THERMODYNAMICS
MEC 305
Subject In charge
Mr.Atulkumar Mishra
Assistant Professor
19 Aug 2020
Module 5
Lecture 1
Gas power cycles.
19 Aug 2020
19 Aug 2020
Module 5: 6 hrs.
Gas Power cycles:
Nomenclature of a reciprocating engine, Mean effective pressure , Assumptions of
air Standard Cycle, Otto cycle, Diesel Cycle and Dual cycle, Comparison of Otto
and Diesel cycle for same compression ratio, Brayton Cycle.
Sterling Cycle, Ericsson Cycle, Lenoir cycle, and Atkinson cycle (Only theory).
CO5: Explain the fundamental principles and operations of various practical
thermodynamic cycles viz, Gas power cycles, and apply the acquired knowledge
to evaluate, interpret and compare performance parameters of this cycles used in I
C engines, Gas turbines And Jet propulsion.
DEFINITION OF A CYCLE
A cycle is defined as a repeated series of operations occurring in a certain
order. It may be repeated by repeating the processes in the same order. The
cycle may be of imaginary perfect engine or actual engine. The former is
called ideal cycle and the latter actual cycle. In ideal cycle all accidental heat
losses are prevented and the working substance is assumed to behave like a
perfect working substance.
ASSUMPTIONS MADE IN AIR STANDARD CYCLES:
1. The working fluid is air which follows the perfect gas law PV = mRT
2. The specific heat of air does not vary with temperature.
3. The mass of air in the cycle remains fixed. i.e., the engine operates as a closed system,
so that working fluid is restored to its initial state at the end of each cycle. Thus there are
no intake and exhaust process.
4. Heat addition and rejection takes place with the help of external heat reservoir, due to
heat transfer.
5. All the processes are internally reversible and compression and expansion processes are
isentropic.
6. The working fluid is homogeneous throughout and no chemical reaction takes place.
COMPARISION OF AIR STANDARD CYCLES & ACTUAL CYCLES
THE CARNOT CYCLE
This cycle has the highest possible efficiency and consists
of four simple operations namely,
(a) Isothermal expansion
(b) Adiabatic expansion
(c) Isothermal compression
(d) Adiabatic compression.
Carnot Cycle:
CONSTANT VOLUME OR OTTO CYCLE
This cycle is so named as it was conceived by ‘Otto’. On
this cycle, petrol, gas and many types of oil engines work.
It is the standard of comparison for internal combustion
engines.
Figs. (a) and (b) shows the theoretical p-V diagram and T-s
diagrams of this cycle
19 Aug 2020
CONSTANT VOLUME OR OTTO CYCLE
19 Aug 2020
CONSTANT VOLUME OR OTTO CYCLE
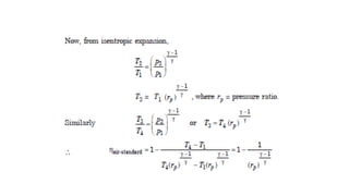
Line 1-2 represents the adiabatic compression of air
Line 2-3 shows the supply of heat to the air at constant
volume
Line 3-4 represents the adiabatic expansion of the air
Line 4-1 shows the rejection of heat by air at constant
volume
29 July 2020
19 Aug 2020
It is clear from the above expression that efficiency increases with the increase
in the value of r, which means we can have maximum efficiency by increasing
r to a considerable extent, but due to practical difficulties its value is limited to
about 8
19 Aug 2020
Mean effective pressure:
29 July 2020
19 Aug 2020
Sum no 1.
THERMODYNAMICS
MEC 305
20 Aug 2020
Module 5
Lecture 2
20 Aug 2020
Gas power cycles.
19 Aug 2020
Sum no 2, Gate 98
The minimum pressure and temperature in an Otto cycle are 100 kPa and
27°C. The amount of heat added to the air per cycle is 1500 kJ/kg.
(i) Determine the pressures and temperatures at all points of the air standard
Otto cycle.
(ii) Also calculate the specific work and thermal efficiency of the cycle for a
compression
ratio of 8 : 1.
