Tugas Kalkulus Model Pertumbuhan
Gompertz
Dadang Amir Hamzah
May 10, 2013
Kurva pertumbuhan Gompertz digunakan untuk mempelajari pertum-
buhan populasi. Kurva dari model ini mempunyai sifat yang serupa dengan
kurva model pertumbuhan logistik. Kurva pertumbuhan Gompertz dinyata-
kan dengan
N(t) = K exp(ae−bt
),
dengan t ≥ 0, dan K, b adalah konstanta-konstanta positif.
a. Tunjukkan bahwa N(0) = Ke−a
dan apabila N0 = N(0) maka a =
ln K
N0
.
Jawab:
Diketahui kurva pertumbuhan Gompertz adalah
N(t) = K exp(−ae−bt
), (1)
untuk t ≥ 0, dan K, b konstanta positif. N(0) terjadi ketika t = 0, de-
ngan mensubstitusi t = 0 ke persamaan (1) didapat N(0) = K exp(−a).
Kemudian dengan menuliskan N(0) = N0 dan dengan menggunakan
sifat eksponen didapat
a = ln
K
N0
.
1
b. Tunjukkan bahwa y = K adalah asimtot datar. Kemudian tunjukkan
pula bahwa jika N0 < K maka N(t) < K, Jika N0 = K maka N(t) =
K, dan jika N0 > K maka N(t) > K.
Jawab:
Akan ditunjukkan bahwa garis y = K adalah asimtot datar dari Kurva
N(t), artinya harus ditunjukkan bahwa
lim
t→∞
N(t) = K.
Perhatikan bahwa N(t) = K exp(−ae−bt
). Apabila kita limitkan untuk
t → ∞ akan didapat
limt→∞ K exp(−ae−bt
= K exp(−ae∞
)
= K exp(0)
= K.
Jadi terbukti bahwa garis y = K adalah asimtot datar dari kurva N(t).
Selanjutnya akan ditunjukkan jika N0 < K maka Nt < K. Karena
K > 0 maka N0 > 0, akibatnya
N0 < K dengan mengambil ln dikedua ruas
ln N0 < ln K
ln K − ln N0 > 0
ln K
N0
> 0, (Karena a = ln K
N0
)
a > 0, (kalikan kedua ruas dengan − e−bt
)
−ae−bt
< 1, (eksponenkan kedua ruas kemudian kalikan dengan K)
K exp(−ae−bt
) < K
N(t) < K.
Jadi terbukti bahwa jika N0 < K maka Nt < K. Dengan cara yang
sama dapat juga ditunjukkan bahwa jika N0 = K maka Nt = K, dan
2
jika N0 > K maka Nt > K.
(Catatan: Hati-hati dengan tanda ” > ” dan ” < ”)
c. Tunjukkan bahwa
dN
dt
= bN (ln K − ln N) dan
d2
N
dt
= b
dN
dt
(ln K − ln N − 1).
Jawab:
Perhatikan bahwa
N(t) = K exp(−ae−bt
) , (dengan menurunkan kedua ruas terhadap t)
dN
dt
= ab e−by
K exp(−ae−bt
)
= ab e−by
N
= bN ae−by
= bN (ln K − ln N).
Jadi terbukti bahwa dN
dt
= bN (ln K − ln N).
Untuk mendapatkan d2N
dt
turunkan dN
dt
terhadap t sehigga
d2N
dt
= b dN
dt
(ln K − ln N) + bN(0 − 1
N
dN
dt
)
= b dN
dt
(ln K − ln N − 1).
Jadi terbukti bahwa d2N
dt
= b dN
dt
(ln K − ln N − 1).
d. Gunakan hasil pada b dan c untuk menunjukkan jika N0 < K maka
N(t) naik sempurna dan jika N0 > K maka N(t) turun sempurna.
Jawab:
Kurva N(t) naik jika dN
dt
> 0. Akan ditunjukkan bahwa jika N0 < K
maka dN
dt
> 0.
Pada soal bagian b telah ditunjukkan bahwa jika N0 < K maka N < K.
