РЕСПУБЛИКА КАЗАХСТАН
(19) KZ (13) A4 (11) 29933
(51) A61K 36/00 (2006.01)
A61K 36/53 (2006.01)
A61K 135/00 (2006.01)
A61P 3/10 (2006.01)
МИНИСТЕРСТВО ЮСТИЦИИ РЕСПУБЛИКИ КАЗАХСТАН
ОПИСАНИЕ ИЗОБРЕТЕНИЯ
К ИННОВАЦИОННОМУ ПАТЕНТУ
(21) 2014/0872.1
(22) 24.06.2014
(45) 15.06.2015, бюл. №6
(72) Мурзахметова Майра Кабдраушевна;
Аралбаева Арайлым Нугмановна; Кайынбаева
Айида Канатбековна; Турмухамбетова Вера
Константиновна; Утегалиева Раиса Сактагановна;
Турумбетова Жансая Жанболатовна; Жанабаева
Жансая Сериковна
(73) Республиканского государственного
предприятия на праве хозяйственного ведения
"Институт физиологии человека и животных"
Комитета науки Министерства образования и науки
(56) Патент РФ №2224536, 27.02.2004
(54) АНТИОКСИДАНТНОЕ СРЕДСТВО
РАСТИТЕЛЬНО ПРОИСХОЖДЕНИЯ ДЛЯ
ПРОФИЛАКТИКИ И ЛЕЧЕНИЯ САХАРНОГО
ДИАБЕТА
(57) Изобретение относится к медицине, а именно к
клинической фармакологии, и может быть
использовано для лечения и профилактики
заболеваний, а именно диабета и сопутствующих
диабету осложнениях, при которых основным
патогенетическим фактором является нарушение
процессов перекисного и свободнорадикального
окисления липидов биомембран.
Технический результат - расширение
ассортимента средств для профилактики и лечения
сахарного диабета, обладающих антиоксидантной
активностью за счет использования новых
источников местного натурального растительного
сырья, достигается путем создания комплексного
антиоксидантного средства, содержащего в качестве
активного начала экстрактивные вещества травы
тимьяна ползучего, цветов липы сердцевидной и
листьев грецкого ореха в соотношении 1:1:2.
(19)KZ(13)A4(11)29933
29933
2
Изобретение относится к медицине, а именно к
клинической фармакологии, и может быть
использовано для лечения и профилактики
заболеваний, а именно диабета и сопутствующих
диабету осложнениях, при которых основным
патогенетическим фактором является нарушение
процессов перекисного и свободнорадикального
окисления липидов биомембран.
Известны синтетические антиоксиданты
являющиеся аналогами природных. К ним относятся
такие препараты, как α-токоферол, аскорбиновая
кислота, α-липоевая кислота (тиоктовая кислота),
глутатион, никотинамид, каталаза. Они нашли
широкое применение при лечении и профилактике
сахарного диабета. (И.А. Бондарь, В.В. Климонтов
«Антиоксиданты в лечении и профилактике
сахарного диабета» - Новосибирск Научно-
практический журнал Минздрава РФ «Сахарный
диабет» 2001г. №1 с.47-51 Изд. ООО УП Принт).
Однако синтетические антиоксиданты не нашли
широкого применения при лечении
свободнорадикальных патологий, к которым
относится и сахарный диабет. Их действие не
обладает широким синергическим эффектом,
направленным на уменьшение процессов
перекисного и свободнорадикального окисления
липидов биомембран.
Перспективными антиоксидантами в лечении и
профилактике сахарного диабета являются
препараты, изготовленные из природного сырья. Их
действие обусловлено синергическим эффектом,
входящих в них биологически активных
соединений.
Так в качестве антиоксидантных средств
растительного происхождения направленных для
профилактики и лечения свободнорадикальных
патологий могут быть использованы: густые
экстракты из листьев хмеля обыкновенного
- Humulus Lupulus (Патент RU №2372931, МКП
А61К 36/185 , А61Р 43/00, опубл. 20.11.2009); травы
первоцвета весеннего - Primula veris L. (Патент RU
№2342942, МКП А61К 36/185, А61Р 39/06, опубл.
10.01.2009); водного экстракта из побегов
багульника - Astragalus dasyanthus (патент RU
№2302252 МКП А61К 36/45, А61Р 39/06, опубл.
2007.07.10); экстракта надземной части альфредии
поникшей - Alfredia cemua Cass, (Патент RU
№2292214, МКП А61К 36/28, А61Р 17/18, опубл.
27.01.2007); настой корней лопуха большого -
Arctium Lappa (Попов А.П. Лекарственные растения
в народной медицине. Киев, 1967); экстракт из
надземной части василька шероховатого - Centaurea
scabiosa L. (заявка РФ №2009100195, МКП
А61К 36/00, опубл. 20.07.2010г.)
Известные антиоксидантные средства в качестве
активного агента используют только один источник
растительного происхождения, характеризующийся
определённым набором биологически активных
веществ. Это существенно ограничивает их
специфическую активность и сужает рамки их
действия по снижению процессов перекисного и
свободнорадикального окисления липидов
биомембран
Известно комплексное средство растительного
происхождения для лечения сахарного диабета,
которое включает чернику обыкновенную (побеги),
фасоль обыкновенную (створки фасоли), аралию
манчжурскую или заманиху высокую (корни), хвощ
полевой (трава), шиповник (плоды), зверобой
обыкновенный (трава), ромашку аптечную (цветок).
(М.И. Балаболкин, Сахарный диабет: 100 вопросов и
ответов, Москва, 1992, изд. НПО "Союзмединформ",
с.3).
Известно другое комплексное средство
растительного происхождения для лечения
сахарного диабета (Патент RU №2161980, МКП
А61К 35/78, опубл. 20.01.2001). Оно содержит
водный настой растительного сырья,
представляющий собой смесь корней лопуха,
солодки голой, горичника русского, валерианы,
цветущих веточек полыни (божье дерево), травы
ширицы (амарант), хвоща полевого, манжетки
обыкновенной, медуницы лекарственной, зеленых
побегов овса посевного, листьев трифоля (вахта
трехлистовая), листьев с дерева мимозы.
Наиболее близким решением к заявляемому,
является комплексное средство растительного
происхождения для лечения сахарного диабета
(Патент RU №2224536, МКП А61К 35/78, опубл.
27.02.2004), включающее в качестве активного
начала концентрированный экстракт смеси плодов
бархата амурского, корней софоры желтоватой и
корня лопуха большого, взятых в соотношении
(50-500): (50-500):(50-500)
Известные комплексные средства растительного
происхождения обладают синергическим эффектом
за счет входящих в них состав биологически
активных соединений, но они не обладают
выраженной антиоксидантной активностью,
способной препятствовать развитию патологических
состояний, связанных с активацией
свободнорадикального окисления липидов
биомембран.
Задачей изобретения является создание нового
отечественного комплексного препарата
растительного происхождения для профилактики и
лечения сахарного диабета, обладающего
выраженным антиоксидантным действием.
Технический результат - расширение
ассортимента средств для профилактики и лечения
сахарного диабета, обладающих выраженной
антиоксидантной активностью за счет
использования новых источников местного
натурального растительного сырья, достигается
путем создания комплексного антиоксидантного
средства, содержащего в качестве активного начала
экстрактивные вещества травы тимьяна ползучего,
цветов липы сердцевидной и листьев грецкого ореха
в соотношении 1:1:2.
Заявляемый фитопрепарат представляет собой
сухую субстанцию, полученную посредством
двойной экстракции этанолом и последовательным
выпариванием спирта из экстракта. Сырье
измельчали с помощью мельницы лабораторной до
размера частиц 40-80 мкм. Соотношение
растворителя к лекарственному растительному
29933
3
сырью составляет 1:10, экстракцию проводили в
течение 20-часов при комнатной температуре
(20-25°С), полученный экстракт фильтровали и для
получения сухой субстанции выпаривали спирт с
помощью роторного испарителя при комнатной
температуре (20-25°С).
Состав предлагаемого фитопрепарата (далее ФП)
был подобран экспериментально, исходя из наличия
местного натурального растительного сырья.
Для выполнения поставленной задачи нами были
исследованы антиоксидантные свойства водно-
этанольных экстрактов ряда растений: трава
тысячелистника, чабреца и календулы, листья
ежевики, цветы липы, листья грецкого ореха и
облепихи. При разработке фитокомпозиции
определяли концентрацию, при которой отмечается
50% ингибирование процессов ПОЛ (IС50).
Результаты исследований по выявлению
антиоксидантной активности экстрактов различных
растений и фитокомпозиций приведены в
следующих диаграммах:
Фиг.1 Влияние экстракта тысячелистника (А) и
ежевики (Б) на процессы ПОЛ в микросомах печени.
