ch-     Sample        (Typeset by TYINDEX, Delhi)  of  May ,                              :




                                               
    ........................................................................................................................


                           SIGNIFICANT
                              T E S TS
    ........................................................................................................................




A    fter any experiment we get some results, but we are not sure about this
     result whether the result occurred by chance or a real difference. That
time to find truth we will use some statistical tests, these tests are termed as,
‘Tests of Significance’.



            S  S T:
.................................................................................................................................

The selection of the appropriate statistical test is depends upon:
   . The scale of measurement e.g. Ratio, Interval.
   . The number of groups e.g. One, Two or More.
   . Sample size e.g. If the sample size is less than . Students ‘t’ test is to be
      used.
   . Measurements e.g. Repeated or Independent measurements.



       S  T  S:
.................................................................................................................................

For application of test sample should be selected randomly. Thus we have in
this case degree of freedom ‘n’ =  –  =  Now, table value of x2 is . t .
ch- Sample            (Typeset by TYINDEX, Delhi)  of  May ,                              :




       SIGNIFICANT TESTS

    Table 13.1 This is Example of Table Sample.

    Scale                                  Two groups                                   Three/More groups

                              Independent                 Repeated               Independent                Repeated

    Interval                 Z test                   Z test                    ANOVA test                ANOVA
    and Ratio                t test                   t test                    (F test)                  (F test)

    Ordinal                  Median test              Wilcox an                 Median                    Friedman test
                             Mann                     test                      Kruscal test
                             Whitney

    Nominal                  X2 test                  Me Nemar                  Chi–Square                Cochron’s test
                                                      test                      Test



for  degree of freedom, which is much less than the obtained value that is
.



               T     :
.................................................................................................................................

    . Parametric Tests
    . Non – Parametric Tests



                                . P T:
.................................................................................................................................

When quantitative data like Weight, Length, Height, and Percentage is given
it is used. These tests were based on the assumption that samples were drawn
from the normally distributed populations.
    E.g. Students t test, Z test etc.



                     . N – P T:
.................................................................................................................................

When qualitative data like Health, Cure rate, Intelligence, Color is given it is
used. Here observations are classified into a particular category or groups.
  E.g. Chi square (x2 ) test, Median tests etc.
ch- Sample           (Typeset by TYINDEX, Delhi)  of  May ,                               :




                                                                              SIGNIFICANT TESTS                               

                         Table 13.2 This is Example of Table Sample.

                         Patients                     Before                             After
                                                  treatment (B)                     treatment (A)

                         1                                2.4                              2.2
                         2                                2.8                              2.6
                         3                                3.2                              3.0
                         4                                6.4                              4.2
                         5                                4.3                              2.2
                         6                                2.2                              2.0
                         7                                6.2                              4.8
                         8                                4.2                              2.4




                                               I. T – T:
.................................................................................................................................

W.S. Gosset investigated this test in . It is called Student t – Test because
the pen name of Dr. Gosset was student, hence this test is known as student’s
t – test. It is also called as ‘t- ratio’ because it is a ratio of difference between
two means.
   Aylmer Fisher (–) developed students ‘t’ test where samples are
drawn from normal population and are randomly selected.
   After comparing the calculated value of ‘t’ with the value given in the ‘t’
table considering degree of freedom we can ascertain its significance.
   Is the testing reliable? It is used for comparisons with expectations of the
Normal, Binomial and Poisson distributions and Comparison of a sample
variance with population variance.




                                                  S:
Here,
                                                     D = 8.3
                                                     N=8
                                                   D2 = 14.61
                                                             8.3
                                                     D=          = 1.0375
                                                              8
ch- Sample   (Typeset by TYINDEX, Delhi)  of  May ,    :




