QUINOLINYL HETEROCYCLES AS ANTIMYCOBACTERIALAGENTS:
DESIGN DIVERSITY-ORIENTED SYNTHESIS, STRUCTURE ACTIVITY
RELATIONSHIPAND ACTIVE ANALOGUES OPTIMIZATION
Thesis Submitted
To
Department of Chemistry
Kakatiya University, Warangal
For the degree of
Doctor of Philosophy in Chemistry
By
Rachakonda Venkatesham, UGC-SRF,
Under the Supervision of
Dr. A. Manjula, Principal Scientist
Crop Protection Chemicals (Organic-II) Division
CSIR-I.I.C.T
Crop Protection Chemicals Division (Organic-II)
CSIR-Indian Institute of Chemical Technology
Hyderabad-500607, India
July-2014
Thesis
 Conclusions
 Acknowledgements
Chapter-I
Introduction of Mycobacterium tuberculosis, Quinoline and their
Biological importance
Tuberculosis (TB)
 Tuberculosis (TB) is the leading infectious disease in the world.
 It is caused by the bacillus Mycobacterium tuberculosis (MTB) and was discovered
by Robert Koch in 1882.
 Latent TB
 Drug sensitive Tuberculosis-curable with first line drugs (INH, PZA, EMB, RIF)
 MDR-TB-resistant to RIF and INH, treatment FQs & inject able drugs AMK,
KAN, CAP.
 XDR-TB resistant to at least one FQs and inject able drugs
 TDR-TB incurable form of TB
 HIV- Co-Infection
DOTS strategy
BCG-Vaccination
Figure 2: M. tuberculosis aerosol transmission and progression to infectious TB or
non-infectious (latent) disease
Figure 1: Available TB drugs
Figure 5: Pictorial representation of recently approved and under clinical trial TB active
compounds and their targets
 TMC-207 (Badaquiline) is a diaryl quinolinyl US-FDA approved TB drug.
 Trade name is Sirturo.
 Effectively inhibits the Mycobacterium smegmatis strain.
TMC-207 (Bedaquiline)
TB Bacteria
Figure 2: TMC-207 activity on TB bacteria
Figure 4: Classification of quinoline synthesis, based on starting material
Bedaquiline
Figure 2. Extrapolation of isoniazid and bedaquiline
Isoniazid
Figure 5: Synthetic strategy of TMC-207 based analougues
Chapter-I
Design, diversity-oriented synthesis and structure activity
relationship studies of quinolinyl heterocycles as
antimycobacterial, antimicrobial and anti-inflammatory agents
Scheme 3: Oxidative condensation for C4 unsubtituted quinoline synthesis
Scheme 8: Synthesis of 2-(2-methylquinolin-3-yl)-5-phenethyl-1,3,4-oxadiazole
Scheme 9: Synthesis of 2-bromo-1-(2-methylquinoln-3-yl)ethanone
Scheme 10
Scheme 11: Synthesis of 3-(dimethylamino)-1-(2-methylquinoline-3-yl)prop-2-one
Scheme 12
Scheme 15: Synthesis of 1-(2-methylquinolin-3-yl)-3-(2,4,6-trimethoxyphenyl)prop-2-en-1-one
Scheme 16: Synthesis of 1-(3-(2-methylquinolin-3-yl)-5-(2,4,6-trimethoxyphenyl)-
4,5-dihydro-1H-pyrazol-1-yl)ethanone
Compound Antimycobacterial activity
(against M. smegmatis strain)
Cytotoxicity activity
(against A549 cells)
a &b MIC(μg/mL) cStd. Dev. dIC50 (μM) Std. Dev
86 >100 - 96.373 20.335
89a 34.97 4.2 144.839 28.677
91 >100 - >200 -
92 >100 - 117.724 32.516
94 >100 - 94.198 18.000
95 14.66 1.25 137.510 4.534
102a 57.87 13.18 170.745 48.263
Rifampicin (Control) 2.08 0.04 ----- ------
Isoniazid (Control) 12.07 0.98 ---- ----
aMycobacterium smegmatis ATCC 14468 (MC2).
b Concentration of compounds inhibiting growth by 50%
c GI50 values are indicated as mean ± SD (standard deviation) of three independent experiments.
dIC50 (μM) against A549 cells
Table 1: Primary antimycobacterial and cytotoxicity screening of diverse quinolinyl
heterocycles
Figure 14: Graphical representation of activity results
Scheme 18: Synthesis of 2,5-disubstituted quinolinyl 1,3,4-oxadiazole (26) derivatives
Scheme 19: Synthesis of N-acyl quinolinyl pyrazoline (16) derivatives
Scheme 20: Synthesis of N-phenyl quinolinyl pyrazoline derivatives
Scheme 21: BDMS catalyzed synthesis of 3-(tetrahydro-2H-pyran-2-yl)pentane-2,4-dione
Scheme 22
Scheme 24: Synthesis of 1-(3-(2-methylquinolin-3-yl)-1H-pyrazol-1-yl)ethanone
52 compounds synthesized
40 compounds tested
Mycobacterium
Tuberculosis
Antimicrobial
Biological
Activities
Anti-
Inflammatory
Antimycobacterial activity Cytotoxicity activity Antimycobacterial activity Cytotoxicity activity
A Ba&b CC Dd Cc
A Ba&b CC Dd Cc
89b 35.93 9.62 164.512 13.317 102d >70 - 110.856 21.568
89c 35.04 14.92 174.567 22.078 102e 52.09 13.77 >200 -
89d >70 - 145.988 24.743 102f >70 - >200 -
89e >70 - 72.159 20.916 102h >70 - >200 -
89f 41.05 13.0 103.472 16.873 102i >70 - 93.330 14.414
89g 29.18 10.71 134.278 51.084 102j 50.70 1.59 >200 -
89h 61.88 15.23 113.023 2.596 102k 64.90 12.13 72.726 4.731
89i 43.29 10.0 …….. 0.657 102l >70 - >200 -
89j 22.71 4.0 138.767 17.112 102m >70 - 114.596 6.073
89k 47.53 9.03 93.314 11.475 102n >70 - 166.047 83.831
89l >70 - 91.132 4.406 106a >70 - 92.976 11.253
89m 16.83 5.93 111.013 4.083 106b >70 - >200 -
89n 39.73 10.61 99.364 15.649 106c 43.52 4.36 142.803 61.457
89o >70 - >200 - 109a 24.11 6.71 97.873 21.434
102b >70 - 110.429 21.661 109b >70 - 142.528 38.767
102c >70 - 115.977 15.083 112 17.34 4.21 87.025 8.86
X 2.15 0.57 ----- ----- X 2.15 0.57 ----- -----
Y 11.78 0.86 ----- ----- Y 11.78 0.86 ----- -----
A: Compunds, B: MIC (µg/mL), C: Std dev, D: IC50 (µm/mL), a Mycobacterium smegmatis ATCC 14468 (MC2).