Фиг.2 Влияние экстракта календулы на процессы
ПОЛ в микросомах печени
Фиг.3 Влияние экстракта липы (А) и грецкого
ореха (Б) на процессы ПОЛ в микросомах печени
Фиг.4 Влияние экстракта чабреца на процессы
ПОЛ в микросомах печени
Фиг.5 Влияние фитопрепаратов №1 и 2 на
содержание ТБК-активных продуктов в микросомах
печени
Фиг.6 Влияние фитопрепарата №3 на
интенсивность накопления продуктов ПОЛ в
гепатоцитах
Фиг.7 Влияние фитопрепарата №3 на
перекисный гемолиз мембран эритроцитов
Фиг.8 Влияние фитопрепарата №3 на
осмотическую резистентность (1) и проницаемость
эритроцитарных мембран (2)
Как видно из фиг.1, исследование
концентрационной зависимости экстрактов
тысячелистника и листьев ежевики выявили, что
низкие концентрации экстрактов (5 мкг/мг белка)
оказывают прооксидантное действие, усиливая
процессы пероксидации в микросомах печени до
10%. Дальнейшее увеличение концентрации
экстрактов приводит к дозозависимому снижению
содержания ТБК-активных продуктов (фиг.1). В
отличие от этих растений экстракт календулы не
проявляет прооксидантных свойств и дозозависимо
ингибирует образование ТБК-активных продуктов
(фиг.2). Необходимо отметить, что концентрация
экстракта, оказывающая 50%-ное ингибирование
составляет 21,9 мкг на мг белка (таблица 1).
На фиг. 3-4 представлены результаты
экспериментов по влиянию возрастающих
концентраций экстрактов листьев грецкого ореха,
цветов липы, травы чабреца на образование
перекисных продуктов в микросомах печени.
Результаты исследования показали, что экстракты
этих растений обладают ярковыраженным
ингибирующим действием на процессы ПОЛ, о чем
свидетельствует достоверное снижение содержания
ТБК-активных продуктов при действии
концентраций равной 1 мкг/мг, При концентрации
10 мкг зарегистрировано ингибирование процессов
пероксидации на 85-90%.
В ходе исследования определены значений IC50
исследованных растительных экстрактов
(см. Таблица 1). Видно, что хорошие
антиоксидантные свойства проявляют экстракты
листьев грецкого ореха, цветки липы сердцевидной,
листьев облепихи и травы тимьяна ползучего.
Таблица 1
Наименование растения Части
растения
IС50
Тысячелистник обыкновенный Achillea millefolium трава 26,0
Ежевика сизая - Rubus caesius листья 25,2
Календула обыкновенная - Calendula officinalis трава 21,9
Грецкий орех - Juglans regia листья 5,00
Липа сердцевидная - Tilia cordata цветки 5,83
Тимьян ползучий (чабрец) - Thymus serpillum трава 2,75
Облепиха - Hippophae rhamnoides листья 3,63
Исходя из полученных данных были
сформированы два варианта фитопрепарата: цветки
липы, листья облепихи и листья грецкого ореха в
соотношении 1:1:2 и 2:1:4 (фитокомпозиция №1 и
№2). Как видно из фиг.5, фитокомпозиция №1 и №2
в концентрациях до 5 мкг практически не оказывали
существенных протекторных свойств,
положительный эффект данных фитокомпозиций
проявлялся при концентрациях свыше 10 мкг,
содержание ТБК-активных продуктов снизилось на
22% для фитокомпозици №1 и 73% для
фитопрепарата №2. При увеличении концентраций
до 20 мкг на мг белка наблюдалось ингибирование
накопления продуктов ПОЛ до 92% в обоих
случаях. Результаты исследования показали, что
IC50 фитокомпозиций №1 и 2 составили 11.8 мкг и
7,7 мкг соответственно. Значения IC50 цветков липы,
листьев облепихи и грецкого ореха значительно
меньше, чем фитокомпозиции из этих растений.
Следовательно, есть основание предположить, что
травы, входящие в состав фитокомпозиции,
являются антагонистами, что и привело к снижению
противоокислительного эффекта. В
29933
4
фитокомпозиции №3 листья облепихи заменили
травой чабреца.
Исследование антиоксидантных свойств
фитокомпозиции выявило существенное снижение
концентрации препарата, оказывающего 50%-ное
ингибирование (см. Таблица 2). IС50 полученного
фитопрепарата равен 1,42 мкг, что значительно
ниже IС50, входящих в его состав компонентов. В
дальнейших исследованиях в условиях in vitro, а
затем и in vivo был использован фитопрепарат №3.
Таблица 2
Наименование экстракта Части
растения
IС50
Грецкий орех - Juglans regia листья 5,00
Липа сердцевидная - Tilia cordata цветки 5,83
Тимьян ползучий (чабрец) - Thymus serpillum трава 2,75
Композиция (Фитопрепарат №3) 1,42
На фиг.6-8 представлены результаты
исследования антиоксидантных и
мембраностабилизирующих свойств фитопрепарата.
Как видно из фиг.6, при низких концентрациях
действие фитопрепарата вызывает резкое снижение
содержания перекисных продуктов в микросомах
печени. Препарат в концентрации 2 мкг/мг белка
ингибирует образование продуктов ПОЛ на 80%,
дальнейшее повышение концентрации плавно
уменьшает содержание перекисных продуктов в
микросомах печени.
Результаты исследования влияния
фитопрепарата на перекисную резистентность
мембран эритроцитов показали, что при
исследованных концентрациях препарата
практически полностью снижаетя уровень
перекисного гемолиза (фиг.7).
Из фиг.8 видно, что разработанная нами
фитокомпозиция обладает наряду с
антиокислительными свойствами, значительной
мембраностабилизирующей способностью, о чем
свидетельствует снижение уровня осмотического
гемолиза эритроцитов. Исследование влияния
фитокомпозиции на состояние мембран эритроцитов
показало, что при действии фитокомпозиции в
концентрациях от 2 до 100 мкг/мг белка отмечается
снижение степени гемолиза от 22% до 97% в 0,5%
растворе NaCl (фиг.8-1). При этих же
концентрациях снижается и проницаемость
эритроцитарных мембран до 83% в растворе
мочевина/NaCl в соотношении - 45/55.
Анализ полученных результатов, позволяет
предположить, что мембранопротекторный
механизм разработанной фитокомпозиции
заключается в том, что полифенолы входящие в
состав растений инактивируют радикалы
способствующие перекисному окислению липидов
мембран клеток, тем самым стабилизируя их
структуру.
Таким образом, количественные соотношения
компонентов заявляемого ФП были рассчитаны на
основе фармакологических требований и подобраны
экспериментально. Апробация составов при
соотношении компонентов, выходящих за
граничные значения заявляемых величин показала,
что в случае их нарушения снижается
антиоксидантная активность и
мембранопротекторные свойства предлагаемого
ФП.
Тимьян ползучий или чабрец обыкновенный или
богородская трава верест (Thymus serpylllm) -
многолетний полукустарничек, образующий мелкие
дерновинки. Трава тимьяна содержит горькие и
дубильные вещества, тритерпеноиды, камедь,
смолу, флавоноиды, яблочную, тимуловую
(сапониновую), урсоловую, олеановую,
хлорогеновую, хинную и другие кислоты, а также
эфирное масло 0,8-1,33%, в состав которого входят -
тимол (до 42%), карвакрол (до 20%), пинен,
п-цимол, лимонен, линалилацетат, геранилацетат,
1,8-цинеол, гераниол, цитраль, линалоол, борнеол,
терпинеол, терпинен, цингиберин, эукалиптол,
борнилацетат, нерилацетат, цитронеллаль,
минеральные соли. Трава чабреца обладает
седативным, болеутоляющим, антиспазматическим,
отхаркивающим, противовоспалительным,
ранозаживляющим, слабо снотворным действием.
Эфирное масло растения обладает
дезодорирующими свойствами. (Минаева В.Г.
«Лекарственные растения Сибири» опубл. 1991г.).
Цветы липы сердцевидной (Tília cordáta)
является антиоксидантом. В цветках липы
сердцевидной содержатся полисахариды (слизи,
сапонины гликозид тилицин, дубильные вещества,
терпеноиды, эфирное масло, фенолкарбоновые
кислоты, витамин С и каротин, а также большое
количество флавоноидов (кверцетин, кемпферол,
акацентин, гербацентин, гесперидин и их
гликозиды), которые содержат природные
красители и пищевые антиоксиданты.
Цветки липы известны с давних времен в
качестве потогонного средства при простуде, а их
препараты обладают противовоспалительным и
жаропонижающим действием, стимулируют
заживление кожных ран и положительно влияют
при лечении язвенной болезни желудка,
способствуют снижению уровня сахара в крови,
повышают работоспособность и притом
практически нетоксичны. (Минаева В.Г.
«Лекарственные растения Сибири» опубл. 1991г.).
Грецкий орех или волошский орех
(Juglans regia L.) является мощным антиоксидантом
- одним из признанных растений-победителей
сахарного диабета второго типа. Его плоды, кора и
листья, включенные в лечебные сборы,
29933
5
принимаются отдельно и помогают больным
справляться с высоким содержанием сахара в крови,
нормализуют работу поджелудочной железы,
положительно влияют на деятельность желудочно-
кишечного тракта.
Как лекарственное сырье листья грецкого ореха
обычно используют в виде настоев и отваров,
которые принимают внутрь при рахите, золотухе,
сахарном диабете, катарах желудка и кишечника
(Наталья Федина «АиФ Здоровье» №28 (568) от 14
июля 2005 г.; «Биологически активные вещества
растительного происхождения» В трех томах.