Take for air : cv = 0.72 kJ/kg K, and γ = 1.4.
Given : p1 = 100 kPa = 105 N/m2 or 1
bar ;
T1 = 27 + 273 = 300 K ; Heat added =
1500 kJ/kg ;
r = 8 : 1 ; cv = 0.72 kJ/kg ; γ = 1.4.
Sum no 2, Gate 98
Sum no 2, Gate 98
Sum no 2, Gate 98
CONSTANT PRESSURE OR DIESEL CYCLE
This cycle was introduced by Dr. R. Diesel in 1897. It differs from Otto cycle
in that heat is supplied at constant pressure instead of at constant volume.
This cycle comprises of the following operations:
(i) 1-2......Adiabatic compression.
(ii) 2-3......Addition of heat at constant pressure.
(iii) 3-4......Adiabatic expansion.
(iv) 4-1......Rejection of heat at constant volume.
CONSTANT PRESSURE OR DIESEL CYCLE
Point 1 represents that the cylinder is full of air. Let p1, V1 and T1 be the corresponding
pressure, volume and absolute temperature. The piston then compresses the air adiabatically
(i.e., pVγ
= constant) till the values become p2, V2 and T2 respectively (at the end of the
stroke) at point 2. Heat is then added from a hot body at a constant pressure. During this
addition of heat let volume increases from V2 to V3 and temperature T2 to T3, corresponding
to point 3. This point (3) is called the point of cut-off. The air then expands adiabatically to
the conditions p4, V4 and T4 respectively corresponding to point 4. Finally, the air rejects the
heat to the cold body at constant volume till the point 1 where it returns to its original state.
THERMODYNAMICS
MEC 305
20 Aug 2020
Module 5
Lecture 3
20 Aug 2020
Gas power cycles.
19 Aug 2020
DUAL COMBUSTION CYCLE
This cycle (also called the limited pressure cycle or mixed cycle) is a combination of Otto and
Diesel cycles, in a way, that heat is added partly at constant volume and partly at constant
pressure ; the advantage of which is that more time is available to fuel (which is injected into the
engine cylinder before the end of compression stroke) for combustion
The dual combustion cycle consists of the following operations :
(i) 1-2—Adiabatic compression
(ii) 2-3—Addition of heat at constant volume
(iii) 3-4—Addition of heat at constant pressure
(iv) 4-5—Adiabatic expansion
20 Aug 2020
20 Aug 2020
20 Aug 2020
20 Aug 2020
20 Aug 2020
Mean effective pressure (pm) is given by,
20 Aug 2020
A diesel engine has a compression ratio of 15 and heat addition at constant
pressure takes place at 6% of stroke. Find the air standard efficiency of the
engine. Take γ for air as 1.4.
Sum 3
THERMODYNAMICS
MEC 305
20 Aug 2020
Module 5
Lecture 4
20 Aug 2020
Gas power cycles.
19 Aug 2020
Sum no 4, May 12, Dec 12 – 12 m
In an air standard diesel cycle the stroke is 30 cm and diameter is 25 cm.
Pressure and temperature at the start of compression stroke is 100 kPa, 27˚C.
The compression ratio is 16 and cut - off is 8% of the stroke.
Find: (1) Pressure and temperature at all salient points (2) Heat supplied, heat
rejected and work done (3) Mean effective pressure.
Given:
Diameter, D = 25 cm = 0.25 m, Stroke, L = 30 cm = 0.3 m, P1 = 100 kPa,
T1 = 27 + 273 = 300 K
Cut – off (V3 – V2 ) = 8/100 ( V1 – V2), Compression ratio, r = V1/V2 =
16
20 Aug 2020
Sum no 4, May 12, Dec 12 – 12 m
Sum no 4, May 12, Dec 12 – 12 m
20 Aug 2020
Sum no 4, May 12, Dec 12 – 12 m
Sum no 4, May 12, Dec 12 – 12 m
Sum no 4, May 12, Dec 12 – 12 m
201Aug 2020
Sum no 5, May 11, 14 , 10 m
In an air standard dual cycle, the pressure at the beginning of the
compression is 1 bar, while temperature is 310 K. Compression ratio is 10:1.
