Chapter 8
                                    Lecture
                                  Reactions of Alkenes




 © 2013 Pearson Education, Inc.


© 2013 Pearson Education, Inc.
Overview

          • Electrophilic additions HX, H2O(3
            reactions) X2, Br2/H2O, H2, Carbenes,


          • Free Radical addition of HBr




                                   Chapter 8        2
© 2013 Pearson Education, Inc.
Alkenes undergo
                      electrophilic additions.
       • Electrons in pi bond are
         loosely held.
       • The double bond acts
         as a nucleophile
         attacking electrophilic
         species.




© 2013 Pearson Education, Inc.      Chapter 8    3
Types of Additions




© 2013 Pearson Education, Inc.          Chapter 8     4
Addition of HX to Alkenes

          • ___________ intermediate: rearrangements
          • HBr, HCl, and HI can be added through this
            reaction.
          • ______________: From two possible
            products one is formed preferentially.
          • _________________: the electrophile adds
            to the double bond to give the more stable
            carbocation (H goes where there are more
            Hs; the rich gets richer)
© 2013 Pearson Education, Inc.   Chapter 8               5
Addition of HX to double
                                bonds




© 2013 Pearson Education, Inc.   Chapter 8        6
© 2013 Pearson Education, Inc.   Chapter 8   7
Write the product and curved arrow
            mechanism for each one of the following
   a)                            + HBr




       b)
                                   + HBr




                                           Chapter 8   8
© 2013 Pearson Education, Inc.
Acid catalyzed hydration of
                          Alkenes



   •     Addition of water to the double bond forms an ______.
   •     The addition follows ______________ regioselectivity.
   •     This is the reverse of the dehydration of alcohol.
   •     Uses dilute solutions of H2SO4 or H3PO4 to drive
         equilibrium toward hydration. Concentrated acid for
         dehydration.
© 2013 Pearson Education, Inc.   Chapter 8                       9
Mechanism for Hydration
      Step 1: Protonation of the double bond forms a carbocation
      Markovnikov’s regioselective.




   Step 2: Nucleophilic attack of water.



  Step 3: Deprotonation of the alcohol.




© 2013 Pearson Education, Inc.   Chapter 8                    10
Rearrangements Are Possible
                                   + H2O      H+




           • A ____________ will produce the more stable tertiary
             carbocation.
© 2013 Pearson Education, Inc.    Chapter 8                     11
Free-Radical Addition of HBr
        • In the presence of peroxides, HBr adds to an
          alkene to form the “________________”
          product.

        • Peroxides produce _____________ radicals.

        • Only HBr has just the right reactivity for each
          step of the free-radical chain reaction to take
          place. The peroxide effect is not seen with HCl
          or HI because the reaction of an alkyl radical
          with HCl or HI is strongly endothermic.
© 2013 Pearson Education, Inc.   Chapter 8               12
Free-Radical mechanism
  The peroxide bond breaks homolytically to form the first radical




      Hydrogen is abstracted from HBr.
      Bromine adds to the double bond, forming the most stable
      radical




  Hydrogen is abstracted from HBr




© 2013 Pearson Education, Inc.       Chapter 8                       13
Synthesize 1-bromo-2-methylcyclohexane starting with 1-
       methylcyclohexanol: This synthesis requires the conversion of an alcohol to an alkyl
                            bromide with the bromine atom at the neighboring carbon atom.




   1-Methylcyclohexene is easily synthesized by the dehydration of 1-methylcyclohexanol. The most
   substituted alkene is the desired product.




© 2013 Pearson Education, Inc.                        Chapter 8                                 14
Oxymercuration–Reduction
                           Reaction



   • ________________ regioselectivity.
   • Milder conditions than acid catalyzed hydration.
   • The intermediate is a three-membered ring called
     the mercurinium ion; No rearrangements or
     polymerization.
   • Mercury(II) acetate, dissociates slightly to form the
     electrophile +Hg(OAc)2.
© 2013 Pearson Education, Inc.   Chapter 8              15
Mechanism of Oxymercuration




   Regioselective: Water adds to the more substituted carbon to form the
   Markovnikov product.
   Stereoselective: Water approaches the mercurinium ion from the side
   opposite the ring (anti addition).



© 2013 Pearson Education, Inc.      Chapter 8                              16
Demercuration Reaction



  • In the demercuration reaction, a hydride furnished
    by the sodium borohydride ___________replaces
    the mercuric acetate.
  • The overall reaction gives the Markovnikov product
    with the hydroxy group on the
    ______________substituted carbon.


