knowing that   45, determine the force exerted by each cylinder. SOLUTION Free body: Bucket: 0: H M   (Dimensions in inches) 4 3 (10) (10) cos (16) sin (8) 0 5 5 CG CG F F P P       (16 cos 8 sin ) 14 CG P F      (1) Free body: Arm ABH and bucket: (Dimensions in inches) 4 3 0: (12) (10) cos (86) sin (42) 0 5 5 B AD AD M F F P P         (86cos 42 sin ) 15.6 AD P F      (2) Free body: Bucket and arms IEB  ABH: Geometry of cylinder EF: 16 in. tan 40 in. 21.801      www.elsolucionario.org
  • 1007.
    Copyright © McGraw-HillEducation. Permission required for reproduction or display. PROBLEM 6.157 (Continued) 0: cos (18 in.) cos (28 in.) sin (120 in.) 0 I EF M F P P         (120 sin 28 cos ) cos 21.8 (18) (120 sin 28 cos ) 16.7126 EF P F P          (3) For 2 kips, P  45    From Eq. (1): 2 (16 cos 45 8 sin 45 ) 2.42 kips 14 CG F        2.42 kips CG F C   From Eq. (2): 2 (86 cos 45 42 sin 45 ) 3.99 kips 15.6 AD F        3.99 kips AD F C   From Eq. (3): 2 (120 sin 45 28 cos 45 ) 7.79 kips 16.7126 EF F       7.79 kips EF F T   www.elsolucionario.org
  • 1008.
    Copyright © McGraw-HillEducation. Permission required for reproduction or display. PROBLEM 6.158 Solve Problem 6.157 assuming that the 2-kip force P acts horizontally to the right (  0). PROBLEM 6.157 The motion of the backhoe bucket shown is controlled by the hydraulic cylinders AD, CG, and EF. As a result of an attempt to dislodge a portion of a slab, a 2-kip force P is exerted on the bucket teeth at J. Knowing that   45, determine the force exerted by each cylinder. SOLUTION Free body: Bucket: 0: H M   (Dimensions in inches) 4 3 (10) (10) cos (16) sin (8) 0 5 5 CG CG F F P P       (16 cos 8 sin ) 14 CG P F      (1) Free body: Arm ABH and bucket: (Dimensions in inches) 4 3 0: (12) (10) cos (86) sin (42) 0 5 5 B AD AD M F F P P         (86cos 42 sin ) 15.6 AD P F      (2) Free body: Bucket and arms IEB  ABH: Geometry of cylinder EF: 16 in. tan 40 in. 21.801      www.elsolucionario.org
  • 1009.
    Copyright © McGraw-HillEducation. Permission required for reproduction or display. PROBLEM 6.158 (Continued) 0: cos (18 in.) cos (28 in.) sin (120 in.) 0 I EF M F P P         (120 sin 28 cos ) cos 21.8 (18) (120 sin 28 cos ) 16.7126 EF P F P          (3) For 2 kips, P  0   From Eq. (1): 2 (16 cos 0 8 sin 0) 2.29 kips 14 CG F      2.29 kips CG F C   From Eq. (2): 2 (86 cos 0 42 sin 0) 11.03 kips 15.6 AD F      11.03 kips AD F C   From Eq. (3): 2 (120 sin 0 28 cos 0) 3.35 kips 16.7126     EF F 3.35 kips EF F C   www.elsolucionario.org
  • 1010.
    Copyright © McGraw-HillEducation. Permission required for reproduction or display. PROBLEM 6.159 The gears D and G are rigidly attached to shafts that are held by frictionless bearings. If rD  90 mm and rG  30 mm, determine (a) the couple M0 that must be applied for equilibrium, (b) the reactions at A and B. SOLUTION (a) Projections on yz plane. Free body: Gear G: 0: 30 N m (0.03 m) 0; 1000 N G M J J       Free body: Gear D: 0 0: (1000 N)(0.09 m) 0 D M M     0 90 N m M   0 (90.0 N m)   M i  (b) Gear G and axle FH: 0: (0.3 m) (1000 N)(0.18 m) 0 F M H     600 N H  0: 600 1000 0 y F F      400 N F  Gear D and axle CE: 0: (1000 N)(0.18 m) (0.3 m) 0 C M E     600 N E  0: 1000 600 0 y F C      400 N C  www.elsolucionario.org
  • 1011.
    Copyright © McGraw-HillEducation. Permission required for reproduction or display. PROBLEM 6.159 (Continued) Free body: Bracket AE: 0: 400 400 0 y F A      0  A  0: (400 N)(0.32 m) (400 N)(0.2 m) 0 A A M M      48 N m A M    (48.0 N m) A    M i  Free body: Bracket BH: 0: 600 600 0 y F B      0  B  0: (600 N)(0.32 m) (600 N)(0.2 m) 0 B B M M      72 N m B M    (72.0 N m) B    M i  www.elsolucionario.org
  • 1012.
    Copyright © McGraw-HillEducation. Permission required for reproduction or display. PROBLEM 6.160 In the planetary gear system shown, the radius of the central gear A is a  18 mm, the radius of each planetary gear is b, and the radius of the outer gear E is (a  2b). A clockwise couple of magnitude MA  10 N  m is applied to the central gear A and a counterclockwise couple of magnitude MS  50 N  m is applied to the spider BCD. If the system is to be in equilibrium, determine (a) the required radius b of the planetary gears, (b) the magnitude ME of the couple that must be applied to the outer gear E. SOLUTION FBD Central Gear: FBD Gear C: FBD Spider: FBD Outer Gear: By symmetry, 1 2 3 F F F F    10 0: 3( ) 10 N m 0, N m 3 A A A M r F F r        4 4 0: ( ) 0, C B M r F F F F      0: 0 x x F C      0: 2 0, 2 y y y F C F C F         Gears B and D are analogous, each having a central force of 2F. 0: 50 N m 3( )2 0 A A B M r r F       20 50 N m 3( ) N m 0 A B A r r r      2.5 1 , A B B A A r r r r r     1.5 B A r r  Since 18 mm, A r  (a) 27.0 mm B r   0: 3( 2 ) 0 A A B E M r r F M      10 N m 3(18 mm 54 mm) 0 54 mm E M     (b) 40.0 N m E   M  www.elsolucionario.org
  • 1013.
    Copyright © McGraw-HillEducation. Permission required for reproduction or display. PROBLEM 6.161* Two shafts AC and CF, which lie in the vertical xy plane, are connected by a universal joint at C. The bearings at B and D do not exert any axial force. A couple of magnitude 500 lb  in. (clockwise when viewed from the positive x-axis) is applied to shaft CF at F. At a time when the arm of the crosspiece attached to shaft CF is horizontal, determine (a) the magnitude of the couple that must be applied to shaft AC at A to maintain equilibrium, (b) the reactions at B, D, and E. (Hint: The sum of the couples exerted on the crosspiece must be zero.) SOLUTION We recall from Figure 4.10 that a universal joint exerts on members it connects a force of unknown direction and a couple about an axis perpendicular to the crosspiece. Free body: Shaft DF: 0: cos30 500 lb in. 0 x C M M       577.35 lb in. C M   Free body: Shaft BC: We use here , , x y z   with x along . BC 0: (577.35 lb in.) ( 5 in.) ( ) 0 C R y z M M i i i B j B k               www.elsolucionario.org
  • 1014.
    Copyright © McGraw-HillEducation. Permission required for reproduction or display. PROBLEM 6.161* (Continued) Equate coefficients of unit vectors to zero: i: 577.35 lb in. 0 A M    577.35 lb in. A M   j: 0 z B  577 lb in. A M    k: 0 y B  0 B  0  B 0: 0, since 0, B C B      F 0  C Return to free body of shaft DF. 0 D   M (Note that 0 C  and 577.35 lb in. C M   ) (577.35 lb in.)(cos30 sin30 ) (500 lb in.)       i j i (6 in.) ( ) 0 x y z E E E      i i j k (500 lb in.) (288.68 lb in.) (500 lb in.)      i j i (6 in.) (6 in.) 0 y z E E    k j Equate coefficients of unit vectors to zero: j: 288.68 lb in. (6 in.) 0 z E    48.1lb z E  k: 0 y E  0: 0      F C D E 0 (48.1lb) 0 y z x D D E      j k i k i: 0 x E  j: 0 y D  k: 48.1lb 0 z D   48.1lb z D   Reactions are: 0  B  (48.1lb)   D k  (48.1lb)  E k  www.elsolucionario.org
  • 1015.
    Copyright © McGraw-HillEducation. Permission required for reproduction or display. PROBLEM 6.162* Solve Problem 6.161 assuming that the arm of the crosspiece attached to shaft CF is vertical. PROBLEM 6.161 Two shafts AC and CF, which lie in the vertical xy plane, are connected by a universal joint at C. The bearings at B and D do not exert any axial force. A couple of magnitude 500 lb · in. (clockwise when viewed from the positive x-axis) is applied to shaft CF at F. At a time when the arm of the crosspiece attached to shaft CF is horizontal, determine (a) the magnitude of the couple that must be applied to shaft AC at A to maintain equilibrium, (b) the reactions at B, D, and E. (Hint: The sum of the couples exerted on the crosspiece must be zero.) SOLUTION Free body: Shaft DF. 0: 500 lb in. 0 x C M M      500 lb in. C M   Free body: Shaft BC: We resolve (520 lb in.)   i into components along x and y axes: (500 lb in.)(cos30 sin30 ) C          M i j 0: (500 lb in.)(cos30 sin30 ) (5 in.) ( ) 0 C A y z M B B                  M i i j i j k (433 lb in.) (250 lb in.) (5 in.) (5 in.) 0 A y z M B B            i i j k j www.elsolucionario.org
  • 1016.
    Copyright © McGraw-HillEducation. Permission required for reproduction or display. PROBLEM 6.162* (Continued) Equate to zero coefficients of unit vectors: : 433 lb in. 0 A M     i 433lb in. A M    : 250 lb in. (5 in.) 0 z B      j 50 lb z B   : 0 y  k B Reactions at B. (50 lb)   B k 0: 0     F B C (50 lb) 0    C k (50 lb)   C k Return to free body of shaft DF. 0: (6 in.) ( ) (4 in.) ( 50 lb) D x y z E E E         M i i j k i k (500 lb in.) (500 lb in.) 0      i i (6 in.) (6 in.) (200 lb in.) 0 y z E E     k j j : 0 y E  k : (6 in.) 200 lb in. 0 z E     j 33.3 lb z E   0: 0 F      C D E (50 lb) (33.3 lb) 0 y z x D D E       k j k i k : 0 : 50 lb 33.3 lb 0 x z E D      i k 83.3lb z D  Reactions are (50 lb)   B k  (83.3 lb)  D k  (33.3 lb)   E k  www.elsolucionario.org
  • 1017.
    Copyright © McGraw-HillEducation. Permission required for reproduction or display. PROBLEM 6.163* The large mechanical tongs shown are used to grab and lift a thick 7500-kg steel slab HJ. Knowing that slipping does not occur between the tong grips and the slab at H and J, determine the components of all forces acting on member EFH. (Hint: Consider the symmetry of the tongs to establish relationships between the components of the force acting at E on EFH and the components of the force acting at D on DGJ.) SOLUTION Free body: Pin A: 2 (7500 kg)(9.81 m/s ) 73.575 kN T W mg     0: ( ) ( ) 1 0: ( ) ( ) 2 x AB x AC x y AB y AC y F F F F F F W        Also, ( ) 2( ) AC x AC y F F W   Free body: Member CDF: 1 0: (0.3) (2.3) (1.8) (0.5 m) 0 2 D x y M W W F F       or 1.8 0.5 1.45 x y F F W   (1) www.elsolucionario.org
  • 1018.
    Copyright © McGraw-HillEducation. Permission required for reproduction or display. PROBLEM 6.163* (Continued) 0: 0 x x x F D F W      or x x E F W   (2) 1 0: 0 2 y y y F F D W      or 1 2 y y E F W   (3) Free body: Member EFH: 1 0: (1.8) (1.5) (2.3) (1.8 m) 0 2 E x y x M F F H W       or 1.8 1.5 2.3 0.9    x y x F F H W (4) 0: 0 x x x x F E F H      or x x x E F H   (5) Subtract Eq. (2) from Eq. (5): 2 x x F H W   (6) Subtract Eq. (4) from 3  (1): 3.6 5.25 2.3 x x F W H   (7) Add Eq. (7) to 2.3  Eq. (6): 8.2 2.95 x F W  0.35976 x F W  (8) Substitute from Eq. (8) into Eq. (1): (1.8)(0.35976 ) 0.5 1.45 y W F W   0.5 1.45 0.64756 0.80244 y F W W W    1.6049 y F W  (9) Substitute from Eq. (8) into Eq. (2): 0.35976 ; 1.35976 x x E W W E W    Substitute from Eq. (9) into Eq. (3): 1 1.6049 2.1049 2 y y E W W E W    From Eq. (5): 1.35976 0.35976 1.71952 x x x H E F W W W      Recall that 1 2 y H W  www.elsolucionario.org
  • 1019.
    Copyright © McGraw-HillEducation. Permission required for reproduction or display. PROBLEM 6.163* (Continued) Since all expressions obtained are positive, all forces are directed as shown on the free-body diagrams. Substitute 73.575 kN W  100.0 kN x  E 154.9 kN y  E  26.5 kN x  F  118.1 kN y  F  126.5 kN x  H 36.8 kN y  H  www.elsolucionario.org
  • 1020.
    Copyright © McGraw-HillEducation. Permission required for reproduction or display. PROBLEM 6.164 Using the method of joints, determine the force in each member of the truss shown. State whether each member is in tension or compression. SOLUTION Reactions: 0: 16 kN C x M    A 0: 9 kN y y F    A 0: 16 kN x F    C Joint E: 3 kN 5 4 3 BE DE F F   5.00 kN BE F T   4.00 kN DE F C   Joint B: 4 0: (5 kN) 0 5 x AB F F     4 kN AB F   4.00 kN AB F T   3 0: 6 kN (5 kN) 0 5 y BD F F       9 kN BD F   9.00 kN BD F C   Joint D: 3 0: 9 kN 0 5 y AD F F      15 kN AD F   15.00 kN AD F T   4 0: 4 kN (15 kN) 0 5 x CD F F       16 kN CD F   16.00 kN CD F C   www.elsolucionario.org
  • 1021.
    Copyright © McGraw-HillEducation. Permission required for reproduction or display. PROBLEM 6.165 Using the method of joints, determine the force in each member of the double-pitch roof truss shown. State whether each member is in tension or compression. SOLUTION Free body: Truss: 0: (18 m) (2 kN)(4 m) (2 kN)(8 m) (1.75 kN)(12 m) (1.5 kN)(15 m) (0.75 kN)(18 m) 0 A M H         4.50 kN  H 0: 0 0: 9 0 9 4.50 x x y y y F A F A H A           4.50 kN y  A Free body: Joint A: 3.50 kN 2 1 5 7.8262 kN AC AB AB F F F C    7.83 kN AB F C   7.00 kN AC F T    www.elsolucionario.org
  • 1022.
    Copyright © McGraw-HillEducation. Permission required for reproduction or display. PROBLEM 6.165 (Continued) Free body: Joint B: 2 2 1 0: (7.8262 kN) 0 5 5 2 x BD BC F F F      or 0.79057 7.8262 kN BD BC F F    (1) 1 1 1 0: (7.8262 kN) 2 kN 0 5 5 2 y BD BC F F F       or 1.58114 3.3541 BD BC F F    (2) Multiply Eq. (1) by 2 and add Eq. (2): 3 19.0065 6.3355 kN BD BD F F     6.34 kN BD F C   Subtract Eq. (2) from Eq. (1): 2.37111 4.4721 1.8861kN BC BC F F     1.886 kN BC F C   Free body: Joint C: 2 1 0: (1.8861kN) 0 5 2 y CD F F     1.4911kN CD F   1.491kN CD F T   1 1 0: 7.00 kN (1.8861kN) (1.4911kN) 0 2 5 x CE F F       5.000 kN CE F   5.00 kN CE F T   Free body: Joint D: 2 1 2 1 0: (6.3355 kN) (1.4911kN) 0 5 2 5 5 x DF DE F F F       or 0.79057 5.5900 kN DF DE F F    (1) 1 1 1 2 0: (6.3355 kN) (1.4911kN) 2 kN 0 5 2 5 5 y DF DE F F F        or 0.79057 1.1188 kN DF DE F F    (2) Add Eqs. (1) and (2): 2 6.7088 kN DF F   3.3544 kN DF F   3.35 kN DF F C   Subtract Eq. (2) from Eq. (1): 1.58114 4.4712 kN DE F   2.8278 kN DE F   2.83 kN DE F C   www.elsolucionario.org
  • 1023.
    Copyright © McGraw-HillEducation. Permission required for reproduction or display. PROBLEM 6.165 (Continued) Free body: Joint F: 1 2 0: (3.3544 kN) 0 2 5 x FG F F     4.243 kN FG F   4.24 kN FG F C   1 1 0: 1.75 kN (3.3544 kN) ( 4.243 kN) 0 5 2 y EF F F         2.750 kN EF F  2.75 kN EF F T   Free body: Joint G: 1 1 1 0: (4.243 kN) 0 2 2 2 x GH EG F F F      or 4.243 kN GH EG F F    (1) 1 1 1 0: (4.243 kN) 1.5 kN 0 2 2 2 y GH EG F F F        or 6.364 kN GH EG F F    (2) Add Eqs. (1) and (2): 2 10.607 GH F   5.303 GH F   5.30 kN GH F C   Subtract Eq. (1) from Eq. (2): 2 2.121kN EG F   1.0605 kN EG F   1.061kN EG F C   Free body: Joint H: 3.75 kN 1 1 EH F  3.75 kN EH F T   We can also write 3.75 kN 1 2 GH F  5.30 kN (Checks) GH F C  www.elsolucionario.org
  • 1024.
    Copyright © McGraw-HillEducation. Permission required for reproduction or display. PROBLEM 6.166 A stadium roof truss is loaded as shown. Determine the force in members AB, AG, and FG. SOLUTION We pass a section through members AB, AG, and FG, and use the free body shown. 40 0: (6.3 ft) (1.8 kips)(14 ft) 41 (0.9 kips)(28 ft) 0 G AB M F            8.20 kips AB F   8.20 kips AB F T   3 0: (28 ft) (1.8 kips)(28 ft) 5 (1.8 kips)(14 ft) 0 D AG M F             4.50 kips AG F   4.50 kips AG F T   0: (9 ft) (1.8 kips)(12 ft) (1.8 kips)(26 ft) (0.9 kips)(40 ft) 0 A FG M F        11.60 kips FG F   11.60 kips FG F C   www.elsolucionario.org
  • 1025.
    Copyright © McGraw-HillEducation. Permission required for reproduction or display. PROBLEM 6.167 A stadium roof truss is loaded as shown. Determine the force in members AE, EF, and FJ. SOLUTION We pass a section through members AE, EF, and FJ, and use the free body shown. 2 2 8 0: (9 ft) (1.8 kips)(12 ft) (1.8 kips)(26 ft) (0.9 kips)(40 ft) 0 8 9 F AE M F                17.46 kips AE F   17.46 kips AE F T   0: (9 ft) (1.8 kips)(12 ft) (1.8 kips)(26 ft) (0.9 kips)(40 ft) 0 A EF M F        11.60 kips EF F   11.60 kips EF F C   0: (8 ft) (0.9 kips)(8 ft) (1.8 kips)(20 ft) (1.8 kips)(34 ft) (0.9 kips)(48 ft) 0 E FJ M F         18.45 kips FJ F   18.45 kips FJ F C   www.elsolucionario.org
  • 1026.
    Copyright © McGraw-HillEducation. Permission required for reproduction or display. PROBLEM 6.168 Determine the components of all forces acting on member ABD of the frame shown. SOLUTION Free body: Entire frame: 0: (300 lb) (12 ft) (450 lb)(4 ft) (6 ft) 0 D M E       900 lb   E 900 lb  E  0: 900 lb 0 x x F D     900 lb x  D  0: 300 lb 450 lb 0 y y F D      750 lb y  D  Free body: Member ABD: We note that BC is a two-force member and that B is directed along BC. 0: (750 lb)(16 ft) (900 lb)(6 ft) (8 ft) 0 A M B      825 lb B   825 lb  B  0: 900 lb 0 x x F A     900 lb x A   900 lb x  A  0: 750 lb 825 lb 0 y y F A      75 lb y A   75.0 lb y  A  www.elsolucionario.org
  • 1027.
    Copyright © McGraw-HillEducation. Permission required for reproduction or display. PROBLEM 6.169 Determine the components of the reactions at A and E if the frame is loaded by a clockwise couple of magnitude 36 N · m applied (a) at B, (b) at D. SOLUTION Free body: Entire frame: The following analysis is valid for both parts (a) and (b) since the point of application of the couple is immaterial. 0: 36 N m (0.4 m) 0 E x M A       90 N 90.0 N x x A    A 0: 90 + 0 x x F E     90 N 90.0 N x x E   E 0: 0 y y y F A E     (1) (a) Couple applied at B. Free body: Member CE: AC is a two-force member. Thus, the reaction at E must be directed along EC. 0.24 m ; 45.0 N 90 N 0.48 m y y E   E From Eq. (1): 45 N 0   y A 45 N 45.0 N y y A    A Thus, reactions are 90.0 N x  A , 45.0 N y  A  90.0 N x  E , 45.0 N y  E  (b) Couple applied at D. Free body: Member AC: AC is a two-force member. Thus, the reaction at A must be directed along AC. 0.16 m ; 30 N 90 N 0.48 m y y A   A www.elsolucionario.org
  • 1028.
    Copyright © McGraw-HillEducation. Permission required for reproduction or display. PROBLEM 6.169 (Continued) From Eq. (1): 0 30 N 0 y y y A E E     30 N 30 N y y E    E Thus, reactions are 90.0 N x  A , 30.0 N y  A  90.0 N x   E , 30.0 N y  E  www.elsolucionario.org
  • 1029.
    Copyright © McGraw-HillEducation. Permission required for reproduction or display. PROBLEM 6.170 Knowing that the pulley has a radius of 50 mm, determine the components of the reactions at B and E. SOLUTION Free body: Entire assembly: 0 : (300 N)(350 mm) (150 mm) 0 E x M B      700 N x B   700 N x  B 0: 700 0 x x F N E      700 N x E  700 N x  E 0: 300 N 0 y y y F B E      (1) Free body: Member ACE: 0: (700 N)(150 mm) (300 N)(50 mm) (180 mm) 0 C y M E      500 N y E  500 N y  E From Eq. (1): 500 N 300 N 0 y B    200 N y B   200 N y  B Thus, reactions are 700 N x  B , 200 N y  B  700 N x  E , 500 N y  E  www.elsolucionario.org
  • 1030.