Heat added is 2800 kJ/kg of charge. The maximum pressure limit is 70 bar. If
heat is added partially at constant volume and partially at constant pressure,
find 1) Air standard efficiency 2) Mean effective pressure.
Given:
P1 = 1 bar, T1 = 310K, Compression ratio, r V1/V2 = 10
Heat added Q2-3 +Q3-4 = 2800 kJ/Kg = mCv(T3 – T2) + mCp (T4 – T3)
Maximum Pressure = P3 = P4 = 70 bar.
201Aug 2020
25 Sep 2020
•
25 Sep 2020
COMPARISON OF OTTO, DIESEL AND DUAL COMBUSTION CYCLES
25 Sep 2020
Following are the important variable factors which are used as a basis for
comparison of the cycles :
_ Compression ratio.
_ Maximum pressure
_ Heat supplied
_ Heat rejected
_ Net work
Some of the above mentioned variables are fixed when the performance of
Otto, Diesel and dual combustion cycles is to be compared.
25 Sep 2020
Efficiency versus Compression Ratio:
25 Sep 2020
Fig. shows the comparison for the air standard efficiencies of the Otto, Diesel and
Dual combustion cycles at various compression ratios and with given cut-off ratio for
the Diesel and Dual combustion cycles. It is evident from the Fig. that the air standard
efficiencies increase with the increase in the compression ratio. For a given
compression ratio Otto cycle is the most efficient while the Diesel cycle is the least
efficient. (ηotto > ηdual > ηdiesel).
Note. The maximum compression ratio for the petrol engine is limited by detonation.
In their respective ratio ranges, the Diesel cycle is more efficient than the Otto cycle.
THERMODYNAMICS
MEC 305
20 Aug 2020
Module 5
Lecture 5
20 Aug 2020
Gas power cycles.
25 Sep 2020
FOR THE SAME COMPRESSION RATIO AND THE SAME HEAT INPUT
P – V Diagram T – S Diagram
ηotto > ηdual > ηdiesel
25 Sep 2020
A comparison of the cycles (Otto, Diesel and Dual) on the p-v and T-s diagrams
for the same compression ratio and heat supplied is shown in the Fig.
Since all the cycles reject their heat at the same specific volume, process line from state 4 to 1,
the quantity of heat rejected from each cycle is represented by the appropriate area under the
line 4 to 1 on the T-s diagram. As is evident from the above efficiency eqn. the cycle which has
the least heat rejected will have the highest efficiency. Thus, Otto cycle is the most efficient and
Diesel cycle is the least efficient of the three cycles.
25 Sep 2020
FOR CONSTANT MAXIMUM PRESSURE AND HEAT SUPPLIED
Fig. Below shows the Otto and Diesel cycles on a) p-v and b) T-s diagrams for
constant maximum pressure and heat input respectively.
25 Sep 2020
— For the maximum pressure the points 3 and 3′ must lie on a constant pressure
line.
— On T-s diagram the heat rejected from the Diesel cycle is represented by the
area under
the line 4 to 1 and this area is less than the Otto cycle area under the curve 4′ to 1
;
hence the Diesel cycle is more efficient than the Otto cycle for the condition of
maximum pressure and heat supplied.
25 Sep 2020
25 Sep 2020
ATKINSON CYCLE
(i) 1-2—Heat rejection at constant pressure
(ii) 2-3—Adiabatic compression
(iii) 3-4—Addition of heat at constant volume
(iv) 4-1—Adiabatic expansion
25 Sep 2020
ERICSSON CYCLE
(i) 1-2—Rejection of heat at
constant pressure
(ii) 2-3—Isothermal compression
(iii) 3-4—Addition of heat at
constant pressure
(iv) 4-1—Isothermal expansion
25 Sep 2020
STERLING CYCLE:
Process 1-2: Isothermal
compression
Process 2-3: Constant volume heat
addition
Process 3 – 4: Isothermal
expansion
Process 4 – 1: Constant volume
heat rejection.