© 2013 Pearson Education, Inc.   Chapter 8          17
Write the product and curved arrow
             mechanism of the Oxymercuration–
           Demercuration of 3,3,-Dimethylbut-1-ene




  Compare to product of acid catalyzed hydration




© 2013 Pearson Education, Inc.   Chapter 8           18
Alkoxymercuration–Demercuration
   If the nucleophile is an alcohol, ROH, instead of water an ________is produced.

   Show the intermediates and products that result from alkoxymercuration–
   demercuration of 1-methylcyclopentene, using methanol as the solvent.




© 2013 Pearson Education, Inc.          Chapter 8                                19
Addition of Halogens




  Cl2, Br2, and sometimes I2 add to a double bond to form a vicinal dihalide.
  The intermediate is a three-membered ring called ___________________.
  Stereoselectivity is an _____________addition of halides.
© 2013 Pearson Education, Inc.           Chapter 8                        20
Stereochemistry of Halogen Addition: Anti
                      stereoselective




        • Anti stereochemistry results from the back-side attack
          of the nucleophile on the bromonium ion.
        • This back-side attack assures anti stereochemistry of
          addition.

© 2013 Pearson Education, Inc.   Chapter 8                         21
Halogenetaion of 2-butene is stereospecific
             cis -> enantiomers
                trans -> meso




© 2013 Pearson Education, Inc.   Chapter 8      22
Bromine Test for Unsaturation
  • Add Br2 in CCl4 (dark, red-
    brown color) to an alkene.
  • The color quickly disappears
    as the bromine adds to the
    double bond (left-side test
    tube).
  • If there is no double bond
    present, the brown color will
    remain (right side).
  • “Decolorizing bromine” is the
    chemical test for the
    presence of a double bond.

© 2013 Pearson Education, Inc.   Chapter 8   23
Formation of Halohydrins


 • If a halogen is added in the presence of _______ as solvent,
   a ____________is formed. __________ is the nucleophile
   that opens the halonium ion.
 • This is a ______________ addition: The bromide
   (electrophile) will add to the __________ substituted carbon.
 • Because the mechanism involves a halonium ion, the
   stereochemistry of addition is ________, as in halogenation.
 • Attack by water occurs on the more substituted carbon with
   ________________ regioselectivity.
© 2013 Pearson Education, Inc.   Chapter 8                   24
Mechanism of Halohydrin Formation
                      (compare to halogenation)




© 2013 Pearson Education, Inc.   Chapter 8            25
Br2

                                 H 2O




                       The opening of a halonium ion is
           driven by its electrophilic nature. The weak nucleophile
               attacks the carbon bearing more positive charge
© 2013 Pearson Education, Inc.          Chapter 8                     26
When cyclohexene is treated with bromine in saturated aqueous sodium
          chloride, a mixture of trans-2-bromocyclohexanol and trans-1-bromo-2-
          chlorocyclohexane results. Propose a mechanism to account for these two
                                          products.




  Cyclohexene reacts with bromine to give a bromonium ion, which will react with any available
  nucleophile. The most abundant nucleophiles in saturated aqueous sodium chloride solution are water
  and chloride ions. Attack by water gives the bromohydrin, and attack by chloride gives the dihalide.
  Either of these attacks gives anti stereochemistry.

© 2013 Pearson Education, Inc.                  Chapter 8                                          27
Hydroboration of Alkenes



   H. C. Brown, of Purdue University, discovered that diborane (B2H6) adds
      to alkenes with anti-Markovnikov orientation to form alkylboranes,
      which after oxidation give anti-Markovnikov alcohols.
   Brown received the Nobel Prize in Chemistry in 1979 for his work in the
      field of borane chemistry.




© 2013 Pearson Education, Inc.      Chapter 8                           28
The complex of borane with tetrahydrofuran (BH3•THF) is
      the most commonly used form of borane.




    Borane adds to the double bond in a_______________,
    with boron adding to the __________ substituted carbon
    and hydrogen adding to the __________substituted carbon.
    This orientation places the partial positive charge in the
    transition state on the more highly substituted carbon atom.
© 2013 Pearson Education, Inc.   Chapter 8                     29
Stoichiometry of Hydroboration: Three moles of alkene can
                      react with each mole of BH3.




   Oxidation of the alkyl borane with basic hydrogen peroxide produces
   the anti-Markovnikov alcohol.




© 2013 Pearson Education, Inc.     Chapter 8                             30
Synthesize 2-methylcyclopentanol from 1-
                                methylcyclopentanol
   Working backward, use hydroboration–oxidation to form 2-methyl cyclopentanol from 1-
   methylcyclopentene. The use of (1) and (2) above and below the reaction arrow indicates individual
   steps in a two-step sequence.




