Procedia Computer Science 47 (2015) 101 – 108
Available online at www.sciencedirect.com
1877-0509 © 2015 The Authors. Published by Elsevier B.V. This is an open access article under the CC BY-NC-ND license
(http://creativecommons.org/licenses/by-nc-nd/4.0/).
Peer-review under responsibility of organizing committee of the Graph Algorithms, High Performance Implementations and Applications (ICGHIA2014)
doi:10.1016/j.procs.2015.03.188
ScienceDirect
Relevance study of Data mining for the identification of negatively
influenced factors in sick groups
A.S.Aneeshkumara
, Dr.C.Jothi Venkateswaranb
a Research Scholar, PG and Research Department of Computer Science, Presidency College, Chennai 600 005, India
b Dean, Department of Computer Science & Applications, Presidency College, Chennai 600 005, India
Abstract
The application of medical data mining is emphasis with temporal data in this piece of writing. The application of computational
methods in medical field is well known and which started in previous decades, but still now also lot of researches take place in
artificial intelligence, knowledge discovery and mining. Correlating computational intelligence with medical intelligence to
predict negatively influenced epidemiological factors in liver disorder patients.
© 2015 The Authors. Published by Elsevier B.V.
Peer-review under responsibility of organizing committee of the Graph Algorithms, High Performance Implementations and
Applications (ICGHIA2014).
Keywords: Neural Networks; Back Propagation Algorithm; Analysis of Variance.
1. Introduction
Data mining task is used to discover most suitable model and relevant information derived from a large domain
specific data set by the Knowledge extraction process and which include various techniques to find the relationship
between the attributes of the dataset. The major challenge in pattern determination is the ability to recognise relevant
values and most useful information from the domain data. Even data mining application process in information
identification is also differing according to the kind of data and the knowledge which we needed [1].
*Coresponding Author Email: aneesh_kumar777@yahoo.com
© 2015 The Authors. Published by Elsevier B.V. This is an open access article under the CC BY-NC-ND license
(http://creativecommons.org/licenses/by-nc-nd/4.0/).
Peer-review under responsibility of organizing committee of the Graph Algorithms, High Performance Implementations
and Applications (ICGHIA2014)
102 A.S. Aneeshkumar and C. Jothi Venkateswaran / Procedia Computer Science 47 (2015) 101 – 108
Classification plays an important role in data mining task [2]. Each of the record in a given dataset is belongs to
any one of the predefined class and the classification is a task which extract rules from the given unidentified
class elements to classify correctly [3]. Artificial Neural Network is an essential data mining task used in
classification and clustering problems where build a machine to learn like a brain. Less computational cost and the
representation of dimensionality make artificial neural network a competitor in multidimensional and big data
mining [4]. It attempt to present learning model from examples and display some possibility for generalization on
training data [5]. Neural Networks adjust their internal constraints by performing vector mappings from the input to
the output node. The basic function of neural networks is the belief of the requested function [6].
Back Propagation network is an optimizing learning algorithm used in neural network learning and it follows the
reverse application of neural networks. In back propagation, if the achieved result is not expected one then the
weights between layers are modified and iterate it repeatedly until the error become small enough. Apart from the
fixed learning algorithms, it learns from examples and so improves its learning performance in training [7]. This
type of approach is known as meta-learning [8]. Meta-learning algorithms are often follows the procedure of
supervised learning or reinforcement learning, where the learner improves its performance and learning ability
through trial-and-error scenario [9]. In supervised learning, learning and meta-learning are usually treated as
independent processes [10, 11].
Patient’s condition and period of infection is always an antonym for treatment time of the disease and the most
complex issue in medical diagnosis is inability of effective recognition of initial and associated symptoms with the
predicted disease. If the medical practitioners discover theses symptoms as a stepping stone to other disease instead
of identifying it as a simple and independent symptom, only after some days of medical treatment. The reaction of
human body to a foreign agent, infection or other inborn diseases may differ. This reaction is an identification mark
or a symptom which tells that something happened or is going to happen in the body. These factors promote the risk
of disease and which help for proper medical diagnosis, patient management strategy planning and counseling for
the patients and their relatives to alter habitual activities, life style and psychosocial interventions to prevent and
manage chronic diseases.
