HƯỚNG DẪN GIẢI BÀI TẬP TÍCH PHÂN KÉP
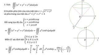
1) Tính
𝐷
𝑥𝑦𝑑𝑥𝑑𝑦
Trong đó 𝐷 là miền phẳng giới hạn bởi đường thẳng 𝑥 = 2 và các parabol 𝑦 = 𝑥2
, 𝑦 = 2𝑥2
Giải: (SV tự vẽ hình) Miền 𝐷 xác định bởi
0 ≤ 𝑥 ≤ 2
𝑥2 ≤ 𝑦 ≤ 2𝑥2 ⇒
𝐷
𝑥𝑦𝑑𝑥𝑑𝑦 =
0
2
𝑑𝑥
𝑥2
2𝑥2
𝑥𝑦𝑑𝑦
𝑀à
𝑥2
2𝑥2
𝑥𝑦𝑑𝑦 = 𝑥
𝑦2
2
2𝑥2
𝑥2
=
3𝑥5
2
⇒
0
2
𝑑𝑥
𝑥2
2𝑥2
𝑥𝑦𝑑𝑦 =
0
2
3𝑥5
2
𝑑𝑥 =
𝑥6
4
2
0
= 16
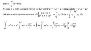
2) Tính
𝐷
𝑥𝑦2𝑑𝑥𝑑𝑦
Trong đó 𝐷 là miền phẳng giới hạn bởi các đường thẳng y = 1, 𝑦 = 2 và các parabol 𝑥 = 𝑦2
, 𝑥 = 2𝑦2
Giải: (SV tự vẽ hình) Miền 𝐷 xác định bởi
1 ≤ 𝑦 ≤ 2
𝑦2 ≤ 𝑥 ≤ 2𝑦2 ⇒
𝐷
𝑥𝑦2
𝑑𝑥𝑑𝑦 =
1
2
𝑑𝑦
𝑦2
2𝑦2
𝑥𝑦2
𝑑𝑥
𝑦2
2𝑦2
𝑥𝑦2
𝑑𝑥 = 𝑦2
𝑦2
2𝑦2
𝑥𝑑𝑥 =
3𝑦6
2
⇒
1
2
𝑑𝑦
𝑦2
2𝑦2
𝑥𝑦2
𝑑𝑥 =
1
2
3𝑦6
2
𝑑𝑦 =
3𝑦7
14
2
1
=
383
14
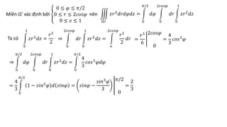
3) Tính
𝐷
𝑥2 + 𝑦2𝑑𝑥𝑑𝑦
Trong đó 𝐷 là miền phẳng giới hạn bởi 2 đường tròn (𝑥 − 1)2
+𝑦2
= 1 và (𝑥 − 2)2
+𝑦2
= 4
Đổi sang tọa độ cực
𝑥 = 𝑟𝑐𝑜𝑠𝜑
𝑦 = 𝑟𝑠𝑖𝑛𝜑 ⇒
𝐷
𝑥2 + 𝑦2𝑑𝑥𝑑𝑦 =
𝐷′
𝑟2
𝑑𝑟𝑑𝜑
Đường tròn (𝑥 − 1)2
+𝑦2
= 1 ⇒ 𝑥2
+ 𝑦2
= 2𝑥 ⇒ 𝑟 = 2𝑐𝑜𝑠𝜑
Đường tròn (𝑥 − 2)2
+𝑦2
= 4 ⇒ 𝑥2
+ 𝑦2
= 4𝑥 ⇒ 𝑟 = 4𝑐𝑜𝑠𝜑
Miền 𝐷’ xác định bởi
−𝜋/2 ≤ 𝜑 ≤ 𝜋/2
2𝑐𝑜𝑠𝜑 ≤ 𝑟 ≤ 4𝑐𝑜𝑠𝜑
suy ra
𝐷′
𝑟2𝑑𝑟𝑑𝜑 =
−𝜋/2
𝜋/2
𝑑𝜑
2𝑐𝑜𝑠𝜑
4𝑐𝑜𝑠𝜑
𝑟2𝑑𝑟 =
−𝜋/2
𝜋/2
56
3
𝑐𝑜𝑠3𝜑𝑑𝜑 =
112
3
0
𝜋/2
𝑐𝑜𝑠3
𝜑𝑑𝜑
=
224
9
𝑥
𝑦
𝑂
=
112
3
0
𝜋/2
1 − 𝑠𝑖𝑛2𝜑 𝑑(𝑠𝑖𝑛𝜑)=
112
3
𝑠𝑖𝑛𝜑 −
𝑠𝑖𝑛3𝜑
3
𝜋/2
0
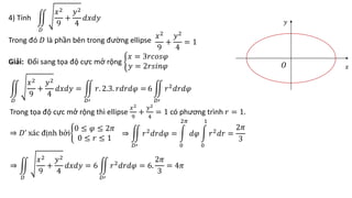
4) Tính
𝐷
𝑥2
9
+
𝑦2
4
𝑑𝑥𝑑𝑦
Trong đó 𝐷 là phần bên trong đường ellipse
𝑥2
9
+
𝑦2
4
= 1
Giải: Đổi sang tọa độ cực mở rộng
𝑥 = 3𝑟𝑐𝑜𝑠𝜑
𝑦 = 2𝑟𝑠𝑖𝑛𝜑
𝐷
𝑥2
9
+
𝑦2
4
𝑑𝑥𝑑𝑦 =
𝐷′
𝑟. 2.3. 𝑟𝑑𝑟𝑑𝜑 = 6
𝐷′
𝑟2
𝑑𝑟𝑑𝜑
Trong tọa độ cực mở rộng thì ellipse
𝑥2
9
+
𝑦2
4
= 1 có phương trình 𝑟 = 1.
⇒ 𝐷’ xác định bởi
0 ≤ 𝜑 ≤ 2𝜋
0 ≤ 𝑟 ≤ 1
⇒
𝐷′
𝑟2𝑑𝑟𝑑𝜑 =
0
2𝜋
𝑑𝜑
0
1
𝑟2𝑑𝑟 =
2𝜋
3
𝑥
𝑦
𝑂
⇒
𝐷
𝑥2
9
+
𝑦2
4
𝑑𝑥𝑑𝑦 = 6
𝐷′
𝑟2𝑑𝑟𝑑𝜑 = 6.
2𝜋
3
= 4𝜋
5) Đổi thứ tự lấy tích phân trong tích phân sau:
0
1
𝑑𝑦
𝑦
𝑦
𝑓 𝑥, 𝑦 𝑑𝑥
0
1
𝑑𝑦
𝑦
𝑦
𝑓 𝑥, 𝑦 𝑑𝑥 =
𝐷
𝑓 𝑥, 𝑦 𝑑𝑥𝑑𝑦 trong đó 𝐷 xác định bởi
0 ≤ 𝑦 ≤ 1
𝑦 ≤ 𝑥 ≤ 𝑦
𝐷𝑜 𝑥 = 𝑦 ⇔
𝑥 ≥ 0
𝑦 = 𝑥2
𝐷 còn có thể xác định bởi
0 ≤ 𝑥 ≤ 1
𝑥2
≤ 𝑦 ≤ 𝑥
1
1
𝑥
𝑦
𝑂
⇒ 𝐷 là miền trong hình vẽ
nên
𝐷
𝑓 𝑥, 𝑦 𝑑𝑥𝑑𝑦 =
0
1
𝑑𝑥
𝑥2
𝑥
𝑓 𝑥, 𝑦 𝑑𝑦
Suy ra
0
1
𝑑𝑦
𝑦
𝑦
𝑓 𝑥, 𝑦 𝑑𝑥 =
0
1
𝑑𝑥
𝑥2
𝑥
𝑓 𝑥, 𝑦 𝑑𝑦
6) Tính
0
2
𝑑𝑥
𝑥
2
1
𝑒𝑦2
𝑑𝑦
0
2
𝑑𝑥
𝑥
2
1
𝑒𝑦2
𝑑𝑦 =
𝐷
𝑒𝑦2
𝑑𝑥𝑑𝑦 trong đó 𝐷 xác định bởi
0 ≤ 𝑥 ≤ 2
𝑥
2
≤ 𝑦 ≤ 1
⇒ 𝐷 là miền trong hình vẽ
2
1
𝑂
𝑥
𝑦
Miền 𝐷 còn có thể xác định bởi
0 ≤ 𝑦 ≤ 1
0 ≤ 𝑥 ≤ 2𝑦
nên
𝐷
𝑒𝑦2
𝑑𝑥𝑑𝑦 =
0
1
𝑑𝑦
0
2𝑦
𝑒𝑦2
𝑑𝑥 ⇒
0
2
𝑑𝑥
𝑥
2
1
𝑒𝑦2
𝑑𝑦 =
0
1
𝑑𝑦
0
2𝑦
𝑒𝑦2
𝑑𝑥
Mà
0
2𝑦
𝑒𝑦2
𝑑𝑥 = 2𝑦𝑒𝑦2
⇒
0
1
𝑑𝑦
0
2𝑦
𝑒𝑦2
𝑑𝑥 =
0
1
2𝑦𝑒𝑦2
𝑑𝑦 =
0
1
𝑒𝑦2
𝑑(𝑦2
) = 𝑒𝑦2
1
0
= 𝑒 − 1
7) Tính tích phân
𝐷
𝑒
𝑥