    Copyright © McGraw-HillEducation. Permission required for reproduction or display. PROBLEM 6.171 For the frame and loading shown, determine the components of the forces acting on member CFE at C and F. SOLUTION Free body: Entire frame: 0: (40 lb)(13in.) (10 in.) 0 D x M A     52 lb, x A   52 lb x  A  Free body: Member ABF: 0: (52 lb)(6 in.) (4 in.) 0 B x M F      78 lb x F   Free body: Member CFE: From above: 78.0 lb x  F  0: (40 lb)(9 in.) (78 lb)(4 in.) (4 in.) 0 C y M F      12 lb y F   12.00 lb y  F  0: 78 lb 0 x x F C     78 lb x C   78.0 lb x  C  0: 40 lb 12 lb 0; 28 lb y y y F C C         28.0 lb y  C  www.elsolucionario.org
  • 1031.
    Copyright © McGraw-HillEducation. Permission required for reproduction or display. PROBLEM 6.172 For the frame and loading shown, determine the reactions at A, B, D, and E. Assume that the surface at each support is frictionless. SOLUTION Free body: Entire frame: 0: (1000 lb)sin30 0 x F A B       500 0 A B    (1) 0: (1000 lb)cos30 0 y F D E       866.03 0 D E    (2) Free body: Member ACE: 0: (6 in.) (8in.) 0 C M A E      3 4 E A  (3) Free body: Member BCD: 0: (8 in.) (6 in.) 0 C M D B      3 4 D B  (4) Substitute E and D from Eqs. (3) and (4) into Eq. (2): 3 3 866.06 0 4 4 1154.71 0 A B A B        (5) From Eq. (1): 500 0 A B    (6) Eqs. (5) (6):  2 654.71 0 A   327.4 lb A  327 lb  A  Eqs. (5) (6):  2 1654.71 0 B   827.4 lb B  827 lb  B  From Eq. (4): 3 (827.4) 4 D  620.5 lb D  621lb  D  From Eq. (3): 3 (327.4) 4 E  245.5 lb E  246 lb  E  www.elsolucionario.org
  • 1032.
    Copyright © McGraw-HillEducation. Permission required for reproduction or display. PROBLEM 6.173 Water pressure in the supply system exerts a downward force of 135 N on the vertical plug at A. Determine the tension in the fusible link DE and the force exerted on member BCE at B. SOLUTION Free body: Entire linkage: 0: 135 0 y F C     135 N C   Free body: Member BCE: 0: 0 x x F B    0: (135 N)(6 mm) (10 mm) 0 B DE M T     81.0 N DE T   0: 135 81 0 y y F B      216 N y B   216 N  B  www.elsolucionario.org
  • 1033.
    Copyright © McGraw-HillEducation. Permission required for reproduction or display. PROBLEM 6.174 A couple M of magnitude 1.5 kN  m is applied to the crank of the engine system shown. For each of the two positions shown, determine the force P required to hold the system in equilibrium. SOLUTION (a) FBDs: Note: 50 mm tan 175 mm 2 7    FBD whole: 0: (0.250 m) 1.5 kN m 0 6.00 kN A y y M C C       FBD piston: 6.00 kN 0: sin 0 sin sin y y y BC BC C F C F F          0: cos 0 x BC F F P      6.00 kN cos 7 kips tan BC P F      21.0 kN  P  Dimensions in mm www.elsolucionario.org
  • 1034.
    Copyright © McGraw-HillEducation. Permission required for reproduction or display. PROBLEM 6.174 (Continued) (b) FBDs: Note: 2 tan as above 7   FBD whole: 0: (0.100 m) 1.5 kN m 0 15 kN A y y M C C       0: sin 0 sin y y y BC BC C F C F F        0: cos 0 x BC F F P      15 kN cos tan 2/7 y BC C P F      52.5 kN  P  Dimensions in mm www.elsolucionario.org
  • 1035.
    Copyright © McGraw-HillEducation. Permission required for reproduction or display. PROBLEM 6.175 The compound-lever pruning shears shown can be adjusted by placing pin A at various ratchet positions on blade ACE. Knowing that 300-lb vertical forces are required to complete the pruning of a small branch, determine the magnitude P of the forces that must be applied to the handles when the shears are adjusted as shown. SOLUTION We note that AB is a two-force member. ( ) ( ) 0.65 in. 0.55 in. 11 ( ) ( ) 13 AB y AB x AB y AB x F F F F   (1) Free body: Blade ACE: 0: (300 lb)(1.6 in.) ( ) (0.5 in.) ( ) (1.4 in.) 0 C AB x AB y M F F      Use Eq. (1): 11 ( ) (0.5 in.) ( ) (1.4 in.) 480 lb in. 13 AB x AB x F F    1.6846( ) 480 AB x F  ( ) 284.9 lb AB x F  11 ( ) (284.9 lb) 13 AB y F  ( ) 241.1lb AB y F  Free body: Lower handle: 0: (241.1lb)(0.75 in.) (284.9 lb)(0.25 in.) (3.5 in.) 0 D M P      31.3 lb P   www.elsolucionario.org
  • 1036.
    Copyright © McGraw-HillEducation. Permission required for reproduction or display. PROBLEM 6.F1 For the frame and loading shown, draw the free-body diagram(s) needed to determine the force in member BD and the components of the reaction at C. SOLUTION We note that BD is a two-force member. Free body: ABC   www.elsolucionario.org
  • 1037.
    Copyright © McGraw-HillEducation. Permission required for reproduction or display. PROBLEM 6.F2 For the frame and loading shown, draw the free-body diagram(s) needed to determine the components of all forces acting on member ABC. SOLUTION We note that BE is a two-force member. Free body: Frame Note: Sum forces in y about A to determine Ay. Sum moments about E to determine Ax. Free body: ABC Note: Sum moments about C to determine FBE. Sum forces in x to determine Cx. Sum forces in y to determine Cy.  www.elsolucionario.org
  • 1038.
    Copyright © McGraw-HillEducation. Permission required for reproduction or display. PROBLEM 6.F3 Draw the free-body diagram(s) needed to determine all the forces exerted on member AI if the frame is loaded by a clockwise couple of magnitude 1200 lb·in. applied at point D. SOLUTION We note that AB, BC, and FG are two-force members. Free body: Frame Note: Sum moments about H to determine Iy. Free body: AI www.elsolucionario.org
  • 1039.
    Copyright © McGraw-HillEducation. Permission required for reproduction or display. PROBLEM 6.F3 (Continued) Note: Sum forces in y to determine FAB Sum moments about G to determine FBC Sum forces in x to determine FFG  www.elsolucionario.org
  • 1040.
    Copyright © McGraw-HillEducation. Permission required for reproduction or display. PROBLEM 6.F4 Knowing that the pulley has a radius of 0.5 m, draw the free-body diagram(s) needed to determine the components of the reactions at A and E. SOLUTION Free body: Frame Note: Sum moments about E to determine Ay. Sum forces in y to determine Ey. Sum forces in x to determine Ax and Ex. Free body: ABC Note: Sum moments about C to determine Ax. Use previously obtained relation between Ax and Ex to determine Ex.  www.elsolucionario.org
  • 1041.
    Copyright © McGraw-HillEducation. Permission required for reproduction or display. PROBLEM 6.F5 An 84-lb force is applied to the toggle vise at C. Knowing that  = 90, draw the free-body diagram(s) needed to determine the vertical force exerted on the block at D. SOLUTION We note that BD is a two-force member. Free body: ABC Note: Sum moments about A to determine FBD. Free body: D Note: Sum forces in y to determine Dy. www.elsolucionario.org
  • 1042.
    Copyright © McGraw-HillEducation. Permission required for reproduction or display. PROBLEM 6.F6 For the system and loading shown, draw the free-body diagram(s) needed to determine the force P required for equilibrium. SOLUTION We note that AB and BD are two-force members. Free body: CDE Note: Sum moments about C to determine FBD. Free body: Pin B Note: Sum forces in x to determine P.  www.elsolucionario.org
  • 1043.
    Copyright © McGraw-HillEducation. Permission required for reproduction or display. PROBLEM 6.F7 A small barrel weighing 60 lb is lifted by a pair of tongs as shown. Knowing that a = 5 in., draw the free-body diagram(s) needed to determine the forces exerted at B and D on tong ABD. SOLUTION We note that BC is a two-force member. Free body: ABD Note: Sum moments about D to determine FBC. Sum forces in x to determine Dx. Sum forces in y to determine Dy.  www.elsolucionario.org
  • 1044.
    Copyright © McGraw-HillEducation. Permission required for reproduction or display. PROBLEM 6.F8 The position of member ABC is controlled by the hydraulic cylinder CD. Knowing that θ  30°, draw the free-body diagram(s) needed to determine the force exerted by the hydraulic cylinder on pin C, and the reaction at B. SOLUTION We note that CD is a two-force member. Free body: ABC Note: To find , consider geometry of triangle BCD: Law of cosines: 2 2 2 ( ) (0.5) (1.5) 2(0.5)(1.5)cos60 CD     1.32288 m CD  Law of sines: sin sin 60 0.5 m 1.32288 m q   19.1066     www.elsolucionario.org
  • 1045.
  • 1046.
    Copyright © McGraw-HillEducation. Permission required for reproduction or display. PROBLEM 7.1 Determine the internal forces (axial force, shearing force, and bending moment) at Point J of the structure indicated. Frame and loading of Problem 6.76. SOLUTION From Problem 6.76: 720 lb x  C 140 lb y  C FBD of JC: 0: 720 lb 0 x F F     720 lb F   720 lb  F  0: 140 lb 0 y F V     140 lb V  140.0 lb  V  0: (140 lb)(8 in.) 0 J M M     1120 lb in. M    1120 lb in.   M  www.elsolucionario.org
  • 1047.
    Copyright © McGraw-HillEducation. Permission required for reproduction or display. PROBLEM 7.2 Determine the internal forces (axial force, shearing force, and bending moment) at Point J of the structure indicated. Frame and loading of Problem 6.78. SOLUTION From Problem 6.78: 30 lb  C FBD of AE: 0: 120 lb 0 x F F      120 lb F   120.0 lb  F  0: 30 lb 0 y F V      30 lb V  30.0 lb  V     0: (30 lb)(4 in.) 120 lb 2 in. 0 J M M      120.0 lb in. M    120.0 lb in.   M  www.elsolucionario.org
  • 1048.
    Copyright © McGraw-HillEducation. Permission required for reproduction or display. PROBLEM 7.3 Determine the internal forces at Point J when  90°. SOLUTION Reactions ( 90 )    FBD BJ: 0: 0 A y M    B 12 0: 780 N 0 13 y F A           845 N 845 N A   A 5 0: (845 N) 0 13 x x F B     325 N 325 N x x B    B 0: 125 N 0 F F     125.0 N  F 67.4° 0: 300 N 0 F V     300 N  V 22.6°  0: (325 N)(0.480 m) 0 M M     156 N m M    156.0 N m   M  www.elsolucionario.org
  • 1049.
    Copyright © McGraw-HillEducation. Permission required for reproduction or display. PROBLEM 7.4 Determine the internal forces at Point J when  0. SOLUTION Reactions ( 0)   FBD BJ: Alternate 0: (780 N)(0.720 m) (0.3 m) 0 A y M B     1872 N y B   1872 N y  B 12 0: 1872 N 0 13 y F A           2028 N  A 5 0: (2028 N) 780 N 0 13 x x F B            1560 N x B   1560 N x  B 0: 1728 N 600 N 0 F F      2328 N F   2330 N  F 67.4° 0: 720 N 1440 N 0 F V      720 N V   720 N  V 22.6°  2 2 480 200 520 mm BJ    0: (1440 N)(0.520 m) (720 N)(0.520 m) 0 J M M      374.4 N m M    374 N m   M  Computation of M using : x y  B B 0: (1560 N)(0.48 m) (1872 N)(0.2 m) 0 J M M      374.4 N m M    374 N m   M  www.elsolucionario.org
  • 1050.
    Copyright © McGraw-HillEducation. Permission required for reproduction or display. PROBLEM 7.5 For the frame and loading shown, determine the internal forces at the point indicated: Point J. SOLUTION From free body diagram, all reactions = 0 250 0(Force Triangle) 3 4 5 V F F     150 N V   150.0 N  V 53.1° 200 N F   200 N  F 36.9° 0: (250 N)(0.080 m) 0 J M M     20 N m M    20.0 N m   M  www.elsolucionario.org
  • 1051.
    Copyright © McGraw-HillEducation. Permission required for reproduction or display. PROBLEM 7.6 For the frame and loading shown, determine the internal forces at the point indicated: Point K. SOLUTION From free body diagram, all reaction = 0 Free body KC: 60 3 tan 80 4    3 4 sin ; cos 5 5     4 0: (250 N)cos 250 N 5 x F F            200 N F   200 N  F 36.9° 3 0: (250 N)sin 250 N 5 y F V            150 N V   150.0 N  V 53.1° 0: (250 N)(0.060 m) 0 K M M     15.00 N m M    15.00 N m   M  www.elsolucionario.org
  • 1052.
    Copyright © McGraw-HillEducation. Permission required for reproduction or display. PROBLEM 7.7 An archer aiming at a target is pulling with a 45-lb force on the bowstring. Assuming that the shape of the bow can be approximated by a parabola, determine the internal forces at Point J. SOLUTION FBD Point A: By symmetry 1 2 T T  1 1 2 3 0: 2 45 lb 0 37.5 lb 5 x F T T T             Curve CJB is parabolic: 2 x ay  FBD BJ: At : 8 in. B x  2 32 in. 8 in. 1 128 in. (32 in.) y a    2 128 y x  2 Slope of parabola tan 128 64 dx y y dy      At J: 1 16 tan 14.036 64 J            So 1 4 tan 14.036 39.094 3        0: (37.5 lb)cos(39.094 ) 0 x F V       29.1lb  V 14.04° www.elsolucionario.org
  • 1053.
    Copyright © McGraw-HillEducation. Permission required for reproduction or display. PROBLEM 7.7 (Continued) 0: (37.5 lb)sin (39.094 ) 0 y F F       23.647 F   23.6 lb  F 76.0°  3 4 0: (16 in.) (37.5 lb) [(8 2) in.] (37.5 lb) 0 5 5 J M M                   540 lb in.   M  www.elsolucionario.org
  • 1054.
    Copyright © McGraw-HillEducation. Permission required for reproduction or display. PROBLEM 7.8 For the bow of Problem 7.7, determine the magnitude and location of the maximum (a) axial force, (b) shearing force, (c) bending moment. PROBLEM 7.7 An archer aiming at a target is pulling with a 45-lb force on the bowstring. Assuming that the shape of the bow can be approximated by a parabola, determine the internal forces at Point J. SOLUTION Free body: Point A 3 0: 2 45 lb 0 5 x F T           37.5 lb T   Free body: Portion of bow BC 0: 30 lb 0 y C F F     30 lb C  F  0: 22.5 lb 0 x C F V     22.5 lb C  V  0: (22.5 lb)(32 in.) (30 lb)(8 in.) 0 C C M M      960 lb in. C   M  Equation of parabola 2 x ky  At B: 2 1 8 (32) 128 k k   Therefore, equation is 2 128 y x  (1) The slope at J is obtained by differentiating (1): 2 , tan 128 64 x y dy dx y d dy     (2) www.elsolucionario.org
  • 1055.
    Copyright © McGraw-HillEducation. Permission required for reproduction or display. PROBLEM 7.8 (Continued) (a) Maximum axial force 0: (30 lb)cos (22.5 lb)sin 0 V F F         Free body: Portion bow CK 30cos 22.5sin F     F is largest at ( 0) C   30.0 lb at m F C   (b) Maximum shearing force 0: (30 lb)sin (22.5 lb)cos 0 V F V         30sin 22.5cos V     V is largest at B (and D) Where 1 max 1 tan 26.56 2              30sin 26.56 22.5cos26.56 m V     33.5 lb m V  at B and D (c) Maximum bending moment 0: 960 lb in. (30 lb) (22.5 lb) 0 K M M x y        960 30 22.5 M x y    M is largest at C, where 0. x y   960 lb in. at m M C    www.elsolucionario.org
  • 1056.
    Copyright © McGraw-HillEducation. Permission required for reproduction or display. PROBLEM 7.9 A semicircular rod is loaded as shown. Determine the internal forces at Point J. SOLUTION FBD Rod: 0: (2 ) 0 B x M A r    0 x  A 0: (120 N)cos60 0 x F V       60.0 N  V   FBD AJ: 0: (120 N)sin60 0 y F F       103.923 N F   103.9 N  F  0: [(0.180 m)sin 60 ](120 N) 0 J M M      18.7061 M  18.71  M  www.elsolucionario.org
  • 1057.
    Copyright © McGraw-HillEducation. Permission required for reproduction or display. PROBLEM 7.10 A semicircular rod is loaded as shown. Determine the internal forces at Point K. SOLUTION FBD Rod: 0: 120 N 0 120 N y y y F B      B 0: 2 0 0 A x x M rB     B 0: (120 N)cos30 0 x F V       103.923 N V  103.9 N  V  FBD BK: 0: (120 N)sin30 0 y F F       60 N F   60.0 N  F  0: [(0.180 m)sin 30 ](120 N) 0 K M M      10.80 N m   M  www.elsolucionario.org
  • 1058.
    Copyright © McGraw-HillEducation. Permission required for reproduction or display. PROBLEM 7.11 A semicircular rod is loaded as shown. Determine the internal forces at Point Jknowing that  30. SOLUTION FBD AB: 4 3 0: 2 (280 N) 0 5 5 A M r C r C r                  400 N  C 4 0: (400 N) 0 5 x x F A      320 N x  A 3 0: (400 N) 280 N 0 5 y y F A      FBD AJ: 40.0 N y  A 0: (320 N)sin 30 (40.0 N)cos30 0 x F F         194.641 N F  194.6 N  F 60.0  0: (320 N)cos30 (40 N)sin30 0 y F V         257.13 N V  257 N  V 30.0  0 0: (0.160 m)(194.641 N) (0.160 m)(40.0 N) 0 M M      24.743 M  24.7 N m   M  www.elsolucionario.org
  • 1059.
    Copyright © McGraw-HillEducation. Permission required for reproduction or display. PROBLEM 7.12 A semicircular rod is loaded as shown. Determine the magnitude and location of the maximum bending moment in the rod. SOLUTION Free body: Rod ACB 4 3 0: (0.16 m) (0.16 m) 5 5 (280 N)(0.32 m) 0 A CD CD M F F                  400 N CD  F  4 0: (400 N) 0 5 x x F A     320 N x A   320 N x  A  + 3 0: (400 N) 280 N 0 5 y y F A      40.0 N y A   40.0 N y  A  Free body: (For 90°) AJ   0: (320 N)(0.16 m)sin (40.0 N)(0.16 m)(1 cos ) 0 J M M         51.2sin 6.4cos 6.4 M      (1) For maximum value between A and C: 0: 51.2cos 6.4sin 0 dM d       51.2 tan 8 6.4    82.87    Carrying into (1): 51.2sin82.87 6.4cos82.87 6.4 45.20 N m M         www.elsolucionario.org
  • 1060.
    Copyright © McGraw-HillEducation. Permission required for reproduction or display. PROBLEM 7.12 (Continued) Free body: (For 90°) BJ   0: (280 N)(0.16 m)(1 cos ) 0 J M M       (44.8 N m)(1 cos ) M     Largest value occurs for 90 ,    that is, at C, and is 44.8 N m C M    We conclude that max 45.2 N m M   for 82.9     www.elsolucionario.org
  • 1061.
    Copyright © McGraw-HillEducation. Permission required for reproduction or display. PROBLEM 7.13 The axis of the curved member AB is a parabola with vertex at A. If a verticalload P of magnitude 450 lb is applied at A, determine the internal forces at J when h 12 in., L 40 in., and a 24 in. SOLUTION Free body AB 0: 450 lb 0 y y F B      450 lb y  B 0: (12 in.) (450 lb)(40 in.) 0 A x M B     1500 lb x  B 0: 1500 lb x F    A Parabola: 2 y k x  At B: 2 12 in. (40 in.) 0.0075 k k   Equation of parabola: 2 0.0075 y x  slope 0.015 dy x dx   At J: 2 24 in. 0.0075(24) 4.32 in. J J x y    slope 0.015(24) 0.36, tan 0.36, 19.8        Free body AJ 0: (450 lb)(24 in.) (1500 lb)(4.32 in.) 0 J M M      4320 lb in. M   4320 lb in.   M  www.elsolucionario.org
  • 1062.
    Copyright © McGraw-HillEducation. Permission required for reproduction or display. PROBLEM 7.13 (Continued) 0: (450 lb)sin19.8 (1500 lb)cos19.8 0 F F        1563.8 lb F   1564 lb  F 19.8°  0: (450 lb)cos19.8 (1500 lb)sin19.8 0 F V         84.71lb V   84.7 lb  V 70.2°  www.elsolucionario.org
  • 1063.
    Copyright © McGraw-HillEducation. Permission required for reproduction or display. PROBLEM 7.14 Knowing that the axis of the curved member AB is a parabola with vertex at A, determine the magnitude and location of the maximum bending moment. SOLUTION Parabola 2 y kx  At B: 2 h kL  2 / k h L  Equation of parabola 2 2 / y hx L  0: ( ) ( ) 0 B M P L A h     / PL h  A Free body AJ At J: 2 2 / J J x a y ha L   2 2 0: ( / )( / ) 0 J a M P PL h ha L M      2 a M P a L           For maximum: 2 1 0 dM a P da L          max 1 occurs at: 2 M a L   2 max ( /2) 2 4 L L PL M P L           max 1 | | 4 M PL   www.elsolucionario.org
  • 1064.
    Copyright © McGraw-HillEducation. Permission required for reproduction or display. PROBLEM 7.15 Knowing that the radius of each pulley is 200 mm and neglecting friction, determine the internal forces at Point J of the frame shown. SOLUTION FBD Frame with pulley and cord: 0: (1.8 m) (2.6 m)(360 N) (0.2 m)(360 N) 0 A x M B      560 N x  B FBD BE: Note: Cord forces have been moved to pulley hub as per Problem 6.91. 0: (1.4m)(360N) (1.8m)(560N) (2.4m) 0 E y M B      630N y  B FBD BJ: 3 0: 360N (630N 360N) 5 4 (560N) 0 5 x F F         250N  F 36.9°  4 3 0: (630 N 360 N) (560 N) 0 5 5 y F V        120.0 N  V 53.1°  0: (0.6m)(360N) (1.2m)(560N) (1.6m)(630N) 0 J M M       120.0N m   M  www.elsolucionario.org
  • 1065.
    Copyright © McGraw-HillEducation. Permission required for reproduction or display. PROBLEM 7.16 Knowing that the radius of each pulley is 200 mm and neglecting friction, determine the internal forces at Point K of the frame shown. SOLUTION Free body: frame and pulleys 0: (1.8 m) (360 N)(0.2 m) (360 N)(2.6 m) 0 A x M B       560 N x B   560 N x  B  0: 560 N 360 N 0 x x F A      920 N x A   920 N x   A  0: 360 N 0 y y y F A B      360 N y y A B   (1) Free body: member AE We recall that the forces applied to a pulley may be applied directly to the axle of the pulley. 0: (2.4 m) (360 N)(1.8 m) 0 E y M A      270 N y A   270 N y  A  From (1): 360 N 270 N y B   630N y B  630 N y  B  www.elsolucionario.org
  • 1066.
