Master of Physics
Simulations of inelastic light scattering
properties of semiconductor thin films and
superlattices
by
Nicolas LARGE
Paul Sabatier University of Toulouse
Advisers :
Prof. Adnen Mlayah (CEMES - Toulouse, France)
Dr. Javier Aizpurua (DIPC - San Sebastián, Spain)
March - June 2007
CONTENTS
Contents
Acknowledgments 2
Introduction 3
1 Raman-Brillouin Electronic Density : Quantum layers (SOI and membranes) 5
1.1 Description of the System . . . . . . . . . . . . . . . . . . . . . . . . . . . . . . . 5
1.2 Raman-Brillouin Electronic Density . . . . . . . . . . . . . . . . . . . . . . . . . . 6
1.3 Results and Discussions . . . . . . . . . . . . . . . . . . . . . . . . . . . . . . . . 8
1.3.1 Construction of the RBED . . . . . . . . . . . . . . . . . . . . . . . . . . . 8
1.3.2 Size dependence of the RBED . . . . . . . . . . . . . . . . . . . . . . . . . 9
1.3.3 Simulations of Raman-Brillouin spectra - Comparison with experiments . . 11
2 Raman-Brillouin Electronic Density : Superlattices 13
2.1 Description of the Systems . . . . . . . . . . . . . . . . . . . . . . . . . . . . . . . 13
2.2 Envelope wave functions . . . . . . . . . . . . . . . . . . . . . . . . . . . . . . . . 14
2.3 Tight-Binding model . . . . . . . . . . . . . . . . . . . . . . . . . . . . . . . . . . 15
2.4 Raman-Brillouin Electronic Density . . . . . . . . . . . . . . . . . . . . . . . . . . 17
2.4.1 Photonic effects . . . . . . . . . . . . . . . . . . . . . . . . . . . . . . . . . 17
2.4.2 Comparison between envelope wave functions and Tight-Binding states . . 19
Conclusion and Perspectives 20
A Normalization of the RBED 21
B Energies of electron and hole states with envelope functions 22
C Tight-Binding coefficients - steps of the RBED calculations 23
D Examples of Tight-Binding output files 25
List of Figures 29
List of Tables 30
References 31
1
ACKNOWLEDGMENTS
Acknowledgments
This work has been planed in the framework of a “cotutelle” work. Indeed, I spent one month
in San Sebastián working on the tight-binding method.
First, I would like to thank my adviser, Prof. Adnen Mlayah from the “Centre d’Elaboration
des Matériaux et d’Etudes Structurales” (CEMES) 1
and Paul Sabatier University of Toulouse,
for sending me to San Sebastián in order to learn new methods and to gain additional experience
in a foreign research laboratory. I would like to underline that Prof. Mlayah had confidence in
me and let me manage and handle my work by myself ; I had the opportunity to demonstrate
that I was able to work in Research and to be the link between both laboratories (CEMES and
DIPC).
Then, I would like to sincerely thank Dr. Javier Aizpurua from the “Donostia International
Physics Center” (DIPC) of the University of the Basque Country of San Sebastián 2
for welcoming
me in this great theoretical physics center where I found very good work conditions. This one-
month stay was very interesting since I learned new calculation methods, scientific approach,
working relationship and personal knowledges. I had the opportunity to work with a friendly
research group devoted to the field of the structural, electronic and optical properties of solids,
surfaces and low-dimensional systems ; a particular attention is paid to nanoscale physics. I
joined the Condensed Matter Physics group leaded by Prof. Pedro Miguel Echenique. I would
also like to thank him for his kind welcome.
Finally, I would like to thank all other people, mainly PhD students from DIPC who were so
friendly during this training period and whom I exchange many scientific points of view. I give
them a big thank for helping me to improve my Spanish.
1
CEMES - CNRS, 29 rue Jeanne Marvig, BP94347 - 31055 Toulouse Cedex 4 - France
2
Fundación DIPC, paseo Manuel de Lardizábal,4 - 20018 Donostia-San Sebastián - Spain
2
INTRODUCTION
Introduction
Inelastic light scattering by acoustic vibrations has attracted an increasing interest for many
years ; many experimental and theoretical studies have been reported on this topic [1][2]. Raman-
Brillouin light scattering, is used to study nanostructures consisting of spatially distributed ob-
jects such as quantum wells, wires, dots and particles. The information one can extract through
Modelling and simulations of Raman-Brillouin spectra and comparison with experiments is very
rich (size and shape distributions, spatial correlation,...). Hence, it is very important to propose
realistic models which can be directly compared to experiments. Moreover, modelling of vibra-
tional and electronic properties of nanostructures is very useful for the design of new materials
and devices.
In this work, we will consider two-dimensional systems consisting either of single isolated
quantum layer or superlattices. Two main approaches are usually used for the interpretation and
calculation of the acoustic phonon Raman-Brillouin scattering in nanostructures.
The first approach is based on the well-known Photoelastic Model [3] which introduces a
modulation of the bulk material optical properties by acoustic vibrations through photoelastic
coefficients (Pockels coefficients). In this model, the light scattering is due to the modulation of
the dielectric susceptibility by the vibration modes. The integral form of the photoelastic model
leads to a Raman-Brillouin scattered intensity proportional to
2π
¯h
A∗
s(z)Ai(z)P(z)
∂um(z)
∂z
dz
2
, (1)
where P(z) is the spatial variation of the photoelastic coefficient and Ai and As are the incident
and scattered photons fields. Here the z-direction denotes the direction of confinement (growth
direction), ∂um(z)
∂z
is the deformation generated in the z-direction by longitudinal acoustic (LA)
phonons.
The second approach which allows to calculate the Raman-Brillouin efficiency is based on a
quantum mechanical description of the light scattering. The scattering process is described as a
three steps process : incident photon absorption, phonon absorption or emission and scattered
photon emission. Whereas the first and second order correction terms of the perturbation theory
describe respectively the optical absorption and the Rayleigh scattering, the third order term
gives the Raman-Brillouin scattering probability [4][5] :
I =
2π
¯h e,e ,h
h|Hs
e−pht|e e |He−phn|e e|Hi
e−pht|h
(Es − Ee −h + iγe −h) (Ei − Ee−h + iγe−h)
2
, (2)
3
INTRODUCTION
where e,e and h are electron and hole eigenstates ; Ee−h and γe−h are the energy and the homo-
geneous line width of the e − h transitions. Ee−h is defined as : Ee−h = Eg + Ee + Eh where Eg
is the bulk direct band gap and Ee(h) are the electron (hole) confinement energy.
In several published works, the photoelastic model has been used for the interpretation of
experiments. In many experimental situations (off resonance optical excitation and for very thick
layers), this model gives a reasonable description of the light scattering properties. However,
for resonant optical excitation and for very thin layers its validity becomes questionable. On
the other hand, the quantum model is able to describe resonance effects since the electronic
states are taken into account explicitly. Nevertheless, when thousands of electronic states are
involved, strong interferences between the scattering amplitudes lead to complex features of the
light scattering spectra. Using equation 2, we propose to generate an effective electronic density,
here called Raman-Brillouin Electronic Density (RBED), which allows to describe the resonant
light scattering process in a rather simple way even when a large number of electronic states are
involved (as intermediate states). This effective Raman-Brillouin Electronic Density has been
introduced recently in references [10][11][12]. It depends on the excitation energy and on the
spatial distribution of the electronic states. Therefore, it is important to correctly describe the
confined electronic states (energies and wave functions).
In this work, we present two approaches for this calculation. First, we use the parabolic bands
and effective masses approximation (envelope wave functions) to describe the electronic states
around the Γ point (k = 0) of the first Brillouin zone. Then, we use an atomistic description of
the electronic eigenstates of the system based on an empirical Tight-Binding model. In this way,
realistic band dispersions are also obtained for the whole Brillouin zone.
The Raman-Brillouin electronic density is simulated using both the envelope wave functions
and the tight-binding electron and hole single states. The simulated Raman spectra are compared
to experiments on thin Silicon layers.
4
Chapter 1. Raman-Brillouin Electronic Density : Quantum layers (SOI and
membranes)
Chapter 1
Raman-Brillouin Electronic Density :
Quantum layers (SOI and membranes)
1.1 Description of the System
In this section, we briefly describe the isolated thin Silicon-On-Insulator (SOI) films and
freestanding Silicon membranes (dimensions Lx, Ly, Lz). This rather simple systems allow to
introduce the concept of Raman-Brillouin electronic density in a simple way and to keep within
analytical and tractable calculations. The present approach will be then extended to periodic
multilayers.
It is important for the resonant light scattering to know the electronic bands dispersion of the
bulk Silicon [6][7].
Fig. 1.1 : Bulk band structure of Silicon.
Fig. 1.2 : Optical microscope image (left) and
schema (right) of a Silicon membrane [14].
Silicon is an indirect band gap semiconductor. UV Raman-Brillouin experiments are usually
performed with an optical excitation close to resonance with the direct band gap Eg = 4.2 eV
involving transitions from the top of the valence band to the Γ2 conduction band minimum (EΓ2 as
shown in figure 1.1). Moreover, the conduction and valence bands dispersions are indeed parabolic
around the Γ2 point. Thus, we introduce effective masses for electrons (me = 0.28m0 [8]) and holes
(mh = 0.49m0 [9]). Figure 1.3 shows Raman-Brillouin scattering schemes involving electron and
5
Chapter 1. Raman-Brillouin Electronic Density : Quantum layers (SOI and
membranes)
hole states with confinement energies Ee(h) and homogeneous broadening γe(h). ¯hωm = Ei − Es is
the difference between incident and scattered photon energies. The emission of a vibration mode
is the Stokes process (cf. figure 1.3a) and absorption is the anti-Stokes process (cf. figure 1.3b).
Fig. 1.3 : Resonant Raman-Brillouin scattering involving electron and hole states and absorption (a)
(or emission (b)) of vibration modes.
Fig. 1.4 : Raman scattering spectra of a
32.5 nm thick SOI membrane for an excitation
at λi = 413 nm recorded at two different res-
olutions [14]. These spectra clearly show low
frequency confined acoustic vibration modes.
For free surfaces boundary conditions, the displacement field of longitudinal acoustic phonons
is given along the z-direction by :
um(z) =
¯h
2ρV ωm
cos
mπz
Lz
, (1.1)
where ρ and V are the mass density and sample volume. The frequency of the confined longitudinal
vibration modes m, assuming a linear dispersion, is proportional to the longitudinal sound velocity
vL : ωm = vLkm where km = π m
Lz
(m is an integer) is the quantized phonon wave vector.
1.2 Raman-Brillouin Electronic Density
Considering equation 2, we shall describe interaction between photons (incident and scattered),
electrons and phonons. Here, electrons (or holes) play the role of intermediate states. Assuming
6
Chapter 1. Raman-Brillouin Electronic Density : Quantum layers (SOI and
membranes)
that electrons and holes are perfectly confined within the film (Lz Lx, Ly), along the z-direction,
the envelope wave functions are given by
ψn(z) =
2
Lz
sin
nπz
Lz
. (1.2)
Using the parabolic band approximation introduced in section 1.1, the confinement energies
for electrons and holes are, respectively, En
e = ¯h2
π2
2me
n2
L2
z
and En
h = ¯h2
π2
2mh
n2
L2
z
.
The electron-photon interaction Hamiltonian is given by H
i(s)
e−pht =
qp·Ai(s)
me
; p being the electron
quantum momentum and Ai(s) the vector potential of the incident (resp. scattered) photons field.
For the electron-phonon interaction Hamiltonian we assume a deformation potential involving
longitudinal acoustic vibrations given by He−phn = De(h) · u, where De(h) is the deformation
potential energy for electrons (resp. holes).
Rewriting equation 2, one can obtain the following Raman-Brillouin Electronic Density (RBED)
[10][11][12] :
ρRB (Ei, Es, z) =
1
R (Ei, Es) e,e ,h
Rs
h,e (Es)ψ∗
e (z)Ri
e,h(Ei)ψe(z), (1.3)
where R
i(s)
e,h (Ei(s)) is a dimensionless resonance factor given by
R
i(s)
e,h (Ei(s)) =
e|H
i(s)
e−pht|h
Ei(s) − Ee−h + iγe−h
(1.4)
and
R (Ei, Es) =
e,h
Rs
h,e(Es)Ri
e,h(Ei) (1.5)
is a normalization factor satisfying ρRB(z)dz = 1 1
.
ρRB(z) is determined by the sum over the initial hole states of the overlap between the effec-
tive electronic state e Ri
e,h(Ei)ψe(z) and the effective electronic state e Rs
h,e (Es)ψe (z). The
RBED is a complex function having real and imaginary parts due to the homogeneous broadening
γe−h. This density allows to write the Raman-Brillouin quantum efficiency as
R (Ei, Es) De(h) ρRB(z)
∂um(z)
∂z
dz
2
(1.6)
The RBED is the electronic density distribution which gives rise to light scattering. It is con-
structed by combining the confined electronic transitions weighted by the resonance factor R
i(s)
e,h
(e.g. transition energies and oscillator strength). By means of the RBED, one is able to plot a
single effective electronic density even though thousands of confined electron and hole states do
contribute to the light scattering.
Equation 1.6 is very similar to equation 1 of the photoelastic model. In the following we shall
use the RBED to discuss the validity of the photoelastic model with respect to resonance effects
and size effects [12].
1
A detailed calculation of the normalization factor is given in appendix A.
7
Chapter 1. Raman-Brillouin Electronic Density : Quantum layers (SOI and
membranes)
1.3 Results and Discussions
In this section we shall describe the Raman-Brillouin Electronic Density in terms of shape and
size dependences, and optical resonance effects. We will present how to construct this density
and show the convergence of this construction.