𝑦𝑑𝑥𝑑𝑦 với 𝐷 là miền phẳng, giới hạn bởi các đường 𝑥 = 0, 𝑦 = 1, 𝑥 = 𝑦2
1
𝑥
𝑦
𝑂 1
Miền 𝐷 xác định bởi
0 ≤ 𝑦 ≤ 1
0 ≤ 𝑥 ≤ 𝑦2
Ta thấy
𝐷
𝑒
𝑥
𝑦𝑑𝑥𝑑𝑦 =
0
1
𝑑𝑦
0
𝑦2
𝑒
𝑥
𝑦𝑑𝑥
0
𝑦2
𝑒
𝑥
𝑦𝑑𝑥 = 𝑦
0
𝑦2
𝑒
𝑥
𝑦𝑑
𝑥
𝑦
= 𝑦 𝑒
𝑥
𝑦
𝑦2
0
= 𝑦 𝑒𝑦
− 1
⇒
0
1
𝑑𝑦
0
𝑦2
𝑒
𝑥
𝑦𝑑𝑥 =
0
1
𝑦 𝑒𝑦
− 1 𝑑𝑦 =
0
1
𝑦𝑒𝑦
𝑑𝑦 −
0
1
𝑦𝑑𝑦 =
0
1
𝑦𝑑(𝑒𝑦
) −
𝑦2
2
1
0
= 𝑦𝑒𝑦
1
0
−
0
1
𝑒𝑦
𝑑𝑦 −
1
2
= 𝑒 − 𝑒 − 1 −
1
2
=
1
2
8) Tính tích phân
𝐷
𝑑𝑥𝑑𝑦
𝑥2 + 𝑦2 + 1 với 𝐷 là miền phẳng, giới hạn bởi các đường 𝑦 = 0, 𝑦 = 1 − 𝑥2
𝑦 = 1 − 𝑥2 ⇔
𝑦 ≥ 0
𝑦2
= 1 − 𝑥2 ⇔
𝑦 ≥ 0
𝑥2
+ 𝑦2
= 1
Suy ra 𝐷 là miền trong hình vẽ
𝑂
𝑥
𝑦
Đổi sang tọa độ cực
𝑥 = 𝑟𝑐𝑜𝑠𝜑
𝑦 = 𝑟𝑠𝑖𝑛𝜑
⇒
𝐷
𝑑𝑥𝑑𝑦
𝑥2 + 𝑦2 + 1
=
𝐷′
𝑟
𝑟2 + 1
𝑑𝑟𝑑𝜑 Miền 𝐷’ xác định bởi
0 ≤ 𝜑 ≤ 𝜋
0 ≤ 𝑟 ≤ 1
nên:
𝐷′
𝑟
𝑟2 + 1
𝑑𝑟𝑑𝜑 =
0
𝜋
𝑑𝜑
0
1
𝑟
𝑟2 + 1
𝑑𝑟 Mà
0
1
𝑟
𝑟2 + 1
𝑑𝑟 =
1
2
0
1
𝑑 𝑟2
+ 1
𝑟2 + 1
= ln 𝑟2 + 1
1
0
= 𝑙𝑛2
⇒
0
𝜋
𝑑𝜑
0
1
𝑟
𝑟2 + 1
𝑑𝑟 =
0
𝜋
𝑙𝑛2𝑑𝜑 = 𝜋𝑙𝑛2
9) Tính tích phân
với 𝐷 là miền phẳng nằm giữa 2 đường tròn 𝑥2
+ 𝑦2
=
𝜋2
4
và 𝑥2
+ 𝑦2
= 𝜋2
𝐷
𝑠𝑖𝑛 𝑥2 + 𝑦2
𝑥2 + 𝑦2
𝑑𝑥𝑑𝑦
Đổi sang tọa độ cực
𝑥 = 𝑟𝑐𝑜𝑠𝜑
𝑦 = 𝑟𝑠𝑖𝑛𝜑
Các đường tròn có phương trình 𝑟 =
𝜋
2
và 𝑟 = 𝜋
𝐷
𝑠𝑖𝑛 𝑥2 + 𝑦2
𝑥2 + 𝑦2
𝑑𝑥𝑑𝑦 =
𝐷′
𝑠𝑖𝑛𝑟
𝑟
. 𝑟𝑑𝑟𝑑𝜑 =
𝐷′
𝑠𝑖𝑛𝑟𝑑𝑟𝑑𝜑
Miền 𝐷’ xác định bởi
0 ≤ 𝜑 ≤ 2𝜋
𝜋
2
≤ 𝑟 ≤ 𝜋
nên
𝐷′
𝑠𝑖𝑛𝑟𝑑𝑟𝑑𝜑 =
0
2𝜋
𝑑𝜑
𝜋
2
𝜋
𝑠𝑖𝑛𝑟𝑑𝑟
Mà
𝜋
2
𝜋
𝑠𝑖𝑛𝑟𝑑𝑟 = −𝑐𝑜𝑠𝑟
𝜋
𝜋
2
= 1 nên
0
2𝜋
𝑑𝜑
𝜋
2
𝜋
𝑠𝑖𝑛𝑟𝑑𝑟 =
0
2𝜋
𝑑𝜑 = 2𝜋
𝑂
𝑦
𝑥
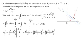
10) Tính diện tích phần mặt phẳng bởi các đường 𝑥 = 0, 𝑥 + 𝑦 = 1 và 𝑦 = 𝑥2
, 𝑥 ≥ 0
1
1
𝐴
𝑂
Hoành độ của 𝐴 là nghiệm > 0 của phương trình 𝑥2
= 1 − 𝑥
Theo công thức 𝑆 =
𝐷
𝑑𝑥𝑑𝑦
⇒ 𝑥𝐴 =
5 − 1
2
Mà 𝐷 xác định bởi
0 ≤ 𝑥 ≤
5−1
2
𝑥2
≤ 𝑦 ≤ 1 − 𝑥
⇒
𝐷
𝑑𝑥𝑑𝑦 =
0
5−1
2
𝑑𝑥
𝑥2
1−𝑥
𝑑𝑦 =
0
5−1
2
1 − 𝑥 − 𝑥2
𝑑𝑥
= 𝑥 −
𝑥2
2
−
𝑥3
3
5 − 1
2
0
=
5 − 1
2
−
1
2
5 − 1
2
2
−
1
3
5 − 1
2
3
𝑥
𝑦
11) Tính thể tích phần không gian giới hạn bởi mặt phẳng 𝑧 = 0 và mặt 𝑧 = 1 − 𝑥2
− 𝑦2
𝑂
𝑥
𝑦
𝑧
𝑥
𝑦
𝑂
1
𝑉 =
𝐷
1 − 𝑥2
− 𝑦2
𝑑𝑥𝑑𝑦
Đây là hình trụ cong mà phía dưới là 𝐷 là hình tròn 𝑥2 + 𝑦2 ≤ 1
𝐷
Đổi sang tọa độ cực
𝑥 = 𝑟𝑐𝑜𝑠𝜑
𝑦 = 𝑟𝑠𝑖𝑛𝜑
𝑉 =
𝐷
1 − 𝑥2 − 𝑦2 𝑑𝑥𝑑𝑦 =
𝐷′
1 − 𝑟2 𝑟𝑑𝑟𝑑𝜑
Miền 𝐷’ xác định bởi
0 ≤ 𝜑 ≤ 2𝜋
0 ≤ 𝑟 ≤ 1
nên
𝐷′
1 − 𝑟2 𝑟𝑑𝑟𝑑𝜑 =
0
2𝜋
𝑑𝜑
0
1
1 − 𝑟2 𝑟𝑑𝑟
Mà
0
1
1 − 𝑟2 𝑟𝑑𝑟 =
𝑟2
2
−
𝑟4
4
1
0
=
1
4
⇒ 𝑉 =
0
2𝜋
𝑑𝜑
0
1
1 − 𝑟2 𝑟𝑑𝑟 =
0
2𝜋
1
4
𝑑𝜑 =
𝜋
2
(Đ𝑉𝑇𝑇)
12) Tính thể tích phần không gian giới hạn bởi:
mặt paraboloid tròn xoay 𝑧 = 𝑥2 + 𝑦2,
𝑂 𝑦
𝑥
mặt phẳng 𝑥 + 𝑦 = 1, trong phần 𝑥, 𝑦, 𝑧 ≥ 0
𝑧
𝑂
𝐴
𝐵
𝐴
𝐵
Phần không gian nói trên giới hạn phía dưới bởi 𝑂𝐴𝐵,
phía trên là mặt cong 𝑧 = 𝑥2 + 𝑦2, các đường sinh//𝑂𝑧
Theo công thức, ta có: 𝑉 =
𝐷
𝑥2 + 𝑦2 𝑑𝑥𝑑𝑦
Miền 𝐷 xác định bởi:
0 ≤ 𝑥 ≤ 1
0 ≤ 𝑦 ≤ 1 − 𝑥
Cho nên
𝑉 =
𝐷
𝑥2 + 𝑦2 𝑑𝑥𝑑𝑦 =
0
