Monroe L. Weber-Shirk
School of Civil and
Environmental Engineering
Filtration Theory
Field Trip To CUWTP
Monday at
2:20 pm at
loading dock
Public Health reports
 The decline happened over time and not rapidly as if it were associated with a
centralized intervention
 Chlorine was not responsible for the decline
 Filtration was not responsible for the decline
 The relatively high dose required for an infection would require gross
contamination of the water supply
 Therefore typhoid was generally not waterborne
 There is some evidence that typhoid was greater in the summer. This suggests
multiplication in the environment, most likely in food.
 Improved personal hygiene was likely the dominant factor
 Jakarta and Army evidence that the sources are local: (not centrally distributed like
milk, water, or meat, but food preparation with contaminated hands)
 Improved hygiene reduced contamination of food
 Refrigeration would have reduced the summertime typhoid by reducing
multiplication in food. Home refrigeration happened after the decline began, but
commercial refrigeration
Filtration Outline
 Particle Capture theory
Transport
Short range forces
Grain contact points
Dimensional Analysis
Trajectory Models
 Filters
Rapid
Slow (lots of detail here…)
References
 Tufenkji, N. and M. Elimelech (2004). "Correlation equation for
predicting single-collector efficiency in physicochemical filtration in
saturated porous media." Environmental-Science-and-Technology
38(2): 529-536.
 Cushing, R. S. and D. F. Lawler (1998). "Depth Filtration:
Fundamental Investigation through Three-Dimensional Trajectory
Analysis." Environmental Science and Technology 32(23): 3793 -
3801.
 Tobiason, J. E. and C. R. O'Melia (1988). "Physicochemical Aspects of
Particle Removal in Depth Filtration." Journal American Water Works
Association 80(12): 54-64.
 Yao, K.-M., M. T. Habibian, et al. (1971). "Water and Waste Water
Filtration: Concepts and Applications." Environmental Science and
Technology 5(11): 1105.
Overall Filter Performance
Iwasaki (1937) developed relationships
describing the performance of deep bed
filters.
0
=
dC
C
dz


C is the particle concentration [number/L3]
0 is the initial filter coefficient [1/L]
z is the media depth [L]
The particle’s chances of being caught are the same at all
depths in the filter; pC* is proportional to depth
0
=
dC
dz
C


0
0
0
=
C z
C
dC
dz
C


  0
0
ln =
C
z
C

 
  
 
  0
0
1
log *
ln 10
C
pC z
C

 
  
 
 
Particle Removal Mechanisms in
Filters
Transport to a surface
Attachment
Molecular diffusion
Inertia
Gravity
Interception
Straining
London van der Waals
collector
Filtration Performance: Dimensional
Analysis
What is the parameter we are interested in
measuring? _________________
How could we make performance
dimensionless? ____________
What are the important forces?
Effluent concentration
C/C0 or pC*
Inertia London van der Waals Electrostatic
Viscous
Need to create dimensionless force ratios!
Gravitational Thermal
Dimensionless Force Ratios
Reynolds Number
Froude Number
Weber Number
Mach Number
Pressure/Drag Coefficients
(dependent parameters that we measure experimentally)
Re
Vl
r
m
=
Fr
V
gl
=
( )
2
2
Cp
p
V
r
- D
=


l
V
W
2

c
V
M 
A
V
d
2
Drag
2
C


2
fu
V
l
m
=
fg g
r
=
2
f
l
s
s
=
2
f v
E
c
l
r
=
2
fi
V
l
r
=
( )
p g z
r
D + D
What is the Reynolds number for
filtration flow?
 What are the possible length scales?
 Void size (collector size) max of 0.7 mm in RSF
 Particle size
 Velocities
 V0 varies between 0.1 m/hr (SSF) and 10 m/hr (RSF)
 Take the largest length scale and highest velocity to find max
Re
 Thus viscosity is generally much more significant than inertia
 
3
3
1000 10 0.7 10
3600
Re 2
0.001
kg m hr
m
m hr s
kg
m s

  

  
  
 
 
 

 
Re
Vl



Choose viscosity!
In Fluid Mechanics inertia is a significant
“force” for most problems
In porous media filtration viscosity is more
important that inertia.
We will use viscosity as the repeating
parameter and get a different set of
dimensionless force ratios
Inertia
London
Viscous
Gravitational
Viscous
Thermal
Viscous
Electrostatic
Viscous
Gravity
2
g
0
( )
=
18
p w p
gd
V
 



2
g
( )
=
18
p w p
gd
v
 


vpore
g
0
=
g
v
V

Gravity only helps when
the streamline has a
_________ component.
horizontal
2
fu
V
l


fg g
r
=
g =
g
f
f

g
0
2
=
p
g
V
d




2
g
0
( )
= p w p
gd
V
 



velocities forces
Use this equation
Diffusion (Brownian Motion)
kB=1.38 x 10-23 J/°K
T = absolute temperature
vpore
2/3
2/3
-2/3 0
Br
0
=
3
c B
p c
V d k T
Pe
D d V d



 
 
   
   
   
3
B
p
k T
D
d


2
L
T
 
 
 
0 c
V d
Pe
D

d
c
D
v
d

dc is diameter of the collector
Diffusion velocity is
high when the particle
diameter is ________.
small
The exponent was obtained from an analytical model
London van der Waals
The London Group is a measure of the
attractive force
H is the Hamaker’s constant