Liver disorder is also shows some symptoms like this. If it is hepatitis infection, the symptoms will come out
immediately with more effect but in other cases like Alcoholic fatty liver disorder and Non-alcoholic fatty liver
disorder, the liver damage will grow gradually and the initial symptoms are less effective to reach in a hospital and
so the chance of misclassification is high without the consideration of further episodes. This work will lighten into
the effect of other symptoms in liver disorder patients.
2. Dataset Description
The performance of biomedical data and physical assessments done by an expert is used here for medical
decision making. The total of 2020 alcoholic liver patient’s data is collected from a reputed hospital in Chennai, with
39 attributes. Bilirubin (d), Bilirubin (t), S.G.O.T., S.G.P.T., Gamma GT, Alkaline phosphate, Total proteins, Albumin
and Globulins are known as liver enzymes and gender, age, alcoholic consumption, smoking, height, weight,
obesity, vomiting, abdomen pain, yellowish urinary discharge, low appetite, head ache, acting differently are other
physical and biological symptoms Plasma glucose–f, Plasma glucose –r, Blood pressure (diastolic), Blood pressure
(systolic), Triglycerides, DC Polymorphs, DC Lymphocytes, DC Basophils, DC Monocytes, E.S.R., Haemoglobin,
RBC Count, PCV, MCV, MCH, MCHC and Platelet count are used for this study.
3. Approach
Constructed a neural network for alcoholic fatty liver disorder where input layer assigned as liver enzymes
values with nine neurons and the hidden layer is physical and biological symptoms to produce output as alcoholic
fatty liver disorder and which is initialized with small random numbers as its weights. Then the actual output will be
identified with a forward pass. Then calculate error of output and each neuron from hidden layer. In reverse pass this
error is then used mathematically to change the weights to get target output with a smaller error. This process will
repeat until it reaches to minimum error.
The given figure1 represents i1 to i9 input neurons to represent liver enzymes and hi to h30 hidden neurons to
represent other symptoms to produce o as output for alcoholic fatty liver disorder, where wi1h1 to wi9h30 are the
weight between input layer and hidden layer and wh1o to w h30o are the weight between hidden and output layers.
Initially the network train with given input with random number as weight and the error is calculated from the
first iteration result.
103A.S. Aneeshkumar and C. Jothi Venkateswaran / Procedia Computer Science 47 (2015) 101 – 108
Wi1h1
Wi9h1
Wi1h3
Wi9h3
Wh1o
Wh30o
Error in output is calculated as
Error in hidden layer is calculated as
So output layer weight change is
Hidden layer weight change is
Where shows target output, o actual output, hidden neuron values, new weight and is a constant equal
to one for learning rate.
Negative weight of the hidden layer for the target output is identified and the corresponding hidden neurons are used
for analysis.
Fig1: Neural Network model
Table1: Analysis of variance between input and hidden layers
Hidden Layer Input Layer Mean S. D. F Value P Value
Weight Bilirubin (D) 0.21 0.406
27.387 <0.001**
Bilirubin (T) 0.15 0.359
S.G.O.T. 0.11 0.318
S.G.P.T. 0.06 0.230
Gamma GT 0.10 0.305
Alkaline Phosphate 0.17 0.372
Total Proteins 0.14 0.349
Albumin 0.15 0.353
Globulins 0.10 0.293
Obese Bilirubin (D) 0.17 0.377
18.095 <0.001**
Bilirubin (T) 0.10 0.294
S.G.O.T. 0.13 0.339
S.G.P.T. 0.12 0.324
Gamma GT 0.12 0.326
i1
i9 h30
h1
o
104 A.S. Aneeshkumar and C. Jothi Venkateswaran / Procedia Computer Science 47 (2015) 101 – 108
Alkaline Phosphate 0.11 0.312
Total Proteins 0.05 0.226
Albumin 0.12 0.323
Globulins 0.14 0.344
DC Lymphocytes Bilirubin (D) 0.55 0.498
4.972 0.026*
Bilirubin (T) 0.51 0.500
S.G.O.T. 0.45 0.498
S.G.P.T. 0.49 0.500
Gamma GT 0.47 0.499
Alkaline Phosphate 0.58 0.494
Total Proteins 0.45 0.498
Albumin 0.49 0.500