1
𝑑𝑥
0
1−𝑥
𝑥2 + 𝑦2 𝑑𝑦
𝑥
𝑦
0
1−𝑥
𝑥2 + 𝑦2 𝑑𝑦 = 𝑥2 1 − 𝑥 +
𝑦3
3
1 − 𝑥
0
= 𝑥2 1 − 𝑥 +
1 − 𝑥 3
3
=
3𝑥2
− 3𝑥3
+ 1 − 3𝑥 + 3𝑥2
− 𝑥3
3
=
1
3
− 𝑥 + 2𝑥2
−
4
3
𝑥3
Suy ra:
0
1
𝑑𝑥
0
1−𝑥
𝑥2 + 𝑦2 𝑑𝑦 =
0
1
1
3
− 𝑥 + 2𝑥2 −
4
3
𝑥3 𝑑𝑥 =
𝑥
3
−
𝑥2
2
+
2𝑥3
3
−
𝑥3
3
1
0
=
1
6
(Đ𝑉𝑇𝑇)
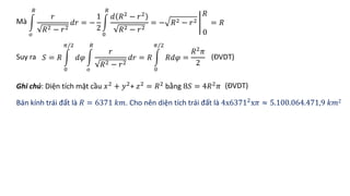
13) Tính diện tích phần mặt cầu 𝑥2 + 𝑦2+ 𝑧2 = 𝑅2 trong phần 𝑥 ≥ 0, 𝑦 ≥ 0, 𝑧 ≥ 0
𝑧 = 𝑅2 − 𝑥2 − 𝑦2
⇒
𝜕𝑧
𝜕𝑥
= −
𝑥
𝑅2 − 𝑥2 − 𝑦2
,
𝜕𝑧
𝜕𝑦
= −
𝑦
𝑅2 − 𝑥2 − 𝑦2
⇒ 1 +
𝜕𝑧
𝜕𝑥
2
+
𝜕𝑧
𝜕𝑦
2
=
𝑅
𝑅2 − 𝑥2 − 𝑦2
Áp dụng công thức 𝑆 =
𝐷
1 +
𝜕𝑧
𝜕𝑥
2
+
𝜕𝑧
𝜕𝑦
2
𝑑𝑥𝑑𝑦 = 𝑅
𝐷
𝑑𝑥𝑑𝑦
𝑅2 − 𝑥2 − 𝑦2
𝐷
𝐷
Miền 𝐷′ xác định bởi
0 ≤ 𝜑 ≤
𝜋
2
0 ≤ 𝑟 ≤ 𝑅
⇒
Đổi sang tọa độ cực
𝑥 = 𝑟𝑐𝑜𝑠𝜑
𝑦 = 𝑟𝑠𝑖𝑛𝜑 ⇒ 𝑅
𝐷
𝑑𝑥𝑑𝑦
𝑅2 − 𝑥2 − 𝑦2
= 𝑅
𝐷′
𝑟
𝑅2 − 𝑟2
𝑑𝑟𝑑𝜑
𝑅
𝐷′
𝑟
𝑅2 − 𝑟2
𝑑𝑟𝑑𝜑 = 𝑅
0
𝜋/2
𝑑𝜑
𝑜
𝑅
𝑟
𝑅2 − 𝑟2
𝑑𝑟
𝑥
𝑥
𝑦
𝑦
𝑧
𝑂
𝑂
Mà
𝑜
𝑅
𝑟
𝑅2 − 𝑟2
𝑑𝑟 = −
1
2
0
𝑅
𝑑 𝑅2 − 𝑟2
𝑅2 − 𝑟2
= − 𝑅2 − 𝑟2
𝑅
0
= 𝑅
Suy ra 𝑆 = 𝑅
0
𝜋/2
𝑑𝜑
𝑜
𝑅
𝑟
𝑅2 − 𝑟2
𝑑𝑟 = 𝑅
0
𝜋/2
𝑅𝑑𝜑 =
𝑅2
𝜋
2
Ghi chú: Diện tích mặt cầu 𝑥2
+ 𝑦2
+ 𝑧2
= 𝑅2
bằng 8𝑆 = 4𝑅2
𝜋
Bán kính trái đất là 𝑅 = 6371 𝑘𝑚. Cho nên diện tích trái đất là 4x63712
x𝜋 ≈ 5.100.064.471,9 𝑘𝑚2
(ĐVDT)
(ĐVDT)
1) Tính
Ω
𝑥2 + 𝑦2 𝑑𝑥𝑑𝑦𝑑𝑧
Trong đó Ω là miền 0 ≤ 𝑥 ≤ 1, 0 ≤ 𝑦 ≤ 1, 0 ≤ 𝑧 ≤ 1
𝑂
𝑥
𝑦
𝑧
Ω
𝑥2 + 𝑦2 𝑑𝑥𝑑𝑦𝑑𝑧 =
0
1
𝑑𝑥
0
1
𝑑𝑦
0
1
𝑥2 + 𝑦2 𝑑𝑧
0
1
𝑥2
+ 𝑦2
𝑑𝑧 = 𝑥2
+ 𝑦2
Ta có
⇒
0
1
𝑑𝑦
0
1
𝑥2 + 𝑦2 𝑑𝑧 =
0
1
𝑥2 + 𝑦2 𝑑𝑦 = 𝑥2 +
1
3
⇒
0
1
𝑑𝑥
0
1
𝑑𝑦
0
1
𝑥2 + 𝑦2 𝑑𝑧 =
0
1
𝑥2 +
1
3
𝑑𝑥 =
𝑥3
3
+
𝑥
3
1
0
=
2
3
LUYỆN TẬP BÀI TẬP TÍCH PHÂN BỘI 3
2) Tính Trong đó Ω giới hạn bởi 𝑥2
+ 𝑦2
= 1, 𝑧 = 𝑥2
+ 𝑦2
, 𝑧 = 0
Ω
𝑥2𝑦2𝑑𝑥𝑑𝑦𝑑𝑧
Đổi sang tọa độ trụ
𝑥 = 𝑟𝑐𝑜𝑠𝜑
𝑦 = 𝑟𝑠𝑖𝑛𝜑
𝑧 = 𝑧
⇒
Ω
𝑥2
𝑦2
𝑑𝑥𝑑𝑦𝑑𝑧 =
Ω′
𝑟5
𝑐𝑜𝑠2
𝜑𝑠𝑖𝑛2
𝜑𝑑𝑟𝑑𝜑𝑑𝑧
Miền Ω′ xác định bởi
0 ≤ 𝜑 ≤ 2𝜋
0 ≤ 𝑟 ≤ 1
0 ≤ 𝑧 ≤ 𝑟2
⇒
Suy ra
Ω′
𝑟5
𝑐𝑜𝑠2
𝜑𝑠𝑖𝑛2
𝜑𝑑𝑟𝑑𝜑𝑑𝑧 =
0
2𝜋
𝑑𝜑
0
1
𝑑𝑟
0
𝑟2
𝑟5
𝑐𝑜𝑠2
𝜑𝑠𝑖𝑛2
𝜑𝑑𝑧
Ta có:
0
𝑟2
𝑟5
𝑐𝑜𝑠2
𝜑𝑠𝑖𝑛2
𝜑𝑑𝑧 = 𝑟7
𝑐𝑜𝑠2
𝜑𝑠𝑖𝑛2
𝜑 ⇒
0
1
𝑑𝑟
0
𝑟2
𝑟5𝑐𝑜𝑠2𝜑𝑠𝑖𝑛2𝜑𝑑𝑧 =
0
1
𝑟7𝑐𝑜𝑠2𝜑𝑠𝑖𝑛2𝜑𝑑𝑟 =
1
8
𝑐𝑜𝑠2𝜑𝑠𝑖𝑛2𝜑 𝑥
𝑦
𝑧
𝑂
⇒
0
2𝜋
𝑑𝜑
0
1
𝑑𝑟
0
𝑟2
𝑟5
𝑐𝑜𝑠2
𝜑𝑠𝑖𝑛2
𝜑𝑑𝑧 =
0
2𝜋
1
8
𝑐𝑜𝑠2
𝜑𝑠𝑖𝑛2
𝜑𝑑𝜑 =
1
32
0
2𝜋
𝑠𝑖𝑛22𝜑𝑑𝜑
=
1
64
0
2𝜋
1 − 𝑐𝑜𝑠4𝜑 𝑑𝜑 =
2𝜋
64
−
1
64
0
2𝜋
𝑐𝑜𝑠4𝜑𝑑𝜑 =
𝜋
32
−
1
256
0
2𝜋
𝑐𝑜𝑠4𝜑𝑑(4𝜑) =
𝜋
32
3) Tính Trong đó Ω giới hạn bởi 𝑥2
+ 𝑦2
= 1, 𝑥2
+ 𝑦2
= 4, 𝑧 = 1, 𝑧 = 2
Ω
𝑧 𝑥2 + 𝑦2𝑑𝑥𝑑𝑦𝑑𝑧
Đổi sang tọa độ trụ
𝑥 = 𝑟𝑐𝑜𝑠𝜑
𝑦 = 𝑟𝑠𝑖𝑛𝜑
𝑧 = 𝑧
⇒
Ω
𝑧 𝑥2 + 𝑦2𝑑𝑥𝑑𝑦𝑑𝑧 =
Ω′
𝑧𝑟2𝑑𝑟𝑑𝜑𝑑𝑧
Miền Ω′ xác định bởi
0 ≤ 𝜑 ≤ 2𝜋
1 ≤ 𝑟 ≤ 2
1 ≤ 𝑧 ≤ 2
nên
Ω′
𝑧𝑟2
𝑑𝑟𝑑𝜑𝑑𝑧 =
0
2𝜋
𝑑𝜑
1
2
𝑑𝑟
1
2
𝑧𝑟2
𝑑𝑧
Ta có:
1
2
𝑧𝑟2
𝑑𝑧 =
𝑧2
𝑟2
2
2
1
=
3
2
𝑟2
𝑂
𝑂
𝑥
𝑥
𝑦
𝑦
𝑧
1
2
⇒
0
2𝜋
𝑑𝜑
1
2
𝑑𝑟
1
2
𝑧𝑟2
𝑑𝑧 =
0
2𝜋
7
2
𝑑𝜑 = 7𝜋
⇒
1
2
𝑑𝑟
1
2
𝑧𝑟2
𝑑𝑧 =
1
2
3
2
𝑟2
𝑑𝑟 =
7
2
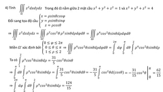
4) Tính Trong đó Ω nằm giữa 2 mặt cầu 𝑥2 + 𝑦2 + 𝑧2 = 1 và 𝑥2 + 𝑦2 + 𝑧2 = 4