Lo 2
p 0
4H
=
9 d V


20
= 0.75 10
H J


Van der Waals force
Viscous force
What about Electrostatic?
 Modelers have not succeeded in describing filter
performance when electrostatic repulsion is
significant
 Models tend to predict no particle removal if
electrostatic repulsion is significant.
 So until we get a better model we will neglect this
force with the understanding that filter
performance is poor if electrostatic repulsion is
significant
Geometric Parameters
What are the length scales that are related to
particle capture by a filter?
______________
__________________________
______________
Create dimensionless groups
Choose the repeating length ________
Filter depth (z)
Collector diameter (media size) (dc)
Particle diameter (dp)
p
R
c
d
d
  z
c
z
d
 
(dc)
Number of collectors!
Write the functional relationship
 
, ,
g Br Lo
* , ,
R z
pC f
     
 
, ,
g Br Lo
* ,
z R
pC f
     
If we double depth of filter what does pfz do? ___________
doubles
How do we get more detail on this functional relationship?
Empirical measurements
Numerical models
Numerical Models
Trajectory analysis (similar to the analysis
of flocculation)
A series of modeling attempts with
refinements
Began with a “single collector” model that
modeled London and electrostatic forces
with an attachment efficiency term (a)
 
, ,
g Br Lo
* ,
z R
pC f
       
 
g Br
*
ln 10
z
R
pC a


    
Addition
assumption
Array of Spheres Model (AOS)
Includes simplified geometry describing the
contact between collectors
Used trajectory analysis to determine which
particles would be captured
Used the numerical model results to
determine the form of the equation based on
dimensional analysis
AOS: The Media Trap
Isolated collectors Array of spheres model
Collector
Contacts
Contacts Matter!
Two Particle Traps
Particles that enter
centered above a
collector are trapped
in the stagnation
point.
Particles that enter on a
streamline that passes
through a contact point
between collectors get
trapped between two
collectors
This trajectory
analysis ignores
Brownian Motion
Collector
contact straining
 
 
0.012 0.023 1.8 0.38
* 0.029 0.48
ln 10
z
Lo R g R
pC 

     
Array of Spheres Model Results and
Critique
 
 
0.012 0.023 1.8 0.38
Br
* 0.029 0.48 13.6
ln 10
z
Lo R g R
pC 

       
Brownian wasn’t modeled
 The transport to the media surface by either the
fluid (interception, R), gravity (g), or diffusion
(Br) is followed by an attachment step controlled
by van der Waals (Lo)
 The transport and attachment steps occur in series
and thus removal should be described by the
product of these groups
 More work to be done!
13.6=4.04*As
1/3
AOS model deficiencies
 
 
0.012 0.023 1.8 0.38
Br
* 0.029 0.48 13.6
ln 10
z
Lo R g R
pC 

       
 
 
1.8 0.38
Br
* 0.029 0.48 13.6
ln 10
z
g R
pC 

     
=1!
This suggests a third transport mechanisms that is
constant and doesn’t require Brownian motion or
sedimentation! Could be interception, but interception
increases with particle size.
Given this error (and the likelihood that the numerical
model contained errors) the model results from the AOS
model should probably not be used!
Tufenkji and Elimelech with
Analysis by Weber-Shirk
vdW
H
=
N
kT
Pe
0 0
3
B
c p c
k T
D
N
V d d V d

 
 
   
   
   
2
G
0
( )
=
18
p p w
d g
N
V
 


p
R
c
d
N
d

0 D I G
   
  
1/3 0.081 0.715 0.052
2.4
D s R Pe vdW
A N N N
 

 
5
5 6
2 1
2 3 3 2
s
A

  


  
 
1/3
1
 
 
vdW
Pe 0
H
=
3
Lo
p c
N
N
N d V d


1/3 0.081 0.715 0.052 0.052
2.4
D s R Pe Pe Lo
A N N N N
  

1/3 2/3 0.081 0.052
2.4
D s Pe R Lo
A N N N
 

Lo 2
p 0
4H
=
9 d
N
V

Note that my NPe is the inverse of T&E
Interception
1.55 0.125 0.125
0.55
I S R Pe vdW
A N N N
 
1.55 0.125
0.55
I S R Lo
A N N
 
Pe vdW
0
A
=
3
Lo
p c
N N N
d V d


Gravity
0.24 1.11 0.053
0.22
G R G vdW
N N N
 

Pe vdW
0
H
=
3
Lo
p c
N N N
d V d


0.24 1.11 0.053 0.053
0.22
G R G Lo Pe
N N N N
  
 vdW
Pe
Lo
N
N
N

Total removal
0 D I G
   
  
1/3 2/3 0.081 0.052
2.4
D s Pe R Lo
A N N N
 

1.55 0.125
0.55
I S R Lo
A N N
 
0.24 1.11 0.053 0.053
0.22
G R G Lo Pe
N N N N
  

1/3 2/3 0.081 0.052 1.55 0.125 0.24 1.11 0.053 0.053
0 2.4 0.55 0.22
s Pe R Lo S R Lo R G Lo Pe
A N N N A N N N N N N
   
  
 
1/3 2/3 0.081 1.55 0.072 0.24 1.11 0.053 0.053
0 2.4 0.55 0.22
s Pe R S R Lo R G Pe Lo
A N N A N N N N N N
   
  
0
ln =
C
z
C

 
  
 
0
3 1
2 c
d

 a


 
1/3 2/3 0.081 1.55 0.072 0.24 1.11 0.053 0.053
0 2.4 0.55 0.22
s Pe R S R Lo R G Pe Lo
A N N A N N N N N N
   
  
 
*
0
1
log
ln 10
C
pC z
C

 
  
 
 
 
 
*
0
3 1
2ln 10 c
z
pC
d

a
  
  
   
 
3 1
2ln 10
z
c
z
N
d

  
  
