THE SECOND LAW OF THERMODYNAMICS                                             J2006/10/1




  UNIT 10

THE SECOND LAW OF THERMODYNAMICS



                                  OBJECTIVES




General Objective     : To define and explain the Second Law of Thermodynamics and
                        perform calculations involving the expansion and compression of
                        perfect gases.

Specific Objectives : At the end of the unit you will be able to:

                           sketch the processes on a temperature-entropy diagram
                           calculate the change of entropy, work and heat transfer of
                            perfect gases in reversible processes at:
                              i.      constant pressure process
                              ii.     constant volume process
                              iii.    constant temperature (or isothermal) process
                              iv.     adiabatic (or isentropic) process
                              v.      polytropic process
THE SECOND LAW OF THERMODYNAMICS                                                   J2006/10/2




                                       INPUT


10.0   The P-V and T-s diagram for a perfect gas

       Property diagrams serve as great visual aids in the thermodynamic analysis of
       processes. We have used P-V and T-s diagrams extensively in the previous unit
       showing steam as a working fluid. In the second law analysis, it is very helpful to
       plot the processes on diagrams which coordinate the entropy. The two diagrams
       commonly used in the second law analysis are the pressure-volume and
       temperature-entropy.

       Fig. 10.0-1 shows a series of constant temperature lines on a P-V diagram. The
       constant temperature lines, T3 > T2 > T1 are shown.




                                                              T3 > T2 > T1




                     P
                                      Constant temperature lines


         Figure 10.0-1 The constant temperature lines on a P-V diagram for a perfect gas

       Since entropy is a property of a system, it may be used as a coordinate, with
                                                       T3
       temperature as the other ordinate, in order to represent various cycles graphically. It
                                                       T2
       is useful to plot lines of constant pressure and constant volume on a T-s diagram for
                                                        T
       a perfect gas. Since changes of entropy are 1ofVmore direct application than the
       absolute value, the zero of entropy can be chosen at any arbitrary reference
       temperature and pressure.
THE SECOND LAW OF THERMODYNAMICS                                                   J2006/10/3


     Fig. 10.0-2 shows a series of constant pressure lines on a T-s diagram and Fig.10.0-3
     shows a series of constant volume lines on a T-s diagram. It can be seen that the
     lines of constant pressure slope more steeply than the lines of constant volume.

    T                                                                    v3
                                                   T                          v2
                                                                                   v1

                                      P3

                                      P2

                                       P1



                                            s                                           s

        Figure 10.0-2                                  Figure 10.0-3
        Constant pressure lines on a T-s diagram       Constant volume lines on a T-s diagram
     Note:
      Fig. 10.0-2, shows the constant pressure lines, P3 > P2 > P1;
      Fig. 10.0-3, shows the constant volume lines, v1 > v2 > v3.


     As pressure rises, temperature also rises but volume decreases; conversely as the
     pressure and temperature fall, the volume increases.
THE SECOND LAW OF THERMODYNAMICS                                                    J2006/10/4


10.1   Reversible processes on the T-s diagram for a perfect gas
       The various reversible processes dealt with in Units 4 and 5 will now be considered
       in relation to the T-s diagram. In the following sections of this unit, five reversible
       processes on the T-s diagram for perfect gases are analysed in detail. These
       processes include the:
       i.      constant pressure process,
       ii.     constant volume process,
       iii.    constant temperature (or isothermal) process,
       iv.     adiabatic (or isentropic) process, and
       v.      polytropic process.

       10.1.1 Reversible constant pressure process
              It can be seen from Fig. 10.1.1 that in a constant pressure process, the
              boundary must move against an external resistance as heat is supplied; for
              instance a fluid in a cylinder behind a piston can be made to undergo a
              constant pressure process.
                          T                                       v2

                                                                       P1= P2
                                       v1                   2



                                 1

                                               Q


                                                                                s
                                  s1                         s2
                         Figure 10.1.1      Constant pressure process on a T-s diagram
              During the reversible constant pressure process for a perfect gas, we have
              The work done as
                    W = P(V2 – V1)                   kJ                                 (10.1)
              or, since PV = mRT , we have
                      W = mR(T2 - T1)                kJ                                 (10.2)
              The heat flow is,
                     Q = mCp(T2 – T1)                kJ                                 (10.3)
              The change of entropy is, then
                                      T2 
                     S2 – S1 = mCp ln              kJ/K                               (10.4)
                                      T1 
THE SECOND LAW OF THERMODYNAMICS                                           J2006/10/5


          or, per kg of gas we have,
                                  T2 
                  s2 – s1 = Cp ln             kJ/kg K                        (10.5)
                                  T1 



          Example 10.1

            Nitrogen (molecular weight 28) expands reversibly in a cylinder behind a
            piston at a constant pressure of 1.05 bar. The temperature is initially at
            27oC. It then rises to 500oC; the initial volume is 0.04 m3. Assuming
            nitrogen to be a perfect gas and take Cp = 1.045 kJ/kg K, calculate the:
            a) mass of nitrogen
            b) work done by nitrogen
            c) heat flow to or from the cylinder walls during the expansion
            d) change of entropy

            Sketch the process on a T-s diagram and shade the area which represents
            the heat flow.




          Solution to Example 10.1
          The given quantities can be expressed as;
          T1 = 27 + 273 K = 300 K
          P1 = P2 = 1.05 bar (constant pressure process)
          V1 = 0.04 m3
          T2 = 500 + 273 = 773 K
          M = 28 kg/kmol
          Cp = 1.045 kJ/kg.K

          a)      From equation 3.10, we have
                               R    8.3144
                          R= o =            = 0.297 kJ/kg K
                               M       28

                 Then since PV = mRT , we have
                                 P1V1 1.05 x 10 2 x 0.04
                            m=       =                   = 0.0471 kg
                                 RT1    0.297 x 300
THE SECOND LAW OF THERMODYNAMICS                                                        J2006/10/6


          b)    the work done by nitrogen can be calculated by two methods. Hence,
                we have

                Method I:
                From equation 10.2, work done
                W = mR(T2 - T1)
                        = 0.0471 x 0.297 (773 - 300)
                        = 6.617 kJ
                Method II:
                                                              V1 V2
                For a perfect gas at constant pressure,         =
                                                              T1 T2
                                    T    
                                           = 0.04 
                                                     773 
                            V2 = V1  2
                                    T                  = 0.103 m
                                                                     3

                                     1            300 

                 From equation 10.1, work done
                       W = P (V2 − V1 )
                           = 1.05 x 10 2 (0.103 - 0.04)
                           = 6.615 kJ
          c)    From equation 10.3, heat flow
                       Q = mCp(T2 - T1)
                           = 0.0471 x 1.045 (773 - 300)
                           = 23.28 kJ
          d)    From equation 10.4, change of entropy
                                         T2 
                      s2 - s1 = mCp ln 
                                         T1 
                                                      773 
                              = 0.0471 x 1.045 ln         
                                                      300 
                              = 0.0466 kJ / K
          The T-s diagram below shows the constant pressure process. The shaded
          area represents the heat flow.
                       T                                            v2 = 0.103 m3

                                                                        P1 = P2 = 1.05 bar
               T2 = 773 K                                      2
                                      v1 = 0.04 m3

                                1
               T1 = 300 K
                                                 Q


                                                                              s
                                 s1                            s2
THE SECOND LAW OF THERMODYNAMICS                                              J2006/10/7




     10.1.2 Reversible constant volume process

           In a constant volume process, the working substance is contained in a rigid
           vessel (or closed tank) from which heat is either added or removed. It can be
           seen from Fig. 10.1.2 that in a constant volume process, the boundaries of the
           system are immovable and no work can be done on or by the system. It will
           be assumed that ‘constant volume’ implies zero work unless stated otherwise.


                   T                                     v1 = v2

                                                                   P2
                                                     2




                                                P1
                                 1
                                           Q

                                                                        s
                                  s1                  s2

           Figure 10.1.2    Constant volume process on a T-s diagram


           During the reversible constant volume process for a perfect gas, we have
           The work done, W = 0 since V2 = V1.

           The heat flow
                  Q = mCv(T2 – T1)         kJ                                     (10.6)


           The change of entropy is therefore
                                   T2 
                  S2 – S1 = mCv ln                 kJ/K                         (10.7)
                                   T1 

           or,    per kg of gas we have,
                                  T2 
                  s2 – s1 = Cv ln                  kJ/ kg K                     (10.8)
                                  T1 
THE SECOND LAW OF THERMODYNAMICS                                            J2006/10/8




          Example 10.2

            Air at 15oC and 1.05 bar occupies a volume of 0.02 m3. The air is heated at
            constant volume until the pressure is at 4.2 bar, and then it is cooled at
            constant pressure back to the original temperature. Assuming air to be a
            perfect gas, calculate the:
            a) mass of air
            b) net heat flow
            c) net entropy change
            Sketch the processes on a T-s diagram.

            Given:
            R = 0.287 kJ/kg K, Cv = 0.718 kJ/kg K and Cp = 1.005 kJ/kg K.



          Solution to Example 10.2
          The given quantities can be expressed as;
          T1 = 15 + 273 K = 288 K
          P1 = 1.05 bar
          Process 1 - 2 (constant volume process): V1 = V2 = 0.02 m3
          Process 2 - 3 (constant pressure process) : P2 = P3 = 1.05 bar
          T3 = T1 = 288 K

          a)     From equation 3.6, for a perfect gas,

                              P1V1 1.05 x 10 2 x 0.02
                         m=       =                   = 0.0254 kg
                              RT1     0.287 x 288

                                                         P1 P2
          b)     For a perfect gas at constant volume,     =   , hence
                                                         T1 T2
                                 P           4.2 
                         T2 = T1  2
                                 P     = 288
                                                     = 1152 K
                                  1          1.05 

                 From equation 10.6, at constant volume
                       Q12 = mCv(T2 – T1) = 0.0254 x 0.718 (1152 – 288) = 15.75 kJ

                 From equation 10.3, at constant pressure
                       Q23 = mCp(T3 – T2) = 0.0254 x 1.005 (288 – 1152) = -22.05 kJ
THE SECOND LAW OF THERMODYNAMICS                                                   J2006/10/9


                ∴ Net heat flow = Q12 + Q23 = (15.75) + ( -22.05) = -6.3 kJ
          c)    From equation 10.7, at constant volume
                                        T2 
                      S2 – S1 = mCv ln 
                                        T1 
                                                   1152 
                              = 0.0254 x 0.718 ln       
                                                   288 
                                  = 0.0253 kJ/K

                From equation 10.4, at constant pressure
                                         T3 
                        S3 – S2 = mCp ln 
                                        T 
                                         2
                                                      288 
                                  = 0.0254 x 1.005 ln      
                                                      1152 
                                  = −0.0354 kJ/K

                ∴ Net entropy change, (S3 – S1) = (S2 – S1) + (S3 – S2)
                                                = (0.0253) + (-0.0354)
                                                = - 0.0101 kJ/K
                i.e.  decrease in entropy of air is 0.0101 kJ/K.