Globulins 0.49 0.500
Haemoglobin Bilirubin (D) 0.22 0.412
56.772 <0.001**
Bilirubin (T) 0.22 0.413
S.G.O.T. 0.18 0.387
S.G.P.T. 0.24 0.428
Gamma GT 0.22 0.417
Alkaline Phosphate 0.22 0.415
Total Proteins 0.26 0.439
Albumin 0.31 0.461
Globulins 0.25 0.436
RBC Count Bilirubin (D) 0.26 0.437
70.341 <0.001**
Bilirubin (T) 0.27 0.444
S.G.O.T. 0.18 0.387
S.G.P.T. 0.20 0.401
Gamma GT 0.23 0.423
Alkaline Phosphate 0.18 0.382
Total Proteins 0.15 0.359
Albumin 0.24 0.425
Globulins 0.16 0.366
PCV Bilirubin (D) 0.11 0.312
0.105 0.746
Bilirubin (T) 0.15 0.352
S.G.O.T. 0.14 0.347
S.G.P.T. 0.09 0.293
Gamma GT 0.17 0.379
Alkaline Phosphate 0.18 0.383
Total Proteins 0.11 0.314
Albumin 0.11 0.312
Globulins 0.13 0.331
105A.S. Aneeshkumar and C. Jothi Venkateswaran / Procedia Computer Science 47 (2015) 101 – 108
MCV Bilirubin (D) 0.10 0.307
4.987 0.026*
Bilirubin (T) 0.10 0.303
S.G.O.T. 0.07 0.263
S.G.P.T. 0.10 0.296
Gamma GT 0.06 0.242
Alkaline Phosphate 0.06 0.235
Total Proteins 0.04 0.205
Albumin 0.15 0.353
Globulins 0.07 0.256
MCH Bilirubin (D) 0.00 0.000
5.046 0.025*
Bilirubin (T) 0.04 0.184
S.G.O.T. 0.04 0.184
S.G.P.T. 0.02 0.123
Gamma GT 0.03 0.174
Alkaline Phosphate 0.02 0.138
Total Proteins 0.03 0.174
Albumin 0.04 0.184
Globulins 0.02 0.125
MCHC Bilirubin (D) 0.06 0.245
16.314 <0.001**
Bilirubin (T) 0.06 0.245
S.G.O.T. 0.11 0.308
S.G.P.T. 0.02 0.152
Gamma GT 0.08 0.275
Alkaline Phosphate 0.02 0.152
Total Proteins 0.07 0.257
Albumin 0.09 0.287
Globulins 0.11 0.308
Platelet Count Bilirubin (D) 0.50 0.500
6.389 0.011*
Bilirubin (T) 0.45 0.498
S.G.O.T. 0.41 0.492
S.G.P.T. 0.40 0.491
Gamma GT 0.41 0.492
Alkaline Phosphate 0.40 0.491
Total Proteins 0.43 0.496
Albumin 0.51 0.500
Globulins 0.50 0.500
106 A.S. Aneeshkumar and C. Jothi Venkateswaran / Procedia Computer Science 47 (2015) 101 – 108
107A.S. Aneeshkumar and C. Jothi Venkateswaran / Procedia Computer Science 47 (2015) 101 – 108
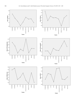
Fig.2: Mean diagram for the variance
4. Discussion
Table 1 shows the influence of liver enzymes in each symptom where a total of 2020 data set trained in the neural
network with back propagation algorithm and as per the table mean, standard deviation, f measure and significance of
each neurons of the input layer is calculated. For weight and obese, Bilirubin-D is the most influenced but S.G.P.T. and
total protein are less influenced factors respectively. According to dc lymphocytes, alkaline phosphate’s (0.58) mean
value is high and S.G.O.T and total protein share the least influence (0.45). The standard deviation of this group lies
between 0.498 and 0.500 and so on. The maximum f value carried by RBC count (70.341) and the less is for PCV
(0.105). P value for weight, obese, fever, haemoglobin, RBC count and MCHC is less than one percentage level of
significance and DC lymphocytes, MCV, MCH and platelet count sharing less than five percentage level of
significance. Hence there is significance between these hidden layers and the input layer. But the significant level of
PCV is above five percentages and so there is no significance between this
108 A.S. Aneeshkumar and C. Jothi Venkateswaran / Procedia Computer Science 47 (2015) 101 – 108
factor and the input neurons. Figure 1 represents the pictorial view of the table mean for each group, where below
averaged weight and obese value is correlated with high value of Bilirubin (D) and less S.G.O.T. for weight and less
protein for obesity is seen in AFLD group. The effect of Alkaline Phosphate is high in decreased DC Lymphocytes and
for hemoglobin, Albumin value is highly influenced, but in both groups the value of S.G.O.T. is low. There is an inverse
relation between RBC Count and Bilirubin (T), PCV and Alkaline Phosphate, MCV and Albumin, Platelet count and
Albumin. Negative representation of MCH is influenced with high Bilirubin (D), S.G.O.T. and Albumin and for
MCHC, S.G.O.T. and Globulin is extremely subjective.