 
*
0
z
pC N a

For particles less than 1 m
1/3 2/3 0.081 0.053
2.4
D s Pe R Lo
A N N N
 

0.01
0.1
1
0.01 0.1 1 10 100
particle diameter (m)

0
nD
nI
ng
ntotal
* 1/3 2/3 0.081 0.053
2.4 s Pe R Lo z
pC A N N N N a


Brownian Motion
 Brownian motion dominates the transport and collection of
particles on the order of 1 m and smaller
 Brownian transport (diffusion) leads to nondeterministic
behavior and results in trajectories defined by stochastic
differential equations
 The problem is traditionally decoupled using the
assumption that the Brownian and deterministic transport
mechanisms are additive
 Sedimentation is less important for small particles because
the R group is small and the Br group is large
 
 
0.012 0.023 1.8 0.38
Br
* 0.029 0.48 13.6
ln 10
z
Lo R g R
pC 

       
Filter Performance as function of
particle size
The exact location of the
minimum varies, but is
generally around 1 m.
For small particles diffusion
dominates and we have
  Br
* 13.6
ln 10
z
pC a

 
 
 
0.012 0.023 1.8 0.38
Br
* 0.029 0.48 13.6
ln 10
z
Lo R g R
pC 

       
attachment
Estimate Dimensionless Brownian
Transport for a Bacteria Cell
 viscosity 1.00E-03 Ns/m2
dp Particle diameter 1.00E-06 m
kB Boltzman constant 1.38E-23 J/°K
dc Collector diameter 0.2E-03 m
T Absolute temperature 293 °K
V0 Filter approach
velocity
0.1 m/hr
Advection is 40x greater than diffusion
2/3
Br
0
13.6 = 13.6
3
B
p c
k T
d V d

 
  
 
 
 
   
2/3
23
Br
3 6 3
2
1.38 10 293
13.6 = 13.6
N s
3 1 10 1 10 0.10 0.2 10
m 3600
J
K
K
m hr
m m
hr s


  
 
 
 
 
 

 
 


   
 
  
   
 
   
 
Br
13.6 = 0.025

The Diffusion Surprise
 As particle size
decreases Brownian
motion becomes more
effective
 Viruses should be
removed efficiently by
filters (if attachment is
effective)
2/3
Br
0
13.6 = 13.6
3
B
p c
k T
d V d

 
  
 
 
0.001
0.01
0.1
1
10
1.E-09 1.E-08 1.E-07 1.E-06 1.E-05
Particle diameter (m)
Br
13.6
How deep must a filter (SSF) be for
diffusion to remove 99% of bacteria?
 Assume a is 1 and dc
is 0.2 mm
 a is ____
 pfz is ____
 z is _____
 What does this mean?
3.7 cm
1
2
  Br
* 13.6
ln 10
z
pC a

 
 
Br
ln 10 *
13.6
z
c
pC
z
d a
  

 
Br
ln 10 *
13.6
c
pC d
z
a


   
  
