1
EE 221
HW 2
Due Date: 16/04/2015
1. Which of the following systems are linear and nonlinear
a. 𝑦(𝑡) = 10𝑥(𝑡 + 2) + 5
b. 𝑦(𝑡) = 𝑥(𝑡2
)
c. 𝑦(𝑡) = 𝑥2
(𝑡)
d. 𝑦(𝑡) = ∫ 𝑒−(𝑡−𝜏)
𝑥(𝜏)𝑑𝜏
𝑡
0
SOLUTION
a) Lets apply superposition to test linearity.
let input to the system by a sum of signals say, 𝑥1(𝑡) + 𝑥2(𝑡), to the output will be
𝑦(𝑡) = 10(𝑥1(𝑡 + 2) + 𝑥2(𝑡 + 2)) + 5 (1)
which is clearly not equal to the sum of the outputs as
𝑦1(𝑡) = 10𝑥1(𝑡 + 2) + 5
𝑦2(𝑡) = 10𝑥2(𝑡 + 2) + 5 𝑎𝑛𝑑
𝑦1(𝑡) + 𝑦2(𝑡) = 10(𝑥1(𝑡 + 2) + 𝑥2(𝑡 + 2)) + 10 (2)
so as (1) ≠ (2), superposition does not hold so the system is not linear.
b) Let input to the system by a sum of signals say, 𝑥1(𝑡) + 𝑥2(𝑡), to the output will be
𝑦(𝑡) = 𝑥1(𝑡2) + 𝑥2(𝑡2) (1)
and sum of outputs
𝑦1(𝑡) + 𝑦2(𝑡) = 𝑥1(𝑡2) + 𝑥2(𝑡2) (2)
so as (1) = (2), superposition holds so the system is linear.
c) Let input to the system by a sum of signals say, 𝑥1(𝑡) + 𝑥2(𝑡), to the output will be
𝑦(𝑡) = 𝑥1
2(𝑡) + 𝑥2
2(𝑡) + 2𝑥1(𝑡)𝑥2(𝑡) (1)
and sum of outputs
𝑦1(𝑡) + 𝑦2(𝑡) = 𝑥1
2(𝑡) + 𝑥2
2(𝑡) (2)
so as (1) ≠ (2), superposition does not hold so the system is not linear.
d) Let input to the system by a sum of signals say, 𝑥1(𝑡) + 𝑥2(𝑡), to the output will be
𝑦(𝑡) = ∫ 𝑒−(𝑡−𝜏)
(𝑥1(𝜏) + 𝑥2(𝜏))𝑑𝜏
𝑡
0
= ∫ 𝑒−(𝑡−𝜏)
𝑥1(𝜏)𝑑𝜏
𝑡
0
+ ∫ 𝑒−(𝑡−𝜏)
𝑥2(𝜏)𝑑𝜏
𝑡
0
= 𝑦1(𝑡) + 𝑦2(𝑡)
so as superposition holds, the system is linear.
