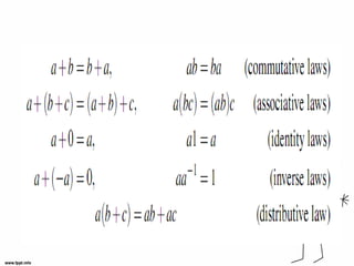
The Field Axioms

Ogi Meita Utami - 06122502001
The Field Axioms
   Dalam menghitung dengan bilangan,
dan khususnya dalam menghitung dengan
simbol    ("Aljabar"),   kita   asumsikan
beberapa hal: terdapat bilangan 0 dan 1,
setiap   bilangan   a    memiliki   invers
penjumlahan -a, setiap a ≠ 0 memiliki
kebalikan (reciprocal) di a-1. disitulah
aksioma lapangan berlaku.
The Commutative Laws of Multiplication
                             y



       1


O                                    x
           1   a   b       ab = ba
The Commutative Laws of Addition
          y


                                       L



                           b+a
O                             =
                                           x
              a   b     a+b
The Associative Laws of Multiplication
      y



                                  L



O                                     x
       a   b   c     b+c   a +(b+c)
The Associative Laws of Addition
    y



                                  L



O                                     x
        a   b   a+b c   (a+b)+c
The Associative Laws of Addition
    y


                                         L



O                                            x
        a   b   a+b c   b+c   a +(b+c)
                                 =
                              (a+b)+c
The
Associative Laws                       y
of Multiplication




O   1 a   b   ab   c
                                            x
                       bc   a(bc) = (ab)c
The Distributive Laws
                             ab
                                  y

                     b
                 a
         1



                                      x
 O           1           b
The Distributive Laws
                                              ab+ac =
                                               a(b+c)       y

                                  b+c
                             ac
                        ab
                    c
                b
            a
    1


        1       a   b   c               b+c
                                                        x
O
The field axioms   fixed

The field axioms fixed