    Copyright © McGraw-HillEducation. Permission required for reproduction or display. PROBLEM 7.16 (Continued) Free body: AK 0: 920 N 360 N 0 x F F      560 N F   560 N  F  0: 360 N 270 N 0 y F V      90.0 N V   90.0 N  V  0: (270 N)(1.6 m) (360 N)(1 m) 0 K M M      72.0 N m M    72.0 N m   M  www.elsolucionario.org
  • 1067.
    Copyright © McGraw-HillEducation. Permission required for reproduction or display. PROBLEM 7.17 A 5-in.-diameter pipe is supported every 9 ft by a small frame consisting of two members as shown. Knowing that the combined weight of the pipe and its contents is 10 lb/ft and neglecting the effect of friction, determine the magnitude and location of the maximum bending moment in member AC. SOLUTION Free body: 10-ft section of pipe 4 0: (90 lb) 0 5 x F D     72 lb  D  3 0: (90 lb) 0 5 y F E     54 lb  E  Free body: Frame 0: (18.75 in.) (72 lb)(2.5 in.) (54 lb)(8.75 in.) 0 B y M A       34.8 lb y A   34.8 lb y  A  4 3 0: 34.8 lb (72 lb) (54 lb) 0 5 5 y y F B       55.2 lb y B   55.2 lb y  B  3 4 0: (72 lb) (54 lb) 0 5 5 x x x F A B       0 x x A B   (1) Free body: Member AC 0: (72 lb)(2.5 in.) (34.8 lb)(12 in.) (9 in.) 0 C x M A      26.4 lb x A   26.4 lb x  A  From (1): 26.4 lb x x B A     26.4 lb x  B  www.elsolucionario.org
  • 1068.
    Copyright © McGraw-HillEducation. Permission required for reproduction or display. PROBLEM 7.17 (Continued) Free body: Portion AJ For 12.5 in. ( ): x AJ AD   3 4 0: (26.4 lb) (34.8 lb) 0 5 5 J M x x M      max 12 150 lb in. for 12.5 in. M x M x     max 150.0 lb in. at M D    For 12.5 in.( ): x AJ AD   3 4 0: (26.4 lb) (34.8 lb) (72 lb)( 12.5) 0 5 5 J M x x x M        max 900 60 150 lb in. for 12.5 in. M x M x      Thus: max 150.0 lb in. M   at D  www.elsolucionario.org
  • 1069.
    Copyright © McGraw-HillEducation. Permission required for reproduction or display. PROBLEM 7.18 For the frame of Problem 7.17, determine the magnitude and location of the maximum bending moment in member BC. PROBLEM 7.17 A 5-in.-diameter pipe is supported every 9 ft by a small frame consisting of two members as shown. Knowing that the combined weight of the pipe and its contents is 10 lb/ft and neglecting the effect of friction, determine the magnitude and location of the maximum bending moment in member AC. SOLUTION Free body: 10-ft section of pipe 4 0: (90 lb) 0 5 x F D     72 lb  D  3 0: (90 lb) 0 5 y F E     54 lb  E  Free body: Frame 0: (18.75 in.) (72 lb)(2.5 in.) (54 lb)(8.75 in.) 0 B y M A       34.8 lb y A   34.8 lb y  A  4 3 0: 34.8 lb (72 lb) (54 lb) 0 5 5 y y F B       55.2 lb y B   55.2 lb y  B  3 4 0: (72 lb) (54 lb) 0 5 5 x x x F A B       0 x x A B   (1) Free body: Member AC 0: (72 lb)(2.5 in.) (34.8 lb)(12 in.) (9 in.) 0 C x M A      26.4 lb x A   26.4 lb x  A  From (1): 26.4 lb x x B A     26.4 lb x  B  www.elsolucionario.org
  • 1070.
    Copyright © McGraw-HillEducation. Permission required for reproduction or display. PROBLEM 7.18 (Continued) Free body: Portion BK For 8.75 in.( ): x BK BE   3 4 0: (55.2 lb) (26.4 lb) 0 5 5 K M x x M      max 12 105.0 lb in. for 8.75 in. M x M x     max 105.0 lb in. at M E    For 8.75 in.( ): x BK BE   3 4 0: (55.2 lb) (26.4 lb) (54 lb)( 8.75 in.) 0 5 5 K M x x x M        max 472.5 42 105.0 lb in. for 8.75 in. M x M x      Thus max 105.0 lb in. M   at E www.elsolucionario.org
  • 1071.
    Copyright © McGraw-HillEducation. Permission required for reproduction or display. PROBLEM 7.19 Knowing that the radius of each pulley is 200 mm and neglecting friction, determine the internal forces at Point J of the frame shown. SOLUTION Free body: Frame and pulleys 0: (1.8 m) (360 N)(2.6 m) 0 A x M B      520 N x B   520 N x  B  0: 520 N 0 x x F A     520 N x A   520 N x  A  0: 360 N 0 y y y F A B      360 N y y A B   (1) Free body: Member AE 0: (2.4 m) (360 N)(1.6 m) 0 E y M A      240 N y A   240 N y  A  From (1): 360 N 240 N y B   600 N y B   600 N y  B  Free body: BJ We recall that the forces applied to a pulley may be applied directly to its axle. 3 4 0: (600 N) (520 N) 5 5 3 360 N (360 N) 0 5 y F F        200 N F   200 N  F 36.9°  www.elsolucionario.org
  • 1072.
    Copyright © McGraw-HillEducation. Permission required for reproduction or display. PROBLEM 7.19 (Continued) 4 3 4 0: (600 N) (520 N) (360 N) 0 5 5 5 x F V       120.0 N V   120.0 N  V 53.1°  0: (520 N)(1.2 m) (600 N)(1.6 m) (360 N)(0.6 m) 0 J M M       120.0 N m M    120.0 N m   M  www.elsolucionario.org
  • 1073.
    Copyright © McGraw-HillEducation. Permission required for reproduction or display. PROBLEM 7.20 Knowing that the radius of each pulley is 200 mm and neglecting friction, determine the internal forces at Point K of the frame shown. SOLUTION Free body: Frame and pulleys 0: (1.8 m) (360 N)(2.6 m) 0 A x M B      520 N x B   520 N x  B  0: 520 N 0 x x F A     520 N x A   520 N x  A  0: 360 N 0 y y y F A B      360 N y y A B   (1) Free body: Member AE 0: (2.4 m) (360 N)(1.6 m) 0 E y M A      240 N y A   240 N y  A  From (1): 360 N 240 N y B   600 N y B   600 N y  B  Free body: AK 0: 520 N 0 x F F     520 N F   520 N  F  0: 360 N 240 N 0 y F V      120.0 N V   120.0 N  V  0: (240 N)(1.6 m) (360 N)(0.8 m) 0 K M M      96.0 N m M    96.0 N m   M  www.elsolucionario.org
  • 1074.
    Copyright © McGraw-HillEducation. Permission required for reproduction or display. PROBLEM 7.21 A force P is applied to a bent rod that is supported by a roller and a pin and bracket. For each of the three cases shown, determine the internal forces at Point J. SOLUTION (a) FBD Rod: FBD AJ: (b) FBD Rod: 0: 0 x x F A    0: 2 0 2 D y y P M aP aA A      0: 0 x F    V  0: 0 2 y P F F     2 P  F  0: 0 J M    M  4 3 0: 2 2 0 5 5 A M a D a D aP                  5 14 P D  4 5 0: 0 5 14 x x F A P     2 7 x P A  3 5 0: 0 5 14 y y F A P P      11 14 y P A  www.elsolucionario.org
  • 1075.
    Copyright © McGraw-HillEducation. Permission required for reproduction or display. FBD AJ:    (c) FBD Rod: FBD AJ:  PROBLEM 7.21 (Continued) 0: x F   2 0 7 P V   2 7 P  V  0: y F   11 0 14 P F   11 14 P  F  2 0: 0 7 J P M a M     2 7 aP  M  0: A M   4 0 2 5 a D aP         5 2 P D  0: x F   4 5 0 5 2 x P A   2 x A P  3 5 0: 0 5 2 y y P F A P      5 2 y P A  0: x F   2 0 P V   2P  V  0: y F   5 0 2 P F   5 2 P  F  0: (2 ) 0 J M a P M     2aP  M  www.elsolucionario.org
  • 1076.
    Copyright © McGraw-HillEducation. Permission required for reproduction or display. PROBLEM 7.22 A force P is applied to a bent rod that is supported by a roller and a pin and bracket. For each of the three cases shown, determine the internal forces at Point J. SOLUTION (a) FBD Rod: 0: 2 0 D M aP aA     2 P  A 0: 0 2 x P F V     2 P  V  FBD AJ: 0: y F   0  F  0: 0 2 J P M M a     2 aP  M  (b) FBD Rod: 4 0: 0 2 5 D a M aP A           5 2 P  A www.elsolucionario.org
  • 1077.
    Copyright © McGraw-HillEducation. Permission required for reproduction or display. PROBLEM 7.22 (Continued) FBD AJ: 3 5 0: 0 5 2 x P F V     3 2 P  V  4 5 0: 0 5 2 y P F F     2P  F  3 2 aP  M  (c) FBD Rod: 3 4 0: 2 2 0 5 5 D M aP a A a A                  5 14 P A  3 5 0: 0 5 14 x P F V           3 14 P  V  4 5 0: 0 5 14 y P F F     2 7 P  F  3 5 0: 0 5 14 J P M M a           3 14 aP  M  www.elsolucionario.org
  • 1078.
    Copyright © McGraw-HillEducation. Permission required for reproduction or display. PROBLEM 7.23 A quarter-circular rod of weight W and uniform cross section is supported as shown. Determine the bending moment at Point J when  30. SOLUTION FBD Rod: 0: 0 x x F    A 2 2 0: 0 B y y r W M W rA        A FBD AJ: 15 ,    30 weight of segment 90 3 W W     12 sin sin15 0.9886 r r r r        2 0: cos30 cos30 0 3 y W W F F          3 2 1 2 3 W          F 0 2 cos15 0 3 W W M M r F r               0.0557Wr  M  www.elsolucionario.org
  • 1079.
    Copyright © McGraw-HillEducation. Permission required for reproduction or display. PROBLEM 7.24 For the rod of Problem 7.23, determine the magnitude and location of the maximum bending moment. PROBLEM 7.23 A quarter-circular rod of weight W and uniform cross section is supported as shown. Determine the bending moment at Point J when  30. SOLUTION FBD Rod: 0: 0 x x F A    2 2 0: 0 B y y r W M W rA A        , sin 2 r r       Weight of segment 2 2 4 W W       4 2 0: cos2 cos2 0 x W F F W             2 2 (1 2 )cos2 (1 )cos W W F           FBD AJ: 0 2 4 0: ( cos ) 0 W M M F r r W                 2 4 (1 cos cos ) sin cos W W r M r              But, 1 1 sin cos sin 2 sin 2 2       so 2 (1 cos cos sin ) r M W          2 (sin sin cos cos ) 0 dM rW d             for (1 )sin 0     0 for 0,1, ( 1, 2, ) dM n n d        Only 0 and 1 in valid range At 0 0, at 1 rad M      at 57.3    max 0.1009 M M Wr    www.elsolucionario.org
  • 1080.
    Copyright © McGraw-HillEducation. Permission required for reproduction or display. PROBLEM 7.25 A semicircular rod of weight W and uniform cross section is supported as shown. Determine the bending moment at Point J when  60. SOLUTION FBD Rod: 2 0: 2 0 A r M W rB      W   B 0: sin 60 cos 60 0 3 y W W F F          0.12952 F W   FBD BJ: 0 3 0: 0 2 3 W r W M r F M                     1 1 0.12952 0.28868 2 M Wr Wr             On BJ 0.289 J Wr  M  www.elsolucionario.org
  • 1081.
    Copyright © McGraw-HillEducation. Permission required for reproduction or display. PROBLEM 7.26 A semicircular rod of weight W and uniform cross section is supported as shown. Determine the bending moment at Point J when  150. SOLUTION FBD Rod: 0: 0 y y y F A W W      A 2 0: 2 0 B x r M W rA      x W   A FBD AJ: 5 0: cos 30 sin 30 0 0.69233 6 x W W F F F W           0 0: 0.25587 0 6 W W M r r F M                    0.25587 1 0.69233 6 M Wr           (0.4166) M Wr  On AJ 0.417Wr  M  www.elsolucionario.org
  • 1082.
    Copyright © McGraw-HillEducation. Permission required for reproduction or display. PROBLEM 7.27 A half section of pipe rests on a frictionless horizontal surface as shown. If the half section of pipe has a mass of 9 kg and a diameter of 300 mm, determine the bending moment at Point J when  90°. SOLUTION For half section 9 kg m  (9)(9.81) 88.29 N W mg    Portion JC: 1 Weight 44.145 N 2 W   From Fig. 5.8B: 2 2(150) 95.49 mm r x x      0: (44.145 N)(0.15 m) (44.145 N)(0.09549 m) 0 J M M      2.406 N m M    2.41 N m   M  www.elsolucionario.org
  • 1083.
    Copyright © McGraw-HillEducation. Permission required for reproduction or display. PROBLEM 7.28 A half section of pipe rests on a frictionless horizontal surface as shown. If the half section of pipe has a mass of 9 kg and a diameter of 300 mm, determine the bending moment at point J when  90°. SOLUTION For half section 9 kg m  2 (9 kg)(9.81m/s ) 88.29 N W mg    Free body JC Weight of portion JC, 1 44.145 N 2 W   150 mm r  From Fig. 5.8B: 2 2(150) 95.49 mm r x      0: (44.145 N)(0.09549 m) 0 J M M     4.2154 N m M    4.22 N m   M  www.elsolucionario.org
  • 1084.
    Copyright © McGraw-HillEducation. Permission required for reproduction or display. PROBLEM 7.29 For the beam and loading shown, (a) draw the shear and bending- moment diagrams, (b) determine the maximum absolute values of the shear and bending moment. SOLUTION FBD beam: (a) By symmetry: 1 ( ) 2 2 y L A D w   4 y wL   A D Along AB: 0: 0 4 4 y wL wL F V V      0: 0 4 (straight) 4 J wL M M x wL M x      Along BC: 1 0: 0 4 y wL F wx V      1 4 wL V wx   Straight with 1 0 at 4 L V x   1 1 1 0: 0 2 4 4 k x L wL M M wx x             2 2 1 1 2 8 2 w L L M x x            Parabola with 2 1 3 at 32 4 L M wL x   Section CD by symmetry (b) From diagrams: max | | on and 4 wL V AB CD   2 max 3 | | at center 32 wL M   www.elsolucionario.org
  • 1085.
    Copyright © McGraw-HillEducation. Permission required for reproduction or display. PROBLEM 7.30 For the beam and loading shown, (a) draw the shear and bending- moment diagrams, (b) determine the maximum absolute values of the shear and bending moment. SOLUTION 2 0 0 1 1 1 2 2 2 x x wx w x w L L         By similar D’s 2 0 1 0: 0 2 y x F w V L      2 0 1 2 x V w L   2 0 1 0: 0 2 3 y x x F w M L             3 0 1 6 x M w L   max 0 1 | | 2 V w L   2 max 0 1 | | 6 M w L   www.elsolucionario.org
  • 1086.
    Copyright © McGraw-HillEducation. Permission required for reproduction or display. PROBLEM 7.31 For the beam and loading shown, (a) draw the shear and bending-moment diagrams, (b) determine the maximum absolute values of the shear and bending moment. SOLUTION (a) Reactions: 2 3 P  A 3 P  C From A to B: 2 0: 3 y P F V     1 2 0: 3 P M M x     From B to C: 0: 3 y P F V     2 0: ( ) 3 P M M L x      (b) max 2 | | ; 3 P V  max 2 | | 9 PL M   www.elsolucionario.org
  • 1087.
    Copyright © McGraw-HillEducation. Permission required for reproduction or display. PROBLEM 7.32 For the beam and loading shown, (a) draw the shear and bending- moment diagrams, (b) determine the maximum absolute values of the shear and bending moment. SOLUTION (a) From A to B: 0: y F V P     1 0: M M Px     From B to C: 0: 0 2 y F P P V V P         2 0: ( ) 0 2 M Px P x a M M Px Pa          (b) max | | 2 ; V P  max | | 3 M Pa   www.elsolucionario.org
  • 1088.
    Copyright © McGraw-HillEducation. Permission required for reproduction or display. PROBLEM 7.33 For the beam and loading shown, (a) draw the shear and bending-moment diagrams, (b) determine the maximum absolute values of the shear and bending moment. SOLUTION (a) FBD Beam: 0 0: 0 C y M LA M     0 y M L  A 0: 0 y y F A C      0 M L  C Along AB: 0 0 0: 0 y M F V L M V L        0 0 0: 0 J M M x M L M M x L       Straight with 0 at 2 M M B   Along BC: 0 0 0: 0 y M M F V V L L        0 0 0 0: 0 1 K M x M M x M M M L L              Straight with 0 at 0 at 2 M M B M C   (b) From diagrams: max 0 | | / V M L   0 max | | at 2 M M B   www.elsolucionario.org
  • 1089.
    Copyright © McGraw-HillEducation. Permission required for reproduction or display. PROBLEM 7.34 For the beam and loading shown, (a) draw the shear and bending- moment diagrams, (b) determine the maximum absolute values of the shear and bending moment. SOLUTION Free body: Portion AJ 0: 0 y F P V      V P    0: 0      J x M M P PL ( ) M P L x    (a) The V and M diagrams are obtained by plotting the functions V and M. (b) max | | V P   max | | M PL   www.elsolucionario.org
  • 1090.
    Copyright © McGraw-HillEducation. Permission required for reproduction or display. PROBLEM 7.35 For the beam and loading shown, (a) draw the shear and bending-moment diagrams, (b) determine the maximum absolute values of the shear and bending moment. SOLUTION (a) Along AC: 0: 15 kN 0 15 kN y F V V            0: 15 kN 0 15 kN J M M x M x      15 kN m at M C    Along CD: 0: 15 kN 25 kN 0 40 kN y F V V              0: 1 m 25 kN 15 kN 0 K M M x x         25 kN m 40 kN M x       27 kN m at 1.3 m M D x     Along DE: 0: 15 kN 25 kN 30 kN 0 y F V        10 kN V   www.elsolucionario.org
  • 1091.
    Copyright © McGraw-HillEducation. Permission required for reproduction or display. PROBLEM 7.35 (Continued)      1 1 0: 30 kN 0.3 m 25 kN L M M x x         1 1.3 m 15 kN 0 x      1 27 kN m 10 kN M x       1 31.0 kN m at 0.4 m M E x     Along EB: 0: 15 kN 25 kN 30 kN 20 kN 0 30 kN y F V V                2 2 0: 20 kN 0.7 m 25 kN N M M x x            2 2 1.7 m 15 kN 0.4 m 30 kN 0 x x        2 31 kN m 30 kN M x       2 55 kN m at 0.8 m M B x     From diagrams: max 40.0 kN on V CD   max 55.0 kN m at M B    www.elsolucionario.org
  • 1092.
    Copyright © McGraw-HillEducation. Permission required for reproduction or display. PROBLEM 7.36 For the beam and loading shown, (a) draw the shear and bending- moment diagrams, (b) determine the maximum absolute values of the shear and bending moment. SOLUTION Free body: Entire beam 0: (3.2 m) (40 kN)(0.6 m) (32 kN)(1.5 m) (16 kN)(3 m) 0 A M B       37.5 kN B   37.5 kN  B  0: 0 x x F A    0: 37.5 kN 40 kN 32 kN 16 kN 0 y y F A        50.5 kN y A   50.5 kN  A  (a) Shear and bending moment Just to the right of A: 1 50.5 kN V  1 0 M   Just to the right of C: 2 0: 50.5 kN 40 kN 0 y F V      2 10.5 kN V    2 2 0: (50.5 kN)(0.6 m) 0 M M     2 30.3 kN m M     Just to the right of D: 3 0: 50.5 40 32 0 y F V       3 21.5 kN V    3 3 0: (50.5)(1.5) (40)(0.9) 0 M M      3 39.8 kN m M     www.elsolucionario.org
  • 1093.
    Copyright © McGraw-HillEducation. Permission required for reproduction or display. PROBLEM 7.36 (Continued) Just to the right of E: 4 0: 37.5 0 y F V     4 37.5 kN V    4 4 0: (37.5)(0.2) 0 M M      4 7.50 kN m M     At B: 0 B B V M    (b) max | | 50.5 kN V   max | | 39.8 kN m M    www.elsolucionario.org
  • 1094.
    Copyright © McGraw-HillEducation. Permission required for reproduction or display. PROBLEM 7.37 For the beam and loading shown, (a) draw the shear and bending- moment diagrams, (b) determine the maximum absolute values of the shear and bending moment. SOLUTION Free body: Entire beam 0: (6 ft) (6 kips)(2 ft) (12 kips)(4 ft) (4.5 kips)(8 ft) 0 A M E       16 kips E   16 kips  E  0: 0 x x F A    0: 16 kips 6 kips 12 kips 4.5 kips 0 y y F A        6.50 kips y A   6.50 kips  A  (a) Shear and bending moment Just to the right of A: 1 1 6.50 kips 0 V M     Just to the right of C: 2 0: 6.50 kips 6 kips 0 y F V      2 0.50 kips V    2 2 0: (6.50 kips)(2 ft) 0 M M     2 13 kip ft M     Just to the right of D: 3 0: 6.50 6 12 0 y F V       3 11.5 kips V    3 3 0: (6.50)(4) (6)(2) 0 M M      3 14 kip ft M     www.elsolucionario.org
  • 1095.
    Copyright © McGraw-HillEducation. Permission required for reproduction or display. PROBLEM 7.37 (Continued) Just to the right of E: 4 0: 4.5 0 y F V     4 4.5 kips V    4 4 0: (4.5)2 0 M M      4 9 kip ft M     At B: 0 B B V M    (b) max | | 11.50 kips V   max | | 14.00 kip ft M    www.elsolucionario.org
  • 1096.
    Copyright © McGraw-HillEducation. Permission required for reproduction or display. PROBLEM 7.38 For the beam and loading shown, (a) draw the shear and bending- moment diagrams, (b) determine the maximum absolute values of the shear and bending moment. SOLUTION Free body: Entire beam 0: (120 lb)(10 in.) (300 lb)(25 in.) (45 in.) (120 lb)(60 in.) 0 C M E       300 lb E   300 lb  E  0: 0 x x F C    0: 300 lb 120 lb 300 lb 120 lb 0 y y F C        240 lb y C   240 lb  C  (a) Shear and bending moment Just to the right of A: 1 0: 120 lb 0 y F V      1 1 120 lb, 0 V M     Just to the right of C: 2 0: 240 lb 120 lb 0 y F V      2 120 lb V    2 0: (120 lb)(10 in.) 0 C M M     2 1200 lb in. M     Just to the right of D: 3 0: 240 120 300 0 y F V       3 180 lb V    3 3 0: (120)(35) (240)(25) 0, M M      3 1800 lb in. M     www.elsolucionario.org
  • 1097.