b Concentration of compounds inhibiting growth by 90 %. c MIC values are indicated as mean ± SD (standard deviation), dIC50
(μg/mL) against A549 cells, X: Rifampicin, Y: Isoniazid
Table 2: Antimycobacterial activity of quinolinyl oxadiazoles pyrazolines and
pyrazoles
Figure 16: Graphical representation of antimycobacterial active compounds
Design and diversity oriented synthesis of novel quinoline containing heterocycles has been
achieved employing simple reaction protocols and common intermediates. Simultaneous screening for
antimycobacterial activity led to the identification of quinolinyl oxadiazole and pyrazole frameworks as
active molecules. The synthetic protocols have been successfully extended for generation of library of
uinolinyl oxadiazoles, pyrazolines and pyrazoles. In all, 40 compounds were tested for antimycobacterial
activity and lead identification gave of 20 active molecules and 3 (8, 12j and 12m) promising
compounds. Further, lowcytotoxic effects of these compounds against A549 cell line underline their
potential as antitubercular agents.
• Finding of this results have been published in Eur. J. Med. Chem. 70 (2013) 536-547
Venkatesham Rachakonda, Manjula Alla, Sudha Sravanti Kotapalli, Ramesh Ummanni
Gram negative bacterial strains Gram positive bacterial strains
Comp a b c d e f g h i j
89n -- -- -- -- 0.14 0.14 0.13 -- -- --
89r -- 0.14 -- 0.13 -- -- -- -- -- --
89s 0.14 -- -- 0.13 0.11 -- 0.11 0.14 -- --
89w 0.14 -- -- -- -- -- -- -- -- --
89y -- -- -- -- 0.15 -- 0.15 -- -- --
Std -- 0.18 0.22 -- -- 0.18 0.14 0.16 0.22 0.18
Std (Standard): Streptomycin (Concentration 10μg/mL)
a= Eschericha coli, b= Proteus vulgaris, c= Proteus mirabilis, d= Klebsiela
pneumoniae, e= Enterobacter aerogens, f= Bacillus subtilis, g= Bacillum
megaterium, h= Bacillus pumilis, i= Staphylococcus aureus, j= Streptococcus
pyogens and-- = Not active
Antibacterial activity (MIC 10µg/mL) of 2-(2-methylquinolin-3-yl)-5-substituted-1, 3, 4-oxadiazoles
Five of the seventeen
compounds tested showed
impressive MIC values
(10μg/mL). Compounds 89w,
89s showed effective inhibition
on E. coli at 10µg/mL
concentration. Compounds 82r,
82s and 89n, 89s, 89y showed
effective inhibition on Klebsiella
pneumoniae and Enterobacter
aerogenes, at 10µg/mL
concentration, respectively. At
this concentration (10μg/mL),
standard has not shown any
inhibition of these species.
Among all the tested
compounds, 89w, 89n, 89r, 89s,
89y effectively inhibited the
growth of resistant gram
negative bacteria compared to
gram positive bacteria at
10µg/mL concentration
Antifungal activity of 2-(2-methylquinolin-3-yl)-5-substituted-1, 3, 4-oxadiazoles
Zone of inhibition ( mm)
A B a b c d A B a b c d
89a
600 4.50 5.03 7.59 5.56
89o
600 NA 4.35 3.54 5.09
900 8.45 10.73 14.45 10.67 900 NA 8.45 6.23 10.45
89b
600 4.26 5.35 3.32 5.92
89q
600 5.56 4.32 7.65 6.32
900 7.72 10.85 6.54 11.23 900 11.05 8.25 14.34 12.35
89c
600 5.05 6.32 6.59 6.90
89r
600 6.25 4.05 3.50 3.45
900 10.23 13.16 14.12 13.06 900 12.24 8.25 6.45 6.56
89d
600 5.32 5.56 4.56 3.23
89s
600 4.56 6.32 8.56 4.45
900 10.82 11.32 8.89 6.67 900 8.23 12.34 16.24 9.05
89e
600 3.34 5.54 4.34 2.12
89v
600 4.12 5.03 5.23 4.05
900 6.21 10.21 8.21 4.34 900 8.45 10.34 10.56 8.10
89f
600 3.42 4.26 3.25 3.45
89w
600 5.65 4.45 3.32 5.56
900 6.75 8.59 6.50 7.14 900 10.25 9.08 6.67 10.54
89g
600 3.12 4.98 3.92 5.39
89I
600 2.13 5.32 6.87 5.23
900 6.23 9.43 7.42 11.12 900 4.32 10.64 12.21 10.54
89n
600 6.50 6.25 NA 5.35
……..
……… ……… ……… ……… ……….
900 12.23 12.87 NA 11.05 ……… ……… ……… ……… ………
X
600 5.35 10.80 7.56 9.34
X
600 5.35 10.80 7.56 9.34
900 12.01 20.03 14.76 18.26 900 12.01 20.03 14.76 18.26
a=Candida albicans, b=Fusarium oxysporium, c=Dreschleria halides, d=Colletotrichum falcatum; NA=No Activity; B: Itraconazole
(Standard)
An extra heterocycle substitution on oxadiazole enhances the antifungal activity. 3-[5-(4-
Methoxyphenyl)-[1,3,4]oxadiazol-2-yl]2-methylquinoline (89r) is the other compound which
inhibited fungal growth to significant extent.
Table 7: Anti-inflammatory activity of 2-(2-methylquinolin-3-yl)-5-substituted-1, 3, 4-oxadiazoles by
carrageenan-induced rat paw edema assay (acute inflammatory model)
Comp Dose
(mg/kg)
Percentage of Edema Inhibition
(%)
30 mins 1h 2h 3h
89b 100 28 35.2 51.6 51.7
89c 100 24 35.2 60 49.4
89d 100 16 26.4 28 24.1
89f 100 32 38.2 57.3 48.2
89g 100 16 35.2 45.3 24.1
89n 100 40 41.1 60 67.8
89o 100 36 44.1 54.6 58.6
89q 100 20 35.2 41.3 42.5
89r 100 12 17.6 40 42.5
89y 100 20 38.2 56 50.5
89I 100 36 50 50.6 57.4
Std
(Diclofenac)
10 40 41.1 52 68.9
The anti-inflammatory activity profile indicates that compounds with heterocyclic substitution at 5th
position of oxadiazole is again the best candidate among the tested molecules. Thiophene substitution
shows better anti-inflammatory activity than standard at 1 h, 2 hrs, 3 hrs time but activity falls at 4
hrs, while in case of pyrazole substitution activity falls from 3 hrs. 2-(2-Methylquinolin-3-yl)-5-(1-
phenylethyl)-1,3,4-oxadiazole (89b) is the only alkyl substitution that exhibits good activity.