Ω
𝑧2𝑑𝑥𝑑𝑦𝑑𝑧
Đổi sang tọa độ cầu
𝑥 = 𝜌𝑠𝑖𝑛𝜃𝑐𝑜𝑠𝜑
𝑦 = 𝜌𝑠𝑖𝑛𝜃𝑠𝑖𝑛𝜑
𝑧 = 𝜌𝑐𝑜𝑠𝜃
⇒
Ω
𝑧2𝑑𝑥𝑑𝑦𝑑𝑧 =
Ω′
𝜌2𝑐𝑜𝑠2𝜃 𝜌2𝑠𝑖𝑛𝜃𝑑𝜌𝑑𝜑𝑑𝜃 =
Ω′
𝜌4
𝑐𝑜𝑠2
𝜃𝑠𝑖𝑛𝜃𝑑𝜌𝑑𝜑𝑑𝜃
Miền Ω’ xác định bởi
0 ≤ 𝜑 ≤ 2𝜋
0 ≤ 𝜃 ≤ 𝜋
1 ≤ 𝜌 ≤ 2
⇒
Ω′
𝜌4
𝑐𝑜𝑠2
𝜃𝑠𝑖𝑛𝜃𝑑𝜌𝑑𝜑𝑑𝜃 =
0
2𝜋
𝑑𝜑
0
𝜋
𝑑𝜃
1
2
𝜌4
𝑐𝑜𝑠2
𝜃𝑠𝑖𝑛𝜃𝑑𝜌
Ta có
1
2
𝜌4
𝑐𝑜𝑠2
𝜃𝑠𝑖𝑛𝜃𝑑𝜌 =
31
5
𝑐𝑜𝑠2
𝜃𝑠𝑖𝑛𝜃
⇒
0
𝜋
𝑑𝜃
1
2
𝜌4
𝑐𝑜𝑠2
𝜃𝑠𝑖𝑛𝜃𝑑𝜌 =
0
𝜋
31
5
𝑐𝑜𝑠2
𝜃𝑠𝑖𝑛𝜃𝑑𝜃 = −
31
5
0
𝜋
𝑐𝑜𝑠2𝜃𝑑(𝑐𝑜𝑠𝜃) = −
31
15
𝑐𝑜𝑠3
𝜃
𝜋
0
=
62
15
⇒
0
2𝜋
𝑑𝜑
0
𝜋
𝑑𝜃
1
2
𝜌4
𝑐𝑜𝑠2
𝜃𝑠𝑖𝑛𝜃𝑑𝜌 =
124
15
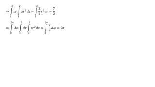
5) Đổi sang tọa độ trụ rồi tính tích phân sau
0
2
𝑑𝑥
0
2𝑥−𝑥2
𝑑𝑦
0
1
𝑧 𝑥2 + 𝑦2𝑑𝑧
0
2
𝑑𝑥
0
2𝑥−𝑥2
𝑑𝑦
0
1
𝑧 𝑥2 + 𝑦2𝑑𝑧 =
Ω
𝑧 𝑥2 + 𝑦2𝑑𝑥𝑑𝑦𝑑𝑧
𝑣ớ𝑖 Ω xác định bởi
0 ≤ 𝑥 ≤ 2
0 ≤ 𝑦 ≤ 2𝑥 − 𝑥2
0 ≤ 𝑧 ≤ 1
Ta thấy 𝑦 = 2𝑥 − 𝑥2, 𝑦 ≥ 0 ⇔ 𝑥 − 1 2
+ 𝑦2
= 1, 𝑦 ≥ 0
𝑂 𝑥
𝑦
2
Suy ra hình chiếu của Ω xuống 𝑂𝑥𝑦 là nửa hình tròn như hình vẽ
Đổi sang tọa độ trụ
𝑥 = 𝑟𝑐𝑜𝑠𝜑
𝑦 = 𝑟𝑠𝑖𝑛𝜑
𝑧 = 𝑧
đường tròn có phương trình 𝑟 = 2𝑐𝑜𝑠𝜑
𝑦
𝑥
𝑧
Ω
𝑧 𝑥2 + 𝑦2𝑑𝑥𝑑𝑦𝑑𝑧 =
Ω′
𝑧𝑟2
𝑑𝑟𝑑𝜑𝑑𝑧
2
Ta có
0
1
𝑧𝑟2
𝑑𝑧 =
𝑟2
2
⇒
0
2𝑐𝑜𝑠𝜑
𝑑𝑟
0
1
𝑧𝑟2
𝑑𝑧 =
𝑜
2𝑐𝑜𝑠𝜑
𝑟2
2
𝑑𝑟 =
𝑟3
6
2𝑐𝑜𝑠𝜑
0
=
4
3
𝑐𝑜𝑠3𝜑
⇒
0
𝜋/2
𝑑𝜑
0
2𝑐𝑜𝑠𝜑
𝑑𝑟
0
1
𝑧𝑟2
𝑑𝑧 =
0
𝜋/2
4
3
𝑐𝑜𝑠3
𝜑𝑑𝜑
=
4
3
0
𝜋/2
1 − 𝑠𝑖𝑛2𝜑 𝑑 𝑠𝑖𝑛𝜑 = 𝑠𝑖𝑛𝜑 −
𝑠𝑖𝑛3
𝜑
3
𝜋/2
0
=
2
3
Miền Ω’ xác định bởi
0 ≤ 𝜑 ≤ 𝜋/2
0 ≤ 𝑟 ≤ 2𝑐𝑜𝑠𝜑
0 ≤ 𝑧 ≤ 1
nên
Ω′
𝑧𝑟2
𝑑𝑟𝑑𝜑𝑑𝑧 =
0
𝜋/2
𝑑𝜑
0
2𝑐𝑜𝑠𝜑
𝑑𝑟
0
1
𝑧𝑟2
𝑑𝑧
6. Tính
Ω
𝑥2
+ 𝑦2
𝑑𝑥𝑑𝑦𝑑𝑧
Ω giới hạn bởi mặt phẳng 𝑧 = 0,
mặt trụ tròn xoay 𝑥2
+ 𝑦2
= 1, mặt paraboloid 𝑧 = 𝑥2
+ 𝑦2
Đổi sang tọa độ trụ
𝑥 = 𝑟𝑐𝑜𝑠𝜑
𝑦 = 𝑟𝑠𝑖𝑛𝜑
𝑧 = 𝑧
ta được:
Ω
𝑥2 + 𝑦2 𝑑𝑥𝑑𝑦𝑑𝑧 =
Ω′
𝑟3𝑑𝑟𝑑𝜑𝑑𝑧
Miền Ω′ xác định bởi
0 ≤ 𝜑 ≤ 2𝜋
0 ≤ 𝑟 ≤ 1
0 ≤ 𝑧 ≤ 𝑟2
nên:
Ω′
𝑟3𝑑𝑟𝑑𝜑𝑑𝑧 =
0
2𝜋
𝑑𝜑
0
1
𝑑𝑟
0
𝑟2
𝑟3𝑑𝑧 =
𝜋
3
𝑂
𝑥
𝑦
𝑧
7. Tính
Ω
𝑥2 + 𝑦2 + 𝑧2 𝑑𝑥𝑑𝑦𝑑𝑧
Ω là phần phía trên của nửa mặt nón 𝑧 = 𝑥2 + 𝑦2
và phía trong của mặt cầu 𝑥2 + 𝑦2 + 𝑧2 = 4
Đổi sang tọa độ cầu
𝑥 = 𝜌𝑠𝑖𝑛𝜃𝑐𝑜𝑠𝜑
𝑦 = 𝜌𝑠𝑖𝑛𝜃𝑠𝑖𝑛𝜑
𝑧 = 𝜌𝑐𝑜𝑠𝜃
⇒
Ω
𝑥2 + 𝑦2 + 𝑧2 𝑑𝑥𝑑𝑦𝑑𝑧 =
Ω′
𝜌4𝑠𝑖𝑛𝜃 𝑑𝜌𝑑𝜑𝑑𝜃
Miền Ω’ xác định bởi
0 ≤ 𝜑 ≤ 2𝜋
0 ≤ 𝜃 ≤ 𝜋/4
0 ≤ 𝜌 ≤ 2
⇒
Ω′
𝜌4
𝑠𝑖𝑛𝜃𝑑𝜌𝑑𝜑𝑑𝜃 =
0
2𝜋
𝑑𝜑
0
𝜋/4
𝑑𝜃
0
2
𝜌4
𝑠𝑖𝑛𝜃𝑑𝜌 =
64𝜋
5
1 −
2
2
𝑂
𝑥
𝑦
𝑧
𝑂 𝑥
𝑦
8. Tính thể tích phần không gian giới hạn bởi mặt phẳng 𝑧 = 0 và mặt paraboloid tròn xoay
𝑧 = 1 − 𝑥2
− 𝑦2
a) Bằng tích phân kép
b) Bằng tích phân bội 3
a) Gọi 𝐷 là hình chiếu của miền Ω xuống mặt phẳng 𝑂𝑥𝑦 ⇒ 𝐷 giới
hạn bởi đường tròn 𝑥2
+ 𝑦2
= 1
𝑉 =
𝐷
1 − 𝑥2
− 𝑦2
𝑑𝑥𝑑𝑦 Đổi sang tọa độ cực
𝑥 = 𝑟𝑐𝑜𝑠𝜑
𝑦 = 𝑟𝑠𝑖𝑛𝜑
⇒ 𝑉 =
𝐷′
1 − 𝑟2
𝑟𝑑𝑟 =
0
2𝜋
𝑑𝜑
0
1
1 − 𝑟2
𝑟𝑑𝑟 =
𝜋
2
(Đ𝑉𝑇𝑇)
Đổi sang tọa độ trụ
𝑥 = 𝑟𝑐𝑜𝑠𝜑
𝑦 = 𝑟𝑠𝑖𝑛𝜑
𝑧 = 𝑧
𝑏) 𝑉 =
Ω
𝑑𝑥𝑑𝑦𝑑𝑧
⇒ 𝑉 =
Ω′
𝑟𝑑𝑟𝑑𝜑𝑑𝑧 =
0
2𝜋
𝑑𝜑
0
1
𝑑𝑟
0
1−𝑟2
𝑟𝑑𝑧 =
𝜋
2
(Đ𝑉𝑇𝑇)
𝑂
𝑥
𝑥
𝑦
𝑦
𝑂
𝑧

Tích phân bội 3 (Phần 2).pptx

  • 1.