2
2. Determine which signals are causal and non-causal
a. 𝑦[𝑛] = 𝑥[−𝑛]
b. 𝑦(𝑡) = 𝑥(𝑛 + 1)
Non Causal
c. 𝑦 ( 𝑡 ) = 𝑥 ( 𝑡 ) 𝑥 ( 𝑡 + 1)
Non Causal
d. 𝑦 ( 𝑡 ) = 𝑥 ( 𝑡 ) + 1
Causal As I is a dc value which is a constant and does not affect x(t)
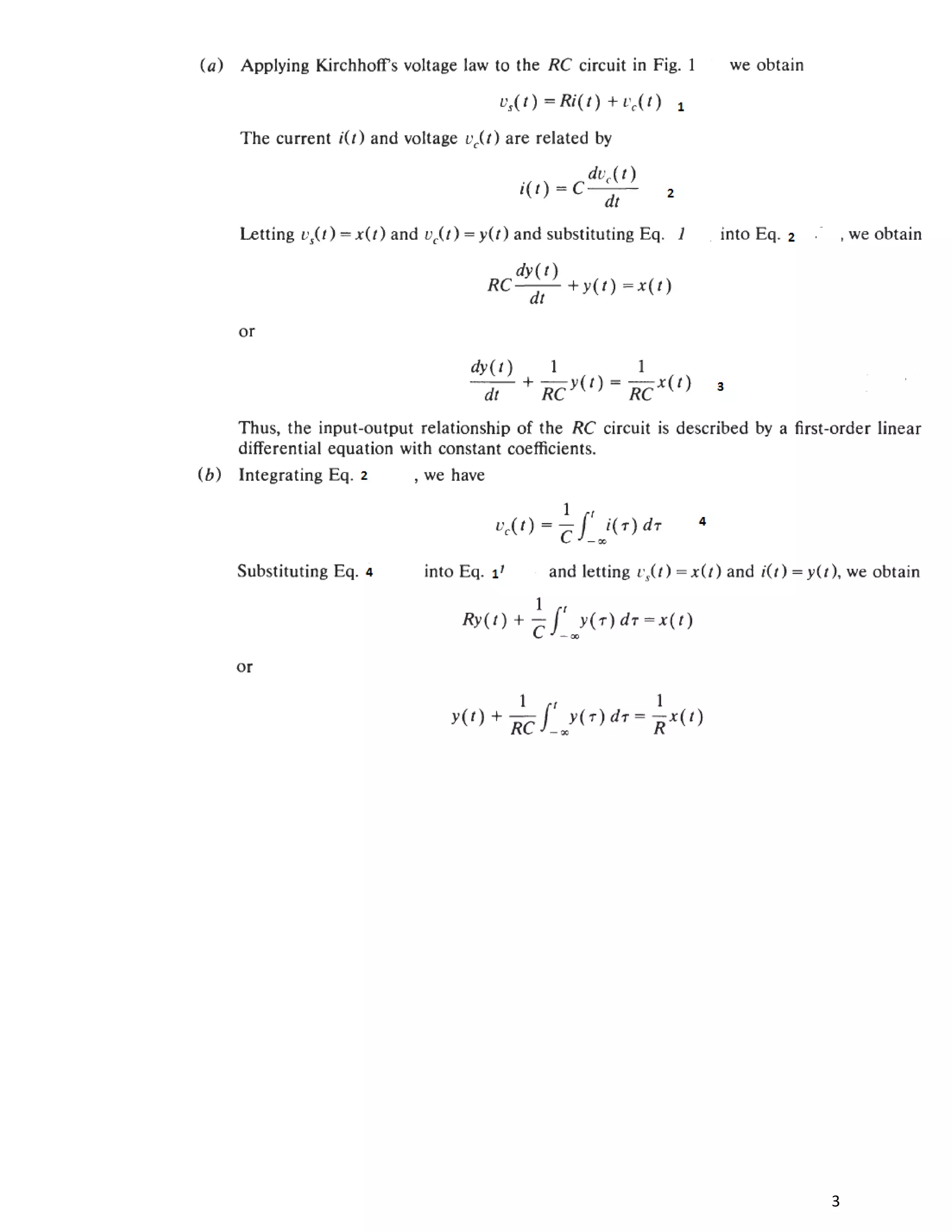
3. Consider an RC circuit below. Find the input x(t) and output y(t) relationship for this circuit in
a. If 𝑥(𝑡) = 𝑉𝑠(𝑡) 𝑎𝑛𝑑 𝑦(𝑡) = 𝑉𝑐(𝑡)
b. If 𝑥(𝑡) = 𝑉𝑠(𝑡) 𝑎𝑛𝑑 𝑦(𝑡) = 𝑖(𝑡)
Figure 1
3
4
4. Consider the system shown in Fig. 2. Determine whether it is
(a) memoryless,
(b) causal,
(c) linear,
(d ) time-invariant.
Figure 2
The system is linear.
5
5. The discrete-time system shown in Fig. 3 is known as the unit delay element. Determine whether
the system is
(a) Memoryless,
(b) Causal,
(c) Linear,
(d) Time invariant
Figure 3

signal and system Hw2 solution

  • 1.