Chapter-III
Quinolinyl Heterocycles as Antimycobacterial Agents: Towards
Structure Optimization of the Acive Analogues 2-Methyl-3-(1H-
pyrazol-5-yl)quinoline and 3-(5-(2-methylquinolin-3-yl)-1,3,4-
oxadiazol-2-yl)4H-chromen-4-one
In all, 40 compounds were tested for antimycobacteium activity and lead identification
gave of 20 active molecules and 2 (1, 2) promising compounds
Compound MIC(μg/mL)
2 14.66
Rifampicin (Control) 2.08
Isoniazid (Control) 12.07
Compound MIC(μg/mL)
1 16.83
Rifampicin(Control) 2.15
Isoniazid (Control) 11.78
Scheme 1: Synthesis of 2-methylquinoline-3-carbohydrazone (10) derivatives
Figure 6: Various positions for the synthesis of substituted 2-methyl-3-(1H-pyrazol-5-yl)quinoline
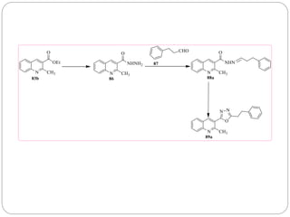
Scheme 4: Synthesis of 2-methyl-3-(1-(N-aryl/alkyl)-1H-pyrazol-3-yl)quinoline derivatives
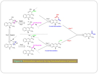
Figure 8: Retrosynthetic analysis for ring functionalization of pyrazole
Scheme 5: Reaction of active methylene group with triethyl orthoformate and DMF-DMA.
Reactive intermediate
Scheme 2: Synthesis of ethyl 3-(2-methylquinolin-3-yl)-3-oxopropanoate
Scheme 7: Synthesis of ethyl 3-(2-methylquinolin-3-yl)-1H-pyrazole-4-carboxylate
Scheme 8: Synthesis of 3-(2-methylquinolin-3-yl)-1H-pyrazol-5-ol (23)
Scheme 10: Synthesis of 2-methyl-3-(1-(prop-2-ynyl)-1H-pyrazol-3-yl)quinoline or
ethyl 3-(2-methylquinolin-3-yl)-1-(prop-2-ynyl)-1H-pyrazole-4-carboxylate
Figure 15: Molecular hybridization approach for structure optimization
Scheme 3. Synthesis of quinolinepyrazolyl 1,2,3-triazole hybridized moecules (21 molecules)
starting from common intermediates 13 and 14
Antimycobacteria
l activity
Cytotoxicity Antimycobacterial
activity
Cytotoxicity
A Ba&b Cc Dd Cc A Ba&b Cc Dd Cc
12a 28.8 0.032 >100 52b 33.76 0.01 36.6 17.52
12b >100 22.16 13.2 52c >100 12.35 0.26
12c 19.57 0.004 >100 52d >100 21.02 1.23
12d 17.26 0.003 >100 52e >100 >100
12e 21.62 0.050 >100 52f NA 23.65 8.13
12f >100 >100 52g >100 >100
12g 23.5 0.038 8.29 6.63 52h >100 15.49 8.71
12h >100 10.86 2.09 52i NA >100
12i 14.92 0.012 15.82 8.29 53a >100 20.44 9.75
12j >100 17.08 11.84 53b 33.27 0.012 16.04 0.75
12k >100 23.85 2.3 53c 25.17 0.013 >100
36 NA 10.52 6.49 53d 26.34 0.004 22.88 15.36
20a >100 24.29 22.97 53e 29.87 0.006 16.442 4.69
20b 20.64 0.06 11.14 5.84 53f >100 22.25 11.79
20c >100 15.19 2.93 53g >100 >100
20d NA >100 53h >100 >100
22 NA >100 54a NA 20.114 6.92
37 28.26 13.19 3.96 54b 40.5 >100
23 >100 15.26 5.92 54c >100 >100
52a NA >100 55 >100 16.85 9.22
X 12.07 ------- X 12.07 -------
Y 2.15 ------- Y 2.15 -------
Z ------- ------- 0.16 Z ------- -------
A: Compound, B: MIC (µg/mL), C: STD Dev; aMycobacterium smegmatis ATCC 14468 (MC2155).
b Minimum concentration of compounds inhibiting visible bacterial growth. c MIC values are indicated as mean ±SD (standard deviation) of
three independent. d IC50 (µg/mL) against A549 cells.
X: Isoniazid, Y: Rifampicin, Z: Doxorubicin
Antimycobacterial evaluation of optimized quinolinyl heterocycles
• The MIC values (µg/ml) of compounds 14a (28.8±0.032), 14c (19.57±0.004),
14d (17.26±0.003), 14e (21.62±0.05), 37b (33.76 ± 0.01), 38c (25.17±0.013)
and 39b (40.5) compared to their cytotoxicity in IC50 (>100) highlight that these
are promising scaffolds to design and develop
quinolinyl based antimycobacterial agents.
• 14i showed cytotoxicity with IC50 value 32.70±8.29 µM while its MIC was found
to be 14.92±0.012 (µg/ml).
• Thus, this compound may not be a good antitubercular agent.
• Interestingly quinolinyl hydrazones were shown good antimycobacterial activity
than the corresponding pyrazolyl1,2,3-triazoles.
• It was initiated to gone for antibacterial activity of quinolinyl hydrazone
In vitro antibacterial activity of quinolinyl hydrazones
MIC (10μg/mL)
Gram Negative bacterial strains Gram Positive bacterial strains
Comp a b c d e f g h i j
12a 0.14 -- -- 0.11 -- -- 0.11 -- -- --
12b -- -- -- -- 0.15 0.15 -- 0.12(
25)
-- --
12c 0.11 -- -- -- 0.14 0.14 0.12 - -- --
12d 0.14 -- -- 0.13 0.11 -- 0.11 014 -- --
12e -- -- -- -- 0.14 -- 0.13 -- -- --
12f -- -- -- -- 0.15 -- 0.15 -- -- --
Std --- 0.18 0.22 --- --- 0.18 0.14 0.16 0.22 0.18
Std (Standard): Streptomycin a= Eschericha coli, b= Proteus vulgaris, c= Proteus mirabilis,
d= Klebsiela pneumoniae, e= Enterrobacter aerogens, f= Bacillus subtilis, g= Bacillum
megaterium, h= Bacillus pumilis, i= Staphylo coccusaureus, j= Streptococcus pyogens and -
-- Not Active.
Six of the ten
compounds tested showed
impressive MIC values
compared to streptomycin
which was used as standard
(10μg/mL) on different strains.
Among all the tested
compounds, 12(a-f) effectively
inhibited the growth of drug
resistant gram negative bacteria
compared to gram positive
bacteria at 10µg/mL
concentration. Graphical
representation of antibacterial
activity of quinolinyl
hydrazones in MIC is shown
• Selective structure optimization of the hits was attempted on 3-(5-(2-methylquinolin-
3-yl)-1,3,4- oxadiazol-2-yl)-4H-chromen-4-one and 2-methyl-3-(1H-pyrazol-5-
yl)quinoline molecules by both forward and reverse synthetic approaches.
