TOPIC 6 – TRANSPORT PROPERTIES

Examples of Solved Problems


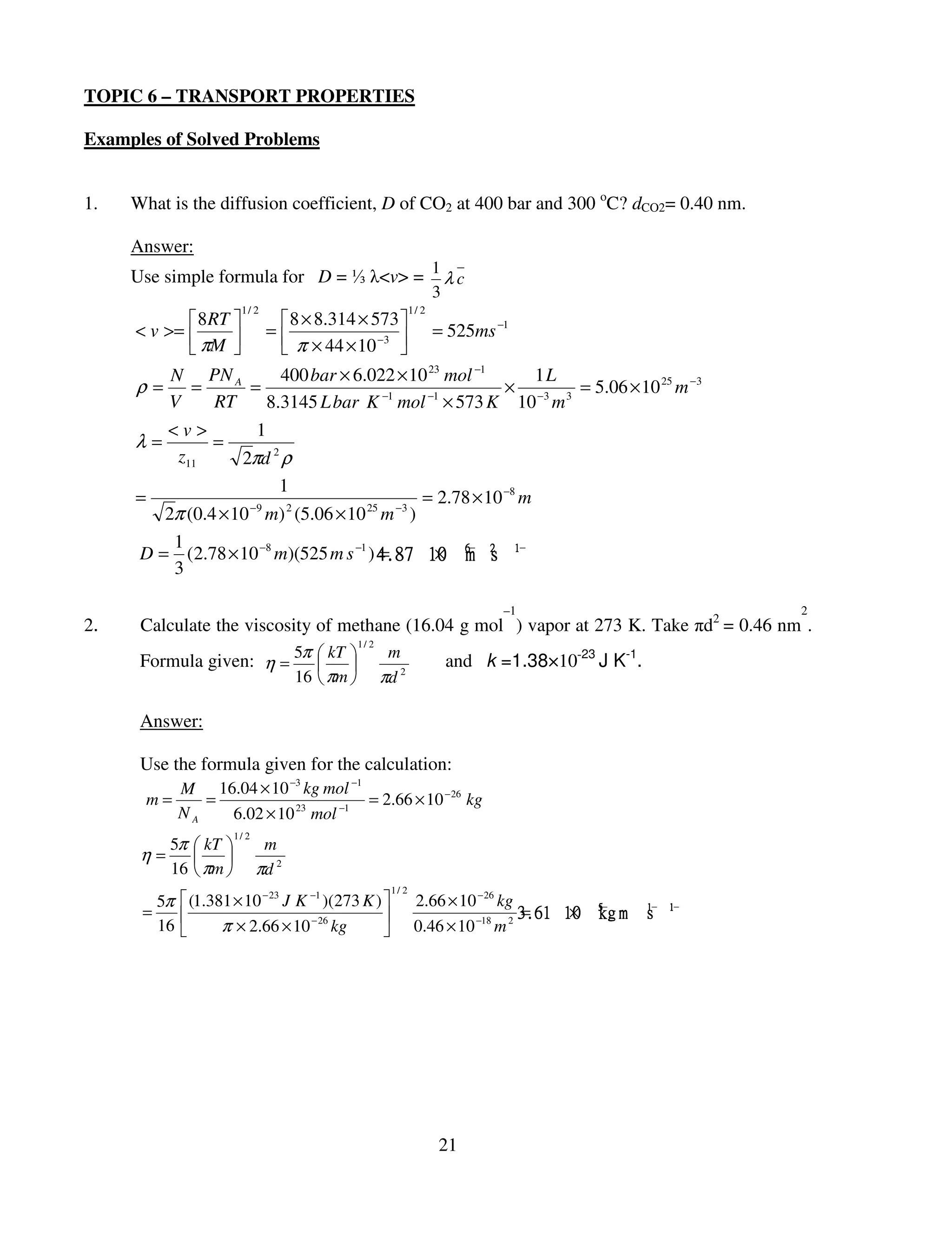
1.   What is the diffusion coefficient, D of CO2 at 400 bar and 300 oC? dCO2= 0.40 nm.