                            T                                         v1 = v2 = 0.02 m3


                                                                          P2 = P3 = 4.2 bar
                                                                2
                   T2 = 1152 K
                                                                                   P1 = 1.05 bar
                                           v3



                                     3                    1
                T1 = T3 = 288 K




                                                                                          s
                                      s3                   s1    s2


                Note that since entropy is a property, the decrease of entropy in example
                10.2, given by (S3 – S1) = (S2 – S1) + (S3 – S2), is independent of the
                processes undergone between states 1 and 3. The change (S3-S1) can also
                be found by imagining a reversible isothermal process taking place between
                1 and 3. The isothermal process on the T-s diagram will be considered in
                the next input.
THE SECOND LAW OF THERMODYNAMICS                                              J2006/10/10


     10.1.3 Reversible constant temperature (or isothermal) process

           A reversible isothermal process for a perfect gas is shown on a T-s diagram
           in Fig. 10.1.3. The shaded area represents the heat supplied during the
           process,
           i.e.   Q = T(s2 - s1)                                                (10.9)


                         T             v1                   v2
                                                  P1                  P2



                                  1                    2
                    T1 = T2


                                            Q


                                                                      s
                                  s1                   s2

            Figure 10.1.3 Constant temperature (or isothermal) process on a T-s diagram

           For a perfect gas undergoing an isothermal process, it is possible to evaluate
           the entropy changes, i.e. (s2 – s1). From the non-flow equation, for a
           reversible process, we have
                   dQ = du + P dv

           Also for a perfect gas from Joule’s Law, du = Cv dT,
                  dQ = Cv dT + P dv

           For an isothermal process, dT = 0, hence
                   dQ = P dv

           Then, since Pv = RT, we have
                           dv
                   dQ = RT
                            v
THE SECOND LAW OF THERMODYNAMICS                                      J2006/10/11


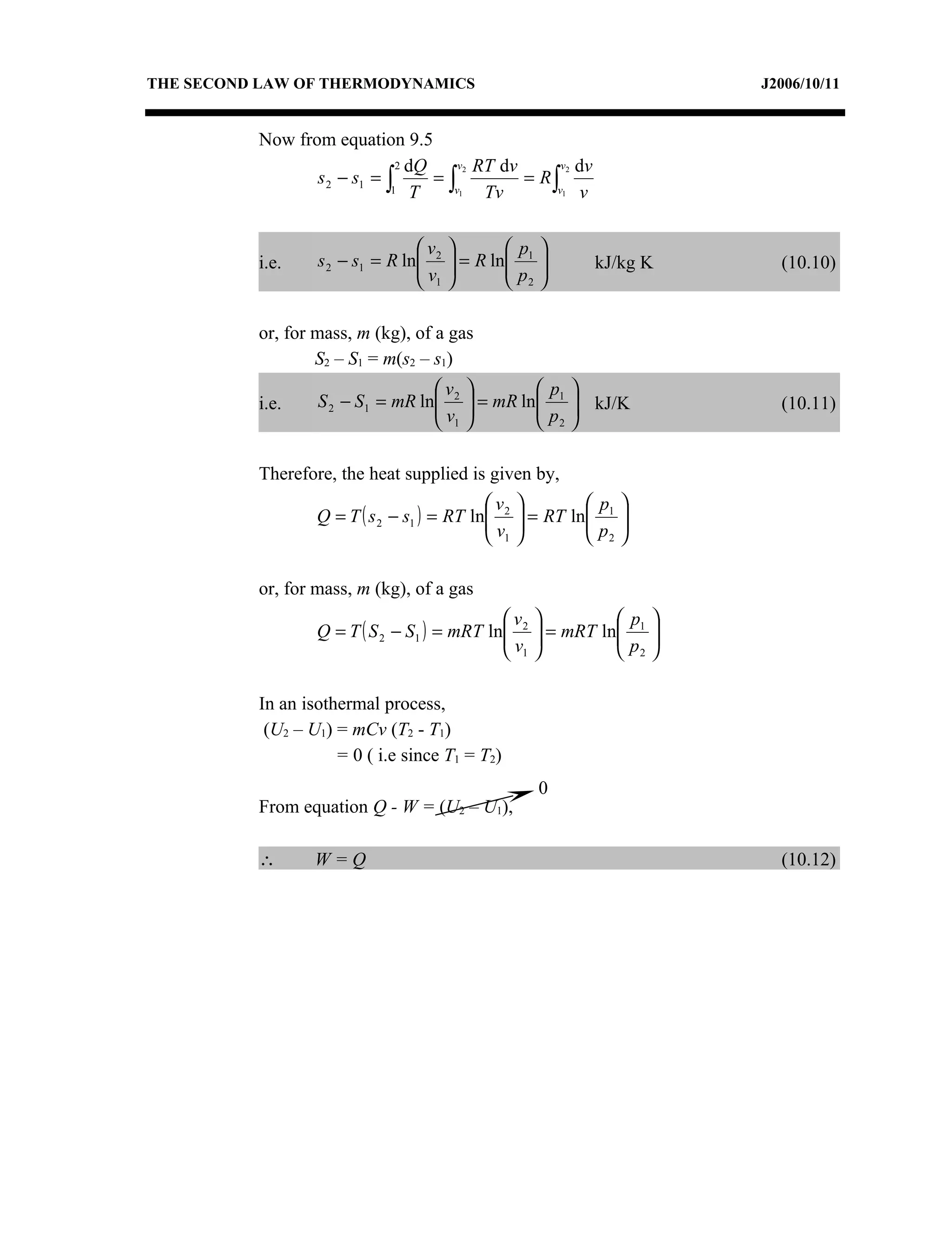
          Now from equation 9.5
                              2 dQ    v2 RT dv      v2 dv
                 s 2 − s1 = ∫      =∫          = R∫
                             1 T     v1   Tv       v1 v




                                 v           p 
          i.e.    s 2 − s1 = R ln 2
                                 v     = R ln 1 
                                              p          kJ/kg K     (10.10)
                                  1           2

          or, for mass, m (kg), of a gas
                  S2 – S1 = m(s2 – s1)
                                  v             p 
          i.e.    S 2 − S1 = mR ln 2
                                  v      = mR ln 1  kJ/K
                                                 p                   (10.11)
                                   1             2

          Therefore, the heat supplied is given by,
                                            v            p    
                  Q = T ( s 2 − s1 ) = RT ln 2
                                            v     = RT ln 1
                                                          p    
                                                                 
                                             1            2   

          or, for mass, m (kg), of a gas
                                             v              p 
                  Q = T ( S 2 − S1 ) = mRT ln 2
                                             v      = mRT ln 1 
                                                             p 
                                              1              2

          In an isothermal process,
           (U2 – U1) = mCv (T2 - T1)
                     = 0 ( i.e since T1 = T2)
                                                    0
          From equation Q - W = (U2 – U1),

          ∴       W=Q                                                   (10.12)
THE SECOND LAW OF THERMODYNAMICS                                               J2006/10/12


     Example 10.3

             0.85 m3 of carbon dioxide (molecular weight 44) contained in a cylinder
             behind a piston is initially at 1.05 bar and 17 oC. The gas is compressed
             isothermally and reversibly until the pressure is at 4.8 bar. Assuming
             carbon dioxide to act as a perfect gas, calculate the:
             e) mass of carbon dioxide
             f) change of entropy
             g) heat flow
             h) work done

             Sketch the process on a P-V and T-s diagram and shade the area which
             represents the heat flow.




     Solution to Example 10.3
     The given quantities can be expressed as;
     V1 = 0.85 m3
     M = 44 kg/kmol
     P1 = 1.05 bar
     Isothermal process: T1 = T2 = 17 + 273 K = 290 K
     P2 = 4.8 bar

     a)     From equation 3.10, we have
                       R     8.3144
                   R= o =           = 0.189 kJ/kgK
                       M       44

            Then, since PV = mRT, we have
                       PV 1.05 x 10 2 x 0.85
                    m=    =                  = 1.628 kg
                       RT   0.189 x 290

     b)     From equation 10.11, for m kg,
                                    p                      1.05 
                    S 2 − S1 = mR ln 1  = 1.628 x 0.189 ln
                                    p                             = −0.4676 kJ/K
                                     2                     4.8 
THE SECOND LAW OF THERMODYNAMICS                                              J2006/10/13


     c)   Heat rejected = shaded area on T-s diagram
                        = T (S2 – S1)
                        = 290 K(-0.4676 kJ/K)
                        = -135.6 kJ (-ve sign shows heat rejected from the system to
                          the surroundings)

     d)   For an isothermal process for a perfect gas, from equation 10.12
                  W=Q
                    = -135.6 kJ (-ve sign shows work is transferred into the system)



                          T
                                                  P2 = 4.8 bar
                                                                     P1 = 1.05 bar



                                 2                     1
             T1 = T2 = 290 K


                                           Q


                                                                      s
                                  s2                   s1
THE SECOND LAW OF THERMODYNAMICS                                             J2006/10/14




                      Activity 10A



     TEST YOUR UNDERSTANDING BEFORE YOU CONTINUE WITH THE
     NEXT INPUT…!

