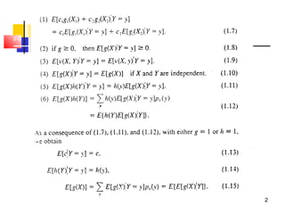
1
Bab 3 Karlin
2
2-2
3
2-3 Markov Chain
 Stochastic process that takes values in a countable
set
 Example: {0,1,2,…,m}, or {0,1,2,…}
 Elements represent possible “states”
 Chain “jumps” from state to state
 Memoryless (Markov) Property: Given the present
state, future jumps of the chain are independent of
past history
 Markov Chains: discrete- or continuous- time
4
2-4 Discrete-Time Markov Chain
 Discrete-time stochastic process {Xn: n = 0,1,2,…}
 Takes values in {0,1,2,…}
 Memoryless property:
 Transition probabilities Pij
 Transition probability matrix P=[Pij]
1 1 1 0 0 1
1
{ | , ,..., } { | }
{ | }
n n n n n n
ij n n
P X j X i X i X i P X j X i
P P X j X i
+ − − +
+
= = = = = = =
= = =
0
0, 1ij ij
j
P P
∞
=
≥ =∑
5
2-5 Chapman-Kolmogorov Equations
 n step transition probabilities
 Chapman-Kolmogorov equations
is element (i, j) in matrix Pn
Recursive computation of state probabilities
{ | }, , 0, , 0n
ij n m mP P X j X i n m i j+= = = ≥ ≥
n
ijP
0
, , 0, , 0n m n m
ij ik kj
k
P P P n m i j
∞
+
=
= ≥ ≥∑
0 1, if
0, if
ij
i j
P
i j
=
= 
≠
6
2-6 Proof of Chapman-Kolmogorov
7
2-7 State Probabilities – Stationary Distribution
 State probabilities (time-dependent)
 In matrix form:
 If time-dependent distribution converges to a limit
 π is called the stationary distribution
Existence depends on the structure of Markov chain
1
1 1
0 0
{ } { } { | }π πn n
n n n n j i ij
i i
P X j P X i P X j X i P
∞ ∞
−
− −
= =
= = = = = ⇒ =∑ ∑
0 1π { }, π (π ,π ,...)n n n n
j nP X j= = =
1 2 2 0
π π π ... πn n n n
P P P− −
= = = =
π lim πn
n→∞
=
π πP=
Example: Transforming a Process
into a Markov Chain
2-8
9
2-9
10
2-10
11
Example: Camera Inventory
12
2-12
monday
13
2-13
14
2-14
15
2-15
16
2-16
17
2-17
18
2-18
19
2-19
20
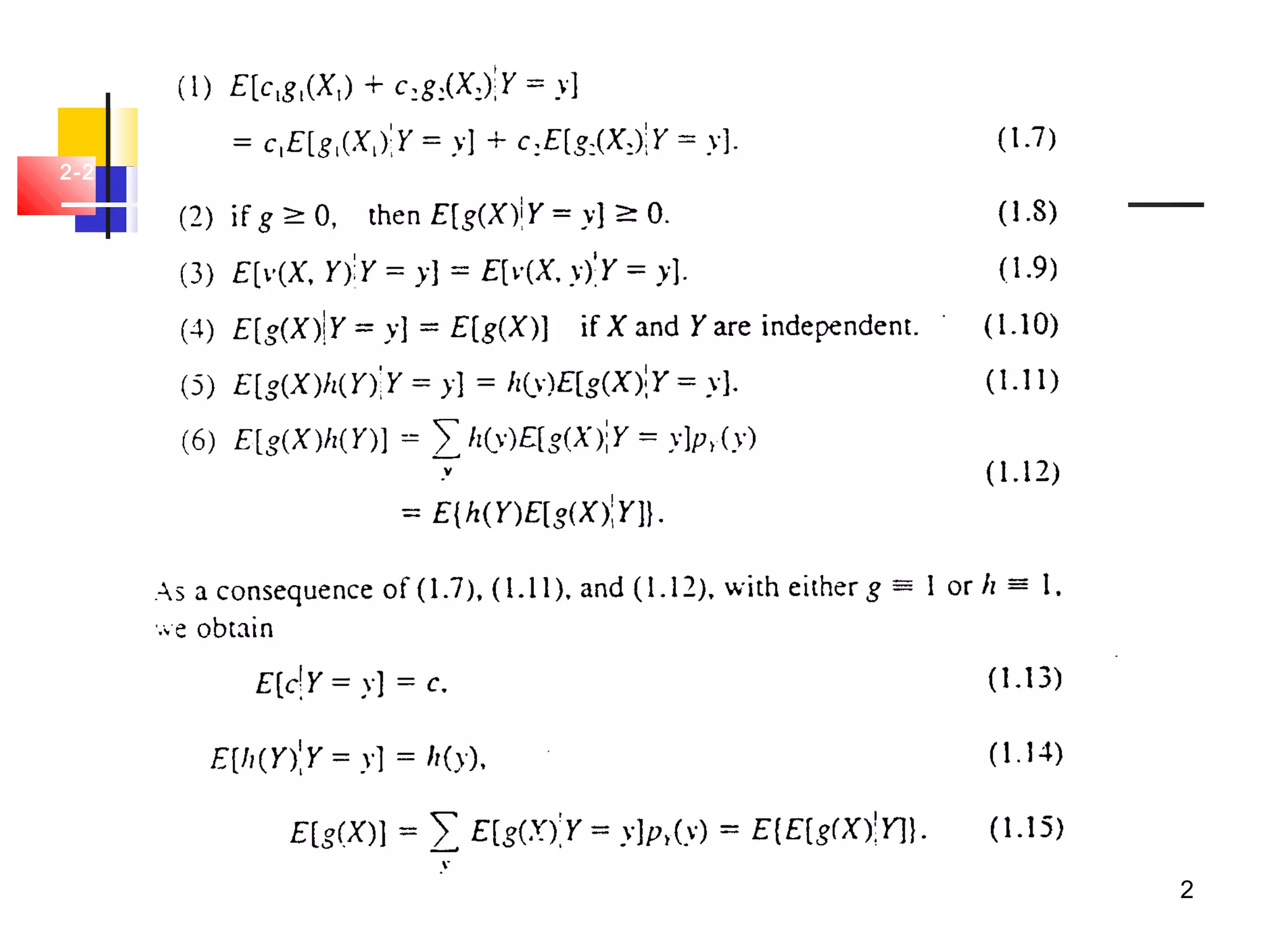
2-20 A Markov Chain in Finance