     Answer:
     Use simple formula for D = ⅓ λ<v> = 1 λ c
                                                                 3
                       1/ 2                               1/ 2
             8 RT       8 × 8.314 × 573             −1
     < v >=        =  π × 44 × 10 −3  = 525ms
             πM                         
          N PN A         400 bar × 6.022 × 10 23 mol −1    1L
     ρ= =            =                  −1   −1
                                                         × −3 3 = 5.06 × 10 25 m −3
          V      RT    8.3145 L bar K mol × 573 K 10 m
          <v>                 1
     λ=        =
           z11          2πd 2 ρ
                             1
     =                       −9     2       25      −3
                                                             = 2.78 × 10 −8 m
         2π (0.4 × 10 m) (5.06 × 10 m )
          1                                                           6   2            1
      D = (2.78 × 10 −8 m)(525 m s −1 ) = . 8 7
                                         4                       ×0
                                                                 1    −
                                                                      m       s        −

          3

                                                                                  –1                            2
2.    Calculate the viscosity of methane (16.04 g mol ) vapor at 273 K. Take πd2 = 0.46 nm .
                                     1/ 2
                           5π  kT       m
      Formula given: η =                  2
                                              and k =1.38×10-23 J K-1.
                           16  πm  πd

      Answer:

      Use the formula given for the calculation:
              M 16.04 × 10 −3 kg mol −1
         m=      =                      = 2.66 × 10 − 26 kg
              NA   6.02 × 10 23 mol −1
                      1/ 2
         5π  kT             m
      η=        
         16  πm            πd 2
                                                   1/ 2
        5π  (1.381 × 10 − 23 J K −1 )(273 K )            2.66 × 10 − 26 kg                    5
                                                                                                −       1
                                                                                                        −   1
                                                                                                            −
      =                                                                    =. 6 1
                                                                             3             1
                                                                                           ×0   k g m   s   .
        16       π × 2.66 × 10 − 26 kg                   0.46 × 10 −18 m 2




                                                                 21
3.    Calculate the thermal conductivity of neon gas at 300 K and 15 mbar. The gas in
      confined a cubic vessel of side 15 cm. The temperature of one side of the wall is 305 K
      and the opposite is 335 K. What is the rate of flow of energy (as heat) from one wall to
      the other ? Given for Ne: Mr=20.18, Cv,m=1.5 R , d= 0.439 nm.
      Answer:
      Use the approximation formula for K = ⅓ λ<v> C v ,m [ A] = 1 c C v , m λ[ A]
                                                                             3
                                 1/ 2                         1/ 2
                          8 RT         8 × 8.314 × 300             −1
              c =< v >=         =  π × 20.18 × 10 −3  = 561 m s
                          πM                           
                    N nN A
              ρ= =
                    V     V
                         <v>                 1       n      1       V     n            1            1
              λ × [ A] =       × [ A] =        2
                                                  × =          2
                                                                 ×     × =                  2
                                                                                                ×
                          z11             2πd ρ V          2πd     nN A V             2πd           NA
                                         1
              =                  −9          2     23    −1
                                                                 = 1.94 × 10 −6 m −2 mol
                 2π (0.439 × 10 m) (6.02 × 10 mol )
                  1
              K = (1.94 × 10 −6 m −2 mol )(561 m s −1 )(1.5 × 8.314 JK −1 mol −1 )
                  3

              = 0.0453 J m-1s-1K-1.
       The rate of flow of energy (as heat) = qz× A= - K dT × A
                                                       dZ
                                   (335 − 305) K
                              -1 -1
              = -(0.0453 J m s K )      -1
                                           −2
                                                 ×(15×10-2 m)2= - 0.204 J s-1
                                    15 × 10 m

Exercise 6a

1.    The viscosity, η of H2 at STP is 5.40 ×10-5 poies. Calculate the mean free path of
       H2. (1.07×10-7 m )

2.    Calculate the viscosity, η of molecular oxygen at 373 K and 1 atm, dO2= 0.361
      nm. (1. 98×10-4 poies).

3.    The viscosity, η of helium is 1.88×10-4 P at 0 oC. Calculate the collision diameter.
       (0.179 nm)

4.    For Ne (20.18 g mol-1) at 1 atm and 0 oC , η =2.97×10-4 poies. Predict the
      diffusion coefficient, D of Ne ? ( 0.33 cm2s-1).