3
ln 10 2 0.2 10
0.025 1
m
z



If the attachment efficiency
were 1, then we could get great
particle capture in a 1 m deep
filter!
Filtration Technologies
 Slow (Filters→English→Slow sand→Biosand)
First filters used for municipal water treatment
Were unable to treat the turbid waters of the Ohio and
Mississippi Rivers
 Rapid (Mechanical→American→Rapid sand)
Used in Conventional Water Treatment Facilities
Used after coagulation/flocculation/sedimentation
High flow rates→clog daily→hydraulic cleaning
 Ceramic
Rapid Sand Filter
(Conventional US Treatment)
Sand
Gravel
Influent
Drain
Effluent Wash water
Anthracite
Size
(mm)
0.70
0.45 - 0.55
5 - 60
Specific
Gravity
1.6
2.65
2.65
Depth
(cm)
30
45
45
Filter Design
 Filter media
silica sand and anthracite coal
non-uniform media will stratify with _______ particles
at the top
 Flow rates
2.5 - 10 m/hr
 Backwash rates
set to obtain a bed porosity of 0.65 to 0.70
typically 50 m/hr
smaller
Sand
Gravel
Influent
Drain
Effluent Wash water
Anthracite
Backwash
Wash water is
treated water!
WHY?
Only clean water
should ever be on
bottom of filter!
Slow Sand Filtration
First filters to be used on a widespread basis
Fine sand with an effective size of 0.2 mm
Low flow rates (10 - 40 cm/hr)
Schmutzdecke (_____ ____) forms on top
of the filter
causes high head loss
must be removed periodically
Used without coagulation/flocculation!
filter cake
Typical Performance of SSF Fed
Cayuga Lake Water
0.05
0.1
1
0 1 2 3 4 5
Time (days)
Fraction
of
influent
E.
coli
remaining
in
the
effluent
Filter performance doesn’t improve if the filter
only receives distilled water
(Daily samples)
How do Slow Sand Filters
Remove Particles?
 How do slow sand filters remove particles
including bacteria, Giardia cysts, and
Cryptosporidium oocysts from water?
 Why does filter performance improve with time?
 Why don’t SSF always remove Cryptosporidium
oocysts?
 Is it a biological or a physical/chemical
mechanism?
 Would it be possible to improve the performance
of slow sand filters if we understood the
mechanism?
Slow Sand Filtration Research
Apparatus
Sampling tube
Lower to collect sample
Manifold/valve block
Peristaltic
pumps
Manometer/surge tube
Cayuga Lake water
(99% or 99.5% of the
flow)
Auxiliary feeds
(each 0.5% of
the flow)
1 liter E.
coli feed
1 liter
sodiu
m
To waste
Filter cell with
18 cm of glass beads
Sampling Chamber
Biological and Physical/Chemical
Filter Ripening
0.05
Quiescent Cayuga Lake
water
0.1
1
0 2 4 6 8 10
Time (days)
Control
Sodium azide
(3 mM)
Continuously mixed
Cayuga Lake water
0.05
0.1
1
0 1 2 3 4 5
Time (days)
Fraction
of
influent
E.
coli
remaining
in
the
effluent
What would happen with a short pulse of poison?
Gradual growth of
_______ or ________
biofilm predator
Physical/chemical
Biological Poison
Fraction
of
influent
E.
coli
remaining
in
the
effluent
predator
predator
Biofilms?
Abiotic?
Conclusion? _________ is removing bacteria
0.08
0.1
1
0 1 2 3 4 5 6
Time—h
Control
Sodium azide pulse
Sodium chloride pulse
q
Chrysophyte
long flagellum used for
locomotion and to provide
feeding current
short flagellum
stalk used to attach to
substrate (not actually
seen in present study)
1 µm
Particle Removal by Size
0.001
0.01
0.1
1
0.8 1 10
Particle diameter (µm)
control
3 mM azide
Fraction
of
influent
particles
remaining
in
the
effluent
Effect of
the Chrysophyte
What is the physical-
chemical mechanism?
Recall quiescent
vs. mixed?
Role of Natural Particles in SSF
Could be removal by straining
But SSF are removing particles 1 m in
diameter!
To remove such small particles by straining
the pores would have to be close to 1 m
and the head loss would be excessive
Removal must be by attachment to the
sticky particles!
Particle Capture Efficiency
Sand filters are inefficient capturers of
particles
Particles come into contact with filter media
surfaces many times, yet it is common for
filters to only remove 90% - 99% of the
particles.
Failure to capture more particles is due to
ineffective __________
Remember the diffusion surprise?
attachment
Techniques to Increase Particle
Attachment Efficiency
Make the particles stickier
The technique used in conventional water
treatment plants
Control coagulant dose and other coagulant aids
(cationic polymers)
Make the filter media stickier
Potato starch in rapid sand filters?
Biofilms in slow sand filters?
Mystery sticky agent present in surface waters
that is imported into slow sand filters?
Mystery Sticky Agent
Serendipity!
Head loss through a clogged filter decreases
if you add acid
Maybe the sticky agent is acid soluble
Maybe the sticky agent will become sticky
again if the acid is neutralized
Eureka!
Cayuga Lake Seston Extract
Concentrate particles from Cayuga Lake
Acidify with 1 N HCl
Centrifuge
Centrate contains polymer
Neutralize to form flocs
AMP Characterization
11%
13%
17%
56%
volatile solids
Al
Na
Fe
P
S
Si
Ca
other metals
other nonvolatile solids
How much AMP should be added to a filter?
Hypothesis:
The organic
fraction is
most
important
carbon
16%
Organic Carbon Accumulation in
Filters Fed Cayuga Lake Water
0.0000001
0.000001
0.00001
0.0001
0.001
0.0001 0.0010 0.0100 0.1000 1.0000
x (m)
G
(gcarbon/gglass
beads)
day 1
day 3
day 7
day 70
Filters fed Cayuga Lake Water
Organic Carbon Accumulation
Rate
 Approximately 100 ppb (g/L) of carbon from
Cayuga Lake water is removed in SSF
 230 mg TOC /m2/day accumulated in filters fed
Cayuga Lake Water
 100 mg to 2,500 mg AMP as TOC /m2/day fed to
filters (CAMP*V0)
 Calculate application rate of AMP when fed
Cayuga Lake water
Total organic carbon
0 3 2
100 1000 10 1 24
240
100 1000
TOC
AMP
mg AMP
g L cm m hr mg
C V
L m hr cm day g m day


      

Attachment Mediating Polymer
0
1
2
3
4
5
6
7
0 2 4 6 8 10
time (days)
pC*
control
100
500
2500
end azide
Horizontalbars
indicate whenAMP
feed was operational
for eachfilter.
2
mgTOC
m day

0
1
2
3
4
5
6
7
0 2 4 6 8 10
time (days)
pC*
control
100
500
2500
end azide
Horizontalbars
indicate whenAMP
feed was operational
for eachfilter.
2
mgTOC
m day

E. coli Removal as a Function of
Time and AMP Application Rate
pC* is proportional to accumulated mass of polymer in filter
Head Loss Produced by AMP
0
0.2
0.4
0.6
0.8
1
1.2
0 2 4 6 8 10
time (days)
head
loss
(m)
control
100
500
2500
end azide
2
carbon
mg
m day

How much AMP does it take to get 1 m of head loss?
2 2
500
6 3
carbon carbon
mg g
days
m day m
 

What do we know about this
Polymer?
Soluble at very low (<1) and at very high
(>13) pH
Forms flocs readily at neutral pH
Contains protein (amino acids)
In acid solution amino acids are protonated and
exist as cations
In basic solution amino acids are deprotonated
and exist as anions
Could be irrelevant!
Dipolar Structure of Amino Acids
H—N —CH—C—O—H
H
R O
..
In acid solution In base solution
H—N —CH—C—O
H
R O
..
H—N —CH—C—O—H
H
R O
H
+
Carboxyl group
Amino group
cation anion
Sticky Media vs. Sticky Particles
 Sticky Media
Potentially treat filter
media at the beginning
of each filter run
No need to add
coagulants to water for
low turbidity waters
Filter will capture
particles much more
efficiently
 Sticky Particles
Easier to add coagulant
to water than to coat
the filter media
Current and Future Research
 Produce the polymer in the lab with an algae culture
 Develop methods to quantify the polymer
 Develop application techniques to optimize filter
performance
 How can we coat all of the media?
 Will the media remain sticky through a backwash?
 Will it be possible to remove particles from the media with a
normal backwash?
 What are the best ways to use this new coagulant?
 Why does the filter performance deteriorate when the AMP
feed is discontinued?
 Characterize the polymer
Conclusions
Filters could remove particles more
efficiently if the _________ efficiency
increased
SSF remove particles by two mechanisms
____________
_____________________________
pC* is proportional to accumulated mass of
AMP in the filter
Predation
Sticky polymer that coats the sand
attachment
 