1.3.1 Construction of the RBED
Figure 1.5 shows the spatial distribution of the RBED calculated using equation 1.3 for a
film thickness Lz = 10 nm and for several optical excitation energies defined using the reduced
detuning δ = [Ei − (Eg + E1
e + E1
h)] / (E1
e + E1
h).
Fig. 1.5 : Modulus of the Raman-Brillouin Electronic Density along the z-direction for reduced detuning
ranging from δ = −7 to δ = 12. The homogeneous broadening is γ = γe−h/ E1
e + E1
h = 1.2 (i.e.
γe−h = 25 meV which is the thermal broadening at room temperature).
From figure 1.5 we are able to determine the electronic transitions which contribute to the
RBED for different excitations. Indeed, for excitations well below the fundamental electron-hole
transition (δ = −7 and −4), the RBED distribution within the layer is quasi-uniform. There is
no selection of a particular transition. Close to resonance (δ = −1.5 and 0), the contribution
of the first confined electron-hole transition is dominant. For higher energies, contributions of
higher energy transitions are visible through the oscillations of |ρRB| : second confined transition
for δ ≈ 4, third confined transition for δ ≈ 7 and fourth confined transition for δ ≈ 12.
We have studied the convergence of the RBED as a function of the number of electronic states
included in the calculations. Figure 1.6 shows the construction of the RBED for a δ = −7 and
γ = 1.2.
The degree of convergence of the RBED (cf. insert) is evaluated using two complementary
parameters defined as µ = ||ρn
RB,max| − |ρn−1
RB,max||/|ρn
RB,max| (circles) and η = 1 − ||ρ15
RB,max| −
|ρn
RB,max||/|ρ15
RB,max| (stars). The RBED reaches 91 percent of its final value when using 3 electron
and 3 hole states in the calculation. This convergence is very rapid and hence including thousands
8
Chapter 1. Raman-Brillouin Electronic Density : Quantum layers (SOI and
membranes)
Fig. 1.6 : Construction of the RBED for δ = −7 and γ = 1.2. n is the number of electron states and
the number of hole states considered in the calculation. Here, n is increasing from 1 to 15.
of electronic states in the calculation of RBED and Raman-Brillouin spectra is not necessary. In
the following, 10 electron and 10 hole states are used for the simulations of the RBED, ensuring
convergence of the results.
1.3.2 Size dependence of the RBED
As mentioned previously, the RBED profile depends on the film thickness. Figure 1.7 plots the
spatial distribution of the RBED for several film thicknesses. One can see that the RBED varies
from a cosine-like function to a trapezoid-like function and it strongly oscillates with increasing
layer thickness. For a very thin layer (Lz = 2 nm), the RBED can be approximated by a triangle
profile and by a trapezoid profile for Lz ≤ 30 nm. Here, we compare the RBED to these simple
profiles because in the photoelastic model a step-like profile is usually assumed for the photoelastic
coefficient (i.e. constant within the layer and zero outside, shown by the dotted lines in figure 1.7).
The deviation of the step-like and the trapezoid-like profiles from the RBED is evaluated as
ξstep(trap) = Sstep(trap) − |ρRB(z)| dz / |ρRB(z)| dz, where Sstep(trap) corresponds to the integral
of the step-like (resp. trapezoid-like) profile. This deviation is plotted in the upper panel of fig-
ure 1.7 as a function of the layer thickness. One can see that strong deviations of the RBED from
the step-like or trapezoid-like profiles are found for layer thicknesses smaller than 10 nm. This
shows the limitations of the photoelastic model which assumes a step-like photoelastic constant
whatever the layer thickness.
The oscillations of the RBED in the figure 1.7 are due to off-diagonal electron-photon matrix
elements in equation 2 (different electron and hole wave functions). Indeed, both diagonal and
off-diagonal electron-photon matrix elements contribute to the RBED. This is shown in figure 1.8.
For thin layers, the optical fields can be considered as quasi-uniform within the layer : ki(s)Lz 1.
Hence, Ai(z) and As(z) (in equation 2) are slowly varying functions along the z-direction. With
9
Chapter 1. Raman-Brillouin Electronic Density : Quantum layers (SOI and
membranes)
Fig. 1.7 : Lower panel : Modulus of the RBED
for Lz = 2 nm to Lz = 100 nm, γ = 25 meV
and for a fixed excitation of Ei = 4.075 eV . For
each Lz, the RBED profile can be approximated
by a trapezoid-like profile (bold dashed line).
The step-like profile (bold dotted line) usually
assumed for the photoelastic coefficient is also
shown for comparison. Upper panel : deviation
of the step-like and trapezoid-like profiles from
the RBED as a function of the layer thickness.
Fig. 1.8 : Diagonal (ρon
RB) and off-diagonal (ρoff
RB ) RBED modulus for different thicknesses ranging from
Lz = 2 nm to Lz = 100 nm for δ = −7 and γ = 1.2
10
Chapter 1. Raman-Brillouin Electronic Density : Quantum layers (SOI and
membranes)
increasing thickness, different electron and hole wave functions (off-diagonal contributions) are
coupled by the spatial variation of the optical fields at the photon emission and absorption steps.
For bulk materials, only off-diagonal contribution to the RBED is allowed due to wave vector
conservation rule.
1.3.3 Simulations of Raman-Brillouin spectra - Comparison with ex-
periments
Figure 1.9 shows the spectra calculated using the Raman-Brillouin quantum model (equation
1.6) and the photoelastic model (equation 1). Each spectrum has been normalized to the intensity
of the first low-frequency peak. The spectrum generated with the trapezoid-like profile, fitting
the RBED for Lz = 10 nm (cf. figure 1.7), is similar to the one generated using the RBED.
Fig. 1.9 : Raman-Brillouin spectra simu-
lated using the Raman-Brillouin quantum model
(RBED) and the photoelastic model using step-
like and trapezoid-like profiles (Lz = 10 nm,
δ = −7 and γ = 1.2).
Fig. 1.10 : Simulated (photoelastic model with
step-like profile) and measured Raman spectra of
the 31.5 nm thick SOI membrane [14].
In addition, one can notice that the short wavelength acoustic phonons are very sensitive to
the details of the RBED and photoelastic profiles. The shorter the wavelength, the greater the
sensitivity to the photoelastic profile.
In most of the published works [1], the photoelastic model succeeded in simulating the acoustic
phonons induced Raman scattering in low-dimensional systems. This is shown in figure 1.10
where calculated and measured Raman-Brillouin spectra from a 31.5 nm thick Silicon membrane
is shown. Nevertheless, for short period superlattices [13] (i.e. layer thicknesses smaller than
the acoustic wavelengths), or for excitation close to optical resonances, strong deviations are
observed. In these situations, the RBED distribution strongly deviates from the step-like profile
(cf. figure 1.5 and figure 1.7) and therefore the photoelastic model fails to describe the Raman-
Brillouin peak intensities.
11
Chapter 1. Raman-Brillouin Electronic Density : Quantum layers (SOI and
membranes)
Moreover, one can notice in figure 1.10 that a very good agreement between calculated and
measured spectra is obtained in the low frequency range (i.e. below 20 cm−1
). On the contrary, at
higher frequencies, the photoelastic model using a step-like coefficient overestimates the scattered
intensities. According to figure 1.7 differences between the Raman-Brillouin intensities calculated
with the trapezoid-like and step-like profiles are indeed expected for such thin layers. It is worth-
while to mention that due to the low scattering efficiency of very thin layers, experiments are
usually performed close to resonance with some optical transitions involving confined electronic
states. This enhances the Raman scattering but the latter can no longer be described by the pho-
toelastic model. For this limiting situations, the quantum model is more appropriate to describe
the structures.
12
Chapter 2. Raman-Brillouin Electronic Density : Superlattices
Chapter 2
Raman-Brillouin Electronic Density :
Superlattices
2.1 Description of the Systems
We consider in this section a superlattice system that consists of periodic GaAs/AlAs wells.
In addition to the quantum confinement effects, periodicity effects play an important role for the
electronic properties. Our aim is to construct the RBED for these superlattices and to study its
dependence on the superlattice period and on the optical excitation energy.
A GaAs/AlAs superlattice is generated from a supercell defined as shown in figure 2.1, by
translation vectors of the Bravais lattice with a lattice constant. The lattice constants used to
generate the supercell are : aGaAs = 0.56660 nm and aAlAs = 0.56600 nm [19][20].
Fig. 2.1 : GaAs/AlAs supercell used to gen-
erate the infinite structure through translation
vectors A1 ∝ ex, A2 ∝ ey and A3 ∝ ez. Red
and blue circles correspond to cations (Al and
Ga respectively) and black stars correspond to
anions (As).
Fig. 2.2 : Atomistic description : GaAs/AlAs
supercell in (y, z) which allows to generate the
superlattice along the y-direction using A2 trans-
lations.
13
Chapter 2. Raman-Brillouin Electronic Density : Superlattices
The supercell shown in figure 2.1, is the pattern of the superstructure. However, it should be
mentioned that this cell is generally not the irreducible unit cell. The irreducible cell contains
four atoms (one GaAs and one AlAs) and is generated by the unit vectors a1 = 1
2
(ex + ez),
a2 = 1
2
(ex + ey) and a3 = 1
2
(ey + ez). Nevertheless, because of the periodicity along the z-
direction (001), and the geometry of the structure, it is more convenient to use the supercell and
the Ai basis presented above. This supercell will generate the superlattice structure of interest,
hosting all the electronic states involved in the absorption and emission processes along the
corresponding Brillouin zone.
The upper and lower layers are half AlAs layers because of the periodicity in the z-direction
generated by A3. A1 and A2 generate the periodic structure in the x and y directions, (cf.
figure 2.2 and figure 2.3).
Fig. 2.3 : GaAs/AlAs superlattice and po-
tential profile of conduction and valence bands
along the growth direction.
The period of the superlattice is d = dGaAs +dAlAs where dGaAs and dAlAs are the thicknesses of
GaAs and AlAs layers, respectively. For our simulations we use a set of experimental parameters :
dGaAs = {2.9 nm, 2.0 nm, 0.99 nm} and dAlAs = {1.25 nm, 2.43 nm, 3.5 nm}, which corresponds
to a mean period of d ≈ 4.5 nm (cf. figure 2.3). 200 periods have been grown by molecular beam
epitaxy on a (001) GaAs substrate. These structures were studied by Raman scattering in the
group of Dr. B. Jusserand at the Institute for Nanosciences (Paris).
For infinite superlattices, electron and hole eigenstates and their corresponding energies are
wave vector k dependent. The k-dispersion of the eigenstates has to be taken into account in the
light scattering process, by the means of a proper integration over the whole reciprocal space.
2.2 Envelope wave functions
To obtain the electronic wave functions, Schrödinger equation is solved assuming the square-
wells profiles shown in figure 2.3 and using the Kroenig-Penney model. The electronic states are
14
Chapter 2. Raman-Brillouin Electronic Density : Superlattices
described as Bloch functions :
Ψe(h)(z) = uc(v)(z)ψe(h)(z), (2.1)
where uc(v)(z) is an atomic-like wave function and ψe(h)(z) the envelope wave function.
For a single quantum well one obtains discrete energy levels associated with confined electronic
states. For a 2 nm thick GaAs quantum well and according to the GaAs/AlAs band-offsets we
found only two confined electron states, three confined heavy hole states and two confined light
hole states.
In our superlattices, the AlAs barrier thicknesses (around 2 nm) are comparable to the pen-
etration depth of the wave functions of the confined electronic states. In other words, coupling
between adjacent quantum wells is important. Hence, each confined electronic state of the single
GaAs/AlAs quantum well gives rise to a sub-band in the superlattice generated by N repetition
of the GaAs/AlAs supercell. Each sub-band consists then of N electronic states extending over
the whole superlattice 1
.
2.3 Tight-Binding model
In the tight-binding model [15], the structure of the superlattice is formed by a set of atoms i,
conveniently distributed over a unit cell ri. Both GasAs and AlAs present a zincblende structure
with a face centered cubic (fcc) unit cell. The atomic orbitals φα are eigenfunctions of the single
atom Hamiltonian Hat and extend over distances comparable to the lattice constant. In this
atomistic description the wave functions ψk are linear combinations of atomic orbitals and can be
expanded on a small set of orbitals through the Ciα,k coefficients :
ψk (ri) =
i,α
Ciα,kφα (ri). (2.2)
The atomic basis, used for our calculations, is reduced to
s↑
, p↑
x, p↑
y, p↑
z, s∗↑
, s↓
, p↓
x, p↓
y, p↓
z, s∗↓
, (2.3)
satisfying the orthonormalization relation
φβ (rj) |φα (ri) = δαβδij. (2.4)
For this set of orbitals, the spins of electrons and holes are taken into account, in the spin-orbit
correction term.
The normalization of the lattice wave functions is ensured by :
ψk|ψk =
i,j
ψ∗
k
(rj) ψk (ri) =
i,j,α,β
C∗
jβ,k
φ∗
β (rj) Ciα,kφα (ri). (2.5)
Because atomic orbitals are orthonormal, one can use equation 2.4 and rewrite equation 2.5
as follow :
ψk|ψk =
i,j,α,β
C∗
jβ,k
Ciα,kδαβδij (2.6)
1
Sub-bands, eigenstates and their energies for a superlattice of 40 periods are reported in appendix B
15
Chapter 2. Raman-Brillouin Electronic Density : Superlattices
⇔ ψk|ψk =
i,α
|Ciα,k|2
. (2.7)
Hence, the density of states can be expressed in terms of these tight-binding coefficients. We
use an empirical Tight-Binding (ETB) model which has been proven to describe this type of
heterostructures very adequately [19]. Within the ETB, the wave function coefficients Ciα,k are
obtained by diagonalising an empirical Tight-Binding Hamiltonian, from empirical parameters
which reproduce the material bulk bands structure [16]. Spin-Orbit interaction is considered and
nearest neighbor interaction is assumed in this description.