• Molecular hybridization of 2-methyl-3-(1H-pyrazol-5-yl)quinoline employing the
copper catalyzed Huisgen’s 1,3-dipolar cycloaddition (Click reaction) led to
introduction of 1,2,3-triazole ring.
• 40 compounds synthesized were evaluated for their antimycobacterial activity and
cytotoxicity against A549 cell line.
• All Among the 14 antitubercular active compounds, 3 have shown promising activity
coupled with low cytotoxicity profile.
• Quinolinyl hydrazones were also evaluated for anti bacterial activity which shown
good results
• Finding of this results have been Communicated to
Eur. J. Med. Chem. Venkatesham Rachakonda, Manjula Alla, Sudha Sravanti
Kotapalli, Ramesh Ummanni, Ramakrishna Munnaluri, Yamini Lingala, Vijjulatha
Manga.
Results
Chapter-IV
(Bromodimethylsulfonium)bromide Catalyzed Organic
Transformations Under Solvent Free Conditions
Figure 1: Catalytic and chemical nature of BDMS
Figure 5. BDMS catalyzed solvent free synthesis of imidazo[1,2-a]pyridines and quinoline
Section-A
(Bromodimethylsulfonium)bromide catalyzed solvent free one pot three
component synthesis of imidazo[1,2-a]pyridine
Hantzsch
synthesisBucherer-Bergs
reaction
isocyanide based
multicomponent
reactions
Figure 2: Pictorial representation of various multicomoponent reactions
Figure 3: Pictorial representation of isonitrile based MCRs
Figure 4: Pictorial representation of Strecker, Blackburn and Hulme
imidazo[1,2-a]pyridine synthesis.
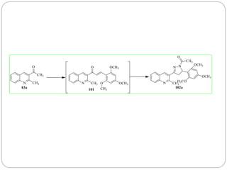
Scheme 11: BDMS catalyzed synthesis of N-benzylidene-2-phenylimidazo[1,2-a]pyridine derivatives
S.No Addition Sequence Catalyst Solvent Tempa Timeb Yieldc
1 1 9a (1eq) BDMS 7 MeOH r.t 8 41
2 1 9a (1eq) BDMS 7 …….. r.t 8 40
3 1 9a (2eq) BDMS 7 MeOH r.t 8 93
4 1 9a (2eq) BDMS 7 …….. r.t 8 91
5 Schiff’s base of 4-chlorobenzaldehyde, 2-amino
pyridine and catalyst then TMSCN (1:2:1)
…….. r.t 3 91
6 4-chlorobenzaldehyde (2eq), TMSCN and BDMS
stirred for 3 hrs then 2-aminopyridine.
…….. r.t 8 90
Tempa=reaction temparature;Timeb= reaction time in hrs; Yieldc= isolated yield in %.
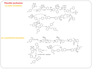
The above experiments indicate that, both imine and cyanohydrin formation are plausible pathways
for this reaction
Plausible mechanism
via imine formation
via cyanohydrin formation
Comp Product Time (hrs) Yield (%) Mp (OC) Comp Product Time (hrs) Yield (%) Mp (OC)
10a 10 91 170-174 10i 10 65 182-185
10b 11 70 145-148 10j 10 80 125-128
10c 11 60 93-95 10k 10.5 82 95-98
10d 10 79 184-190 10l
11
72 205-210
10e 10 60 88-90 10m 11 68 173-175
10f 11 70 105-108 1on 11 50 278-281
10g 11 50 200-205 10o 11 55 200- 203
10h 10.5 61 244-247
Scheme 12: Hydrolysis of N-(4-chlorobenzylidene)-2-(4-chlorophenyl)imidazo[1,2-a]pyridin-3-amine
Section-A
(Bromodimethylsulfonium)bromide catalyzed solvent free Friedlander synthesis of
Quinoline
Scheme 14: Friedländer synthesis of quinoline derivatives
S.No BDMSa Yield (%)b Timec
1 0 Traces 24 hrs
2 5 50 2 hrs
3 10 80 50 min
4 20 80 50 min
a; BDMS mol%, b; isolated yield; c; reaction time
Figure 7. Plausible mechanism of BDMS catalyzed quinoline synthesis
Compound Product Yield (%) M.p (OC) Compound Product Yield (%) M.p (OC)
14a 80 98-100 14l 62 Yellow Oil
14b 81 114-116 14m 83 Yellow Oil
14c 81 105-107 14n 84 178-180
14d 80 153-156 14o 92 130-132
14e 85 94-95 14p 72 217-220
14f 81 196-198 14q 93 144-148
14g 64 116-118 14r 81 315-318
14h 40 90-92 14s 88 136-138
14i 32 74-76 14t 80 154-157
14j 41 188-191 14u 60 Yellow Oil
14k 81 Yellow Oil
Total 129 compounds were synthesized. Design, diversity oriented synthesis of
bedaquiline related N-heterocycles were succesfully achieved and evaluated against
M.smegmatis strain for anti TB activity. Based on hits observed, lead generation, SAR and
structure optimization was carried out. In all 100 novel quinolinyl heterocycles, 80
compounds were tested for antimycobacterial activity 34 active and 6 promising
compounds were observed. Low cytotoxocity of the compounds highlighted their
efficiency. In addition to this, these compounds also having good antimicrobial as well as
anti-inflammatiry activities. Synthesis of imidazo[1,2-a]pyridine derivatives (16
compounds) were completely studied and a variety of cyclic, acyclic quinolinyl derivatives
(21 compounds) were achieved under solvent free conditions without involving tedious
purification techniques
Conclusions
Ihe End
But journey will
cotinue…………
Acknowledgemen
ts• Dr. A. Manjula, Principal Scientist, Supervisor, CPC Division
CSIR-IICT
• Dr. B. Vittal Rao, Retired Scientist, CPC Division CSIR-IICT
• Head CPC and DIICT
• Proff. V. Ravinder, Head, Dept of Chemistry, KU
• Proff. G. Dayakar, Chairmen, BOS, Dept of Chemistry, KU
• Proff Sadanandam, Dean Faculty of Science
• Teaching Staff Kakatiya University
• Proff. K. Rajareddy, KITS Warangal
• Proff. Komal Reddy, Dean Faculty of Science, Satavahana University, Karimnagar
• Proff. M. Thirumala Chary, Chairmen, BOS, JNTU Hyderabad
• Dr. Madhukar Reddy, KITS Warangal
• Dr. Ramesh Babu, KITS Warangal
• Dr. D. Prabhakara Chary, KITS Warangal
• Dr. Ranadeer Kumar, KITS Warangal
• S. Ramakrishna Reddy (Degree Lecturer)
Friends
& My Family
Thank
You
Ph.D. work

Ph.D. work

  • 1.