М.: Наука, 2001).
Для изучения антиоксидантных и
мембранопротекторных свойств заявляемого
комплексного ФП были осуществлены две серии
экспериментов в условиях in vivo.
Эксперименты в условиях in vivo были
выполнены на 90 взрослых (12-месячных) белых
лабораторных крысах-самцах массой 300±50 г.
В первой серии опытов животных разделили на 5
групп: 1-контроль; у животных 2-5 групп вызывали
экспериментально сахарный диабет (ЭСД) путем
внутрибрюшинной инъекцией стрептозотоцина в
дозе 65 мг/кг массы. Через 7 дней группам 3, 4 и 5 в
течение 14 дней вводили перорально ФП в дозах
100, 200 и 400 мг/кг массы.
Во второй серии опытов животных разделили на
3 группы: 1-контроль; животным 3 группы в течение
2 недель внутрижелудочно вводили ФП в дозе
200 мг/кг веса, затем вызывали сахарный диабет
внутрибрюшинной инъекцией стрептозотоцина в
дозе 65 мг/кг массы, продолжая вводить
фитопрепарат в течение 7 дней, у животных 2
группы вызывали диабет, а через 7 дней животные
всех групп были использованы в опытах.
Объектами исследований явились кровь
(эритроциты, сыворотка) и микросомальные
фракции мозга, печени и почек. Были определены
осмотическая и перекисная резистентность
эритроцитов. В микросомах органов были
исследованы интенсивность процессов перекисного
окисления липидов (далее ПОЛ), активность
антиоксидантных ферментов супероксиддисмутазы
(далее СОД) и каталазы. В сыворотке крови
определяли количество общего билирубина,
активность аминотрансфераз (АсАт, АлАт), уровень
щелочной фосфатазы, креатинина, мочевой
кислоты, содержание общего белка, глюкозы и
холестерина.
В предварительных опытах повышение уровня
глюкозы в крови до 16 ммоль/л через 5 дней
позволило установить у экспериментальных
животных диабет. Ранее было показано, что
применение разных концентраций ФП (100 мг/кг,
200 мг/кг и 400 мг/кг массы животных) в условиях
in vivo повышает резистентность клеточных
мембран. В связи с этим после введения
диабетогена, через неделю опытным группам
перорально давали разные концентрации ФП в
течение 2 недель.
Обработанные результаты проведенных
экспериментов в условиях in vivo приведены на
следующих диаграммах.
Фиг.9 - Влияние различных доз ФП на процессы
ПОЛ в микросомах мозга крыс при
экспериментальном диабете (А - фоновые значения
МДА, Б - содержание МДА после 60-минутной
индукции).
Фиг.10 - Динамика процессов ПОЛ в микросомах
печени при применении различных доз ФП на фоне
экспериментального диабета (А - фоновые значения
МДА, Б - содержание МДА после 60-минутной
индукции).
Фиг.11 - Влияние различных доз ФП на
процессы ПОЛ в микросомах почек крыс на фоне
экспериментального диабета (А-фоновые значения
МДА, Б-содержание МДА после 60-минутной
индукции).
Фиг.12 - Влияние различных доз ФП на
активность каталазы и СОД в мозге крыс на фоне
экспериментального диабета
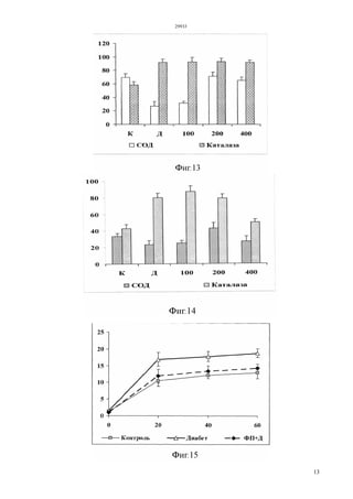
Фиг.13 - Изменение активности СОД и каталазы
гепатоцитов при применении ФП на фоне
экспериментального диабета.
Фиг.14 - Влияние различных доз ФП на
активность каталазы и СОД в микросомах почек
крыс на фоне экспериментального диабета.
Фиг.15 - Динамика изменения процессов ПОЛ в
микросомах мозга крыс с диабетом на фоне
применения ФП.
Фиг.16 - Исследование процессов ПОЛ в
гепатоцитах при ЭСД на фоне применения ФП.
Фиг.17 - Исследование процессов ПОЛ в
микросомах почек при ЭСД на фоне применения
ФП.
Фиг.18 - Исследование активности
антиоксидантных ферментов в мозге крыс при
сахарном диабете на фоне применения ФП.
Фиг.19 - Исследование активности
антиоксидантных ферментов в гепатоцитах при
сахарном диабете на фоне применения ФП.
Фиг.20 - Исследование активности
антиоксидантных ферментов в микросомах почек
при сахарном диабете на фоне применения ФП.
Фиг.21 - Осмотическая резистентность
эритроцитов крыс при применении ФП на фоне
экспериментального диабета.
Фиг.22 - Уровень перекисного гемолиза
эритроцитов у животных с экспериментальным
диабетом при применении ФП.
Фиг.23 - Осмотическая резистентность
эритроцитов крыс с сахарным диабетом на фоне
приема ФП.
Фиг.24 - Исследование перекисного гемолиза
эритроцитов у крыс с сахарным диабетом на фоне
приема ФП.
Антиоксидантную активность ФП оценивали по
степени интенсивности процессов перекисного
окисления липидов в микросомальных фракциях
различных органов. Были проведены исследования
(фиг.9-11) влияния разных концентраций ФП на
процессы перекисного окисления липидов в
29933
6
микросомах мозга, печени и почек на фоне
экспериментального сахарного диабета.
Анализ результатов показал, что на фоне
сахарного диабета, при применении ФП, в каждом
исследуемом органе наблюдалось снижение
интенсивности накопления МДА. При индукции
процессов перекисного окисления системой
Fe2+
/аскорбат в течение 60 минут во всех
исследуемых группах тенденция снижения ТБК-
активных продуктов сохранилась.
Таким образом, применение ФП уменьшает
повреждающий эффект диабетогена. Также было
выявлено, что применения ФП при сахарном
диабете наиболее выражено в дозе 200 мг/кг, т.к.
наблюдается наиболее эффективное снижение
интенсивности процессов перекисного окисления
липидов во всех исследуемых органах.
Другими важнейшими звеньями
антиоксидантной защиты при сахарном диабете
являются антиоксидантные ферменты. Были
проведены исследования влияния разных
концентраций ФП на активность антиоксидантных
ферментов
- СОД и каталазы в микросомах мозга, печени и
почек на фоне экспериментального сахарного
диабета (фиг.12-14).
Анализ полученных данных показал, что на фоне
сахарного диабета, при применении ФП, в каждом
исследуемом органе наблюдалось изменение
активности этих ферментов, а именно - при
повышении активности СОД снижалась активность
каталазы и наоборот. Кроме того изменение
активности этих ферментов имеет различия для
каждого органа.
Было установлено, что применения ФП при
сахарном диабете наиболее выражено в дозе
200 мг/кг, т.к. наблюдается эффективное повышение
активности СОД практически до уровня
контрольной группы характерное для всех
исследуемых органов.
Таким образом, выявленная корреляционная
зависимость антиоксидантных ферментов -
повышение активности СОД и снижение при этом
активности каталазы, указывает на дополняющее
друг друга действие антиоксидантных ферментов
заявляемого ФП, что обеспечивает эффективную
защиту мембран от избытка свободных радикалов.
Следующая серия опытов была посвящена
исследованию возможности профилактики
осложнений при инсулинозависимом сахарном
диабете с помощью ФП. Для проведения
эксперимента животным опытной группы
предварительно давали в течение 2 недель ФП в
концентрации 200 мг/кг веса и на 14-й день
вызывали диабет, продолжая применение ФП еще
одну неделю.
Результаты исследования продуктов ПОЛ в
микросомах мозга, печени и почек на фоне
применения ФП представлены на фиг. 15-17. Анализ
полученных данных содержания продуктов ПОЛ в
исследуемых органах на фоне применения ФП
показал, что предварительное использование ФП
снижает образование продуктов ПОЛ до
контрольных значений во всех органах. Это
уменьшает вероятность развития осложнений,
обусловленных процессом ПОЛ при развитии
сахарного диабета.
Таким образом, использование ФП в качестве
превентивной меры осложнений сахарного диабета
повышает резистентность мембран клеток к
окислительному стрессу при сахарном диабете.
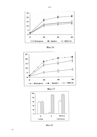
На фиг.18-20 приведены результаты
исследований активности антиоксидантных
ферментов в микросомах мозга, печени и почек на
фоне применения ФП.
Исследование антиоксидантных ферментов в
микросомах мозга, печени и почек показало, что при
развитии сахарного диабета, наблюдается снижение
активности СОД и повышение активности каталазы
по сравнению с контролем. На фоне применения
ФП, активность СОД в микросомах мозга достигает
контрольного уровня, в то время как значение
активности каталазы выше контрольных значений
на 47% (фиг.18).
Как видно из диаграмм фиг.19-20, при развитии
сахарного диабета, на фоне применения ФП
наблюдалось повышение активности СОД в
микросомах печени и почек по сравнению с группой
с сахарным диабетом в 13 и 4,2 раза соответственно.
