Chapter 1
 1-1  cl,+d~ ={iCIDO) +V'llaOO} ~ §4.ILfJt1',f'(J"
[ 1-2 J U.rin, (1-/), d. ~
d,=f;J;; =i:l,(rODD) ~ oil-~ (2..~"1. E."f I., ~ . ~').
d,+~'1.-= SS~·"e.s ~ PCIl>OO) i- V'J,.~~ -::. S51tt,/es
~ h1 =(56 - .r-('l»b»~ ::: S2. H+
'1. 1.. ."
( htre ) =d t t"e
:J h7.,p .hre = d"'J- kJ~~'{' 1, ~<. re
~d~2ht'~ ~hd re.:t('J~DIli,k;): 5"2.BDM,7es
Ld· J..::: cnde-"4 At'-ltkf l:r fe.l) atvl d ti, ";,{(S.
~ J2. (lIIlles)~ 2,,1, ~;;~ (.s-ll3()N~/e.r)
~cr--= 1.~ or .d=Vff:
2. d=- :;0 ni.J~ =. 2{2h =; t[- (1It): (&())2..
~ I-.-=- (3o)YB =. 112.--=-~o:::oo!.oIl_
11-5 la :::th =12~DO) =N.I'!", ,(2.." :J. 4 ... h ['1-) :: 1.83 "'I'/~
I Tt1i'al t'C4.d/~ t>f cove"4g.~:::J,+~,,='I¥-'It/.+,..93:: t'.97IHj1es
1 1-6 11M;}-=: f-i.o,(10)I,D,lf.o1 i.::/} '1-; P':fi:O.lj 1j.=flf~o.1
~ :t~.I - -J" (O.l) _ 2 31" L~ 7:;"';J, -I.... (o.J) -/7'17':4.­
-;r • ~ - J 2.. _. I- • (r ) -'4.L.Jf- I L -." ·/u~ . ~.
fl ::..~ Pj Ij =2. ~.l}(l.1u} +{o. j}I. '73?] :; I.. C??/6;h
J-.
1-7 II~ /~l. (1-) :9' 1I
.X i~JlJj /"?-IP{lI)::. 1~/l>(;')
~ I Ip<jJl} ~ JD~('f} "9 1= :~:r.f =- ID~1. (K)
1

INSTRUCTOR SOLUTIONS MANUAL
(United States Edition)
Digital & Analog Comm. Systems
8th Edition, L. W. Couch, II
LET p--The probability for sending a binary 1, then the probability for
sending a binary 0 is (l-p). From the entropy formula for H(p), we can draw
the figure of R(p) ,and from this figure , we can find the maximum entropy
and the p.
R(p)=(p*ln(P)+(1-p)*ln(1-p»j(-ln(2»
k := 0 •• 50 P
k
:=
k
-
50
HMAX := 1
h
k
-1
: = - ­
In(2)
2
h ,HMAX I------+-----:=--+----=====--+------i
k
o
o P 1
k
From the .above figure, we know the maximum entropy is 1 where the
probability for sending 1 or 0 is 0.5.
INSTRUCTOR SOLUTIONS MANUAL
(United States Edition)
Digital & Analog Comm. Systems
8th Edition, L. W. Couch, II
PI
::- o.L5 . ~l..:: ~~ ~ 0,15 .·1-10 ) )
f'f = ~5 "- P~ :.?) "Pg =- PC[ = D, 0 /
o. L5" + 2 (O./S-) -I- cD (a. 0)) = 0 •cr I
:. ~ :::. t).os ~;""te 2.
/0
p. == ',0'0 ~j ~ I
~ to
H= 2 p. ~~ ~ (t ~ [~J 2 p, ~ f·'-, J .)) 11 J j
j- ..t:Ao'L ";'::'1
=[i-I"L][.L5 .Lv. ,?.<; + Ll ) , ,,,. fr- ,/S­
+(<0) ,oi t.,.. ,Of + .o~ Jr. ,o"l, ]
H ::: S, 0 g 4- b,'+~
I1-11 ~,) ?, = 0, ~ • P?:: 0 ,'7
D,3bo.s +O,(~O,I
_~ L
o. gg I bl'ts
(h,) f! IIW>.x (oJ- P; = ~ = ~ = 0 S .i ~ I, 1M
II oM'" j. =- - L ( 6.5) J,.,.. 6," " 1 b,,'f "fI""c.'f-
b"L
1
1-12 I M ~ /0 ~, :: -L '=:.. l lo
) 10 .) t
H = - I() (. J) ~ . I =- ~ . ~ (2.. h;ts
)ML
T~ li- :: S,5LL ~;+~ :; /,11 Sft, ::.T
f!... 3 lA.;+~ 1st.c.
3
H =
INSTRUCTOR SOLUTIONS MANUAL
(United States Edition)
Digital & Analog Comm. Systems
8th Edition, L. W. Couch, II
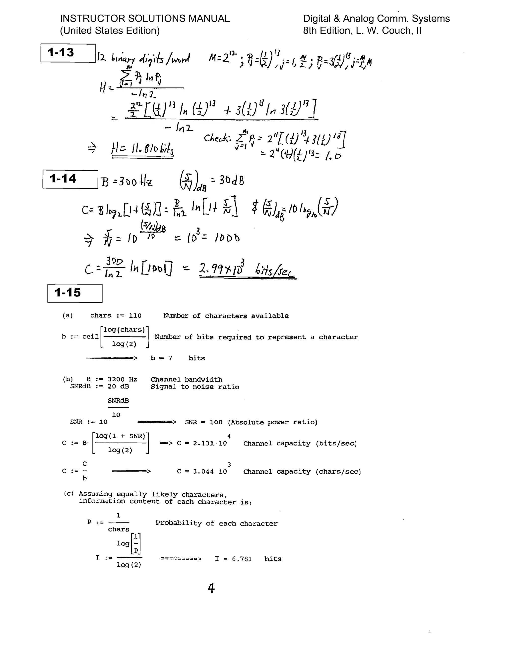
11 13
- I,~ LI~;r .,(11;-&/w...I 1>1=2.'1- ) ~=~);r~ ~i e,,~flj=tJt
U.. ~ 1J I,,~
-/'71..
=- f2"[Ii} I] /11 (1)'1 -/- 3(t/'jyl 3(1)/1]
- 1¥1l...
C~ecJ;. t'P: ~ l'l[U/~J{i.F~
=9 J-J::. 1/. BII> Ms oJ"l i '=- 2. U ( ti(tJ'~:: /. 0
1 141	 - I B -"3~o U-z t~)"8 "3tlJB
c= ~ Jp~l.[l-l~)] ~ /;1. /11 [if ~j *~)J8/bI.,j-fr)
(sIAlMB 3
-q- iJ:: ID J~ :::. (D':: II> Db
c..=I:I>~ l~ [lDllQ - 1. 'l'1~ Ii)~;
1-15 1
(a) chars := 110 Number of characters available
log (chars) ]
b := ceil Number of bits required to represent a character
[ log(2)
====> b = 7 bits
(b)	 B:= 3200 Hz Channel bandwidth