     10.1   0.1 m3 of air at 1 bar and temperature 15oC is heated reversibly at constant
            pressure to a temperature of 1100oC and volume 0.48 m3. During the process,
            calculate the:
            a)      mass of air
            b)      change of entropy
            c)      heat supplied
            d)      work done
            Show the process on a T-s diagram, indicating the area that represents the
            heat flow.
            Given, R = 0.287 kJ/kg K and Cp = 1.005 kJ/kg K.

     10.2   0.05 kg of nitrogen (M = 28) contained in a cylinder behind a piston is
            initially at 3.8 bar and 140 oC. The gas expands isothermally and reversibly
            to a pressure of 1.01 bar. Assuming nitrogen to act as a perfect gas,
            determine the:
            a)       change of entropy
            b)       heat flow
            c)       work done
            Show the process on a T-s diagram, indicating the area which represents the
            heat flow.
THE SECOND LAW OF THERMODYNAMICS                               J2006/10/15




                          Feedback To Activity 10A




     10.1   The given quantities can be expressed as;
            P1 = P2 = 1 bar (constant pressure process)
            T1 = 15 + 273 K = 288 K
            V1 = 0.1 m3
            T2 = (1100 + 273) = 1373K
            V2 = 0.48 m3
            R = 0.287 kJ/kg.K
            Cp = 1.005 kJ/kg.K

            a)     From equation PV =mRT, we have
                            P1V1 1 x 10 2 x 0.1
                       m=       =               = 0.121 kg
                            RT1 0.287 x 288

            b)     From equation 10.4, change of entropy
                                          T2 
                         s2 - s1 = mCp ln 
                                          T1 
                                                     1373 
                                 = 0.121 x 1.005 ln       
                                                     288 
                                 = 0.1899 kJ/K

            c)     From equation 10.3, heat flow
                          Q = mCp(T2 - T1)
                             = 0.121 x 1.005 (1373 - 288)
                             = 131.9 kJ
THE SECOND LAW OF THERMODYNAMICS                                                     J2006/10/16


          d)    The work done by air can be calculated by using two methods which
                give the same results.

                Method I:
                From equation 10.2, the work done
                      W = mR(T2 - T1)
                        = 0.121 x 0.287 (1373 - 288)
                        = 38 kJ

                Method II:
                From equation 10.1, the work done

                   W = P (V2 − V1 )

                       = 1.x 10 2 (0.48 - 0.1)

                       = 38 kJ

          The T-s diagram below shows the constant pressure process. The shaded
          area represents the heat flow.
                       T                                        v2 = 0.48 m3

                                                                    P1 = P2 = 1bar
               T2 = 1373 K                                 2
                                                   3
                                      v1 = 0.1 m

                               1
               T1 = 288 K
                                                       Q


                                                                          s
                                 s1                        s2
THE SECOND LAW OF THERMODYNAMICS                                                   J2006/10/17




     10.2   The given quantities can be expressed as;
            m = 0.05 kg
            M = 28 kg/kmol
            P1 = 3.8 bar
            Isothermal process: T1 = T2 = (140 + 273 K) = 413 K
            P2 = 1.01 bar

            a)       From equation 3.10, we have
                            R     8.3144
                        R= o =            = 0.297 kJ/kgK
                            M       28

                     From equation 10.11, for m kg of gas,
                                         p 
                         S 2 − S1 = mR ln 1 
                                         p 
                                          2

                                                     3.8 
                                   = 0.05 x 0.297 ln      
                                                     1.01 
                                   = 0.01968 kJ/K

            b)       Heat flow = shaded area on T-s diagram
                               = T (S2 – S1)
                               = 413 (0.01968)
                               = 8.1278 kJ

            c)       For an isothermal process for a perfect gas, from equation 10.12
                             W=Q
                               = 8.1278 kJ

                              T
                                                          P1 = 3.8 bar        P2 = 1.01 bar




                                        1                      2
                 T1 = T2 = 413 K


                                                    Q


                                                                          s
                                         s1                    s2
THE SECOND LAW OF THERMODYNAMICS                                                J2006/10/18




                                    INPUT

     10.1.4 Reversible adiabatic (or isentropic) process

            In the special case of a reversible process where no heat energy is transferred
            to or from the gas, the process will be a reversible adiabatic process. These
            special processes are also called isentropic process. During a reversible
            isentropic process, the entropy remains constant and the process will always
            appear as a vertical line on a T-s diagram.

            For a perfect gas, an isentropic process on a T-s diagram is shown in Fig.
            10.1.4. In Unit 4 it was shown that for a reversible adiabatic process for a
            perfect gas, the process follows the law pvγ = constant.

            Since a reversible adiabatic process occurs at constant entropy, and is known
            as an isentropic process, the index γ is known as the isentropic index of the
            gas.


                                                v1
                          T                               P1



                                            1
                          T1

                                                 v2
                                                           P2



                                            2
                          T2


                                           s1 = s2                      s




             Figure 10.1.4 Reversible adiabatic (or isentropic) process on a T-s diagram
THE SECOND LAW OF THERMODYNAMICS                                          J2006/10/19




          For an isentropic process,
                  Change of entropy, s2 - s1 = 0
                  Heat flow, Q = 0

          From the non-flow equation,
                 dQ - dW = dU
                      dW = -dU
                         = -mCv dT
                         = -mCv(T2 - T1)
          ∴            W = mCv(T1 -T2)                                       (10.13)

                              R
          or, since C v =        , we have
                            γ −1
                        mR (T1 − T2 )
                  W =                                                        (10.14)
                           γ −1

          or, since PV = mRT, we also have
                       P V − P2V2
                  W = 1 1                                                    (10.15)
                          γ −1

          Note that the equations 10.13, 10.14 and 10.15 can be used to find the work
          done depending on the properties of gases given. Each equation used gives
          the same result for a work done.

          Similarly, equation 10.16 can also be used to determine the temperature,
          pressure and volume of the perfect gases.
                              γ −1
                                              γ −1
                  T2  P2     γ      V 
                                                                             (10.16)
                    =              = 1
                  T1  P1            V2 
THE SECOND LAW OF THERMODYNAMICS                                             J2006/10/20




          Example 10.4

            In an air turbine unit, the air expands adiabatically and reversibly from 10
            bar, 450 oC and 1 m3 to a pressure of 2 bar. Air is assumed to act as a
            perfect gas. Given that Cv = 0.718 kJ/kg K, R = 0.287 kJ/kg K and γ = 1.4,
            calculate the:
            a)      mass of air
            b)      final temperature
            c)      work energy transferred
            Sketch the process on a T-s diagram.




          Solution to Example 10.4
          The given quantities can be expressed as;
          P1= 10 bar
          V1 = 1 m3
          T1 = (450 + 273) = 723K
          P2 = 2 bar
          Cv = 0.718 kJ/kg K
          R = 0.287 kJ/kg K
          γ = 1.4
          Isentropic process, s2 = s1

          a)     From equation PV = mRT, for a perfect gas
                             P1V1 10 x 10 2 x 1
                          m=     =              = 4.82 kg
                             RT1 0.287 x 723

          b)     The final temperature can be found using equation 10.16
                                           γ −1
                                   P      γ
                         T2 = T1 x  2 
                                   P 
                                    1
                                             1.4 −1
                                    2       1.4
                            = 723 x  
                                     10 
                            = 456.5 K
THE SECOND LAW OF THERMODYNAMICS                                             J2006/10/21




          c)    The work energy transferred can be found using equation 10.13
                      W = mCv(T1 -T2)
                         = 4.82 x 0.718 (723 – 456.5)
                         = 922 kJ



                Similarly, the equation 10.14 gives us the same result for the value of
                work energy transferred as shown below,
                             mR (T1 − T2 )
                       W =
                                 γ −1
                               4.82 x 0.287(723 − 456.5)
                           =
                                         1.4 − 1
                           = 922 kJ



                                              v 1 = 1 m3
                           T                               P1 = 10 bar



                                              1
                    T1 = 723 K

                                                   v2
                                                            P2 = 2 bar



                                             2
                  T2 = 456.5 K


                                             s1 = s2                     s
THE SECOND LAW OF THERMODYNAMICS                                                J2006/10/22




     10.1.5 Reversible polytropic process

           For a perfect gas, a polytropic process on a T-s diagram is shown in Fig.
           10.1.5. In Unit 5 it was shown that for a reversible polytropic process for a
           perfect gas, the process follows the law pvn = constant.

                        T
                                        v1                  v2
                                                  P1
                                                                           P2


                                   1                   A             B
                       T1




                                              2
                       T2



                                             s2        sA            sB             s
                                   s1


                     Figure 10.1.5 Reversible polytropic process on a T-s diagram

           For a reversible polytropic process,

           Work done by a perfect gas is,
                      P V − P2V2
                 W = 1 1                                                          (10.17)
                         n −1

           or, since PV = mRT, we have
                       mR( T1 − T2 )
                  W=                                                              (10.18)
                            n −1

           Change of internal energy is,
                 U2 -U1 = mCv(T2 -T1)                                             (10.19)

           The heat flow is,
                  Q = W + U2 -U1                                                  (10.20)
THE SECOND LAW OF THERMODYNAMICS                                                   J2006/10/23


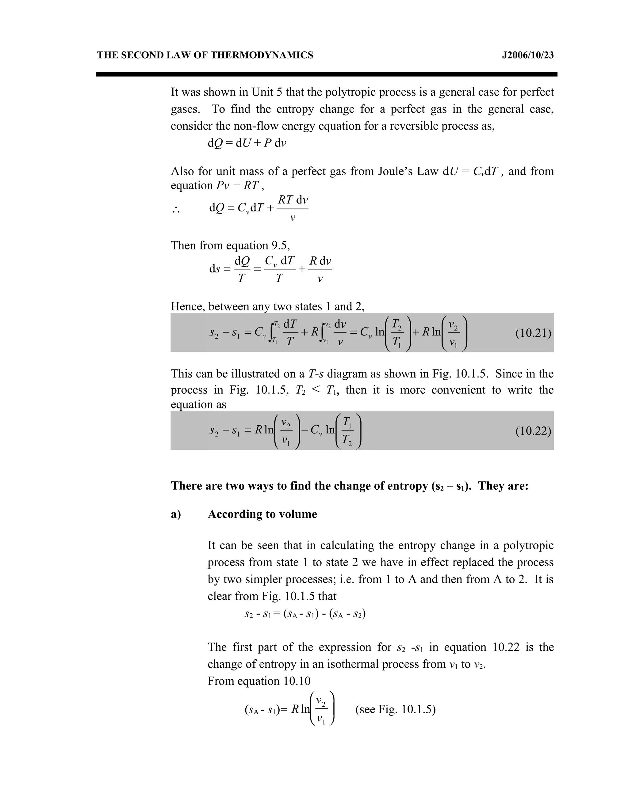
          It was shown in Unit 5 that the polytropic process is a general case for perfect
          gases. To find the entropy change for a perfect gas in the general case,
          consider the non-flow energy equation for a reversible process as,
                  dQ = dU + P dv