Активность каталазы при сахарном диабете на фоне
приема ФП в микросомах печени и почек снизилась
на 12% относительно группы с диабетом.
Следовательно, применение ФП привело к
повышению активности СОД и снижению
активности каталазы по сравнению с диабетической
группой.
Результаты опытов по изучению влияния ФП на
осмотическую резистентность мембран эритроцитов
при сахарном диабете 1 типа, представлены на
фиг.21. Как видно из диаграммы, у животных при
сахарном диабете снижается осмотическая
резистентность мембран эритроцитов. У крыс,
получавших ФП в дозах 100, 200 и 400 мг/кг массы,
уровень гемолиза ниже при всех исследованных
концентрациях NaCl по сравнению с эритроцитами
диабетических крыс. Результаты исследований
показали, что применение ФП в дозе 200 мг/кг веса
существенно повышает резистентность эритроцитов
и улучшает состояние клеточных мембран при
диабете.
Перекисное окисление биомолекул мембран
является основным процессом, влияющим на
структуру и свойства мембраны, следовательно,
повреждение мембранных компонентов свободными
радикалами неизбежно приводит к нарушению
жизнедеятельности клетки. Резистентность
эритроцитарных мембран к перекисному гемолизу
отображает состояние мембранных структур.
В проведенных экспериментах у животных с
экспериментальным сахарным диабетом уровень
перекисного гемолиза повышался по сравнению с
контролем в 4 раза (фиг.22), тогда как
использование ФП на фоне СД в дозе 100 мг/кг
снизило данный показатель на 39%, в дозе 200 мг -
на 69% и в дозе 400 мг - на 52%.
29933
7
В следующей серии экспериментов исследовали
резистентность мембран эритроцитов при
экспериментальном сахарном диабете на фоне
применения ФП в дозе 200 мг/кг веса животных.
На фиг.23 приведены результаты исследования
осмотической резистентности эритроцитов. Как
видно из диаграммы, в гипотонических растворах
NaCl уровень гемолиза эритроцитов диабетических
крыс значительно выше по сравнению
эритроцитами контрольных животных и
эритроцитами крыс, подвергнутых действию
стрептозотоцина на фоне применения ФП.
Существенные различия в осмотической
резистентности эритроцитов наблюдаются в 0,35 и
0,4% NaCl: применение ФП уменьшает уровень
гемолиза на 59% и 62% соответственно, по
сравнению с эритроцитами диабетической группы
животных.
На фиг.24 представлены данные по определению
перекисной резистентности эритроцитов крыс
контрольных и опытных групп животных. Из
диаграммы видно, что при сахарном диабете
снижается резистентность эритроцитарных мембран
к воздействию Н2O2, уровень гемолиза повысился на
36%. У животных, получавших ФП в качестве
профилактической меры при диабете, наблюдается
существенное снижение перекисной резистентности
эритроцитов.
Кроме того, были изучены биохимические
показатели плазмы крови при применении ФП на
фоне сахарного диабета (см. Таблицу 3). Анализ
результатов таблицы 3 показал следующее.
При сахарном диабете отмечалось повышение
содержания глюкозы в сыворотке на 50%
относительно интактных крыс. При введении ФП
крысам с сахарным диабетом в дозе 100 мг/кг веса
уровень глюкозы в сыворотке понизился на 10%, в
дозе 200 мг - на 35% и в дозе 400 мг - 25% по
сравнению с диабетической группой.
Таблица 3
Биохимические показатели плазмы крови при применении фитопрепарата
на фоне сахарного диабета
Контроль Диабет Д+ФП (100 мг/кг)Д+ФП (200 г/кг)Д+ФП (400 мг/кг)
Глюкоза в ммоль/л 10,1±1,75 20,1+1,9** 18,5+1,83** 13,3±1,32* 15,6+1,5*
Общий белок в г/л 59,1±2,16 52±0,88* 57,1+0,96* 58,3±0,98* 56,1+0,95*
Холестерин в
ммоль/л
0,65±0,071 0,98+0,05* 0,8+0,12* 0,73±0,11* 0,78+0,12*
ACT, в U/1 37,7±2,75 110+2,92** 88,9+2,36** 67±1,77** 86,2+2,28**
АЛТ, в U/1 20,8±1,75 73,7+3,54** 52,5+2,52** 28,4+1,36* 37,1+1,78**
Щелочная фосфатаза
в U/1
58,3±3,46 60,0± 1,03* 59,1+1,01* 58,6+1,1* 63,2+1,08*
Билирубин в
мкмоль/л
20,8±1,45 19,9+0,96* 20,0+0,96* 21,2±1,01 * 22,0+1,05*
Креатинин в
мкмоль/л
58,3±1,90 110+1,89* 88,9+1,52* 67±1,15* 86,2+1,48*
Мочевая кислота в
ммоль/л
48,9±2,51 73,7±1,51* 52,5±1,07* 49,4± 1,01* 37,1+0,76*
Примечание: Достоверно по сравнению с контролем -р<0,05*, р<0,01**
Использование ФП дает возможность снизить
действие гипергликемии на обмен белка. Тем не
менее, влияние различных концентраций ФП
неоднозначно. Наиболее эффективной дозой
является 200 мг/кг веса, в этом случае содержание
общего белка в сыворотке крови у крыс «больных»
сахарным диабетом повысилось практически до
уровня интактных животных. При сахарном диабете
отмечено повышение уровня холестерина в
сыворотке на 35% по сравнению с интактной
группой. При применении ФП в дозе 200 мг/кг
снизилось содержание холестерина в сыворотке
крови на 20% по сравнению с диабетической
крысой, тогда как эффект применения ФП в
концентрациях равных 100 и 400 мг/кг веса был
менее выражен.
При сахарном диабете повысилась активность
аминотрансфераз: ACT в 3 раза, AЛT в 2,5 раза,
применение ФП снижает активность ферментов.
Положительный эффект ФП более выражен в дозе
равной 200 мг/кг. При данной концентрации
значения содержания AЛT близки к контрольным
значениям, значение ACT хотя и выше в 2 раза по
сравнению с интактными животными, но ниже на
40% относительно диабетической группы.
При развитии инсулинозависимого сахарного
диабета значительных изменений содержания
общего билирубина не происходит, тогда как
отмечается повышение уровня щелочной
фосфатазы. У животных с диабетом наблюдается
повышение уровня щелочной фосфатазы в 1,8 раз в
сыворотке, тогда как у крыс, получавших ФП в
дозах 100, 200, 400 мг на фоне сахарного диабета,
выявлено снижение данного показателя на 19,2%,
39,1% и 21% в сыворотке соответственно по
сравнению с животными диабетической группы.
Исследование биохимических показателей, таких
как креатинин и мочевая кислота показало, что при
развитии сахарного диабета наряду с другими
органами страдают и почки. У группы животных с
29933
8
ЭСД отмечено повышение креатинина в 1,8 раз в
сыворотке, мочевой кислоты на 51% по сравнению с
интактными крысами. Применение ФП в
концентрации 200 мг/кг на фоне диабета снижает
значения данных показателей практически до
контрольных величин, тогда как влияние ФП в дозах
100 и 400мг менее выражено.
Также были исследованы биохимические
показатели плазмы крови при сахарном диабете на
фоне применении ФП (см. Таблицу 4). Анализ
данных таблицы 4 показал следующие результаты.
Предварительное применение ФП привело к
уменьшению концентрации глюкозы практически
до уровня контроля. При диабете содержание
общего белка в сыворотке снизилось на 13% по
сравнению с контрольными значениями.
Предварительное применение ФП повысило уровень
общего белка в сыворотке по сравнению с
диабетическими крысами, хотя содержание белка на
фоне применения ФП остается выше контрольных
значений. При диабете уровень холестерина
повысился в 3,5 раза по сравнению с контрольными
значениями. При превентивном применении ФП
содержание холестерина снизилось в сыворотке до
контрольных значений. При диабете уровень
креатинина повысился в сыворотке в 1,5 раза,
мочевой кислоты - более чем в 2 раза, при
предварительном применении ФП уровень
креатинина и мочевой кислоты в сыворотке
снизился до контрольных значений.
Таблица 4
Биохимические показатели плазмы крови при сахарном диабете на фоне применении фитопрепарата
Контроль Диабет ФП (200
мг/кг)+Диабет
Глюкоза, ммоль/л 9,1±0,12 23,1±2,54** 11,0±1,21*
Общий белок, г/л 59,1±2,51 52,2±0,88* 64,5±1,09*
Холестерин, ммоль/л 0,7±0,095 1,98±0,08** 0,7±0,01*
ACT, U/1 20,8±0,46 73,7±3,54** 29,5±1,42*
АЛТ, U/1 37,7±1,21 110±2,91** 35,6±0,94*
Щелочная фосфатаза, U/1 164,1 ±2,4 248,9±4,51* 152,1 ±3,93*
Билирубин, мкмоль/л 51,9±1,81 49,8±0,96* 51,3±0,85*
Креатинин, мкмоль/л 90±2,49 136±1,51* 88,7±0,98*
Мочевая кислота, ммоль/л 48,9± 32,12 104,4±2,13** 54,1±3,94*
Примечание: Достоверно по сравнению с контролем - р <0,05*, р <0,01 * *
Таким образом, в результате проведенных
исследований была показана эффективность
применения разработанного ФП для повышения
резистентности организма при экспериментальном
сахарном диабете. Применение ФП обладает
выраженной антиоксидантной активностью т.к.