5. Conclusion
Regular alcoholic consumption will lead to various psychodynamic, socioeconomic and physiologic problems. In
this paper we analyzed about various symptoms of liver disorders in alcoholic patients and identified negatively
influenced factors due to alcoholic usage and the level of liver enzymes influences with respect to the symptoms. So
this supportive study may be useful to make awareness within the patient groups.
Acknowledgement
We express our sincere thanks to the Director Dr.(Capt.) K. J. Jayakumar M.S., M.N.A.M.S., F.A.I.S. and Chief
Manager Dr. R. Rajamahendran, B.Sc., M.B.B.S., D.M.C.H., D.H.H.M., P.G.D.H.S.C.(Diab.), F.C.D., Sir Ivan
Stedeford Hospital, Chennai for providing permission to collect data. We are grateful to the chief Manager for his
guidance and also would like to thank other hospital staffs for their valuable suggestions and help throughout this
study.
References
1. Lin Li, “Efficient mining of Haplotype patterns for disease prediction”, Ph.D. Thesis, National University of Singapore, 2007
2. Humar Kahramanli and Novruz Allahverdi, “Mining Classification Rules for Liver Disorders”, International Journal of Mathematics and
Computers in Simulation, Issue 1, Volume 3, pg: 9-19, 2009.
3. W. Au, K. C. C. Chan, and X. Yao, “A Novel Evolutionary Data Mining Algorithm With Applications to Churn Prediction”, IEEE
Transactions on Evolutionary Computation, Vol. 7, No. 6, 2003
4. S. Wang, “Classification with incomplete survey data: A Hopfield neural network approach”, Computers & Operations Research, 32, pp.
2583–2594, 2005.
5. S. Mukhopadhyay, C. Tang, J. Huang, M. Yu and M. Palakal, “A Comparative Study of Genetic Sequence Classification Algorithms”,
Proceedings of the 2002 12th IEEE Workshop on Neural Networks for Signal Processing, pp. 57 – 66, 2002.
6. L. Nikolaos, “Radial Basis Functions Networks to hybrid neuro genetic RBFΝs in Financial Evaluation of Corporations”, International
Journal of Computers, Volume 2, pp. 176-182, 2008.
7. J.Schmidhuber, J.Zhao, and M.Wiering, “Simple Principles of Metalearning”, Technical Report IDSIA, pp.69-96, 1996.
8. S.Hochreiter, A.S.Younger, and P.R.Conwell, “Learning to Learn Using Gradient Descent”, Lecture Notes in Computer Science, vol.2130,
2001.
9. Demetri Psaltis, Athanasios Sideris, and Alan A. Yamamura, “A Multilayered Neural Network Controller” IEEE, April 1988.
10. M.Katrak, “Metalearning methods for neural networks”, MS Thesis, Technical University Kosice, 2005.
11. J.Schmidhuber, “A Neural Network that Embeds its own Meta-Levels, Proceedings of the International Conference on Neural Networks,
San Francisco, IEEE, 1993

1-s2.0-S1877050915004561-main

  • 1.