          Also for unit mass of a perfect gas from Joule’s Law dU = CvdT , and from
          equation Pv = RT ,
                               RT dv
          ∴      dQ = C v dT +
                                  v

          Then from equation 9.5,
                      dQ C v dT R dv
                 ds =    =        +
                       T      T     v

          Hence, between any two states 1 and 2,
                                  T2 dT      v2 dv         T           v    
                 s 2 − s1 = C v ∫       + R∫       = C v ln 2
                                                           T     + R ln 2
                                                                        v    
                                                                                    (10.21)
                                 T1 T       v1 v
                                                            1           1   

          This can be illustrated on a T-s diagram as shown in Fig. 10.1.5. Since in the
          process in Fig. 10.1.5, T2 < T1, then it is more convenient to write the
          equation as
                                v           T 
                 s 2 − s1 = R ln 2  − C v ln 1 
                                v           T                               (10.22)
                                 1           2


          There are two ways to find the change of entropy (s2 – s1). They are:

          a)      According to volume

                  It can be seen that in calculating the entropy change in a polytropic
                  process from state 1 to state 2 we have in effect replaced the process
                  by two simpler processes; i.e. from 1 to A and then from A to 2. It is
                  clear from Fig. 10.1.5 that
                          s2 - s1 = (sA - s1) - (sA - s2)

                  The first part of the expression for s2 -s1 in equation 10.22 is the
                  change of entropy in an isothermal process from v1 to v2.
                  From equation 10.10
                                         v2 
                         (sA - s1)= R ln      (see Fig. 10.1.5)
                                         v1 
THE SECOND LAW OF THERMODYNAMICS                                               J2006/10/24


                In addition, the second part of the expression for s2 -s1 in equation
                10.22 is the change of entropy in a constant volume process from T1
                to T2,
                i.e. referring to Fig. 10.1.5,
                                           T1 
                         (sA - s2) = Cv ln 
                                           T2 

                                        v2       T1 
                ∴        s2 - s1 = R ln  − Cv ln                 kJ/kg K     (10.23)
                                        v1       T2 

                or, for mass m, kg of gas we have
                                         v2              T    
                         S2 - S1 = mR ln
                                        v       − mC v ln 1
                                                          T    
                                                                    kJ/K        (10.24)
                                         1                2   




          b)    According to pressure

                According to pressure, it can be seen that in calculating the entropy
                change in a polytropic process from state 1 to state 2 we have in
                effect replaced the process by two simpler processes; i.e. from 1 to B
                and then from B to 2 as in Fig. 10.1.5. Hence, we have

                         s2 - s1 = (sB - s1) - (sB - s2)

                At constant temperature (i.e. T1) between P1 and P2, using equation
                10.10,
                                        p1 
                       (sB - s1) = R ln 
                                        p2 

                and at constant pressure (i.e. P2) between T1 and T2 we have
                                           T1 
                        (sB - s2) = C p ln 
                                           T2 

                Hence,
                                        p1        T1 
                         s2 - s1 = R ln  − C p ln                kJ/kg K     (10.25)
                                        p2        T2 
THE SECOND LAW OF THERMODYNAMICS                                                J2006/10/25


                or, for mass m, kg of gas we have
                                        p1         T1 
                        S2 - S1 = mR ln  − mC p ln 
                                       p          T         kJ/K               (10.26)
                                        2          2



                Similarly, the equation 10.27 can also be used to determine the
                temperature, pressure and volume of the perfect gases in polytropic
                process.

                                    n −1
                                                      n −1
                        T2  P2     n      V    
                                                                                   (10.27)
                          =              = 1   
                        T1  P1 
                            
                                            V
                                             2
                                                  
                                                  




              Note that, there are obviously a large number of possible equations for the
              change of entropy in a polytropic process, and it is stressed that no attempt
              should be made to memorize all such expressions. Each problem can be
              dealt with by sketching the T-s diagram and replacing the process by two other
              simpler reversible processes, as in Fig. 10.1.5.
THE SECOND LAW OF THERMODYNAMICS                                                  J2006/10/26



          Example 10.5

            0.03 kg of oxygen (M = 32) expands from 5 bar, 300 oC to the pressure of 2
            bar. The index of expansion is 1.12. Oxygen is assumed to act as a perfect
            gas. Given that Cv = 0.649 kJ/kg K, calculate the:
            i) change of entropy
            j) work energy transferred

            Sketch the process on a T-s diagram.



          Solution to Example 10.5
          The given quantities can be expressed as;
          m = 0.03 kg
          M = 32 kg/kmol
          P1= 5 bar
          T1 = (300 + 273) = 573K
          P2 = 2 bar
          Cv = 0.649 kJ/kg K = 649 J/kg K
          PV1.12 = C

          a)     From equation 3.10, we have

                              Ro 8314
                         R=     =     = 260 J/kg K
                              M   32

                 Then from equation R = Cp - Cv , we have

                         Cp = R + C v
                            = 260 + 649
                            = 909 J/kg K

                 From equation 10.27, we have
                                     n −1
                         T2  p2     n
                           = 
                         T1  p1 
                                          n −1               1.12−1
                                 P       n           2    1.12
                         T2 = T1  2            = 573              = 519.4 K
                                  P1                5
THE SECOND LAW OF THERMODYNAMICS                                                      J2006/10/27


                   ∴          From equation 10.26, the change of entropy (S2 - S1 ) is,
                              S2 - S1 = (SB - S1) - (SB - S2)
                                              p             T 
                                     = mRln 1  − mC p ln 1 
                                              p             T 
                                               2             2

                                                     5                   573 
                                    = 0.03 x 260 x ln  − 0.03 x 909 x ln       
                                                     2                   519.4 
                                    = (7.15) − (2.68)

                                    = 4.47 J/K

          b)       From equation 10.18, we have
                              mR( T1 − T2 ) 0.03 x 260 (573 − 519.5)
                         W=                =                         = 417.3 J
                                  n −1                n −1

                         T
                                                      P1 = 5 bar
                                                                                P2 = 2 bar


                                      1                                   B
                T1 = 573 K




                                                 2
               T2 = 519.4 K



                                                 s2                        sB             s
                                      s1




                       Activity 10B
THE SECOND LAW OF THERMODYNAMICS                                                J2006/10/28




     TEST YOUR UNDERSTANDING BEFORE YOU PROCEED TO THE SELF-
     ASSESSMENT…!

     10.3   0.225 kg of air at 8.3 bar and 538 oC expands adiabatically and reversibly to a
            temperature of 149 oC. Determine the
            a)      final pressure
            b)      final volume
            c)      work energy transferred during the process
            Show the process on a T-s diagram.
            For air, take Cp = 1.005 kJ/kg K and R = 0.287 kJ/kg K.

     10.4   1 kg of air at 1.01 bar and 27 oC, is compressed according to the law
            PV1.3 = constant, until the pressure is 5 bar. Given that Cp = 1.005 kJ/kg K
            and R = 0.287 kJ/kg K, calculate the final temperature and change of entropy
            and then sketch the process on a T-s diagram.
THE SECOND LAW OF THERMODYNAMICS                                                J2006/10/29




                          Feedback To Activity 10B




     10.3   The given quantities can be expressed as;
            m = 0.225 kg
            P1 = 8.3 bar
            T1 = 538 + 273 K = 811 K
            T2 = 149 + 273 K = 422 K
            Cp = 1.005 kJ/kg K
            R = 0.287 kJ/kg K
            Adiabatic / isentropic process : s2 = s1
            a)     From equation 3.16, we have
                         Cv = Cp – R = 1.005 – 0.287 = 0.718 kJ/kg K

                   Then, from equation 3.17, we have
                               C p 1.005
                           γ =    =       = 1.4
                               C v 0.718


                   For a reversible adiabatic process for a perfect gas, PVγ = constant.
                   From equation 10.16
                                        γ
                           P2  T2    γ −1
                             = 
                           P1  T1 
                               
                                              1.4
                                      422  1.4−1
                           P2 = (8.3)     
                                      811 
                              = 0.844 bar
THE SECOND LAW OF THERMODYNAMICS                                                    J2006/10/30


            b)     From the characteristic gas equation PV = mRT, hence, we have at
                   state 2
                                mRT2 0.225 x 0.287 x 422
                           V2 =      =                 2
                                                           = 0.323 m 3
                                 P2         0.844 x 10

            c)     The work energy transferred can be found from equation 10.13
                         W = mCv(T1 -T2)
                            = 0.225 x 0.718 (811 – 422)
                            = 62.8 kJ

                   Similarly, the equation 10.14 gives us the same result for the value of
                   work energy transferred as shown below,
                                mR (T1 − T2 )
                          W =
                                    γ −1
                                   0.225 x 0.287(811 − 422)
                               =
                                            1.4 − 1
                               = 62.8 kJ

                                                      v1
                               T                              P1 = 8.3 bar



                                                  1
                        T1 = 811 K

                                                       v2
                                                               P2 = 0.844 bar



                                                 2
                      T2 = 422 K


                                                 s1 = s2                        s




     10.4   The given quantities can be expressed as;
THE SECOND LAW OF THERMODYNAMICS                                                J2006/10/31


          m = 1 kg
          P1= 1.01 bar
          T1 = (27 + 273) = 300 K
          P2 = 5 bar
          Cp = 1.005 kJ/kg K
          R = 0.287 kJ/kg K
          PV1.3 = C

          From the quantities given, we can temporarily sketch the process as shown in
          the diagram below.