препятствует развитию патологических состояний,
связанных с активацией свободнорадикального
окисления липидов биомембран. Он может оказать
положительное влияние не только при диабете, но и
при сопутствующих диабету осложнениях.
ФОРМУЛА ИЗОБРЕТЕНИЯ
Антиоксидантное средство растительного
происхождения для профилактики и лечения
сахарного диабета, содержащее в качестве
активного начала экстракт растительного
происхождения, отличающееся тем, что в качестве
активного начала используют экстрактивные
вещества травы тимьяна ползучего, цветов липы
сердцевидной и листьев грецкого ореха в
соотношении 1:1:2.
29933
9
29933
10
29933
11
29933
12
29933
13
29933
14
29933
15
29933
16
29933
17
Верстка Н.Киселева
Корректор Р.Талькенов

29933ip

  • 1.
    РЕСПУБЛИКА КАЗАХСТАН (19) KZ(13) A4 (11) 29933 (51) A61K 36/00 (2006.01) A61K 36/53 (2006.01) A61K 135/00 (2006.01) A61P 3/10 (2006.01) МИНИСТЕРСТВО ЮСТИЦИИ РЕСПУБЛИКИ КАЗАХСТАН ОПИСАНИЕ ИЗОБРЕТЕНИЯ К ИННОВАЦИОННОМУ ПАТЕНТУ (21) 2014/0872.1 (22) 24.06.2014 (45) 15.06.2015, бюл. №6 (72) Мурзахметова Майра Кабдраушевна; Аралбаева Арайлым Нугмановна; Кайынбаева Айида Канатбековна; Турмухамбетова Вера Константиновна; Утегалиева Раиса Сактагановна; Турумбетова Жансая Жанболатовна; Жанабаева Жансая Сериковна (73) Республиканского государственного предприятия на праве хозяйственного ведения "Институт физиологии человека и животных" Комитета науки Министерства образования и науки (56) Патент РФ №2224536, 27.02.2004 (54) АНТИОКСИДАНТНОЕ СРЕДСТВО РАСТИТЕЛЬНО ПРОИСХОЖДЕНИЯ ДЛЯ ПРОФИЛАКТИКИ И ЛЕЧЕНИЯ САХАРНОГО ДИАБЕТА (57) Изобретение относится к медицине, а именно к клинической фармакологии, и может быть использовано для лечения и профилактики заболеваний, а именно диабета и сопутствующих диабету осложнениях, при которых основным патогенетическим фактором является нарушение процессов перекисного и свободнорадикального окисления липидов биомембран. Технический результат - расширение ассортимента средств для профилактики и лечения сахарного диабета, обладающих антиоксидантной активностью за счет использования новых источников местного натурального растительного сырья, достигается путем создания комплексного антиоксидантного средства, содержащего в качестве активного начала экстрактивные вещества травы тимьяна ползучего, цветов липы сердцевидной и листьев грецкого ореха в соотношении 1:1:2. (19)KZ(13)A4(11)29933
  • 2.
    29933 2 Изобретение относится кмедицине, а именно к клинической фармакологии, и может быть использовано для лечения и профилактики заболеваний, а именно диабета и сопутствующих диабету осложнениях, при которых основным патогенетическим фактором является нарушение процессов перекисного и свободнорадикального окисления липидов биомембран. Известны синтетические антиоксиданты являющиеся аналогами природных. К ним относятся такие препараты, как α-токоферол, аскорбиновая кислота, α-липоевая кислота (тиоктовая кислота), глутатион, никотинамид, каталаза. Они нашли широкое применение при лечении и профилактике сахарного диабета. (И.А. Бондарь, В.В. Климонтов «Антиоксиданты в лечении и профилактике сахарного диабета» - Новосибирск Научно- практический журнал Минздрава РФ «Сахарный диабет» 2001г. №1 с.47-51 Изд. ООО УП Принт). Однако синтетические антиоксиданты не нашли широкого применения при лечении свободнорадикальных патологий, к которым относится и сахарный диабет. Их действие не обладает широким синергическим эффектом, направленным на уменьшение процессов перекисного и свободнорадикального окисления липидов биомембран. Перспективными антиоксидантами в лечении и профилактике сахарного диабета являются препараты, изготовленные из природного сырья. Их действие обусловлено синергическим эффектом, входящих в них биологически активных соединений. Так в качестве антиоксидантных средств растительного происхождения направленных для профилактики и лечения свободнорадикальных патологий могут быть использованы: густые экстракты из листьев хмеля обыкновенного - Humulus Lupulus (Патент RU №2372931, МКП А61К 36/185 , А61Р 43/00, опубл. 20.11.2009); травы первоцвета весеннего - Primula veris L. (Патент RU №2342942, МКП А61К 36/185, А61Р 39/06, опубл. 10.01.2009); водного экстракта из побегов багульника - Astragalus dasyanthus (патент RU №2302252 МКП А61К 36/45, А61Р 39/06, опубл. 2007.07.10); экстракта надземной части альфредии поникшей - Alfredia cemua Cass, (Патент RU №2292214, МКП А61К 36/28, А61Р 17/18, опубл. 27.01.2007); настой корней лопуха большого - Arctium Lappa (Попов А.П. Лекарственные растения в народной медицине. Киев, 1967); экстракт из надземной части василька шероховатого - Centaurea scabiosa L. (заявка РФ №2009100195, МКП А61К 36/00, опубл. 20.07.2010г.) Известные антиоксидантные средства в качестве активного агента используют только один источник растительного происхождения, характеризующийся определённым набором биологически активных веществ. Это существенно ограничивает их специфическую активность и сужает рамки их действия по снижению процессов перекисного и свободнорадикального окисления липидов биомембран Известно комплексное средство растительного происхождения для лечения сахарного диабета, которое включает чернику обыкновенную (побеги), фасоль обыкновенную (створки фасоли), аралию манчжурскую или заманиху высокую (корни), хвощ полевой (трава), шиповник (плоды), зверобой обыкновенный (трава), ромашку аптечную (цветок). (М.И. Балаболкин, Сахарный диабет: 100 вопросов и ответов, Москва, 1992, изд. НПО "Союзмединформ", с.3). Известно другое комплексное средство растительного происхождения для лечения сахарного диабета (Патент RU №2161980, МКП А61К 35/78, опубл. 20.01.2001). Оно содержит водный настой растительного сырья, представляющий собой смесь корней лопуха, солодки голой, горичника русского, валерианы, цветущих веточек полыни (божье дерево), травы ширицы (амарант), хвоща полевого, манжетки обыкновенной, медуницы лекарственной, зеленых побегов овса посевного, листьев трифоля (вахта трехлистовая), листьев с дерева мимозы. Наиболее близким решением к заявляемому, является комплексное средство растительного происхождения для лечения сахарного диабета (Патент RU №2224536, МКП А61К 35/78, опубл. 27.02.2004), включающее в качестве активного начала концентрированный экстракт смеси плодов бархата амурского, корней софоры желтоватой и корня лопуха большого, взятых в соотношении (50-500): (50-500):(50-500) Известные комплексные средства растительного происхождения обладают синергическим эффектом за счет входящих в них состав биологически активных соединений, но они не обладают выраженной антиоксидантной активностью, способной препятствовать развитию патологических состояний, связанных с активацией свободнорадикального окисления липидов биомембран. Задачей изобретения является создание нового отечественного комплексного препарата растительного происхождения для профилактики и лечения сахарного диабета, обладающего выраженным антиоксидантным действием. Технический результат - расширение ассортимента средств для профилактики и лечения сахарного диабета, обладающих выраженной антиоксидантной активностью за счет использования новых источников местного натурального растительного сырья, достигается путем создания комплексного антиоксидантного средства, содержащего в качестве активного начала экстрактивные вещества травы тимьяна ползучего, цветов липы сердцевидной и листьев грецкого ореха в соотношении 1:1:2. Заявляемый фитопрепарат представляет собой сухую субстанцию, полученную посредством двойной экстракции этанолом и последовательным выпариванием спирта из экстракта. Сырье измельчали с помощью мельницы лабораторной до размера частиц 40-80 мкм. Соотношение растворителя к лекарственному растительному
  • 3.