Within this formalism, we obtain the bands structure of bulk AlAs and GaAs. These calcu-
lations were performed using Boykin’s [17][18] and Klimeck’s [20] parameters for the empirical
Tight-Binding Hamiltonian. These parameters are listed in table 2.1 for both materials. Eigen-
states and eigenenergies are reproduced for each k point of the reciprocal space.
Boykin et al Klimeck et al
Parameter (eV) GaAs AlAs Parameter (eV) GaAs AlAs
Esa -8.510704 -8.381160 Esa -3.53284 -3.21537
Esc -2.774754 -1.744670 Esc -8.11499 -9.52462
Epa 0.954046 0.229440 Epa 0.27772 -0.09711
Epc 3.434046 2.832840 Epc 4.57341 4.97139
Es∗a 8.454046 6.730574 Es∗a 12.33930 12.05550
Es∗c 6.584046 5.972840 Es∗c 4.31241 3.99445
λa 0.14000 0.14000 λa 0.32703 0.29145
λc 0.05800 0.00800 λc 0.12000 0.03152
Vs,s -6.45130 -6.66420 Vs,s -6.87653 -8.84261
Vsa,pc 4.68000 5.60000 Vsa,pc 2.85929 2.42476
Vpa,sc 7.70000 6.80000 Vpa,sc 11.09774 13.20317
Vs∗a,pc 4.85000 4.22000 Vs∗a,pc 6.31619 5.83246
Vpa,s∗c 7.01000 7.30000 Vpa,s∗c 5.02335 4.60075
Vx,x 1.95460 1.87800 Vx,x 1.33572 -0.01434
Vx,y 4.77000 3.86000 Vx,y 5.07596 4.25949
Table 2.1: Tight-Binding parameters of Boykin et al (1997) [18] and Klimeck et al (2000) [20] for GaAs
and AlAs.
As mentioned above, both sets of parameters are based on a nearest-neighbor sp3
s∗
model 2
, which means that the set of orbitals corresponds to equation 2.3. Only interactions between
nearest-neighbors were taken into account. In these sets of fifteen tight-binding parameters, λµ
corresponds to the spin-orbit interaction and Eαµ represents the energy of the atomic orbital
α where µ refers to anions (a) or cations (c) (on-site matrix elements). Vαa,βc are coupling
parameters between orbitals α and β of the anion and the cation (off-site matrix elements)
(Vx,x = pxa|HTB|pxc and Vx,y = pxa|HTB|pyc ).
2
Other models are also used to obtain a more accurate description of bands structure using spds∗
basis and/or
second(third,...)-neighbors interactions.
16
Chapter 2. Raman-Brillouin Electronic Density : Superlattices
Fig. 2.4 : Bulk materials bands structures of AlAs and GaAs obtained from tight-binding calculation
using parameters of Boykin et al. and Klimeck et al with spin-orbit interaction.
2.4 Raman-Brillouin Electronic Density
2.4.1 Photonic effects
Since the optical transitions between electrons and holes (transition matrix elements) depend
on the electromagnetic fields it is important to evaluate the effect of periodicity on the optical
properties (photonic crystal effects), by calculating the electric field distribution along the super-
lattice. This allows to determine the impact of the photonic properties of the superlattices on the
simulated Raman-Brillouin electronic densities.
Fig. 2.5 : Profiles of the incident electro-
magnetic field for λi = 458 nm and for a
2.9 nm−GaAs/1.25 nm−AlAs superlattice with 40 pe-
riods. The blue line shows the electric field distribu-
tion calculated by solving Maxwell’s equations for the
periodic photonic structure. The black line shows the
electric field distribution for a plane wave propagation
in GaAs/AlAs medium. The optical index change at
each GaAs/AlAs interface of the superlattice is shown
in gray color.
17
Chapter 2. Raman-Brillouin Electronic Density : Superlattices
The superlattice RBED is obtained assuming either plane wave electromagnetic fields (no
photonic effects) or standing waves obtained by solving Maxwell’s equations for the periodic
structure (photonic crystal).
The plane wave electromagnetic field is :
Ai(s)(z) ∝ cos ki(s)z + ϕ , (2.8)
where ki(s) is the incident (resp. scattered) photon wave vector propagating in an effective layered
medium and ϕ a phase.
The electromagnetic field distribution inside the superlattice is calculated by solving Maxwell’s
equations and by satisfying the electric and magnetic boundary conditions at each GaAs/AlAs
interface. Absorption effects are taken into account in these calculations. The result is shown in
figure 2.6 for a 40 periods GaAs/AlAs superlattice and for λ = 458 nm.
As it can be observed, the electric field distribution calculated with the photonic structure is
very similar to the one calculated assuming a simple plane wave propagation inside an effective
medium with the optical index neff
r = (nGaAsdGaAs + nAlAsdAlAs) / (dGaAs + dAlAs).
In figures 2.6 and 2.7 are shown the RBED obtained for a 40 periods GaAs/AlAs superlattice
and using either plane wave (effective medium) or standing wave (photonic crystal) electromag-
netic fields respectively.
Fig. 2.6 : RBED profile calculated using inci-
dent plane wave at Ei = 2.708 eV (λi = 458 nm)
for the 2.9 nm−GaAs/1.25 nm−AlAs superlat-
tice of 40 periods. All confined holes and elec-
trons wave functions are taken into account (1st,
2nd and 3rd sub-bands).
Fig. 2.7 : RBED profile calculated
using the photonic electromagnetic field at
Ei = 2.708 eV (λi = 458 nm) for the
2.9 nm−GaAs/1.25 nm−AlAs superlattice of 40
periods. All confined holes and electrons wave
functions are considered (1st, 2nd and 3rd sub-
bands).
Both Raman-Brillouin electronic density distributions presented above are very similar, there-
fore one can conclude that the photonic effect on the RBED is negligible. As expected, this means
that the photonic effects are negligible in these structures as expected since the superlattice period
is much smaller than the optical wavelengths : dGaAs + dAlAs λi
18
Chapter 2. Raman-Brillouin Electronic Density : Superlattices
2.4.2 Comparison between envelope wave functions and Tight-Binding
states
Several calculations of the RBED have been performed above. We now calculate the Raman-
Brillouin Electronic Density in the superlattice described in section 2.1 using either envelope wave
functions or Tight-Binding electronic states. Figure 2.9 shows the RBED distribution for anions
and cations in the y = x plane (cf. figure 2.1), plotted along the z-direction.
Fig. 2.8 : Modulus of the RBED repre-
sented within a period a the center of the
2.9 nm−GaAs/1.25 nm−AlAs superlattice with
40 periods (z-direction) and obtained for λi =
458 nm. All confined electronic states are con-
sidered for this calculation.
Fig. 2.9 : Modulus of the RBED
represented within the supercell of the
2.9 nm−GaAs/1.25 nm−AlAs infinite su-
perlattice (z-direction) and obtained for
λi = 458 nm. The RBED is represented for
each atomic layer (cation (blue color) and anion
(red color) layers), plotted in the r-direction
where r = x2 + y2 is the (110) direction. 10
electron and 10 hole states are considered for
this calculation.
First, figure 2.9 shows that the contributions of anions and cations to the RBED are similar
from the point of view of the density distribution along the z-direction. However, the contribution
of anions is about twice larger than that of cations. The profiles exhibit two maxima, the largest
RBED maximum is localized close to the top of the supercell (cf. figures 2.1 and 2.2) being
this a purely atomistic effect. In order to compare both approaches (Envelope wave functions
description and Tight-Binding model), we plot the RBED profile obtained with Envelope wave
function within only a single GaAs/AlAs well. This is shown in figure 2.8.
When taking into account all confined electronic wavefunctions in the RBED, we observe two
maxima localized close to each border of the quantum well. In this case, both maxima have the
same amplitude contrary to the RBED profile obtained with the Tight-Binding model. However,
we have to keep in mind that the number of states taken into account in the Tight-Binding and
envelope wave functions calculations are different. For a more detailed comparison we still need
to investigate the convergence of the RBED profile obtained using the Tight-Binding model both
as a function of the number of states and as a function of the number of k points used.
19
CONCLUSION AND PERSPECTIVES
Conclusion and Perspectives
The Raman-Brillouin Electronic Density has been introduced as a tool for the interpretation
of the Raman-Brillouin scattering by confined acoustic phonons. This effective electronic density
is constructed by combining the confined electronic states according to their optical resonances.
By means of the RBED one is able to plot a single electronic density distribution even though
thousands of electron and hole states are involved as intermediate states in the light scattering
process. This electronic density is the one which interacts with the vibrations and is responsible
for the inelastic scattering of light. This approach can be extended to low dimensional systems
(quantum wires and quantum dots) [11]. At the moment, the implementation for superlattices is
under progress.
Several comparisons and tests have been performed for the RBED of superlattices. On the one
hand, we studied photonic effects due to periodicity of the superlattices. On the other hand, we
compared the description of the electronic states by a Tight-binding model and using the Envelope
wave functions approximation and its impacts on the RBED profile. These results allow to answer
many questions in the generation of the RBED of a short period superlattices, and are the first
step toward the interpretation of experimental Raman-Brillouin spectra in superlattices and their
resonance behavior. In order to do so, it is necessary to correctly describe the displacement field of
longitudinal acoustic phonons and their coupling to the Raman-Brillouin Electronic Density. The
importance of atomistic effects in the Raman-Brillouin scattering are expected to be elucidated
in this way.
20
Appendix A. Normalization of the RBED
Appendix A
Normalization of the RBED
Starting from the expression of the Raman-Brillouin Electronic Density
˜ρRB(Ei, Es, z) =
e,e ,h
Rs
h,e (Es)ψ∗
e (z)Ri
e,h(Ei)ψe(z), (A.1)
we just have to integrate it over the whole space :
˜ρRB(Ei, Es, z)dz =
e,e ,h
Rs
h,e (Es)ψ∗
e (z)Ri
e,h(Ei)ψe(z)dz (A.2)
⇔ ˜ρRB(Ei, Es, z)dz =
e,e ,h
Rs
h,e (Es)Ri
e,h(Ei) ψ∗
e (z)ψe(z)dz. (A.3)
Eigenstates of the total Hamiltonian H form an orthonormal basis that ensure to use the
orthonormality relation
ψe |ψe = ψ∗
e (z)ψe(z)dz = δe,e (A.4)
to rewrite equation A.3 as follow :
˜ρRB(Ei, Es, z)dz =
e,h
Rs
h,e(Es)Ri
e,h(Ei) = R(Ei, Es). (A.5)
Consequently, the RBED can be normalized as
ρRB(Ei, Es, z) =
e,e ,h Rs
h,e (Es)ψ∗
e (z)Ri
e,h(Ei)ψe(z)
˜ρRB(Ei, Es, z)dz
(A.6)
therefore,
ρRB(Ei, Es, z) =
1
R(Ei, Es) e,e ,h
Rs
h,e (Es)ψ∗
e (z)Ri
e,h(Ei)ψe(z). (A.7)
21
Appendix B. Energies of electron and hole states with envelope functions
Appendix B
Energies of electron and hole states with
envelope functions
Table B.1: Eigenenergies with envelope wave functions for the 2.9 nm/1.25 nm 40-periods superlattice.
22
Appendix C. Tight-Binding coefficients - steps of the RBED calculations
Appendix C
Tight-Binding coefficients - steps of the
RBED calculations
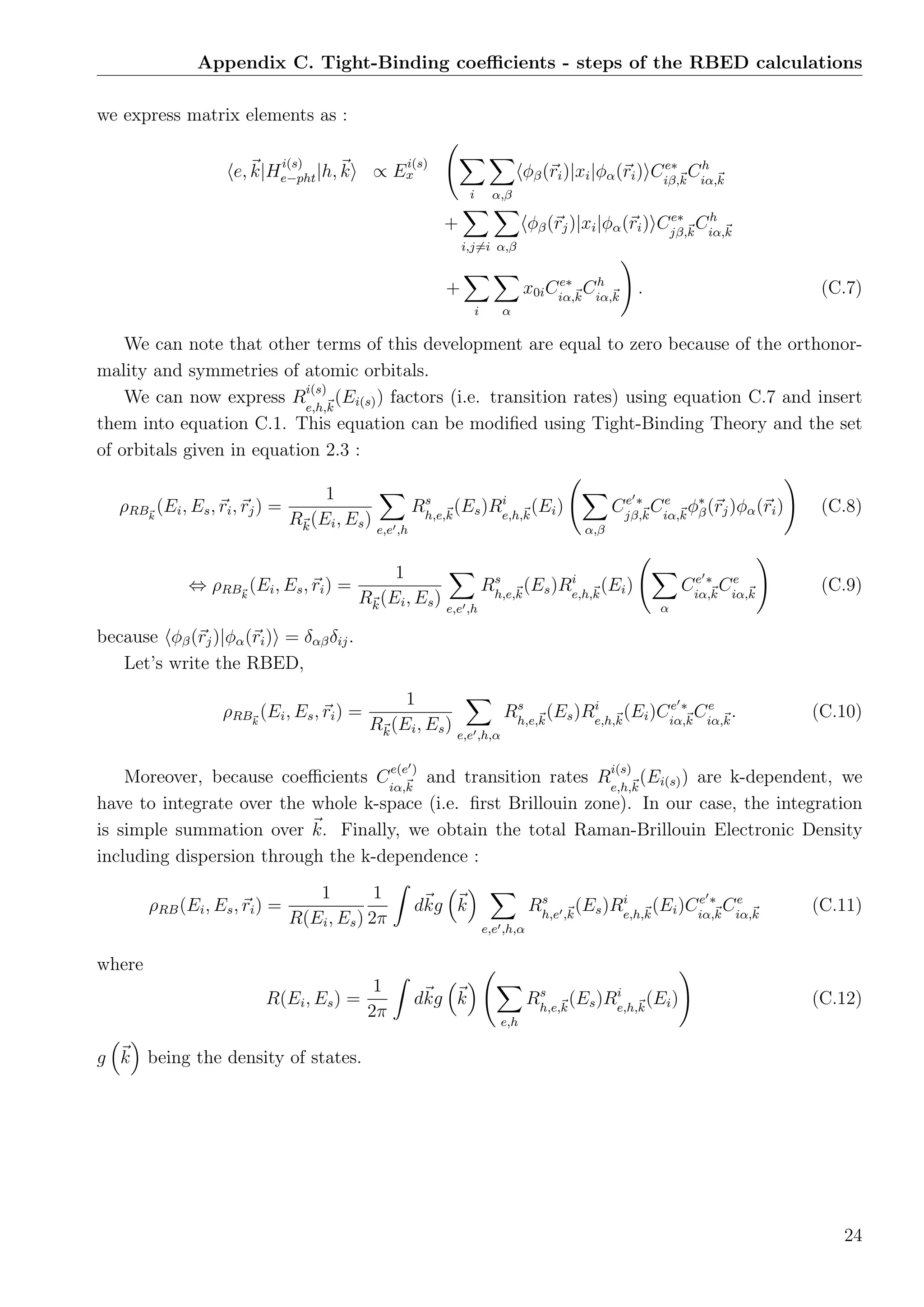
According equation 1.3 we know that the Raman-Brillouin Electronic Density can be written
as :
ρRBk
(Ei, Es, r) =
1
Rk(Ei, Es) e,e ,h
Rs
h,e,k
(Es)ψ∗
e ,k
(r)Ri
e,h,k
(Ei)ψe,k(r) (C.1)
with
R
i(s)
e,h,k
(Ei(s)) =
e, k|H
i(s)
e−pht|h, k
Ei(s) − Ee−h,k + iγe−h
. (C.2)
The vector k is the bi-dimensional vector (kx, ky). We have neglected the spatial variation of
the electromagnetic field in the plane (x, y).