    Copyright © McGraw-HillEducation. Permission required for reproduction or display. PROBLEM 7.38 (Continued) Just to the right of E: 4 0: 120 lb 0 y F V     4 120 lb V    4 4 0: (120 lb)(15 in.) 0 M M      4 1800 lb in. M     At B: 0 B B V M    (b) max | | 180.0 lb V   max | | 1800 lb in. M    www.elsolucionario.org
  • 1098.
    Copyright © McGraw-HillEducation. Permission required for reproduction or display. PROBLEM 7.39 For the beam and loading shown, (a) draw the shear and bending-moment diagrams, (b) determine the maximum absolute values of the shear and bending moment. SOLUTION Free body: Entire beam 0: (5 m) (60 kN)(2 m) (50 kN)(4 m) 0 A M B      64.0 kN B   64.0 kN  B  0: 0 x x F A    0: 64.0 kN 6.0 kN 50 kN 0 y y F A       46.0 kN y A   46.0 kN  A  (a) Shear and bending-moment diagrams. From A to C: 0: 46 0 y F V     46 kN V    0: 46 0 y M M x     (46 )kN m M x    From C to D: 0: 46 60 0 y F V      14 kN V    0: 46 60( 2) 0 j M M x x       (120 14 )kN m M x    For 2 m: 92.0 kN m C x M      For 3 m: 78.0 kN m D x M      www.elsolucionario.org
  • 1099.
    Copyright © McGraw-HillEducation. Permission required for reproduction or display. PROBLEM 7.39 (Continued) From D to B: 0: 64 25 0 y F V       (25 64)kN V    0: 64 (25 ) 0 2 j M M               2 (64 12.5 )kN m M      For 0: 64 kN B V     0 B M   (b) max | | 64.0 kN V   max | | 92.0 kN m M    www.elsolucionario.org
  • 1100.
    Copyright © McGraw-HillEducation. Permission required for reproduction or display. PROBLEM 7.40 For the beam and loading shown, (a) draw the shear and bending-moment diagrams, (b) determine the maximum absolute values of the shear and bending moment. SOLUTION Free body: Entire beam 0: (50 kN)(2 m) (4 m) (40 kN)(5 m) 0 A M D       75 kN  D  0: 75 50 40 0 y F A       15 kN A   15 kN  A From A to C: 0: 15 0 y F V     15 kN V  1 0: (15)( ) 0 M M x     (15 ) kN m M x   From C to D: 0: 15 50 0 y F V      35 kN V   2 0: (15)( ) 50( 2) 0 M M x x       (100 35 )kN m M x    30 kN m at 2 m 40 kN m at 4 m C D M x M x         www.elsolucionario.org
  • 1101.
    Copyright © McGraw-HillEducation. Permission required for reproduction or display. PROBLEM 7.40 (Continued) From D to B: 0: 20 0 y F V x     20 kN V x   3 0: (20 ) 0 2 x M M x            2 10 kN m M x    40 kN, 40 kN m at 2 m 0 at 0 D D B B V M x V M x         (b) max | | 40.0 kN V   max | | 40.0 kN m M    www.elsolucionario.org
  • 1102.
    Copyright © McGraw-HillEducation. Permission required for reproduction or display. PROBLEM 7.41 For the beam and loading shown, (a) draw the shear and bending-moment diagrams, (b) determine the maximum absolute values of the shear and bending moment. SOLUTION (a) By symmetry: 1 8 kips (4 kips)(5 ft) 18 kips 2 y y A B      A B Along AC: 0: 18 kips 0 18 kips y F V V      0: (18 kips) (18 kips) J M M x M x     36 kip ft at ( 2 ft) M C x    Along CD: 1 0: 18 kips 8 kips (4 kips/ft) 0 y F x V       1 10 kips (4 kips/ft) V x   1 0 at 2.5 ft (at center) V x   1 1 1 1 0: (4 kips/ft) (8 kips) (2 ft )(18 kips) 0 2 K x M M x x x        2 1 1 36 kip ft (10 kips/ft) (2 kips/ft) M x x     1 48.5 kip ft at 2.5 ft M x    Complete diagram by symmetry (b) From diagrams: max | | 18.00 kips V   max | | 48.5 kip ft M    www.elsolucionario.org
  • 1103.
    Copyright © McGraw-HillEducation. Permission required for reproduction or display. PROBLEM 7.42 For the beam and loading shown, (a) draw the shear and bending-moment diagrams, (b) determine the maximum absolute values of the shear and bending moment. SOLUTION Free body: Entire beam 0: (10 ft) (15 kips)(3 ft) (12 kips)(6 ft) 0 A M B      11.70 kips B   11.70 kips  B  0: 0 x x F A    0: 15 12 11.70 0 y y F A       15.30 kips y A   15.30 kips  A  (a) Shear and bending-moment diagrams From A to C: 0: 15.30 2.5 0 y F x V      (15.30 2.5 ) kips V x   0: (2.5 ) 15.30 0 2 J x M M x x            2 15.30 1.25 M x x   For 0: x  15.30 kips A V   0 A M   For 6 ft: x  0.300 kip C V   46.8 kip ft C M     www.elsolucionario.org
  • 1104.
    Copyright © McGraw-HillEducation. Permission required for reproduction or display. PROBLEM 7.42 (Continued) From C to B: 0: 11.70 0 y F V     11.70 kips V    0: 11.70 0 J M M      (11.70 ) kip ft M    For 4 ft:   46.8 kip ft C M     For 0:   0 B M   (b) max | | 15.30 kips V         max | | 46.8 kip ft M    www.elsolucionario.org
  • 1105.
    Copyright © McGraw-HillEducation. Permission required for reproduction or display. PROBLEM 7.43 Assuming the upward reaction of the ground on beam AB to be uniformly distributed and knowing that P wa, (a) draw the shear and bending-moment diagrams, (b) determine the maximum absolute values of the shear and bending moment. SOLUTION Free body: Entire beam 0: (4 ) 2 0 y g F w a wa wa      3 4 g w w   (a) Shear and bending-moment diagrams From A to C: 3 0: 0 4 1 4 y F wx wx V V wx        3 0 : ( ) 0 2 4 2 J x x M M wx wx            2 1 8 M wx   For 0: x  0 A A V M    For : x a  1 4 C V wa   2 1 8 C M wa    From C to D: 3 0: 0 4 y F wx wa V      3 4 V x a w         3 0: 0 2 4 2 J a x M M wa x wx                   2 3 8 2 a M wx wa x          (1) www.elsolucionario.org
  • 1106.
    Copyright © McGraw-HillEducation. Permission required for reproduction or display. PROBLEM 7.43 (Continued) For : x a  1 4 C V wa   2 1 8 C M wa    For 2 : x a  1 2 D V wa   0 D M   Because of the symmetry of the loading, we can deduce the values of V and M for the right-hand half of the beam from the values obtained for its left-hand half. (b) max 1 | | 2 V wa   To find max | | , M we differentiate Eq. (1) and set 0: dM dx  2 2 2 3 4 0, 4 3 3 4 4 1 8 3 3 2 6 dM wx wa x a dx wa M w a wa                      2 max 1 | | 6 M wa   Bending-moment diagram consists of four distinct arcs of parabola. www.elsolucionario.org
  • 1107.
    Copyright © McGraw-HillEducation. Permission required for reproduction or display. PROBLEM 7.44 Solve Problem 7.43 knowing that P3wa. PROBLEM 7.43 Assuming the upward reaction of the ground on beam AB to be uniformly distributed and knowing that P wa, (a) draw the shear and bending-moment diagrams, (b) determine the maximum absolute values of the shear and bending moment. SOLUTION Free body: Entire beam 0: (4 ) 2 3 0 y g F w a wa wa      5 4 g w w   (a) Shear and bending-moment diagrams From A to C: 5 0: 0 4 1 4 y F wx wx V V wx        5 0 : ( ) 0 2 4 2 J x x M M wx wx            2 1 8 M wx   For 0: x  0 A A V M    For : x a  1 4 C V wa   2 1 8 C M wa    From C to D: 5 0: 0 4 y F wx wa V      5 4 V x a w         5 0: 0 2 4 2 J a x M M wa x wx                   2 5 8 2 a M wx wa x          (1) www.elsolucionario.org
  • 1108.
    Copyright © McGraw-HillEducation. Permission required for reproduction or display. PROBLEM 7.44 (Continued) For : x a  1 , 4 C V wa   2 1 8 C M wa    For 2 : x a  3 , 2 D V wa   2 D M wa    Because of the symmetry of the loading, we can deduce the values of V and M for the right-hand half of the beam from the values obtained for its left-hand half. (b) max 3 | | 2 V wa   To find max | | , M we differentiate Eq. (1) and set 0: dM dx  5 0 4 4 (outside portion ) 5 dM wx wa dx x a a CD      The maximum value of | | M occurs at D: 2 max | | M wa   Bending-moment diagram consists of four distinct arcs of parabola. www.elsolucionario.org
  • 1109.
    Copyright © McGraw-HillEducation. Permission required for reproduction or display. PROBLEM 7.45 Assuming the upward reaction of the ground on beam AB to be uniformly distributed, (a) draw the shear and bending-moment diagrams, (b) determine the maximum absolute values of the shear and bending moment. SOLUTION (a) For equilibrium, 0: 6 12 6 (12 ft)=0 y F w       2.0 kips/ft w  Along AD: 0: (2.0 kips/ft) 0 2 y F x V V x        1 2 0: 2 0 2 x M M x M x      Along DC: 0: 2 6 0 y F x V      2 6 V x     2 0: 6( 2) 2 0 2 x M M x x       2 6 12 M x x    www.elsolucionario.org
  • 1110.
    Copyright © McGraw-HillEducation. Permission required for reproduction or display. PROBLEM 7.45 (Continued) Complete diagrams using symmetry. (b) max | | 6.00 kips V   max | | 12.00 kip ft M    www.elsolucionario.org
  • 1111.
    Copyright © McGraw-HillEducation. Permission required for reproduction or display. PROBLEM 7.46 Solve Prob. 7.45 assuming that the 12-kip load has been removed. PROBLEM 7.45 Assuming the upward reaction of the ground on beam AB to be uniformly distributed, (a) draw the shear and bending-moment diagrams, (b) determine the maximum absolute values of the shear and bending moment. SOLUTION For equilibrium, 0: 12 6 6 0 y g F w      1kip/ft g w   (a) Shear and bending moment From A to D: 0: 0 y F x V V x      2 1 0: ( ) 0, 2 2 x x M M x M       From D to C: 0: 6 0 y F x V      6 V x   2 0: 6( 2) ( ) 0 2 x M M x x       2 12 6 2 x M x    www.elsolucionario.org
  • 1112.
    Copyright © McGraw-HillEducation. Permission required for reproduction or display. PROBLEM 7.46 (Continued) (b) max | | 4.00 kips V   max | | 6.00 kip ft M    www.elsolucionario.org
  • 1113.
    Copyright © McGraw-HillEducation. Permission required for reproduction or display. PROBLEM 7.47 Assuming the upward reaction of the ground on beam AB to be uniformly distributed, (a) draw the shear and bending-moment diagrams,(b) determine the maximum absolute values of the shear and bending moment. SOLUTION For equilibrium, 0: (6 m) (8 kN/m)(3 m) 0 y g F w     4 kN/m g w   (a) Shear and bending-moment diagrams from A to C: 0: 4 0 (4 ) kN y F x V V x      0: (4 ) 2 J x M M x    2 (2 ) kN m M x   For 0: x  0 A A V M    For 1.5 m: 6 kN, C x V   4.5 kN m C M    From C to D: 0: 4 8( 1.5) 0 y F x x V       (12 4 ) kN V x   1.5 0: 8( 1.5) (4 ) 0 2 2 J x x M M x x        2 2 [2 4( 1.5) ]kN m M x x     2 9 12 2 M x x     For 3 m: 0, x V   c L 9 kN m M    For 4.5 m: 6 kN, D x V    4.5 kN m D M    At B: 0 B B V M    (b) max | | 6.00 kN V   max | | 9.00 kN m M    Bending-moment diagram consists or three distinct arcs of parabola, all located above the x axis. Thus: 0 everywhere M   www.elsolucionario.org
  • 1114.
    Copyright © McGraw-HillEducation. Permission required for reproduction or display. PROBLEM 7.48 Assuming the upward reaction of the ground on beam AB to be uniformly distributed, (a) draw the shear and bending-moment diagrams, (b) determine the maximum absolute values of the shear and bending moment. SOLUTION For equilibrium, 0: (6 m) (8 kN/m)(3 m) 0 y g F w     4 kN/m g w   (a) Shear and bending-moment diagrams. From A to C: 0: 8 4 0 ( 4 ) kN y F x x V V x         1 2 0: (8 ) (4 ) 0 2 2 ( 2 ) kN m x x M M x x M x         For 0: x  0 A A V M    For 1.5 m: x  6 kN C V   4.5 kN m C M     From A to D: 0: 4 12 0, (4 12) kN y F x V V x        2 0: 12( 0.75) (4 ) 0 2 x M M x x       2 2 12 9 M x x    www.elsolucionario.org
  • 1115.
    Copyright © McGraw-HillEducation. Permission required for reproduction or display. PROBLEM 7.48 (Continued) For 3 m: x  0, V  9.00 kN m M     For 4.5 m: x  6 kN, D V   4.50 kN m D M     At B: 0 B B V M    (b) max | | 6.00 kN V      Bending-moment diagram consists of three distinct arcs of parabola. max | | 9.00 kN m M    Since entire diagram is below the x axis: 0 M  everywhere  www.elsolucionario.org
  • 1116.
    Copyright © McGraw-HillEducation. Permission required for reproduction or display. PROBLEM 7.49 Draw the shear and bending-moment diagrams for the beam AB, and determine the maximum absolute values of the shear and bending moment. SOLUTION Reactions: 0: (0.4) (120)(0.2) 0 A y M B     60 N y  B 0: x F   0 x  B 0: y F   180 N  A Equivalent loading on straight part of beam AB. From A to C: 0: 180 N y F V     1 0: 180 M M x     From C to B: 0: 180 120 0 y F V      60 N V  0: (180 N)( ) 24 N m (120 N)( 0.2) 0 x M x x M          60 M x   max | | 180.0 N V   max | | 36.0 N m M    www.elsolucionario.org
  • 1117.
    Copyright © McGraw-HillEducation. Permission required for reproduction or display. PROBLEM 7.50 Draw the shear and bending-moment diagrams for the beam AB, and determine the maximum absolute values of the shear and bending moment. SOLUTION Free body: Entire beam 0: (0.9 m) (400 N)(0.3 m) (400 N)(0.6 m) (400 N)(0.9 m) 0 A M B       800 N B   800 N  B  0: 0 x x F A    0: 800 N 3(400 N) 0 y y F A      400 N y A   400 N  A  We replace the loads by equivalent force-couple systems at C, D, and E. We consider successively the following F-B diagrams. 1 1 400 N 0 V M    5 5 400 N 180 N m V M      2 2 400 N 60 N m V M      6 6 400 N 60 N m V M      3 3 0 120 N m V M     7 7 800 N 120 N m V M      4 4 0 120 N m V M     8 8 800 N 0 V M    www.elsolucionario.org
  • 1118.
    Copyright © McGraw-HillEducation. Permission required for reproduction or display. PROBLEM 7.50 (Continued) (b) max | | 800 N V   max | | 180.0 N m M       www.elsolucionario.org
  • 1119.
    Copyright © McGraw-HillEducation. Permission required for reproduction or display. PROBLEM 7.51 Draw the shear and bending-moment diagrams for the beam AB, and determine the maximum absolute values of the shear and bending moment. SOLUTION Slope of cable CD is 7 10 y x D D   7 0: (50 lb)(26 in.) (4 in.) (20 in.) (100 lb)(10 in.) (50 lb)(6 in.) 0 10 H x x M D D              2000 (4 14) 0 x D    200 lb x  D 7 7 (200) 10 10 y x D D   140 lb y  D 0: 200 lb 0 x x F H     200 lb x H  0: 140 50 100 50 0 y y F H        60 lb y H  Equivalent loading on straight part of beam AB. www.elsolucionario.org
  • 1120.
    Copyright © McGraw-HillEducation. Permission required for reproduction or display. PROBLEM 7.51 (Continued) From A to E: 0: 50 lb y F V     1 0: 50 M M x     From E to F: 0: 50 140 0 y F V       90 lb V   2 0: (50 lb) (140 lb)( 6) 800 lb in. 0 M x x M         40 90 M x    From F to G: 0: 50 140 100 0 y F V        10 lb V   3 0: 50 140( 6) 100( 16) 800 0 M x x x M          1560 10 M x   From G to B: 0: 50 0 y F V     50 lb V  4 0: (50)(32 ) 0 M M x       1600 50 M x    max max | | 90.0 lb; | | 1400 lb in. V M     www.elsolucionario.org
  • 1121.
    Copyright © McGraw-HillEducation. Permission required for reproduction or display. PROBLEM 7.52 Draw the shear and bending-moment diagrams for the beam AB, and determine the maximum absolute values of the shear and bending moment. SOLUTION 0: (9 in.) (45 lb)(9 in.) (120 lb)(21in.) 0 G F T      325 lb T  0: 325 lb 0 x x F G      325 lb x  G 0: 45 lb 120 lb 0 y y F G      165 lb y  G Equivalent loading on straight part of beam AB From A to E: 0: 165 lb y F V     1 0: 1625 lb in. (165 lb) 0 M x M        1625 165 M x    From E to F: 0: 165 45 0 y F V      120 lb V   2 0 : 1625 lb in. (165 lb) (45 lb)( 9) 0 M x x M          1220 120 M x    www.elsolucionario.org
  • 1122.
    Copyright © McGraw-HillEducation. Permission required for reproduction or display. PROBLEM 7.52 (Continued) From F to B: 0 120 lb y F V     3 0: (120)(21 ) 0 M x M       2520 120 M x    max | | 165.0 lb V   max | | 1625lb in. M    www.elsolucionario.org
  • 1123.
    Copyright © McGraw-HillEducation. Permission required for reproduction or display. PROBLEM 7.53 Two small channel sections DF and EH have been welded to the uniform beam AB of weight W 3 kN to form the rigid structural member shown. This member is being lifted by two cables attached at D and E. Knowing that  30 and neglecting the weight of the channel sections, (a) draw the shear and bending-moment diagrams for beam AB, (b) determine the maximum absolute values of the shear and bending moment in the beam. SOLUTION FBD Beam  channels: (a) By symmetry: 1 2 T T T   0: 2 sin 60 3 kN 0 y F T      1 1 3 kN 3 3 2 3 3 kN 2 x y T T T    FBD Beam: 3 (0.5 m) kN 2 3 0.433 kN m M    With cable force replaced by equivalent force-couple system at F and G Shear Diagram: V is piecewise linear 0.6 kN/m with 1.5 kN dV dx         discontinuities at F and H. (0.6 kN/m)(1.5 m) 0.9 kN F V     V increases by 1.5 kN to 0.6 kN  at F 0.6 kN (0.6 kN/m)(1 m) 0 G V    Finish by invoking symmetry www.elsolucionario.org
  • 1124.
    Copyright © McGraw-HillEducation. Permission required for reproduction or display. PROBLEM 7.53 (Continued) Moment diagram: M is piecewise parabolic decreasing with dM V dx       with discontinuities of .433 kN at F and H. 1 (0.9 kN)(1.5 m) 2 0.675 kN m F M       M increases by 0.433 kN m to –0.242 kN  m at F 1 0.242 kN m (0.6 kN)(1m) 2 0.058 kN m G M       Finish by invoking symmetry (b) max | | 900 N V   at F and G max | | 675 N m M    at F and G www.elsolucionario.org
  • 1125.
    Copyright © McGraw-HillEducation. Permission required for reproduction or display. PROBLEM 7.54 Solve Problem 7.53 when 60 .    PROBLEM 7.53 Two small channel sections DF and EH have been welded to the uniform beam AB of weight W 3 kN  to form the rigid structural member shown. This member is being lifted by two cables attached at D and E. Knowing that 30    and neglecting the weight of the channel sections, (a) draw the shear and bending- moment diagrams for beam AB, (b) determine the maximum absolute values of the shear and bending moment in the beam. SOLUTION Free body: Beam and channels From symmetry: y y E D  Thus: tan x x y E D D    (1) 0: 3 kN 0 y y y F D E      1.5 kN y y   D E  From (1): (1.5 kN) tan x   D (1.5 kN)tan  E  We replace the forces at D and E by equivalent force-couple systems at F and H, where 0 (1.5 kN tan )(0.5 m) (750 N m) tan M      (2) We note that the weight of the beam per unit length is 3 kN 0.6 kN/m 600 N/m 5 m W w L     (a) Shear and bending moment diagrams From A to F: 0: 600 0 ( 600 )N y F V x V x        2 0: (600 ) 0, ( 300 ) N m 2 J x M M x M x        For 0: x  0 A A V M    For 1.5 m: x  900 N, 675 N m F F V M       www.elsolucionario.org
  • 1126.
    Copyright © McGraw-HillEducation. Permission required for reproduction or display. PROBLEM 7.54 (Continued) From F to H:  0: 1500 600 0 y F x V        (1500 600 ) N V x     0 0: (600 ) 1500( 1.5) 0 2 J x M M x x M        2 0 300 1500( 1.5) N m M M x x       For 1.5 m: x  0 600 N, ( 675) N m F F V M M       For 2.5 m: x  0 0, ( 375) N m G G V M M      From G to B, The V and M diagrams will be obtained by symmetry, (b) max | | 900 N V   Making 60    in Eq. (2): 0 750 tan 60° 1299 N m M    Thus, just to the right of F: 1299 675 624 N m M      and 1299 375 924 N m G M      max ( ) | | 900 N b V      max | | 924 N m M    www.elsolucionario.org
  • 1127.
    Copyright © McGraw-HillEducation. Permission required for reproduction or display. PROBLEM 7.55 For the structural member of Problem 7.53, determine (a) the angle  for which the maximum absolute value of the bending moment in beam AB is as small as possible, (b) the corresponding value of max | | . M (Hint: Draw the bending-moment diagram and then equate the absolute values of the largest positive and negative bending moments obtained.) PROBLEM 7.53 Two small channel sections DF and EH have been welded to the uniform beam AB of weight W 3 kN to form the rigid structural member shown. This member is being lifted by two cables attached at D and E. Knowing that  30 and neglecting the weight of the channel sections, (a) draw the shear and bending-moment diagrams for beam AB, (b) determine the maximum absolute values of the shear and bending moment in the beam. SOLUTION See solution of Problem 7.50 for reduction of loading or beam AB to the following: where 0 (750 N m) tan M     [Equation (2)] The largest negative bending moment occurs Just to the left of F: 1 1 1.5 m 0: (900 N) 0 2 M M           1 675 N m M     The largest positive bending moment occurs At G: 2 2 0 0: (1500 N)(1.25 m 1 m) 0 M M M       2 0 375 N m M M     Equating 2 M and 1 : M  0 375 675 M    0 1050 N m M   www.elsolucionario.org
  • 1128.