    29933 3 сырью составляет 1:10,экстракцию проводили в течение 20-часов при комнатной температуре (20-25°С), полученный экстракт фильтровали и для получения сухой субстанции выпаривали спирт с помощью роторного испарителя при комнатной температуре (20-25°С). Состав предлагаемого фитопрепарата (далее ФП) был подобран экспериментально, исходя из наличия местного натурального растительного сырья. Для выполнения поставленной задачи нами были исследованы антиоксидантные свойства водно- этанольных экстрактов ряда растений: трава тысячелистника, чабреца и календулы, листья ежевики, цветы липы, листья грецкого ореха и облепихи. При разработке фитокомпозиции определяли концентрацию, при которой отмечается 50% ингибирование процессов ПОЛ (IС50). Результаты исследований по выявлению антиоксидантной активности экстрактов различных растений и фитокомпозиций приведены в следующих диаграммах: Фиг.1 Влияние экстракта тысячелистника (А) и ежевики (Б) на процессы ПОЛ в микросомах печени. Фиг.2 Влияние экстракта календулы на процессы ПОЛ в микросомах печени Фиг.3 Влияние экстракта липы (А) и грецкого ореха (Б) на процессы ПОЛ в микросомах печени Фиг.4 Влияние экстракта чабреца на процессы ПОЛ в микросомах печени Фиг.5 Влияние фитопрепаратов №1 и 2 на содержание ТБК-активных продуктов в микросомах печени Фиг.6 Влияние фитопрепарата №3 на интенсивность накопления продуктов ПОЛ в гепатоцитах Фиг.7 Влияние фитопрепарата №3 на перекисный гемолиз мембран эритроцитов Фиг.8 Влияние фитопрепарата №3 на осмотическую резистентность (1) и проницаемость эритроцитарных мембран (2) Как видно из фиг.1, исследование концентрационной зависимости экстрактов тысячелистника и листьев ежевики выявили, что низкие концентрации экстрактов (5 мкг/мг белка) оказывают прооксидантное действие, усиливая процессы пероксидации в микросомах печени до 10%. Дальнейшее увеличение концентрации экстрактов приводит к дозозависимому снижению содержания ТБК-активных продуктов (фиг.1). В отличие от этих растений экстракт календулы не проявляет прооксидантных свойств и дозозависимо ингибирует образование ТБК-активных продуктов (фиг.2). Необходимо отметить, что концентрация экстракта, оказывающая 50%-ное ингибирование составляет 21,9 мкг на мг белка (таблица 1). На фиг. 3-4 представлены результаты экспериментов по влиянию возрастающих концентраций экстрактов листьев грецкого ореха, цветов липы, травы чабреца на образование перекисных продуктов в микросомах печени. Результаты исследования показали, что экстракты этих растений обладают ярковыраженным ингибирующим действием на процессы ПОЛ, о чем свидетельствует достоверное снижение содержания ТБК-активных продуктов при действии концентраций равной 1 мкг/мг, При концентрации 10 мкг зарегистрировано ингибирование процессов пероксидации на 85-90%. В ходе исследования определены значений IC50 исследованных растительных экстрактов (см. Таблица 1). Видно, что хорошие антиоксидантные свойства проявляют экстракты листьев грецкого ореха, цветки липы сердцевидной, листьев облепихи и травы тимьяна ползучего. Таблица 1 Наименование растения Части растения IС50 Тысячелистник обыкновенный Achillea millefolium трава 26,0 Ежевика сизая - Rubus caesius листья 25,2 Календула обыкновенная - Calendula officinalis трава 21,9 Грецкий орех - Juglans regia листья 5,00 Липа сердцевидная - Tilia cordata цветки 5,83 Тимьян ползучий (чабрец) - Thymus serpillum трава 2,75 Облепиха - Hippophae rhamnoides листья 3,63 Исходя из полученных данных были сформированы два варианта фитопрепарата: цветки липы, листья облепихи и листья грецкого ореха в соотношении 1:1:2 и 2:1:4 (фитокомпозиция №1 и №2). Как видно из фиг.5, фитокомпозиция №1 и №2 в концентрациях до 5 мкг практически не оказывали существенных протекторных свойств, положительный эффект данных фитокомпозиций проявлялся при концентрациях свыше 10 мкг, содержание ТБК-активных продуктов снизилось на 22% для фитокомпозици №1 и 73% для фитопрепарата №2. При увеличении концентраций до 20 мкг на мг белка наблюдалось ингибирование накопления продуктов ПОЛ до 92% в обоих случаях. Результаты исследования показали, что IC50 фитокомпозиций №1 и 2 составили 11.8 мкг и 7,7 мкг соответственно. Значения IC50 цветков липы, листьев облепихи и грецкого ореха значительно меньше, чем фитокомпозиции из этих растений. Следовательно, есть основание предположить, что травы, входящие в состав фитокомпозиции, являются антагонистами, что и привело к снижению противоокислительного эффекта. В
  • 4.
    29933 4 фитокомпозиции №3 листьяоблепихи заменили травой чабреца. Исследование антиоксидантных свойств фитокомпозиции выявило существенное снижение концентрации препарата, оказывающего 50%-ное ингибирование (см. Таблица 2). IС50 полученного фитопрепарата равен 1,42 мкг, что значительно ниже IС50, входящих в его состав компонентов. В дальнейших исследованиях в условиях in vitro, а затем и in vivo был использован фитопрепарат №3. Таблица 2 Наименование экстракта Части растения IС50 Грецкий орех - Juglans regia листья 5,00 Липа сердцевидная - Tilia cordata цветки 5,83 Тимьян ползучий (чабрец) - Thymus serpillum трава 2,75 Композиция (Фитопрепарат №3) 1,42 На фиг.6-8 представлены результаты исследования антиоксидантных и мембраностабилизирующих свойств фитопрепарата. Как видно из фиг.6, при низких концентрациях действие фитопрепарата вызывает резкое снижение содержания перекисных продуктов в микросомах печени. Препарат в концентрации 2 мкг/мг белка ингибирует образование продуктов ПОЛ на 80%, дальнейшее повышение концентрации плавно уменьшает содержание перекисных продуктов в микросомах печени. Результаты исследования влияния фитопрепарата на перекисную резистентность мембран эритроцитов показали, что при исследованных концентрациях препарата практически полностью снижаетя уровень перекисного гемолиза (фиг.7). Из фиг.8 видно, что разработанная нами фитокомпозиция обладает наряду с антиокислительными свойствами, значительной мембраностабилизирующей способностью, о чем свидетельствует снижение уровня осмотического гемолиза эритроцитов. Исследование влияния фитокомпозиции на состояние мембран эритроцитов показало, что при действии фитокомпозиции в концентрациях от 2 до 100 мкг/мг белка отмечается снижение степени гемолиза от 22% до 97% в 0,5% растворе NaCl (фиг.8-1). При этих же концентрациях снижается и проницаемость эритроцитарных мембран до 83% в растворе мочевина/NaCl в соотношении - 45/55. Анализ полученных результатов, позволяет предположить, что мембранопротекторный механизм разработанной фитокомпозиции заключается в том, что полифенолы входящие в состав растений инактивируют радикалы способствующие перекисному окислению липидов мембран клеток, тем самым стабилизируя их структуру. Таким образом, количественные соотношения компонентов заявляемого ФП были рассчитаны на основе фармакологических требований и подобраны экспериментально. Апробация составов при соотношении компонентов, выходящих за граничные значения заявляемых величин показала, что в случае их нарушения снижается антиоксидантная активность и мембранопротекторные свойства предлагаемого ФП. Тимьян ползучий или чабрец обыкновенный или богородская трава верест (Thymus serpylllm) - многолетний полукустарничек, образующий мелкие дерновинки. Трава тимьяна содержит горькие и дубильные вещества, тритерпеноиды, камедь, смолу, флавоноиды, яблочную, тимуловую (сапониновую), урсоловую, олеановую, хлорогеновую, хинную и другие кислоты, а также эфирное масло 0,8-1,33%, в состав которого входят - тимол (до 42%), карвакрол (до 20%), пинен, п-цимол, лимонен, линалилацетат, геранилацетат, 1,8-цинеол, гераниол, цитраль, линалоол, борнеол, терпинеол, терпинен, цингиберин, эукалиптол, борнилацетат, нерилацетат, цитронеллаль, минеральные соли. Трава чабреца обладает седативным, болеутоляющим, антиспазматическим, отхаркивающим, противовоспалительным, ранозаживляющим, слабо снотворным действием. Эфирное масло растения обладает дезодорирующими свойствами. (Минаева В.Г. «Лекарственные растения Сибири» опубл. 1991г.). Цветы липы сердцевидной (Tília cordáta) является антиоксидантом. В цветках липы сердцевидной содержатся полисахариды (слизи, сапонины гликозид тилицин, дубильные вещества, терпеноиды, эфирное масло, фенолкарбоновые кислоты, витамин С и каротин, а также большое количество флавоноидов (кверцетин, кемпферол, акацентин, гербацентин, гесперидин и их гликозиды), которые содержат природные красители и пищевые антиоксиданты. Цветки липы известны с давних времен в качестве потогонного средства при простуде, а их препараты обладают противовоспалительным и жаропонижающим действием, стимулируют заживление кожных ран и положительно влияют при лечении язвенной болезни желудка, способствуют снижению уровня сахара в крови, повышают работоспособность и притом практически нетоксичны. (Минаева В.Г. «Лекарственные растения Сибири» опубл. 1991г.). Грецкий орех или волошский орех (Juglans regia L.) является мощным антиоксидантом - одним из признанных растений-победителей сахарного диабета второго типа. Его плоды, кора и листья, включенные в лечебные сборы,
  • 5.