5.    Calculate the flux of energy arising from a temperature gradient of –30 K/m in a
                                                                                            –1      –1   –1
       sample of krypton at a mean temperature for which κ = 0.0087 J K m s .
       (0.261 J m-2s-1)
                                                                           −1  −1
6.    Calculate the thermal conductivity, κ of argon. Given Cv,m = 12.5 J K mol , πd2
                   2
       = 0.36 nm , M = 39.95 g/mol at room temperature (25°C). (5.4×10-3 J K-1m-1s-1)



                                                   22
7.    Calculate the rate of diffusion, Jz of a gas at 300 K with λ=1.00×10-5cm, d =
      3.16×10-8 cm, and M = 30.0 g/mol, if a concentration gradient is 1.00×10-7 mol
      cm-4? (9.2×1019 m-2s-1)

8.    The sheets of copper of area 1.50 m2 are separated in air by 10.0 cm. What is the
      rate of transfer of heat by conduction from the warm sheet, 50 oC to the cold
      sheet, -10 oC? Given : κ (air) = 0.1241 J K-1 m-1 s-1. (21.69 J s-1)

Exercise 6b (Objective questions)

      1. The statement below are true concerning the mean free path EXCEPT..

          A     λ is the everage distance travelled by a molecule between collisions.
          B     The average mass between collisions is c / λ
          C     At the equal molecule density ρ, the λ value of each gas is different.
          D     Mean free path , λ is proportonal to temperature.

      2. Diffusion coefficient, D depends on

           I   Size of molecules
          II   Mass of molecule
         III   Number of molecules
         IV    Molar heat capacity

         A. I and II B. I, III , and IV C. I, II , and III D. All

      3. Which of the following statements are true about the properties of gases?

           I   Diffusion occurs due to the difference in velocities
          II   The viscosity, is independent of pressure
         III   The thermal conductivity, K, is direcly propotional to T1/2
         IV    The rate of thermal transport along xy axis is directly proportinal to the
               temperature.gradient,dT/dz, along z axis.

         A. I and II B. III , and IV C. I, II , and III D. IV only

      4. Choose the correct statement(s) about the kinetics of gases and the trasport
         properties of gases?

           I In a diffusion process, the transported quantity is matter
          II The rate of effusion is inverly proportional to the molar mass.
         III If the pressure of a gas in a closed container is doubled, the mean free
               path will be halved.

           A. I only B. I and II C. II , and III D. I, II , and III




                                                23
Test questions

Feb., 2010

1.    Assume that an imaginary gas exhibits the following behavior;

          o At constant T, the P is inversely proportional to the square of the V.
          o At constant P, the V varies directly with the 2/3 power of the T.
                                                     P 3V 6
                Show that, under these conditions,          = a constant.
                                                       T4

2.      (Add in the seperated copy).
3.      A 100.0-mL flask contains 1.5 mol of pure O2 gas. If the mean free path
        O2 is 7.1057×10-8 m and the collision frequency for one particular O2
        molecule is 6.25×109 s-1, calculate (a) Mean speed,(b) Molecular density,
        (c) Average kinetic energy,and (d) Collision diameter.
4.      A container of fixed volume contains 2 ideal gases, A and B, of unknown
        quantity.The mole fraction of A in the mixture is 1/3 and the total pressure
        in the container at a given temperature is P1. Two additional mole of one
        of the gases are then injected into the container at the same
        temperature.The new total pressure, P2 is such that the ratio P2/P1 =11/9.
        Determine the number of moles of A and B originally present in the
        container.