   1-Methylcyclopentene is the most substituted alkene that results from dehydration of 1-
   methylcyclopentanol. Dehydration of the alcohol would give the correct alkene that upon
   hydroboration oxidation produces the trans 2-methylcyclopentanol




© 2013 Pearson Education, Inc.                  Chapter 8                                          31
A norbornene molecule labeled with deuterium is subjected to
      hydroboration–oxidation. Give the structures of the intermediates
      and products.
                   exo

                                 BH3¥THF               H2O2, OH-

      endo face



                                                                   racemic



   The syn addition of BH3 across the double bond of norbornene takes
   place mostly from the more accessible outside (exo) face of the
   double bond. Oxidation gives a product with both the hydrogen
   atom and the hydroxyl group in exo positions. (The less accessible
   inner face of the double bond is called the endo face.)

© 2013 Pearson Education, Inc.             Chapter 8                         32
Catalytic Hydrogenation of
                            Alkenes




          • Hydrogen (H2) can be added across the double bond
            in a process known as ________________________.

          • The reaction only takes place if a catalyst is used.
© 2013 Pearson Education, Inc.      Chapter 8                      33
Mechanism of catalytic
                                    hydrogenation
Interaction of H2 with the _______________
Rupture of the HH bond and formation of two _________bonds
A pi bond interacts with this activated H
Adsorption probably by metal H sigma bonds and metal C bonds
Transfer of one H to the alkene
Transfer of another H
Desorption and regeneration of catalyst




                                                          34
© 2013 Pearson Education, Inc.
The reaction has a syn stereochemistry
         since both hydrogens will add to the same
                  side of the double bond.




          •




© 2013 Pearson Education, Inc.   Chapter 8           35
Chiral Hydrogenation Catalysts




          •    Rhodium and ruthenium phosphines are effective homogeneous
               catalysts for hydrogenation.
          •    Chiral ligands can be attached to accomplish asymmetric
               induction, the creation of a new asymmetric carbon as mostly
               one enantiomer.

© 2013 Pearson Education, Inc.          Chapter 8                             36
The Need for Chiral Catalysts




    • Only the (-)-enantiomer of dopa can cross the
      blood-brain barrier and be transformed into
      dopamine; the other enantiomer is toxic to the
      patient.
© 2013 Pearson Education, Inc.   Chapter 8             37
Addition of Carbenes




          • The insertion of the —CH2 group into a double bond
            produces a __________________ ring.
          • Three methods:
                  Diazomethane (CH3N2, UV light or heat).
                  Simmons–Smith (CH2I2 and Zn(Cu)).
                  Alpha elimination of a haloform (CHX3, NaOH, H2O).

© 2013 Pearson Education, Inc.           Chapter 8                      38
Carbenes: Diazomethane Method

                                     N N CH 2                   N N CH 2
                                                diazomethane



                                                                               H
                                            heat or UV light
                        N        N   CH 2                        N2   +    C
                                                                              H
                                                                          carbene

         Problems with diazomethane:
           1. Extremely toxic and explosive.
           2. The carbene can insert into C—H bonds, too.

© 2013 Pearson Education, Inc.                      Chapter 8                       39
Simmons–Smith Reaction
          Best method for preparing cyclopropanes.




         Preparation of the Simmons-Smith reagent:
                  CH2I2 + Zn(Cu)  ICH2ZnI
                                             Simmons–Smith
                                                reagent
© 2013 Pearson Education, Inc.   Chapter 8                   40
Alpha Elimination Reaction




          • In the presence of a base, chloroform or
            bromoform can be dehydrohalogenated to
            form a _____________.

© 2013 Pearson Education, Inc.   Chapter 8             41
Stereospecificity




        • The cylopropanes will _____________ the cis
          or trans stereochemistry of the alkene.

© 2013 Pearson Education, Inc.         Chapter 8        42
Carbene Examples

                             Simmons–Smith Reaction

                                             CH 2I2
                                             Zn, CuCl


                                 Alpha Elimination Reaction

                                             CHBr3            Br
                                            KOH/H2O           Br


© 2013 Pearson Education, Inc.                  Chapter 8          43
Epoxidation




          • Alkene reacts with a peroxyacid to form an
            epoxide (also called ______________).
          • The most common peroxyacid used is meta-
            chloroperoxybenzoic acid (MCPBA).

© 2013 Pearson Education, Inc.       Chapter 8           44
Mechanism




   • The peroxyacid and the alkene react with each
     other in a one-step reaction to produce the
     _____________and a molecule of ____________.