The dipole matrix elements e, k|H
i(s)
e−pht|h, k can be written as :
e, k|H
i(s)
e−pht|h, k = e, k| −
q
me
p · Ai(s)|h, k (C.3)
⇔ e, k|H
i(s)
e−pht|h, k = e, k| −
q
me
pzAi(s)(z)
x |h, k (C.4)
because the light is polarized along the x-direction.
According to the expression of the dipolar momentum given by d = −qr, we can write :
e, k|H
i(s)
e−pht|h, k ∝ e, k|XEi(s)
x |h, k , (C.5)
where X is the quantum position operator and E
i(s)
x is the x-component of the incident (reps.
scattered) electrical field. This expression can then be separated in two parts as follow :
e, k|H
i(s)
e−pht|h, k ∝ Ei(s)
x e, k|x0 + x|h, k . (C.6)
We now introduce the expression of eigenstates of the total Hamiltonian as linear combination
of atomic orbital as shown in the section 2.3. Using the Tight-Binding description of eigenstates,
23
Appendix C. Tight-Binding coefficients - steps of the RBED calculations
we express matrix elements as :
e, k|H
i(s)
e−pht|h, k ∝ E
i(s)
x
i α,β
φβ(ri)|xi|φα(ri) Ce∗
iβ,k
Ch
iα,k
+
i,j=i α,β
φβ(rj)|xi|φα(ri) Ce∗
jβ,k
Ch
iα,k
+
i α
x0iCe∗
iα,k
Ch
iα,k
. (C.7)
We can note that other terms of this development are equal to zero because of the orthonor-
mality and symmetries of atomic orbitals.
We can now express R
i(s)
e,h,k
(Ei(s)) factors (i.e. transition rates) using equation C.7 and insert
them into equation C.1. This equation can be modified using Tight-Binding Theory and the set
of orbitals given in equation 2.3 :
ρRBk
(Ei, Es, ri, rj) =
1
Rk(Ei, Es) e,e ,h
Rs
h,e,k
(Es)Ri
e,h,k
(Ei)
α,β
Ce ∗
jβ,k
Ce
iα,k
φ∗
β(rj)φα(ri) (C.8)
⇔ ρRBk
(Ei, Es, ri) =
1
Rk(Ei, Es) e,e ,h
Rs
h,e,k
(Es)Ri
e,h,k
(Ei)
α
Ce ∗
iα,k
Ce
iα,k
(C.9)
because φβ(rj)|φα(ri) = δαβδij.
Let’s write the RBED,
ρRBk
(Ei, Es, ri) =
1
Rk(Ei, Es) e,e ,h,α
Rs
h,e,k
(Es)Ri
e,h,k
(Ei)Ce ∗
iα,k
Ce
iα,k
. (C.10)
Moreover, because coefficients C
e(e )
iα,k
and transition rates R
i(s)
e,h,k
(Ei(s)) are k-dependent, we
have to integrate over the whole k-space (i.e. first Brillouin zone). In our case, the integration
is simple summation over k. Finally, we obtain the total Raman-Brillouin Electronic Density
including dispersion through the k-dependence :
ρRB(Ei, Es, ri) =
1
R(Ei, Es)
1
2π
dkg k
e,e ,h,α
Rs
h,e ,k
(Es)Ri
e,h,k
(Ei)Ce ∗
iα,k
Ce
iα,k
(C.11)
where
R(Ei, Es) =
1
2π
dkg k
e,h
Rs
h,e,k
(Es)Ri
e,h,k
(Ei) (C.12)
g k being the density of states.
24
Appendix D. Examples of Tight-Binding output files
Appendix D
Examples of Tight-Binding output files
Table D.1: Standard input file containing parameters for the Tight-Binding calculation. These param-
eters ensure to characterize the supercell, the number of eigenstates we want to calculate, and many
others.
25
Appendix D. Examples of Tight-Binding output files
Table D.2: This file is generated during the first step of the Tight-Binding calculation. It contains the
structure of the supercell through atomic position (xi, yi, zi) (first three columns) and the nature of these
atoms (last two columns). The first of the last two columns refers to the material (in our case : 1 refers
to GaAs and 2 refers to AlAs) and the last column corresponds to anions (1) and cation (2) for each
material.
26
Appendix D. Examples of Tight-Binding output files
Table D.3: Standard output file containing coefficients extracted from Tight-Binding calculation. The
first value (blue) is the eigenstate label, corresponding to the eigenenergy (in eV ) noted by the second
value (red). This eigenstate value is given at an atom identified by the atomic label corresponding to
the fourth value (black). The following data correspond to coefficients of each atomic orbital separated
in real part (green) and imaginary part (purple). We can note that there are ten real values and ten
imaginary value of coefficients corresponding to one state on one atomic position.
27
LIST OF FIGURES
List of Figures
1.1 Bulk band structure of Silicon. . . . . . . . . . . . . . . . . . . . . . . . . . . . . . . 5
1.2 Optical microscope image (left) and schema (right) of a Silicon membrane [14]. . . . . . 5
1.3 Resonant Raman-Brillouin scattering involving electron and hole states and absorption
(a) (or emission (b)) of vibration modes. . . . . . . . . . . . . . . . . . . . . . . . . . 6
1.4 Raman scattering spectra of a 32.5 nm thick SOI membrane for an excitation at λi =
413 nm recorded at two different resolutions [14]. These spectra clearly show low fre-
quency confined acoustic vibration modes. . . . . . . . . . . . . . . . . . . . . . . . . 6
1.5 Modulus of the Raman-Brillouin Electronic Density along the z-direction for reduced
detuning ranging from δ = −7 to δ = 12. The homogeneous broadening is γ =
γe−h/ E1
e + E1
h = 1.2 (i.e. γe−h = 25 meV which is the thermal broadening at room
temperature). . . . . . . . . . . . . . . . . . . . . . . . . . . . . . . . . . . . . . . . 8
1.6 Construction of the RBED for δ = −7 and γ = 1.2. n is the number of electron states
and the number of hole states considered in the calculation. Here, n is increasing from 1
to 15. . . . . . . . . . . . . . . . . . . . . . . . . . . . . . . . . . . . . . . . . . . . 9
1.7 Lower panel : Modulus of the RBED for Lz = 2 nm to Lz = 100 nm, γ = 25 meV
and for a fixed excitation of Ei = 4.075 eV . For each Lz, the RBED profile can be
approximated by a trapezoid-like profile (bold dashed line). The step-like profile (bold
dotted line) usually assumed for the photoelastic coefficient is also shown for comparison.
Upper panel : deviation of the step-like and trapezoid-like profiles from the RBED as a
function of the layer thickness. . . . . . . . . . . . . . . . . . . . . . . . . . . . . . . 10
1.8 Diagonal (ρon
RB) and off-diagonal (ρoff
RB ) RBED modulus for different thicknesses ranging
from Lz = 2 nm to Lz = 100 nm for δ = −7 and γ = 1.2 . . . . . . . . . . . . . . . . 10
1.9 Raman-Brillouin spectra simulated using the Raman-Brillouin quantum model (RBED)
and the photoelastic model using step-like and trapezoid-like profiles (Lz = 10 nm,
δ = −7 and γ = 1.2). . . . . . . . . . . . . . . . . . . . . . . . . . . . . . . . . . . 11
1.10 Simulated (photoelastic model with step-like profile) and measured Raman spectra of the
31.5 nm thick SOI membrane [14]. . . . . . . . . . . . . . . . . . . . . . . . . . . . . 11
28
LIST OF FIGURES
2.1 GaAs/AlAs supercell used to generate the infinite structure through translation vectors
A1 ∝ ex, A2 ∝ ey and A3 ∝ ez. Red and blue circles correspond to cations (Al and Ga
respectively) and black stars correspond to anions (As). . . . . . . . . . . . . . . . . . 13
2.2 Atomistic description : GaAs/AlAs supercell in (y, z) which allows to generate the su-
perlattice along the y-direction using A2 translations. . . . . . . . . . . . . . . . . . . 13
2.3 GaAs/AlAs superlattice and potential profile of conduction and valence bands along the
growth direction. . . . . . . . . . . . . . . . . . . . . . . . . . . . . . . . . . . . . . 14
2.4 Bulk materials bands structures of AlAs and GaAs obtained from tight-binding calcula-
tion using parameters of Boykin et al. and Klimeck et al with spin-orbit interaction. . . 17
2.5 Profiles of the incident electromagnetic field for λi = 458 nm and for a 2.9 nm−GaAs/1.25 nm−AlAs
superlattice with 40 periods. The blue line shows the electric field distribution calculated
by solving Maxwell’s equations for the periodic photonic structure. The black line shows
the electric field distribution for a plane wave propagation in GaAs/AlAs medium. The
optical index change at each GaAs/AlAs interface of the superlattice is shown in gray color. 17
2.6 RBED profile calculated using incident plane wave at Ei = 2.708 eV (λi = 458 nm)
for the 2.9 nm−GaAs/1.25 nm−AlAs superlattice of 40 periods. All confined holes and
electrons wave functions are taken into account (1st, 2nd and 3rd sub-bands). . . . . . . 18
2.7 RBED profile calculated using the photonic electromagnetic field at Ei = 2.708 eV (λi =
458 nm) for the 2.9 nm−GaAs/1.25 nm−AlAs superlattice of 40 periods. All confined
holes and electrons wave functions are considered (1st, 2nd and 3rd sub-bands). . . . . . 18
2.8 Modulus of the RBED represented within a period a the center of the 2.9 nm−GaAs/1.25 nm−AlAs
superlattice with 40 periods (z-direction) and obtained for λi = 458 nm. All confined
electronic states are considered for this calculation. . . . . . . . . . . . . . . . . . . . 19
2.9 Modulus of the RBED represented within the supercell of the 2.9 nm−GaAs/1.25 nm−AlAs
infinite superlattice (z-direction) and obtained for λi = 458 nm. The RBED is represented
for each atomic layer (cation (blue color) and anion (red color) layers), plotted in the r-
direction where r = x2 + y2 is the (110) direction. 10 electron and 10 hole states are
considered for this calculation. . . . . . . . . . . . . . . . . . . . . . . . . . . . . . . 19
29
LIST OF TABLES
List of Tables
2.1 Tight-Binding parameters of Boykin et al (1997) [18] and Klimeck et al (2000) [20] for
GaAs and AlAs. . . . . . . . . . . . . . . . . . . . . . . . . . . . . . . . . . . . . . 16
B.1 Eigenenergies with envelope wave functions for the 2.9 nm/1.25 nm 40-periods superlattice. 22
D.1 Standard input file containing parameters for the Tight-Binding calculation. These pa-
rameters ensure to characterize the supercell, the number of eigenstates we want to cal-
culate, and many others. . . . . . . . . . . . . . . . . . . . . . . . . . . . . . . . . . 25
D.2 This file is generated during the first step of the Tight-Binding calculation. It contains
the structure of the supercell through atomic position (xi, yi, zi) (first three columns) and
the nature of these atoms (last two columns). The first of the last two columns refers to
the material (in our case : 1 refers to GaAs and 2 refers to AlAs) and the last column
corresponds to anions (1) and cation (2) for each material. . . . . . . . . . . . . . . . . 26
D.3 Standard output file containing coefficients extracted from Tight-Binding calculation.
The first value (blue) is the eigenstate label, corresponding to the eigenenergy (in eV )
noted by the second value (red). This eigenstate value is given at an atom identified by
the atomic label corresponding to the fourth value (black). The following data correspond
to coefficients of each atomic orbital separated in real part (green) and imaginary part
(purple). We can note that there are ten real values and ten imaginary value of coefficients
corresponding to one state on one atomic position. . . . . . . . . . . . . . . . . . . . . 27
30
REFERENCES
References
[1] B. Jusserand and M. Cardona, Light Scattering in Solids V: superlattices and other mi-
crostructures Springer, Berlin (1989).