, ,
g Br Lo
* ,
z R
pC f
      a
Contact Points
Polymer Accumulation in a Pore

06 Filtration.ppt

  • 1.
    Monroe L. Weber-Shirk Schoolof Civil and Environmental Engineering Filtration Theory
  • 2.
    Field Trip ToCUWTP Monday at 2:20 pm at loading dock
  • 3.
    Public Health reports The decline happened over time and not rapidly as if it were associated with a centralized intervention  Chlorine was not responsible for the decline  Filtration was not responsible for the decline  The relatively high dose required for an infection would require gross contamination of the water supply  Therefore typhoid was generally not waterborne  There is some evidence that typhoid was greater in the summer. This suggests multiplication in the environment, most likely in food.  Improved personal hygiene was likely the dominant factor  Jakarta and Army evidence that the sources are local: (not centrally distributed like milk, water, or meat, but food preparation with contaminated hands)  Improved hygiene reduced contamination of food  Refrigeration would have reduced the summertime typhoid by reducing multiplication in food. Home refrigeration happened after the decline began, but commercial refrigeration
  • 4.
    Filtration Outline  ParticleCapture theory Transport Short range forces Grain contact points Dimensional Analysis Trajectory Models  Filters Rapid Slow (lots of detail here…)
  • 5.
    References  Tufenkji, N.and M. Elimelech (2004). "Correlation equation for predicting single-collector efficiency in physicochemical filtration in saturated porous media." Environmental-Science-and-Technology 38(2): 529-536.  Cushing, R. S. and D. F. Lawler (1998). "Depth Filtration: Fundamental Investigation through Three-Dimensional Trajectory Analysis." Environmental Science and Technology 32(23): 3793 - 3801.  Tobiason, J. E. and C. R. O'Melia (1988). "Physicochemical Aspects of Particle Removal in Depth Filtration." Journal American Water Works Association 80(12): 54-64.  Yao, K.-M., M. T. Habibian, et al. (1971). "Water and Waste Water Filtration: Concepts and Applications." Environmental Science and Technology 5(11): 1105.
  • 6.
    Overall Filter Performance Iwasaki(1937) developed relationships describing the performance of deep bed filters. 0 = dC C dz   C is the particle concentration [number/L3] 0 is the initial filter coefficient [1/L] z is the media depth [L] The particle’s chances of being caught are the same at all depths in the filter; pC* is proportional to depth 0 = dC dz C   0 0 0 = C z C dC dz C     0 0 ln = C z C           0 0 1 log * ln 10 C pC z C          
  • 7.
    Particle Removal Mechanismsin Filters Transport to a surface Attachment Molecular diffusion Inertia Gravity Interception Straining London van der Waals collector
  • 8.
    Filtration Performance: Dimensional Analysis Whatis the parameter we are interested in measuring? _________________ How could we make performance dimensionless? ____________ What are the important forces? Effluent concentration C/C0 or pC* Inertia London van der Waals Electrostatic Viscous Need to create dimensionless force ratios! Gravitational Thermal
  • 9.
    Dimensionless Force Ratios ReynoldsNumber Froude Number Weber Number Mach Number Pressure/Drag Coefficients (dependent parameters that we measure experimentally) Re Vl r m = Fr V gl = ( ) 2 2 Cp p V r - D =   l V W 2  c V M  A V d 2 Drag 2 C   2 fu V l m = fg g r = 2 f l s s = 2 f v E c l r = 2 fi V l r = ( ) p g z r D + D
  • 10.
    What is theReynolds number for filtration flow?  What are the possible length scales?  Void size (collector size) max of 0.7 mm in RSF  Particle size  Velocities  V0 varies between 0.1 m/hr (SSF) and 10 m/hr (RSF)  Take the largest length scale and highest velocity to find max Re  Thus viscosity is generally much more significant than inertia   3 3 1000 10 0.7 10 3600 Re 2 0.001 kg m hr m m hr s kg m s                     Re Vl   
  • 11.
    Choose viscosity! In FluidMechanics inertia is a significant “force” for most problems In porous media filtration viscosity is more important that inertia. We will use viscosity as the repeating parameter and get a different set of dimensionless force ratios Inertia London Viscous Gravitational Viscous Thermal Viscous Electrostatic Viscous
  • 12.
    Gravity 2 g 0 ( ) = 18 p wp gd V      2 g ( ) = 18 p w p gd v     vpore g 0 = g v V  Gravity only helps when the streamline has a _________ component. horizontal 2 fu V l   fg g r = g = g f f  g 0 2 = p g V d     2 g 0 ( ) = p w p gd V      velocities forces Use this equation
  • 13.
    Diffusion (Brownian Motion) kB=1.38x 10-23 J/°K T = absolute temperature vpore 2/3 2/3 -2/3 0 Br 0 = 3 c B p c V d k T Pe D d V d                    3 B p k T D d   2 L T       0 c V d Pe D  d c D v d  dc is diameter of the collector Diffusion velocity is high when the particle diameter is ________. small The exponent was obtained from an analytical model
  • 14.
    London van derWaals The London Group is a measure of the attractive force H is the Hamaker’s constant  Lo 2 p 0 4H = 9 d V   20 = 0.75 10 H J   Van der Waals force Viscous force