    QUINOLINYL HETEROCYCLES ASANTIMYCOBACTERIALAGENTS: DESIGN DIVERSITY-ORIENTED SYNTHESIS, STRUCTURE ACTIVITY RELATIONSHIPAND ACTIVE ANALOGUES OPTIMIZATION Thesis Submitted To Department of Chemistry Kakatiya University, Warangal For the degree of Doctor of Philosophy in Chemistry By Rachakonda Venkatesham, UGC-SRF, Under the Supervision of Dr. A. Manjula, Principal Scientist Crop Protection Chemicals (Organic-II) Division CSIR-I.I.C.T Crop Protection Chemicals Division (Organic-II) CSIR-Indian Institute of Chemical Technology Hyderabad-500607, India July-2014
  • 2.
  • 3.
    Chapter-I Introduction of Mycobacteriumtuberculosis, Quinoline and their Biological importance
  • 4.
    Tuberculosis (TB)  Tuberculosis(TB) is the leading infectious disease in the world.  It is caused by the bacillus Mycobacterium tuberculosis (MTB) and was discovered by Robert Koch in 1882.  Latent TB  Drug sensitive Tuberculosis-curable with first line drugs (INH, PZA, EMB, RIF)  MDR-TB-resistant to RIF and INH, treatment FQs & inject able drugs AMK, KAN, CAP.  XDR-TB resistant to at least one FQs and inject able drugs  TDR-TB incurable form of TB  HIV- Co-Infection DOTS strategy BCG-Vaccination
  • 5.
    Figure 2: M.tuberculosis aerosol transmission and progression to infectious TB or non-infectious (latent) disease
  • 6.
  • 7.
    Figure 5: Pictorialrepresentation of recently approved and under clinical trial TB active compounds and their targets
  • 8.
     TMC-207 (Badaquiline)is a diaryl quinolinyl US-FDA approved TB drug.  Trade name is Sirturo.  Effectively inhibits the Mycobacterium smegmatis strain. TMC-207 (Bedaquiline) TB Bacteria Figure 2: TMC-207 activity on TB bacteria
  • 9.
    Figure 4: Classificationof quinoline synthesis, based on starting material
  • 10.
  • 11.
    Figure 2. Extrapolationof isoniazid and bedaquiline Isoniazid
  • 13.
    Figure 5: Syntheticstrategy of TMC-207 based analougues
  • 15.
    Chapter-I Design, diversity-oriented synthesisand structure activity relationship studies of quinolinyl heterocycles as antimycobacterial, antimicrobial and anti-inflammatory agents
  • 18.
    Scheme 3: Oxidativecondensation for C4 unsubtituted quinoline synthesis
  • 21.
    Scheme 8: Synthesisof 2-(2-methylquinolin-3-yl)-5-phenethyl-1,3,4-oxadiazole
  • 22.
    Scheme 9: Synthesisof 2-bromo-1-(2-methylquinoln-3-yl)ethanone
  • 23.
  • 24.
    Scheme 11: Synthesisof 3-(dimethylamino)-1-(2-methylquinoline-3-yl)prop-2-one
  • 25.
  • 27.
    Scheme 15: Synthesisof 1-(2-methylquinolin-3-yl)-3-(2,4,6-trimethoxyphenyl)prop-2-en-1-one
  • 28.
    Scheme 16: Synthesisof 1-(3-(2-methylquinolin-3-yl)-5-(2,4,6-trimethoxyphenyl)- 4,5-dihydro-1H-pyrazol-1-yl)ethanone
  • 29.
    Compound Antimycobacterial activity (againstM. smegmatis strain) Cytotoxicity activity (against A549 cells) a &b MIC(μg/mL) cStd. Dev. dIC50 (μM) Std. Dev 86 >100 - 96.373 20.335 89a 34.97 4.2 144.839 28.677 91 >100 - >200 - 92 >100 - 117.724 32.516 94 >100 - 94.198 18.000 95 14.66 1.25 137.510 4.534 102a 57.87 13.18 170.745 48.263 Rifampicin (Control) 2.08 0.04 ----- ------ Isoniazid (Control) 12.07 0.98 ---- ---- aMycobacterium smegmatis ATCC 14468 (MC2). b Concentration of compounds inhibiting growth by 50% c GI50 values are indicated as mean ± SD (standard deviation) of three independent experiments. dIC50 (μM) against A549 cells Table 1: Primary antimycobacterial and cytotoxicity screening of diverse quinolinyl heterocycles
  • 30.
    Figure 14: Graphicalrepresentation of activity results
  • 31.
    Scheme 18: Synthesisof 2,5-disubstituted quinolinyl 1,3,4-oxadiazole (26) derivatives
  • 32.
    Scheme 19: Synthesisof N-acyl quinolinyl pyrazoline (16) derivatives
  • 33.
    Scheme 20: Synthesisof N-phenyl quinolinyl pyrazoline derivatives
  • 34.
    Scheme 21: BDMScatalyzed synthesis of 3-(tetrahydro-2H-pyran-2-yl)pentane-2,4-dione
  • 35.
  • 36.
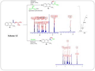
    Scheme 24: Synthesisof 1-(3-(2-methylquinolin-3-yl)-1H-pyrazol-1-yl)ethanone
  • 37.
  • 38.
  • 39.
    Antimycobacterial activity Cytotoxicityactivity Antimycobacterial activity Cytotoxicity activity A Ba&b CC Dd Cc A Ba&b CC Dd Cc 89b 35.93 9.62 164.512 13.317 102d >70 - 110.856 21.568 89c 35.04 14.92 174.567 22.078 102e 52.09 13.77 >200 - 89d >70 - 145.988 24.743 102f >70 - >200 - 89e >70 - 72.159 20.916 102h >70 - >200 - 89f 41.05 13.0 103.472 16.873 102i >70 - 93.330 14.414 89g 29.18 10.71 134.278 51.084 102j 50.70 1.59 >200 - 89h 61.88 15.23 113.023 2.596 102k 64.90 12.13 72.726 4.731 89i 43.29 10.0 …….. 0.657 102l >70 - >200 - 89j 22.71 4.0 138.767 17.112 102m >70 - 114.596 6.073 89k 47.53 9.03 93.314 11.475 102n >70 - 166.047 83.831 89l >70 - 91.132 4.406 106a >70 - 92.976 11.253 89m 16.83 5.93 111.013 4.083 106b >70 - >200 - 89n 39.73 10.61 99.364 15.649 106c 43.52 4.36 142.803 61.457 89o >70 - >200 - 109a 24.11 6.71 97.873 21.434 102b >70 - 110.429 21.661 109b >70 - 142.528 38.767 102c >70 - 115.977 15.083 112 17.34 4.21 87.025 8.86 X 2.15 0.57 ----- ----- X 2.15 0.57 ----- ----- Y 11.78 0.86 ----- ----- Y 11.78 0.86 ----- ----- A: Compunds, B: MIC (µg/mL), C: Std dev, D: IC50 (µm/mL), a Mycobacterium smegmatis ATCC 14468 (MC2). b Concentration of compounds inhibiting growth by 90 %. c MIC values are indicated as mean ± SD (standard deviation), dIC50 (μg/mL) against A549 cells, X: Rifampicin, Y: Isoniazid Table 2: Antimycobacterial activity of quinolinyl oxadiazoles pyrazolines and pyrazoles
  • 40.