[2] A. Mlayah and J. Groenen, Light Scattering in Solids IX: resonant Raman scattering by
acoustic phonons in quantum dots Springer, Berlin, 230 (2006).
[3] D. F. Nelson and M. Lax, Phys. Rev. B 3, 2778 (1970).
[4] C. Cohen-Tannoudji, B. Diu and F. Laloë, Quantum Mechanics vol. 2 (2004).
[5] C. Cohen-Tannoudji, J. Dupont-roc and G. Grynberg, Processus d’interaction entre photons
et atomes, Editions du CNRS (1988).
[6] M. Cardona, and F. H. Pollak, Phys. Rev. B 142, 530 (1966)
[7] J. C Phillips, Phys. Rev. B 125, 1931 (1962).
[8] M. A. Green, J. Appl. Phys. 67, 2944 (1990).
[9] J. Singh, Physics of Semiconductors and Their Heterostructures McGraw-Hill (1993).
[10] J. R. Huntzinger, Doctoral Thesis, Interaction électron-phonons dans les puits et boites
quantiques de semiconducteurs - une étude par spectrométries optiques (2000).
[11] J. R. Huntzinger, A. Mlayah, V. Paillard, A. Wellner, N. Combe and C. Bonafos, Phys. Rev.
B 74, 115308 (2006).
[12] A. Mlayah, J. R. Huntzinger and N. Large, Phys. Rev. B 75, 245303 (2007).
[13] R. W. G. Syme, D. J. Lockwood, and J. M. Baribeau, Phys. Rev. B. 59, 2207 (1999).
[14] C. M. Sotomayor-Torres, A. Zwick, F. Poinsotte, J. Groenen, M. Prunilla, J. Ahopelto,
A. Mlayah, and V. Paillard, Physica Status Solidi (c) 1, 2609 (2004).
[15] N. W. Ashcroft and N. D. Mermin, Solid State Physics (1976).
[16] P. Vogl, H. P. Hjalmarson and D. Dow, J. Phys. Chem. Solids 44, 5, 365 (1983).
[17] T. B. Boykin, J. P. A. van der Wagt and J. S. Harris, Jr, Phys. Rev. B 43, 4777 (1991).
31
REFERENCES
[18] T. B. Boykin, G. Klimeck, R. C. Bowen and R. Lake, Phys. Rev. B 56, 4102 (1997).
[19] W. Jaslólski, M. Zielinski, G. W. Bryant and J. Aizpurua, Phys. Rev. B 74, 195339 (2006).
[20] G. Klimeck, R. C. Bowen, T. B. Boykin and T. A. Cwik, Superlattices and Microstructures
27, 5/6, 519 (2000).
32

Thesis_Nicolas_LARGE_July-2007

  • 1.
    Master of Physics Simulationsof inelastic light scattering properties of semiconductor thin films and superlattices by Nicolas LARGE Paul Sabatier University of Toulouse Advisers : Prof. Adnen Mlayah (CEMES - Toulouse, France) Dr. Javier Aizpurua (DIPC - San Sebastián, Spain) March - June 2007
  • 3.
    CONTENTS Contents Acknowledgments 2 Introduction 3 1Raman-Brillouin Electronic Density : Quantum layers (SOI and membranes) 5 1.1 Description of the System . . . . . . . . . . . . . . . . . . . . . . . . . . . . . . . 5 1.2 Raman-Brillouin Electronic Density . . . . . . . . . . . . . . . . . . . . . . . . . . 6 1.3 Results and Discussions . . . . . . . . . . . . . . . . . . . . . . . . . . . . . . . . 8 1.3.1 Construction of the RBED . . . . . . . . . . . . . . . . . . . . . . . . . . . 8 1.3.2 Size dependence of the RBED . . . . . . . . . . . . . . . . . . . . . . . . . 9 1.3.3 Simulations of Raman-Brillouin spectra - Comparison with experiments . . 11 2 Raman-Brillouin Electronic Density : Superlattices 13 2.1 Description of the Systems . . . . . . . . . . . . . . . . . . . . . . . . . . . . . . . 13 2.2 Envelope wave functions . . . . . . . . . . . . . . . . . . . . . . . . . . . . . . . . 14 2.3 Tight-Binding model . . . . . . . . . . . . . . . . . . . . . . . . . . . . . . . . . . 15 2.4 Raman-Brillouin Electronic Density . . . . . . . . . . . . . . . . . . . . . . . . . . 17 2.4.1 Photonic effects . . . . . . . . . . . . . . . . . . . . . . . . . . . . . . . . . 17 2.4.2 Comparison between envelope wave functions and Tight-Binding states . . 19 Conclusion and Perspectives 20 A Normalization of the RBED 21 B Energies of electron and hole states with envelope functions 22 C Tight-Binding coefficients - steps of the RBED calculations 23 D Examples of Tight-Binding output files 25 List of Figures 29 List of Tables 30 References 31 1
  • 4.
    ACKNOWLEDGMENTS Acknowledgments This work hasbeen planed in the framework of a “cotutelle” work. Indeed, I spent one month in San Sebastián working on the tight-binding method. First, I would like to thank my adviser, Prof. Adnen Mlayah from the “Centre d’Elaboration des Matériaux et d’Etudes Structurales” (CEMES) 1 and Paul Sabatier University of Toulouse, for sending me to San Sebastián in order to learn new methods and to gain additional experience in a foreign research laboratory. I would like to underline that Prof. Mlayah had confidence in me and let me manage and handle my work by myself ; I had the opportunity to demonstrate that I was able to work in Research and to be the link between both laboratories (CEMES and DIPC). Then, I would like to sincerely thank Dr. Javier Aizpurua from the “Donostia International Physics Center” (DIPC) of the University of the Basque Country of San Sebastián 2 for welcoming me in this great theoretical physics center where I found very good work conditions. This one- month stay was very interesting since I learned new calculation methods, scientific approach, working relationship and personal knowledges. I had the opportunity to work with a friendly research group devoted to the field of the structural, electronic and optical properties of solids, surfaces and low-dimensional systems ; a particular attention is paid to nanoscale physics. I joined the Condensed Matter Physics group leaded by Prof. Pedro Miguel Echenique. I would also like to thank him for his kind welcome. Finally, I would like to thank all other people, mainly PhD students from DIPC who were so friendly during this training period and whom I exchange many scientific points of view. I give them a big thank for helping me to improve my Spanish. 1 CEMES - CNRS, 29 rue Jeanne Marvig, BP94347 - 31055 Toulouse Cedex 4 - France 2 Fundación DIPC, paseo Manuel de Lardizábal,4 - 20018 Donostia-San Sebastián - Spain 2
  • 5.
    INTRODUCTION Introduction Inelastic light scatteringby acoustic vibrations has attracted an increasing interest for many years ; many experimental and theoretical studies have been reported on this topic [1][2]. Raman- Brillouin light scattering, is used to study nanostructures consisting of spatially distributed ob- jects such as quantum wells, wires, dots and particles. The information one can extract through Modelling and simulations of Raman-Brillouin spectra and comparison with experiments is very rich (size and shape distributions, spatial correlation,...). Hence, it is very important to propose realistic models which can be directly compared to experiments. Moreover, modelling of vibra- tional and electronic properties of nanostructures is very useful for the design of new materials and devices. In this work, we will consider two-dimensional systems consisting either of single isolated quantum layer or superlattices. Two main approaches are usually used for the interpretation and calculation of the acoustic phonon Raman-Brillouin scattering in nanostructures. The first approach is based on the well-known Photoelastic Model [3] which introduces a modulation of the bulk material optical properties by acoustic vibrations through photoelastic coefficients (Pockels coefficients). In this model, the light scattering is due to the modulation of the dielectric susceptibility by the vibration modes. The integral form of the photoelastic model leads to a Raman-Brillouin scattered intensity proportional to 2π ¯h A∗ s(z)Ai(z)P(z) ∂um(z) ∂z dz 2 , (1) where P(z) is the spatial variation of the photoelastic coefficient and Ai and As are the incident and scattered photons fields. Here the z-direction denotes the direction of confinement (growth direction), ∂um(z) ∂z is the deformation generated in the z-direction by longitudinal acoustic (LA) phonons. The second approach which allows to calculate the Raman-Brillouin efficiency is based on a quantum mechanical description of the light scattering. The scattering process is described as a three steps process : incident photon absorption, phonon absorption or emission and scattered photon emission. Whereas the first and second order correction terms of the perturbation theory describe respectively the optical absorption and the Rayleigh scattering, the third order term gives the Raman-Brillouin scattering probability [4][5] : I = 2π ¯h e,e ,h h|Hs e−pht|e e |He−phn|e e|Hi e−pht|h (Es − Ee −h + iγe −h) (Ei − Ee−h + iγe−h) 2 , (2) 3
  • 6.
    INTRODUCTION where e,e andh are electron and hole eigenstates ; Ee−h and γe−h are the energy and the homo- geneous line width of the e − h transitions. Ee−h is defined as : Ee−h = Eg + Ee + Eh where Eg is the bulk direct band gap and Ee(h) are the electron (hole) confinement energy. In several published works, the photoelastic model has been used for the interpretation of experiments. In many experimental situations (off resonance optical excitation and for very thick layers), this model gives a reasonable description of the light scattering properties. However, for resonant optical excitation and for very thin layers its validity becomes questionable. On the other hand, the quantum model is able to describe resonance effects since the electronic states are taken into account explicitly. Nevertheless, when thousands of electronic states are involved, strong interferences between the scattering amplitudes lead to complex features of the light scattering spectra. Using equation 2, we propose to generate an effective electronic density, here called Raman-Brillouin Electronic Density (RBED), which allows to describe the resonant light scattering process in a rather simple way even when a large number of electronic states are involved (as intermediate states). This effective Raman-Brillouin Electronic Density has been introduced recently in references [10][11][12]. It depends on the excitation energy and on the spatial distribution of the electronic states. Therefore, it is important to correctly describe the confined electronic states (energies and wave functions). In this work, we present two approaches for this calculation. First, we use the parabolic bands and effective masses approximation (envelope wave functions) to describe the electronic states around the Γ point (k = 0) of the first Brillouin zone. Then, we use an atomistic description of the electronic eigenstates of the system based on an empirical Tight-Binding model. In this way, realistic band dispersions are also obtained for the whole Brillouin zone. The Raman-Brillouin electronic density is simulated using both the envelope wave functions and the tight-binding electron and hole single states. The simulated Raman spectra are compared to experiments on thin Silicon layers. 4
  • 7.
    Chapter 1. Raman-BrillouinElectronic Density : Quantum layers (SOI and membranes) Chapter 1 Raman-Brillouin Electronic Density : Quantum layers (SOI and membranes) 1.1 Description of the System In this section, we briefly describe the isolated thin Silicon-On-Insulator (SOI) films and freestanding Silicon membranes (dimensions Lx, Ly, Lz). This rather simple systems allow to introduce the concept of Raman-Brillouin electronic density in a simple way and to keep within analytical and tractable calculations. The present approach will be then extended to periodic multilayers. It is important for the resonant light scattering to know the electronic bands dispersion of the bulk Silicon [6][7]. Fig. 1.1 : Bulk band structure of Silicon. Fig. 1.2 : Optical microscope image (left) and schema (right) of a Silicon membrane [14]. Silicon is an indirect band gap semiconductor. UV Raman-Brillouin experiments are usually performed with an optical excitation close to resonance with the direct band gap Eg = 4.2 eV involving transitions from the top of the valence band to the Γ2 conduction band minimum (EΓ2 as shown in figure 1.1). Moreover, the conduction and valence bands dispersions are indeed parabolic around the Γ2 point. Thus, we introduce effective masses for electrons (me = 0.28m0 [8]) and holes (mh = 0.49m0 [9]). Figure 1.3 shows Raman-Brillouin scattering schemes involving electron and 5
  • 8.
    Chapter 1. Raman-BrillouinElectronic Density : Quantum layers (SOI and membranes) hole states with confinement energies Ee(h) and homogeneous broadening γe(h). ¯hωm = Ei − Es is the difference between incident and scattered photon energies. The emission of a vibration mode is the Stokes process (cf. figure 1.3a) and absorption is the anti-Stokes process (cf. figure 1.3b). Fig. 1.3 : Resonant Raman-Brillouin scattering involving electron and hole states and absorption (a) (or emission (b)) of vibration modes. Fig. 1.4 : Raman scattering spectra of a 32.5 nm thick SOI membrane for an excitation at λi = 413 nm recorded at two different res- olutions [14]. These spectra clearly show low frequency confined acoustic vibration modes. For free surfaces boundary conditions, the displacement field of longitudinal acoustic phonons is given along the z-direction by : um(z) = ¯h 2ρV ωm cos mπz Lz , (1.1) where ρ and V are the mass density and sample volume. The frequency of the confined longitudinal vibration modes m, assuming a linear dispersion, is proportional to the longitudinal sound velocity vL : ωm = vLkm where km = π m Lz (m is an integer) is the quantized phonon wave vector. 1.2 Raman-Brillouin Electronic Density Considering equation 2, we shall describe interaction between photons (incident and scattered), electrons and phonons. Here, electrons (or holes) play the role of intermediate states. Assuming 6
  • 9.