Sept., 2009
1.   For molecules colliding with a wall an area A, show that the flux,
                              ∞
          ρ< v >                                   1
                 . Given that ∫ x n e −( ax ) dx =
                                           2
     JN =                                             , where n=1 and
            4                 0
                                                   2a
                           mv x 
                               2
                   1/ 2         
            m         −
                           2 kT 
   f(vx) =          e  
            2πkT 
           o
2. At 25 C, the mean free path for nitrogen molecules is 65.9 nm. Find (i) the
   pressure in atm, (ii) Time between collisions for nitrogen molecules.
   Given dN2= 0.375 nm; 1 atm =1.01325×105 Nm-2).

3.   (a) The density of dry air at 0.986 bar and 27 oC is 1.145 g dm-3. Calculate
         the composition of air assuming only N2 and O2 to be present.
     (b) A 20.5 L contains 2 mol of H2 and 1.5 mol of N2 at 25 oC. All of the H2
         reacted with N2 to form NH3. Calculate the partial pressure (in atm) of
         H2, N2 and NH3 in the container.




                                         24
Feb, 2009

1.   (a) Derive an expression for the compression factor of a van der Waals gas.
     (b) One mole of CO(g) at 300.5 K occupies a volume of 137.69 cm3. If it
        obeys the van der Waals equation, calculate the compression factor of the
        gas. Which intermolecular forces are dominating in the sample?(Given:
        Tc=132 K; Pc=35.9 atm, a =1.485 L2atm mol-2).

2.   The mole percentage composition of oxygen in dry air is 20.97%.Calculate
       the number of collisions made by oxygen against a wall with an area of
       2.0 cm2 in 5 seconds, at 1 bar(air pressure) and 25 oC.

3.   Two sheets of copper of area 1.50 m2 are separated in air by 10.0 cm. What is
       the rate of transfer heat by conduction from the warm sheet (50 oC) to the
       cold sheet(-10 oC)?[Given κ (air) = 0.024 1 J K-1s-1]

4.   Consider samples of pure He(g) and pure Ar(g), each at 100 K and 1 atm. For
       each of the following properties, state which gas (if any) has the greater
       value. Give a short reason.(a) vrms (b) ε k (c) λ (d) JN.

August, 2008

1.     The foiling gases are produced from exploding 5.0 mL of nitroglycerine
       C3H5(NO3)3 at 25 oC and a final pressure of 1 atm, 4C3H5(NO3)3 (l)→
       6N2(g) + O2(g) + 12CO2(g) + 10H2O(l). Calculate the volume occupied
       by the gases and the partial pressure (in torr) of CO2(g) if the density of
       nitroglycerine is 1.59 g mL-1. Assume all gases behave ideally.

2.    What is the critical temperature for a van der Waals gas that has a critical
       pressure, Pc=100 atm and b= 50 cm3 mol-1?

3.     The diffusion coefficient, D, for nitrogen gas at 300 K and 1.2 atm is
       8.89×10-6 m2s-1. Calculate the mean free path, λ , and the collision
       diameter, d. [Used the simplified form for D]. Indicate how D varies with:
       (i) Pressure, (ii) Temperature at constant P.

March, 2007

                                                                               RT     a
1.     A gas is found to obey the following equation of state: P =                 − ,
                                                                              V −b V
       where a and b are constants not equal to zero. Determine whether this gas
       has a critical point, if it does, express the critical constants in term of a and
       b. If it does not, explain how do you determined this and the implication
       for the statement of the problem.

2. (a) A solid surface with a 1.5 mm × 3.2 mm dimension is exposed to neon gas
       at 111 Pa and 1500 K. How many collisions do the Ne atoms make with
       this surface in 10 s?


                                          25
(b) Calculate the thermal conductivity of neon gas ata300 K and 15 mbar. The
         gas in confined a cubic vessel of side 15 cm. The temperature of one side
         of the wall is 305 K and the one at the opposite is 335 K. What is the rate
         of flow of energy (as heat) from one wall to the other?
         [Given.RMM Ne=20.18 g mol-1, Cv,m=3R/2, dNe=0.439 nm].