     SIGNIFICANT TESTS

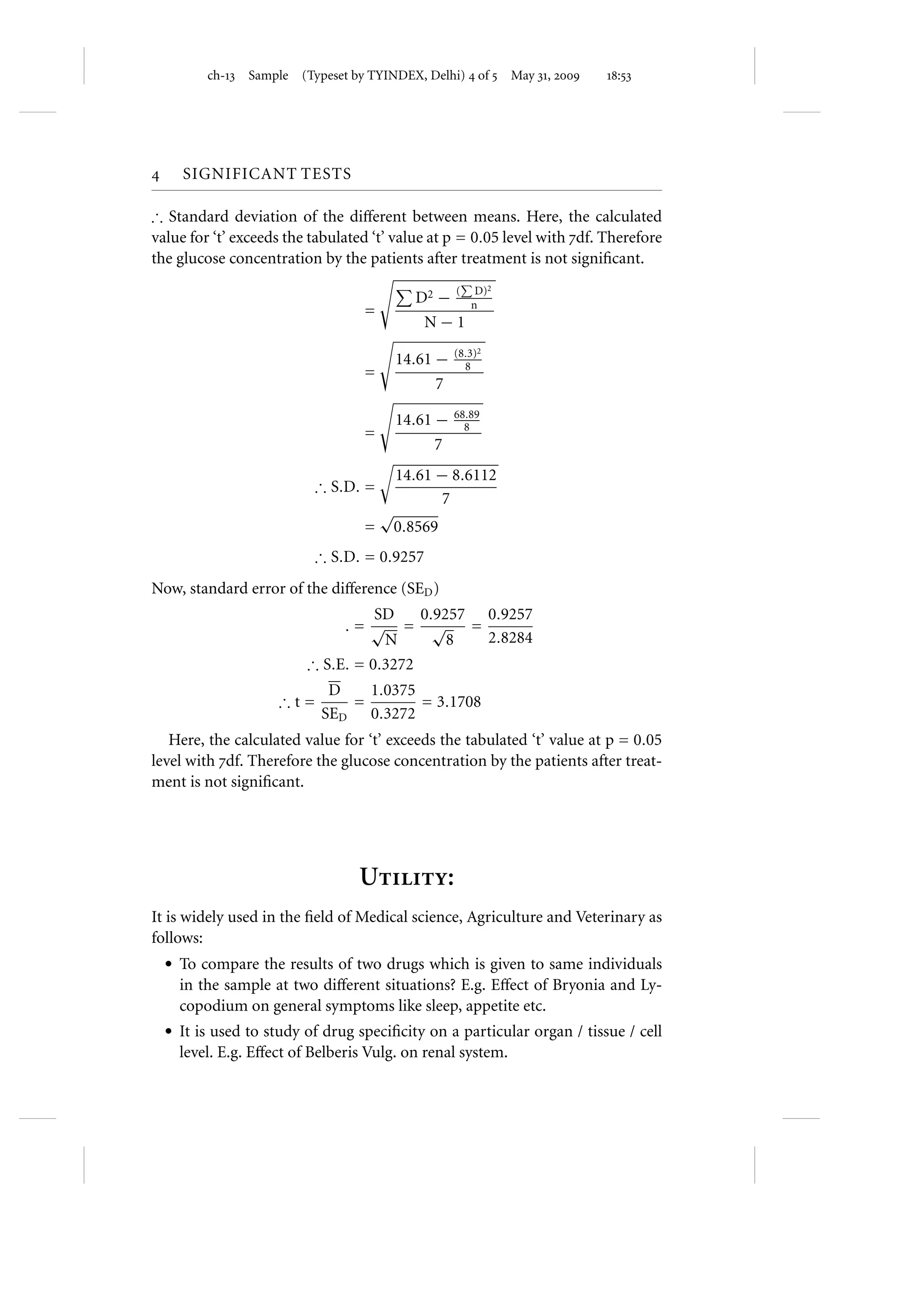
∴ Standard deviation of the different between means. Here, the calculated
value for ‘t’ exceeds the tabulated ‘t’ value at p = 0.05 level with df. Therefore
the glucose concentration by the patients after treatment is not significant.
                                                         D)2
                                             D2 − (     n
                                   =
                                              N−1
                                                     (8.3)2
                                           14.61 −     8
                                   =
                                                 7

                                           14.61 −   68.89
                                                       8
                                   =
                                                 7
                                           14.61 − 8.6112
                           ∴ S.D. =
                                                 7
                                       √
                                   =       0.8569
                           ∴ S.D. = 0.9257
Now, standard error of the difference (SED )
                                   SD    0.9257 0.9257
                              .= √ = √         =
                                    N        8   2.8284
                         ∴ S.E. = 0.3272
                             D   1.0375
                     ∴t=       =        = 3.1708
                            SED 0.3272
   Here, the calculated value for ‘t’ exceeds the tabulated ‘t’ value at p = 0.05
level with df. Therefore the glucose concentration by the patients after treat-
ment is not significant.




                                  U:
It is widely used in the field of Medical science, Agriculture and Veterinary as
follows:
    r To compare the results of two drugs which is given to same individuals
     in the sample at two different situations? E.g. Effect of Bryonia and Ly-
     copodium on general symptoms like sleep, appetite etc.
    r It is used to study of drug specificity on a particular organ / tissue / cell
     level. E.g. Effect of Belberis Vulg. on renal system.
ch- Sample    (Typeset by TYINDEX, Delhi)  of  May ,    :




                                                 SIGNIFICANT TESTS          

r It is used to compare results of two different methods. E.g. Estimation of
 Hb% by Sahlis method and Tallquist method.
r To compare observations made at two different sites of the same body.
 E.g. compare blood pressure of arm and thigh.
r To study the accuracy of two different instruments like Thermometer, B.P
 apparatus etc.
r To accept the Null Hypothesis that is no difference between the two
 means.
r To reject the hypothesis that is the difference between the means of the
 two samples is statistically significant.