    HƯỚNG DẪN GIẢIBÀI TẬP TÍCH PHÂN KÉP 1) Tính 𝐷 𝑥𝑦𝑑𝑥𝑑𝑦 Trong đó 𝐷 là miền phẳng giới hạn bởi đường thẳng 𝑥 = 2 và các parabol 𝑦 = 𝑥2 , 𝑦 = 2𝑥2 Giải: (SV tự vẽ hình) Miền 𝐷 xác định bởi 0 ≤ 𝑥 ≤ 2 𝑥2 ≤ 𝑦 ≤ 2𝑥2 ⇒ 𝐷 𝑥𝑦𝑑𝑥𝑑𝑦 = 0 2 𝑑𝑥 𝑥2 2𝑥2 𝑥𝑦𝑑𝑦 𝑀à 𝑥2 2𝑥2 𝑥𝑦𝑑𝑦 = 𝑥 𝑦2 2 2𝑥2 𝑥2 = 3𝑥5 2 ⇒ 0 2 𝑑𝑥 𝑥2 2𝑥2 𝑥𝑦𝑑𝑦 = 0 2 3𝑥5 2 𝑑𝑥 = 𝑥6 4 2 0 = 16
  • 2.
    2) Tính 𝐷 𝑥𝑦2𝑑𝑥𝑑𝑦 Trong đó𝐷 là miền phẳng giới hạn bởi các đường thẳng y = 1, 𝑦 = 2 và các parabol 𝑥 = 𝑦2 , 𝑥 = 2𝑦2 Giải: (SV tự vẽ hình) Miền 𝐷 xác định bởi 1 ≤ 𝑦 ≤ 2 𝑦2 ≤ 𝑥 ≤ 2𝑦2 ⇒ 𝐷 𝑥𝑦2 𝑑𝑥𝑑𝑦 = 1 2 𝑑𝑦 𝑦2 2𝑦2 𝑥𝑦2 𝑑𝑥 𝑦2 2𝑦2 𝑥𝑦2 𝑑𝑥 = 𝑦2 𝑦2 2𝑦2 𝑥𝑑𝑥 = 3𝑦6 2 ⇒ 1 2 𝑑𝑦 𝑦2 2𝑦2 𝑥𝑦2 𝑑𝑥 = 1 2 3𝑦6 2 𝑑𝑦 = 3𝑦7 14 2 1 = 383 14
  • 3.
    3) Tính 𝐷 𝑥2 +𝑦2𝑑𝑥𝑑𝑦 Trong đó 𝐷 là miền phẳng giới hạn bởi 2 đường tròn (𝑥 − 1)2 +𝑦2 = 1 và (𝑥 − 2)2 +𝑦2 = 4 Đổi sang tọa độ cực 𝑥 = 𝑟𝑐𝑜𝑠𝜑 𝑦 = 𝑟𝑠𝑖𝑛𝜑 ⇒ 𝐷 𝑥2 + 𝑦2𝑑𝑥𝑑𝑦 = 𝐷′ 𝑟2 𝑑𝑟𝑑𝜑 Đường tròn (𝑥 − 1)2 +𝑦2 = 1 ⇒ 𝑥2 + 𝑦2 = 2𝑥 ⇒ 𝑟 = 2𝑐𝑜𝑠𝜑 Đường tròn (𝑥 − 2)2 +𝑦2 = 4 ⇒ 𝑥2 + 𝑦2 = 4𝑥 ⇒ 𝑟 = 4𝑐𝑜𝑠𝜑 Miền 𝐷’ xác định bởi −𝜋/2 ≤ 𝜑 ≤ 𝜋/2 2𝑐𝑜𝑠𝜑 ≤ 𝑟 ≤ 4𝑐𝑜𝑠𝜑 suy ra 𝐷′ 𝑟2𝑑𝑟𝑑𝜑 = −𝜋/2 𝜋/2 𝑑𝜑 2𝑐𝑜𝑠𝜑 4𝑐𝑜𝑠𝜑 𝑟2𝑑𝑟 = −𝜋/2 𝜋/2 56 3 𝑐𝑜𝑠3𝜑𝑑𝜑 = 112 3 0 𝜋/2 𝑐𝑜𝑠3 𝜑𝑑𝜑 = 224 9 𝑥 𝑦 𝑂 = 112 3 0 𝜋/2 1 − 𝑠𝑖𝑛2𝜑 𝑑(𝑠𝑖𝑛𝜑)= 112 3 𝑠𝑖𝑛𝜑 − 𝑠𝑖𝑛3𝜑 3 𝜋/2 0
  • 4.
    4) Tính 𝐷 𝑥2 9 + 𝑦2 4 𝑑𝑥𝑑𝑦 Trong đó𝐷 là phần bên trong đường ellipse 𝑥2 9 + 𝑦2 4 = 1 Giải: Đổi sang tọa độ cực mở rộng 𝑥 = 3𝑟𝑐𝑜𝑠𝜑 𝑦 = 2𝑟𝑠𝑖𝑛𝜑 𝐷 𝑥2 9 + 𝑦2 4 𝑑𝑥𝑑𝑦 = 𝐷′ 𝑟. 2.3. 𝑟𝑑𝑟𝑑𝜑 = 6 𝐷′ 𝑟2 𝑑𝑟𝑑𝜑 Trong tọa độ cực mở rộng thì ellipse 𝑥2 9 + 𝑦2 4 = 1 có phương trình 𝑟 = 1. ⇒ 𝐷’ xác định bởi 0 ≤ 𝜑 ≤ 2𝜋 0 ≤ 𝑟 ≤ 1 ⇒ 𝐷′ 𝑟2𝑑𝑟𝑑𝜑 = 0 2𝜋 𝑑𝜑 0 1 𝑟2𝑑𝑟 = 2𝜋 3 𝑥 𝑦 𝑂 ⇒ 𝐷 𝑥2 9 + 𝑦2 4 𝑑𝑥𝑑𝑦 = 6 𝐷′ 𝑟2𝑑𝑟𝑑𝜑 = 6. 2𝜋 3 = 4𝜋
  • 5.
    5) Đổi thứtự lấy tích phân trong tích phân sau: 0 1 𝑑𝑦 𝑦 𝑦 𝑓 𝑥, 𝑦 𝑑𝑥 0 1 𝑑𝑦 𝑦 𝑦 𝑓 𝑥, 𝑦 𝑑𝑥 = 𝐷 𝑓 𝑥, 𝑦 𝑑𝑥𝑑𝑦 trong đó 𝐷 xác định bởi 0 ≤ 𝑦 ≤ 1 𝑦 ≤ 𝑥 ≤ 𝑦 𝐷𝑜 𝑥 = 𝑦 ⇔ 𝑥 ≥ 0 𝑦 = 𝑥2 𝐷 còn có thể xác định bởi 0 ≤ 𝑥 ≤ 1 𝑥2 ≤ 𝑦 ≤ 𝑥 1 1 𝑥 𝑦 𝑂 ⇒ 𝐷 là miền trong hình vẽ nên 𝐷 𝑓 𝑥, 𝑦 𝑑𝑥𝑑𝑦 = 0 1 𝑑𝑥 𝑥2 𝑥 𝑓 𝑥, 𝑦 𝑑𝑦 Suy ra 0 1 𝑑𝑦 𝑦 𝑦 𝑓 𝑥, 𝑦 𝑑𝑥 = 0 1 𝑑𝑥 𝑥2 𝑥 𝑓 𝑥, 𝑦 𝑑𝑦
  • 6.
    6) Tính 0 2 𝑑𝑥 𝑥 2 1 𝑒𝑦2 𝑑𝑦 0 2 𝑑𝑥 𝑥 2 1 𝑒𝑦2 𝑑𝑦 = 𝐷 𝑒𝑦2 𝑑𝑥𝑑𝑦trong đó 𝐷 xác định bởi 0 ≤ 𝑥 ≤ 2 𝑥 2 ≤ 𝑦 ≤ 1 ⇒ 𝐷 là miền trong hình vẽ 2 1 𝑂 𝑥 𝑦 Miền 𝐷 còn có thể xác định bởi 0 ≤ 𝑦 ≤ 1 0 ≤ 𝑥 ≤ 2𝑦 nên 𝐷 𝑒𝑦2 𝑑𝑥𝑑𝑦 = 0 1 𝑑𝑦 0 2𝑦 𝑒𝑦2 𝑑𝑥 ⇒ 0 2 𝑑𝑥 𝑥 2 1 𝑒𝑦2 𝑑𝑦 = 0 1 𝑑𝑦 0 2𝑦 𝑒𝑦2 𝑑𝑥 Mà 0 2𝑦 𝑒𝑦2 𝑑𝑥 = 2𝑦𝑒𝑦2 ⇒ 0 1 𝑑𝑦 0 2𝑦 𝑒𝑦2 𝑑𝑥 = 0 1 2𝑦𝑒𝑦2 𝑑𝑦 = 0 1 𝑒𝑦2 𝑑(𝑦2 ) = 𝑒𝑦2 1 0 = 𝑒 − 1
  • 7.