    Figure 16: Graphicalrepresentation of antimycobacterial active compounds Design and diversity oriented synthesis of novel quinoline containing heterocycles has been achieved employing simple reaction protocols and common intermediates. Simultaneous screening for antimycobacterial activity led to the identification of quinolinyl oxadiazole and pyrazole frameworks as active molecules. The synthetic protocols have been successfully extended for generation of library of uinolinyl oxadiazoles, pyrazolines and pyrazoles. In all, 40 compounds were tested for antimycobacterial activity and lead identification gave of 20 active molecules and 3 (8, 12j and 12m) promising compounds. Further, lowcytotoxic effects of these compounds against A549 cell line underline their potential as antitubercular agents. • Finding of this results have been published in Eur. J. Med. Chem. 70 (2013) 536-547 Venkatesham Rachakonda, Manjula Alla, Sudha Sravanti Kotapalli, Ramesh Ummanni
  • 41.
    Gram negative bacterialstrains Gram positive bacterial strains Comp a b c d e f g h i j 89n -- -- -- -- 0.14 0.14 0.13 -- -- -- 89r -- 0.14 -- 0.13 -- -- -- -- -- -- 89s 0.14 -- -- 0.13 0.11 -- 0.11 0.14 -- -- 89w 0.14 -- -- -- -- -- -- -- -- -- 89y -- -- -- -- 0.15 -- 0.15 -- -- -- Std -- 0.18 0.22 -- -- 0.18 0.14 0.16 0.22 0.18 Std (Standard): Streptomycin (Concentration 10μg/mL) a= Eschericha coli, b= Proteus vulgaris, c= Proteus mirabilis, d= Klebsiela pneumoniae, e= Enterobacter aerogens, f= Bacillus subtilis, g= Bacillum megaterium, h= Bacillus pumilis, i= Staphylococcus aureus, j= Streptococcus pyogens and-- = Not active Antibacterial activity (MIC 10µg/mL) of 2-(2-methylquinolin-3-yl)-5-substituted-1, 3, 4-oxadiazoles Five of the seventeen compounds tested showed impressive MIC values (10μg/mL). Compounds 89w, 89s showed effective inhibition on E. coli at 10µg/mL concentration. Compounds 82r, 82s and 89n, 89s, 89y showed effective inhibition on Klebsiella pneumoniae and Enterobacter aerogenes, at 10µg/mL concentration, respectively. At this concentration (10μg/mL), standard has not shown any inhibition of these species. Among all the tested compounds, 89w, 89n, 89r, 89s, 89y effectively inhibited the growth of resistant gram negative bacteria compared to gram positive bacteria at 10µg/mL concentration
  • 42.
    Antifungal activity of2-(2-methylquinolin-3-yl)-5-substituted-1, 3, 4-oxadiazoles Zone of inhibition ( mm) A B a b c d A B a b c d 89a 600 4.50 5.03 7.59 5.56 89o 600 NA 4.35 3.54 5.09 900 8.45 10.73 14.45 10.67 900 NA 8.45 6.23 10.45 89b 600 4.26 5.35 3.32 5.92 89q 600 5.56 4.32 7.65 6.32 900 7.72 10.85 6.54 11.23 900 11.05 8.25 14.34 12.35 89c 600 5.05 6.32 6.59 6.90 89r 600 6.25 4.05 3.50 3.45 900 10.23 13.16 14.12 13.06 900 12.24 8.25 6.45 6.56 89d 600 5.32 5.56 4.56 3.23 89s 600 4.56 6.32 8.56 4.45 900 10.82 11.32 8.89 6.67 900 8.23 12.34 16.24 9.05 89e 600 3.34 5.54 4.34 2.12 89v 600 4.12 5.03 5.23 4.05 900 6.21 10.21 8.21 4.34 900 8.45 10.34 10.56 8.10 89f 600 3.42 4.26 3.25 3.45 89w 600 5.65 4.45 3.32 5.56 900 6.75 8.59 6.50 7.14 900 10.25 9.08 6.67 10.54 89g 600 3.12 4.98 3.92 5.39 89I 600 2.13 5.32 6.87 5.23 900 6.23 9.43 7.42 11.12 900 4.32 10.64 12.21 10.54 89n 600 6.50 6.25 NA 5.35 …….. ……… ……… ……… ……… ………. 900 12.23 12.87 NA 11.05 ……… ……… ……… ……… ……… X 600 5.35 10.80 7.56 9.34 X 600 5.35 10.80 7.56 9.34 900 12.01 20.03 14.76 18.26 900 12.01 20.03 14.76 18.26 a=Candida albicans, b=Fusarium oxysporium, c=Dreschleria halides, d=Colletotrichum falcatum; NA=No Activity; B: Itraconazole (Standard) An extra heterocycle substitution on oxadiazole enhances the antifungal activity. 3-[5-(4- Methoxyphenyl)-[1,3,4]oxadiazol-2-yl]2-methylquinoline (89r) is the other compound which inhibited fungal growth to significant extent.
  • 43.
    Table 7: Anti-inflammatoryactivity of 2-(2-methylquinolin-3-yl)-5-substituted-1, 3, 4-oxadiazoles by carrageenan-induced rat paw edema assay (acute inflammatory model) Comp Dose (mg/kg) Percentage of Edema Inhibition (%) 30 mins 1h 2h 3h 89b 100 28 35.2 51.6 51.7 89c 100 24 35.2 60 49.4 89d 100 16 26.4 28 24.1 89f 100 32 38.2 57.3 48.2 89g 100 16 35.2 45.3 24.1 89n 100 40 41.1 60 67.8 89o 100 36 44.1 54.6 58.6 89q 100 20 35.2 41.3 42.5 89r 100 12 17.6 40 42.5 89y 100 20 38.2 56 50.5 89I 100 36 50 50.6 57.4 Std (Diclofenac) 10 40 41.1 52 68.9 The anti-inflammatory activity profile indicates that compounds with heterocyclic substitution at 5th position of oxadiazole is again the best candidate among the tested molecules. Thiophene substitution shows better anti-inflammatory activity than standard at 1 h, 2 hrs, 3 hrs time but activity falls at 4 hrs, while in case of pyrazole substitution activity falls from 3 hrs. 2-(2-Methylquinolin-3-yl)-5-(1- phenylethyl)-1,3,4-oxadiazole (89b) is the only alkyl substitution that exhibits good activity.