3
Selanjutnya perhatikan bahwa untuk N < K berlaku
ln N < ln K
ln K − ln N > 0, (tambahkan kedua ruas dengan − ln N)
bN (ln K − ln N) > 0, (kalikan kedua ruas dengan bN)
dN
dt
> 0.
Jadi terbukti bahwa jika N0 < K maka N(t) naik sempurna. Dengan
cara yang sama perhatikan bahwa
N > K
ln N > ln K
ln K − ln N < 0
bN (ln K − ln N) < 0
dN
dt
< 0.
Jadi terbukti bahwa jika N0 > K maka N(t) turun sempurna.
e. Saat t berapakah kurva N(t) melalui titik belok? Diskusikan kecekun-
gan dan kecembungannya?
Jawab :
Dengan menggunakan uji turunan kedua titik belok kurva N(t) dicapai
di t yang memenuhi d2N
dt
= 0, kemudian kurva N(t) cekung keatas jika
d2N
dt
> 0 dan kurva N(t) cekung kebawah jika d2N
dt
< 0.
Dari soal c diketahui d2N
dt
= b dN
dt
(ln K − ln N − 1).
Titik belok dicapai di t yang memenuhi
d2
N
dt
= b
dN
dt
(ln K − ln N − 1) = 0
Hal ini mungkin terjadi hanya untuk
ln K − ln N − 1 = 0
4
yakni
ln N + 1 = ln K
ln K − ae−bt
+ 1 = ln K
−ae−bt
+ 1 = 0
1 = ae−bt
ebt
= a
ln a = bt
t = ln a
b
.
Jadi titik belok dari N(t) terjadi saat t = ln a
b
.
Kemudian dengan cara yang sama d2N
dt2 > 0 dicapai saat t < ln a
b
dan d2N
dt2
dicapai saat t > ln a
b
. Artinya kurva N(t) terbuka keatas saat t < ln a
b
kemudian belok saat t = ln a
b
dan terbuka kebawah saat t > ln a
b
.
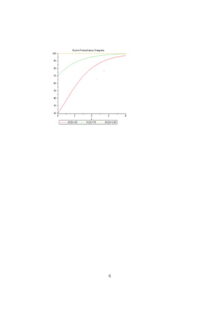
e. Gambarkan kurva N(t) untuk K = 100 , b = 1 dan kondisi-kondisi
berikut:
i. N0 = 20.
ii. N0 = 70.
iii. N0 = 150.
jawab:
5
6

Soal Jawab Kalkulus Model Pertumbuhan Gompertz

  • 1.
    Tugas Kalkulus ModelPertumbuhan Gompertz Dadang Amir Hamzah May 10, 2013 Kurva pertumbuhan Gompertz digunakan untuk mempelajari pertum- buhan populasi. Kurva dari model ini mempunyai sifat yang serupa dengan kurva model pertumbuhan logistik. Kurva pertumbuhan Gompertz dinyata- kan dengan N(t) = K exp(ae−bt ), dengan t ≥ 0, dan K, b adalah konstanta-konstanta positif. a. Tunjukkan bahwa N(0) = Ke−a dan apabila N0 = N(0) maka a = ln K N0 . Jawab: Diketahui kurva pertumbuhan Gompertz adalah N(t) = K exp(−ae−bt ), (1) untuk t ≥ 0, dan K, b konstanta positif. N(0) terjadi ketika t = 0, de- ngan mensubstitusi t = 0 ke persamaan (1) didapat N(0) = K exp(−a). Kemudian dengan menuliskan N(0) = N0 dan dengan menggunakan sifat eksponen didapat a = ln K N0 . 1
  • 2.