    Procedia Computer Science47 (2015) 101 – 108 Available online at www.sciencedirect.com 1877-0509 © 2015 The Authors. Published by Elsevier B.V. This is an open access article under the CC BY-NC-ND license (http://creativecommons.org/licenses/by-nc-nd/4.0/). Peer-review under responsibility of organizing committee of the Graph Algorithms, High Performance Implementations and Applications (ICGHIA2014) doi:10.1016/j.procs.2015.03.188 ScienceDirect Relevance study of Data mining for the identification of negatively influenced factors in sick groups A.S.Aneeshkumara , Dr.C.Jothi Venkateswaranb a Research Scholar, PG and Research Department of Computer Science, Presidency College, Chennai 600 005, India b Dean, Department of Computer Science & Applications, Presidency College, Chennai 600 005, India Abstract The application of medical data mining is emphasis with temporal data in this piece of writing. The application of computational methods in medical field is well known and which started in previous decades, but still now also lot of researches take place in artificial intelligence, knowledge discovery and mining. Correlating computational intelligence with medical intelligence to predict negatively influenced epidemiological factors in liver disorder patients. © 2015 The Authors. Published by Elsevier B.V. Peer-review under responsibility of organizing committee of the Graph Algorithms, High Performance Implementations and Applications (ICGHIA2014). Keywords: Neural Networks; Back Propagation Algorithm; Analysis of Variance. 1. Introduction Data mining task is used to discover most suitable model and relevant information derived from a large domain specific data set by the Knowledge extraction process and which include various techniques to find the relationship between the attributes of the dataset. The major challenge in pattern determination is the ability to recognise relevant values and most useful information from the domain data. Even data mining application process in information identification is also differing according to the kind of data and the knowledge which we needed [1]. *Coresponding Author Email: aneesh_kumar777@yahoo.com © 2015 The Authors. Published by Elsevier B.V. This is an open access article under the CC BY-NC-ND license (http://creativecommons.org/licenses/by-nc-nd/4.0/). Peer-review under responsibility of organizing committee of the Graph Algorithms, High Performance Implementations and Applications (ICGHIA2014)
  • 2.
    102 A.S. Aneeshkumarand C. Jothi Venkateswaran / Procedia Computer Science 47 (2015) 101 – 108 Classification plays an important role in data mining task [2]. Each of the record in a given dataset is belongs to any one of the predefined class and the classification is a task which extract rules from the given unidentified class elements to classify correctly [3]. Artificial Neural Network is an essential data mining task used in classification and clustering problems where build a machine to learn like a brain. Less computational cost and the representation of dimensionality make artificial neural network a competitor in multidimensional and big data mining [4]. It attempt to present learning model from examples and display some possibility for generalization on training data [5]. Neural Networks adjust their internal constraints by performing vector mappings from the input to the output node. The basic function of neural networks is the belief of the requested function [6]. Back Propagation network is an optimizing learning algorithm used in neural network learning and it follows the reverse application of neural networks. In back propagation, if the achieved result is not expected one then the weights between layers are modified and iterate it repeatedly until the error become small enough. Apart from the fixed learning algorithms, it learns from examples and so improves its learning performance in training [7]. This type of approach is known as meta-learning [8]. Meta-learning algorithms are often follows the procedure of supervised learning or reinforcement learning, where the learner improves its performance and learning ability through trial-and-error scenario [9]. In supervised learning, learning and meta-learning are usually treated as independent processes [10, 11]. Patient’s condition and period of infection is always an antonym for treatment time of the disease and