3.       A gas mixture is made of H2 and NO2 at the pressure of 1 bar and
        temperature of 25 oC. If the mole fraction of NO2 is 0.32, calculate (a)
        molecular density of H2 (b) reduced mass of the mixture,(c) relative speed
        H2 respect to NO2 (d) collision frequency, z(H2-H2) (e) collision density,
        ZH2-NO2.[Given dH2= 0.361 nm and dNO2=0.562 nm].




                                         26

Topic 6 kft 131

  • 1.
    TOPIC 6 –TRANSPORT PROPERTIES Examples of Solved Problems 1. What is the diffusion coefficient, D of CO2 at 400 bar and 300 oC? dCO2= 0.40 nm. Answer: Use simple formula for D = ⅓ λ<v> = 1 λ c 3 1/ 2 1/ 2  8 RT   8 × 8.314 × 573  −1 < v >=   =  π × 44 × 10 −3  = 525ms  πM    N PN A 400 bar × 6.022 × 10 23 mol −1 1L ρ= = = −1 −1 × −3 3 = 5.06 × 10 25 m −3 V RT 8.3145 L bar K mol × 573 K 10 m <v> 1 λ= = z11 2πd 2 ρ 1 = −9 2 25 −3 = 2.78 × 10 −8 m 2π (0.4 × 10 m) (5.06 × 10 m ) 1 6 2 1 D = (2.78 × 10 −8 m)(525 m s −1 ) = . 8 7 4 ×0 1 − m s − 3 –1 2 2. Calculate the viscosity of methane (16.04 g mol ) vapor at 273 K. Take πd2 = 0.46 nm . 1/ 2 5π  kT  m Formula given: η =   2 and k =1.38×10-23 J K-1. 16  πm  πd Answer: Use the formula given for the calculation: M 16.04 × 10 −3 kg mol −1 m= = = 2.66 × 10 − 26 kg NA 6.02 × 10 23 mol −1 1/ 2 5π  kT  m η=   16  πm  πd 2 1/ 2 5π  (1.381 × 10 − 23 J K −1 )(273 K )  2.66 × 10 − 26 kg 5 − 1 − 1 − =   =. 6 1 3 1 ×0 k g m s . 16  π × 2.66 × 10 − 26 kg  0.46 × 10 −18 m 2 21
  • 2.
    3. Calculate the thermal conductivity of neon gas at 300 K and 15 mbar. The gas in confined a cubic vessel of side 15 cm. The temperature of one side of the wall is 305 K and the opposite is 335 K. What is the rate of flow of energy (as heat) from one wall to the other ? Given for Ne: Mr=20.18, Cv,m=1.5 R , d= 0.439 nm. Answer: Use the approximation formula for K = ⅓ λ<v> C v ,m [ A] = 1 c C v , m λ[ A] 3 1/ 2 1/ 2  8 RT   8 × 8.314 × 300  −1 c =< v >=   =  π × 20.18 × 10 −3  = 561 m s  πM    N nN A ρ= = V V <v> 1 n 1 V n 1 1 λ × [ A] = × [ A] = 2 × = 2 × × = 2 × z11 2πd ρ V 2πd nN A V 2πd NA 1 = −9 2 23 −1 = 1.94 × 10 −6 m −2 mol 2π (0.439 × 10 m) (6.02 × 10 mol ) 1 K = (1.94 × 10 −6 m −2 mol )(561 m s −1 )(1.5 × 8.314 JK −1 mol −1 ) 3 = 0.0453 J m-1s-1K-1. The rate of flow of energy (as heat) = qz× A= - K dT × A dZ (335 − 305) K -1 -1 = -(0.0453 J m s K ) -1 −2 ×(15×10-2 m)2= - 0.204 J s-1 15 × 10 m Exercise 6a 1. The viscosity, η of H2 at STP is 5.40 ×10-5 poies. Calculate the mean free path of H2. (1.07×10-7 m ) 2. Calculate the viscosity, η of molecular oxygen at 373 K and 1 atm, dO2= 0.361 nm. (1. 98×10-4 poies). 3. The viscosity, η of helium is 1.88×10-4 P at 0 oC. Calculate the collision diameter. (0.179 nm) 4. For Ne (20.18 g mol-1) at 1 atm and 0 oC , η =2.97×10-4 poies. Predict the diffusion coefficient, D of Ne ? ( 0.33 cm2s-1). 5. Calculate the flux of energy arising from a temperature gradient of –30 K/m in a –1 –1 –1 sample of krypton at a mean temperature for which κ = 0.0087 J K m s . (0.261 J m-2s-1) −1 −1 6. Calculate the thermal conductivity, κ of argon. Given Cv,m = 12.5 J K mol , πd2 2 = 0.36 nm , M = 39.95 g/mol at room temperature (25°C). (5.4×10-3 J K-1m-1s-1) 22
  • 3.