    Copyright © McGraw-HillEducation. Permission required for reproduction or display. PROBLEM 7.55 (Continued) (a) From Equation (2): 1050 tan 1.400 750    54.5    (b) max | | 675 N m M    www.elsolucionario.org
  • 1129.
    Copyright © McGraw-HillEducation. Permission required for reproduction or display. PROBLEM 7.56 For the beam of Problem 7.43, determine (a) the ratio kP/wa for which the maximum absolute value of the bending moment in the beam is as small as possible, (b) the corresponding value of |M|max. (See hint for Problem 7.55.) PROBLEM 7.43 Assuming the upward reaction of the ground on beam AB to be uniformly distributed and knowing that P wa, (a) draw the shear and bending-moment diagrams, (b) determine the maximum absolute values of the shear and bending moment. SOLUTION Free body: Entire beam 0: (4 ) 2 0 y g F w a wa kwa      (2 ) 4 g w w k   Setting g w w   (1) We have 4 2 k    (2) Minimum value of B.M. For M to have negative values, we must have . g w w  We verify that M will then be negative and keep decreasing in the portion AC of the beam. Therefore, min M will occur between C and D. From C to D: 0: 0 2 2 J a x M M wa x wx                    2 2 1 ( 2 ) 2 M w x ax a     (3) We differentiate and set 0: dM dx  0 x a    min a x   (4) Substituting in (3): 2 min 2 min 1 1 2 1 2 1 2 M wa M wa                 (5) www.elsolucionario.org
  • 1130.
    Copyright © McGraw-HillEducation. Permission required for reproduction or display. PROBLEM 7.56 (Continued) Maximum value of bending moment occurs at D 3 0: (2 ) 0 2 D D a M M wa wa a             2 max 3 2 2 D M M wa           (6) Equating min M  and max : M 2 2 2 1 3 2 2 2 4 2 1 0 wa wa                  2 20 8    1 5 0.809 4     (a) Substitute in (2): 4(0.809) 2 k   1.236 k   (b) Substitute for  in (5): 2 max min 1 0.809 | | 2(0.809) M M wa      2 max | | 0.1180 M wa   Substitute for  in (4): min 1.236 0.809 a x a   www.elsolucionario.org
  • 1131.
    Copyright © McGraw-HillEducation. Permission required for reproduction or display. PROBLEM 7.57 Determine (a) the distance a for which the maximum absolute value of the bending moment in beam AB is as small as possible, (b) the corresponding value of Mmax. (See hint for Prob. 7.55.) SOLUTION Tension in cords supporting load: 100 mm 0: 2 80 N 0; 50 mm 40 N 80 N x y y y y x T F T T T T         Translate cord tensions to straight part of beam ABat C and D:   (80 N) 0.04 m 3.2 N m C D M M     FBD of beam AB: From A to C: 0: 40 0 40 N y F V V        1 1 0: 40 N 0 40 M M x M x      From C to D: www.elsolucionario.org
  • 1132.
    Copyright © McGraw-HillEducation. Permission required for reproduction or display. PROBLEM 7.57 (Continued) 0: 0 y F V      2 2 0: 3.2 N m 40 N 0 40 3.2 M M a M a         Equating the absolute values of 1 2 and M M :   40 40 3.2 40 40 3.2 40 40 3.2 80 3.2 0.04 m a a a a a a a a            (a) 40.0 mm a   (b) Substituting:   max 2 40N .04 m 3.2 N m M M     max | | 1.600 N m M    www.elsolucionario.org
  • 1133.
    Copyright © McGraw-HillEducation. Permission required for reproduction or display. PROBLEM 7.58 For the beam and loading shown, determine (a) the distance a for which the maximum absolute value of the bending moment in the beam is as small as possible, (b) the corresponding value of |M|max. (See hint for Problem 7.55.) SOLUTION Free body: Entire beam 0: 0 x x F A    0: (2.4) (3)(1.8) 3(1) (2) 0 E y M A a        5 3.5 kN 6 y A a   5 3.5 kN 6 a   A  Free body: AC 5 0: 3.5 (0.6 m) 0, 6 C C M M a            2.1 2 C a M     Free body: AD 5 0: 3.5 (1.4 m) (3 kN)(0.8 m) 0 6 D D M M a             7 2.5 6 D M a     Free body: EB 0: (2 kN) 0 E E M M a      2 E M a    We shall assume that C D M M  and, thus, that max . C M M  We set max min | | M M  or | | 2.1 2 2 C E a M M a     0.840 m a   max | | | | 2 2(0.840) C E M M M a     max | | 1.680 N m M    We must check our assumption. 7 2.5 (0.840) 1.520 N m 6 D M     Thus, , C D M M  O.K. The answers are (a) 0.840 m a   (b) max | | 1.680 N m M    www.elsolucionario.org
  • 1134.
    Copyright © McGraw-HillEducation. Permission required for reproduction or display. PROBLEM 7.59 A uniform beam is to be picked up by crane cables attached at A and B. Determine the distance a from the ends of the beam to the points where the cables should be attached if the maximum absolute value of the bending moment in the beam is to be as small as possible. (Hint: Draw the bending-moment diagram in terms of a, L, and the weight w per unit length, and then equate the absolute values of the largest positive and negative bending moments obtained.) SOLUTION w weight per unit length To the left of A: 1 0: 0 2 x M M wx           2 2 1 2 1 2 A M wx M wa     Between A and B: 2 1 1 0: ( ) ( ) 0 2 2 M M wL x a wx x                   2 1 1 1 2 2 2 M wx wLx wLa     At center C: 2 2 1 1 1 2 2 2 2 2 C L x L L M w wL wLa                  www.elsolucionario.org
  • 1135.
    Copyright © McGraw-HillEducation. Permission required for reproduction or display. PROBLEM 7.59 (Continued) We set 2 2 2 2 1 1 1 1 1 1 | | | |: 2 8 2 2 8 2 A C M M wa wL wLa wa wL wLa        2 2 0.25 0 a La L    2 2 2 2 max 1 1 ( ) ( 2 1) 2 2 1 (0.207 ) 0.0214 2        a L L L L M w L wL 0.207 a L   www.elsolucionario.org
  • 1136.
    Copyright © McGraw-HillEducation. Permission required for reproduction or display. PROBLEM 7.60 Knowing that P Q 150 lb, determine (a) the distance a for which the maximum absolute value of the bending moment in beam AB is as small as possible, (b) the corresponding value of max | | . M (See hint for Problem 7.55.) SOLUTION Free body: Entire beam 0: (150)(30) (150)(60) 0 A M Da      13,500 D a   Free body: CB 13,500 0: (150)(30) ( 30) 0 C C M M a a        45 9000 1 C M a          Free body: DB 0: (150)(60 ) 0 D D M M a       150(60 ) D M a     (a) We set max min 45 | | or : 9000 1 150(60 ) C D M M M M a a             2700 60 60 a a    2 2700 51.96 in. a a   52.0 in. a   (b) max | | 150(60 51.96) D M M     max | | 1206 lb in. M    www.elsolucionario.org
  • 1137.
    Copyright © McGraw-HillEducation. Permission required for reproduction or display. PROBLEM 7.61 Solve Problem 7.60 assuming that P  300 lb and Q 150lb. PROBLEM 7.60 Knowing that P Q 150 lb, determine (a) the distance a for which the maximum absolute value of the bending moment in beam AB is as small as possible, (b) the corresponding value of max | | . M (See hint for Problem 7.55.) SOLUTION Free body: Entire beam 0: (300)(30) (150)(60) 0 A M Da      18,000 D a   Free body: CB 18,000 0: (150)(30) ( 30) 0 C C M M a a        40 13,500 1 C M a          Free body: DB 0: (150)(60 ) 0 D D M M a       150(60 ) D M a     (a) We set max min 40 | | or : 13,500 1 150(60 ) C D M M M M a a             3600 90 60 a a    2 30 3600 0 a a    30 15.300 46.847 2 a     46.8 in. a   (b) max | | 150(60 46.847) D M M     max | | 1973 lb in. M    www.elsolucionario.org
  • 1138.
    Copyright © McGraw-HillEducation. Permission required for reproduction or display. PROBLEM 7.62* In order to reduce the bending moment in the cantilever beam AB, a cable and counterweight are permanently attached at end B. Determine the magnitude of the counterweight for which the maximum absolute value of the bending moment in the beam is as small as possible and the corresponding value of max | | . M Consider (a) the case when the distributed load is permanently applied to the beam, (b) the more general case when the distributed load may either be applied or removed. SOLUTION M due to distributed load: 2 0: 0 2 1 2 J x M M wx M wx        M due to counter weight: 0: 0 J M M xw M wx       (a) Both applied: 2 2 0 at x w M W x dM W W wx x dx w       And here 2 0 2 W M w   so Mmax; Mmin must be at x L  So 2 min 1 . 2 M WL wL   For minimum max | | M set max min , M M   so 2 2 1 or 2 2 W WL wL w    2 2 2 2 0 W wLW w L    2 2 2 (need ) W wL w L     ( 2 1) 0.414 W wL wL     www.elsolucionario.org
  • 1139.
    Copyright © McGraw-HillEducation. Permission required for reproduction or display. PROBLEM 7.62* (Continued) (b) w may be removed 2 2 2 max ( 2 1) 2 2 W M wL w    2 max 0.0858 M wL   Without w, max at M Wx M WL A   With w (see Part a) 2 2 max 2 min 2 at 2 1 at 2 w M Wx x W W M x w w M WL wL x L        For minimum max max min , set (no ) (with ) M M w M w   2 1 1 2 4 WL WL wL W wL       2 max 1 4 M wL   With 1 4 W wL   www.elsolucionario.org
  • 1140.
    Copyright © McGraw-HillEducation. Permission required for reproduction or display. PROBLEM 7.63 Using the method of Section 7.6, solve Problem 7.29. PROBLEM 7.29 For the beam and loading shown, (a) draw the shear and bending-moment diagrams, (b) determine the maximum absolute values of the shear and bending moment. SOLUTION Reactions at A and D Because of the symmetry of the supports and loading. 1 1 2 2 4 L A D w wL          1 4 wL   A D  Shear diagram At A: 1 4 A V wL   From B to C: Oblique straight line max 1 | | 4 V wL   Bending-moment diagram At A: 0 A M  From B to C: ARC of parabola 2 max 3 | | 32 M wL   Since V has no discontinuity at BnorC, the slope of the parabola at these points is the same as the slope of the adjoining straight line segment. www.elsolucionario.org
  • 1141.
    Copyright © McGraw-HillEducation. Permission required for reproduction or display. PROBLEM 7.64 Using the method of Section 7.6, solve Problem 7.30. PROBLEM 7.30 For the beam and loading shown, (a) draw the shear and bending-moment diagrams, (b) determine the maximum absolute values of the shear and bending moment. SOLUTION Free body: Entire beam 0 1 0: ( )( ) 0 2 y F B w L     0 1 2 w L  B Shear diagram 0 1 0: ( )( ) 0 2 3 B B L M w L M           2 0 1 6 B w L  M Moment diagram (b) max 0 | | /2 V w L   2 max 0 | | /6 M w L   www.elsolucionario.org
  • 1142.
    Copyright © McGraw-HillEducation. Permission required for reproduction or display. PROBLEM 7.65 Using the method of Section 7.6, solve Problem 7.31. PROBLEM 7.31 For the beam and loading shown, (a) draw the shear and bending-moment diagrams, (b) determine the maximum absolute values of the shear and bending moment. SOLUTION Free body: Entire beam 2 0: ( ) 0 3 C L M P A L           2 3 P  A 2 0: 0 3 Y F P P C      1 3 P  C Shear diagram At A: 2 3 A V P  max 2 | | 3 V P   Bending-moment diagram At A: 0 A M  max 2 | | 9 M PL   www.elsolucionario.org
  • 1143.
    Copyright © McGraw-HillEducation. Permission required for reproduction or display. PROBLEM 7.66 Using the method of Section 7.6, solve Problem 7.32. PROBLEM 7.32 For the beam and loading shown, (a) draw the shear and bending-moment diagrams, (b) determine the maximum absolute values of the shear and bending moment. SOLUTION Free body: Entire beam 0: 0 y F C P P      2P  C 0: (2 ) ( ) 0 C C M P a P a M      3 C Pa  M Shear diagram At A: A V P   max | | 2 V P   Bending-moment diagram At A: 0 A M  max | | 3 M Pa   www.elsolucionario.org
  • 1144.
    Copyright © McGraw-HillEducation. Permission required for reproduction or display. PROBLEM 7.67 Using the method of Section 7.6, solve Problem 7.33. PROBLEM 7.33 For the beam and loading shown, (a) draw the shear and bending-moment diagrams, (b) determine the maximum absolute values of the shear and bending moment. SOLUTION Free body: Entire beam 0: y F A C    0 0: 0 C M Al M     0 M A C L   Shear diagram At A: 0 A M V L   0 max | | M V L   Bending-moment diagram At A: 0 A M  At B, M increases by M0 on account of applied couple. max 0 | | /2 M M   www.elsolucionario.org
  • 1145.
    Copyright © McGraw-HillEducation. Permission required for reproduction or display. PROBLEM 7.68 Using the method of Section 7.6, solve Problem 7.34. PROBLEM 7.34 For the beam and loading shown, (a) draw the shear and bending-moment diagrams, (b) determine the maximum absolute values of the shear and bending moment. SOLUTION Free body: Entire beam 0: 0 y F B P     P  B 0 0: 0 B B M M M PL      0 B  M Shear diagram At A: A V P   max | | V P   Bending-moment diagram At A: 0 A M M PL   max | | M PL   www.elsolucionario.org
  • 1146.
    Copyright © McGraw-HillEducation. Permission required for reproduction or display. PROBLEM 7.69 For the beam and loading shown, (a) draw the shear and bending-moment diagrams, (b) determine the maximum absolute values of the shear and bending moment. SOLUTION Reactions: 0 0 x x F A          0: 24 kN m (8 kN)(3 m) 10 kN 6 m 8 kN 9 m (12 m) 0 A M E         11kN E  0 y F   15 kN A  (b) max | | 15.00 kN; V  max | | 42.0 kN m M    www.elsolucionario.org
  • 1147.
    Copyright © McGraw-HillEducation. Permission required for reproduction or display. PROBLEM 7.70 For the beam and loading shown, (a) draw the shear and bending-moment diagrams, (b) determine the maximum absolute values of the shear and bending moment. SOLUTION Reactions 0 0 x x F A    0: 12 kN m (9 kN)(3.5 m) (18 kN)(2 m) 3 kN m (4.5 m) 0 D y M A           17.00 kN y A  0 17 kN 9 kN 18 kN 0 y F D       10.00kN D  (b) max | | 17.00 kN; V  max | | 17.00 kN m M    www.elsolucionario.org
  • 1148.
    Copyright © McGraw-HillEducation. Permission required for reproduction or display. PROBLEM 7.71 Using the method of Section 7.6, solve Problem 7.39. PROBLEM 7.39 For the beam and loading shown, (a) draw the shear and bending-moment diagrams, (b) determine the maximum absolute values of the shear and bending moment. SOLUTION Free body: Beam 0: 0 x x F A    0: (60 kN)(3 m) (50 kN)(1m) (5 m) 0 B y M A      46.0 kN y A   0: 46.0 kN 60 kN 50 kN 0 y F B       64.0 kN B   Shear diagram At A: 46.0 kN A y V A    max | | 64.0 kN  V  Bending-moment diagram At A: 0 A M  max | | 92.0 kN m M    Parabola from D to B. Its slope at D is same as that of straight-line segment CD since V has no discontinuity at D. www.elsolucionario.org
  • 1149.
    Copyright © McGraw-HillEducation. Permission required for reproduction or display. PROBLEM 7.72 Using the method of Section 7.6, solve Problem 7.40. PROBLEM 7.40 For the beam and loading shown, (a) draw the shear and bending-moment diagrams, (b) determine the maximum absolute values of the shear and bending moment. SOLUTION Free body: Beam 0: 0 x x F A    0: (50 kN)(2 m) (40 kN)(1m) (4 m) 0 D y M A      15.00 kN y A   0: 15 kN 40 kN 50 kN 0 y F D       75.0 kN D   Shear diagram At A: 15.00 kN A y V A    max | | 40.0 kN V   Bending-moment diagram At A: 0 A M  max | | 40.0 kN m M    Parabola from D to B. www.elsolucionario.org
  • 1150.
    Copyright © McGraw-HillEducation. Permission required for reproduction or display. PROBLEM 7.73 Using the method of Section 7.6, solve Problem 7.41. PROBLEM 7.41 For the beam and loading shown, (a) draw the shear and bending-moment diagrams, (b) determine the maximum absolute values of the shear and bending moment. SOLUTION Reactions at supports. Because of the symmetry: 1 (8 8 4 5)kips 2      A B 18 kips   A B  Shear diagram At A: 18 kips A V   max | | 18.00 kips  V  Bending-moment diagram At A: 0 A M  max | | 48.5 kip ft M    Discontinuities in slope at C and D, due to the discontinuities of V. www.elsolucionario.org
  • 1151.
    Copyright © McGraw-HillEducation. Permission required for reproduction or display. PROBLEM 7.74 Using the method of Section 7.6, solve Problem 7.42. PROBLEM 7.42 For the beam and loading shown, (a) draw the shear and bending-moment diagrams, (b) determine the maximum absolute values of the shear and bending moment. SOLUTION Free body: Beam 0: 0 x x F A    0: (12 kips)(4ft) (15 kips)(7 ft) (10 ft) 0 B y M A      15.3 kips y A    0: 15.3 15 12 0 y F B       11.7 kips B    Shear diagram At A: 15.3 kips A y V A   max | | 15.30 kips  V  Bending-moment diagram At A: 0 A M  max | | 46.8 kip ft M    www.elsolucionario.org
  • 1152.
    Copyright © McGraw-HillEducation. Permission required for reproduction or display. PROBLEM 7.75 For the beam and loading shown, (a) draw the shear and bending- moment diagrams, (b) determine the maximum absolute values of the shear and bending moment. SOLUTION Reactions 0: (16)(9) (45)(4) (8)(3) (12) 0 D M A       25 kips A   25 kips  A 0: 25 16 45 8 0 y y F D        44, y D   44 kips y D  0: 0 x x F D    (b) max | | 36.0 kips; V  max | | 120.0 kip ft M    www.elsolucionario.org
  • 1153.
    Copyright © McGraw-HillEducation. Permission required for reproduction or display. PROBLEM 7.76 For the beam and loading shown, (a) draw the shear and bending-moment diagrams, (b) determine the maximum absolute values of the shear and bending moment. SOLUTION Reactions From symmetry, C G  0: 2(16 lb/in.)(10 in.) 100 lb 150 lb 100 lb 2 0 y F C         335 lb C G    335 lb   C G (b) max | | 175.0 lbs; V  max | | 800 lb in. M    www.elsolucionario.org
  • 1154.
    Copyright © McGraw-HillEducation. Permission required for reproduction or display. PROBLEM 7.77 For the beam and loading shown, (a) draw the shear and bending- moment diagrams, (b) determine the magnitude and location of the maximum absolute value of the bending moment. SOLUTION Reactions 0: 45 kN m (90 kN)(3 m) (7.5 m) 0 A M C        30 kN C   30 kN  C 0: 90 kN 30 kN 0 y F A      60 kN  A (b) 75.0 kN m,  4.00 m from A  www.elsolucionario.org
  • 1155.
    Copyright © McGraw-HillEducation. Permission required for reproduction or display. PROBLEM 7.78 For the beam and loading shown, (a) draw the shear and bending- moment diagrams, (b) determine the magnitude and location of the maximum absolute value of the bending moment. SOLUTION 0: (8.75)(1.75) (2.5) 0 A M B     6.125 kN  B 0: y F   2.625 kN  A Similar D’s  Add numerators and denominators 1.05 m 2.5 2.5 2.625 3.625 6.25 x x x        (b) 1.378 kN m,  1.050 m from A www.elsolucionario.org
  • 1156.
    Copyright © McGraw-HillEducation. Permission required for reproduction or display. PROBLEM 7.79 For the beam and loading shown, (a) draw the shear and bending-moment diagrams, (b) determine the magnitude and location of the maximum bending moment. SOLUTION Free body: Beam 0: 0 x x F A    0: (40 kN)(1.5 m) (3.75 m) 0 B y M A     16.00 kN y A    Shear diagram 16.00 kN A C y V V A     To determine Point E where 0, V  we write 0 16 kN (20 kN/m) E C V V wu u       0.800 m u   We next compute all areas Bending-moment diagram At A: 0 A M  Largest value occurs at E with 1.25 0.8 2.05 m AE    max | | 26.4 kN m M    2.05 m from A From A to C and D to B: Straight line segments. From C to D: Parabola www.elsolucionario.org
  • 1157.
    Copyright © McGraw-HillEducation. Permission required for reproduction or display. PROBLEM 7.80 For the beam and loading shown, (a) draw the shear and bending- moment diagrams, (b) determine the magnitude and location of the maximum bending moment. SOLUTION 0: (8)(2) (4)(3.2) 4 0 A M C      7.2 kN  C 0: 4.8 kN y F    A (a) Shear diagram Similar Triangles: 3.2 3.2 ; 2.4 m 4.8 1.6 6.4     x x x Add num. & den.  Bending-moment diagram (b)  max | | 5.76 kN m M    2.40from A www.elsolucionario.org
  • 1158.
    Copyright © McGraw-HillEducation. Permission required for reproduction or display. PROBLEM 7.81 For the beam and loading shown, (a) draw the shear and bending- moment diagrams, (b) determine the magnitude and location of the maximum absolute value of the bending moment. SOLUTION Reactions 0: 0 x x F A    0: (800 lb/ft)(9 ft)(4.5 ft) (600 lb)(9 ft) (15 ft) 0 A M C       1800 lb C   1.800 kips  C 0: (800 lb/ft)(9 ft) 600 lb+1800 lb 0 y F A       4800 lb A   4.80 kips  A Maximum moment occurs at zero shear,   4800 lb= 800 lb/ft 6.00 ft x x  (b) max | | 14.40 kip ft, 6.00 ft from M A    www.elsolucionario.org
  • 1159.
    Copyright © McGraw-HillEducation. Permission required for reproduction or display. PROBLEM 7.82 For the beam and loading shown, (a) draw the shear and bending- moment diagrams, (b) determine the magnitude and location of the maximum absolute value of the bending moment. SOLUTION Reactions 0: 0 x x F B    0: (400 lb/ft)(20 ft)(10 ft) (3200 lb)(22.5 ft) (20 ft) 0 C M B      7600 lb B   7.60 kips  B 0: (400 lb/ft)(20 ft) 3200 lb 7600 lb 0 y F C        3600 lb C   3.60 kips  C Maximum moment occurs at zero shear, 4400 lb +2.5 ft 13.50 ft 400 lb/ft x x   (b) max | | 16.20 kip ft, 13.50 ft from M A    www.elsolucionario.org
  • 1160.