                      T
                                                         P2 = 5 bar
                                                                           P1 = 1.01 bar


                                    2                                 B
                 T2 = ?




                                                    1
              T1 = 300 K



                                                    s1                sB          s
                                    s2


          From equation 10.27, we have
                                 n −1
                   T2  p2       n
                     = 
                   T1  p1 
                                    n −1
                           P       n
                   T2 = T1  2 
                           P 
                            1
                                            1.3−1
                                  5        1.3
                          = (300)      
                                  1.01 
                          = 434 K



          ∴        From equation 10.25, the change of entropy (S1 – S2) is,
THE SECOND LAW OF THERMODYNAMICS                                                       J2006/10/32




                  S1 – S2 = (SB – S2) - (SB – S1)

                                  T          p 
                         = mC p ln 2  − mR ln 2 
                                  T          p 
                                   1          1

                                            434                     5 
                         = 1.0 x 1.005 x ln      − 1.0 x 0.287 x ln      
                                            300                     1.01 
                         = (0.371) − (0.459)

                         = - 0.088 kJ/K

          From the calculation, we have S1 – S2 = - 0.088 kJ/K. This means that S2 is
          greater than S1 and the process should appear as in the T-s diagram below.


                                                                   P2 = 5 bar
                   T

                                                                                P1 = 1.01 bar

                                                     2                  B
           T2 = 434 K




                                           1
           T1 = 300 K



                                           s1                           sB             s
                                                     s2




     CONGRATULATIONS, IF YOUR ANSWERS ARE CORRECT YOU CAN
     PROCEED TO THE SELF-ASSESSMENT….
THE SECOND LAW OF THERMODYNAMICS                                                J2006/10/33




                        SELF-ASSESSMENT



     You are approaching success. Try all the questions in this self-assessment
     section and check your answers with those given in the Feedback to Self-
     Assessment on the next page. If you face any problem, discuss it with your lecturer.
     Good luck.

     1.   A quantity of air at 2 bar, 25oC and 0.1 m3 undergoes a reversible constant
          pressure process until the temperature and volume increase to 2155 oC and 0.8
          m3. If Cp = 1.005 kJ/kg K and R = 0.287 kJ/kg K, determine the:
              i. mass of air
              ii. change of entropy
              iii. heat flow
              iv. work done
              Sketch the process on a T-s diagram and shade the area which represents the
              heat flow.


     2.   A rigid cylinder containing 0.006 m3 of nitrogen (M = 28) at 1.04 bar and 15oC is
          heated reversibly until the temperature is 90oC. Calculate the:
              i. change of entropy
              ii. heat supplied
              Sketch the process on a T-s diagram. For nitrogen, take γ = 1.4 and assume it
              as a perfect gas.

     3.      0.03 kg of nitrogen (M = 28) contained in a cylinder behind a piston is
             initially at 1.05 bar and 15 oC. The gas expands isothermally and reversibly
             to a pressure of 4.2 bar. Assuming nitrogen to act as a perfect gas, determine
             the:
             i. change of entropy
             ii. heat flow
             iii. work done
             Show the process on a T-s diagram, indicating the area which represents the
             heat flow.
THE SECOND LAW OF THERMODYNAMICS                                             J2006/10/34




     4.   0.05 kg of air at 30 bar and 300oC is allowed to expand reversibly in a
          cylinder behind a piston in such a way that the temperature remains constant
          to a pressure of 0.75 bar. Based on the law pv1.05= constant, the air is then
          compressed until the pressure is 10 bar. Assuming air to be a perfect gas,
          determine the:
          i. net entropy change
          ii. net heat flow
          iii. net work energy transfer
          Sketch the processes on a T-s diagram, indicating the area, which represents
          the heat flow.

     5.   a)      0.5 kg of air is compressed in a piston-cylinder device from 100 kN/
          m and 17oC to 800 kN/m2 in a reversible, isentropic process. Assuming air
             2


          to be a perfect gas, determine the final temperature and the work energy
          transfer during the process.
                  Given: R = 0.287 kJ/kg K and γ = 1.4.

          b)     1 kg of air at 30oC is heated at a constant volume process. If the heat
                 supplied during a process is 250 kJ, calculate the final temperature
                 and the change of entropy. Assume air to be a perfect gas and take
                 Cv = 0.718 kJ/kg K.



     6.   0.05 m3 of oxygen (M = 32) at 8 bar and 400oC expands according to the law
          pv1.2 = constant, until the pressure is 3 bar. Assuming oxygen to act as a
          perfect gas, determine the:
          i. mass of oxygen
          ii. final temperature
          iii. change of entropy
          iv. work done
          Show the process on a T-s diagram, indicating the area which represents the
          heat flow.
THE SECOND LAW OF THERMODYNAMICS                                        J2006/10/35




                    Feedback to Self-Assessment



  Have you tried the questions????? If “YES”, check your answers now.

     1.    i.     m = 0.2338 kg
           ii.    S2 – S1 = 0.4929 kJ/K
           iii.   Q = 500.48 kJ
           iv.    W = 140 kJ

     2.    i.     S2 – S1 = 0.00125 kJ/K
           ii.    Q = 0.407 kJ

     3.    i.     S2 – S1 = -0.0152 kJ/K
           ii.    Q = - 4.3776 kJ
           iii.   W = - 4.3776 kJ

     4.    i.     Σ ∆S = (S2 – S1) + (S3 – S2)
                       = 0.0529 + 0.0434
                       = 0.0963 kJ/K
           ii.    Σ Q = Q12 + Q23
                      = (30.31) + (-18.89)
                      = 11.42 kJ
           iii.   Σ W = W12 + W23
                      = (30.32) + (-21.59)
                      = 8.73 kJ

      5.   a)     T2 = 525.3 K, W = - 84.4 kJ
           b)     T2 = 651 K, (S2 – S1) = 0.5491 kJ/K

      6.   i.     m = 0.23 kg
           ii.    T2 = 571.5 K
           iii.   S2 – S1 = 0.0245 kJ/K
           iv.    W = 30.35 kJ