Sample C_Book Typesetting

  • 1.
    ch- Sample (Typeset by TYINDEX, Delhi)  of  May ,  :         ........................................................................................................................ SIGNIFICANT T E S TS ........................................................................................................................ A fter any experiment we get some results, but we are not sure about this result whether the result occurred by chance or a real difference. That time to find truth we will use some statistical tests, these tests are termed as, ‘Tests of Significance’. S  S T: ................................................................................................................................. The selection of the appropriate statistical test is depends upon: . The scale of measurement e.g. Ratio, Interval. . The number of groups e.g. One, Two or More. . Sample size e.g. If the sample size is less than . Students ‘t’ test is to be used. . Measurements e.g. Repeated or Independent measurements. S  T  S: ................................................................................................................................. For application of test sample should be selected randomly. Thus we have in this case degree of freedom ‘n’ =  –  =  Now, table value of x2 is . t .
  • 2.
    ch- Sample (Typeset by TYINDEX, Delhi)  of  May ,  :  SIGNIFICANT TESTS Table 13.1 This is Example of Table Sample. Scale Two groups Three/More groups Independent Repeated Independent Repeated Interval Z test Z test ANOVA test ANOVA and Ratio t test t test (F test) (F test) Ordinal Median test Wilcox an Median Friedman test Mann test Kruscal test Whitney Nominal X2 test Me Nemar Chi–Square Cochron’s test test Test for  degree of freedom, which is much less than the obtained value that is . T     : ................................................................................................................................. . Parametric Tests . Non – Parametric Tests . P T: ................................................................................................................................. When quantitative data like Weight, Length, Height, and Percentage is given it is used. These tests were based on the assumption that samples were drawn from the normally distributed populations. E.g. Students t test, Z test etc. . N – P T: ................................................................................................................................. When qualitative data like Health, Cure rate, Intelligence, Color is given it is used. Here observations are classified into a particular category or groups. E.g. Chi square (x2 ) test, Median tests etc.
  • 3.
    ch- Sample (Typeset by TYINDEX, Delhi)  of  May ,  : SIGNIFICANT TESTS  Table 13.2 This is Example of Table Sample. Patients Before After treatment (B) treatment (A) 1 2.4 2.2 2 2.8 2.6 3 3.2 3.0 4 6.4 4.2 5 4.3 2.2 6 2.2 2.0 7 6.2 4.8 8 4.2 2.4 I. T – T: ................................................................................................................................. W.S. Gosset investigated this test in . It is called Student t – Test because the pen name of Dr. Gosset was student, hence this test is known as student’s t – test. It is also called as ‘t- ratio’ because it is a ratio of difference between two means. Aylmer Fisher (–) developed students ‘t’ test where samples are drawn from normal population and are randomly selected. After comparing the calculated value of ‘t’ with the value given in the ‘t’ table considering degree of freedom we can ascertain its significance. Is the testing reliable? It is used for comparisons with expectations of the Normal, Binomial and Poisson distributions and Comparison of a sample variance with population variance. S: Here, D = 8.3 N=8 D2 = 14.61 8.3 D= = 1.0375 8
  • 4.
    ch- Sample (Typeset by TYINDEX, Delhi)  of  May ,  :  SIGNIFICANT TESTS ∴ Standard deviation of the different between means. Here, the calculated value for ‘t’ exceeds the tabulated ‘t’ value at p = 0.05 level with df. Therefore the glucose concentration by the patients after treatment is not significant. D)2 D2 − ( n = N−1 (8.3)2 14.61 − 8 = 7 14.61 − 68.89 8 = 7 14.61 − 8.6112 ∴ S.D. = 7 √ = 0.8569 ∴ S.D. = 0.9257 Now, standard error of the difference (SED ) SD 0.9257 0.9257 .= √ = √ = N 8 2.8284 ∴ S.E. = 0.3272 D 1.0375 ∴t= = = 3.1708 SED 0.3272 Here, the calculated value for ‘t’ exceeds the tabulated ‘t’ value at p = 0.05 level with df. Therefore the glucose concentration by the patients after treat- ment is not significant. U: It is widely used in the field of Medical science, Agriculture and Veterinary as follows: r To compare the results of two drugs which is given to same individuals in the sample at two different situations? E.g. Effect of Bryonia and Ly- copodium on general symptoms like sleep, appetite etc. r It is used to study of drug specificity on a particular organ / tissue / cell level. E.g. Effect of Belberis Vulg. on renal system.
  • 5.
    ch- Sample (Typeset by TYINDEX, Delhi)  of  May ,  : SIGNIFICANT TESTS  r It is used to compare results of two different methods. E.g. Estimation of Hb% by Sahlis method and Tallquist method. r To compare observations made at two different sites of the same body. E.g. compare blood pressure of arm and thigh. r To study the accuracy of two different instruments like Thermometer, B.P apparatus etc. r To accept the Null Hypothesis that is no difference between the two means. r To reject the hypothesis that is the difference between the means of the two samples is statistically significant.