    Copyright © McGraw-HillEducation. Permission required for reproduction or display. PROBLEM 7.83 (a) Draw the shear and bending-moment diagrams for beam AB, (b) determine the magnitude and location of the maximum absolute value of the bending moment. SOLUTION Reactions at supports Because of symmetry of load 1 (300 8 300) 2 A B     1350 lb   A B  Load diagram for AB The 300-lb force at D is replaced by an equivalent force-couple system at C. Shear diagram At A: 1350 lb A V A   To determine Point E where 0: V  0 1350 lb (300 lb/ft) E A V V wx x       4.50 ft x   We compute all areas Bending-moment diagram At A: 0 A M  Note 600 lb ft   drop at C due to couple max | | 3040 lb ft M      4.50 ft from A  www.elsolucionario.org
  • 1161.
    Copyright © McGraw-HillEducation. Permission required for reproduction or display. PROBLEM 7.84 Solve Problem 7.83 assuming that the 300-lb force applied at D is directed upward. PROBLEM 7.83 (a) Draw the shear and bending-moment diagrams for beam AB, (b) determine the magnitude and location of the maximum absolute value of the bending moment. SOLUTION Reactions at supports Because of symmetry of load: 1 (300 8 300) 2 A B     1050 lb   A B  Load diagram The 300-lb force at D is replaced by an equivalent force-couple system at C. Shear diagram At A: 1050 lb A V A   To determine Point E where 0: V  0 1050 lb (300 lb/ft) E A V V wx x       3.50 ft x   We compute all areas Bending-moment diagram At A: 0 A M  Note 600 lb ft   increase at C due to couple max | | 1838 lb ft M      3.50 ft from A www.elsolucionario.org
  • 1162.
    Copyright © McGraw-HillEducation. Permission required for reproduction or display. PROBLEM 7.85 For the beam and loading shown, (a) write the equations of the shear and bending-moment curves, (b) determine the magnitude and location of the maximum bending moment. SOLUTION 0 0 1 cos 2 2 sin 2 dv x w w dx L L x V wdx w C L                   (1) 0 1 2 0 1 2 2 sin 2 2 cos 2 dM L x V w C dx L L x M Vdx w C x C L                           (2) Boundary conditions At 0: x  1 1 0 0 V C C    At 0: x  2 0 2 2 2 0 2 cos(0) 0 2 L M w C L C w                     Eq. (1) 0 2 sin 2 L x V w L            2 0 2 1 cos 2 L x M w L                   max M at : x L  2 2 max 0 0 2 2 4 | | | 1 0| L M w w L              www.elsolucionario.org
  • 1163.
    Copyright © McGraw-HillEducation. Permission required for reproduction or display. PROBLEM 7.86 For the beam and loading shown, (a) write the equations of the shear and bending-moment curves, (b) determine the magnitude and location of the maximum bending moment. Solution Eq. (7.1): 0 dV x w w dx L     2 0 0 1 1 2 x x V w dx w C L L       (1) Eq. (7.3): 2 0 1 1 2 dM x V w C dx L     2 3 0 1 0 1 2 1 1 2 6 x x M w C dx w C x C L L                  (2) (a) Boundary conditions 2 At 0: 0 0 0 x M C      2 0 C  2 0 1 1 : 0 6 x L M w L C L      1 0 1 6 C w L  Substituting C1 and C2 into (1) and (2): 2 0 0 1 1 2 6 x V w w L L    2 0 2 1 1 2 3 x V w L L            3 0 0 1 1 6 6 x M w w Lx L    3 2 0 3 1 6 x x M w L L L            (b) Max moment occurs when V 0: 2 2 1 3 0 x L   1 3 x L  0.577 x L    www.elsolucionario.org
  • 1164.
    Copyright © McGraw-HillEducation. Permission required for reproduction or display. PROBLEM 7.86 (Continued) 3 2 max 0 1 1 1 6 3 3 M w L                 2 max 0 0.0642 M w L   Note: At x 0, 0 1 1 2 3 A A V w L         0 1 6 w L  A  www.elsolucionario.org
  • 1165.
    Copyright © McGraw-HillEducation. Permission required for reproduction or display. PROBLEM 7.87 For the beam and loading shown, (a) write the equations of the shear and bending-moment curves, (b) determine the magnitude and location of the maximum bending moment. SOLUTION (a) We check that beam is in equilibrium   0 0 1 1 1 2 0 2 3 2 2 3 L w L w L L                   (ok) Load: 0 0 0 3 ( ) 1 1 2 2 w x x x w x w w L L L                        Shear: We use Eq. (7.1) 0 2 0 0 1 3 1 2 3 3 (1 ) 2 4 dV x w w dx L x x V w dx w x C L L                              Boundary Condition: at x=L, V=0 therefore 0 1 1 0 3 1 0 4 4 w L L C C w L            Bending moment: Using Eq. (7.3) 2 0 0 0 3 2 0 0 0 2 3 1 4 4 1 1 1 ( ) 2 4 4 dM x V M Vdx w x w w L dx dx L x M x w x w w Lx C L                      Boundary Condition: at x=0, 2 2 0 therefore 0 M C C      2 0 1 3 4 1 4 x x V x w L L L                           3 2 2 0 1 2 4 x x x M x w L L L L                               www.elsolucionario.org
  • 1166.
    Copyright © McGraw-HillEducation. Permission required for reproduction or display. PROBLEM 7.87 (Continued) (b) Maximum bending moment 0 dM V dx   2 0 3 4 1 0 3 1 1 ; and 3 x x L L x x L x x L L L                                      2 max 0 1 1 2 1 4 27 9 3 M w L          2 max 0 1 , at 27 3 L M w L x    www.elsolucionario.org
  • 1167.
    Copyright © McGraw-HillEducation. Permission required for reproduction or display. PROBLEM 7.88 For the beam and loading shown, (a) write the equations of the shear and bending-moment curves, (b) determine the magnitude and location of the maximum bending moment. SOLUTION Eq. (7.1): 0 sin dV x w w dx L      0 0 1 sin cos x L x V w dx w C L L         (1) Eq. (7.3): 0 1 cos dM L x V w C dx L      2 0 1 0 1 2 2 cos sin L x L x M w C dx w C x C L L                 (2) (a) Boundary conditions At 0: 0 x M   therefore, 2 0 C  : 0 x L M   therefore, 1 0 C    0 cos L x V x w L           2 0 2 sin L x M w L           (b) Max moment occurs when V 0 at 2 L x  2 max 0 2 L M w    www.elsolucionario.org
  • 1168.
    Copyright © McGraw-HillEducation. Permission required for reproduction or display. PROBLEM 7.89 The beam AB is subjected to the uniformly distributed load shown and to two unknown forces P and Q. Knowing that it has been experimentally determined that the bending moment is 800 N m   at D and 1300 N m   at E, (a) determine P and Q, (b) draw the shear and bending-moment diagrams for the beam. SOLUTION (a) Free body: Portion AD 0: 0 x x F C    0: (0.3 m) 0.800 kN m (6 kN)(0.45 m) 0 D y M C        11.667 kN y C   11.667 kN  C  Free body: Portion EB 0: (0.3 m) 1.300 kN m 0 E M B      4.333 kN  B  Free body: Entire beam 0: (6 kN)(0.45 m) (11.667 kN)(0.3 m) (0.3 m) (4.333 kN)(0.6 m) 0 D M Q       6.00 kN  Q  0: 11.667 kN 4.333 kN y M    6 kN 6 kN 0 P     4.00 kN  P  Load diagram (b) Shear diagram At A: 0 A V  max | | 6 kN V   www.elsolucionario.org
  • 1169.
    Copyright © McGraw-HillEducation. Permission required for reproduction or display. PROBLEM 7.89 (Continued) Bending-moment diagram At A: 0 A M  max | | 1300 N m M    We check that 800 N m and 1300 N m D E M M       As given: At C: 900 N m C M     www.elsolucionario.org
  • 1170.
    Copyright © McGraw-HillEducation. Permission required for reproduction or display. PROBLEM 7.90 Solve Problem 7.89 assuming that the bending moment was found to be 650 N m   at D and 1450 N m   at E. PROBLEM 7.89 The beam AB is subjected to the uniformly distributed load shown and to two unknown forces P and Q. Knowing that it has been experimentally determined that the bending moment is 800 N m   at D and 1300 N m   at E, (a) determine P and Q, (b) draw the shear and bending-moment diagrams for the beam. SOLUTION            (a) Free body: Portion AD 0: 0 x x F C    0: (0.3 m) 0.650 kN m (6 kN)(0.45 m) 0 D M C        11.167 kN   y C 11.167 kN  C  Free body: Portion EB 0: (0.3 m) 1.450 kN m 0 E M B      4.833 kN  B  Free body: Entire beam 0: (6 kN)(0.45 m) (11.167 kN)(0.3 m) (0.3 m) (4.833 kN)(0.6 m) 0 D M Q       7.50 kN  Q  0: 11.167 kN 4.833 kN 6 kN 7.50 kN 0 y M P        2.50 kN  P  Load diagram (b) Shear diagram At A: 0 A V  max | | 6 kN V   www.elsolucionario.org
  • 1171.
    Copyright © McGraw-HillEducation. Permission required for reproduction or display.   PROBLEM 7.90 (Continued) Bending-moment diagram At A: 0 A M  max | | 1450 N m M    We check that 650 N m and 1450 N m D E M M       As given: At C: 900 N m C M     www.elsolucionario.org
  • 1172.
    Copyright © McGraw-HillEducation. Permission required for reproduction or display. PROBLEM 7.91* The beam AB is subjected to the uniformly distributed load shown and to two unknown forces P and Q. Knowing that it has been experimentally determined that the bending moment is 6.10 kip ft   at D and 5.50 kip ft   at E, (a) determine P and Q, (b) draw the shear and bending-moment diagrams for the beam. SOLUTION (a) Free body: Portion DE 0: 5.50 kip ft 6.10 kip ft (1kip)(2 ft) (4 ft) 0 E D M V         0.350 kip D V   0: 0.350 kip 1kip 0 y E F V      0.650 kip E V   Free body: Portion AD 0: 6.10 kip ft (2ft) (1 kip)(2 ft) (0.350 kip)(4 ft) 0 A M P        1.350 kips  P  0: 0 x x F A    0: 1 kip 1.350 kip 0.350 kip 0 y y F A       2.70 kips y A   2.70 kips  A  Free body: Portion EB 0: (0.650 kip)(4 ft) (1 kip)(2 ft) (2 ft) 5.50 kip ft 0 B M Q        0.450 kip  Q  0: 0.450 1 0.650 0 y F B       2.10 kips  B  www.elsolucionario.org
  • 1173.
    Copyright © McGraw-HillEducation. Permission required for reproduction or display. PROBLEM 7.91* (Continued) (b) Load diagram Shear diagram At A: 2.70 kips A V A    To determine Point G where 0, V  we write 0 0.85 kips (0.25 kip/ft) G C V V w        3.40 ft    We next compute all areas max | | 2.70 kips at V A   Bending-moment diagram At A: 0 A M  Largest value occurs at G with 2 3.40 5.40 ft AG    max | | 6.345 kip ft M    5.40 ft from A Bending-moment diagram consists of 3 distinct arcs of parabolas. www.elsolucionario.org
  • 1174.
    Copyright © McGraw-HillEducation. Permission required for reproduction or display. PROBLEM 7.92* Solve Problem 7.91 assuming that the bending moment was found to be 5.96 kip ft   at D and 6.84 kip ft   at E. PROBLEM 7.91* The beam AB is subjected to the uniformly distributed load shown and to two unknown forces P and Q. Knowing that it has been experimentally determined that the bending moment is 6.10 kip ft   at D and 5.50 kip ft   at E, (a) determine Pand Q, (b) draw the shear and bending-moment diagrams for the beam. SOLUTION (a) Free body: Portion DE 0: 6.84 kip ft 5.96 kip ft (1 kip)(2 ft) (4 ft) 0 E D M V         0.720 kip D V   0: 0.720 kip 1kip 0 y E F V      0.280 kip E V   Free body: Portion AD 0: 5.96 kip ft (2 ft) (1 kip)(2 ft) (0.720 kip)(4 ft) 0 A M P        0.540 kip  P  0: 0 x x F A    0: 1 kip 0.540 kip 0.720 kip 0 y y F A       2.26 kips y A   2.26 kips  A  Free body: Portion EB 0: (0.280 kip)(4 ft) (1 kip)(2 ft) (2 ft) 6.84 kip ft 0 B M Q        1.860 kips  Q  0: 1.860 1 0.280 0 y F B       3.14 kips  B  www.elsolucionario.org
  • 1175.
    Copyright © McGraw-HillEducation. Permission required for reproduction or display. PROBLEM 7.92* (Continued) (b) Load diagram Shear diagram At A: 2.26 kips A V A    To determine Point G where 0, V  we write G C V V w    0 (1.22 kips) (0.25 kip/ft)    4.88 ft    We next compute all areas max | | 3.14 kips at V B   Bending-moment diagram At A: 0 A M  Largest value occurs at G with 2 4.88 6.88 ft AG    max | | 6.997 kip ft M    6.88 ft from A Bending-moment diagram consists of 3 distinct arcs of parabolas. www.elsolucionario.org
  • 1176.
    Copyright © McGraw-HillEducation. Permission required for reproduction or display. PROBLEM 7.93 Three loads are suspended as shown from the cable ABCDE. Knowing that dC 4 m, determine (a) the components of the reaction at E, (b) the maximum tension in the cable. SOLUTION (a) 0: (20 m) (2 kN)(5 m) (4 kN)(10 m) (6 kN)(15 m) 0 A y M E       7 kN y E   7.00 kN y  E  Portion CDE: 0: (7 kN)(10 m) (6 kN)(5 m) (4 m) 0 C x M E      10 kN x E  10.00 kN x  E  (b) Maximum tension occurs in DE: 2 2 2 2 10 7 m x y T E E     12.21 kN m T   www.elsolucionario.org
  • 1177.
    Copyright © McGraw-HillEducation. Permission required for reproduction or display. PROBLEM 7.94 Knowing that the maximum tension in cable ABCDE is 25 kN, determine the distance dC. SOLUTION Maximum T of 25 kN occurs in DE. See solution of Problem 7.93 for the determination of 7.00 kN y  E From force triangle 2 2 2 7 25 x E   Portion CDE: 24 kN x E  0: (6 kN)(5 m) (24 kN) (7 kN)(10 m) 0 C C M h      1.667 m C h   www.elsolucionario.org
  • 1178.
    Copyright © McGraw-HillEducation. Permission required for reproduction or display. PROBLEM 7.95 If 8 ft, C d  determine (a) the reaction at A, (b) the reaction at E. SOLUTION Free body: Portion ABC 0   C M 2 16 300(8) 0 x y A A    8 1200 x y A A   (1) Free body: Entire cable 0: 6 32 (300 lb 200 lb 300 lb)16 ft 0 E x y M A A         3 16 6400 0 x y A A    Substitute from Eq. (1): 3(8 1200) 16 6400 0 y y A A     250 lb y  A Eq. (1) 8(250) 1200 x A   800 lb x  A 0: 0 800 lb 0 x x x x F A E E         800 lb x  E 0: 250 300 200 300 0 y y F E        550 lb y  E (a) 838 lb  A 17.35 (b) 971 lb  E 34.5  www.elsolucionario.org
  • 1179.
    Copyright © McGraw-HillEducation. Permission required for reproduction or display. PROBLEM 7.96 If 4.5 ft, C d  determine (a) the reaction at A, (b) the reaction at E. SOLUTION Free body: Portion ABC 0: 1.5 16 300 8 0 C x y M A A        (2400 16 ) 1.5 y x A A   (1) Free body: Entire cable 0: 6 32 (300 lb 200 lb 300 lb)16 ft 0 E x y M A A         3 16 6400 0 x y A A    Substitute from Eq. (1): 3(2400 16 ) 16 6400 0 1.5 100 lb       y y y A A A Thus y A acts downward 100 lb y  A Eq. (1) (2400 16( 100)) 2667 lb 1.5 x A     2667 lb x  A 0: 0 2667 0 x x x x F A E E         2667 lb x  E 0: 300 200 300 0 y y y F A E        100 lb 800 lb 0 y E     900 lb y  E (a) 2670 lb  A 2.10  (b) 2810 lb  E 18.65 www.elsolucionario.org
  • 1180.
    Copyright © McGraw-HillEducation. Permission required for reproduction or display. PROBLEM 7.97 Knowing that 3 m, C d  determine (a) the distances B d and D d (b) the reaction at E. SOLUTION Free body: Portion ABC 0: 3 4 (5 kN)(2 m) 0 C x y M A A      4 10 3 3 x y A A   (1) Free body: Entire cable 0: 4 10 (5 kN)(8 m) (5 kN)(6 m) (10 kN)(3 m) 0        E x y M A A 4 10 100 0    x y A A Substitute from Eq. (1): 4 10 4 10 100 0 3 3 18.571 kN y y y A A A             18.571 kN y  A Eq. (1) 4 10 (18.511) 21.429 kN 3 3 x A     21.429 kN x  A 0: 0 21.429 0 x x x x F A E E         21.429 kN x  E 0: 18.571 kN 5 kN 5 kN 10 kN 0 y y F E        1.429 kN y  E (b) 21.5 kN  E 3.81  www.elsolucionario.org
  • 1181.
    Copyright © McGraw-HillEducation. Permission required for reproduction or display. PROBLEM 7.97 (Continued) (a) Portion AB 0: (18.571 kN)(2 m) (21.429 kN) 0 B B M d     1.733 m B d   Portion DE Geometry (3 m)tan 3.8° 0.199 m 4 m 0.199 m D h d      4.20 m D d   www.elsolucionario.org
  • 1182.
    Copyright © McGraw-HillEducation. Permission required for reproduction or display. PROBLEM 7.98 Determine (a) distance dC for which portion DE of the cable is horizontal, (b) the corresponding reactions at A and E. SOLUTION Free body: Entire cable (b) 0: 5 kN 5 kN 10 kN 0 y y F A       20 kN y  A 0: (4 m) (5 kN)(2 m) (5 kN)(4 m) (10 kN)(7 m) 0 A M E       25 kN E   25.0 kN  E  0: 25 kN 0 x x F A      25 kN x  A 32.0 kN  A 38.7  (a) Free body: Portion ABC 0: (25 kN) (20 kN)(4 m) (5 kN)(2 m) 0 C C M d      25 70 0 C d   2.80 m C d   www.elsolucionario.org
  • 1183.
    Copyright © McGraw-HillEducation. Permission required for reproduction or display. PROBLEM 7.99 If dC 15 ft, determine (a) the distances dB and dD, (b) the maximum tension in the cable. SOLUTION Free body: Entire cable 0: (30 ft) (7.5 ft) (2 kips)(6 ft) (2 kips)(15 ft) (2 kips)(21ft) 0 A y x M E E        7.5 30 84 0 x y E E    (1) Free body: Portion CDE 0: (15 ft) (15 ft) (2 kips)(6 ft) 0 C y x M E E      15 15 12 0 x y E E    (2) 1 Eq. (1) : 3.75 15 42 0 2 x y E E     (3) (2) – (3): 11.25 30 0 x E   2.6667 kips x E  Eq. (1): 7.5(2.6667) 30 84 0 3.4667 kips y y E E     2 2 2 2 (2.6667) (3.4667) m x y T E E     4.37 kips m T   www.elsolucionario.org
  • 1184.
    Copyright © McGraw-HillEducation. Permission required for reproduction or display. PROBLEM 7.99 (Continued) Free body: Portion DE 0: (3.4667 kips)(9 ft) (2.6667 kips) 0 D D M d     11.70 ft D d   Return to free body of entire cable (with 2.6667 kips, 3.4667 kips) x y E E   0: 3(2 kips) 3.4667 kips 0 y y F A      2.5333 kips y A  0: 2.6667 kips 0 x x F A     2.6667 kips x A  Free body: Portion AB 0: ( 7.5) (6) 0 B x B y M A d A      (2.6667)( 7.5) (2.5333)(6) 0 B d    13.20 ft B d   www.elsolucionario.org
  • 1185.
    Copyright © McGraw-HillEducation. Permission required for reproduction or display. PROBLEM 7.100 Determine (a) the distance dC for which portion BC of the cable is horizontal, (b) the corresponding components of the reaction at E. SOLUTION Free body: Portion CDE 0: 2(2 kips) 0 4 kips y y y F E E      0: (4 kips)(15 ft) (2 kips)(6 ft) 0 C x C M E d      48 kip ft x C E d   (1) Free body: Entire cable 0: (4 kips)(30 ft) (7.5 ft) (2 kips)(6 ft) (2 kips)(15 ft) (2 kips)(21ft) 0 A x M E        4.8 kips x E  From Eq. (1): 48 48 4.8 C x d E   10.00 ft C d   Components of reaction at E: 4.80 kips x  E ; 4.00 kips y  E  www.elsolucionario.org
  • 1186.
    Copyright © McGraw-HillEducation. Permission required for reproduction or display. PROBLEM 7.101 Knowing that mB 70 kg and mC 25 kg, determine the magnitude of the force P required to maintain equilibrium. SOLUTION Free body: Portion CD 0: (4 m) (3 m) 0 C y x M D D     3 4 y x D D  Free body: Entire cable 3 0: (14 m) (4 m) (10 m) (5 m) 0 4 A x B C M D W W P       (1) Free body: Portion BCD 3 0: (10 m) (5 m) (6 m) 0 4 B x x C M D D W      2.4 x C D W  (2) For 70 kg 25 kg B C m m   2 9.81m/s : g  70 25 B C W g W g   Eq. (2): 2.4 2.4(25 ) 60 x C D W g g    Eq. (1): 3 60 (14) 70 (4) 25 (10) 5 0 4 g g g P     100 5 0: 20 g P P g    20(9.81) 196.2 N P   196.2 N P   www.elsolucionario.org
  • 1187.
    Copyright © McGraw-HillEducation. Permission required for reproduction or display. PROBLEM 7.102 Knowing that mB 18 kg and mC 10 kg, determine the magnitude of the force P required to maintain equilibrium. SOLUTION Free body: Portion CD 0: (4 m) (3 m) 0 C y x M D D     3 4 y x D D  Free body: Entire cable 3 0: (14 m) (4 m) (10 m) (5 m) 0 4 A x B C M D W W P       (1) Free body: Portion BCD 3 0: (10 m) (5 m) (6 m) 0 4 B x x C M D D W      2.4 x C D W  (2) For 18 kg 10 kg B C m m   2 9.81m/s : g  18 10 B C W g W g   Eq. (2): 2.4 2.4(10 ) 24 x C D W g g    Eq. (1): 3 24 (14) (18 )(4) (10 )(10) 5 0 4 g g g P     80 5 : 16 g P P g   16(9.81) 156.96 N P   157.0 N P   www.elsolucionario.org
  • 1188.
