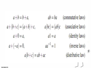
The Field Axioms
Ogi Meita Utami, S. Pd.
The Field Axioms
   Dalam menghitung dengan bilangan,
dan khususnya dalam menghitung dengan
simbol    ("Aljabar"),   kita   asumsikan
beberapa hal: terdapat bilangan 0 dan 1,
setiap   bilangan   a    memiliki   invers
penjumlahan -a, setiap a ≠ 0 memiliki
kebalikan (reciprocal) di a-1. disitulah
aksioma lapangan berlaku.
The Commutative Laws of Multiplication
                                 y




           1

O                                        x
               1   a   b       ab = ba
The Commutative Laws of Addition
         y


                                       L



                                           x
                           b+a
O                             =
             a   b      a+b
The Associative Laws of Multiplication
      y



                                   L



O                                      x
       a   b    c     b+c   a +(b+c)
The Associative Laws of Addition
    y



                                  L



O                                     x
    a    b   a+b c      (a+b)+c
The Associative Laws of Addition
    y


                                         L



O                                            x
        a   b   a+b c   b+c   a +(b+c)
                                 =
                              (a+b)+c
The Associative
      Laws of                            y
    Multiplication




                                              x
O     1 a   b   ab   c   bc   a(bc) = (ab)c
The Distributive Laws
                                  y
                             ab


                     b
                 a
         1


                                      x
O            1           b
The Distributive Laws
                                                ab+ac =
                                                 a(b+c)       y

                                    b+c
                               ac
                          ab
                      c
                  b
              a
      1

                                                          x
O         1       a   b   c               b+c
The field axioms   aplot

The field axioms aplot