© 2013 Pearson Education, Inc.      Chapter 8   45
Stereochemistry of Epoxidation
          This reaction is stereospecific
                                           O


                                 Cl                         OH
                                                   O




                                               O


                                      Cl                         OH
                                                        O




© 2013 Pearson Education, Inc.                         Chapter 8      46
Opening the Epoxide Ring




          • This process is ____________catalyzed.
          • Water attacks the protonated epoxide on the
            ____________ side of the ring (anti-addition).
          • _____________product is formed.
© 2013 Pearson Education, Inc.   Chapter 8                   47
Syn Hydroxylation of Alkenes




          Two reagents undergo syn addition to
           double bonds.
                  Osmium tetroxide, OsO4, followed by
                   hydrogen peroxide and
                  Cold, dilute solution of KMnO4 in base
© 2013 Pearson Education, Inc.     Chapter 8                48
Mechanism with OsO4




  • The OsO4 adds to the double bond of an alkene in a
    ______________mechanism forming an _________ ester.
  • The osmate ester can be hydrolyzed to produce a _____-
    glycol and regenerate the OsO4.
© 2013 Pearson Education, Inc.     Chapter 8            49
Permanganate Dihydroxylation




      • A cold, dilute solution of KMnO4 also hydroxylates
        alkenes with ______________ stereochemistry.
      • The basic solution hydrolyzes the manganate ester,
        liberating the glycol and producing a brown precipitate of
        manganese dioxide__________
© 2013 Pearson Education, Inc.   Chapter 8                       50
Oxidative Cleavage with KMnO4




  • If the solution is warm or acidic or too concentrated,
    oxidative cleavage of the glycol may occur.
  • Disubstituted carbons become ketones.
  • Monosubstituted carbons become carboxylic acids.
© 2013 Pearson Education, Inc.       Chapter 8           51
Ozonolysis



          • Ozone will oxidatively cleave the double bond to
            produce _____________________.
          • Ozonolysis is milder than KMnO4 and will not oxidize
            aldehydes further.
          • A second step of the ozonolysis is the reduction of
            the intermediate by zinc or dimethyl sulfide.

© 2013 Pearson Education, Inc.      Chapter 8                      52
Mechanism of Ozonolysis




          • The ozone adds to the double bond, forming
            a five-membered ring intermediate called
            ________________, which rearranges to
            form the ________________.

© 2013 Pearson Education, Inc.   Chapter 8               53
Reduction of the Ozonide




          • The ozonide is not isolated, but is immediately
            reduced by a mild reducing agent, such as zinc or
            dimethyl sulfide, to give the aldehydes and ketones
            as the main products.
          • When dimethyl sulfide is used, the sulfur atom gets
            oxidized, forming dimethyl sulfoxide (DMSO).

© 2013 Pearson Education, Inc.    Chapter 8                       54
Comparison of Permanganate
                  Cleavage and Ozonolysis




© 2013 Pearson Education, Inc.   Chapter 8   55
Osmium tetroxide, cold, dilute
                  KMnO4, and epoxidation oxidize the
                   pi bond of an alkene but leave the
                            sigma bond intact.
                    Ozone and warm, concentrated
                     KMnO4 break the double bond
                  entirely to give carbonyl compounds.

© 2013 Pearson Education, Inc.   Chapter 8               56
Ozonolysis–reduction of an unknown alkene gives an equimolar mixture of cyclohexanecarbaldehyde
       and butan-2-one. Determine the structure of the original alkene.




    We can reconstruct the alkene by removing the two oxygen atoms of the carbonyl groups (C=O) and
    connecting the remaining carbon atoms with a double bond. One uncertainty remains, however: The
    original alkene might be either of two possible geometric isomers.




© 2013 Pearson Education, Inc.                 Chapter 8                                        57
Br2   H2O


                                   DMSO



                                             Chapter 8   58
© 2013 Pearson Education, Inc.
+ Br2

                                 CH2Cl2




                             H2SO4
             + H2O




                   + HBr




                                          Chapter 8   59
© 2013 Pearson Education, Inc.
Polymerization

          • An alkene (____________) can add to
            another molecule like itself to form a
            chain (______________).
          • Three methods:
                  Cationic, a carbocation intermediate.
                  Free radical.
                  Anionic, a carbanion intermediate (rare).


© 2013 Pearson Education, Inc.        Chapter 8                60
Cationic Polymerization




© 2013 Pearson Education, Inc.   Chapter 8        61
Termination Step of Cationic
                         Polymerization




          • The chain growth ends when a proton is abstracted
            by the weak base of the acid used to initiate the
            reaction.
          • The loss of a hydrogen forms an alkene and ends the
            chain growth, so this is a termination step.

© 2013 Pearson Education, Inc.   Chapter 8                        62
Cationic Polymerization Using
                        BF3 as Catalyst




© 2013 Pearson Education, Inc.   Chapter 8       63
Radical Polymerization




          • In the presence of an initiator such as
            peroxide, free-radical polymerization occurs.