    Copyright © McGraw-HillEducation. Permission required for reproduction or display. PROBLEM 7.103 Cable ABC supports two loads as shown. Knowing that b 21 ft, determine (a) the required magnitude of the horizontal force P, (b) the corresponding distance a. SOLUTION Free body: ABC 0: (12 ft) (140 lb) (180 lb) 0 A M P a b      (1) Free body: BC 0: (9 ft) (180 lb)( ) 0 B M P b a      (2) Data 21ft b  Eq. (1): 21 140 180(21) 0 P a    20 180 3 P a   (3) Eq. (2): 9 180(21 ) 0 P a    20 420 P a    (4) Equate (3) and (4) through 20 : 180 20 420 3 P a a     (b) 9.00 ft a   Eq. (3): 20 (9.00) 180 3 P   (a) 240 lb P   www.elsolucionario.org
  • 1189.
    Copyright © McGraw-HillEducation. Permission required for reproduction or display. PROBLEM 7.104 Cable ABC supports two loads as shown. Determine the distances a and b when a horizontal force P of magnitude 200 lb is applied at A. SOLUTION Free body: ABC 0: (12 ft) (140 lb) (180 lb) 0 A M P a b      (1) Free body: BC 0: (9 ft) (180 lb)( ) 0 B M P b a      (2) Data 200 lb P  Eq. (1): 200(21) 140 180 0 a b    (3) Eq. (2): 200(9) 180 180 0 a b    (4) (3) (4) : 2400 320 0 a    7.50 ft a   Eq. (2): (200 lb)(9 ft) (180 lb)( 7.50 ft) 0 b    17.50 ft b   www.elsolucionario.org
  • 1190.
    Copyright © McGraw-HillEducation. Permission required for reproduction or display. PROBLEM 7.105 If a 3 m, determine the magnitudes of P and Q required to maintain the cable in the shape shown. SOLUTION Free body: Portion DE 0: (4 m) (5 m) 0 D y x M E E     5 4 y x E E  Free body: Portion CDE 5 0: (8 m) (7 m) (2 m) 0 4 C x x M E E P      2 3 x E P  (1) Free body: Portion BCDE 5 0: (12 m) (5 m) (120 kN)(4 m) 0 4 B x x M E E      10 480 0; 48 kN x x E E    Eq. (1): 2 48 kN 3 P  72.0 kN P   www.elsolucionario.org
  • 1191.
    Copyright © McGraw-HillEducation. Permission required for reproduction or display. PROBLEM 7.105 (Continued) Free body: Entire cable 5 0: (16 m) (2 m) (3 m) (4 m) (120 kN)(8 m) 0 4 A x x M E E P Q        (48 kN)(20 m 2 m) (72 kN)(3 m) (4 m) 960 kN m 0 Q       4 120 Q  30.0 kN Q   www.elsolucionario.org
  • 1192.
    Copyright © McGraw-HillEducation. Permission required for reproduction or display. PROBLEM 7.106 If a = 4 m, determine the magnitudes of P and Q required to maintain the cable in the shape shown. SOLUTION Free body: Portion DE 0: (4 m) (6 m) 0 D y x M E E     3 2 y x E E  Free body: Portion CDE 3 0: (8 m) (8 m) (2 m) 0 2 C x x M E E P      1 2 x E P  (1) Free body: Portion BCDE 3 0: (12 m) (6 m) (120 kN)(4 m) 0 2 B x x M E E      12 480 40 kN x x E E   Eq (1): 1 1 ; 40 kN 2 2 x E P P   80.0 kN P   www.elsolucionario.org
  • 1193.
    Copyright © McGraw-HillEducation. Permission required for reproduction or display. PROBLEM 7.106 (Continued) Free body: Entire cable 3 0: (16 m) (2 m) (4 m) (4 m) (120 kN)(8 m) 0 2 A x x M E E P Q        (40 kN)(24 m 2 m) (80 kN)(4 m) (4 m) 960 kN m 0 Q       4 240 Q  60.0 kN Q   www.elsolucionario.org
  • 1194.
    Copyright © McGraw-HillEducation. Permission required for reproduction or display. PROBLEM 7.107 An electric wire having a mass per unit length of 0.6 kg/m is strung between two insulators at the same elevation that are 60 m apart. Knowing that the sag of the cable is 1.5 m, determine (a) the maximum tension in the wire, (b) the length of the wire. SOLUTION 2 (0.6 kg/m)(9.81 m/s ) 5.886 N/m (5.886 N/m)(30 m) 176.580 N w W W     (a)    0 0: (1.5 m) 176.580 N 15 m 0 B M T      0 2 2 2 1765.80 N (176.580 N) (1765.80 N) m T T    1775 N m T   (b) 2 2 2 1 3 2 1.5 m 30 m 1+ 3 30 m 30.05 m B B B B y s x x                                     Length 2 2(30.05 m) B s   Length 60.1 m   www.elsolucionario.org
  • 1195.
    Copyright © McGraw-HillEducation. Permission required for reproduction or display. PROBLEM 7.108 The total mass of cable ACB is 20 kg. Assuming that the mass of the cable is distributed uniformly along the horizontal, determine (a) the sag h, (b) the slope of the cable at A. SOLUTION Free body: Entire frame 0: (4.5 m) (196.2 N)(4 m) (1471.5 N)(6 m) 0 D x M A      2136.4 N x A  Free body: Entire cable 0: (8 m) (196.2 N)(4 m) 0 D y M A     98.1 N y A  (a) Free body: Portion AC 0 0: 2136.4 N x x F T A     0 0: (98.1 N)(2 m) 0 A M T h     (2136.4 N) 196.2 N m 0 h    0.09183 m h  91.8 mm h   (b) 98.1 N tan 2136.4 N x A y A A    tan 0.045918 A   2.629 A    2.63 A     www.elsolucionario.org
  • 1196.
    Copyright © McGraw-HillEducation. Permission required for reproduction or display. PROBLEM 7.109 The center span of the George Washington Bridge, as originally constructed, consisted of a uniform roadway suspended from four cables. The uniform load supported by each cable was 9.75 kips/ft w  along the horizontal. Knowing that the span L is 3500 ft and that the sag h is 316 ft, determine for the original configuration (a) the maximum tension in each cable, (b) the length of each cable. SOLUTION (9.75 kips/ft)(1750 ft) 17,063 kips    B W wx W 0 0 0: (316 ft) (17063 kips)(875 ft) 47,247 kips B M T c T      (a) 2 2 0 2 2 (47,247 kips) (17,063 kips) m T T W     50,200 kips m T   (b) 2 4 2 4 2 2 1 3 5 316 ft 0.18057 1750 ft 2 2 (1750 ft) 1+ (0.18057) (0.18057) 3 5 B B B B B B B B y y s x x x y x                                      1787.3 ft; Length 2 3579.6 ft    B B s s Length 3580 ft   www.elsolucionario.org
  • 1197.
    Copyright © McGraw-HillEducation. Permission required for reproduction or display. PROBLEM 7.110 The center span of the Verrazano-Narrows Bridge consists of two uniform roadways suspended from four cables. The design of the bridge allows for the effect of extreme temperature changes that cause the sag of the center span to vary from hw 386 ft in winter to 394 ft s h  in summer. Knowing that the span is L  4260 ft, determine the change in length of the cables due to extreme temperature changes. SOLUTION Eq. 7.10: 2 4 2 2 1 3 5 B B B B B B y y s x x x                          Winter: 1 386 ft, 2130 ft 2 B B y h x L     2 4 2 386 2 386 (2130) 1 2175.715 ft 3 2130 5 2130 B s                           Summer: 1 394 ft, 2130 ft 2 B B y h x L     2 4 2 394 2 394 (2130) 1 2177.59 ft 3 2130 5 2130 B s                           2( ) 2(2177.59 ft 2175.715 ft) 2(1.875 ft) B s       Change in length 3.75 ft   www.elsolucionario.org
  • 1198.
    Copyright © McGraw-HillEducation. Permission required for reproduction or display. PROBLEM 7.111 Each cable of the Golden Gate Bridge supports a load w 11.1 kips/ft along the horizontal. Knowing that the span L is 4150 ft and that the sag h is 464 ft, determine (a) the maximum tension in each cable, (b) the length of each cable. SOLUTION Eq. (7.8) Page 386: At B: 2 0 2 B B wx y T  2 2 0 (11.1kip/ft)(2075 ft) 2 2(464 ft) B B wx T y   (a) 0 51.500 kips T  (11.1 kips/ft)(2075 ft) 23.033 kips B W wx    2 2 2 2 0 (51.500 kips) (23.033 kips) m T T W     56,400 kips m T   (b) 2 4 2 2 464 ft 1 0.22361 3 5 2075 ft B B B B B B B B y y y s x x y x                            2 4 2 2 (2075 ft) 1 (0.22361) (0.22361) 2142.1ft 3 5 B s             Length 2 2(2142.1ft) B s   Length 4284 ft   www.elsolucionario.org
  • 1199.
    Copyright © McGraw-HillEducation. Permission required for reproduction or display. PROBLEM 7.112 Two cables of the same gauge are attached to a transmission tower at B. Since the tower is slender, the horizontal component of the resultant of the forces exerted by the cables at B is to be zero. Knowing that the mass per unit length of the cables is 0.4 kg/m, determine (a) the required sag h, (b) the maximum tension in each cable. SOLUTION B W wx  0 0: ( ) 0 2 B B B B y M T y wx     (a) Horiz. comp. 2 0 2 B B wx T y   Cable AB: 45 m B x  2 0 (45 m) 2 w T h  Cable BC: 2 0 30 m, 3 m (30 m) 2(3 m) B B x y w T    Equate 0 0 T T  2 2 (45 m) (30 m) 2 2(3 m) w w h  6.75 m h   (b) 2 2 2 0 m T T W   Cable AB: (0.4 kg/m)(9.81 m/s) 3.924 N/m w   45 m, 6.75 m B B x y h    2 2 0 (3.924 N/m)(45 m) 588.6 N 2 2(6.75 m) B B wx T y    (3.924 N/m)(45 m) 176.58 N B W wx    2 2 2 (588.6 N) (176.58 N) m T   For AB: 615 N m T   www.elsolucionario.org
  • 1200.
    Copyright © McGraw-HillEducation. Permission required for reproduction or display. PROBLEM 7.112 (Continued) Cable BC: 30 m, 3 m B B x y   2 2 0 (3.924 N/m)(30 m) 588.6 N (Checks) 2 2(3 m) B B wx T y    (3.924 N/m)(30 m) 117.72 N B W wx    2 2 2 (588.6 N) (117.72 N) m T   For BC: 600 N m T   www.elsolucionario.org
  • 1201.
    Copyright © McGraw-HillEducation. Permission required for reproduction or display. PROBLEM 7.113 A 76-m length of wire having a mass per unit length of 2.2 kg/m is used to span a horizontal distance of 75 m. Determine (a) the approximate sag of the wire, (b) the maximum tension in the wire. [Hint: Use only the first two terms of Eq. (7.10).] SOLUTION First two terms of Eq. 7.10 (a) 2 1 (76 m) 38 m, 2 1 (75 m) 37.5 m 2 2 1 3 B B B B B B B s x y h y s x x                      2 2 2 38 m 37.5 m 1 3 0.02 0.141421 0.141421 37.5m B B B B B B y x y x y x h                          5.3033 m h  5.30 m h   (b) Free body: Portion CB (2.2 kg/m)(9.81m) 21.582 N/m (38 m)(21.582 N/m) 820.12 N B w W s w W            2 2 2 0 0 0 2.2 kg/m 9.81 m/s 37.5 m : 2 2 5.3033 m 2861.6 N 2861.6 N B B B x wx y T y T B T      www.elsolucionario.org
  • 1202.
    Copyright © McGraw-HillEducation. Permission required for reproduction or display. PROBLEM 7.113 (Continued)  0: 820.12 N 0 820.12 N y y y F B B      2 2 2 2 (2861.6 N) (820.12 N) m x y T B B     2980 N m T   www.elsolucionario.org
  • 1203.
    Copyright © McGraw-HillEducation. Permission required for reproduction or display. PROBLEM 7.114 A cable of length L +  is suspended between two points that are at the same elevation and a distance L apart. (a) Assuming that  is small compared to L and that the cable is parabolic, determine the approximate sag in terms of L and . (b) If L  100 ft and  4 ft, determine the approximate sag. [Hint: Use only the first two terms of Eq. (7.10). SOLUTION Eq. 7.10 (First two terms) (a) 2 2 1 3 B B B B y s x x                 /2 1 ( ) 2 B B B x L s L y h      2 2 1 2 ( ) 1 2 2 3 L L h L                     2 2 4 3 ; ; 2 3 8 h h L L     3 8 h L    (b) 3 100 ft, 4 ft. (100)(4); 8 L h h    12.25 ft h   www.elsolucionario.org
  • 1204.
    Copyright © McGraw-HillEducation. Permission required for reproduction or display. PROBLEM 7.115 The total mass of cable AC is 25 kg. Assuming that the mass of the cable is distributed uniformly along the horizontal, determine the sag h and the slope of the cable at A and C. SOLUTION Cable: 25 kg 25 (9.81) 245.25 N m W    Block: 450 kg 4414.5 N m W   0: (245.25)(2.5) (4414.5)(3) (2.5) 0 5543 N B x x M C C       0: 5543 N x x x F A C     0: (5) (5543)(2.5) (245.25)(2.5) 0 A y M C      2894 N y  C  0: 245.25 N 0 y y y F C A      2894 245.25 N 0 y N A    2649 N y  A Point A: 2649 tan 0.4779; 5543 y A x A A     25.5 A     Point C: 2894 tan 0.5221; 5543 y C x C C     27.6 A     Free body: Half cable (12.5 kg) 122.6 W g   0 0: (122.6 N)(1.25 M) + (2649 N)(2.5 m) (5543 N) 0 1.2224 m; sag 1.25 m 1.2224 m         d d M y y h 0.0276 m 27.6 mm h    www.elsolucionario.org
  • 1205.
    Copyright © McGraw-HillEducation. Permission required for reproduction or display. PROBLEM 7.116 Cable ACB supports a load uniformly distributed along the horizontal as shown. The lowest Point C is located 9 m to the right of A. Determine (a) the vertical distance a, (b) the length of the cable, (c) the components of the reaction at A. SOLUTION Free body: Portion AC 0: 9 0 y y F A w     9 y w  A 0 0: (9 )(4.5 m) 0 A M T a w     (1) Free body: Portion CB 0: 6 0 y y F B w     6 y w  B Free body: Entire cable 0 0: 15 (7.5 m) 6 (15 m) (2.25 m) 0 A M w w T      (a) 0 10 T w  Eq. (1): 0 (9 )(4.5 m) 0 T a w   10 (9 )(4.5) 0 wa w   4.05 m a   www.elsolucionario.org
  • 1206.
    Copyright © McGraw-HillEducation. Permission required for reproduction or display. PROBLEM 7.116 (Continued) (b) Length ACCB Portion AC: 2 4 2 4 4.05 9 m, 4.05 m; 0.45 9 2 2 1 3 5 2 2 9 m 1+ 0.45 0.45 10.067 m 3 5 A A A A A B AC B A A AC y x y a x y y s x x x s                                          Portion CB: 2 4 6 m, 4.05 2.25 1.8 m; 0.3 2 2 6 m 1 0.3 0.3 6.341 m 3 5 B B B B CB y x y x s                  Total length 10.067 m 6.341 m   Total length 16.41 m   (c) Components of reaction at A. 2 2 0 9 9(60 kg/m)(9.81 m/s ) 5297.4 N 10 10(60 kg/m)(9.81 m/s ) 5886 N y x A w A T w        5890 N x  A  5300 N y  A  www.elsolucionario.org
  • 1207.
    Copyright © McGraw-HillEducation. Permission required for reproduction or display. PROBLEM 7.117 Each cable of the side spans of the Golden Gate Bridge supports a load w 10.2 kips/ft along the horizontal. Knowing that for the side spans the maximum vertical distance h from each cable to the chord AB is 30 ft and occurs at midspan, determine (a) the maximum tension in each cable, (b) the slope at B. SOLUTION FBD AB: 0: (1100 ft) (496 ft) (550 ft) 0 A By Bx M T T W       11 4.96 5.5 By Bx T T W   (1) FBD CB: 0: (550 ft) (278 ft) (275 ft) 0 2 C By Bx W M T T      11 5.56 2.75 By Bx T T W   (2) Solving (1) and (2) 28,798 kips By T  Solving (1) and (2 51,425 kips Bx T   2 2 max tan y x y x B B B B B B T T T T T T       So that (a) max 58,900 kips T   (b) 29.2 B     www.elsolucionario.org
  • 1208.
    Copyright © McGraw-HillEducation. Permission required for reproduction or display. PROBLEM 7.118 A steam pipe weighting 45 lb/ft that passes between two buildings 40 ft apart is supported by a system of cables as shown. Assuming that the weight of the cable system is equivalent to a uniformly distributed loading of 5 lb/ft, determine (a) the location of the lowest Point C of the cable, (b) the maximum tension in the cable. SOLUTION Note: 40 ft B A x x   or 40 ft A B x x   (a) Use Eq. 7.8 Point A: 2 2 0 0 ( 40) ; 9 2 2 A B A wx w x y T T    (1) Point B: 2 2 0 0 ; 4 2 2 B B B wx wx y T T   (2) Dividing (1) by (2): 2 2 ( 40) 9 ; 16 ft 4 B B B x x x    Point C is 16.00 ft to left of B (b) Maximum slope and thus max T is at A 40 16 40 24 ft A B x x       2 2 0 0 0 (50 lb/ft)( 24 ft) ; 9 ft ; 1600 lb 2 2 A A wx y T T T     (50 lb/ft)(24 ft) 1200 lb AC W   max 2000 lb T   www.elsolucionario.org
  • 1209.
    Copyright © McGraw-HillEducation. Permission required for reproduction or display. PROBLEM 7.119* A cable AB of span L and a simple beam ABof the same span are subjected to identical vertical loadings as shown. Show that the magnitude of the bending moment at a point C in the beam is equal to the product T0h, where T0 is the magnitude of the horizontal component of the tension force in the cable and h is the vertical distance between Point C and the chord joining the points of support A and B. SOLUTION 0 loads 0: 0 B Cy B M LA aT M       (1) FBD Cable: (Where loads B M  includes all applied loads) 0 left 0: 0 C Cy C x M xA h a T M L              (2) FBD AC: (Where left C M  includes all loads left of C) 0 loads left (1) (2): 0 B C x x hT M M L L       (3) FBD Beam: loads 0: 0 B By B M LA M      (4) left 0: 0 C By C C M xA M M       (5) FBD AC: loads left (4) (5): 0 B C C x x M M M L L        (6) Comparing (3) and (6) 0 C M hT  Q.E.D. www.elsolucionario.org
  • 1210.
    Copyright © McGraw-HillEducation. Permission required for reproduction or display. PROBLEM 7.120 Making use of the property established in Problem 7.119, solve the problem indicated by first solving the corresponding beam problem. PROBLEM 7.94 Knowing that the maximum tension in cable ABCDE is 25 kN, determine the distance dC. SOLUTION Free body: beam AE 0: (20) 2(15) 4(10) 6(5) 0 E M A        5 kN  A 0: 5 2 4 6 0 y F E        7 kN  E At E: 2 2 2 2 2 2 0 0 0 25 7 24 kN m T T E T T      At C: 0 ; 40 kN m (24 kN) C C C M T h d    1.667 m C d  1.667 m  www.elsolucionario.org
  • 1211.
    Copyright © McGraw-HillEducation. Permission required for reproduction or display. PROBLEM 7.121 Making use of the property established in Problem 7.119, solve the problem indicated by first solving the corresponding beam problem. PROBLEM 7.97 (a) Knowing that 3 m, C d  determine the distances dBand D d . SOLUTION 0: (10 m) (5 kN)(8 m) (5 kN)(6 m) (10 kN)(3 m) 0 B M A       10 kN A  Geometry: 1.6 m 3 m 1.6 m 1.4 m C C C C d h h h      Since MT0h, h is proportional to M, thus 1.4 m ; 20 kN m 30 kN m 30 kN m C B D B D B C D h h h h h M M M        20 1.4 0.9333 m 30 B h         30 1.4 1.4 m 30 D h         0.8 m 0.9333 m B d   2.8 m 1.4 m D d   1.733 m B d   4.20 m D d   www.elsolucionario.org
  • 1212.
    Copyright © McGraw-HillEducation. Permission required for reproduction or display. PROBLEM 7.122 Making use of the property established in Problem 7.119, solve the problem indicated by first solving the corresponding beam problem. PROBLEM 7.99 (a) If dC 15 ft, determine the distances dB and dD. SOLUTION Free body: Beam AE 0: (30) 2(24) 2(15) 2(9) 0 E M A        3.2 kips  A 0: 3.2 3(2) 0 y F B      2.8 kips  B Geometry: Given: 15 ft C d  Then, 3.75 ft 11.25 ft C C h d    Since MT0h, h is proportional to M. Thus, 11.25 ft or, 19.2 30 25.2 C B D B C D B D h h h M M M h h     or, 7.2 ft 9.45 ft B D h h   Then, 6 6 7.2 B B d h     13.20 ft B d   2.25 2.25 9.45 D D d h     11.70 ft D d   www.elsolucionario.org
  • 1213.
    Copyright © McGraw-HillEducation. Permission required for reproduction or display. PROBLEM 7.123 Making use of the property established in Problem 7.119, solve the problem indicated by first solving the corresponding beam problem. PROBLEM 7.100 (a) Determine the distance dC for which portion BC of the cable is horizontal. SOLUTION Free body: Beam AE 0: (30) 2(24) 2(15) 2(9) 0 E M A        3.2 kips  A 0: 3.2 3(2) 0 y F B      2.8 kips  B Geometry: Given: C B d d  Then, 3.75 6 C B h h    2.25 C B h h   (1) Since MT0h, h is proportional to M. Thus, or, 19.2 30 C C B B B C h h h h M M   0.64 B C h h  (2) Substituting (2) into (1): 2.25 0.64 6.25 ft C C C h h h    Then, 3.75 3.75 6.25 C C d h     10.00 ft C d   www.elsolucionario.org
  • 1214.
    Copyright © McGraw-HillEducation. Permission required for reproduction or display. PROBLEM 7.124* Show that the curve assumed by a cable that carries a distributed load w(x) is defined by the differential equation d2 y/dx2 w(x)/T0, where T0is the tension at the lowest point. SOLUTION FBD Elemental segment: 0: ( ) ( ) ( ) 0 y y y F T x x T x w x x         So 0 0 0 ( ) ( ) ( ) y y T x x T x w x x T T T      But 0 y T dy T dx  So 0 ( ) x x x dy dy dx dx w x x T     In 0 lim : x   2 2 0 ( ) d y w x T dx  Q.E.D. www.elsolucionario.org
  • 1215.