    7. Calculate the rate of diffusion, Jz of a gas at 300 K with λ=1.00×10-5cm, d = 3.16×10-8 cm, and M = 30.0 g/mol, if a concentration gradient is 1.00×10-7 mol cm-4? (9.2×1019 m-2s-1) 8. The sheets of copper of area 1.50 m2 are separated in air by 10.0 cm. What is the rate of transfer of heat by conduction from the warm sheet, 50 oC to the cold sheet, -10 oC? Given : κ (air) = 0.1241 J K-1 m-1 s-1. (21.69 J s-1) Exercise 6b (Objective questions) 1. The statement below are true concerning the mean free path EXCEPT.. A λ is the everage distance travelled by a molecule between collisions. B The average mass between collisions is c / λ C At the equal molecule density ρ, the λ value of each gas is different. D Mean free path , λ is proportonal to temperature. 2. Diffusion coefficient, D depends on I Size of molecules II Mass of molecule III Number of molecules IV Molar heat capacity A. I and II B. I, III , and IV C. I, II , and III D. All 3. Which of the following statements are true about the properties of gases? I Diffusion occurs due to the difference in velocities II The viscosity, is independent of pressure III The thermal conductivity, K, is direcly propotional to T1/2 IV The rate of thermal transport along xy axis is directly proportinal to the temperature.gradient,dT/dz, along z axis. A. I and II B. III , and IV C. I, II , and III D. IV only 4. Choose the correct statement(s) about the kinetics of gases and the trasport properties of gases? I In a diffusion process, the transported quantity is matter II The rate of effusion is inverly proportional to the molar mass. III If the pressure of a gas in a closed container is doubled, the mean free path will be halved. A. I only B. I and II C. II , and III D. I, II , and III 23
  • 4.
    Test questions Feb., 2010 1. Assume that an imaginary gas exhibits the following behavior; o At constant T, the P is inversely proportional to the square of the V. o At constant P, the V varies directly with the 2/3 power of the T. P 3V 6 Show that, under these conditions, = a constant. T4 2. (Add in the seperated copy). 3. A 100.0-mL flask contains 1.5 mol of pure O2 gas. If the mean free path O2 is 7.1057×10-8 m and the collision frequency for one particular O2 molecule is 6.25×109 s-1, calculate (a) Mean speed,(b) Molecular density, (c) Average kinetic energy,and (d) Collision diameter. 4. A container of fixed volume contains 2 ideal gases, A and B, of unknown quantity.The mole fraction of A in the mixture is 1/3 and the total pressure in the container at a given temperature is P1. Two additional mole of one of the gases are then injected into the container at the same temperature.The new total pressure, P2 is such that the ratio P2/P1 =11/9. Determine the number of moles of A and B originally present in the container. Sept., 2009 1. For molecules colliding with a wall an area A, show that the flux, ∞ ρ< v > 1 . Given that ∫ x n e −( ax ) dx = 2 JN = , where n=1 and 4 0 2a  mv x  2 1/ 2    m  −  2 kT  f(vx) =   e    2πkT  o 2. At 25 C, the mean free path for nitrogen molecules is 65.9 nm. Find (i) the pressure in atm, (ii) Time between collisions for nitrogen molecules. Given dN2= 0.375 nm; 1 atm =1.01325×105 Nm-2). 3. (a) The density of dry air at 0.986 bar and 27 oC is 1.145 g dm-3. Calculate the composition of air assuming only N2 and O2 to be present. (b) A 20.5 L contains 2 mol of H2 and 1.5 mol of N2 at 25 oC. All of the H2 reacted with N2 to form NH3. Calculate the partial pressure (in atm) of H2, N2 and NH3 in the container. 24