    29933 5 принимаются отдельно ипомогают больным справляться с высоким содержанием сахара в крови, нормализуют работу поджелудочной железы, положительно влияют на деятельность желудочно- кишечного тракта. Как лекарственное сырье листья грецкого ореха обычно используют в виде настоев и отваров, которые принимают внутрь при рахите, золотухе, сахарном диабете, катарах желудка и кишечника (Наталья Федина «АиФ Здоровье» №28 (568) от 14 июля 2005 г.; «Биологически активные вещества растительного происхождения» В трех томах. М.: Наука, 2001). Для изучения антиоксидантных и мембранопротекторных свойств заявляемого комплексного ФП были осуществлены две серии экспериментов в условиях in vivo. Эксперименты в условиях in vivo были выполнены на 90 взрослых (12-месячных) белых лабораторных крысах-самцах массой 300±50 г. В первой серии опытов животных разделили на 5 групп: 1-контроль; у животных 2-5 групп вызывали экспериментально сахарный диабет (ЭСД) путем внутрибрюшинной инъекцией стрептозотоцина в дозе 65 мг/кг массы. Через 7 дней группам 3, 4 и 5 в течение 14 дней вводили перорально ФП в дозах 100, 200 и 400 мг/кг массы. Во второй серии опытов животных разделили на 3 группы: 1-контроль; животным 3 группы в течение 2 недель внутрижелудочно вводили ФП в дозе 200 мг/кг веса, затем вызывали сахарный диабет внутрибрюшинной инъекцией стрептозотоцина в дозе 65 мг/кг массы, продолжая вводить фитопрепарат в течение 7 дней, у животных 2 группы вызывали диабет, а через 7 дней животные всех групп были использованы в опытах. Объектами исследований явились кровь (эритроциты, сыворотка) и микросомальные фракции мозга, печени и почек. Были определены осмотическая и перекисная резистентность эритроцитов. В микросомах органов были исследованы интенсивность процессов перекисного окисления липидов (далее ПОЛ), активность антиоксидантных ферментов супероксиддисмутазы (далее СОД) и каталазы. В сыворотке крови определяли количество общего билирубина, активность аминотрансфераз (АсАт, АлАт), уровень щелочной фосфатазы, креатинина, мочевой кислоты, содержание общего белка, глюкозы и холестерина. В предварительных опытах повышение уровня глюкозы в крови до 16 ммоль/л через 5 дней позволило установить у экспериментальных животных диабет. Ранее было показано, что применение разных концентраций ФП (100 мг/кг, 200 мг/кг и 400 мг/кг массы животных) в условиях in vivo повышает резистентность клеточных мембран. В связи с этим после введения диабетогена, через неделю опытным группам перорально давали разные концентрации ФП в течение 2 недель. Обработанные результаты проведенных экспериментов в условиях in vivo приведены на следующих диаграммах. Фиг.9 - Влияние различных доз ФП на процессы ПОЛ в микросомах мозга крыс при экспериментальном диабете (А - фоновые значения МДА, Б - содержание МДА после 60-минутной индукции). Фиг.10 - Динамика процессов ПОЛ в микросомах печени при применении различных доз ФП на фоне экспериментального диабета (А - фоновые значения МДА, Б - содержание МДА после 60-минутной индукции). Фиг.11 - Влияние различных доз ФП на процессы ПОЛ в микросомах почек крыс на фоне экспериментального диабета (А-фоновые значения МДА, Б-содержание МДА после 60-минутной индукции). Фиг.12 - Влияние различных доз ФП на активность каталазы и СОД в мозге крыс на фоне экспериментального диабета Фиг.13 - Изменение активности СОД и каталазы гепатоцитов при применении ФП на фоне экспериментального диабета. Фиг.14 - Влияние различных доз ФП на активность каталазы и СОД в микросомах почек крыс на фоне экспериментального диабета. Фиг.15 - Динамика изменения процессов ПОЛ в микросомах мозга крыс с диабетом на фоне применения ФП. Фиг.16 - Исследование процессов ПОЛ в гепатоцитах при ЭСД на фоне применения ФП. Фиг.17 - Исследование процессов ПОЛ в микросомах почек при ЭСД на фоне применения ФП. Фиг.18 - Исследование активности антиоксидантных ферментов в мозге крыс при сахарном диабете на фоне применения ФП. Фиг.19 - Исследование активности антиоксидантных ферментов в гепатоцитах при сахарном диабете на фоне применения ФП. Фиг.20 - Исследование активности антиоксидантных ферментов в микросомах почек при сахарном диабете на фоне применения ФП. Фиг.21 - Осмотическая резистентность эритроцитов крыс при применении ФП на фоне экспериментального диабета. Фиг.22 - Уровень перекисного гемолиза эритроцитов у животных с экспериментальным диабетом при применении ФП. Фиг.23 - Осмотическая резистентность эритроцитов крыс с сахарным диабетом на фоне приема ФП. Фиг.24 - Исследование перекисного гемолиза эритроцитов у крыс с сахарным диабетом на фоне приема ФП. Антиоксидантную активность ФП оценивали по степени интенсивности процессов перекисного окисления липидов в микросомальных фракциях различных органов. Были проведены исследования (фиг.9-11) влияния разных концентраций ФП на процессы перекисного окисления липидов в
  • 6.
    29933 6 микросомах мозга, печении почек на фоне экспериментального сахарного диабета. Анализ результатов показал, что на фоне сахарного диабета, при применении ФП, в каждом исследуемом органе наблюдалось снижение интенсивности накопления МДА. При индукции процессов перекисного окисления системой Fe2+ /аскорбат в течение 60 минут во всех исследуемых группах тенденция снижения ТБК- активных продуктов сохранилась. Таким образом, применение ФП уменьшает повреждающий эффект диабетогена. Также было выявлено, что применения ФП при сахарном диабете наиболее выражено в дозе 200 мг/кг, т.к. наблюдается наиболее эффективное снижение интенсивности процессов перекисного окисления липидов во всех исследуемых органах. Другими важнейшими звеньями антиоксидантной защиты при сахарном диабете являются антиоксидантные ферменты. Были проведены исследования влияния разных концентраций ФП на активность антиоксидантных ферментов - СОД и каталазы в микросомах мозга, печени и почек на фоне экспериментального сахарного диабета (фиг.12-14). Анализ полученных данных показал, что на фоне сахарного диабета, при применении ФП, в каждом исследуемом органе наблюдалось изменение активности этих ферментов, а именно - при повышении активности СОД снижалась активность каталазы и наоборот. Кроме того изменение активности этих ферментов имеет различия для каждого органа. Было установлено, что применения ФП при сахарном диабете наиболее выражено в дозе 200 мг/кг, т.к. наблюдается эффективное повышение активности СОД практически до уровня контрольной группы характерное для всех исследуемых органов. Таким образом, выявленная корреляционная зависимость антиоксидантных ферментов - повышение активности СОД и снижение при этом активности каталазы, указывает на дополняющее друг друга действие антиоксидантных ферментов заявляемого ФП, что обеспечивает эффективную защиту мембран от избытка свободных радикалов. Следующая серия опытов была посвящена исследованию возможности профилактики осложнений при инсулинозависимом сахарном диабете с помощью ФП. Для проведения эксперимента животным опытной группы предварительно давали в течение 2 недель ФП в концентрации 200 мг/кг веса и на 14-й день вызывали диабет, продолжая применение ФП еще одну неделю. Результаты исследования продуктов ПОЛ в микросомах мозга, печени и почек на фоне применения ФП представлены на фиг. 15-17. Анализ полученных данных содержания продуктов ПОЛ в исследуемых органах на фоне применения ФП показал, что предварительное использование ФП снижает образование продуктов ПОЛ до контрольных значений во всех органах. Это уменьшает вероятность развития осложнений, обусловленных процессом ПОЛ при развитии сахарного диабета. Таким образом, использование ФП в качестве превентивной меры осложнений сахарного диабета повышает резистентность мембран клеток к окислительному стрессу при сахарном диабете. На фиг.18-20 приведены результаты исследований активности антиоксидантных ферментов в микросомах мозга, печени и почек на фоне применения ФП. Исследование антиоксидантных ферментов в микросомах мозга, печени и почек показало, что при развитии сахарного диабета, наблюдается снижение активности СОД и повышение активности каталазы по сравнению с контролем. На фоне применения ФП, активность СОД в микросомах мозга достигает контрольного уровня, в то время как значение активности каталазы выше контрольных значений на 47% (фиг.18). Как видно из диаграмм фиг.19-20, при развитии сахарного диабета, на фоне применения ФП наблюдалось повышение активности СОД в микросомах печени и почек по сравнению с группой с сахарным диабетом в 13 и 4,2 раза соответственно. Активность каталазы при сахарном диабете на фоне приема ФП в микросомах печени и почек снизилась на 12% относительно группы с диабетом. Следовательно, применение ФП привело к повышению активности СОД и снижению активности каталазы по сравнению с диабетической группой. Результаты опытов по изучению влияния ФП на осмотическую резистентность мембран эритроцитов при сахарном диабете 1 типа, представлены на фиг.21. Как видно из диаграммы, у животных при сахарном диабете снижается осмотическая резистентность мембран эритроцитов. У крыс, получавших ФП в дозах 100, 200 и 400 мг/кг массы, уровень гемолиза ниже при всех исследованных концентрациях NaCl по сравнению с эритроцитами диабетических крыс. Результаты исследований показали, что применение ФП в дозе 200 мг/кг веса существенно повышает резистентность эритроцитов и улучшает состояние клеточных мембран при диабете. Перекисное окисление биомолекул мембран является основным процессом, влияющим на структуру и свойства мембраны, следовательно, повреждение мембранных компонентов свободными радикалами неизбежно приводит к нарушению жизнедеятельности клетки. Резистентность эритроцитарных мембран к перекисному гемолизу отображает состояние мембранных структур. В проведенных экспериментах у животных с экспериментальным сахарным диабетом уровень перекисного гемолиза повышался по сравнению с контролем в 4 раза (фиг.22), тогда как использование ФП на фоне СД в дозе 100 мг/кг снизило данный показатель на 39%, в дозе 200 мг - на 69% и в дозе 400 мг - на 52%.