© 2013 Pearson Education, Inc.    Chapter 8                 64
Anionic Polymerization
             For an alkene to gain electrons, strong
             electron-withdrawing groups such as nitro, cyano, or
             carbonyl must be attached to the carbons in the
             double bond.




© 2013 Pearson Education, Inc.      Chapter 8                       65
Chapter 8   66
© 2013 Pearson Education, Inc.

09 alkereac st

  • 1.
    Chapter 8 Lecture Reactions of Alkenes © 2013 Pearson Education, Inc. © 2013 Pearson Education, Inc.
  • 2.
    Overview • Electrophilic additions HX, H2O(3 reactions) X2, Br2/H2O, H2, Carbenes, • Free Radical addition of HBr Chapter 8 2 © 2013 Pearson Education, Inc.
  • 3.
    Alkenes undergo electrophilic additions. • Electrons in pi bond are loosely held. • The double bond acts as a nucleophile attacking electrophilic species. © 2013 Pearson Education, Inc. Chapter 8 3
  • 4.
    Types of Additions ©2013 Pearson Education, Inc. Chapter 8 4
  • 5.
    Addition of HXto Alkenes • ___________ intermediate: rearrangements • HBr, HCl, and HI can be added through this reaction. • ______________: From two possible products one is formed preferentially. • _________________: the electrophile adds to the double bond to give the more stable carbocation (H goes where there are more Hs; the rich gets richer) © 2013 Pearson Education, Inc. Chapter 8 5
  • 6.
    Addition of HXto double bonds © 2013 Pearson Education, Inc. Chapter 8 6
  • 7.
    © 2013 PearsonEducation, Inc. Chapter 8 7
  • 8.
    Write the productand curved arrow mechanism for each one of the following a) + HBr b) + HBr Chapter 8 8 © 2013 Pearson Education, Inc.
  • 9.
    Acid catalyzed hydrationof Alkenes • Addition of water to the double bond forms an ______. • The addition follows ______________ regioselectivity. • This is the reverse of the dehydration of alcohol. • Uses dilute solutions of H2SO4 or H3PO4 to drive equilibrium toward hydration. Concentrated acid for dehydration. © 2013 Pearson Education, Inc. Chapter 8 9
  • 10.
    Mechanism for Hydration Step 1: Protonation of the double bond forms a carbocation Markovnikov’s regioselective. Step 2: Nucleophilic attack of water. Step 3: Deprotonation of the alcohol. © 2013 Pearson Education, Inc. Chapter 8 10
  • 11.
    Rearrangements Are Possible + H2O H+ • A ____________ will produce the more stable tertiary carbocation. © 2013 Pearson Education, Inc. Chapter 8 11
  • 12.
    Free-Radical Addition ofHBr • In the presence of peroxides, HBr adds to an alkene to form the “________________” product. • Peroxides produce _____________ radicals. • Only HBr has just the right reactivity for each step of the free-radical chain reaction to take place. The peroxide effect is not seen with HCl or HI because the reaction of an alkyl radical with HCl or HI is strongly endothermic. © 2013 Pearson Education, Inc. Chapter 8 12
  • 13.
    Free-Radical mechanism The peroxide bond breaks homolytically to form the first radical Hydrogen is abstracted from HBr. Bromine adds to the double bond, forming the most stable radical Hydrogen is abstracted from HBr © 2013 Pearson Education, Inc. Chapter 8 13
  • 14.
    Synthesize 1-bromo-2-methylcyclohexane startingwith 1- methylcyclohexanol: This synthesis requires the conversion of an alcohol to an alkyl bromide with the bromine atom at the neighboring carbon atom. 1-Methylcyclohexene is easily synthesized by the dehydration of 1-methylcyclohexanol. The most substituted alkene is the desired product. © 2013 Pearson Education, Inc. Chapter 8 14
  • 15.
    Oxymercuration–Reduction Reaction • ________________ regioselectivity. • Milder conditions than acid catalyzed hydration. • The intermediate is a three-membered ring called the mercurinium ion; No rearrangements or polymerization. • Mercury(II) acetate, dissociates slightly to form the electrophile +Hg(OAc)2. © 2013 Pearson Education, Inc. Chapter 8 15
  • 16.
    Mechanism of Oxymercuration Regioselective: Water adds to the more substituted carbon to form the Markovnikov product. Stereoselective: Water approaches the mercurinium ion from the side opposite the ring (anti addition). © 2013 Pearson Education, Inc. Chapter 8 16
  • 17.
    Demercuration Reaction • In the demercuration reaction, a hydride furnished by the sodium borohydride ___________replaces the mercuric acetate. • The overall reaction gives the Markovnikov product with the hydroxy group on the ______________substituted carbon. © 2013 Pearson Education, Inc. Chapter 8 17