    7) Tính tíchphân 𝐷 𝑒 𝑥 𝑦𝑑𝑥𝑑𝑦 với 𝐷 là miền phẳng, giới hạn bởi các đường 𝑥 = 0, 𝑦 = 1, 𝑥 = 𝑦2 1 𝑥 𝑦 𝑂 1 Miền 𝐷 xác định bởi 0 ≤ 𝑦 ≤ 1 0 ≤ 𝑥 ≤ 𝑦2 Ta thấy 𝐷 𝑒 𝑥 𝑦𝑑𝑥𝑑𝑦 = 0 1 𝑑𝑦 0 𝑦2 𝑒 𝑥 𝑦𝑑𝑥 0 𝑦2 𝑒 𝑥 𝑦𝑑𝑥 = 𝑦 0 𝑦2 𝑒 𝑥 𝑦𝑑 𝑥 𝑦 = 𝑦 𝑒 𝑥 𝑦 𝑦2 0 = 𝑦 𝑒𝑦 − 1 ⇒ 0 1 𝑑𝑦 0 𝑦2 𝑒 𝑥 𝑦𝑑𝑥 = 0 1 𝑦 𝑒𝑦 − 1 𝑑𝑦 = 0 1 𝑦𝑒𝑦 𝑑𝑦 − 0 1 𝑦𝑑𝑦 = 0 1 𝑦𝑑(𝑒𝑦 ) − 𝑦2 2 1 0 = 𝑦𝑒𝑦 1 0 − 0 1 𝑒𝑦 𝑑𝑦 − 1 2 = 𝑒 − 𝑒 − 1 − 1 2 = 1 2
  • 8.
    8) Tính tíchphân 𝐷 𝑑𝑥𝑑𝑦 𝑥2 + 𝑦2 + 1 với 𝐷 là miền phẳng, giới hạn bởi các đường 𝑦 = 0, 𝑦 = 1 − 𝑥2 𝑦 = 1 − 𝑥2 ⇔ 𝑦 ≥ 0 𝑦2 = 1 − 𝑥2 ⇔ 𝑦 ≥ 0 𝑥2 + 𝑦2 = 1 Suy ra 𝐷 là miền trong hình vẽ 𝑂 𝑥 𝑦 Đổi sang tọa độ cực 𝑥 = 𝑟𝑐𝑜𝑠𝜑 𝑦 = 𝑟𝑠𝑖𝑛𝜑 ⇒ 𝐷 𝑑𝑥𝑑𝑦 𝑥2 + 𝑦2 + 1 = 𝐷′ 𝑟 𝑟2 + 1 𝑑𝑟𝑑𝜑 Miền 𝐷’ xác định bởi 0 ≤ 𝜑 ≤ 𝜋 0 ≤ 𝑟 ≤ 1 nên: 𝐷′ 𝑟 𝑟2 + 1 𝑑𝑟𝑑𝜑 = 0 𝜋 𝑑𝜑 0 1 𝑟 𝑟2 + 1 𝑑𝑟 Mà 0 1 𝑟 𝑟2 + 1 𝑑𝑟 = 1 2 0 1 𝑑 𝑟2 + 1 𝑟2 + 1 = ln 𝑟2 + 1 1 0 = 𝑙𝑛2 ⇒ 0 𝜋 𝑑𝜑 0 1 𝑟 𝑟2 + 1 𝑑𝑟 = 0 𝜋 𝑙𝑛2𝑑𝜑 = 𝜋𝑙𝑛2
  • 9.
    9) Tính tíchphân với 𝐷 là miền phẳng nằm giữa 2 đường tròn 𝑥2 + 𝑦2 = 𝜋2 4 và 𝑥2 + 𝑦2 = 𝜋2 𝐷 𝑠𝑖𝑛 𝑥2 + 𝑦2 𝑥2 + 𝑦2 𝑑𝑥𝑑𝑦 Đổi sang tọa độ cực 𝑥 = 𝑟𝑐𝑜𝑠𝜑 𝑦 = 𝑟𝑠𝑖𝑛𝜑 Các đường tròn có phương trình 𝑟 = 𝜋 2 và 𝑟 = 𝜋 𝐷 𝑠𝑖𝑛 𝑥2 + 𝑦2 𝑥2 + 𝑦2 𝑑𝑥𝑑𝑦 = 𝐷′ 𝑠𝑖𝑛𝑟 𝑟 . 𝑟𝑑𝑟𝑑𝜑 = 𝐷′ 𝑠𝑖𝑛𝑟𝑑𝑟𝑑𝜑 Miền 𝐷’ xác định bởi 0 ≤ 𝜑 ≤ 2𝜋 𝜋 2 ≤ 𝑟 ≤ 𝜋 nên 𝐷′ 𝑠𝑖𝑛𝑟𝑑𝑟𝑑𝜑 = 0 2𝜋 𝑑𝜑 𝜋 2 𝜋 𝑠𝑖𝑛𝑟𝑑𝑟 Mà 𝜋 2 𝜋 𝑠𝑖𝑛𝑟𝑑𝑟 = −𝑐𝑜𝑠𝑟 𝜋 𝜋 2 = 1 nên 0 2𝜋 𝑑𝜑 𝜋 2 𝜋 𝑠𝑖𝑛𝑟𝑑𝑟 = 0 2𝜋 𝑑𝜑 = 2𝜋 𝑂 𝑦 𝑥
  • 10.
    10) Tính diệntích phần mặt phẳng bởi các đường 𝑥 = 0, 𝑥 + 𝑦 = 1 và 𝑦 = 𝑥2 , 𝑥 ≥ 0 1 1 𝐴 𝑂 Hoành độ của 𝐴 là nghiệm > 0 của phương trình 𝑥2 = 1 − 𝑥 Theo công thức 𝑆 = 𝐷 𝑑𝑥𝑑𝑦 ⇒ 𝑥𝐴 = 5 − 1 2 Mà 𝐷 xác định bởi 0 ≤ 𝑥 ≤ 5−1 2 𝑥2 ≤ 𝑦 ≤ 1 − 𝑥 ⇒ 𝐷 𝑑𝑥𝑑𝑦 = 0 5−1 2 𝑑𝑥 𝑥2 1−𝑥 𝑑𝑦 = 0 5−1 2 1 − 𝑥 − 𝑥2 𝑑𝑥 = 𝑥 − 𝑥2 2 − 𝑥3 3 5 − 1 2 0 = 5 − 1 2 − 1 2 5 − 1 2 2 − 1 3 5 − 1 2 3 𝑥 𝑦
  • 11.
    11) Tính thểtích phần không gian giới hạn bởi mặt phẳng 𝑧 = 0 và mặt 𝑧 = 1 − 𝑥2 − 𝑦2 𝑂 𝑥 𝑦 𝑧 𝑥 𝑦 𝑂 1 𝑉 = 𝐷 1 − 𝑥2 − 𝑦2 𝑑𝑥𝑑𝑦 Đây là hình trụ cong mà phía dưới là 𝐷 là hình tròn 𝑥2 + 𝑦2 ≤ 1 𝐷 Đổi sang tọa độ cực 𝑥 = 𝑟𝑐𝑜𝑠𝜑 𝑦 = 𝑟𝑠𝑖𝑛𝜑 𝑉 = 𝐷 1 − 𝑥2 − 𝑦2 𝑑𝑥𝑑𝑦 = 𝐷′ 1 − 𝑟2 𝑟𝑑𝑟𝑑𝜑 Miền 𝐷’ xác định bởi 0 ≤ 𝜑 ≤ 2𝜋 0 ≤ 𝑟 ≤ 1 nên 𝐷′ 1 − 𝑟2 𝑟𝑑𝑟𝑑𝜑 = 0 2𝜋 𝑑𝜑 0 1 1 − 𝑟2 𝑟𝑑𝑟 Mà 0 1 1 − 𝑟2 𝑟𝑑𝑟 = 𝑟2 2 − 𝑟4 4 1 0 = 1 4 ⇒ 𝑉 = 0 2𝜋 𝑑𝜑 0 1 1 − 𝑟2 𝑟𝑑𝑟 = 0 2𝜋 1 4 𝑑𝜑 = 𝜋 2 (Đ𝑉𝑇𝑇)
  • 12.
    12) Tính thểtích phần không gian giới hạn bởi: mặt paraboloid tròn xoay 𝑧 = 𝑥2 + 𝑦2, 𝑂 𝑦 𝑥 mặt phẳng 𝑥 + 𝑦 = 1, trong phần 𝑥, 𝑦, 𝑧 ≥ 0 𝑧 𝑂 𝐴 𝐵 𝐴 𝐵 Phần không gian nói trên giới hạn phía dưới bởi 𝑂𝐴𝐵, phía trên là mặt cong 𝑧 = 𝑥2 + 𝑦2, các đường sinh//𝑂𝑧 Theo công thức, ta có: 𝑉 = 𝐷 𝑥2 + 𝑦2 𝑑𝑥𝑑𝑦 Miền 𝐷 xác định bởi: 0 ≤ 𝑥 ≤ 1 0 ≤ 𝑦 ≤ 1 − 𝑥 Cho nên 𝑉 = 𝐷 𝑥2 + 𝑦2 𝑑𝑥𝑑𝑦 = 0 1 𝑑𝑥 0 1−𝑥 𝑥2 + 𝑦2 𝑑𝑦 𝑥 𝑦
  • 13.
    0 1−𝑥 𝑥2 + 𝑦2𝑑𝑦 = 𝑥2 1 − 𝑥 + 𝑦3 3 1 − 𝑥 0 = 𝑥2 1 − 𝑥 + 1 − 𝑥 3 3 = 3𝑥2 − 3𝑥3 + 1 − 3𝑥 + 3𝑥2 − 𝑥3 3 = 1 3 − 𝑥 + 2𝑥2 − 4 3 𝑥3 Suy ra: 0 1 𝑑𝑥 0 1−𝑥 𝑥2 + 𝑦2 𝑑𝑦 = 0 1 1 3 − 𝑥 + 2𝑥2 − 4 3 𝑥3 𝑑𝑥 = 𝑥 3 − 𝑥2 2 + 2𝑥3 3 − 𝑥3 3 1 0 = 1 6 (Đ𝑉𝑇𝑇)
  • 14.