SNRdB := 20 dB Signal to noise ratio

SNRdB
10
SNR :;:;:: 10 ==;~===> SNR = 100 (Absolute power ratio)
C := B. [log (1 + SNR)]	
4
==> C = 2.131·10 Channel capacity (bits/sec)
log(2)
C 3
C :::::: ­ ===> C = 3.044 10 Channel capacity (chars/sec)
b
(c) Assuming	 equally likely characters,

information content of each character is:

1
P := ----- Probability of each character
chars
log[~]
1 ; = - ­ =========> I = 6.781 bits
109(2)
4
INSTRUCTOR SOLUTIONS MANUAL
(United States Edition)
Digital & Analog Comm. Systems
8th Edition, L. W. Couch, II
1 1-16 I R (S ) [()~1-' (I + JD~o/I~)
:. EI~ I t i1 ::. 'B J,,~/. t1.) :: 'B ~Jt,'l4q)
(a) ~ J:Lt)O-3DlY~ crbD ~ R'::.(qOQ)(t4l/i/f) :: 13.1-5k~/fJ"fr
(6] B::. 31t)~ -U;on-='/7oo:1 R:::.V7tJ~(j~91-q) '= 7-5~ 'H kl;cfs!r
(c) :B-=- 32. DO'" jDe>=' 2'tbTJ ~ ~~ (;l9~ (I'f.9'f-Jl)=-~3. 35~ki!J.!r
[i-17=-J	 ~ t; ~ sL;ff. re1lsto­
- Urc.oJ~J Jt4+o. 1~
l!ti,ff' ,~ 1 b~-h ~t
(S~/ff ()lfi-
"-h~) .......,.--L..-,~-r--.L,--J.;,--L.-r-l
COd~J :l~t~ o~t

. . ~ ~',Is 4t(,. 1i;"e.)]r,f sf,,(j Y(3,rrey1-18
x .- 1 x .- 0 x .- 1 x .- 1 x .- 1 Input vector