Unit10

  • 1.
    THE SECOND LAWOF THERMODYNAMICS J2006/10/1 UNIT 10 THE SECOND LAW OF THERMODYNAMICS OBJECTIVES General Objective : To define and explain the Second Law of Thermodynamics and perform calculations involving the expansion and compression of perfect gases. Specific Objectives : At the end of the unit you will be able to:  sketch the processes on a temperature-entropy diagram  calculate the change of entropy, work and heat transfer of perfect gases in reversible processes at: i. constant pressure process ii. constant volume process iii. constant temperature (or isothermal) process iv. adiabatic (or isentropic) process v. polytropic process
  • 2.
    THE SECOND LAWOF THERMODYNAMICS J2006/10/2 INPUT 10.0 The P-V and T-s diagram for a perfect gas Property diagrams serve as great visual aids in the thermodynamic analysis of processes. We have used P-V and T-s diagrams extensively in the previous unit showing steam as a working fluid. In the second law analysis, it is very helpful to plot the processes on diagrams which coordinate the entropy. The two diagrams commonly used in the second law analysis are the pressure-volume and temperature-entropy. Fig. 10.0-1 shows a series of constant temperature lines on a P-V diagram. The constant temperature lines, T3 > T2 > T1 are shown. T3 > T2 > T1 P Constant temperature lines Figure 10.0-1 The constant temperature lines on a P-V diagram for a perfect gas Since entropy is a property of a system, it may be used as a coordinate, with T3 temperature as the other ordinate, in order to represent various cycles graphically. It T2 is useful to plot lines of constant pressure and constant volume on a T-s diagram for T a perfect gas. Since changes of entropy are 1ofVmore direct application than the absolute value, the zero of entropy can be chosen at any arbitrary reference temperature and pressure.
  • 3.
    THE SECOND LAWOF THERMODYNAMICS J2006/10/3 Fig. 10.0-2 shows a series of constant pressure lines on a T-s diagram and Fig.10.0-3 shows a series of constant volume lines on a T-s diagram. It can be seen that the lines of constant pressure slope more steeply than the lines of constant volume. T v3 T v2 v1 P3 P2 P1 s s Figure 10.0-2 Figure 10.0-3 Constant pressure lines on a T-s diagram Constant volume lines on a T-s diagram Note:  Fig. 10.0-2, shows the constant pressure lines, P3 > P2 > P1;  Fig. 10.0-3, shows the constant volume lines, v1 > v2 > v3. As pressure rises, temperature also rises but volume decreases; conversely as the pressure and temperature fall, the volume increases.
  • 4.
    THE SECOND LAWOF THERMODYNAMICS J2006/10/4 10.1 Reversible processes on the T-s diagram for a perfect gas The various reversible processes dealt with in Units 4 and 5 will now be considered in relation to the T-s diagram. In the following sections of this unit, five reversible processes on the T-s diagram for perfect gases are analysed in detail. These processes include the: i. constant pressure process, ii. constant volume process, iii. constant temperature (or isothermal) process, iv. adiabatic (or isentropic) process, and v. polytropic process. 10.1.1 Reversible constant pressure process It can be seen from Fig. 10.1.1 that in a constant pressure process, the boundary must move against an external resistance as heat is supplied; for instance a fluid in a cylinder behind a piston can be made to undergo a constant pressure process. T v2 P1= P2 v1 2 1 Q s s1 s2 Figure 10.1.1 Constant pressure process on a T-s diagram During the reversible constant pressure process for a perfect gas, we have The work done as W = P(V2 – V1) kJ (10.1) or, since PV = mRT , we have W = mR(T2 - T1) kJ (10.2) The heat flow is, Q = mCp(T2 – T1) kJ (10.3) The change of entropy is, then  T2  S2 – S1 = mCp ln  kJ/K (10.4)  T1 
  • 5.
    THE SECOND LAWOF THERMODYNAMICS J2006/10/5 or, per kg of gas we have,  T2  s2 – s1 = Cp ln  kJ/kg K (10.5)  T1  Example 10.1 Nitrogen (molecular weight 28) expands reversibly in a cylinder behind a piston at a constant pressure of 1.05 bar. The temperature is initially at 27oC. It then rises to 500oC; the initial volume is 0.04 m3. Assuming nitrogen to be a perfect gas and take Cp = 1.045 kJ/kg K, calculate the: a) mass of nitrogen b) work done by nitrogen c) heat flow to or from the cylinder walls during the expansion d) change of entropy Sketch the process on a T-s diagram and shade the area which represents the heat flow. Solution to Example 10.1 The given quantities can be expressed as; T1 = 27 + 273 K = 300 K P1 = P2 = 1.05 bar (constant pressure process) V1 = 0.04 m3 T2 = 500 + 273 = 773 K M = 28 kg/kmol Cp = 1.045 kJ/kg.K a) From equation 3.10, we have R 8.3144 R= o = = 0.297 kJ/kg K M 28 Then since PV = mRT , we have P1V1 1.05 x 10 2 x 0.04 m= = = 0.0471 kg RT1 0.297 x 300
  • 6.
    THE SECOND LAWOF THERMODYNAMICS J2006/10/6 b) the work done by nitrogen can be calculated by two methods. Hence, we have Method I: From equation 10.2, work done W = mR(T2 - T1) = 0.0471 x 0.297 (773 - 300) = 6.617 kJ Method II: V1 V2 For a perfect gas at constant pressure, = T1 T2 T   = 0.04  773  V2 = V1  2 T    = 0.103 m 3  1   300  From equation 10.1, work done W = P (V2 − V1 ) = 1.05 x 10 2 (0.103 - 0.04) = 6.615 kJ c) From equation 10.3, heat flow Q = mCp(T2 - T1) = 0.0471 x 1.045 (773 - 300) = 23.28 kJ d) From equation 10.4, change of entropy  T2  s2 - s1 = mCp ln   T1   773  = 0.0471 x 1.045 ln    300  = 0.0466 kJ / K The T-s diagram below shows the constant pressure process. The shaded area represents the heat flow. T v2 = 0.103 m3 P1 = P2 = 1.05 bar T2 = 773 K 2 v1 = 0.04 m3 1 T1 = 300 K Q s s1 s2
  • 7.
    THE SECOND LAWOF THERMODYNAMICS J2006/10/7 10.1.2 Reversible constant volume process In a constant volume process, the working substance is contained in a rigid vessel (or closed tank) from which heat is either added or removed. It can be seen from Fig. 10.1.2 that in a constant volume process, the boundaries of the system are immovable and no work can be done on or by the system. It will be assumed that ‘constant volume’ implies zero work unless stated otherwise. T v1 = v2 P2 2 P1 1 Q s s1 s2 Figure 10.1.2 Constant volume process on a T-s diagram During the reversible constant volume process for a perfect gas, we have The work done, W = 0 since V2 = V1. The heat flow Q = mCv(T2 – T1) kJ (10.6) The change of entropy is therefore  T2  S2 – S1 = mCv ln  kJ/K (10.7)  T1  or, per kg of gas we have,  T2  s2 – s1 = Cv ln  kJ/ kg K (10.8)  T1 
  • 8.
    THE SECOND LAWOF THERMODYNAMICS J2006/10/8 Example 10.2 Air at 15oC and 1.05 bar occupies a volume of 0.02 m3. The air is heated at constant volume until the pressure is at 4.2 bar, and then it is cooled at constant pressure back to the original temperature. Assuming air to be a perfect gas, calculate the: a) mass of air b) net heat flow c) net entropy change Sketch the processes on a T-s diagram. Given: R = 0.287 kJ/kg K, Cv = 0.718 kJ/kg K and Cp = 1.005 kJ/kg K. Solution to Example 10.2 The given quantities can be expressed as; T1 = 15 + 273 K = 288 K P1 = 1.05 bar Process 1 - 2 (constant volume process): V1 = V2 = 0.02 m3 Process 2 - 3 (constant pressure process) : P2 = P3 = 1.05 bar T3 = T1 = 288 K a) From equation 3.6, for a perfect gas, P1V1 1.05 x 10 2 x 0.02 m= = = 0.0254 kg RT1 0.287 x 288 P1 P2 b) For a perfect gas at constant volume, = , hence T1 T2 P   4.2  T2 = T1  2 P  = 288   = 1152 K  1   1.05  From equation 10.6, at constant volume Q12 = mCv(T2 – T1) = 0.0254 x 0.718 (1152 – 288) = 15.75 kJ From equation 10.3, at constant pressure Q23 = mCp(T3 – T2) = 0.0254 x 1.005 (288 – 1152) = -22.05 kJ
  • 9.
    THE SECOND LAWOF THERMODYNAMICS J2006/10/9 ∴ Net heat flow = Q12 + Q23 = (15.75) + ( -22.05) = -6.3 kJ c) From equation 10.7, at constant volume  T2  S2 – S1 = mCv ln   T1   1152  = 0.0254 x 0.718 ln   288  = 0.0253 kJ/K From equation 10.4, at constant pressure  T3  S3 – S2 = mCp ln  T   2  288  = 0.0254 x 1.005 ln   1152  = −0.0354 kJ/K ∴ Net entropy change, (S3 – S1) = (S2 – S1) + (S3 – S2) = (0.0253) + (-0.0354) = - 0.0101 kJ/K i.e. decrease in entropy of air is 0.0101 kJ/K. T v1 = v2 = 0.02 m3 P2 = P3 = 4.2 bar 2 T2 = 1152 K P1 = 1.05 bar v3 3 1 T1 = T3 = 288 K s s3 s1 s2 Note that since entropy is a property, the decrease of entropy in example 10.2, given by (S3 – S1) = (S2 – S1) + (S3 – S2), is independent of the processes undergone between states 1 and 3. The change (S3-S1) can also be found by imagining a reversible isothermal process taking place between 1 and 3. The isothermal process on the T-s diagram will be considered in the next input.
  • 10.
    THE SECOND LAWOF THERMODYNAMICS J2006/10/10 10.1.3 Reversible constant temperature (or isothermal) process A reversible isothermal process for a perfect gas is shown on a T-s diagram in Fig. 10.1.3. The shaded area represents the heat supplied during the process, i.e. Q = T(s2 - s1) (10.9) T v1 v2 P1 P2 1 2 T1 = T2 Q s s1 s2 Figure 10.1.3 Constant temperature (or isothermal) process on a T-s diagram For a perfect gas undergoing an isothermal process, it is possible to evaluate the entropy changes, i.e. (s2 – s1). From the non-flow equation, for a reversible process, we have dQ = du + P dv Also for a perfect gas from Joule’s Law, du = Cv dT, dQ = Cv dT + P dv For an isothermal process, dT = 0, hence dQ = P dv Then, since Pv = RT, we have dv dQ = RT v
  • 11.