25 Sep 2020
LENOIR CYCLE.
1 → 2 is a Constant Volume heat addition process. Where the fuel will be
burnt under a constant volume.
2 → 3 is an Isentropic Expansion, right after the combustion happens. It is
a
reversible adiabatic expansion process. Actually where the work is
generated.
3 → 1 is the Constant Pressure heat rejection, where the combustion
particles will be released into the surroundings at a constant pressure.
Brayton cycle is a constant pressure cycle for a perfect gas. It is also called Joule cycle.
The heat transfers are achieved in reversible constant pressure heat exchangers. An ideal gas
turbine plant would perform the processes that make up a Brayton cycle.
The various operations are as follows :
Operation 1-2. The air is compressed isentropically from the lower pressure p1 to the upper
pressure p2, the temperature rising from T1 to T2. No heat flow occurs.
Operation 2-3. Heat flows into the system increasing the volume from V2 to V3 and
temperature from T2 to T3 whilst the pressure remains constant at p2. Heat received = mcp
(T3 – T2).
Operation 3-4. The air is expanded isentropically from p2 to p1, the temperature falling from
T3 to T4. No heat flow occurs.
Operation 4-1. Heat is rejected from the system as the volume decreases from V4 to V1 and
the temperature from T4 to T1 whilst the pressure remains constant at p1. Heat rejected =
mcp(T4 – T1).
25 Sep 2020
Basic components of a gas turbine power plant
P – V Diagram T – S Diagram
The eqn. shows that the efficiency of the ideal joule cycle increases with the
pressure ratio. The absolute limit of upper pressure is determined by the
limiting temperature of the material of the turbine at the point at which this
temperature is reached by the compression process alone, no further
heating of the gas in the combustion chamber would be permissible and the
work of expansion would ideally just balance the work of compression so
that no excess work would be available for external use.
26 Aug 2020
THANK YOU

TD MODULE 5nsnsjsbsbsjsjsbsjsjdjnsjdjzbsbsk

  • 1.
    THERMODYNAMICS MEC 305 Subject Incharge Mr.Atulkumar Mishra Assistant Professor 19 Aug 2020
  • 2.
    Module 5 Lecture 1 Gaspower cycles. 19 Aug 2020
  • 4.
    19 Aug 2020 Module5: 6 hrs. Gas Power cycles: Nomenclature of a reciprocating engine, Mean effective pressure , Assumptions of air Standard Cycle, Otto cycle, Diesel Cycle and Dual cycle, Comparison of Otto and Diesel cycle for same compression ratio, Brayton Cycle. Sterling Cycle, Ericsson Cycle, Lenoir cycle, and Atkinson cycle (Only theory). CO5: Explain the fundamental principles and operations of various practical thermodynamic cycles viz, Gas power cycles, and apply the acquired knowledge to evaluate, interpret and compare performance parameters of this cycles used in I C engines, Gas turbines And Jet propulsion.
  • 5.
    DEFINITION OF ACYCLE A cycle is defined as a repeated series of operations occurring in a certain order. It may be repeated by repeating the processes in the same order. The cycle may be of imaginary perfect engine or actual engine. The former is called ideal cycle and the latter actual cycle. In ideal cycle all accidental heat losses are prevented and the working substance is assumed to behave like a perfect working substance.
  • 6.
    ASSUMPTIONS MADE INAIR STANDARD CYCLES: 1. The working fluid is air which follows the perfect gas law PV = mRT 2. The specific heat of air does not vary with temperature. 3. The mass of air in the cycle remains fixed. i.e., the engine operates as a closed system, so that working fluid is restored to its initial state at the end of each cycle. Thus there are no intake and exhaust process. 4. Heat addition and rejection takes place with the help of external heat reservoir, due to heat transfer. 5. All the processes are internally reversible and compression and expansion processes are isentropic. 6. The working fluid is homogeneous throughout and no chemical reaction takes place.