    1 EE 221 HW 2 DueDate: 16/04/2015 1. Which of the following systems are linear and nonlinear a. 𝑦(𝑡) = 10𝑥(𝑡 + 2) + 5 b. 𝑦(𝑡) = 𝑥(𝑡2 ) c. 𝑦(𝑡) = 𝑥2 (𝑡) d. 𝑦(𝑡) = ∫ 𝑒−(𝑡−𝜏) 𝑥(𝜏)𝑑𝜏 𝑡 0 SOLUTION a) Lets apply superposition to test linearity. let input to the system by a sum of signals say, 𝑥1(𝑡) + 𝑥2(𝑡), to the output will be 𝑦(𝑡) = 10(𝑥1(𝑡 + 2) + 𝑥2(𝑡 + 2)) + 5 (1) which is clearly not equal to the sum of the outputs as 𝑦1(𝑡) = 10𝑥1(𝑡 + 2) + 5 𝑦2(𝑡) = 10𝑥2(𝑡 + 2) + 5 𝑎𝑛𝑑 𝑦1(𝑡) + 𝑦2(𝑡) = 10(𝑥1(𝑡 + 2) + 𝑥2(𝑡 + 2)) + 10 (2) so as (1) ≠ (2), superposition does not hold so the system is not linear. b) Let input to the system by a sum of signals say, 𝑥1(𝑡) + 𝑥2(𝑡), to the output will be 𝑦(𝑡) = 𝑥1(𝑡2) + 𝑥2(𝑡2) (1) and sum of outputs 𝑦1(𝑡) + 𝑦2(𝑡) = 𝑥1(𝑡2) + 𝑥2(𝑡2) (2) so as (1) = (2), superposition holds so the system is linear. c) Let input to the system by a sum of signals say, 𝑥1(𝑡) + 𝑥2(𝑡), to the output will be 𝑦(𝑡) = 𝑥1 2(𝑡) + 𝑥2 2(𝑡) + 2𝑥1(𝑡)𝑥2(𝑡) (1) and sum of outputs 𝑦1(𝑡) + 𝑦2(𝑡) = 𝑥1 2(𝑡) + 𝑥2 2(𝑡) (2) so as (1) ≠ (2), superposition does not hold so the system is not linear. d) Let input to the system by a sum of signals say, 𝑥1(𝑡) + 𝑥2(𝑡), to the output will be 𝑦(𝑡) = ∫ 𝑒−(𝑡−𝜏) (𝑥1(𝜏) + 𝑥2(𝜏))𝑑𝜏 𝑡 0 = ∫ 𝑒−(𝑡−𝜏) 𝑥1(𝜏)𝑑𝜏 𝑡 0 + ∫ 𝑒−(𝑡−𝜏) 𝑥2(𝜏)𝑑𝜏 𝑡 0 = 𝑦1(𝑡) + 𝑦2(𝑡) so as superposition holds, the system is linear.
  • 2.
    2 2. Determine whichsignals are causal and non-causal a. 𝑦[𝑛] = 𝑥[−𝑛] b. 𝑦(𝑡) = 𝑥(𝑛 + 1) Non Causal c. 𝑦 ( 𝑡 ) = 𝑥 ( 𝑡 ) 𝑥 ( 𝑡 + 1) Non Causal d. 𝑦 ( 𝑡 ) = 𝑥 ( 𝑡 ) + 1 Causal As I is a dc value which is a constant and does not affect x(t) 3. Consider an RC circuit below. Find the input x(t) and output y(t) relationship for this circuit in a. If 𝑥(𝑡) = 𝑉𝑠(𝑡) 𝑎𝑛𝑑 𝑦(𝑡) = 𝑉𝑐(𝑡) b. If 𝑥(𝑡) = 𝑉𝑠(𝑡) 𝑎𝑛𝑑 𝑦(𝑡) = 𝑖(𝑡) Figure 1
  • 3.
  • 4.
    4 4. Consider thesystem shown in Fig. 2. Determine whether it is (a) memoryless, (b) causal, (c) linear, (d ) time-invariant. Figure 2 The system is linear.
  • 5.
    5 5. The discrete-timesystem shown in Fig. 3 is known as the unit delay element. Determine whether the system is (a) Memoryless, (b) Causal, (c) Linear, (d) Time invariant Figure 3