  • 18.
    Write the productand curved arrow mechanism of the Oxymercuration– Demercuration of 3,3,-Dimethylbut-1-ene Compare to product of acid catalyzed hydration © 2013 Pearson Education, Inc. Chapter 8 18
  • 19.
    Alkoxymercuration–Demercuration If the nucleophile is an alcohol, ROH, instead of water an ________is produced. Show the intermediates and products that result from alkoxymercuration– demercuration of 1-methylcyclopentene, using methanol as the solvent. © 2013 Pearson Education, Inc. Chapter 8 19
  • 20.
    Addition of Halogens Cl2, Br2, and sometimes I2 add to a double bond to form a vicinal dihalide. The intermediate is a three-membered ring called ___________________. Stereoselectivity is an _____________addition of halides. © 2013 Pearson Education, Inc. Chapter 8 20
  • 21.
    Stereochemistry of HalogenAddition: Anti stereoselective • Anti stereochemistry results from the back-side attack of the nucleophile on the bromonium ion. • This back-side attack assures anti stereochemistry of addition. © 2013 Pearson Education, Inc. Chapter 8 21
  • 22.
    Halogenetaion of 2-buteneis stereospecific cis -> enantiomers trans -> meso © 2013 Pearson Education, Inc. Chapter 8 22
  • 23.
    Bromine Test forUnsaturation • Add Br2 in CCl4 (dark, red- brown color) to an alkene. • The color quickly disappears as the bromine adds to the double bond (left-side test tube). • If there is no double bond present, the brown color will remain (right side). • “Decolorizing bromine” is the chemical test for the presence of a double bond. © 2013 Pearson Education, Inc. Chapter 8 23
  • 24.
    Formation of Halohydrins • If a halogen is added in the presence of _______ as solvent, a ____________is formed. __________ is the nucleophile that opens the halonium ion. • This is a ______________ addition: The bromide (electrophile) will add to the __________ substituted carbon. • Because the mechanism involves a halonium ion, the stereochemistry of addition is ________, as in halogenation. • Attack by water occurs on the more substituted carbon with ________________ regioselectivity. © 2013 Pearson Education, Inc. Chapter 8 24
  • 25.
    Mechanism of HalohydrinFormation (compare to halogenation) © 2013 Pearson Education, Inc. Chapter 8 25
  • 26.
    Br2 H 2O The opening of a halonium ion is driven by its electrophilic nature. The weak nucleophile attacks the carbon bearing more positive charge © 2013 Pearson Education, Inc. Chapter 8 26
  • 27.
    When cyclohexene istreated with bromine in saturated aqueous sodium chloride, a mixture of trans-2-bromocyclohexanol and trans-1-bromo-2- chlorocyclohexane results. Propose a mechanism to account for these two products. Cyclohexene reacts with bromine to give a bromonium ion, which will react with any available nucleophile. The most abundant nucleophiles in saturated aqueous sodium chloride solution are water and chloride ions. Attack by water gives the bromohydrin, and attack by chloride gives the dihalide. Either of these attacks gives anti stereochemistry. © 2013 Pearson Education, Inc. Chapter 8 27
  • 28.
    Hydroboration of Alkenes H. C. Brown, of Purdue University, discovered that diborane (B2H6) adds to alkenes with anti-Markovnikov orientation to form alkylboranes, which after oxidation give anti-Markovnikov alcohols. Brown received the Nobel Prize in Chemistry in 1979 for his work in the field of borane chemistry. © 2013 Pearson Education, Inc. Chapter 8 28
  • 29.
    The complex ofborane with tetrahydrofuran (BH3•THF) is the most commonly used form of borane. Borane adds to the double bond in a_______________, with boron adding to the __________ substituted carbon and hydrogen adding to the __________substituted carbon. This orientation places the partial positive charge in the transition state on the more highly substituted carbon atom. © 2013 Pearson Education, Inc. Chapter 8 29
  • 30.
    Stoichiometry of Hydroboration:Three moles of alkene can react with each mole of BH3. Oxidation of the alkyl borane with basic hydrogen peroxide produces the anti-Markovnikov alcohol. © 2013 Pearson Education, Inc. Chapter 8 30
  • 31.