    Chapter 1. Raman-BrillouinElectronic Density : Quantum layers (SOI and membranes) that electrons and holes are perfectly confined within the film (Lz Lx, Ly), along the z-direction, the envelope wave functions are given by ψn(z) = 2 Lz sin nπz Lz . (1.2) Using the parabolic band approximation introduced in section 1.1, the confinement energies for electrons and holes are, respectively, En e = ¯h2 π2 2me n2 L2 z and En h = ¯h2 π2 2mh n2 L2 z . The electron-photon interaction Hamiltonian is given by H i(s) e−pht = qp·Ai(s) me ; p being the electron quantum momentum and Ai(s) the vector potential of the incident (resp. scattered) photons field. For the electron-phonon interaction Hamiltonian we assume a deformation potential involving longitudinal acoustic vibrations given by He−phn = De(h) · u, where De(h) is the deformation potential energy for electrons (resp. holes). Rewriting equation 2, one can obtain the following Raman-Brillouin Electronic Density (RBED) [10][11][12] : ρRB (Ei, Es, z) = 1 R (Ei, Es) e,e ,h Rs h,e (Es)ψ∗ e (z)Ri e,h(Ei)ψe(z), (1.3) where R i(s) e,h (Ei(s)) is a dimensionless resonance factor given by R i(s) e,h (Ei(s)) = e|H i(s) e−pht|h Ei(s) − Ee−h + iγe−h (1.4) and R (Ei, Es) = e,h Rs h,e(Es)Ri e,h(Ei) (1.5) is a normalization factor satisfying ρRB(z)dz = 1 1 . ρRB(z) is determined by the sum over the initial hole states of the overlap between the effec- tive electronic state e Ri e,h(Ei)ψe(z) and the effective electronic state e Rs h,e (Es)ψe (z). The RBED is a complex function having real and imaginary parts due to the homogeneous broadening γe−h. This density allows to write the Raman-Brillouin quantum efficiency as R (Ei, Es) De(h) ρRB(z) ∂um(z) ∂z dz 2 (1.6) The RBED is the electronic density distribution which gives rise to light scattering. It is con- structed by combining the confined electronic transitions weighted by the resonance factor R i(s) e,h (e.g. transition energies and oscillator strength). By means of the RBED, one is able to plot a single effective electronic density even though thousands of confined electron and hole states do contribute to the light scattering. Equation 1.6 is very similar to equation 1 of the photoelastic model. In the following we shall use the RBED to discuss the validity of the photoelastic model with respect to resonance effects and size effects [12]. 1 A detailed calculation of the normalization factor is given in appendix A. 7
  • 10.
    Chapter 1. Raman-BrillouinElectronic Density : Quantum layers (SOI and membranes) 1.3 Results and Discussions In this section we shall describe the Raman-Brillouin Electronic Density in terms of shape and size dependences, and optical resonance effects. We will present how to construct this density and show the convergence of this construction. 1.3.1 Construction of the RBED Figure 1.5 shows the spatial distribution of the RBED calculated using equation 1.3 for a film thickness Lz = 10 nm and for several optical excitation energies defined using the reduced detuning δ = [Ei − (Eg + E1 e + E1 h)] / (E1 e + E1 h). Fig. 1.5 : Modulus of the Raman-Brillouin Electronic Density along the z-direction for reduced detuning ranging from δ = −7 to δ = 12. The homogeneous broadening is γ = γe−h/ E1 e + E1 h = 1.2 (i.e. γe−h = 25 meV which is the thermal broadening at room temperature). From figure 1.5 we are able to determine the electronic transitions which contribute to the RBED for different excitations. Indeed, for excitations well below the fundamental electron-hole transition (δ = −7 and −4), the RBED distribution within the layer is quasi-uniform. There is no selection of a particular transition. Close to resonance (δ = −1.5 and 0), the contribution of the first confined electron-hole transition is dominant. For higher energies, contributions of higher energy transitions are visible through the oscillations of |ρRB| : second confined transition for δ ≈ 4, third confined transition for δ ≈ 7 and fourth confined transition for δ ≈ 12. We have studied the convergence of the RBED as a function of the number of electronic states included in the calculations. Figure 1.6 shows the construction of the RBED for a δ = −7 and γ = 1.2. The degree of convergence of the RBED (cf. insert) is evaluated using two complementary parameters defined as µ = ||ρn RB,max| − |ρn−1 RB,max||/|ρn RB,max| (circles) and η = 1 − ||ρ15 RB,max| − |ρn RB,max||/|ρ15 RB,max| (stars). The RBED reaches 91 percent of its final value when using 3 electron and 3 hole states in the calculation. This convergence is very rapid and hence including thousands 8
  • 11.
    Chapter 1. Raman-BrillouinElectronic Density : Quantum layers (SOI and membranes) Fig. 1.6 : Construction of the RBED for δ = −7 and γ = 1.2. n is the number of electron states and the number of hole states considered in the calculation. Here, n is increasing from 1 to 15. of electronic states in the calculation of RBED and Raman-Brillouin spectra is not necessary. In the following, 10 electron and 10 hole states are used for the simulations of the RBED, ensuring convergence of the results. 1.3.2 Size dependence of the RBED As mentioned previously, the RBED profile depends on the film thickness. Figure 1.7 plots the spatial distribution of the RBED for several film thicknesses. One can see that the RBED varies from a cosine-like function to a trapezoid-like function and it strongly oscillates with increasing layer thickness. For a very thin layer (Lz = 2 nm), the RBED can be approximated by a triangle profile and by a trapezoid profile for Lz ≤ 30 nm. Here, we compare the RBED to these simple profiles because in the photoelastic model a step-like profile is usually assumed for the photoelastic coefficient (i.e. constant within the layer and zero outside, shown by the dotted lines in figure 1.7). The deviation of the step-like and the trapezoid-like profiles from the RBED is evaluated as ξstep(trap) = Sstep(trap) − |ρRB(z)| dz / |ρRB(z)| dz, where Sstep(trap) corresponds to the integral of the step-like (resp. trapezoid-like) profile. This deviation is plotted in the upper panel of fig- ure 1.7 as a function of the layer thickness. One can see that strong deviations of the RBED from the step-like or trapezoid-like profiles are found for layer thicknesses smaller than 10 nm. This shows the limitations of the photoelastic model which assumes a step-like photoelastic constant whatever the layer thickness. The oscillations of the RBED in the figure 1.7 are due to off-diagonal electron-photon matrix elements in equation 2 (different electron and hole wave functions). Indeed, both diagonal and off-diagonal electron-photon matrix elements contribute to the RBED. This is shown in figure 1.8. For thin layers, the optical fields can be considered as quasi-uniform within the layer : ki(s)Lz 1. Hence, Ai(z) and As(z) (in equation 2) are slowly varying functions along the z-direction. With 9
  • 12.
    Chapter 1. Raman-BrillouinElectronic Density : Quantum layers (SOI and membranes) Fig. 1.7 : Lower panel : Modulus of the RBED for Lz = 2 nm to Lz = 100 nm, γ = 25 meV and for a fixed excitation of Ei = 4.075 eV . For each Lz, the RBED profile can be approximated by a trapezoid-like profile (bold dashed line). The step-like profile (bold dotted line) usually assumed for the photoelastic coefficient is also shown for comparison. Upper panel : deviation of the step-like and trapezoid-like profiles from the RBED as a function of the layer thickness. Fig. 1.8 : Diagonal (ρon RB) and off-diagonal (ρoff RB ) RBED modulus for different thicknesses ranging from Lz = 2 nm to Lz = 100 nm for δ = −7 and γ = 1.2 10
  • 13.
    Chapter 1. Raman-BrillouinElectronic Density : Quantum layers (SOI and membranes) increasing thickness, different electron and hole wave functions (off-diagonal contributions) are coupled by the spatial variation of the optical fields at the photon emission and absorption steps. For bulk materials, only off-diagonal contribution to the RBED is allowed due to wave vector conservation rule. 1.3.3 Simulations of Raman-Brillouin spectra - Comparison with ex- periments Figure 1.9 shows the spectra calculated using the Raman-Brillouin quantum model (equation 1.6) and the photoelastic model (equation 1). Each spectrum has been normalized to the intensity of the first low-frequency peak. The spectrum generated with the trapezoid-like profile, fitting the RBED for Lz = 10 nm (cf. figure 1.7), is similar to the one generated using the RBED. Fig. 1.9 : Raman-Brillouin spectra simu- lated using the Raman-Brillouin quantum model (RBED) and the photoelastic model using step- like and trapezoid-like profiles (Lz = 10 nm, δ = −7 and γ = 1.2). Fig. 1.10 : Simulated (photoelastic model with step-like profile) and measured Raman spectra of the 31.5 nm thick SOI membrane [14]. In addition, one can notice that the short wavelength acoustic phonons are very sensitive to the details of the RBED and photoelastic profiles. The shorter the wavelength, the greater the sensitivity to the photoelastic profile. In most of the published works [1], the photoelastic model succeeded in simulating the acoustic phonons induced Raman scattering in low-dimensional systems. This is shown in figure 1.10 where calculated and measured Raman-Brillouin spectra from a 31.5 nm thick Silicon membrane is shown. Nevertheless, for short period superlattices [13] (i.e. layer thicknesses smaller than the acoustic wavelengths), or for excitation close to optical resonances, strong deviations are observed. In these situations, the RBED distribution strongly deviates from the step-like profile (cf. figure 1.5 and figure 1.7) and therefore the photoelastic model fails to describe the Raman- Brillouin peak intensities. 11
  • 14.
    Chapter 1. Raman-BrillouinElectronic Density : Quantum layers (SOI and membranes) Moreover, one can notice in figure 1.10 that a very good agreement between calculated and measured spectra is obtained in the low frequency range (i.e. below 20 cm−1 ). On the contrary, at higher frequencies, the photoelastic model using a step-like coefficient overestimates the scattered intensities. According to figure 1.7 differences between the Raman-Brillouin intensities calculated with the trapezoid-like and step-like profiles are indeed expected for such thin layers. It is worth- while to mention that due to the low scattering efficiency of very thin layers, experiments are usually performed close to resonance with some optical transitions involving confined electronic states. This enhances the Raman scattering but the latter can no longer be described by the pho- toelastic model. For this limiting situations, the quantum model is more appropriate to describe the structures. 12
  • 15.
    Chapter 2. Raman-BrillouinElectronic Density : Superlattices Chapter 2 Raman-Brillouin Electronic Density : Superlattices 2.1 Description of the Systems We consider in this section a superlattice system that consists of periodic GaAs/AlAs wells. In addition to the quantum confinement effects, periodicity effects play an important role for the electronic properties. Our aim is to construct the RBED for these superlattices and to study its dependence on the superlattice period and on the optical excitation energy. A GaAs/AlAs superlattice is generated from a supercell defined as shown in figure 2.1, by translation vectors of the Bravais lattice with a lattice constant. The lattice constants used to generate the supercell are : aGaAs = 0.56660 nm and aAlAs = 0.56600 nm [19][20]. Fig. 2.1 : GaAs/AlAs supercell used to gen- erate the infinite structure through translation vectors A1 ∝ ex, A2 ∝ ey and A3 ∝ ez. Red and blue circles correspond to cations (Al and Ga respectively) and black stars correspond to anions (As). Fig. 2.2 : Atomistic description : GaAs/AlAs supercell in (y, z) which allows to generate the superlattice along the y-direction using A2 trans- lations. 13
  • 16.
    Chapter 2. Raman-BrillouinElectronic Density : Superlattices The supercell shown in figure 2.1, is the pattern of the superstructure. However, it should be mentioned that this cell is generally not the irreducible unit cell. The irreducible cell contains four atoms (one GaAs and one AlAs) and is generated by the unit vectors a1 = 1 2 (ex + ez), a2 = 1 2 (ex + ey) and a3 = 1 2 (ey + ez). Nevertheless, because of the periodicity along the z- direction (001), and the geometry of the structure, it is more convenient to use the supercell and the Ai basis presented above. This supercell will generate the superlattice structure of interest, hosting all the electronic states involved in the absorption and emission processes along the corresponding Brillouin zone. The upper and lower layers are half AlAs layers because of the periodicity in the z-direction generated by A3. A1 and A2 generate the periodic structure in the x and y directions, (cf. figure 2.2 and figure 2.3). Fig. 2.3 : GaAs/AlAs superlattice and po- tential profile of conduction and valence bands along the growth direction. The period of the superlattice is d = dGaAs +dAlAs where dGaAs and dAlAs are the thicknesses of GaAs and AlAs layers, respectively. For our simulations we use a set of experimental parameters : dGaAs = {2.9 nm, 2.0 nm, 0.99 nm} and dAlAs = {1.25 nm, 2.43 nm, 3.5 nm}, which corresponds to a mean period of d ≈ 4.5 nm (cf. figure 2.3). 200 periods have been grown by molecular beam epitaxy on a (001) GaAs substrate. These structures were studied by Raman scattering in the group of Dr. B. Jusserand at the Institute for Nanosciences (Paris). For infinite superlattices, electron and hole eigenstates and their corresponding energies are wave vector k dependent. The k-dispersion of the eigenstates has to be taken into account in the light scattering process, by the means of a proper integration over the whole reciprocal space. 2.2 Envelope wave functions To obtain the electronic wave functions, Schrödinger equation is solved assuming the square- wells profiles shown in figure 2.3 and using the Kroenig-Penney model. The electronic states are 14
  • 17.