the most complex issue in medical diagnosis is inability of effective recognition of initial and associated symptoms with the predicted disease. If the medical practitioners discover theses symptoms as a stepping stone to other disease instead of identifying it as a simple and independent symptom, only after some days of medical treatment. The reaction of human body to a foreign agent, infection or other inborn diseases may differ. This reaction is an identification mark or a symptom which tells that something happened or is going to happen in the body. These factors promote the risk of disease and which help for proper medical diagnosis, patient management strategy planning and counseling for the patients and their relatives to alter habitual activities, life style and psychosocial interventions to prevent and manage chronic diseases. Liver disorder is also shows some symptoms like this. If it is hepatitis infection, the symptoms will come out immediately with more effect but in other cases like Alcoholic fatty liver disorder and Non-alcoholic fatty liver disorder, the liver damage will grow gradually and the initial symptoms are less effective to reach in a hospital and so the chance of misclassification is high without the consideration of further episodes. This work will lighten into the effect of other symptoms in liver disorder patients. 2. Dataset Description The performance of biomedical data and physical assessments done by an expert is used here for medical decision making. The total of 2020 alcoholic liver patient’s data is collected from a reputed hospital in Chennai, with 39 attributes. Bilirubin (d), Bilirubin (t), S.G.O.T., S.G.P.T., Gamma GT, Alkaline phosphate, Total proteins, Albumin and Globulins are known as liver enzymes and gender, age, alcoholic consumption, smoking, height, weight, obesity, vomiting, abdomen pain, yellowish urinary discharge, low appetite, head ache, acting differently are other physical and biological symptoms Plasma glucose–f, Plasma glucose –r, Blood pressure (diastolic), Blood pressure (systolic), Triglycerides, DC Polymorphs, DC Lymphocytes, DC Basophils, DC Monocytes, E.S.R., Haemoglobin, RBC Count, PCV, MCV, MCH, MCHC and Platelet count are used for this study. 3. Approach Constructed a neural network for alcoholic fatty liver disorder where input layer assigned as liver enzymes values with nine neurons and the hidden layer is physical and biological symptoms to produce output as alcoholic fatty liver disorder and which is initialized with small random numbers as its weights. Then the actual output will be identified with a forward pass. Then calculate error of output and each neuron from hidden layer. In reverse pass this error is then used mathematically to change the weights to get target output with a smaller error. This process will repeat until it reaches to minimum error. The given figure1 represents i1 to i9 input neurons to represent liver enzymes and hi to h30 hidden neurons to represent other symptoms to produce o as output for alcoholic fatty liver disorder, where wi1h1 to wi9h30 are the weight between input layer and hidden layer and wh1o to w h30o are the weight between hidden and output layers. Initially the network train with given input with random number as weight and the error is calculated from the first iteration result.
  • 3.
    103A.S. Aneeshkumar andC. Jothi Venkateswaran / Procedia Computer Science 47 (2015) 101 – 108 Wi1h1 Wi9h1 Wi1h3 Wi9h3 Wh1o Wh30o Error in output is calculated as Error in hidden layer is calculated as So output layer weight change is Hidden layer weight change is Where shows target output, o actual output, hidden neuron values, new weight and is a constant equal to one for learning rate. Negative weight of the hidden layer for the target output is identified and the corresponding hidden neurons are used for analysis. Fig1: Neural Network model Table1: Analysis of variance between input and hidden layers Hidden Layer Input Layer Mean S. D. F Value P Value Weight Bilirubin (D) 0.21 0.406 27.387 <0.001** Bilirubin (T) 0.15 0.359 S.G.O.T. 0.11 0.318 S.G.P.T. 0.06 0.230 Gamma GT 0.10 0.305 Alkaline Phosphate 0.17 0.372 Total Proteins 0.14 0.349 Albumin 0.15 0.353 Globulins 0.10 0.293 Obese Bilirubin (D) 0.17 0.377 18.095 <0.001** Bilirubin (T) 0.10 0.294 S.G.O.T. 0.13 0.339 S.G.P.T. 0.12 0.324 Gamma GT 0.12 0.326 i1 i9 h30 h1 o
  • 4.