    Synthesize 2-methylcyclopentanol from1- methylcyclopentanol Working backward, use hydroboration–oxidation to form 2-methyl cyclopentanol from 1- methylcyclopentene. The use of (1) and (2) above and below the reaction arrow indicates individual steps in a two-step sequence. 1-Methylcyclopentene is the most substituted alkene that results from dehydration of 1- methylcyclopentanol. Dehydration of the alcohol would give the correct alkene that upon hydroboration oxidation produces the trans 2-methylcyclopentanol © 2013 Pearson Education, Inc. Chapter 8 31
  • 32.
    A norbornene moleculelabeled with deuterium is subjected to hydroboration–oxidation. Give the structures of the intermediates and products. exo BH3¥THF H2O2, OH- endo face racemic The syn addition of BH3 across the double bond of norbornene takes place mostly from the more accessible outside (exo) face of the double bond. Oxidation gives a product with both the hydrogen atom and the hydroxyl group in exo positions. (The less accessible inner face of the double bond is called the endo face.) © 2013 Pearson Education, Inc. Chapter 8 32
  • 33.
    Catalytic Hydrogenation of Alkenes • Hydrogen (H2) can be added across the double bond in a process known as ________________________. • The reaction only takes place if a catalyst is used. © 2013 Pearson Education, Inc. Chapter 8 33
  • 34.
    Mechanism of catalytic hydrogenation Interaction of H2 with the _______________ Rupture of the HH bond and formation of two _________bonds A pi bond interacts with this activated H Adsorption probably by metal H sigma bonds and metal C bonds Transfer of one H to the alkene Transfer of another H Desorption and regeneration of catalyst 34 © 2013 Pearson Education, Inc.
  • 35.
    The reaction hasa syn stereochemistry since both hydrogens will add to the same side of the double bond. • © 2013 Pearson Education, Inc. Chapter 8 35
  • 36.
    Chiral Hydrogenation Catalysts • Rhodium and ruthenium phosphines are effective homogeneous catalysts for hydrogenation. • Chiral ligands can be attached to accomplish asymmetric induction, the creation of a new asymmetric carbon as mostly one enantiomer. © 2013 Pearson Education, Inc. Chapter 8 36
  • 37.
    The Need forChiral Catalysts • Only the (-)-enantiomer of dopa can cross the blood-brain barrier and be transformed into dopamine; the other enantiomer is toxic to the patient. © 2013 Pearson Education, Inc. Chapter 8 37
  • 38.
    Addition of Carbenes • The insertion of the —CH2 group into a double bond produces a __________________ ring. • Three methods:  Diazomethane (CH3N2, UV light or heat).  Simmons–Smith (CH2I2 and Zn(Cu)).  Alpha elimination of a haloform (CHX3, NaOH, H2O). © 2013 Pearson Education, Inc. Chapter 8 38
  • 39.
    Carbenes: Diazomethane Method N N CH 2 N N CH 2 diazomethane H heat or UV light N N CH 2 N2 + C H carbene Problems with diazomethane: 1. Extremely toxic and explosive. 2. The carbene can insert into C—H bonds, too. © 2013 Pearson Education, Inc. Chapter 8 39
  • 40.
    Simmons–Smith Reaction Best method for preparing cyclopropanes. Preparation of the Simmons-Smith reagent: CH2I2 + Zn(Cu)  ICH2ZnI Simmons–Smith reagent © 2013 Pearson Education, Inc. Chapter 8 40
  • 41.
    Alpha Elimination Reaction • In the presence of a base, chloroform or bromoform can be dehydrohalogenated to form a _____________. © 2013 Pearson Education, Inc. Chapter 8 41
  • 42.
    Stereospecificity • The cylopropanes will _____________ the cis or trans stereochemistry of the alkene. © 2013 Pearson Education, Inc. Chapter 8 42
  • 43.
    Carbene Examples Simmons–Smith Reaction CH 2I2 Zn, CuCl Alpha Elimination Reaction CHBr3 Br KOH/H2O Br © 2013 Pearson Education, Inc. Chapter 8 43
  • 44.
    Epoxidation • Alkene reacts with a peroxyacid to form an epoxide (also called ______________). • The most common peroxyacid used is meta- chloroperoxybenzoic acid (MCPBA). © 2013 Pearson Education, Inc. Chapter 8 44
  • 45.
    Mechanism • The peroxyacid and the alkene react with each other in a one-step reaction to produce the _____________and a molecule of ____________. © 2013 Pearson Education, Inc. Chapter 8 45
  • 46.
    Stereochemistry of Epoxidation This reaction is stereospecific O Cl OH O O Cl OH O © 2013 Pearson Education, Inc. Chapter 8 46
  • 47.
    Opening the EpoxideRing • This process is ____________catalyzed. • Water attacks the protonated epoxide on the ____________ side of the ring (anti-addition). • _____________product is formed. © 2013 Pearson Education, Inc. Chapter 8 47
  • 48.