  • 44.
    Chapter-III Quinolinyl Heterocycles asAntimycobacterial Agents: Towards Structure Optimization of the Acive Analogues 2-Methyl-3-(1H- pyrazol-5-yl)quinoline and 3-(5-(2-methylquinolin-3-yl)-1,3,4- oxadiazol-2-yl)4H-chromen-4-one
  • 45.
    In all, 40compounds were tested for antimycobacteium activity and lead identification gave of 20 active molecules and 2 (1, 2) promising compounds Compound MIC(μg/mL) 2 14.66 Rifampicin (Control) 2.08 Isoniazid (Control) 12.07 Compound MIC(μg/mL) 1 16.83 Rifampicin(Control) 2.15 Isoniazid (Control) 11.78
  • 47.
    Scheme 1: Synthesisof 2-methylquinoline-3-carbohydrazone (10) derivatives
  • 48.
    Figure 6: Variouspositions for the synthesis of substituted 2-methyl-3-(1H-pyrazol-5-yl)quinoline
  • 49.
    Scheme 4: Synthesisof 2-methyl-3-(1-(N-aryl/alkyl)-1H-pyrazol-3-yl)quinoline derivatives
  • 51.
    Figure 8: Retrosyntheticanalysis for ring functionalization of pyrazole
  • 52.
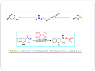
    Scheme 5: Reactionof active methylene group with triethyl orthoformate and DMF-DMA. Reactive intermediate
  • 53.
    Scheme 2: Synthesisof ethyl 3-(2-methylquinolin-3-yl)-3-oxopropanoate
  • 54.
    Scheme 7: Synthesisof ethyl 3-(2-methylquinolin-3-yl)-1H-pyrazole-4-carboxylate
  • 55.
    Scheme 8: Synthesisof 3-(2-methylquinolin-3-yl)-1H-pyrazol-5-ol (23)
  • 56.
    Scheme 10: Synthesisof 2-methyl-3-(1-(prop-2-ynyl)-1H-pyrazol-3-yl)quinoline or ethyl 3-(2-methylquinolin-3-yl)-1-(prop-2-ynyl)-1H-pyrazole-4-carboxylate
  • 57.
    Figure 15: Molecularhybridization approach for structure optimization
  • 58.
    Scheme 3. Synthesisof quinolinepyrazolyl 1,2,3-triazole hybridized moecules (21 molecules) starting from common intermediates 13 and 14
  • 63.
    Antimycobacteria l activity Cytotoxicity Antimycobacterial activity Cytotoxicity ABa&b Cc Dd Cc A Ba&b Cc Dd Cc 12a 28.8 0.032 >100 52b 33.76 0.01 36.6 17.52 12b >100 22.16 13.2 52c >100 12.35 0.26 12c 19.57 0.004 >100 52d >100 21.02 1.23 12d 17.26 0.003 >100 52e >100 >100 12e 21.62 0.050 >100 52f NA 23.65 8.13 12f >100 >100 52g >100 >100 12g 23.5 0.038 8.29 6.63 52h >100 15.49 8.71 12h >100 10.86 2.09 52i NA >100 12i 14.92 0.012 15.82 8.29 53a >100 20.44 9.75 12j >100 17.08 11.84 53b 33.27 0.012 16.04 0.75 12k >100 23.85 2.3 53c 25.17 0.013 >100 36 NA 10.52 6.49 53d 26.34 0.004 22.88 15.36 20a >100 24.29 22.97 53e 29.87 0.006 16.442 4.69 20b 20.64 0.06 11.14 5.84 53f >100 22.25 11.79 20c >100 15.19 2.93 53g >100 >100 20d NA >100 53h >100 >100 22 NA >100 54a NA 20.114 6.92 37 28.26 13.19 3.96 54b 40.5 >100 23 >100 15.26 5.92 54c >100 >100 52a NA >100 55 >100 16.85 9.22 X 12.07 ------- X 12.07 ------- Y 2.15 ------- Y 2.15 ------- Z ------- ------- 0.16 Z ------- ------- A: Compound, B: MIC (µg/mL), C: STD Dev; aMycobacterium smegmatis ATCC 14468 (MC2155). b Minimum concentration of compounds inhibiting visible bacterial growth. c MIC values are indicated as mean ±SD (standard deviation) of three independent. d IC50 (µg/mL) against A549 cells. X: Isoniazid, Y: Rifampicin, Z: Doxorubicin Antimycobacterial evaluation of optimized quinolinyl heterocycles
  • 64.
    • The MICvalues (µg/ml) of compounds 14a (28.8±0.032), 14c (19.57±0.004), 14d (17.26±0.003), 14e (21.62±0.05), 37b (33.76 ± 0.01), 38c (25.17±0.013) and 39b (40.5) compared to their cytotoxicity in IC50 (>100) highlight that these are promising scaffolds to design and develop quinolinyl based antimycobacterial agents. • 14i showed cytotoxicity with IC50 value 32.70±8.29 µM while its MIC was found to be 14.92±0.012 (µg/ml). • Thus, this compound may not be a good antitubercular agent. • Interestingly quinolinyl hydrazones were shown good antimycobacterial activity than the corresponding pyrazolyl1,2,3-triazoles. • It was initiated to gone for antibacterial activity of quinolinyl hydrazone
  • 65.
    In vitro antibacterialactivity of quinolinyl hydrazones MIC (10μg/mL) Gram Negative bacterial strains Gram Positive bacterial strains Comp a b c d e f g h i j 12a 0.14 -- -- 0.11 -- -- 0.11 -- -- -- 12b -- -- -- -- 0.15 0.15 -- 0.12( 25) -- -- 12c 0.11 -- -- -- 0.14 0.14 0.12 - -- -- 12d 0.14 -- -- 0.13 0.11 -- 0.11 014 -- -- 12e -- -- -- -- 0.14 -- 0.13 -- -- -- 12f -- -- -- -- 0.15 -- 0.15 -- -- -- Std --- 0.18 0.22 --- --- 0.18 0.14 0.16 0.22 0.18 Std (Standard): Streptomycin a= Eschericha coli, b= Proteus vulgaris, c= Proteus mirabilis, d= Klebsiela pneumoniae, e= Enterrobacter aerogens, f= Bacillus subtilis, g= Bacillum megaterium, h= Bacillus pumilis, i= Staphylo coccusaureus, j= Streptococcus pyogens and - -- Not Active. Six of the ten compounds tested showed impressive MIC values compared to streptomycin which was used as standard (10μg/mL) on different strains. Among all the tested compounds, 12(a-f) effectively inhibited the growth of drug resistant gram negative bacteria compared to gram positive bacteria at 10µg/mL concentration. Graphical representation of antibacterial activity of quinolinyl hydrazones in MIC is shown
  • 66.