    Chapter 2. Raman-BrillouinElectronic Density : Superlattices described as Bloch functions : Ψe(h)(z) = uc(v)(z)ψe(h)(z), (2.1) where uc(v)(z) is an atomic-like wave function and ψe(h)(z) the envelope wave function. For a single quantum well one obtains discrete energy levels associated with confined electronic states. For a 2 nm thick GaAs quantum well and according to the GaAs/AlAs band-offsets we found only two confined electron states, three confined heavy hole states and two confined light hole states. In our superlattices, the AlAs barrier thicknesses (around 2 nm) are comparable to the pen- etration depth of the wave functions of the confined electronic states. In other words, coupling between adjacent quantum wells is important. Hence, each confined electronic state of the single GaAs/AlAs quantum well gives rise to a sub-band in the superlattice generated by N repetition of the GaAs/AlAs supercell. Each sub-band consists then of N electronic states extending over the whole superlattice 1 . 2.3 Tight-Binding model In the tight-binding model [15], the structure of the superlattice is formed by a set of atoms i, conveniently distributed over a unit cell ri. Both GasAs and AlAs present a zincblende structure with a face centered cubic (fcc) unit cell. The atomic orbitals φα are eigenfunctions of the single atom Hamiltonian Hat and extend over distances comparable to the lattice constant. In this atomistic description the wave functions ψk are linear combinations of atomic orbitals and can be expanded on a small set of orbitals through the Ciα,k coefficients : ψk (ri) = i,α Ciα,kφα (ri). (2.2) The atomic basis, used for our calculations, is reduced to s↑ , p↑ x, p↑ y, p↑ z, s∗↑ , s↓ , p↓ x, p↓ y, p↓ z, s∗↓ , (2.3) satisfying the orthonormalization relation φβ (rj) |φα (ri) = δαβδij. (2.4) For this set of orbitals, the spins of electrons and holes are taken into account, in the spin-orbit correction term. The normalization of the lattice wave functions is ensured by : ψk|ψk = i,j ψ∗ k (rj) ψk (ri) = i,j,α,β C∗ jβ,k φ∗ β (rj) Ciα,kφα (ri). (2.5) Because atomic orbitals are orthonormal, one can use equation 2.4 and rewrite equation 2.5 as follow : ψk|ψk = i,j,α,β C∗ jβ,k Ciα,kδαβδij (2.6) 1 Sub-bands, eigenstates and their energies for a superlattice of 40 periods are reported in appendix B 15
  • 18.
    Chapter 2. Raman-BrillouinElectronic Density : Superlattices ⇔ ψk|ψk = i,α |Ciα,k|2 . (2.7) Hence, the density of states can be expressed in terms of these tight-binding coefficients. We use an empirical Tight-Binding (ETB) model which has been proven to describe this type of heterostructures very adequately [19]. Within the ETB, the wave function coefficients Ciα,k are obtained by diagonalising an empirical Tight-Binding Hamiltonian, from empirical parameters which reproduce the material bulk bands structure [16]. Spin-Orbit interaction is considered and nearest neighbor interaction is assumed in this description. Within this formalism, we obtain the bands structure of bulk AlAs and GaAs. These calcu- lations were performed using Boykin’s [17][18] and Klimeck’s [20] parameters for the empirical Tight-Binding Hamiltonian. These parameters are listed in table 2.1 for both materials. Eigen- states and eigenenergies are reproduced for each k point of the reciprocal space. Boykin et al Klimeck et al Parameter (eV) GaAs AlAs Parameter (eV) GaAs AlAs Esa -8.510704 -8.381160 Esa -3.53284 -3.21537 Esc -2.774754 -1.744670 Esc -8.11499 -9.52462 Epa 0.954046 0.229440 Epa 0.27772 -0.09711 Epc 3.434046 2.832840 Epc 4.57341 4.97139 Es∗a 8.454046 6.730574 Es∗a 12.33930 12.05550 Es∗c 6.584046 5.972840 Es∗c 4.31241 3.99445 λa 0.14000 0.14000 λa 0.32703 0.29145 λc 0.05800 0.00800 λc 0.12000 0.03152 Vs,s -6.45130 -6.66420 Vs,s -6.87653 -8.84261 Vsa,pc 4.68000 5.60000 Vsa,pc 2.85929 2.42476 Vpa,sc 7.70000 6.80000 Vpa,sc 11.09774 13.20317 Vs∗a,pc 4.85000 4.22000 Vs∗a,pc 6.31619 5.83246 Vpa,s∗c 7.01000 7.30000 Vpa,s∗c 5.02335 4.60075 Vx,x 1.95460 1.87800 Vx,x 1.33572 -0.01434 Vx,y 4.77000 3.86000 Vx,y 5.07596 4.25949 Table 2.1: Tight-Binding parameters of Boykin et al (1997) [18] and Klimeck et al (2000) [20] for GaAs and AlAs. As mentioned above, both sets of parameters are based on a nearest-neighbor sp3 s∗ model 2 , which means that the set of orbitals corresponds to equation 2.3. Only interactions between nearest-neighbors were taken into account. In these sets of fifteen tight-binding parameters, λµ corresponds to the spin-orbit interaction and Eαµ represents the energy of the atomic orbital α where µ refers to anions (a) or cations (c) (on-site matrix elements). Vαa,βc are coupling parameters between orbitals α and β of the anion and the cation (off-site matrix elements) (Vx,x = pxa|HTB|pxc and Vx,y = pxa|HTB|pyc ). 2 Other models are also used to obtain a more accurate description of bands structure using spds∗ basis and/or second(third,...)-neighbors interactions. 16
  • 19.
    Chapter 2. Raman-BrillouinElectronic Density : Superlattices Fig. 2.4 : Bulk materials bands structures of AlAs and GaAs obtained from tight-binding calculation using parameters of Boykin et al. and Klimeck et al with spin-orbit interaction. 2.4 Raman-Brillouin Electronic Density 2.4.1 Photonic effects Since the optical transitions between electrons and holes (transition matrix elements) depend on the electromagnetic fields it is important to evaluate the effect of periodicity on the optical properties (photonic crystal effects), by calculating the electric field distribution along the super- lattice. This allows to determine the impact of the photonic properties of the superlattices on the simulated Raman-Brillouin electronic densities. Fig. 2.5 : Profiles of the incident electro- magnetic field for λi = 458 nm and for a 2.9 nm−GaAs/1.25 nm−AlAs superlattice with 40 pe- riods. The blue line shows the electric field distribu- tion calculated by solving Maxwell’s equations for the periodic photonic structure. The black line shows the electric field distribution for a plane wave propagation in GaAs/AlAs medium. The optical index change at each GaAs/AlAs interface of the superlattice is shown in gray color. 17
  • 20.
    Chapter 2. Raman-BrillouinElectronic Density : Superlattices The superlattice RBED is obtained assuming either plane wave electromagnetic fields (no photonic effects) or standing waves obtained by solving Maxwell’s equations for the periodic structure (photonic crystal). The plane wave electromagnetic field is : Ai(s)(z) ∝ cos ki(s)z + ϕ , (2.8) where ki(s) is the incident (resp. scattered) photon wave vector propagating in an effective layered medium and ϕ a phase. The electromagnetic field distribution inside the superlattice is calculated by solving Maxwell’s equations and by satisfying the electric and magnetic boundary conditions at each GaAs/AlAs interface. Absorption effects are taken into account in these calculations. The result is shown in figure 2.6 for a 40 periods GaAs/AlAs superlattice and for λ = 458 nm. As it can be observed, the electric field distribution calculated with the photonic structure is very similar to the one calculated assuming a simple plane wave propagation inside an effective medium with the optical index neff r = (nGaAsdGaAs + nAlAsdAlAs) / (dGaAs + dAlAs). In figures 2.6 and 2.7 are shown the RBED obtained for a 40 periods GaAs/AlAs superlattice and using either plane wave (effective medium) or standing wave (photonic crystal) electromag- netic fields respectively. Fig. 2.6 : RBED profile calculated using inci- dent plane wave at Ei = 2.708 eV (λi = 458 nm) for the 2.9 nm−GaAs/1.25 nm−AlAs superlat- tice of 40 periods. All confined holes and elec- trons wave functions are taken into account (1st, 2nd and 3rd sub-bands). Fig. 2.7 : RBED profile calculated using the photonic electromagnetic field at Ei = 2.708 eV (λi = 458 nm) for the 2.9 nm−GaAs/1.25 nm−AlAs superlattice of 40 periods. All confined holes and electrons wave functions are considered (1st, 2nd and 3rd sub- bands). Both Raman-Brillouin electronic density distributions presented above are very similar, there- fore one can conclude that the photonic effect on the RBED is negligible. As expected, this means that the photonic effects are negligible in these structures as expected since the superlattice period is much smaller than the optical wavelengths : dGaAs + dAlAs λi 18
  • 21.
    Chapter 2. Raman-BrillouinElectronic Density : Superlattices 2.4.2 Comparison between envelope wave functions and Tight-Binding states Several calculations of the RBED have been performed above. We now calculate the Raman- Brillouin Electronic Density in the superlattice described in section 2.1 using either envelope wave functions or Tight-Binding electronic states. Figure 2.9 shows the RBED distribution for anions and cations in the y = x plane (cf. figure 2.1), plotted along the z-direction. Fig. 2.8 : Modulus of the RBED repre- sented within a period a the center of the 2.9 nm−GaAs/1.25 nm−AlAs superlattice with 40 periods (z-direction) and obtained for λi = 458 nm. All confined electronic states are con- sidered for this calculation. Fig. 2.9 : Modulus of the RBED represented within the supercell of the 2.9 nm−GaAs/1.25 nm−AlAs infinite su- perlattice (z-direction) and obtained for λi = 458 nm. The RBED is represented for each atomic layer (cation (blue color) and anion (red color) layers), plotted in the r-direction where r = x2 + y2 is the (110) direction. 10 electron and 10 hole states are considered for this calculation. First, figure 2.9 shows that the contributions of anions and cations to the RBED are similar from the point of view of the density distribution along the z-direction. However, the contribution of anions is about twice larger than that of cations. The profiles exhibit two maxima, the largest RBED maximum is localized close to the top of the supercell (cf. figures 2.1 and 2.2) being this a purely atomistic effect. In order to compare both approaches (Envelope wave functions description and Tight-Binding model), we plot the RBED profile obtained with Envelope wave function within only a single GaAs/AlAs well. This is shown in figure 2.8. When taking into account all confined electronic wavefunctions in the RBED, we observe two maxima localized close to each border of the quantum well. In this case, both maxima have the same amplitude contrary to the RBED profile obtained with the Tight-Binding model. However, we have to keep in mind that the number of states taken into account in the Tight-Binding and envelope wave functions calculations are different. For a more detailed comparison we still need to investigate the convergence of the RBED profile obtained using the Tight-Binding model both as a function of the number of states and as a function of the number of k points used. 19
  • 22.
    CONCLUSION AND PERSPECTIVES Conclusionand Perspectives The Raman-Brillouin Electronic Density has been introduced as a tool for the interpretation of the Raman-Brillouin scattering by confined acoustic phonons. This effective electronic density is constructed by combining the confined electronic states according to their optical resonances. By means of the RBED one is able to plot a single electronic density distribution even though thousands of electron and hole states are involved as intermediate states in the light scattering process. This electronic density is the one which interacts with the vibrations and is responsible for the inelastic scattering of light. This approach can be extended to low dimensional systems (quantum wires and quantum dots) [11]. At the moment, the implementation for superlattices is under progress. Several comparisons and tests have been performed for the RBED of superlattices. On the one hand, we studied photonic effects due to periodicity of the superlattices. On the other hand, we compared the description of the electronic states by a Tight-binding model and using the Envelope wave functions approximation and its impacts on the RBED profile. These results allow to answer many questions in the generation of the RBED of a short period superlattices, and are the first step toward the interpretation of experimental Raman-Brillouin spectra in superlattices and their resonance behavior. In order to do so, it is necessary to correctly describe the displacement field of longitudinal acoustic phonons and their coupling to the Raman-Brillouin Electronic Density. The importance of atomistic effects in the Raman-Brillouin scattering are expected to be elucidated in this way. 20
  • 23.
    Appendix A. Normalizationof the RBED Appendix A Normalization of the RBED Starting from the expression of the Raman-Brillouin Electronic Density ˜ρRB(Ei, Es, z) = e,e ,h Rs h,e (Es)ψ∗ e (z)Ri e,h(Ei)ψe(z), (A.1) we just have to integrate it over the whole space : ˜ρRB(Ei, Es, z)dz = e,e ,h Rs h,e (Es)ψ∗ e (z)Ri e,h(Ei)ψe(z)dz (A.2) ⇔ ˜ρRB(Ei, Es, z)dz = e,e ,h Rs h,e (Es)Ri e,h(Ei) ψ∗ e (z)ψe(z)dz. (A.3) Eigenstates of the total Hamiltonian H form an orthonormal basis that ensure to use the orthonormality relation ψe |ψe = ψ∗ e (z)ψe(z)dz = δe,e (A.4) to rewrite equation A.3 as follow : ˜ρRB(Ei, Es, z)dz = e,h Rs h,e(Es)Ri e,h(Ei) = R(Ei, Es). (A.5) Consequently, the RBED can be normalized as ρRB(Ei, Es, z) = e,e ,h Rs h,e (Es)ψ∗ e (z)Ri e,h(Ei)ψe(z) ˜ρRB(Ei, Es, z)dz (A.6) therefore, ρRB(Ei, Es, z) = 1 R(Ei, Es) e,e ,h Rs h,e (Es)ψ∗ e (z)Ri e,h(Ei)ψe(z). (A.7) 21
  • 24.
    Appendix B. Energiesof electron and hole states with envelope functions Appendix B Energies of electron and hole states with envelope functions Table B.1: Eigenenergies with envelope wave functions for the 2.9 nm/1.25 nm 40-periods superlattice. 22
  • 25.
    Appendix C. Tight-Bindingcoefficients - steps of the RBED calculations Appendix C Tight-Binding coefficients - steps of the RBED calculations According equation 1.3 we know that the Raman-Brillouin Electronic Density can be written as : ρRBk (Ei, Es, r) = 1 Rk(Ei, Es) e,e ,h Rs h,e,k (Es)ψ∗ e ,k (r)Ri e,h,k (Ei)ψe,k(r) (C.1) with R i(s) e,h,k (Ei(s)) = e, k|H i(s) e−pht|h, k Ei(s) − Ee−h,k + iγe−h . (C.2) The vector k is the bi-dimensional vector (kx, ky). We have neglected the spatial variation of the electromagnetic field in the plane (x, y). The dipole matrix elements e, k|H i(s) e−pht|h, k can be written as : e, k|H i(s) e−pht|h, k = e, k| − q me p · Ai(s)|h, k (C.3) ⇔ e, k|H i(s) e−pht|h, k = e, k| − q me pzAi(s)(z) x |h, k (C.4) because the light is polarized along the x-direction. According to the expression of the dipolar momentum given by d = −qr, we can write : e, k|H i(s) e−pht|h, k ∝ e, k|XEi(s) x |h, k , (C.5) where X is the quantum position operator and E i(s) x is the x-component of the incident (reps. scattered) electrical field. This expression can then be separated in two parts as follow : e, k|H i(s) e−pht|h, k ∝ Ei(s) x e, k|x0 + x|h, k . (C.6) We now introduce the expression of eigenstates of the total Hamiltonian as linear combination of atomic orbital as shown in the section 2.3. Using the Tight-Binding description of eigenstates, 23
  • 26.