  • 7.
    29933 7 В следующей серииэкспериментов исследовали резистентность мембран эритроцитов при экспериментальном сахарном диабете на фоне применения ФП в дозе 200 мг/кг веса животных. На фиг.23 приведены результаты исследования осмотической резистентности эритроцитов. Как видно из диаграммы, в гипотонических растворах NaCl уровень гемолиза эритроцитов диабетических крыс значительно выше по сравнению эритроцитами контрольных животных и эритроцитами крыс, подвергнутых действию стрептозотоцина на фоне применения ФП. Существенные различия в осмотической резистентности эритроцитов наблюдаются в 0,35 и 0,4% NaCl: применение ФП уменьшает уровень гемолиза на 59% и 62% соответственно, по сравнению с эритроцитами диабетической группы животных. На фиг.24 представлены данные по определению перекисной резистентности эритроцитов крыс контрольных и опытных групп животных. Из диаграммы видно, что при сахарном диабете снижается резистентность эритроцитарных мембран к воздействию Н2O2, уровень гемолиза повысился на 36%. У животных, получавших ФП в качестве профилактической меры при диабете, наблюдается существенное снижение перекисной резистентности эритроцитов. Кроме того, были изучены биохимические показатели плазмы крови при применении ФП на фоне сахарного диабета (см. Таблицу 3). Анализ результатов таблицы 3 показал следующее. При сахарном диабете отмечалось повышение содержания глюкозы в сыворотке на 50% относительно интактных крыс. При введении ФП крысам с сахарным диабетом в дозе 100 мг/кг веса уровень глюкозы в сыворотке понизился на 10%, в дозе 200 мг - на 35% и в дозе 400 мг - 25% по сравнению с диабетической группой. Таблица 3 Биохимические показатели плазмы крови при применении фитопрепарата на фоне сахарного диабета Контроль Диабет Д+ФП (100 мг/кг)Д+ФП (200 г/кг)Д+ФП (400 мг/кг) Глюкоза в ммоль/л 10,1±1,75 20,1+1,9** 18,5+1,83** 13,3±1,32* 15,6+1,5* Общий белок в г/л 59,1±2,16 52±0,88* 57,1+0,96* 58,3±0,98* 56,1+0,95* Холестерин в ммоль/л 0,65±0,071 0,98+0,05* 0,8+0,12* 0,73±0,11* 0,78+0,12* ACT, в U/1 37,7±2,75 110+2,92** 88,9+2,36** 67±1,77** 86,2+2,28** АЛТ, в U/1 20,8±1,75 73,7+3,54** 52,5+2,52** 28,4+1,36* 37,1+1,78** Щелочная фосфатаза в U/1 58,3±3,46 60,0± 1,03* 59,1+1,01* 58,6+1,1* 63,2+1,08* Билирубин в мкмоль/л 20,8±1,45 19,9+0,96* 20,0+0,96* 21,2±1,01 * 22,0+1,05* Креатинин в мкмоль/л 58,3±1,90 110+1,89* 88,9+1,52* 67±1,15* 86,2+1,48* Мочевая кислота в ммоль/л 48,9±2,51 73,7±1,51* 52,5±1,07* 49,4± 1,01* 37,1+0,76* Примечание: Достоверно по сравнению с контролем -р<0,05*, р<0,01** Использование ФП дает возможность снизить действие гипергликемии на обмен белка. Тем не менее, влияние различных концентраций ФП неоднозначно. Наиболее эффективной дозой является 200 мг/кг веса, в этом случае содержание общего белка в сыворотке крови у крыс «больных» сахарным диабетом повысилось практически до уровня интактных животных. При сахарном диабете отмечено повышение уровня холестерина в сыворотке на 35% по сравнению с интактной группой. При применении ФП в дозе 200 мг/кг снизилось содержание холестерина в сыворотке крови на 20% по сравнению с диабетической крысой, тогда как эффект применения ФП в концентрациях равных 100 и 400 мг/кг веса был менее выражен. При сахарном диабете повысилась активность аминотрансфераз: ACT в 3 раза, AЛT в 2,5 раза, применение ФП снижает активность ферментов. Положительный эффект ФП более выражен в дозе равной 200 мг/кг. При данной концентрации значения содержания AЛT близки к контрольным значениям, значение ACT хотя и выше в 2 раза по сравнению с интактными животными, но ниже на 40% относительно диабетической группы. При развитии инсулинозависимого сахарного диабета значительных изменений содержания общего билирубина не происходит, тогда как отмечается повышение уровня щелочной фосфатазы. У животных с диабетом наблюдается повышение уровня щелочной фосфатазы в 1,8 раз в сыворотке, тогда как у крыс, получавших ФП в дозах 100, 200, 400 мг на фоне сахарного диабета, выявлено снижение данного показателя на 19,2%, 39,1% и 21% в сыворотке соответственно по сравнению с животными диабетической группы. Исследование биохимических показателей, таких как креатинин и мочевая кислота показало, что при развитии сахарного диабета наряду с другими органами страдают и почки. У группы животных с
  • 8.
    29933 8 ЭСД отмечено повышениекреатинина в 1,8 раз в сыворотке, мочевой кислоты на 51% по сравнению с интактными крысами. Применение ФП в концентрации 200 мг/кг на фоне диабета снижает значения данных показателей практически до контрольных величин, тогда как влияние ФП в дозах 100 и 400мг менее выражено. Также были исследованы биохимические показатели плазмы крови при сахарном диабете на фоне применении ФП (см. Таблицу 4). Анализ данных таблицы 4 показал следующие результаты. Предварительное применение ФП привело к уменьшению концентрации глюкозы практически до уровня контроля. При диабете содержание общего белка в сыворотке снизилось на 13% по сравнению с контрольными значениями. Предварительное применение ФП повысило уровень общего белка в сыворотке по сравнению с диабетическими крысами, хотя содержание белка на фоне применения ФП остается выше контрольных значений. При диабете уровень холестерина повысился в 3,5 раза по сравнению с контрольными значениями. При превентивном применении ФП содержание холестерина снизилось в сыворотке до контрольных значений. При диабете уровень креатинина повысился в сыворотке в 1,5 раза, мочевой кислоты - более чем в 2 раза, при предварительном применении ФП уровень креатинина и мочевой кислоты в сыворотке снизился до контрольных значений. Таблица 4 Биохимические показатели плазмы крови при сахарном диабете на фоне применении фитопрепарата Контроль Диабет ФП (200 мг/кг)+Диабет Глюкоза, ммоль/л 9,1±0,12 23,1±2,54** 11,0±1,21* Общий белок, г/л 59,1±2,51 52,2±0,88* 64,5±1,09* Холестерин, ммоль/л 0,7±0,095 1,98±0,08** 0,7±0,01* ACT, U/1 20,8±0,46 73,7±3,54** 29,5±1,42* АЛТ, U/1 37,7±1,21 110±2,91** 35,6±0,94* Щелочная фосфатаза, U/1 164,1 ±2,4 248,9±4,51* 152,1 ±3,93* Билирубин, мкмоль/л 51,9±1,81 49,8±0,96* 51,3±0,85* Креатинин, мкмоль/л 90±2,49 136±1,51* 88,7±0,98* Мочевая кислота, ммоль/л 48,9± 32,12 104,4±2,13** 54,1±3,94* Примечание: Достоверно по сравнению с контролем - р <0,05*, р <0,01 * * Таким образом, в результате проведенных исследований была показана эффективность применения разработанного ФП для повышения резистентности организма при экспериментальном сахарном диабете. Применение ФП обладает выраженной антиоксидантной активностью т.к. препятствует развитию патологических состояний, связанных с активацией свободнорадикального окисления липидов биомембран. Он может оказать положительное влияние не только при диабете, но и при сопутствующих диабету осложнениях. ФОРМУЛА ИЗОБРЕТЕНИЯ Антиоксидантное средство растительного происхождения для профилактики и лечения сахарного диабета, содержащее в качестве активного начала экстракт растительного происхождения, отличающееся тем, что в качестве активного начала используют экстрактивные вещества травы тимьяна ползучего, цветов липы сердцевидной и листьев грецкого ореха в соотношении 1:1:2.
  • 9.
  • 10.
  • 11.
  • 12.
  • 13.
  • 14.
  • 15.
  • 16.
  • 17.