    b. Tunjukkan bahway = K adalah asimtot datar. Kemudian tunjukkan pula bahwa jika N0 < K maka N(t) < K, Jika N0 = K maka N(t) = K, dan jika N0 > K maka N(t) > K. Jawab: Akan ditunjukkan bahwa garis y = K adalah asimtot datar dari Kurva N(t), artinya harus ditunjukkan bahwa lim t→∞ N(t) = K. Perhatikan bahwa N(t) = K exp(−ae−bt ). Apabila kita limitkan untuk t → ∞ akan didapat limt→∞ K exp(−ae−bt = K exp(−ae∞ ) = K exp(0) = K. Jadi terbukti bahwa garis y = K adalah asimtot datar dari kurva N(t). Selanjutnya akan ditunjukkan jika N0 < K maka Nt < K. Karena K > 0 maka N0 > 0, akibatnya N0 < K dengan mengambil ln dikedua ruas ln N0 < ln K ln K − ln N0 > 0 ln K N0 > 0, (Karena a = ln K N0 ) a > 0, (kalikan kedua ruas dengan − e−bt ) −ae−bt < 1, (eksponenkan kedua ruas kemudian kalikan dengan K) K exp(−ae−bt ) < K N(t) < K. Jadi terbukti bahwa jika N0 < K maka Nt < K. Dengan cara yang sama dapat juga ditunjukkan bahwa jika N0 = K maka Nt = K, dan 2
  • 3.
    jika N0 >K maka Nt > K. (Catatan: Hati-hati dengan tanda ” > ” dan ” < ”) c. Tunjukkan bahwa dN dt = bN (ln K − ln N) dan d2 N dt = b dN dt (ln K − ln N − 1). Jawab: Perhatikan bahwa N(t) = K exp(−ae−bt ) , (dengan menurunkan kedua ruas terhadap t) dN dt = ab e−by K exp(−ae−bt ) = ab e−by N = bN ae−by = bN (ln K − ln N). Jadi terbukti bahwa dN dt = bN (ln K − ln N). Untuk mendapatkan d2N dt turunkan dN dt terhadap t sehigga d2N dt = b dN dt (ln K − ln N) + bN(0 − 1 N dN dt ) = b dN dt (ln K − ln N − 1). Jadi terbukti bahwa d2N dt = b dN dt (ln K − ln N − 1). d. Gunakan hasil pada b dan c untuk menunjukkan jika N0 < K maka N(t) naik sempurna dan jika N0 > K maka N(t) turun sempurna. Jawab: Kurva N(t) naik jika dN dt > 0. Akan ditunjukkan bahwa jika N0 < K maka dN dt > 0. Pada soal bagian b telah ditunjukkan bahwa jika N0 < K maka N < K. 3
  • 4.
    Selanjutnya perhatikan bahwauntuk N < K berlaku ln N < ln K ln K − ln N > 0, (tambahkan kedua ruas dengan − ln N) bN (ln K − ln N) > 0, (kalikan kedua ruas dengan bN) dN dt > 0. Jadi terbukti bahwa jika N0 < K maka N(t) naik sempurna. Dengan cara yang sama perhatikan bahwa N > K ln N > ln K ln K − ln N < 0 bN (ln K − ln N) < 0 dN dt < 0. Jadi terbukti bahwa jika N0 > K maka N(t) turun sempurna. e. Saat t berapakah kurva N(t) melalui titik belok? Diskusikan kecekun- gan dan kecembungannya? Jawab : Dengan menggunakan uji turunan kedua titik belok kurva N(t) dicapai di t yang memenuhi d2N dt = 0, kemudian kurva N(t) cekung keatas jika d2N dt > 0 dan kurva N(t) cekung kebawah jika d2N dt < 0. Dari soal c diketahui d2N dt = b dN dt (ln K − ln N − 1). Titik belok dicapai di t yang memenuhi d2 N dt = b dN dt (ln K − ln N − 1) = 0 Hal ini mungkin terjadi hanya untuk ln K − ln N − 1 = 0 4
  • 5.
    yakni ln N +1 = ln K ln K − ae−bt + 1 = ln K −ae−bt + 1 = 0 1 = ae−bt ebt = a ln a = bt t = ln a b . Jadi titik belok dari N(t) terjadi saat t = ln a b . Kemudian dengan cara yang sama d2N dt2 > 0 dicapai saat t < ln a b dan d2N dt2 dicapai saat t > ln a b . Artinya kurva N(t) terbuka keatas saat t < ln a b kemudian belok saat t = ln a b dan terbuka kebawah saat t > ln a b . e. Gambarkan kurva N(t) untuk K = 100 , b = 1 dan kondisi-kondisi berikut: i. N0 = 20. ii. N0 = 70. iii. N0 = 150. jawab: 5
  • 6.