    13) Tính diệntích phần mặt cầu 𝑥2 + 𝑦2+ 𝑧2 = 𝑅2 trong phần 𝑥 ≥ 0, 𝑦 ≥ 0, 𝑧 ≥ 0 𝑧 = 𝑅2 − 𝑥2 − 𝑦2 ⇒ 𝜕𝑧 𝜕𝑥 = − 𝑥 𝑅2 − 𝑥2 − 𝑦2 , 𝜕𝑧 𝜕𝑦 = − 𝑦 𝑅2 − 𝑥2 − 𝑦2 ⇒ 1 + 𝜕𝑧 𝜕𝑥 2 + 𝜕𝑧 𝜕𝑦 2 = 𝑅 𝑅2 − 𝑥2 − 𝑦2 Áp dụng công thức 𝑆 = 𝐷 1 + 𝜕𝑧 𝜕𝑥 2 + 𝜕𝑧 𝜕𝑦 2 𝑑𝑥𝑑𝑦 = 𝑅 𝐷 𝑑𝑥𝑑𝑦 𝑅2 − 𝑥2 − 𝑦2 𝐷 𝐷 Miền 𝐷′ xác định bởi 0 ≤ 𝜑 ≤ 𝜋 2 0 ≤ 𝑟 ≤ 𝑅 ⇒ Đổi sang tọa độ cực 𝑥 = 𝑟𝑐𝑜𝑠𝜑 𝑦 = 𝑟𝑠𝑖𝑛𝜑 ⇒ 𝑅 𝐷 𝑑𝑥𝑑𝑦 𝑅2 − 𝑥2 − 𝑦2 = 𝑅 𝐷′ 𝑟 𝑅2 − 𝑟2 𝑑𝑟𝑑𝜑 𝑅 𝐷′ 𝑟 𝑅2 − 𝑟2 𝑑𝑟𝑑𝜑 = 𝑅 0 𝜋/2 𝑑𝜑 𝑜 𝑅 𝑟 𝑅2 − 𝑟2 𝑑𝑟 𝑥 𝑥 𝑦 𝑦 𝑧 𝑂 𝑂
  • 15.
    Mà 𝑜 𝑅 𝑟 𝑅2 − 𝑟2 𝑑𝑟= − 1 2 0 𝑅 𝑑 𝑅2 − 𝑟2 𝑅2 − 𝑟2 = − 𝑅2 − 𝑟2 𝑅 0 = 𝑅 Suy ra 𝑆 = 𝑅 0 𝜋/2 𝑑𝜑 𝑜 𝑅 𝑟 𝑅2 − 𝑟2 𝑑𝑟 = 𝑅 0 𝜋/2 𝑅𝑑𝜑 = 𝑅2 𝜋 2 Ghi chú: Diện tích mặt cầu 𝑥2 + 𝑦2 + 𝑧2 = 𝑅2 bằng 8𝑆 = 4𝑅2 𝜋 Bán kính trái đất là 𝑅 = 6371 𝑘𝑚. Cho nên diện tích trái đất là 4x63712 x𝜋 ≈ 5.100.064.471,9 𝑘𝑚2 (ĐVDT) (ĐVDT)
  • 16.
    1) Tính Ω 𝑥2 +𝑦2 𝑑𝑥𝑑𝑦𝑑𝑧 Trong đó Ω là miền 0 ≤ 𝑥 ≤ 1, 0 ≤ 𝑦 ≤ 1, 0 ≤ 𝑧 ≤ 1 𝑂 𝑥 𝑦 𝑧 Ω 𝑥2 + 𝑦2 𝑑𝑥𝑑𝑦𝑑𝑧 = 0 1 𝑑𝑥 0 1 𝑑𝑦 0 1 𝑥2 + 𝑦2 𝑑𝑧 0 1 𝑥2 + 𝑦2 𝑑𝑧 = 𝑥2 + 𝑦2 Ta có ⇒ 0 1 𝑑𝑦 0 1 𝑥2 + 𝑦2 𝑑𝑧 = 0 1 𝑥2 + 𝑦2 𝑑𝑦 = 𝑥2 + 1 3 ⇒ 0 1 𝑑𝑥 0 1 𝑑𝑦 0 1 𝑥2 + 𝑦2 𝑑𝑧 = 0 1 𝑥2 + 1 3 𝑑𝑥 = 𝑥3 3 + 𝑥 3 1 0 = 2 3 LUYỆN TẬP BÀI TẬP TÍCH PHÂN BỘI 3
  • 17.
    2) Tính Trongđó Ω giới hạn bởi 𝑥2 + 𝑦2 = 1, 𝑧 = 𝑥2 + 𝑦2 , 𝑧 = 0 Ω 𝑥2𝑦2𝑑𝑥𝑑𝑦𝑑𝑧 Đổi sang tọa độ trụ 𝑥 = 𝑟𝑐𝑜𝑠𝜑 𝑦 = 𝑟𝑠𝑖𝑛𝜑 𝑧 = 𝑧 ⇒ Ω 𝑥2 𝑦2 𝑑𝑥𝑑𝑦𝑑𝑧 = Ω′ 𝑟5 𝑐𝑜𝑠2 𝜑𝑠𝑖𝑛2 𝜑𝑑𝑟𝑑𝜑𝑑𝑧 Miền Ω′ xác định bởi 0 ≤ 𝜑 ≤ 2𝜋 0 ≤ 𝑟 ≤ 1 0 ≤ 𝑧 ≤ 𝑟2 ⇒ Suy ra Ω′ 𝑟5 𝑐𝑜𝑠2 𝜑𝑠𝑖𝑛2 𝜑𝑑𝑟𝑑𝜑𝑑𝑧 = 0 2𝜋 𝑑𝜑 0 1 𝑑𝑟 0 𝑟2 𝑟5 𝑐𝑜𝑠2 𝜑𝑠𝑖𝑛2 𝜑𝑑𝑧 Ta có: 0 𝑟2 𝑟5 𝑐𝑜𝑠2 𝜑𝑠𝑖𝑛2 𝜑𝑑𝑧 = 𝑟7 𝑐𝑜𝑠2 𝜑𝑠𝑖𝑛2 𝜑 ⇒ 0 1 𝑑𝑟 0 𝑟2 𝑟5𝑐𝑜𝑠2𝜑𝑠𝑖𝑛2𝜑𝑑𝑧 = 0 1 𝑟7𝑐𝑜𝑠2𝜑𝑠𝑖𝑛2𝜑𝑑𝑟 = 1 8 𝑐𝑜𝑠2𝜑𝑠𝑖𝑛2𝜑 𝑥 𝑦 𝑧 𝑂
  • 18.
    ⇒ 0 2𝜋 𝑑𝜑 0 1 𝑑𝑟 0 𝑟2 𝑟5 𝑐𝑜𝑠2 𝜑𝑠𝑖𝑛2 𝜑𝑑𝑧 = 0 2𝜋 1 8 𝑐𝑜𝑠2 𝜑𝑠𝑖𝑛2 𝜑𝑑𝜑 = 1 32 0 2𝜋 𝑠𝑖𝑛22𝜑𝑑𝜑 = 1 64 0 2𝜋 1− 𝑐𝑜𝑠4𝜑 𝑑𝜑 = 2𝜋 64 − 1 64 0 2𝜋 𝑐𝑜𝑠4𝜑𝑑𝜑 = 𝜋 32 − 1 256 0 2𝜋 𝑐𝑜𝑠4𝜑𝑑(4𝜑) = 𝜋 32
  • 19.
    3) Tính Trongđó Ω giới hạn bởi 𝑥2 + 𝑦2 = 1, 𝑥2 + 𝑦2 = 4, 𝑧 = 1, 𝑧 = 2 Ω 𝑧 𝑥2 + 𝑦2𝑑𝑥𝑑𝑦𝑑𝑧 Đổi sang tọa độ trụ 𝑥 = 𝑟𝑐𝑜𝑠𝜑 𝑦 = 𝑟𝑠𝑖𝑛𝜑 𝑧 = 𝑧 ⇒ Ω 𝑧 𝑥2 + 𝑦2𝑑𝑥𝑑𝑦𝑑𝑧 = Ω′ 𝑧𝑟2𝑑𝑟𝑑𝜑𝑑𝑧 Miền Ω′ xác định bởi 0 ≤ 𝜑 ≤ 2𝜋 1 ≤ 𝑟 ≤ 2 1 ≤ 𝑧 ≤ 2 nên Ω′ 𝑧𝑟2 𝑑𝑟𝑑𝜑𝑑𝑧 = 0 2𝜋 𝑑𝜑 1 2 𝑑𝑟 1 2 𝑧𝑟2 𝑑𝑧 Ta có: 1 2 𝑧𝑟2 𝑑𝑧 = 𝑧2 𝑟2 2 2 1 = 3 2 𝑟2 𝑂 𝑂 𝑥 𝑥 𝑦 𝑦 𝑧 1 2
  • 20.
    ⇒ 0 2𝜋 𝑑𝜑 1 2 𝑑𝑟 1 2 𝑧𝑟2 𝑑𝑧 = 0 2𝜋 7 2 𝑑𝜑 =7𝜋 ⇒ 1 2 𝑑𝑟 1 2 𝑧𝑟2 𝑑𝑧 = 1 2 3 2 𝑟2 𝑑𝑟 = 7 2
  • 21.