  • 5.
    Feb, 2009 1. (a) Derive an expression for the compression factor of a van der Waals gas. (b) One mole of CO(g) at 300.5 K occupies a volume of 137.69 cm3. If it obeys the van der Waals equation, calculate the compression factor of the gas. Which intermolecular forces are dominating in the sample?(Given: Tc=132 K; Pc=35.9 atm, a =1.485 L2atm mol-2). 2. The mole percentage composition of oxygen in dry air is 20.97%.Calculate the number of collisions made by oxygen against a wall with an area of 2.0 cm2 in 5 seconds, at 1 bar(air pressure) and 25 oC. 3. Two sheets of copper of area 1.50 m2 are separated in air by 10.0 cm. What is the rate of transfer heat by conduction from the warm sheet (50 oC) to the cold sheet(-10 oC)?[Given κ (air) = 0.024 1 J K-1s-1] 4. Consider samples of pure He(g) and pure Ar(g), each at 100 K and 1 atm. For each of the following properties, state which gas (if any) has the greater value. Give a short reason.(a) vrms (b) ε k (c) λ (d) JN. August, 2008 1. The foiling gases are produced from exploding 5.0 mL of nitroglycerine C3H5(NO3)3 at 25 oC and a final pressure of 1 atm, 4C3H5(NO3)3 (l)→ 6N2(g) + O2(g) + 12CO2(g) + 10H2O(l). Calculate the volume occupied by the gases and the partial pressure (in torr) of CO2(g) if the density of nitroglycerine is 1.59 g mL-1. Assume all gases behave ideally. 2. What is the critical temperature for a van der Waals gas that has a critical pressure, Pc=100 atm and b= 50 cm3 mol-1? 3. The diffusion coefficient, D, for nitrogen gas at 300 K and 1.2 atm is 8.89×10-6 m2s-1. Calculate the mean free path, λ , and the collision diameter, d. [Used the simplified form for D]. Indicate how D varies with: (i) Pressure, (ii) Temperature at constant P. March, 2007 RT a 1. A gas is found to obey the following equation of state: P = − , V −b V where a and b are constants not equal to zero. Determine whether this gas has a critical point, if it does, express the critical constants in term of a and b. If it does not, explain how do you determined this and the implication for the statement of the problem. 2. (a) A solid surface with a 1.5 mm × 3.2 mm dimension is exposed to neon gas at 111 Pa and 1500 K. How many collisions do the Ne atoms make with this surface in 10 s? 25
  • 6.
    (b) Calculate thethermal conductivity of neon gas ata300 K and 15 mbar. The gas in confined a cubic vessel of side 15 cm. The temperature of one side of the wall is 305 K and the one at the opposite is 335 K. What is the rate of flow of energy (as heat) from one wall to the other? [Given.RMM Ne=20.18 g mol-1, Cv,m=3R/2, dNe=0.439 nm]. 3. A gas mixture is made of H2 and NO2 at the pressure of 1 bar and temperature of 25 oC. If the mole fraction of NO2 is 0.32, calculate (a) molecular density of H2 (b) reduced mass of the mixture,(c) relative speed H2 respect to NO2 (d) collision frequency, z(H2-H2) (e) collision density, ZH2-NO2.[Given dH2= 0.361 nm and dNO2=0.562 nm]. 26