    THE SECOND LAWOF THERMODYNAMICS J2006/10/11 Now from equation 9.5 2 dQ v2 RT dv v2 dv s 2 − s1 = ∫ =∫ = R∫ 1 T v1 Tv v1 v v  p  i.e. s 2 − s1 = R ln 2 v  = R ln 1   p  kJ/kg K (10.10)  1   2 or, for mass, m (kg), of a gas S2 – S1 = m(s2 – s1) v  p  i.e. S 2 − S1 = mR ln 2 v  = mR ln 1  kJ/K  p  (10.11)  1   2 Therefore, the heat supplied is given by, v  p  Q = T ( s 2 − s1 ) = RT ln 2 v  = RT ln 1  p    1   2  or, for mass, m (kg), of a gas v  p  Q = T ( S 2 − S1 ) = mRT ln 2 v  = mRT ln 1   p   1   2 In an isothermal process, (U2 – U1) = mCv (T2 - T1) = 0 ( i.e since T1 = T2) 0 From equation Q - W = (U2 – U1), ∴ W=Q (10.12)
  • 12.
    THE SECOND LAWOF THERMODYNAMICS J2006/10/12 Example 10.3 0.85 m3 of carbon dioxide (molecular weight 44) contained in a cylinder behind a piston is initially at 1.05 bar and 17 oC. The gas is compressed isothermally and reversibly until the pressure is at 4.8 bar. Assuming carbon dioxide to act as a perfect gas, calculate the: e) mass of carbon dioxide f) change of entropy g) heat flow h) work done Sketch the process on a P-V and T-s diagram and shade the area which represents the heat flow. Solution to Example 10.3 The given quantities can be expressed as; V1 = 0.85 m3 M = 44 kg/kmol P1 = 1.05 bar Isothermal process: T1 = T2 = 17 + 273 K = 290 K P2 = 4.8 bar a) From equation 3.10, we have R 8.3144 R= o = = 0.189 kJ/kgK M 44 Then, since PV = mRT, we have PV 1.05 x 10 2 x 0.85 m= = = 1.628 kg RT 0.189 x 290 b) From equation 10.11, for m kg, p   1.05  S 2 − S1 = mR ln 1  = 1.628 x 0.189 ln p   = −0.4676 kJ/K  2  4.8 
  • 13.
    THE SECOND LAWOF THERMODYNAMICS J2006/10/13 c) Heat rejected = shaded area on T-s diagram = T (S2 – S1) = 290 K(-0.4676 kJ/K) = -135.6 kJ (-ve sign shows heat rejected from the system to the surroundings) d) For an isothermal process for a perfect gas, from equation 10.12 W=Q = -135.6 kJ (-ve sign shows work is transferred into the system) T P2 = 4.8 bar P1 = 1.05 bar 2 1 T1 = T2 = 290 K Q s s2 s1
  • 14.
    THE SECOND LAWOF THERMODYNAMICS J2006/10/14 Activity 10A TEST YOUR UNDERSTANDING BEFORE YOU CONTINUE WITH THE NEXT INPUT…! 10.1 0.1 m3 of air at 1 bar and temperature 15oC is heated reversibly at constant pressure to a temperature of 1100oC and volume 0.48 m3. During the process, calculate the: a) mass of air b) change of entropy c) heat supplied d) work done Show the process on a T-s diagram, indicating the area that represents the heat flow. Given, R = 0.287 kJ/kg K and Cp = 1.005 kJ/kg K. 10.2 0.05 kg of nitrogen (M = 28) contained in a cylinder behind a piston is initially at 3.8 bar and 140 oC. The gas expands isothermally and reversibly to a pressure of 1.01 bar. Assuming nitrogen to act as a perfect gas, determine the: a) change of entropy b) heat flow c) work done Show the process on a T-s diagram, indicating the area which represents the heat flow.
  • 15.
    THE SECOND LAWOF THERMODYNAMICS J2006/10/15 Feedback To Activity 10A 10.1 The given quantities can be expressed as; P1 = P2 = 1 bar (constant pressure process) T1 = 15 + 273 K = 288 K V1 = 0.1 m3 T2 = (1100 + 273) = 1373K V2 = 0.48 m3 R = 0.287 kJ/kg.K Cp = 1.005 kJ/kg.K a) From equation PV =mRT, we have P1V1 1 x 10 2 x 0.1 m= = = 0.121 kg RT1 0.287 x 288 b) From equation 10.4, change of entropy  T2  s2 - s1 = mCp ln   T1   1373  = 0.121 x 1.005 ln    288  = 0.1899 kJ/K c) From equation 10.3, heat flow Q = mCp(T2 - T1) = 0.121 x 1.005 (1373 - 288) = 131.9 kJ
  • 16.
    THE SECOND LAWOF THERMODYNAMICS J2006/10/16 d) The work done by air can be calculated by using two methods which give the same results. Method I: From equation 10.2, the work done W = mR(T2 - T1) = 0.121 x 0.287 (1373 - 288) = 38 kJ Method II: From equation 10.1, the work done W = P (V2 − V1 ) = 1.x 10 2 (0.48 - 0.1) = 38 kJ The T-s diagram below shows the constant pressure process. The shaded area represents the heat flow. T v2 = 0.48 m3 P1 = P2 = 1bar T2 = 1373 K 2 3 v1 = 0.1 m 1 T1 = 288 K Q s s1 s2
  • 17.
    THE SECOND LAWOF THERMODYNAMICS J2006/10/17 10.2 The given quantities can be expressed as; m = 0.05 kg M = 28 kg/kmol P1 = 3.8 bar Isothermal process: T1 = T2 = (140 + 273 K) = 413 K P2 = 1.01 bar a) From equation 3.10, we have R 8.3144 R= o = = 0.297 kJ/kgK M 28 From equation 10.11, for m kg of gas, p  S 2 − S1 = mR ln 1  p   2  3.8  = 0.05 x 0.297 ln   1.01  = 0.01968 kJ/K b) Heat flow = shaded area on T-s diagram = T (S2 – S1) = 413 (0.01968) = 8.1278 kJ c) For an isothermal process for a perfect gas, from equation 10.12 W=Q = 8.1278 kJ T P1 = 3.8 bar P2 = 1.01 bar 1 2 T1 = T2 = 413 K Q s s1 s2
  • 18.
    THE SECOND LAWOF THERMODYNAMICS J2006/10/18 INPUT 10.1.4 Reversible adiabatic (or isentropic) process In the special case of a reversible process where no heat energy is transferred to or from the gas, the process will be a reversible adiabatic process. These special processes are also called isentropic process. During a reversible isentropic process, the entropy remains constant and the process will always appear as a vertical line on a T-s diagram. For a perfect gas, an isentropic process on a T-s diagram is shown in Fig. 10.1.4. In Unit 4 it was shown that for a reversible adiabatic process for a perfect gas, the process follows the law pvγ = constant. Since a reversible adiabatic process occurs at constant entropy, and is known as an isentropic process, the index γ is known as the isentropic index of the gas. v1 T P1 1 T1 v2 P2 2 T2 s1 = s2 s Figure 10.1.4 Reversible adiabatic (or isentropic) process on a T-s diagram
  • 19.
    THE SECOND LAWOF THERMODYNAMICS J2006/10/19 For an isentropic process, Change of entropy, s2 - s1 = 0 Heat flow, Q = 0 From the non-flow equation, dQ - dW = dU dW = -dU = -mCv dT = -mCv(T2 - T1) ∴ W = mCv(T1 -T2) (10.13) R or, since C v = , we have γ −1 mR (T1 − T2 ) W = (10.14) γ −1 or, since PV = mRT, we also have P V − P2V2 W = 1 1 (10.15) γ −1 Note that the equations 10.13, 10.14 and 10.15 can be used to find the work done depending on the properties of gases given. Each equation used gives the same result for a work done. Similarly, equation 10.16 can also be used to determine the temperature, pressure and volume of the perfect gases. γ −1 γ −1 T2  P2  γ V  (10.16) =  = 1 T1  P1  V2 
  • 20.
    THE SECOND LAWOF THERMODYNAMICS J2006/10/20 Example 10.4 In an air turbine unit, the air expands adiabatically and reversibly from 10 bar, 450 oC and 1 m3 to a pressure of 2 bar. Air is assumed to act as a perfect gas. Given that Cv = 0.718 kJ/kg K, R = 0.287 kJ/kg K and γ = 1.4, calculate the: a) mass of air b) final temperature c) work energy transferred Sketch the process on a T-s diagram. Solution to Example 10.4 The given quantities can be expressed as; P1= 10 bar V1 = 1 m3 T1 = (450 + 273) = 723K P2 = 2 bar Cv = 0.718 kJ/kg K R = 0.287 kJ/kg K γ = 1.4 Isentropic process, s2 = s1 a) From equation PV = mRT, for a perfect gas P1V1 10 x 10 2 x 1 m= = = 4.82 kg RT1 0.287 x 723 b) The final temperature can be found using equation 10.16 γ −1 P  γ T2 = T1 x  2  P   1 1.4 −1 2 1.4 = 723 x    10  = 456.5 K
  • 21.
    THE SECOND LAWOF THERMODYNAMICS J2006/10/21 c) The work energy transferred can be found using equation 10.13 W = mCv(T1 -T2) = 4.82 x 0.718 (723 – 456.5) = 922 kJ Similarly, the equation 10.14 gives us the same result for the value of work energy transferred as shown below, mR (T1 − T2 ) W = γ −1 4.82 x 0.287(723 − 456.5) = 1.4 − 1 = 922 kJ v 1 = 1 m3 T P1 = 10 bar 1 T1 = 723 K v2 P2 = 2 bar 2 T2 = 456.5 K s1 = s2 s
  • 22.
    THE SECOND LAWOF THERMODYNAMICS J2006/10/22 10.1.5 Reversible polytropic process For a perfect gas, a polytropic process on a T-s diagram is shown in Fig. 10.1.5. In Unit 5 it was shown that for a reversible polytropic process for a perfect gas, the process follows the law pvn = constant. T v1 v2 P1 P2 1 A B T1 2 T2 s2 sA sB s s1 Figure 10.1.5 Reversible polytropic process on a T-s diagram For a reversible polytropic process, Work done by a perfect gas is, P V − P2V2 W = 1 1 (10.17) n −1 or, since PV = mRT, we have mR( T1 − T2 ) W= (10.18) n −1 Change of internal energy is, U2 -U1 = mCv(T2 -T1) (10.19) The heat flow is, Q = W + U2 -U1 (10.20)
  • 23.
    THE SECOND LAWOF THERMODYNAMICS J2006/10/23 It was shown in Unit 5 that the polytropic process is a general case for perfect gases. To find the entropy change for a perfect gas in the general case, consider the non-flow energy equation for a reversible process as, dQ = dU + P dv Also for unit mass of a perfect gas from Joule’s Law dU = CvdT , and from equation Pv = RT , RT dv ∴ dQ = C v dT + v Then from equation 9.5, dQ C v dT R dv ds = = + T T v Hence, between any two states 1 and 2, T2 dT v2 dv T  v  s 2 − s1 = C v ∫ + R∫ = C v ln 2 T  + R ln 2  v   (10.21) T1 T v1 v  1   1  This can be illustrated on a T-s diagram as shown in Fig. 10.1.5. Since in the process in Fig. 10.1.5, T2 < T1, then it is more convenient to write the equation as v  T  s 2 − s1 = R ln 2  − C v ln 1  v  T  (10.22)  1  2 There are two ways to find the change of entropy (s2 – s1). They are: a) According to volume It can be seen that in calculating the entropy change in a polytropic process from state 1 to state 2 we have in effect replaced the process by two simpler processes; i.e. from 1 to A and then from A to 2. It is clear from Fig. 10.1.5 that s2 - s1 = (sA - s1) - (sA - s2) The first part of the expression for s2 -s1 in equation 10.22 is the change of entropy in an isothermal process from v1 to v2. From equation 10.10  v2  (sA - s1)= R ln  (see Fig. 10.1.5)  v1 