    • Selective structureoptimization of the hits was attempted on 3-(5-(2-methylquinolin- 3-yl)-1,3,4- oxadiazol-2-yl)-4H-chromen-4-one and 2-methyl-3-(1H-pyrazol-5- yl)quinoline molecules by both forward and reverse synthetic approaches. • Molecular hybridization of 2-methyl-3-(1H-pyrazol-5-yl)quinoline employing the copper catalyzed Huisgen’s 1,3-dipolar cycloaddition (Click reaction) led to introduction of 1,2,3-triazole ring. • 40 compounds synthesized were evaluated for their antimycobacterial activity and cytotoxicity against A549 cell line. • All Among the 14 antitubercular active compounds, 3 have shown promising activity coupled with low cytotoxicity profile. • Quinolinyl hydrazones were also evaluated for anti bacterial activity which shown good results • Finding of this results have been Communicated to Eur. J. Med. Chem. Venkatesham Rachakonda, Manjula Alla, Sudha Sravanti Kotapalli, Ramesh Ummanni, Ramakrishna Munnaluri, Yamini Lingala, Vijjulatha Manga. Results
  • 67.
  • 68.
    Figure 1: Catalyticand chemical nature of BDMS
  • 69.
    Figure 5. BDMScatalyzed solvent free synthesis of imidazo[1,2-a]pyridines and quinoline
  • 71.
    Section-A (Bromodimethylsulfonium)bromide catalyzed solventfree one pot three component synthesis of imidazo[1,2-a]pyridine
  • 72.
    Hantzsch synthesisBucherer-Bergs reaction isocyanide based multicomponent reactions Figure 2:Pictorial representation of various multicomoponent reactions
  • 73.
    Figure 3: Pictorialrepresentation of isonitrile based MCRs
  • 74.
    Figure 4: Pictorialrepresentation of Strecker, Blackburn and Hulme imidazo[1,2-a]pyridine synthesis.
  • 75.
    Scheme 11: BDMScatalyzed synthesis of N-benzylidene-2-phenylimidazo[1,2-a]pyridine derivatives S.No Addition Sequence Catalyst Solvent Tempa Timeb Yieldc 1 1 9a (1eq) BDMS 7 MeOH r.t 8 41 2 1 9a (1eq) BDMS 7 …….. r.t 8 40 3 1 9a (2eq) BDMS 7 MeOH r.t 8 93 4 1 9a (2eq) BDMS 7 …….. r.t 8 91 5 Schiff’s base of 4-chlorobenzaldehyde, 2-amino pyridine and catalyst then TMSCN (1:2:1) …….. r.t 3 91 6 4-chlorobenzaldehyde (2eq), TMSCN and BDMS stirred for 3 hrs then 2-aminopyridine. …….. r.t 8 90 Tempa=reaction temparature;Timeb= reaction time in hrs; Yieldc= isolated yield in %. The above experiments indicate that, both imine and cyanohydrin formation are plausible pathways for this reaction
  • 77.
    Plausible mechanism via imineformation via cyanohydrin formation
  • 78.
    Comp Product Time(hrs) Yield (%) Mp (OC) Comp Product Time (hrs) Yield (%) Mp (OC) 10a 10 91 170-174 10i 10 65 182-185 10b 11 70 145-148 10j 10 80 125-128 10c 11 60 93-95 10k 10.5 82 95-98 10d 10 79 184-190 10l 11 72 205-210 10e 10 60 88-90 10m 11 68 173-175 10f 11 70 105-108 1on 11 50 278-281 10g 11 50 200-205 10o 11 55 200- 203 10h 10.5 61 244-247
  • 79.
    Scheme 12: Hydrolysisof N-(4-chlorobenzylidene)-2-(4-chlorophenyl)imidazo[1,2-a]pyridin-3-amine
  • 80.
    Section-A (Bromodimethylsulfonium)bromide catalyzed solventfree Friedlander synthesis of Quinoline
  • 81.
    Scheme 14: Friedländersynthesis of quinoline derivatives S.No BDMSa Yield (%)b Timec 1 0 Traces 24 hrs 2 5 50 2 hrs 3 10 80 50 min 4 20 80 50 min a; BDMS mol%, b; isolated yield; c; reaction time
  • 82.
    Figure 7. Plausiblemechanism of BDMS catalyzed quinoline synthesis
  • 83.
    Compound Product Yield(%) M.p (OC) Compound Product Yield (%) M.p (OC) 14a 80 98-100 14l 62 Yellow Oil 14b 81 114-116 14m 83 Yellow Oil 14c 81 105-107 14n 84 178-180 14d 80 153-156 14o 92 130-132 14e 85 94-95 14p 72 217-220 14f 81 196-198 14q 93 144-148 14g 64 116-118 14r 81 315-318 14h 40 90-92 14s 88 136-138 14i 32 74-76 14t 80 154-157 14j 41 188-191 14u 60 Yellow Oil 14k 81 Yellow Oil
  • 85.
    Total 129 compoundswere synthesized. Design, diversity oriented synthesis of bedaquiline related N-heterocycles were succesfully achieved and evaluated against M.smegmatis strain for anti TB activity. Based on hits observed, lead generation, SAR and structure optimization was carried out. In all 100 novel quinolinyl heterocycles, 80 compounds were tested for antimycobacterial activity 34 active and 6 promising compounds were observed. Low cytotoxocity of the compounds highlighted their efficiency. In addition to this, these compounds also having good antimicrobial as well as anti-inflammatiry activities. Synthesis of imidazo[1,2-a]pyridine derivatives (16 compounds) were completely studied and a variety of cyclic, acyclic quinolinyl derivatives (21 compounds) were achieved under solvent free conditions without involving tedious purification techniques Conclusions Ihe End But journey will cotinue…………
  • 86.
    Acknowledgemen ts• Dr. A.Manjula, Principal Scientist, Supervisor, CPC Division CSIR-IICT • Dr. B. Vittal Rao, Retired Scientist, CPC Division CSIR-IICT • Head CPC and DIICT • Proff. V. Ravinder, Head, Dept of Chemistry, KU • Proff. G. Dayakar, Chairmen, BOS, Dept of Chemistry, KU • Proff Sadanandam, Dean Faculty of Science • Teaching Staff Kakatiya University • Proff. K. Rajareddy, KITS Warangal • Proff. Komal Reddy, Dean Faculty of Science, Satavahana University, Karimnagar • Proff. M. Thirumala Chary, Chairmen, BOS, JNTU Hyderabad • Dr. Madhukar Reddy, KITS Warangal • Dr. Ramesh Babu, KITS Warangal • Dr. D. Prabhakara Chary, KITS Warangal • Dr. Ranadeer Kumar, KITS Warangal • S. Ramakrishna Reddy (Degree Lecturer) Friends & My Family
  • 87.