  • 15.
    What about Electrostatic? Modelers have not succeeded in describing filter performance when electrostatic repulsion is significant  Models tend to predict no particle removal if electrostatic repulsion is significant.  So until we get a better model we will neglect this force with the understanding that filter performance is poor if electrostatic repulsion is significant
  • 16.
    Geometric Parameters What arethe length scales that are related to particle capture by a filter? ______________ __________________________ ______________ Create dimensionless groups Choose the repeating length ________ Filter depth (z) Collector diameter (media size) (dc) Particle diameter (dp) p R c d d   z c z d   (dc) Number of collectors!
  • 17.
    Write the functionalrelationship   , , g Br Lo * , , R z pC f         , , g Br Lo * , z R pC f       If we double depth of filter what does pfz do? ___________ doubles How do we get more detail on this functional relationship? Empirical measurements Numerical models
  • 18.
    Numerical Models Trajectory analysis(similar to the analysis of flocculation) A series of modeling attempts with refinements Began with a “single collector” model that modeled London and electrostatic forces with an attachment efficiency term (a)   , , g Br Lo * , z R pC f           g Br * ln 10 z R pC a        Addition assumption
  • 19.
    Array of SpheresModel (AOS) Includes simplified geometry describing the contact between collectors Used trajectory analysis to determine which particles would be captured Used the numerical model results to determine the form of the equation based on dimensional analysis
  • 20.
    AOS: The MediaTrap Isolated collectors Array of spheres model Collector Contacts
  • 21.
    Contacts Matter! Two ParticleTraps Particles that enter centered above a collector are trapped in the stagnation point. Particles that enter on a streamline that passes through a contact point between collectors get trapped between two collectors This trajectory analysis ignores Brownian Motion Collector contact straining     0.012 0.023 1.8 0.38 * 0.029 0.48 ln 10 z Lo R g R pC        
  • 22.
    Array of SpheresModel Results and Critique     0.012 0.023 1.8 0.38 Br * 0.029 0.48 13.6 ln 10 z Lo R g R pC           Brownian wasn’t modeled  The transport to the media surface by either the fluid (interception, R), gravity (g), or diffusion (Br) is followed by an attachment step controlled by van der Waals (Lo)  The transport and attachment steps occur in series and thus removal should be described by the product of these groups  More work to be done! 13.6=4.04*As 1/3
  • 23.
    AOS model deficiencies    0.012 0.023 1.8 0.38 Br * 0.029 0.48 13.6 ln 10 z Lo R g R pC               1.8 0.38 Br * 0.029 0.48 13.6 ln 10 z g R pC         =1! This suggests a third transport mechanisms that is constant and doesn’t require Brownian motion or sedimentation! Could be interception, but interception increases with particle size. Given this error (and the likelihood that the numerical model contained errors) the model results from the AOS model should probably not be used!
  • 24.
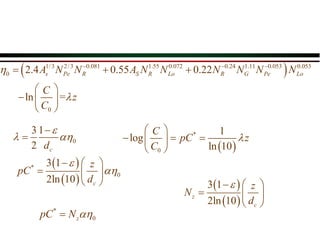
    Tufenkji and Elimelechwith Analysis by Weber-Shirk vdW H = N kT Pe 0 0 3 B c p c k T D N V d d V d                  2 G 0 ( ) = 18 p p w d g N V     p R c d N d  0 D I G        1/3 0.081 0.715 0.052 2.4 D s R Pe vdW A N N N      5 5 6 2 1 2 3 3 2 s A            1/3 1     vdW Pe 0 H = 3 Lo p c N N N d V d   1/3 0.081 0.715 0.052 0.052 2.4 D s R Pe Pe Lo A N N N N     1/3 2/3 0.081 0.052 2.4 D s Pe R Lo A N N N    Lo 2 p 0 4H = 9 d N V  Note that my NPe is the inverse of T&E
  • 25.
    Interception 1.55 0.125 0.125 0.55 IS R Pe vdW A N N N   1.55 0.125 0.55 I S R Lo A N N   Pe vdW 0 A = 3 Lo p c N N N d V d  
  • 26.
    Gravity 0.24 1.11 0.053 0.22 GR G vdW N N N    Pe vdW 0 H = 3 Lo p c N N N d V d   0.24 1.11 0.053 0.053 0.22 G R G Lo Pe N N N N     vdW Pe Lo N N N 
  • 27.
    Total removal 0 DI G        1/3 2/3 0.081 0.052 2.4 D s Pe R Lo A N N N    1.55 0.125 0.55 I S R Lo A N N   0.24 1.11 0.053 0.053 0.22 G R G Lo Pe N N N N     1/3 2/3 0.081 0.052 1.55 0.125 0.24 1.11 0.053 0.053 0 2.4 0.55 0.22 s Pe R Lo S R Lo R G Lo Pe A N N N A N N N N N N          1/3 2/3 0.081 1.55 0.072 0.24 1.11 0.053 0.053 0 2.4 0.55 0.22 s Pe R S R Lo R G Pe Lo A N N A N N N N N N       
  • 28.
    0 ln = C z C        0 3 1 2 c d   a     1/3 2/3 0.081 1.55 0.072 0.24 1.11 0.053 0.053 0 2.4 0.55 0.22 s Pe R S R Lo R G Pe Lo A N N A N N N N N N          * 0 1 log ln 10 C pC z C               * 0 3 1 2ln 10 c z pC d  a             3 1 2ln 10 z c z N d          * 0 z pC N a 
  • 29.
    For particles lessthan 1 m 1/3 2/3 0.081 0.053 2.4 D s Pe R Lo A N N N    0.01 0.1 1 0.01 0.1 1 10 100 particle diameter (m)  0 nD nI ng ntotal * 1/3 2/3 0.081 0.053 2.4 s Pe R Lo z pC A N N N N a  
  • 30.