    4) Tính Trongđó Ω nằm giữa 2 mặt cầu 𝑥2 + 𝑦2 + 𝑧2 = 1 và 𝑥2 + 𝑦2 + 𝑧2 = 4 Ω 𝑧2𝑑𝑥𝑑𝑦𝑑𝑧 Đổi sang tọa độ cầu 𝑥 = 𝜌𝑠𝑖𝑛𝜃𝑐𝑜𝑠𝜑 𝑦 = 𝜌𝑠𝑖𝑛𝜃𝑠𝑖𝑛𝜑 𝑧 = 𝜌𝑐𝑜𝑠𝜃 ⇒ Ω 𝑧2𝑑𝑥𝑑𝑦𝑑𝑧 = Ω′ 𝜌2𝑐𝑜𝑠2𝜃 𝜌2𝑠𝑖𝑛𝜃𝑑𝜌𝑑𝜑𝑑𝜃 = Ω′ 𝜌4 𝑐𝑜𝑠2 𝜃𝑠𝑖𝑛𝜃𝑑𝜌𝑑𝜑𝑑𝜃 Miền Ω’ xác định bởi 0 ≤ 𝜑 ≤ 2𝜋 0 ≤ 𝜃 ≤ 𝜋 1 ≤ 𝜌 ≤ 2 ⇒ Ω′ 𝜌4 𝑐𝑜𝑠2 𝜃𝑠𝑖𝑛𝜃𝑑𝜌𝑑𝜑𝑑𝜃 = 0 2𝜋 𝑑𝜑 0 𝜋 𝑑𝜃 1 2 𝜌4 𝑐𝑜𝑠2 𝜃𝑠𝑖𝑛𝜃𝑑𝜌 Ta có 1 2 𝜌4 𝑐𝑜𝑠2 𝜃𝑠𝑖𝑛𝜃𝑑𝜌 = 31 5 𝑐𝑜𝑠2 𝜃𝑠𝑖𝑛𝜃 ⇒ 0 𝜋 𝑑𝜃 1 2 𝜌4 𝑐𝑜𝑠2 𝜃𝑠𝑖𝑛𝜃𝑑𝜌 = 0 𝜋 31 5 𝑐𝑜𝑠2 𝜃𝑠𝑖𝑛𝜃𝑑𝜃 = − 31 5 0 𝜋 𝑐𝑜𝑠2𝜃𝑑(𝑐𝑜𝑠𝜃) = − 31 15 𝑐𝑜𝑠3 𝜃 𝜋 0 = 62 15 ⇒ 0 2𝜋 𝑑𝜑 0 𝜋 𝑑𝜃 1 2 𝜌4 𝑐𝑜𝑠2 𝜃𝑠𝑖𝑛𝜃𝑑𝜌 = 124 15
  • 22.
    5) Đổi sangtọa độ trụ rồi tính tích phân sau 0 2 𝑑𝑥 0 2𝑥−𝑥2 𝑑𝑦 0 1 𝑧 𝑥2 + 𝑦2𝑑𝑧 0 2 𝑑𝑥 0 2𝑥−𝑥2 𝑑𝑦 0 1 𝑧 𝑥2 + 𝑦2𝑑𝑧 = Ω 𝑧 𝑥2 + 𝑦2𝑑𝑥𝑑𝑦𝑑𝑧 𝑣ớ𝑖 Ω xác định bởi 0 ≤ 𝑥 ≤ 2 0 ≤ 𝑦 ≤ 2𝑥 − 𝑥2 0 ≤ 𝑧 ≤ 1 Ta thấy 𝑦 = 2𝑥 − 𝑥2, 𝑦 ≥ 0 ⇔ 𝑥 − 1 2 + 𝑦2 = 1, 𝑦 ≥ 0 𝑂 𝑥 𝑦 2 Suy ra hình chiếu của Ω xuống 𝑂𝑥𝑦 là nửa hình tròn như hình vẽ Đổi sang tọa độ trụ 𝑥 = 𝑟𝑐𝑜𝑠𝜑 𝑦 = 𝑟𝑠𝑖𝑛𝜑 𝑧 = 𝑧 đường tròn có phương trình 𝑟 = 2𝑐𝑜𝑠𝜑 𝑦 𝑥 𝑧 Ω 𝑧 𝑥2 + 𝑦2𝑑𝑥𝑑𝑦𝑑𝑧 = Ω′ 𝑧𝑟2 𝑑𝑟𝑑𝜑𝑑𝑧 2
  • 23.
    Ta có 0 1 𝑧𝑟2 𝑑𝑧 = 𝑟2 2 ⇒ 0 2𝑐𝑜𝑠𝜑 𝑑𝑟 0 1 𝑧𝑟2 𝑑𝑧= 𝑜 2𝑐𝑜𝑠𝜑 𝑟2 2 𝑑𝑟 = 𝑟3 6 2𝑐𝑜𝑠𝜑 0 = 4 3 𝑐𝑜𝑠3𝜑 ⇒ 0 𝜋/2 𝑑𝜑 0 2𝑐𝑜𝑠𝜑 𝑑𝑟 0 1 𝑧𝑟2 𝑑𝑧 = 0 𝜋/2 4 3 𝑐𝑜𝑠3 𝜑𝑑𝜑 = 4 3 0 𝜋/2 1 − 𝑠𝑖𝑛2𝜑 𝑑 𝑠𝑖𝑛𝜑 = 𝑠𝑖𝑛𝜑 − 𝑠𝑖𝑛3 𝜑 3 𝜋/2 0 = 2 3 Miền Ω’ xác định bởi 0 ≤ 𝜑 ≤ 𝜋/2 0 ≤ 𝑟 ≤ 2𝑐𝑜𝑠𝜑 0 ≤ 𝑧 ≤ 1 nên Ω′ 𝑧𝑟2 𝑑𝑟𝑑𝜑𝑑𝑧 = 0 𝜋/2 𝑑𝜑 0 2𝑐𝑜𝑠𝜑 𝑑𝑟 0 1 𝑧𝑟2 𝑑𝑧
  • 24.
    6. Tính Ω 𝑥2 + 𝑦2 𝑑𝑥𝑑𝑦𝑑𝑧 Ωgiới hạn bởi mặt phẳng 𝑧 = 0, mặt trụ tròn xoay 𝑥2 + 𝑦2 = 1, mặt paraboloid 𝑧 = 𝑥2 + 𝑦2 Đổi sang tọa độ trụ 𝑥 = 𝑟𝑐𝑜𝑠𝜑 𝑦 = 𝑟𝑠𝑖𝑛𝜑 𝑧 = 𝑧 ta được: Ω 𝑥2 + 𝑦2 𝑑𝑥𝑑𝑦𝑑𝑧 = Ω′ 𝑟3𝑑𝑟𝑑𝜑𝑑𝑧 Miền Ω′ xác định bởi 0 ≤ 𝜑 ≤ 2𝜋 0 ≤ 𝑟 ≤ 1 0 ≤ 𝑧 ≤ 𝑟2 nên: Ω′ 𝑟3𝑑𝑟𝑑𝜑𝑑𝑧 = 0 2𝜋 𝑑𝜑 0 1 𝑑𝑟 0 𝑟2 𝑟3𝑑𝑧 = 𝜋 3 𝑂 𝑥 𝑦 𝑧
  • 25.
    7. Tính Ω 𝑥2 +𝑦2 + 𝑧2 𝑑𝑥𝑑𝑦𝑑𝑧 Ω là phần phía trên của nửa mặt nón 𝑧 = 𝑥2 + 𝑦2 và phía trong của mặt cầu 𝑥2 + 𝑦2 + 𝑧2 = 4 Đổi sang tọa độ cầu 𝑥 = 𝜌𝑠𝑖𝑛𝜃𝑐𝑜𝑠𝜑 𝑦 = 𝜌𝑠𝑖𝑛𝜃𝑠𝑖𝑛𝜑 𝑧 = 𝜌𝑐𝑜𝑠𝜃 ⇒ Ω 𝑥2 + 𝑦2 + 𝑧2 𝑑𝑥𝑑𝑦𝑑𝑧 = Ω′ 𝜌4𝑠𝑖𝑛𝜃 𝑑𝜌𝑑𝜑𝑑𝜃 Miền Ω’ xác định bởi 0 ≤ 𝜑 ≤ 2𝜋 0 ≤ 𝜃 ≤ 𝜋/4 0 ≤ 𝜌 ≤ 2 ⇒ Ω′ 𝜌4 𝑠𝑖𝑛𝜃𝑑𝜌𝑑𝜑𝑑𝜃 = 0 2𝜋 𝑑𝜑 0 𝜋/4 𝑑𝜃 0 2 𝜌4 𝑠𝑖𝑛𝜃𝑑𝜌 = 64𝜋 5 1 − 2 2 𝑂 𝑥 𝑦 𝑧 𝑂 𝑥 𝑦
  • 26.
    8. Tính thểtích phần không gian giới hạn bởi mặt phẳng 𝑧 = 0 và mặt paraboloid tròn xoay 𝑧 = 1 − 𝑥2 − 𝑦2 a) Bằng tích phân kép b) Bằng tích phân bội 3 a) Gọi 𝐷 là hình chiếu của miền Ω xuống mặt phẳng 𝑂𝑥𝑦 ⇒ 𝐷 giới hạn bởi đường tròn 𝑥2 + 𝑦2 = 1 𝑉 = 𝐷 1 − 𝑥2 − 𝑦2 𝑑𝑥𝑑𝑦 Đổi sang tọa độ cực 𝑥 = 𝑟𝑐𝑜𝑠𝜑 𝑦 = 𝑟𝑠𝑖𝑛𝜑 ⇒ 𝑉 = 𝐷′ 1 − 𝑟2 𝑟𝑑𝑟 = 0 2𝜋 𝑑𝜑 0 1 1 − 𝑟2 𝑟𝑑𝑟 = 𝜋 2 (Đ𝑉𝑇𝑇) Đổi sang tọa độ trụ 𝑥 = 𝑟𝑐𝑜𝑠𝜑 𝑦 = 𝑟𝑠𝑖𝑛𝜑 𝑧 = 𝑧 𝑏) 𝑉 = Ω 𝑑𝑥𝑑𝑦𝑑𝑧 ⇒ 𝑉 = Ω′ 𝑟𝑑𝑟𝑑𝜑𝑑𝑧 = 0 2𝜋 𝑑𝜑 0 1 𝑑𝑟 0 1−𝑟2 𝑟𝑑𝑧 = 𝜋 2 (Đ𝑉𝑇𝑇) 𝑂 𝑥 𝑥 𝑦 𝑦 𝑂 𝑧