  • 24.
    THE SECOND LAWOF THERMODYNAMICS J2006/10/24 In addition, the second part of the expression for s2 -s1 in equation 10.22 is the change of entropy in a constant volume process from T1 to T2, i.e. referring to Fig. 10.1.5,  T1  (sA - s2) = Cv ln   T2   v2   T1  ∴ s2 - s1 = R ln  − Cv ln  kJ/kg K (10.23)  v1   T2  or, for mass m, kg of gas we have  v2  T  S2 - S1 = mR ln v  − mC v ln 1  T   kJ/K (10.24)  1   2  b) According to pressure According to pressure, it can be seen that in calculating the entropy change in a polytropic process from state 1 to state 2 we have in effect replaced the process by two simpler processes; i.e. from 1 to B and then from B to 2 as in Fig. 10.1.5. Hence, we have s2 - s1 = (sB - s1) - (sB - s2) At constant temperature (i.e. T1) between P1 and P2, using equation 10.10,  p1  (sB - s1) = R ln   p2  and at constant pressure (i.e. P2) between T1 and T2 we have  T1  (sB - s2) = C p ln   T2  Hence,  p1   T1  s2 - s1 = R ln  − C p ln  kJ/kg K (10.25)  p2   T2 
  • 25.
    THE SECOND LAWOF THERMODYNAMICS J2006/10/25 or, for mass m, kg of gas we have  p1   T1  S2 - S1 = mR ln  − mC p ln  p  T  kJ/K (10.26)  2  2 Similarly, the equation 10.27 can also be used to determine the temperature, pressure and volume of the perfect gases in polytropic process. n −1 n −1 T2  P2  n V  (10.27) =  = 1  T1  P1    V  2   Note that, there are obviously a large number of possible equations for the change of entropy in a polytropic process, and it is stressed that no attempt should be made to memorize all such expressions. Each problem can be dealt with by sketching the T-s diagram and replacing the process by two other simpler reversible processes, as in Fig. 10.1.5.
  • 26.
    THE SECOND LAWOF THERMODYNAMICS J2006/10/26 Example 10.5 0.03 kg of oxygen (M = 32) expands from 5 bar, 300 oC to the pressure of 2 bar. The index of expansion is 1.12. Oxygen is assumed to act as a perfect gas. Given that Cv = 0.649 kJ/kg K, calculate the: i) change of entropy j) work energy transferred Sketch the process on a T-s diagram. Solution to Example 10.5 The given quantities can be expressed as; m = 0.03 kg M = 32 kg/kmol P1= 5 bar T1 = (300 + 273) = 573K P2 = 2 bar Cv = 0.649 kJ/kg K = 649 J/kg K PV1.12 = C a) From equation 3.10, we have Ro 8314 R= = = 260 J/kg K M 32 Then from equation R = Cp - Cv , we have Cp = R + C v = 260 + 649 = 909 J/kg K From equation 10.27, we have n −1 T2  p2  n =  T1  p1  n −1 1.12−1 P  n  2 1.12 T2 = T1  2  = 573  = 519.4 K  P1  5
  • 27.
    THE SECOND LAWOF THERMODYNAMICS J2006/10/27 ∴ From equation 10.26, the change of entropy (S2 - S1 ) is, S2 - S1 = (SB - S1) - (SB - S2) p  T  = mRln 1  − mC p ln 1  p  T   2  2 5  573  = 0.03 x 260 x ln  − 0.03 x 909 x ln  2  519.4  = (7.15) − (2.68) = 4.47 J/K b) From equation 10.18, we have mR( T1 − T2 ) 0.03 x 260 (573 − 519.5) W= = = 417.3 J n −1 n −1 T P1 = 5 bar P2 = 2 bar 1 B T1 = 573 K 2 T2 = 519.4 K s2 sB s s1 Activity 10B
  • 28.
    THE SECOND LAWOF THERMODYNAMICS J2006/10/28 TEST YOUR UNDERSTANDING BEFORE YOU PROCEED TO THE SELF- ASSESSMENT…! 10.3 0.225 kg of air at 8.3 bar and 538 oC expands adiabatically and reversibly to a temperature of 149 oC. Determine the a) final pressure b) final volume c) work energy transferred during the process Show the process on a T-s diagram. For air, take Cp = 1.005 kJ/kg K and R = 0.287 kJ/kg K. 10.4 1 kg of air at 1.01 bar and 27 oC, is compressed according to the law PV1.3 = constant, until the pressure is 5 bar. Given that Cp = 1.005 kJ/kg K and R = 0.287 kJ/kg K, calculate the final temperature and change of entropy and then sketch the process on a T-s diagram.
  • 29.
    THE SECOND LAWOF THERMODYNAMICS J2006/10/29 Feedback To Activity 10B 10.3 The given quantities can be expressed as; m = 0.225 kg P1 = 8.3 bar T1 = 538 + 273 K = 811 K T2 = 149 + 273 K = 422 K Cp = 1.005 kJ/kg K R = 0.287 kJ/kg K Adiabatic / isentropic process : s2 = s1 a) From equation 3.16, we have Cv = Cp – R = 1.005 – 0.287 = 0.718 kJ/kg K Then, from equation 3.17, we have C p 1.005 γ = = = 1.4 C v 0.718 For a reversible adiabatic process for a perfect gas, PVγ = constant. From equation 10.16 γ P2  T2  γ −1 =  P1  T1    1.4  422  1.4−1 P2 = (8.3)   811  = 0.844 bar
  • 30.
    THE SECOND LAWOF THERMODYNAMICS J2006/10/30 b) From the characteristic gas equation PV = mRT, hence, we have at state 2 mRT2 0.225 x 0.287 x 422 V2 = = 2 = 0.323 m 3 P2 0.844 x 10 c) The work energy transferred can be found from equation 10.13 W = mCv(T1 -T2) = 0.225 x 0.718 (811 – 422) = 62.8 kJ Similarly, the equation 10.14 gives us the same result for the value of work energy transferred as shown below, mR (T1 − T2 ) W = γ −1 0.225 x 0.287(811 − 422) = 1.4 − 1 = 62.8 kJ v1 T P1 = 8.3 bar 1 T1 = 811 K v2 P2 = 0.844 bar 2 T2 = 422 K s1 = s2 s 10.4 The given quantities can be expressed as;
  • 31.
    THE SECOND LAWOF THERMODYNAMICS J2006/10/31 m = 1 kg P1= 1.01 bar T1 = (27 + 273) = 300 K P2 = 5 bar Cp = 1.005 kJ/kg K R = 0.287 kJ/kg K PV1.3 = C From the quantities given, we can temporarily sketch the process as shown in the diagram below. T P2 = 5 bar P1 = 1.01 bar 2 B T2 = ? 1 T1 = 300 K s1 sB s s2 From equation 10.27, we have n −1 T2  p2  n =  T1  p1  n −1 P  n T2 = T1  2  P   1 1.3−1  5  1.3 = (300)   1.01  = 434 K ∴ From equation 10.25, the change of entropy (S1 – S2) is,
  • 32.
    THE SECOND LAWOF THERMODYNAMICS J2006/10/32 S1 – S2 = (SB – S2) - (SB – S1) T  p  = mC p ln 2  − mR ln 2  T  p   1  1  434   5  = 1.0 x 1.005 x ln  − 1.0 x 0.287 x ln   300   1.01  = (0.371) − (0.459) = - 0.088 kJ/K From the calculation, we have S1 – S2 = - 0.088 kJ/K. This means that S2 is greater than S1 and the process should appear as in the T-s diagram below. P2 = 5 bar T P1 = 1.01 bar 2 B T2 = 434 K 1 T1 = 300 K s1 sB s s2 CONGRATULATIONS, IF YOUR ANSWERS ARE CORRECT YOU CAN PROCEED TO THE SELF-ASSESSMENT….
  • 33.
    THE SECOND LAWOF THERMODYNAMICS J2006/10/33 SELF-ASSESSMENT You are approaching success. Try all the questions in this self-assessment section and check your answers with those given in the Feedback to Self- Assessment on the next page. If you face any problem, discuss it with your lecturer. Good luck. 1. A quantity of air at 2 bar, 25oC and 0.1 m3 undergoes a reversible constant pressure process until the temperature and volume increase to 2155 oC and 0.8 m3. If Cp = 1.005 kJ/kg K and R = 0.287 kJ/kg K, determine the: i. mass of air ii. change of entropy iii. heat flow iv. work done Sketch the process on a T-s diagram and shade the area which represents the heat flow. 2. A rigid cylinder containing 0.006 m3 of nitrogen (M = 28) at 1.04 bar and 15oC is heated reversibly until the temperature is 90oC. Calculate the: i. change of entropy ii. heat supplied Sketch the process on a T-s diagram. For nitrogen, take γ = 1.4 and assume it as a perfect gas. 3. 0.03 kg of nitrogen (M = 28) contained in a cylinder behind a piston is initially at 1.05 bar and 15 oC. The gas expands isothermally and reversibly to a pressure of 4.2 bar. Assuming nitrogen to act as a perfect gas, determine the: i. change of entropy ii. heat flow iii. work done Show the process on a T-s diagram, indicating the area which represents the heat flow.
  • 34.
    THE SECOND LAWOF THERMODYNAMICS J2006/10/34 4. 0.05 kg of air at 30 bar and 300oC is allowed to expand reversibly in a cylinder behind a piston in such a way that the temperature remains constant to a pressure of 0.75 bar. Based on the law pv1.05= constant, the air is then compressed until the pressure is 10 bar. Assuming air to be a perfect gas, determine the: i. net entropy change ii. net heat flow iii. net work energy transfer Sketch the processes on a T-s diagram, indicating the area, which represents the heat flow. 5. a) 0.5 kg of air is compressed in a piston-cylinder device from 100 kN/ m and 17oC to 800 kN/m2 in a reversible, isentropic process. Assuming air 2 to be a perfect gas, determine the final temperature and the work energy transfer during the process. Given: R = 0.287 kJ/kg K and γ = 1.4. b) 1 kg of air at 30oC is heated at a constant volume process. If the heat supplied during a process is 250 kJ, calculate the final temperature and the change of entropy. Assume air to be a perfect gas and take Cv = 0.718 kJ/kg K. 6. 0.05 m3 of oxygen (M = 32) at 8 bar and 400oC expands according to the law pv1.2 = constant, until the pressure is 3 bar. Assuming oxygen to act as a perfect gas, determine the: i. mass of oxygen ii. final temperature iii. change of entropy iv. work done Show the process on a T-s diagram, indicating the area which represents the heat flow.
  • 35.
    THE SECOND LAWOF THERMODYNAMICS J2006/10/35 Feedback to Self-Assessment Have you tried the questions????? If “YES”, check your answers now. 1. i. m = 0.2338 kg ii. S2 – S1 = 0.4929 kJ/K iii. Q = 500.48 kJ iv. W = 140 kJ 2. i. S2 – S1 = 0.00125 kJ/K ii. Q = 0.407 kJ 3. i. S2 – S1 = -0.0152 kJ/K ii. Q = - 4.3776 kJ iii. W = - 4.3776 kJ 4. i. Σ ∆S = (S2 – S1) + (S3 – S2) = 0.0529 + 0.0434 = 0.0963 kJ/K ii. Σ Q = Q12 + Q23 = (30.31) + (-18.89) = 11.42 kJ iii. Σ W = W12 + W23 = (30.32) + (-21.59) = 8.73 kJ 5. a) T2 = 525.3 K, W = - 84.4 kJ b) T2 = 651 K, (S2 – S1) = 0.5491 kJ/K 6. i. m = 0.23 kg ii. T2 = 571.5 K iii. S2 – S1 = 0.0245 kJ/K iv. W = 30.35 kJ