    Syn Hydroxylation ofAlkenes Two reagents undergo syn addition to double bonds.  Osmium tetroxide, OsO4, followed by hydrogen peroxide and  Cold, dilute solution of KMnO4 in base © 2013 Pearson Education, Inc. Chapter 8 48
  • 49.
    Mechanism with OsO4 • The OsO4 adds to the double bond of an alkene in a ______________mechanism forming an _________ ester. • The osmate ester can be hydrolyzed to produce a _____- glycol and regenerate the OsO4. © 2013 Pearson Education, Inc. Chapter 8 49
  • 50.
    Permanganate Dihydroxylation • A cold, dilute solution of KMnO4 also hydroxylates alkenes with ______________ stereochemistry. • The basic solution hydrolyzes the manganate ester, liberating the glycol and producing a brown precipitate of manganese dioxide__________ © 2013 Pearson Education, Inc. Chapter 8 50
  • 51.
    Oxidative Cleavage withKMnO4 • If the solution is warm or acidic or too concentrated, oxidative cleavage of the glycol may occur. • Disubstituted carbons become ketones. • Monosubstituted carbons become carboxylic acids. © 2013 Pearson Education, Inc. Chapter 8 51
  • 52.
    Ozonolysis • Ozone will oxidatively cleave the double bond to produce _____________________. • Ozonolysis is milder than KMnO4 and will not oxidize aldehydes further. • A second step of the ozonolysis is the reduction of the intermediate by zinc or dimethyl sulfide. © 2013 Pearson Education, Inc. Chapter 8 52
  • 53.
    Mechanism of Ozonolysis • The ozone adds to the double bond, forming a five-membered ring intermediate called ________________, which rearranges to form the ________________. © 2013 Pearson Education, Inc. Chapter 8 53
  • 54.
    Reduction of theOzonide • The ozonide is not isolated, but is immediately reduced by a mild reducing agent, such as zinc or dimethyl sulfide, to give the aldehydes and ketones as the main products. • When dimethyl sulfide is used, the sulfur atom gets oxidized, forming dimethyl sulfoxide (DMSO). © 2013 Pearson Education, Inc. Chapter 8 54
  • 55.
    Comparison of Permanganate Cleavage and Ozonolysis © 2013 Pearson Education, Inc. Chapter 8 55
  • 56.
    Osmium tetroxide, cold,dilute KMnO4, and epoxidation oxidize the pi bond of an alkene but leave the sigma bond intact. Ozone and warm, concentrated KMnO4 break the double bond entirely to give carbonyl compounds. © 2013 Pearson Education, Inc. Chapter 8 56
  • 57.
    Ozonolysis–reduction of anunknown alkene gives an equimolar mixture of cyclohexanecarbaldehyde and butan-2-one. Determine the structure of the original alkene. We can reconstruct the alkene by removing the two oxygen atoms of the carbonyl groups (C=O) and connecting the remaining carbon atoms with a double bond. One uncertainty remains, however: The original alkene might be either of two possible geometric isomers. © 2013 Pearson Education, Inc. Chapter 8 57
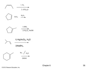
  • 58.
    Br2 H2O DMSO Chapter 8 58 © 2013 Pearson Education, Inc.
  • 59.
    + Br2 CH2Cl2 H2SO4 + H2O + HBr Chapter 8 59 © 2013 Pearson Education, Inc.
  • 60.
    Polymerization • An alkene (____________) can add to another molecule like itself to form a chain (______________). • Three methods:  Cationic, a carbocation intermediate.  Free radical.  Anionic, a carbanion intermediate (rare). © 2013 Pearson Education, Inc. Chapter 8 60
  • 61.
    Cationic Polymerization © 2013Pearson Education, Inc. Chapter 8 61
  • 62.
    Termination Step ofCationic Polymerization • The chain growth ends when a proton is abstracted by the weak base of the acid used to initiate the reaction. • The loss of a hydrogen forms an alkene and ends the chain growth, so this is a termination step. © 2013 Pearson Education, Inc. Chapter 8 62
  • 63.
    Cationic Polymerization Using BF3 as Catalyst © 2013 Pearson Education, Inc. Chapter 8 63
  • 64.
    Radical Polymerization • In the presence of an initiator such as peroxide, free-radical polymerization occurs. © 2013 Pearson Education, Inc. Chapter 8 64
  • 65.
    Anionic Polymerization For an alkene to gain electrons, strong electron-withdrawing groups such as nitro, cyano, or carbonyl must be attached to the carbons in the double bond. © 2013 Pearson Education, Inc. Chapter 8 65
  • 66.
    Chapter 8 66 © 2013 Pearson Education, Inc.

Editor's Notes

  • #15 Copyright © 2006 Pearson Prentice Hall, Inc.
  • #28 Copyright © 2006 Pearson Prentice Hall, Inc.
  • #32 Copyright © 2006 Pearson Prentice Hall, Inc.
  • #33 Copyright © 2006 Pearson Prentice Hall, Inc.
  • #58 Copyright © 2006 Pearson Prentice Hall, Inc.