    104 A.S. Aneeshkumarand C. Jothi Venkateswaran / Procedia Computer Science 47 (2015) 101 – 108 Alkaline Phosphate 0.11 0.312 Total Proteins 0.05 0.226 Albumin 0.12 0.323 Globulins 0.14 0.344 DC Lymphocytes Bilirubin (D) 0.55 0.498 4.972 0.026* Bilirubin (T) 0.51 0.500 S.G.O.T. 0.45 0.498 S.G.P.T. 0.49 0.500 Gamma GT 0.47 0.499 Alkaline Phosphate 0.58 0.494 Total Proteins 0.45 0.498 Albumin 0.49 0.500 Globulins 0.49 0.500 Haemoglobin Bilirubin (D) 0.22 0.412 56.772 <0.001** Bilirubin (T) 0.22 0.413 S.G.O.T. 0.18 0.387 S.G.P.T. 0.24 0.428 Gamma GT 0.22 0.417 Alkaline Phosphate 0.22 0.415 Total Proteins 0.26 0.439 Albumin 0.31 0.461 Globulins 0.25 0.436 RBC Count Bilirubin (D) 0.26 0.437 70.341 <0.001** Bilirubin (T) 0.27 0.444 S.G.O.T. 0.18 0.387 S.G.P.T. 0.20 0.401 Gamma GT 0.23 0.423 Alkaline Phosphate 0.18 0.382 Total Proteins 0.15 0.359 Albumin 0.24 0.425 Globulins 0.16 0.366 PCV Bilirubin (D) 0.11 0.312 0.105 0.746 Bilirubin (T) 0.15 0.352 S.G.O.T. 0.14 0.347 S.G.P.T. 0.09 0.293 Gamma GT 0.17 0.379 Alkaline Phosphate 0.18 0.383 Total Proteins 0.11 0.314 Albumin 0.11 0.312 Globulins 0.13 0.331
  • 5.
    105A.S. Aneeshkumar andC. Jothi Venkateswaran / Procedia Computer Science 47 (2015) 101 – 108 MCV Bilirubin (D) 0.10 0.307 4.987 0.026* Bilirubin (T) 0.10 0.303 S.G.O.T. 0.07 0.263 S.G.P.T. 0.10 0.296 Gamma GT 0.06 0.242 Alkaline Phosphate 0.06 0.235 Total Proteins 0.04 0.205 Albumin 0.15 0.353 Globulins 0.07 0.256 MCH Bilirubin (D) 0.00 0.000 5.046 0.025* Bilirubin (T) 0.04 0.184 S.G.O.T. 0.04 0.184 S.G.P.T. 0.02 0.123 Gamma GT 0.03 0.174 Alkaline Phosphate 0.02 0.138 Total Proteins 0.03 0.174 Albumin 0.04 0.184 Globulins 0.02 0.125 MCHC Bilirubin (D) 0.06 0.245 16.314 <0.001** Bilirubin (T) 0.06 0.245 S.G.O.T. 0.11 0.308 S.G.P.T. 0.02 0.152 Gamma GT 0.08 0.275 Alkaline Phosphate 0.02 0.152 Total Proteins 0.07 0.257 Albumin 0.09 0.287 Globulins 0.11 0.308 Platelet Count Bilirubin (D) 0.50 0.500 6.389 0.011* Bilirubin (T) 0.45 0.498 S.G.O.T. 0.41 0.492 S.G.P.T. 0.40 0.491 Gamma GT 0.41 0.492 Alkaline Phosphate 0.40 0.491 Total Proteins 0.43 0.496 Albumin 0.51 0.500 Globulins 0.50 0.500
  • 6.
    106 A.S. Aneeshkumarand C. Jothi Venkateswaran / Procedia Computer Science 47 (2015) 101 – 108
  • 7.
    107A.S. Aneeshkumar andC. Jothi Venkateswaran / Procedia Computer Science 47 (2015) 101 – 108 Fig.2: Mean diagram for the variance 4. Discussion Table 1 shows the influence of liver enzymes in each symptom where a total of 2020 data set trained in the neural network with back propagation algorithm and as per the table mean, standard deviation, f measure and significance of each neurons of the input layer is calculated. For weight and obese, Bilirubin-D is the most influenced but S.G.P.T. and total protein are less influenced factors respectively. According to dc lymphocytes, alkaline phosphate’s (0.58) mean value is high and S.G.O.T and total protein share the least influence (0.45). The standard deviation of this group lies between 0.498 and 0.500 and so on. The maximum f value carried by RBC count (70.341) and the less is for PCV (0.105). P value for weight, obese, fever, haemoglobin, RBC count and MCHC is less than one percentage level of significance and DC lymphocytes, MCV, MCH and platelet count sharing less than five percentage level of significance. Hence there is significance between these hidden layers and the input layer. But the significant level of PCV is above five percentages and so there is no significance between this
  • 8.