    Appendix C. Tight-Bindingcoefficients - steps of the RBED calculations we express matrix elements as : e, k|H i(s) e−pht|h, k ∝ E i(s) x i α,β φβ(ri)|xi|φα(ri) Ce∗ iβ,k Ch iα,k + i,j=i α,β φβ(rj)|xi|φα(ri) Ce∗ jβ,k Ch iα,k + i α x0iCe∗ iα,k Ch iα,k . (C.7) We can note that other terms of this development are equal to zero because of the orthonor- mality and symmetries of atomic orbitals. We can now express R i(s) e,h,k (Ei(s)) factors (i.e. transition rates) using equation C.7 and insert them into equation C.1. This equation can be modified using Tight-Binding Theory and the set of orbitals given in equation 2.3 : ρRBk (Ei, Es, ri, rj) = 1 Rk(Ei, Es) e,e ,h Rs h,e,k (Es)Ri e,h,k (Ei) α,β Ce ∗ jβ,k Ce iα,k φ∗ β(rj)φα(ri) (C.8) ⇔ ρRBk (Ei, Es, ri) = 1 Rk(Ei, Es) e,e ,h Rs h,e,k (Es)Ri e,h,k (Ei) α Ce ∗ iα,k Ce iα,k (C.9) because φβ(rj)|φα(ri) = δαβδij. Let’s write the RBED, ρRBk (Ei, Es, ri) = 1 Rk(Ei, Es) e,e ,h,α Rs h,e,k (Es)Ri e,h,k (Ei)Ce ∗ iα,k Ce iα,k . (C.10) Moreover, because coefficients C e(e ) iα,k and transition rates R i(s) e,h,k (Ei(s)) are k-dependent, we have to integrate over the whole k-space (i.e. first Brillouin zone). In our case, the integration is simple summation over k. Finally, we obtain the total Raman-Brillouin Electronic Density including dispersion through the k-dependence : ρRB(Ei, Es, ri) = 1 R(Ei, Es) 1 2π dkg k e,e ,h,α Rs h,e ,k (Es)Ri e,h,k (Ei)Ce ∗ iα,k Ce iα,k (C.11) where R(Ei, Es) = 1 2π dkg k e,h Rs h,e,k (Es)Ri e,h,k (Ei) (C.12) g k being the density of states. 24
  • 27.
    Appendix D. Examplesof Tight-Binding output files Appendix D Examples of Tight-Binding output files Table D.1: Standard input file containing parameters for the Tight-Binding calculation. These param- eters ensure to characterize the supercell, the number of eigenstates we want to calculate, and many others. 25
  • 28.
    Appendix D. Examplesof Tight-Binding output files Table D.2: This file is generated during the first step of the Tight-Binding calculation. It contains the structure of the supercell through atomic position (xi, yi, zi) (first three columns) and the nature of these atoms (last two columns). The first of the last two columns refers to the material (in our case : 1 refers to GaAs and 2 refers to AlAs) and the last column corresponds to anions (1) and cation (2) for each material. 26
  • 29.
    Appendix D. Examplesof Tight-Binding output files Table D.3: Standard output file containing coefficients extracted from Tight-Binding calculation. The first value (blue) is the eigenstate label, corresponding to the eigenenergy (in eV ) noted by the second value (red). This eigenstate value is given at an atom identified by the atomic label corresponding to the fourth value (black). The following data correspond to coefficients of each atomic orbital separated in real part (green) and imaginary part (purple). We can note that there are ten real values and ten imaginary value of coefficients corresponding to one state on one atomic position. 27
  • 30.
    LIST OF FIGURES Listof Figures 1.1 Bulk band structure of Silicon. . . . . . . . . . . . . . . . . . . . . . . . . . . . . . . 5 1.2 Optical microscope image (left) and schema (right) of a Silicon membrane [14]. . . . . . 5 1.3 Resonant Raman-Brillouin scattering involving electron and hole states and absorption (a) (or emission (b)) of vibration modes. . . . . . . . . . . . . . . . . . . . . . . . . . 6 1.4 Raman scattering spectra of a 32.5 nm thick SOI membrane for an excitation at λi = 413 nm recorded at two different resolutions [14]. These spectra clearly show low fre- quency confined acoustic vibration modes. . . . . . . . . . . . . . . . . . . . . . . . . 6 1.5 Modulus of the Raman-Brillouin Electronic Density along the z-direction for reduced detuning ranging from δ = −7 to δ = 12. The homogeneous broadening is γ = γe−h/ E1 e + E1 h = 1.2 (i.e. γe−h = 25 meV which is the thermal broadening at room temperature). . . . . . . . . . . . . . . . . . . . . . . . . . . . . . . . . . . . . . . . 8 1.6 Construction of the RBED for δ = −7 and γ = 1.2. n is the number of electron states and the number of hole states considered in the calculation. Here, n is increasing from 1 to 15. . . . . . . . . . . . . . . . . . . . . . . . . . . . . . . . . . . . . . . . . . . . 9 1.7 Lower panel : Modulus of the RBED for Lz = 2 nm to Lz = 100 nm, γ = 25 meV and for a fixed excitation of Ei = 4.075 eV . For each Lz, the RBED profile can be approximated by a trapezoid-like profile (bold dashed line). The step-like profile (bold dotted line) usually assumed for the photoelastic coefficient is also shown for comparison. Upper panel : deviation of the step-like and trapezoid-like profiles from the RBED as a function of the layer thickness. . . . . . . . . . . . . . . . . . . . . . . . . . . . . . . 10 1.8 Diagonal (ρon RB) and off-diagonal (ρoff RB ) RBED modulus for different thicknesses ranging from Lz = 2 nm to Lz = 100 nm for δ = −7 and γ = 1.2 . . . . . . . . . . . . . . . . 10 1.9 Raman-Brillouin spectra simulated using the Raman-Brillouin quantum model (RBED) and the photoelastic model using step-like and trapezoid-like profiles (Lz = 10 nm, δ = −7 and γ = 1.2). . . . . . . . . . . . . . . . . . . . . . . . . . . . . . . . . . . 11 1.10 Simulated (photoelastic model with step-like profile) and measured Raman spectra of the 31.5 nm thick SOI membrane [14]. . . . . . . . . . . . . . . . . . . . . . . . . . . . . 11 28
  • 31.
    LIST OF FIGURES 2.1GaAs/AlAs supercell used to generate the infinite structure through translation vectors A1 ∝ ex, A2 ∝ ey and A3 ∝ ez. Red and blue circles correspond to cations (Al and Ga respectively) and black stars correspond to anions (As). . . . . . . . . . . . . . . . . . 13 2.2 Atomistic description : GaAs/AlAs supercell in (y, z) which allows to generate the su- perlattice along the y-direction using A2 translations. . . . . . . . . . . . . . . . . . . 13 2.3 GaAs/AlAs superlattice and potential profile of conduction and valence bands along the growth direction. . . . . . . . . . . . . . . . . . . . . . . . . . . . . . . . . . . . . . 14 2.4 Bulk materials bands structures of AlAs and GaAs obtained from tight-binding calcula- tion using parameters of Boykin et al. and Klimeck et al with spin-orbit interaction. . . 17 2.5 Profiles of the incident electromagnetic field for λi = 458 nm and for a 2.9 nm−GaAs/1.25 nm−AlAs superlattice with 40 periods. The blue line shows the electric field distribution calculated by solving Maxwell’s equations for the periodic photonic structure. The black line shows the electric field distribution for a plane wave propagation in GaAs/AlAs medium. The optical index change at each GaAs/AlAs interface of the superlattice is shown in gray color. 17 2.6 RBED profile calculated using incident plane wave at Ei = 2.708 eV (λi = 458 nm) for the 2.9 nm−GaAs/1.25 nm−AlAs superlattice of 40 periods. All confined holes and electrons wave functions are taken into account (1st, 2nd and 3rd sub-bands). . . . . . . 18 2.7 RBED profile calculated using the photonic electromagnetic field at Ei = 2.708 eV (λi = 458 nm) for the 2.9 nm−GaAs/1.25 nm−AlAs superlattice of 40 periods. All confined holes and electrons wave functions are considered (1st, 2nd and 3rd sub-bands). . . . . . 18 2.8 Modulus of the RBED represented within a period a the center of the 2.9 nm−GaAs/1.25 nm−AlAs superlattice with 40 periods (z-direction) and obtained for λi = 458 nm. All confined electronic states are considered for this calculation. . . . . . . . . . . . . . . . . . . . 19 2.9 Modulus of the RBED represented within the supercell of the 2.9 nm−GaAs/1.25 nm−AlAs infinite superlattice (z-direction) and obtained for λi = 458 nm. The RBED is represented for each atomic layer (cation (blue color) and anion (red color) layers), plotted in the r- direction where r = x2 + y2 is the (110) direction. 10 electron and 10 hole states are considered for this calculation. . . . . . . . . . . . . . . . . . . . . . . . . . . . . . . 19 29
  • 32.
    LIST OF TABLES Listof Tables 2.1 Tight-Binding parameters of Boykin et al (1997) [18] and Klimeck et al (2000) [20] for GaAs and AlAs. . . . . . . . . . . . . . . . . . . . . . . . . . . . . . . . . . . . . . 16 B.1 Eigenenergies with envelope wave functions for the 2.9 nm/1.25 nm 40-periods superlattice. 22 D.1 Standard input file containing parameters for the Tight-Binding calculation. These pa- rameters ensure to characterize the supercell, the number of eigenstates we want to cal- culate, and many others. . . . . . . . . . . . . . . . . . . . . . . . . . . . . . . . . . 25 D.2 This file is generated during the first step of the Tight-Binding calculation. It contains the structure of the supercell through atomic position (xi, yi, zi) (first three columns) and the nature of these atoms (last two columns). The first of the last two columns refers to the material (in our case : 1 refers to GaAs and 2 refers to AlAs) and the last column corresponds to anions (1) and cation (2) for each material. . . . . . . . . . . . . . . . . 26 D.3 Standard output file containing coefficients extracted from Tight-Binding calculation. The first value (blue) is the eigenstate label, corresponding to the eigenenergy (in eV ) noted by the second value (red). This eigenstate value is given at an atom identified by the atomic label corresponding to the fourth value (black). The following data correspond to coefficients of each atomic orbital separated in real part (green) and imaginary part (purple). We can note that there are ten real values and ten imaginary value of coefficients corresponding to one state on one atomic position. . . . . . . . . . . . . . . . . . . . . 27 30
  • 33.
    REFERENCES References [1] B. Jusserandand M. Cardona, Light Scattering in Solids V: superlattices and other mi- crostructures Springer, Berlin (1989). [2] A. Mlayah and J. Groenen, Light Scattering in Solids IX: resonant Raman scattering by acoustic phonons in quantum dots Springer, Berlin, 230 (2006). [3] D. F. Nelson and M. Lax, Phys. Rev. B 3, 2778 (1970). [4] C. Cohen-Tannoudji, B. Diu and F. Laloë, Quantum Mechanics vol. 2 (2004). [5] C. Cohen-Tannoudji, J. Dupont-roc and G. Grynberg, Processus d’interaction entre photons et atomes, Editions du CNRS (1988). [6] M. Cardona, and F. H. Pollak, Phys. Rev. B 142, 530 (1966) [7] J. C Phillips, Phys. Rev. B 125, 1931 (1962). [8] M. A. Green, J. Appl. Phys. 67, 2944 (1990). [9] J. Singh, Physics of Semiconductors and Their Heterostructures McGraw-Hill (1993). [10] J. R. Huntzinger, Doctoral Thesis, Interaction électron-phonons dans les puits et boites quantiques de semiconducteurs - une étude par spectrométries optiques (2000). [11] J. R. Huntzinger, A. Mlayah, V. Paillard, A. Wellner, N. Combe and C. Bonafos, Phys. Rev. B 74, 115308 (2006). [12] A. Mlayah, J. R. Huntzinger and N. Large, Phys. Rev. B 75, 245303 (2007). [13] R. W. G. Syme, D. J. Lockwood, and J. M. Baribeau, Phys. Rev. B. 59, 2207 (1999). [14] C. M. Sotomayor-Torres, A. Zwick, F. Poinsotte, J. Groenen, M. Prunilla, J. Ahopelto, A. Mlayah, and V. Paillard, Physica Status Solidi (c) 1, 2609 (2004). [15] N. W. Ashcroft and N. D. Mermin, Solid State Physics (1976). [16] P. Vogl, H. P. Hjalmarson and D. Dow, J. Phys. Chem. Solids 44, 5, 365 (1983). [17] T. B. Boykin, J. P. A. van der Wagt and J. S. Harris, Jr, Phys. Rev. B 43, 4777 (1991). 31
  • 34.
    REFERENCES [18] T. B.Boykin, G. Klimeck, R. C. Bowen and R. Lake, Phys. Rev. B 56, 4102 (1997). [19] W. Jaslólski, M. Zielinski, G. W. Bryant and J. Aizpurua, Phys. Rev. B 74, 195339 (2006). [20] G. Klimeck, R. C. Bowen, T. B. Boykin and T. A. Cwik, Superlattices and Microstructures 27, 5/6, 519 (2000). 32