    Copyright © McGraw-HillEducation. Permission required for reproduction or display. PROBLEM 7.125* Using the property indicated in Problem 7.124, determine the curve assumed by a cable of span L and sag h carrying a distributed load ww0 cos (x/L), where x is measured from mid-span. Also determine the maximum and minimum values of the tension in the cable. PROBLEM 7.124 Show that the curve assumed by a cable that carries a distributed load w(x) is defined by the differential equation d2 y/dx2 w(x)/T0, where T0is the tension at the lowest point. SOLUTION 0 ( ) cos x w x w L   From Problem 7.124 2 0 2 0 0 ( ) cos w d y w x x T T L dx    So 0 0 0 sin using 0 W L dy x dy dx T L dx           2 0 2 0 1 cos [using (0) 0] w L x y y L T             But 2 2 0 0 0 2 2 0 1 cos so 2 2 w L w L L y h T T h                    And 0 min T T  so 2 0 min 2 w L T h    0 max 0 0 /2 : By A B x L T w L dy T T T T dx T       0 By w L T   2 2 2 0 max 0 1 By w L L T T T h              www.elsolucionario.org
  • 1216.
    Copyright © McGraw-HillEducation. Permission required for reproduction or display. PROBLEM 7.126* If the weight per unit length of the cable AB is w0/cos2 , prove that the curve formed by the cable is a circular arc. (Hint: Use the property indicated in Problem 7.124.) PROBLEM 7.124 Show that the curve assumed by a cable that carries a distributed load w(x) is defined by the differential equation d2 y/dx2 w(x)/T0, where T0is the tension at the lowest point. SOLUTION Elemental Segment: Load on segment* 0 2 ( ) cos w w x dx ds   But 0 3 cos , so ( ) cos w dx ds w x     From Problem 7.119 2 0 2 3 0 0 ( ) cos w d y w x T dx T    In general 2 2 2 (tan ) sec d y d dy d d dx dx dx dx dx             So 0 0 3 2 0 0 cos cos sec w w d dx T T       or 0 0 cos cos T d dx rd w       Giving 0 0 constant. T r w   So curve is circular arc Q.E.D. *For large sag, it is not appropriate to approximate ds by dx. www.elsolucionario.org
  • 1217.
    Copyright © McGraw-HillEducation. Permission required for reproduction or display. PROBLEM 7.127 A 25-ft chain with a weight of 30 lb is suspended between two points at the same elevation. Knowing that the sag is 10 ft, determine (a) the distance between the supports, (b) the maximum tension in the chain. SOLUTION (30 lb)/(25 ft) 1.2 lb/ft w   Eq. 7.17:  2 2 2 2 2 2 2 2 ; (10 ft ) 12.5 ft 100 20 156.25 2.8125 ft B B y s c c c c c c c           Eq. 7.18: (1.2 lb/ft)(10 ft 2.8125 ft) m B T wy    15.375 lb m T  15.38 lb m T   Eq. 7.15: sinh ; 12.5 (2.8125 ft)sinh sinh 4.444; 2.1972 B B B B B x x s c c c x x c c     2.1972(2.8125 ft) 6.1796 ft; 2 2(6.1796 ft) 12.3592 ft B B x L x      12.36 ft L   www.elsolucionario.org
  • 1218.
    Copyright © McGraw-HillEducation. Permission required for reproduction or display. PROBLEM 7.128 A 500-ft-long aerial tramway cable having a weight per unit length of 2.8 lb/ft is suspended between two points at the same elevation. Knowing that the sag is 125 ft, find (a) the horizontal distance between the supports, (b) the maximum tension in the cable. SOLUTION Given: Length 500 ft Unit mass 2.8 lb/ft 125 ft h    Then, 2 2 2 2 2 2 2 2 2 2 250 ft 125 ft ; (125 ) (250) 125 250 250 187.50 ft B B B B s y h c c y s c c c c c c c                sinh ; 250 187.50sinh 187.50 B B B x x s c c   206.06 ft B x  span 2 2(206.06 ft) B L x    412 ft L   (2.8 lb/ft)(125 ft 187.50 ft) m B T wy    875 lb m T   www.elsolucionario.org
  • 1219.
    Copyright © McGraw-HillEducation. Permission required for reproduction or display. PROBLEM 7.129 A 40-m cable is strung as shown between two buildings. The maximum tension is found to be 350 N, and the lowest point of the cable is observed to be 6 m above the ground. Determine (a) the horizontal distance between the buildings, (b) the total mass of the cable. SOLUTION 20 m 350 N 14 m 6 m 8 m 8 m B m B s T h y h c c          Eq. 7.17: 2 2 2 2 2 2 2 2 ; (8 ) 20 64 16 400 21.0 m B B y s c c c c c c c           Eq. 7.15: sinh ; 20 (21.0)sinh 21.0 B B B x x s c c   (a) 17.7933 m; 2 B B x L x   35.6 m L   (b) Eq. 7.18: ; 350 N (8 21.0) 12.0690 N/m m B T wy w w     2 2 (40 m)(12.0690 N/m) 482.76 N 482.76 N 9.81m/s B W s w W m g      Total mass 49.2 kg   www.elsolucionario.org
  • 1220.
    Copyright © McGraw-HillEducation. Permission required for reproduction or display. PROBLEM 7.130 A 50-m steel surveying tape has a mass of 1.6 kg. If the tape is stretched between two points at the same elevation and pulled until the tension at each end is 60 N, determine the horizontal distance between the ends of the tape. Neglect the elongation of the tape due to the tension. SOLUTION 25 m B s    2 1.6 kg 9.81 m/s 0.31392 N/m 60 N 50 m m w T          Eq. 7.18: ; 60 N (0.31392 N/m) ; 191.131 m m B B B T wy y y    Eq. 7.17: 2 2 2 2 2 2 ; (191.131) (25) ; 189.489 m B B y s c c c      Eq. 7.15: sinh ; 25 189.489 sinh B B B x x s c c c   sinh 0.131933; 0.131553 m B B x x c c      0.131553 189.489 m 24.928 m B x   2 2(24.928 ft) B L x   49.86 ft L   www.elsolucionario.org
  • 1221.
    Copyright © McGraw-HillEducation. Permission required for reproduction or display. PROBLEM 7.131 A 20-m length of wire having a mass per unit length of 0.2 kg/m is attached to a fixed support at A and to a collar at B. Neglecting the effect of friction, determine (a) the force P for which h 8 m, (b) the corresponding span L. SOLUTION FBD Cable: 2 2 2 2 2 20 m 20 m so 10 m 2 (0.2 kg/m)(9.81 m/s ) 1.96200 N/m 8 m ( ) T B B B B B s s w h y c h c s                 So 2 2 2 2 2 (10 m) (8 m) 2(8 m) 2.250 m B B B s h c h c      Now 1 1 sinh sinh 10 m (2.250 m)sinh 2.250 m B B B B x s s c x c c c             4.9438 m B x  0 (1.96200 N/m)(2.250 m) P T wc    (a) 4.41 N  P  2 2(4.9438 m) B L x   (b) 9.89 m L   www.elsolucionario.org
  • 1222.
    Copyright © McGraw-HillEducation. Permission required for reproduction or display. PROBLEM 7.132 A 20-m length of wire having a mass per unit length of 0.2 kg/m is attached to a fixed support at A and to a collar at B. Knowing that the magnitude of the horizontal force applied to the collar is P  20 N, determine (a) the sag h, (b) the span L. SOLUTION FBD Cable: 2 0 2 2 2 2 2 2 2 2 20 m, (0.2 kg/m)(9.81m/s ) 1.96200 N/m 20 N 10.1937 m 1.9620 N/m ( ) 20 m 2 0 10 m 2 2(10.1937 m) 100 m 0 T B B B B B s w P P T wc c w c y h c c s h ch s s h h                     4.0861m h  (a) 4.09 m h   1 1 10 m sinh sinh (10.1937 m)sinh 10.1937 m A B B B x s s c x c c c             8.8468 m  2 2(8.8468 m) B L x   (b) 17.69 m L   www.elsolucionario.org
  • 1223.
    Copyright © McGraw-HillEducation. Permission required for reproduction or display. PROBLEM 7.133 A 20-m length of wire having a mass per unit length of 0.2 kg/m is attached to a fixed support at A and to a collar at B. Neglecting the effect of friction, determine (a) the sag h for which L 15 m, (b) the corresponding force P. SOLUTION FBD Cable: 2 2 20 m 20 m 10 m 2 (0.2 kg/m)(9.81m/s ) 1.96200 N/m 15 m sinh sinh 7.5 m 10 m sinh T B L B B s s w L x s c c c c c c           Solving numerically: 5.5504 m c  7.5 cosh (5.5504)cosh 5.5504 11.4371m 11.4371m 5.5504 m B B B B B x y c c y h y c                    (a) 5.89 m B h   (1.96200 N/m)(5.5504 m) P wc   (b) 10.89 N  P  www.elsolucionario.org
  • 1224.
    Copyright © McGraw-HillEducation. Permission required for reproduction or display. PROBLEM 7.134 Determine the sag of a 30-ft chain that is attached to two points at the same elevation that are 20 ft apart. SOLUTION 30 ft 15 ft 20 ft 2 10 ft 2 sinh 10 ft 15 ft sinh B B B B s L L x x s c c c c        Solving numerically: 6.1647 ft c  cosh 10 ft (6.1647 ft)cosh 6.1647 ft 16.2174 ft 16.2174 ft 6.1647 ft B B B B x y c c h y c        10.05 ft B h   www.elsolucionario.org
  • 1225.
    Copyright © McGraw-HillEducation. Permission required for reproduction or display. PROBLEM 7.135 A counterweight D is attached to a cable that passes over a small pulley at A and is attached to a support at B. Knowing that L 45 ft and h 15 ft, determine (a) the length of the cable from A to B, (b) the weight per unit length of the cable. Neglect the weight of the cable from A to D. SOLUTION Given: 45 ft 15 ft 80 lb 22.5 ft A B L h T x     By symmetry: 80 lb B A m T T T    We have 22.5 cosh cosh B B x y c c c c   and 15 B y h c c     Then 22.5 cosh 15 c c c   or 22.5 15 cosh 1 c c   Solve by trial for c: 18.9525 ft c  (a) sinh 22.5 (18.9525 ft)sinh 18.9525 28.170 ft B B x s c c    Length 2 2(28.170 ft) 56.3 ft B s     (b) ( ) m B T wy w h c    80 lb (15 ft 18.9525 ft) w   2.36 lb/ft w   www.elsolucionario.org
  • 1226.
    Copyright © McGraw-HillEducation. Permission required for reproduction or display. PROBLEM 7.136 A 90-m wire is suspended between two points at the same elevation that are 60 m apart. Knowing that the maximum tension is 300 N, determine (a) the sag of the wire, (b) the total mass of the wire. SOLUTION 45 m B s  Eq. 7.17: sinh 30 45 sinh ; 18.494 m B B x s c c c c c    Eq. 7.16: cosh 30 (18.494)cosh 18.494 48.652 m 48.652 18.494 B B B B B x y c c y y y h c h        30.158 m h  30.2 m h   Eq. 7.18: 300 N (48.652 m) 6.166 N/m m B T wy w w    Total weight of cable (Length) (6.166 N/m)(90 m) 554.96 N W w    Total mass of cable 554.96 N 56.57 kg 9.81m/s W m g    56.6 kg m   www.elsolucionario.org
  • 1227.
    Copyright © McGraw-HillEducation. Permission required for reproduction or display. PROBLEM 7.137 A cable weighing 2 lb/ft is suspended between two points at the same elevation that are 160 ft apart. Determine the smallest allowable sag of the cable if the maximum tension is not to exceed 400 lb. SOLUTION Eq. 7.18: ; 400 lb (2 lb/ft) ; 200 ft m B B B T wy y y    Eq. 7.16: cosh 80 ft 200 ft cosh B B x y c c c c   Solve for c: 182.148 ft c  and 31.592 ft c  ; B B y h c h y c     For 182.148 ft; c  200 182.147 17.852 ft h     For 31.592 ft; c  200 31.592 168.408 ft h     For 400 lb: m T  smallest 17.85 ft h   www.elsolucionario.org
  • 1228.
    Copyright © McGraw-HillEducation. Permission required for reproduction or display. PROBLEM 7.138 A uniform cord 50 in. long passes over a pulley at B and is attached to a pin support at A. Knowing that L 20 in. and neglecting the effect of friction, determine the smaller of the two values of h for which the cord is in equilibrium. SOLUTION Length of overhang: 50 in. 2 B b s   Weight of overhang equals max. tension (50 in. 2 ) m B B T T wb w s     Eq. 7.15: sinh B B x s c c  Eq. 7.16: cosh B B x y c c  Eq. 7.18: (50 in. 2 ) m B B B T wy w s wy    50 in. 2 sinh cosh B B x x w c wc c c         10 10 10: 50 2 sinh cosh B x c c c c    Solve by trial and error: 5.549 in. c  and 27.742 in. c  For c 5.549 in. 10 in. (5.549 in.)cosh 17.277 in. 5.549 in. ; 17.277 in. 5.549 in. B B y y h c h       11.728 in. h  11.73 in. h   For c 27.742 in. 10 in. (27.742 in.)cosh 29.564 in. 27.742 in. ; 29.564 in. 27.742 in. B B y y h c h       1.8219 in. h  1.822 in. h   www.elsolucionario.org
  • 1229.
    Copyright © McGraw-HillEducation. Permission required for reproduction or display. PROBLEM 7.139 A motor M is used to slowly reel in the cable shown. Knowing that the mass per unit length of the cable is 0.4 kg/m, determine the maximum tension in the cable when h 5 m. SOLUTION 0.4 kg/m 10 m 5 m cosh cosh 2 5 m 5 m cosh 1 B B B B w L h x y c c L h c c c c c               Solving numerically: max 2 3.0938 m 5 m 3.0938 m 8.0938 m (0.4 kg/m)(9.81 m/s )(8.0938 m) B B B B c y h c T T wy          max 31.8 N T   www.elsolucionario.org
  • 1230.
    Copyright © McGraw-HillEducation. Permission required for reproduction or display. PROBLEM 7.140 A motor M is used to slowly reel in the cable shown. Knowing that the mass per unit length of the cable is 0.4 kg/m, determine the maximum tension in the cable when h 3 m. SOLUTION 0.4 kg/m, 10 m, 3 m cosh cosh 2 5 m 3 m cosh 1 B B B B w L h x L y h c c c c c c c c                Solving numerically: max 2 4.5945 m 3 m 4.5945 m 7.5945 m (0.4 kg/m)(9.81 m/s )(7.5945 m) B B B B c y h c T T wy          max 29.8 N T   www.elsolucionario.org
  • 1231.
    Copyright © McGraw-HillEducation. Permission required for reproduction or display. PROBLEM 7.141 The cable ACB has a mass per unit length of 0.45 kg/m. Knowing that the lowest point of the cable is located at a distance a 0.6 m below the support A, determine (a) the location of the lowest Point C, (b) the maximum tension in the cable. SOLUTION Note: 12 m B A x x   or, 12 m A B x x    Point A: 12 cosh ; 0.6 cosh A B A x x y c c c c c      (1) Point B: cosh ; 2.4 cosh B B B x x y c c c c c    (2) From (1): 1 12 0.6 cosh B x c c c c           (3) From (2): 1 2.4 cosh B x c c c          (4) Add (3) + (4): 1 1 12 0.6 2.4 cosh cosh c c c c c                   Solve by trial and error: 13.6214 m c  Eq. (2): 13.6214 2.4 13.6214cosh B x c   cosh 1.1762; 0.58523 B B x x c c   0.58523(13.6214 m) 7.9717 m B x   Point C is 7.97 m to left of B  2.4 13.6214 2.4 16.0214 m B y c      Eq. 7.18: 2 (0.45 kg/m)(9.81m/s )(16.0214 m) m B T wy   70.726 N m T  70.7 N m T   www.elsolucionario.org
  • 1232.
    Copyright © McGraw-HillEducation. Permission required for reproduction or display. PROBLEM 7.142 The cable ACB has a mass per unit length of 0.45 kg/m. Knowing that the lowest point of the cable is located at a distance a 2 m below the support A, determine (a) the location of the lowest Point C, (b) the maximum tension in the cable. SOLUTION Note: 12 m B A x x   or 12 m A B x x    Point A: 12 cosh ; 2 cosh A B A x x y c c c c c      (1) Point B: cosh ; 3.8 cosh B B B x x y c c c c c    (2) From (1): 1 12 2 cosh B x c c c c           (3) From (2): 1 3.8 cosh B x c c c          (4) Add (3)  (4): 1 1 12 2 3.8 cosh cosh c c c c c                   Solve by trial and error: 6.8154 m c  Eq. (2): 6.8154 m 3.8 m (6.8154 m)cosh cosh 1.5576 1.0122 1.0122(6.8154 m) 6.899 m B B B B x c x x c c x       Point C is 6.90 m to left of B  3.8 6.8154 3.8 10.6154 m B y c      Eq. (7.18): 2 (0.45 kg/m)(9.81m/s )(10.6154 m) m B T wy   46.86 N m T  46.9 N m T   www.elsolucionario.org
  • 1233.
    Copyright © McGraw-HillEducation. Permission required for reproduction or display. PROBLEM 7.143 A uniform cable weighing 3 lb/ft is held in the position shown by a horizontal force P applied at B. Knowing that P180lbandA60, determine (a) the location of Point B, (b) the length of the cable. SOLUTION Eq. 7.18: 0 180 lb 60 ft 3 lb/ft T P cw P c c w      At A: cos60 2 0.5 m P T cw cw     (a) Eq. 7.18: ( ) 2 ( ) m T w h c cw w h c     2c h c h b c     60.0 ft b   Eq. 7.16: cosh cosh (60 ft 60 ft) (60 ft) cosh 60 cosh 2 1.3170 60 m 60 m A A A A A A x y c c x h c c c x x x        79.02 ft A x  79.0 ft a   (b) Eq. 7.15: 79.02 ft sinh (60 ft)sinh 60 ft 103.92 ft B A A x s c c s    length A s  103.9 ft A s   www.elsolucionario.org
  • 1234.
    Copyright © McGraw-HillEducation. Permission required for reproduction or display. PROBLEM 7.144 A uniform cable weighing 3 lb/ft is held in the position shown by a horizontal force P applied at B. Knowing that P 150lbandA60, determine (a) the location of Point B, (b) the length of the cable. SOLUTION Eq. 7.18: 0 150 lb 50 ft 3 lb/ft T P cw P c w      At A: cos60 2 0.5 m P T cw cw     (a) Eq. 7.18: ( ) 2 ( ) m T w h c cw w h c     2c h c h c b     50.0 ft b   Eq. 7.16: cosh cosh (50 ft 50 ft) (50 ft)cosh cosh 2 1.3170 A A A A A A x y c c x h c c c x c x x c c        1.3170(50 ft) 65.85 ft A x   65.8 ft a   (b) Eq. 7.15: 65.85 ft sinh (50 ft)sinh 50 ft A A x s c c   86.6 ft A s  length 86.6 ft A s    www.elsolucionario.org
  • 1235.
    Copyright © McGraw-HillEducation. Permission required for reproduction or display. PROBLEM 7.145 To the left of Point B the long cable ABDE rests on the rough horizontal surface shown. Knowing that the mass per unit length of the cable is 2 kg/m, determine the force F when a 3.6 m. SOLUTION 3.6 m 4 m cosh cosh 3.6 m 4 m cosh 1 D D D x a h x y c c a h c c c c c               Solving numerically: 2.0712 m c  Then 4 m 2.0712 m 6.0712 m B y h c      2 max (2 kg/m)(9.81m/s )(6.0712 m) B F T wy    119.1 N  F  www.elsolucionario.org
  • 1236.
    Copyright © McGraw-HillEducation. Permission required for reproduction or display. PROBLEM 7.146 To the left of Point B the long cable ABDE rests on the rough horizontal surface shown. Knowing that the mass per unit length of the cable is 2 kg/m, determine the force F when a 6 m. SOLUTION 6 m 4 m y cosh cosh 6 m 4 m cosh 1 D D D x a h x c c a h c c c c c               Solving numerically: 5.054 m c  2 4 m 5.054 m 9.054 m (2 kg/m)(9.81m/s )(9.054 m) B D D y h c F T wy         177.6 N  F  www.elsolucionario.org
  • 1237.
    Copyright © McGraw-HillEducation. Permission required for reproduction or display. PROBLEM 7.147* The 10-ft cable AB is attached to two collars as shown. The collar at A can slide freely along the rod; a stop attached to the rod prevents the collar at B from moving on the rod. Neglecting the effect of friction and the weight of the collars, determine the distance a. SOLUTION Collar at A: Since 0,   cable ' rod Point A: cosh ; sinh tan sinh A A x dy x y c c dx c x dy c dx      sinh(tan(90 )) sinh(tan(90 )) A A x c x c         (1) Length of cable 10 ft 10 ft 10 sinh sinh 10 sinh sinh A B B A AC CB x x c c c c x x c c c       1 10 sinh sinh A B x x c c c          (2) cosh cosh A B A B x x y c y c c c   (3) In ABD: tan B A B A y y x x     (4) www.elsolucionario.org
  • 1238.
    Copyright © McGraw-HillEducation. Permission required for reproduction or display. PROBLEM 7.147* (Continued) Method of solution: For given value of , choose trial value of c and calculate: From Eq. (1): xA Using value of xA and c, calculate: From Eq. (2): xB From Eq. (3): yA and yB Substitute values obtained for xA, xB, yA, yBinto Eq. (4) and calculate  Choose new trial value of  and repeat above procedure until calculated value of  is equal to given value of . For 30    Result of trial and error procedure: 1.803 ft 2.3745 ft 3.6937 ft 3.606 ft 7.109 ft 7.109 ft 3.606 ft 3.503 ft A B A B B A c x x y y a y y           3.50 ft a   www.elsolucionario.org
  • 1239.
    Copyright © McGraw-HillEducation. Permission required for reproduction or display. PROBLEM 7.148* Solve Problem 7.147 assuming that the angle  formed by the rod and the horizontal is 45. PROBLEM 7.147 The 10-ft cable AB is attached to two collars as shown. The collar at A can slide freely along the rod; a stop attached to the rod prevents the collar at B from moving on the rod. Neglecting the effect of friction and the weight of the collars, determine the distance a. SOLUTION Collar at A: Since 0,   cable ' rod Point A: cosh ; sinh tan sinh A A x dy x y c c dx c x dy c dx      sinh(tan(90 )) sinh(tan(90 )) A A x c x c         (1) Length of cable 10 ft 10 ft 10 sinh sinh 10 sinh sinh A B B A AC CB x x c c c c x x c c c       1 10 sinh sinh A B x x c c c          (2) cosh cosh A B A B x x y c y c c c   (3) www.elsolucionario.org
  • 1240.
    Copyright © McGraw-HillEducation. Permission required for reproduction or display. PROBLEM 7.148* (Continued) In ABD: tan B A B A y y x x     (4) Method of solution: For given value of , choose trial value of c and calculate: From Eq. (1): xA Using value of xA and c