    108 A.S. Aneeshkumarand C. Jothi Venkateswaran / Procedia Computer Science 47 (2015) 101 – 108 factor and the input neurons. Figure 1 represents the pictorial view of the table mean for each group, where below averaged weight and obese value is correlated with high value of Bilirubin (D) and less S.G.O.T. for weight and less protein for obesity is seen in AFLD group. The effect of Alkaline Phosphate is high in decreased DC Lymphocytes and for hemoglobin, Albumin value is highly influenced, but in both groups the value of S.G.O.T. is low. There is an inverse relation between RBC Count and Bilirubin (T), PCV and Alkaline Phosphate, MCV and Albumin, Platelet count and Albumin. Negative representation of MCH is influenced with high Bilirubin (D), S.G.O.T. and Albumin and for MCHC, S.G.O.T. and Globulin is extremely subjective. 5. Conclusion Regular alcoholic consumption will lead to various psychodynamic, socioeconomic and physiologic problems. In this paper we analyzed about various symptoms of liver disorders in alcoholic patients and identified negatively influenced factors due to alcoholic usage and the level of liver enzymes influences with respect to the symptoms. So this supportive study may be useful to make awareness within the patient groups. Acknowledgement We express our sincere thanks to the Director Dr.(Capt.) K. J. Jayakumar M.S., M.N.A.M.S., F.A.I.S. and Chief Manager Dr. R. Rajamahendran, B.Sc., M.B.B.S., D.M.C.H., D.H.H.M., P.G.D.H.S.C.(Diab.), F.C.D., Sir Ivan Stedeford Hospital, Chennai for providing permission to collect data. We are grateful to the chief Manager for his guidance and also would like to thank other hospital staffs for their valuable suggestions and help throughout this study. References 1. Lin Li, “Efficient mining of Haplotype patterns for disease prediction”, Ph.D. Thesis, National University of Singapore, 2007 2. Humar Kahramanli and Novruz Allahverdi, “Mining Classification Rules for Liver Disorders”, International Journal of Mathematics and Computers in Simulation, Issue 1, Volume 3, pg: 9-19, 2009. 3. W. Au, K. C. C. Chan, and X. Yao, “A Novel Evolutionary Data Mining Algorithm With Applications to Churn Prediction”, IEEE Transactions on Evolutionary Computation, Vol. 7, No. 6, 2003 4. S. Wang, “Classification with incomplete survey data: A Hopfield neural network approach”, Computers & Operations Research, 32, pp. 2583–2594, 2005. 5. S. Mukhopadhyay, C. Tang, J. Huang, M. Yu and M. Palakal, “A Comparative Study of Genetic Sequence Classification Algorithms”, Proceedings of the 2002 12th IEEE Workshop on Neural Networks for Signal Processing, pp. 57 – 66, 2002. 6. L. Nikolaos, “Radial Basis Functions Networks to hybrid neuro genetic RBFΝs in Financial Evaluation of Corporations”, International Journal of Computers, Volume 2, pp. 176-182, 2008. 7. J.Schmidhuber, J.Zhao, and M.Wiering, “Simple Principles of Metalearning”, Technical Report IDSIA, pp.69-96, 1996. 8. S.Hochreiter, A.S.Younger, and P.R.Conwell, “Learning to Learn Using Gradient Descent”, Lecture Notes in Computer Science, vol.2130, 2001. 9. Demetri Psaltis, Athanasios Sideris, and Alan A. Yamamura, “A Multilayered Neural Network Controller” IEEE, April 1988. 10. M.Katrak, “Metalearning methods for neural networks”, MS Thesis, Technical University Kosice, 2005. 11. J.Schmidhuber, “A Neural Network that Embeds its own Meta-Levels, Proceedings of the International Conference on Neural Networks, San Francisco, IEEE, 1993