AAA AA A BBB BB B CCC D NR
AAA 91.93% 7.46% 0.48% 0.08% 0.04% 0.00% 0.00% 0.00% -
AA 0.64% 91.81% 6.76% 0.60% 0.06% 0.12% 0.03% 0.00% -
A 0.07% 2.27% 91.69% 5.12% 0.56% 0.25% 0.01% 0.04% -
BBB 0.04% 0.27% 5.56% 87.88% 4.83% 1.02% 0.17% 0.24% -
BB 0.04% 0.10% 0.61% 7.75% 81.48% 7.90% 1.11% 1.01% -
B 0.00% 0.10% 0.28% 0.46% 6.95% 82.80% 3.96% 5.45% -
CCC 0.19% 0.00% 0.37% 0.75% 2.43% 12.13% 60.45% 23.69% -
D 0.00% 0.00% 0.00% 0.00% 0.00% 0.00% 0.00% 100.00% -
21
First Step Analysis
22
2-22
23
2-23 Simple FSA
24
2-24
25
2-25
26
2-26
27
2-27
28
2-28
29
2-29 FSA- Extension
30
2-30
31
2-31
32
2-32 Example - 1
What is 1 1 1 1, , , and ?u u v v
See pg 120
33
2-33
34
2-34
35
2-35 Example - 2
Fecundity Model
 The states are
 E0: prepuberty
 E1: Single
 E2: Married
 E3: Divorced
 E4: Widowed
 E5: Δ
36
2-36
37
2-37
38
2-38
39
Special MC
40
2-40 1. Two-State MC
41
2-41
42
2-42
43
2-43
44
2-44 Numerical Example
45
2-45 Another Special MC
 Independent Random Variables
 Successive Maxima
 Partial Sums
 One-Dimensional Random Walks (Player fortune)
 Success Runs
46
2-46 Independent Random Variables
47
2-47 Successive Maxima
48
2-48
49
2-49 One-Dimensional Random Walks
50
2-50
51
2-51 Example: Player Fortune
52
2-52
53
2-53
54
2-54 Example: Another Random Walks (r=0)
55
2-55
56
2-56
57
2-57
58
2-58 Example: Success Runs
59
Functionals of Random Walks and
Success Runs
Tugas Kelompok
60
Another Look at First Step Analysis
Tugas Kelompok
61
Branching Processes
62
2-62
63
2-63 Example: Electron Multipliers
64
2-64 Example: Neutron Chain Reaction
65
2-65 Example: Survival of Family Names
66
2-66 Example Survival of Mutant Genes
67
2-67 Mean and Variance of Branching Process
68
2-68
69
2-69
70
2-70 Extinction Probabilities
71
2-71
72
2-72
73
2-73
74
Branching Processes and Generating
Functions
Tugas Kelompok

2 discrete markov chain