    Brownian Motion  Brownianmotion dominates the transport and collection of particles on the order of 1 m and smaller  Brownian transport (diffusion) leads to nondeterministic behavior and results in trajectories defined by stochastic differential equations  The problem is traditionally decoupled using the assumption that the Brownian and deterministic transport mechanisms are additive  Sedimentation is less important for small particles because the R group is small and the Br group is large     0.012 0.023 1.8 0.38 Br * 0.029 0.48 13.6 ln 10 z Lo R g R pC          
  • 31.
    Filter Performance asfunction of particle size The exact location of the minimum varies, but is generally around 1 m. For small particles diffusion dominates and we have   Br * 13.6 ln 10 z pC a        0.012 0.023 1.8 0.38 Br * 0.029 0.48 13.6 ln 10 z Lo R g R pC           attachment
  • 32.
    Estimate Dimensionless Brownian Transportfor a Bacteria Cell  viscosity 1.00E-03 Ns/m2 dp Particle diameter 1.00E-06 m kB Boltzman constant 1.38E-23 J/°K dc Collector diameter 0.2E-03 m T Absolute temperature 293 °K V0 Filter approach velocity 0.1 m/hr Advection is 40x greater than diffusion 2/3 Br 0 13.6 = 13.6 3 B p c k T d V d                 2/3 23 Br 3 6 3 2 1.38 10 293 13.6 = 13.6 N s 3 1 10 1 10 0.10 0.2 10 m 3600 J K K m hr m m hr s                                            Br 13.6 = 0.025 
  • 33.
    The Diffusion Surprise As particle size decreases Brownian motion becomes more effective  Viruses should be removed efficiently by filters (if attachment is effective) 2/3 Br 0 13.6 = 13.6 3 B p c k T d V d           0.001 0.01 0.1 1 10 1.E-09 1.E-08 1.E-07 1.E-06 1.E-05 Particle diameter (m) Br 13.6
  • 34.
    How deep musta filter (SSF) be for diffusion to remove 99% of bacteria?  Assume a is 1 and dc is 0.2 mm  a is ____  pfz is ____  z is _____  What does this mean? 3.7 cm 1 2   Br * 13.6 ln 10 z pC a      Br ln 10 * 13.6 z c pC z d a       Br ln 10 * 13.6 c pC d z a          3 ln 10 2 0.2 10 0.025 1 m z    If the attachment efficiency were 1, then we could get great particle capture in a 1 m deep filter!
  • 35.
    Filtration Technologies  Slow(Filters→English→Slow sand→Biosand) First filters used for municipal water treatment Were unable to treat the turbid waters of the Ohio and Mississippi Rivers  Rapid (Mechanical→American→Rapid sand) Used in Conventional Water Treatment Facilities Used after coagulation/flocculation/sedimentation High flow rates→clog daily→hydraulic cleaning  Ceramic
  • 36.
    Rapid Sand Filter (ConventionalUS Treatment) Sand Gravel Influent Drain Effluent Wash water Anthracite Size (mm) 0.70 0.45 - 0.55 5 - 60 Specific Gravity 1.6 2.65 2.65 Depth (cm) 30 45 45
  • 37.
    Filter Design  Filtermedia silica sand and anthracite coal non-uniform media will stratify with _______ particles at the top  Flow rates 2.5 - 10 m/hr  Backwash rates set to obtain a bed porosity of 0.65 to 0.70 typically 50 m/hr smaller
  • 38.
    Sand Gravel Influent Drain Effluent Wash water Anthracite Backwash Washwater is treated water! WHY? Only clean water should ever be on bottom of filter!
  • 39.
    Slow Sand Filtration Firstfilters to be used on a widespread basis Fine sand with an effective size of 0.2 mm Low flow rates (10 - 40 cm/hr) Schmutzdecke (_____ ____) forms on top of the filter causes high head loss must be removed periodically Used without coagulation/flocculation! filter cake
  • 40.
    Typical Performance ofSSF Fed Cayuga Lake Water 0.05 0.1 1 0 1 2 3 4 5 Time (days) Fraction of influent E. coli remaining in the effluent Filter performance doesn’t improve if the filter only receives distilled water (Daily samples)
  • 41.
    How do SlowSand Filters Remove Particles?  How do slow sand filters remove particles including bacteria, Giardia cysts, and Cryptosporidium oocysts from water?  Why does filter performance improve with time?  Why don’t SSF always remove Cryptosporidium oocysts?  Is it a biological or a physical/chemical mechanism?  Would it be possible to improve the performance of slow sand filters if we understood the mechanism?
  • 42.
    Slow Sand FiltrationResearch Apparatus Sampling tube Lower to collect sample Manifold/valve block Peristaltic pumps Manometer/surge tube Cayuga Lake water (99% or 99.5% of the flow) Auxiliary feeds (each 0.5% of the flow) 1 liter E. coli feed 1 liter sodiu m To waste Filter cell with 18 cm of glass beads Sampling Chamber
  • 43.
    Biological and Physical/Chemical FilterRipening 0.05 Quiescent Cayuga Lake water 0.1 1 0 2 4 6 8 10 Time (days) Control Sodium azide (3 mM) Continuously mixed Cayuga Lake water 0.05 0.1 1 0 1 2 3 4 5 Time (days) Fraction of influent E. coli remaining in the effluent What would happen with a short pulse of poison? Gradual growth of _______ or ________ biofilm predator Physical/chemical
  • 44.
    Biological Poison Fraction of influent E. coli remaining in the effluent predator predator Biofilms? Abiotic? Conclusion? _________is removing bacteria 0.08 0.1 1 0 1 2 3 4 5 6 Time—h Control Sodium azide pulse Sodium chloride pulse q
  • 45.
    Chrysophyte long flagellum usedfor locomotion and to provide feeding current short flagellum stalk used to attach to substrate (not actually seen in present study) 1 µm