0 1 2 3 4

ga .- 1 ga .- 0 ga .- 0 ga .- 1 Gain vector, mod2 adder

0 1 2 3

gb .- 1 gb .- 1 gb .- 1 gb .- 1 Gain vector, mod2 adder

0 1 2 3

k := 0 .. length(ga) - 2
v	 : = 0 k: = 0 .. length (x) - 1 v : = X
k k+length(ga)-l k
k := length (x) + length (ga) - 1 .. length{x) + 2 length (ga) - 3
v	 := 0 i := 0 .. length (v) - length (ga)

k j := 0 .. length (ga) - 1

sa
i
sb	 v:= V [9b	 ]
i ~ length(gb)-j-l j+i
j
s := sa s := sb
2 i i 2 i+1 i
sb
i
i := 0 .. 2 length (x) - 1
out := S
i i
For
====>
x T = (I 0
outT = (1
1
1
1
0
1)
1 1 0 0 I l l )
5
INSTRUCTOR SOLUTIONS MANUAL
(United States Edition)
Digital & Analog Comm. Systems
8th Edition, L. W. Couch, II

Solutions Manual Digital & Analog Communication Systems (8th Edition) – Answer and Script

  • 1.
    Chapter 1 1-1 cl,+d~ ={iCIDO) +V'llaOO} ~ §4.ILfJt1',f'(J" [ 1-2 J U.rin, (1-/), d. ~ d,=f;J;; =i:l,(rODD) ~ oil-~ (2..~"1. E."f I., ~ . ~'). d,+~'1.-= SS~·"e.s ~ PCIl>OO) i- V'J,.~~ -::. S51tt,/es ~ h1 =(56 - .r-('l»b»~ ::: S2. H+ '1. 1.. ." ( htre ) =d t t"e :J h7.,p .hre = d"'J- kJ~~'{' 1, ~<. re ~d~2ht'~ ~hd re.:t('J~DIli,k;): 5"2.BDM,7es Ld· J..::: cnde-"4 At'-ltkf l:r fe.l) atvl d ti, ";,{(S. ~ J2. (lIIlles)~ 2,,1, ~;;~ (.s-ll3()N~/e.r) ~cr--= 1.~ or .d=Vff: 2. d=- :;0 ni.J~ =. 2{2h =; t[- (1It): (&())2.. ~ I-.-=- (3o)YB =. 112.--=-~o:::oo!.oIl_ 11-5 la :::th =12~DO) =N.I'!", ,(2.." :J. 4 ... h ['1-) :: 1.83 "'I'/~ I Tt1i'al t'C4.d/~ t>f cove"4g.~:::J,+~,,='I¥-'It/.+,..93:: t'.97IHj1es 1 1-6 11M;}-=: f-i.o,(10)I,D,lf.o1 i.::/} '1-; P':fi:O.lj 1j.=flf~o.1 ~ :t~.I - -J" (O.l) _ 2 31" L~ 7:;"';J, -I.... (o.J) -/7'17':4.­ -;r • ~ - J 2.. _. I- • (r ) -'4.L.Jf- I L -." ·/u~ . ~. fl ::..~ Pj Ij =2. ~.l}(l.1u} +{o. j}I. '73?] :; I.. C??/6;h J-. 1-7 II~ /~l. (1-) :9' 1I .X i~JlJj /"?-IP{lI)::. 1~/l>(;') ~ I Ip<jJl} ~ JD~('f} "9 1= :~:r.f =- ID~1. (K) 1 INSTRUCTOR SOLUTIONS MANUAL (United States Edition) Digital & Analog Comm. Systems 8th Edition, L. W. Couch, II
  • 2.
    LET p--The probabilityfor sending a binary 1, then the probability for sending a binary 0 is (l-p). From the entropy formula for H(p), we can draw the figure of R(p) ,and from this figure , we can find the maximum entropy and the p. R(p)=(p*ln(P)+(1-p)*ln(1-p»j(-ln(2» k := 0 •• 50 P k := k - 50 HMAX := 1 h k -1 : = - ­ In(2) 2 h ,HMAX I------+-----:=--+----=====--+------i k o o P 1 k From the .above figure, we know the maximum entropy is 1 where the probability for sending 1 or 0 is 0.5. INSTRUCTOR SOLUTIONS MANUAL (United States Edition) Digital & Analog Comm. Systems 8th Edition, L. W. Couch, II
  • 3.