  • 7.
    COMPARISION OF AIRSTANDARD CYCLES & ACTUAL CYCLES
  • 12.
    THE CARNOT CYCLE Thiscycle has the highest possible efficiency and consists of four simple operations namely, (a) Isothermal expansion (b) Adiabatic expansion (c) Isothermal compression (d) Adiabatic compression.
  • 13.
  • 14.
    CONSTANT VOLUME OROTTO CYCLE This cycle is so named as it was conceived by ‘Otto’. On this cycle, petrol, gas and many types of oil engines work. It is the standard of comparison for internal combustion engines. Figs. (a) and (b) shows the theoretical p-V diagram and T-s diagrams of this cycle
  • 15.
    19 Aug 2020 CONSTANTVOLUME OR OTTO CYCLE
  • 16.
    19 Aug 2020 CONSTANTVOLUME OR OTTO CYCLE Line 1-2 represents the adiabatic compression of air Line 2-3 shows the supply of heat to the air at constant volume Line 3-4 represents the adiabatic expansion of the air Line 4-1 shows the rejection of heat by air at constant volume
  • 17.
  • 19.
    19 Aug 2020 Itis clear from the above expression that efficiency increases with the increase in the value of r, which means we can have maximum efficiency by increasing r to a considerable extent, but due to practical difficulties its value is limited to about 8
  • 20.
    19 Aug 2020 Meaneffective pressure:
  • 21.
  • 22.
  • 23.
  • 24.
    Module 5 Lecture 2 20Aug 2020 Gas power cycles.
  • 25.
    19 Aug 2020 Sumno 2, Gate 98 The minimum pressure and temperature in an Otto cycle are 100 kPa and 27°C. The amount of heat added to the air per cycle is 1500 kJ/kg. (i) Determine the pressures and temperatures at all points of the air standard Otto cycle. (ii) Also calculate the specific work and thermal efficiency of the cycle for a compression ratio of 8 : 1. Take for air : cv = 0.72 kJ/kg K, and γ = 1.4.
  • 26.
    Given : p1= 100 kPa = 105 N/m2 or 1 bar ; T1 = 27 + 273 = 300 K ; Heat added = 1500 kJ/kg ; r = 8 : 1 ; cv = 0.72 kJ/kg ; γ = 1.4. Sum no 2, Gate 98
  • 27.
    Sum no 2,Gate 98
  • 28.
    Sum no 2,Gate 98
  • 30.
    CONSTANT PRESSURE ORDIESEL CYCLE This cycle was introduced by Dr. R. Diesel in 1897. It differs from Otto cycle in that heat is supplied at constant pressure instead of at constant volume. This cycle comprises of the following operations: (i) 1-2......Adiabatic compression. (ii) 2-3......Addition of heat at constant pressure. (iii) 3-4......Adiabatic expansion. (iv) 4-1......Rejection of heat at constant volume.
  • 31.
  • 32.
    Point 1 representsthat the cylinder is full of air. Let p1, V1 and T1 be the corresponding pressure, volume and absolute temperature. The piston then compresses the air adiabatically (i.e., pVγ = constant) till the values become p2, V2 and T2 respectively (at the end of the stroke) at point 2. Heat is then added from a hot body at a constant pressure. During this addition of heat let volume increases from V2 to V3 and temperature T2 to T3, corresponding to point 3. This point (3) is called the point of cut-off. The air then expands adiabatically to the conditions p4, V4 and T4 respectively corresponding to point 4. Finally, the air rejects the heat to the cold body at constant volume till the point 1 where it returns to its original state.
  • 37.
  • 38.
    Module 5 Lecture 3 20Aug 2020 Gas power cycles.
  • 39.