  • 46.
    Particle Removal bySize 0.001 0.01 0.1 1 0.8 1 10 Particle diameter (µm) control 3 mM azide Fraction of influent particles remaining in the effluent Effect of the Chrysophyte What is the physical- chemical mechanism? Recall quiescent vs. mixed?
  • 47.
    Role of NaturalParticles in SSF Could be removal by straining But SSF are removing particles 1 m in diameter! To remove such small particles by straining the pores would have to be close to 1 m and the head loss would be excessive Removal must be by attachment to the sticky particles!
  • 48.
    Particle Capture Efficiency Sandfilters are inefficient capturers of particles Particles come into contact with filter media surfaces many times, yet it is common for filters to only remove 90% - 99% of the particles. Failure to capture more particles is due to ineffective __________ Remember the diffusion surprise? attachment
  • 49.
    Techniques to IncreaseParticle Attachment Efficiency Make the particles stickier The technique used in conventional water treatment plants Control coagulant dose and other coagulant aids (cationic polymers) Make the filter media stickier Potato starch in rapid sand filters? Biofilms in slow sand filters? Mystery sticky agent present in surface waters that is imported into slow sand filters?
  • 50.
    Mystery Sticky Agent Serendipity! Headloss through a clogged filter decreases if you add acid Maybe the sticky agent is acid soluble Maybe the sticky agent will become sticky again if the acid is neutralized Eureka!
  • 51.
    Cayuga Lake SestonExtract Concentrate particles from Cayuga Lake Acidify with 1 N HCl Centrifuge Centrate contains polymer Neutralize to form flocs
  • 52.
    AMP Characterization 11% 13% 17% 56% volatile solids Al Na Fe P S Si Ca othermetals other nonvolatile solids How much AMP should be added to a filter? Hypothesis: The organic fraction is most important carbon 16%
  • 53.
    Organic Carbon Accumulationin Filters Fed Cayuga Lake Water 0.0000001 0.000001 0.00001 0.0001 0.001 0.0001 0.0010 0.0100 0.1000 1.0000 x (m) G (gcarbon/gglass beads) day 1 day 3 day 7 day 70 Filters fed Cayuga Lake Water
  • 54.
    Organic Carbon Accumulation Rate Approximately 100 ppb (g/L) of carbon from Cayuga Lake water is removed in SSF  230 mg TOC /m2/day accumulated in filters fed Cayuga Lake Water  100 mg to 2,500 mg AMP as TOC /m2/day fed to filters (CAMP*V0)  Calculate application rate of AMP when fed Cayuga Lake water Total organic carbon 0 3 2 100 1000 10 1 24 240 100 1000 TOC AMP mg AMP g L cm m hr mg C V L m hr cm day g m day           Attachment Mediating Polymer
  • 55.
    0 1 2 3 4 5 6 7 0 2 46 8 10 time (days) pC* control 100 500 2500 end azide Horizontalbars indicate whenAMP feed was operational for eachfilter. 2 mgTOC m day  0 1 2 3 4 5 6 7 0 2 4 6 8 10 time (days) pC* control 100 500 2500 end azide Horizontalbars indicate whenAMP feed was operational for eachfilter. 2 mgTOC m day  E. coli Removal as a Function of Time and AMP Application Rate pC* is proportional to accumulated mass of polymer in filter
  • 56.
    Head Loss Producedby AMP 0 0.2 0.4 0.6 0.8 1 1.2 0 2 4 6 8 10 time (days) head loss (m) control 100 500 2500 end azide 2 carbon mg m day  How much AMP does it take to get 1 m of head loss? 2 2 500 6 3 carbon carbon mg g days m day m   
  • 57.
    What do weknow about this Polymer? Soluble at very low (<1) and at very high (>13) pH Forms flocs readily at neutral pH Contains protein (amino acids) In acid solution amino acids are protonated and exist as cations In basic solution amino acids are deprotonated and exist as anions Could be irrelevant!
  • 58.
    Dipolar Structure ofAmino Acids H—N —CH—C—O—H H R O .. In acid solution In base solution H—N —CH—C—O H R O .. H—N —CH—C—O—H H R O H + Carboxyl group Amino group cation anion
  • 59.
    Sticky Media vs.Sticky Particles  Sticky Media Potentially treat filter media at the beginning of each filter run No need to add coagulants to water for low turbidity waters Filter will capture particles much more efficiently  Sticky Particles Easier to add coagulant to water than to coat the filter media
  • 60.
    Current and FutureResearch  Produce the polymer in the lab with an algae culture  Develop methods to quantify the polymer  Develop application techniques to optimize filter performance  How can we coat all of the media?  Will the media remain sticky through a backwash?  Will it be possible to remove particles from the media with a normal backwash?  What are the best ways to use this new coagulant?  Why does the filter performance deteriorate when the AMP feed is discontinued?  Characterize the polymer
  • 61.
    Conclusions Filters could removeparticles more efficiently if the _________ efficiency increased SSF remove particles by two mechanisms ____________ _____________________________ pC* is proportional to accumulated mass of AMP in the filter Predation Sticky polymer that coats the sand attachment   , , g Br Lo * , z R pC f       a
  • 62.
  • 63.