    PI ::- o.L5 .~l..:: ~~ ~ 0,15 .·1-10 ) ) f'f = ~5 "- P~ :.?) "Pg =- PC[ = D, 0 / o. L5" + 2 (O./S-) -I- cD (a. 0)) = 0 •cr I :. ~ :::. t).os ~;""te 2. /0 p. == ',0'0 ~j ~ I ~ to H= 2 p. ~~ ~ (t ~ [~J 2 p, ~ f·'-, J .)) 11 J j j- ..t:Ao'L ";'::'1 =[i-I"L][.L5 .Lv. ,?.<; + Ll ) , ,,,. fr- ,/S­ +(<0) ,oi t.,.. ,Of + .o~ Jr. ,o"l, ] H ::: S, 0 g 4- b,'+~ I1-11 ~,) ?, = 0, ~ • P?:: 0 ,'7 D,3bo.s +O,(~O,I _~ L o. gg I bl'ts (h,) f! IIW>.x (oJ- P; = ~ = ~ = 0 S .i ~ I, 1M II oM'" j. =- - L ( 6.5) J,.,.. 6," " 1 b,,'f "fI""c.'f- b"L 1 1-12 I M ~ /0 ~, :: -L '=:.. l lo ) 10 .) t H = - I() (. J) ~ . I =- ~ . ~ (2.. h;ts )ML T~ li- :: S,5LL ~;+~ :; /,11 Sft, ::.T f!... 3 lA.;+~ 1st.c. 3 H = INSTRUCTOR SOLUTIONS MANUAL (United States Edition) Digital & Analog Comm. Systems 8th Edition, L. W. Couch, II
  • 4.
    11 13 - I,~LI~;r .,(11;-&/w...I 1>1=2.'1- ) ~=~);r~ ~i e,,~flj=tJt U.. ~ 1J I,,~ -/'71.. =- f2"[Ii} I] /11 (1)'1 -/- 3(t/'jyl 3(1)/1] - 1¥1l... C~ecJ;. t'P: ~ l'l[U/~J{i.F~ =9 J-J::. 1/. BII> Ms oJ"l i '=- 2. U ( ti(tJ'~:: /. 0 1 141 - I B -"3~o U-z t~)"8 "3tlJB c= ~ Jp~l.[l-l~)] ~ /;1. /11 [if ~j *~)J8/bI.,j-fr) (sIAlMB 3 -q- iJ:: ID J~ :::. (D':: II> Db c..=I:I>~ l~ [lDllQ - 1. 'l'1~ Ii)~; 1-15 1 (a) chars := 110 Number of characters available log (chars) ] b := ceil Number of bits required to represent a character [ log(2) ====> b = 7 bits (b) B:= 3200 Hz Channel bandwidth SNRdB := 20 dB Signal to noise ratio SNRdB 10 SNR :;:;:: 10 ==;~===> SNR = 100 (Absolute power ratio) C := B. [log (1 + SNR)] 4 ==> C = 2.131·10 Channel capacity (bits/sec) log(2) C 3 C :::::: ­ ===> C = 3.044 10 Channel capacity (chars/sec) b (c) Assuming equally likely characters, information content of each character is: 1 P := ----- Probability of each character chars log[~] 1 ; = - ­ =========> I = 6.781 bits 109(2) 4 INSTRUCTOR SOLUTIONS MANUAL (United States Edition) Digital & Analog Comm. Systems 8th Edition, L. W. Couch, II
  • 5.
    1 1-16 IR (S ) [()~1-' (I + JD~o/I~) :. EI~ I t i1 ::. 'B J,,~/. t1.) :: 'B ~Jt,'l4q) (a) ~ J:Lt)O-3DlY~ crbD ~ R'::.(qOQ)(t4l/i/f) :: 13.1-5k~/fJ"fr (6] B::. 31t)~ -U;on-='/7oo:1 R:::.V7tJ~(j~91-q) '= 7-5~ 'H kl;cfs!r (c) :B-=- 32. DO'" jDe>=' 2'tbTJ ~ ~~ (;l9~ (I'f.9'f-Jl)=-~3. 35~ki!J.!r [i-17=-J ~ t; ~ sL;ff. re1lsto­ - Urc.oJ~J Jt4+o. 1~ l!ti,ff' ,~ 1 b~-h ~t (S~/ff ()lfi- "-h~) .......,.--L..-,~-r--.L,--J.;,--L.-r-l COd~J :l~t~ o~t . . ~ ~',Is 4t(,. 1i;"e.)]r,f sf,,(j Y(3,rrey1-18 x .- 1 x .- 0 x .- 1 x .- 1 x .- 1 Input vector 0 1 2 3 4 ga .- 1 ga .- 0 ga .- 0 ga .- 1 Gain vector, mod2 adder 0 1 2 3 gb .- 1 gb .- 1 gb .- 1 gb .- 1 Gain vector, mod2 adder 0 1 2 3 k := 0 .. length(ga) - 2 v : = 0 k: = 0 .. length (x) - 1 v : = X k k+length(ga)-l k k := length (x) + length (ga) - 1 .. length{x) + 2 length (ga) - 3 v := 0 i := 0 .. length (v) - length (ga) k j := 0 .. length (ga) - 1 sa i sb v:= V [9b ] i ~ length(gb)-j-l j+i j s := sa s := sb 2 i i 2 i+1 i sb i i := 0 .. 2 length (x) - 1 out := S i i For ====> x T = (I 0 outT = (1 1 1 1 0 1) 1 1 0 0 I l l ) 5 INSTRUCTOR SOLUTIONS MANUAL (United States Edition) Digital & Analog Comm. Systems 8th Edition, L. W. Couch, II