    19 Aug 2020 DUALCOMBUSTION CYCLE This cycle (also called the limited pressure cycle or mixed cycle) is a combination of Otto and Diesel cycles, in a way, that heat is added partly at constant volume and partly at constant pressure ; the advantage of which is that more time is available to fuel (which is injected into the engine cylinder before the end of compression stroke) for combustion The dual combustion cycle consists of the following operations : (i) 1-2—Adiabatic compression (ii) 2-3—Addition of heat at constant volume (iii) 3-4—Addition of heat at constant pressure (iv) 4-5—Adiabatic expansion
  • 40.
  • 41.
  • 42.
  • 43.
  • 44.
    20 Aug 2020 Meaneffective pressure (pm) is given by,
  • 45.
    20 Aug 2020 Adiesel engine has a compression ratio of 15 and heat addition at constant pressure takes place at 6% of stroke. Find the air standard efficiency of the engine. Take γ for air as 1.4.
  • 46.
  • 47.
  • 48.
    Module 5 Lecture 4 20Aug 2020 Gas power cycles.
  • 49.
    19 Aug 2020 Sumno 4, May 12, Dec 12 – 12 m In an air standard diesel cycle the stroke is 30 cm and diameter is 25 cm. Pressure and temperature at the start of compression stroke is 100 kPa, 27˚C. The compression ratio is 16 and cut - off is 8% of the stroke. Find: (1) Pressure and temperature at all salient points (2) Heat supplied, heat rejected and work done (3) Mean effective pressure. Given: Diameter, D = 25 cm = 0.25 m, Stroke, L = 30 cm = 0.3 m, P1 = 100 kPa, T1 = 27 + 273 = 300 K Cut – off (V3 – V2 ) = 8/100 ( V1 – V2), Compression ratio, r = V1/V2 = 16
  • 50.
    20 Aug 2020 Sumno 4, May 12, Dec 12 – 12 m
  • 51.
    Sum no 4,May 12, Dec 12 – 12 m
  • 52.
    20 Aug 2020 Sumno 4, May 12, Dec 12 – 12 m
  • 53.
    Sum no 4,May 12, Dec 12 – 12 m
  • 54.
    Sum no 4,May 12, Dec 12 – 12 m
  • 55.
    201Aug 2020 Sum no5, May 11, 14 , 10 m In an air standard dual cycle, the pressure at the beginning of the compression is 1 bar, while temperature is 310 K. Compression ratio is 10:1. Heat added is 2800 kJ/kg of charge. The maximum pressure limit is 70 bar. If heat is added partially at constant volume and partially at constant pressure, find 1) Air standard efficiency 2) Mean effective pressure. Given: P1 = 1 bar, T1 = 310K, Compression ratio, r V1/V2 = 10 Heat added Q2-3 +Q3-4 = 2800 kJ/Kg = mCv(T3 – T2) + mCp (T4 – T3) Maximum Pressure = P3 = P4 = 70 bar.
  • 57.
  • 58.
  • 59.
  • 60.
    COMPARISON OF OTTO,DIESEL AND DUAL COMBUSTION CYCLES 25 Sep 2020 Following are the important variable factors which are used as a basis for comparison of the cycles : _ Compression ratio. _ Maximum pressure _ Heat supplied _ Heat rejected _ Net work Some of the above mentioned variables are fixed when the performance of Otto, Diesel and dual combustion cycles is to be compared.
  • 61.
    25 Sep 2020 Efficiencyversus Compression Ratio:
  • 62.
    25 Sep 2020 Fig.shows the comparison for the air standard efficiencies of the Otto, Diesel and Dual combustion cycles at various compression ratios and with given cut-off ratio for the Diesel and Dual combustion cycles. It is evident from the Fig. that the air standard efficiencies increase with the increase in the compression ratio. For a given compression ratio Otto cycle is the most efficient while the Diesel cycle is the least efficient. (ηotto > ηdual > ηdiesel). Note. The maximum compression ratio for the petrol engine is limited by detonation. In their respective ratio ranges, the Diesel cycle is more efficient than the Otto cycle.
  • 63.
  • 64.
    Module 5 Lecture 5 20Aug 2020 Gas power cycles.
  • 65.
    25 Sep 2020 FORTHE SAME COMPRESSION RATIO AND THE SAME HEAT INPUT P – V Diagram T – S Diagram ηotto > ηdual > ηdiesel
  • 66.
    25 Sep 2020 Acomparison of the cycles (Otto, Diesel and Dual) on the p-v and T-s diagrams for the same compression ratio and heat supplied is shown in the Fig. Since all the cycles reject their heat at the same specific volume, process line from state 4 to 1, the quantity of heat rejected from each cycle is represented by the appropriate area under the line 4 to 1 on the T-s diagram. As is evident from the above efficiency eqn. the cycle which has the least heat rejected will have the highest efficiency. Thus, Otto cycle is the most efficient and Diesel cycle is the least efficient of the three cycles.
  • 67.
    25 Sep 2020 FORCONSTANT MAXIMUM PRESSURE AND HEAT SUPPLIED Fig. Below shows the Otto and Diesel cycles on a) p-v and b) T-s diagrams for constant maximum pressure and heat input respectively.
  • 68.
    25 Sep 2020 —For the maximum pressure the points 3 and 3′ must lie on a constant pressure line. — On T-s diagram the heat rejected from the Diesel cycle is represented by the area under the line 4 to 1 and this area is less than the Otto cycle area under the curve 4′ to 1 ; hence the Diesel cycle is more efficient than the Otto cycle for the condition of maximum pressure and heat supplied.
  • 69.
  • 70.
    25 Sep 2020 ATKINSONCYCLE (i) 1-2—Heat rejection at constant pressure (ii) 2-3—Adiabatic compression (iii) 3-4—Addition of heat at constant volume (iv) 4-1—Adiabatic expansion
  • 71.
    25 Sep 2020 ERICSSONCYCLE (i) 1-2—Rejection of heat at constant pressure (ii) 2-3—Isothermal compression (iii) 3-4—Addition of heat at constant pressure (iv) 4-1—Isothermal expansion
  • 72.
    25 Sep 2020 STERLINGCYCLE: Process 1-2: Isothermal compression Process 2-3: Constant volume heat addition Process 3 – 4: Isothermal expansion Process 4 – 1: Constant volume heat rejection.
  • 73.
  • 74.
    1 → 2is a Constant Volume heat addition process. Where the fuel will be burnt under a constant volume. 2 → 3 is an Isentropic Expansion, right after the combustion happens. It is a reversible adiabatic expansion process. Actually where the work is generated. 3 → 1 is the Constant Pressure heat rejection, where the combustion particles will be released into the surroundings at a constant pressure.
  • 75.
    Brayton cycle isa constant pressure cycle for a perfect gas. It is also called Joule cycle. The heat transfers are achieved in reversible constant pressure heat exchangers. An ideal gas turbine plant would perform the processes that make up a Brayton cycle. The various operations are as follows : Operation 1-2. The air is compressed isentropically from the lower pressure p1 to the upper pressure p2, the temperature rising from T1 to T2. No heat flow occurs. Operation 2-3. Heat flows into the system increasing the volume from V2 to V3 and temperature from T2 to T3 whilst the pressure remains constant at p2. Heat received = mcp (T3 – T2). Operation 3-4. The air is expanded isentropically from p2 to p1, the temperature falling from T3 to T4. No heat flow occurs. Operation 4-1. Heat is rejected from the system as the volume decreases from V4 to V1 and the temperature from T4 to T1 whilst the pressure remains constant at p1. Heat rejected = mcp(T4 – T1).
  • 76.
    25 Sep 2020 Basiccomponents of a gas turbine power plant
  • 77.
    P – VDiagram T – S Diagram
  • 80.
    The eqn. showsthat the efficiency of the ideal joule cycle increases with the pressure ratio. The absolute limit of upper pressure is determined by the limiting temperature of the material of the turbine at the point at which this temperature is reached by the compression process alone, no further heating of the gas in the combustion chamber would be permissible and the work of expansion would ideally just balance the work of compression so that no excess work would be available for external use.
  • 81.