Fluid Statics and Bernoulli’s Theorem:
                                                                                                 2                                            2
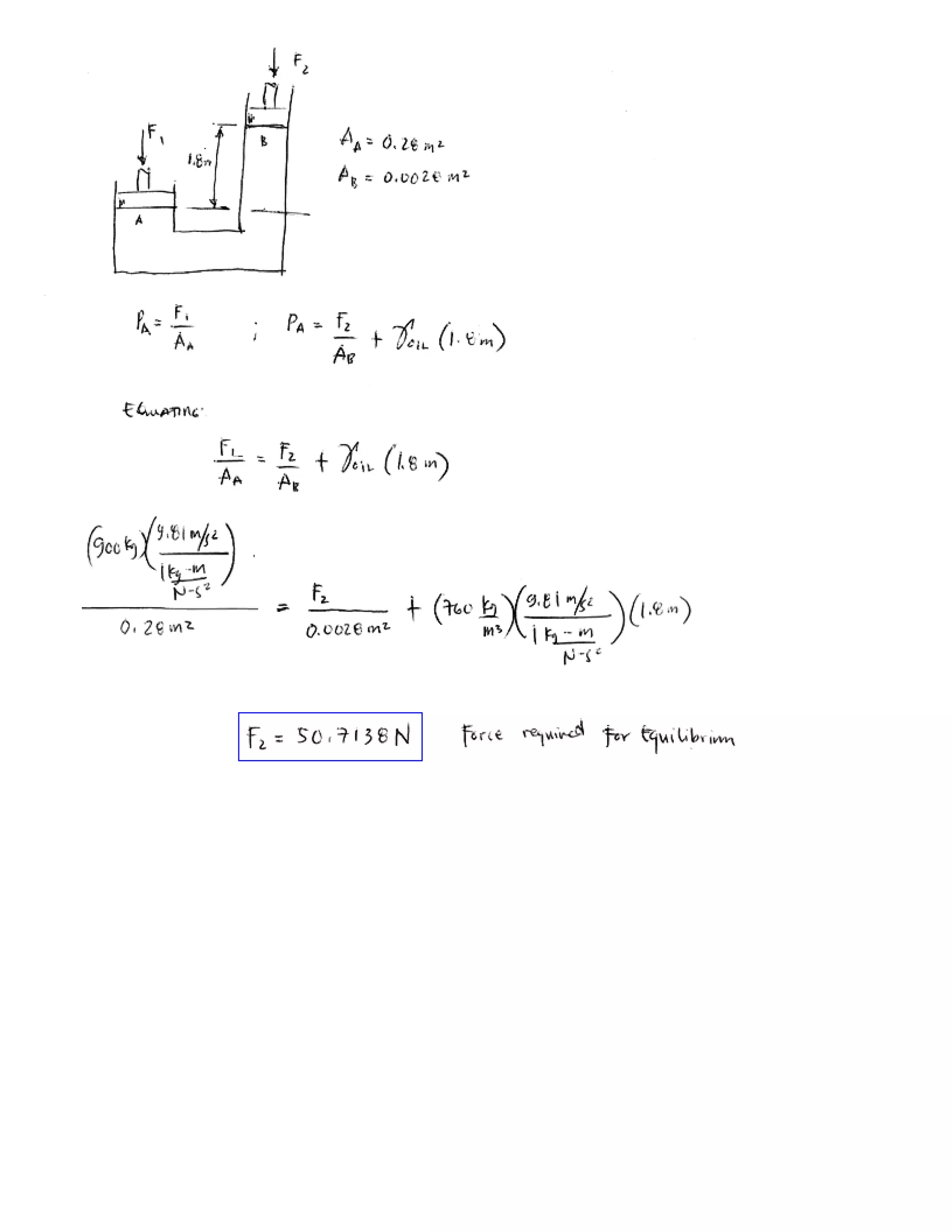
A hydraulic ram consists of a weightless plunger of cross-sectional area 0.0028 m and a piston mass of 900 kg and cross area of 0.28 m . The system is filled
                            3
with oil of density 760 kg/m . Calculate the force on the plunger required for equilibrium if the plunger is at an elevation of 1.8 m above the piston.




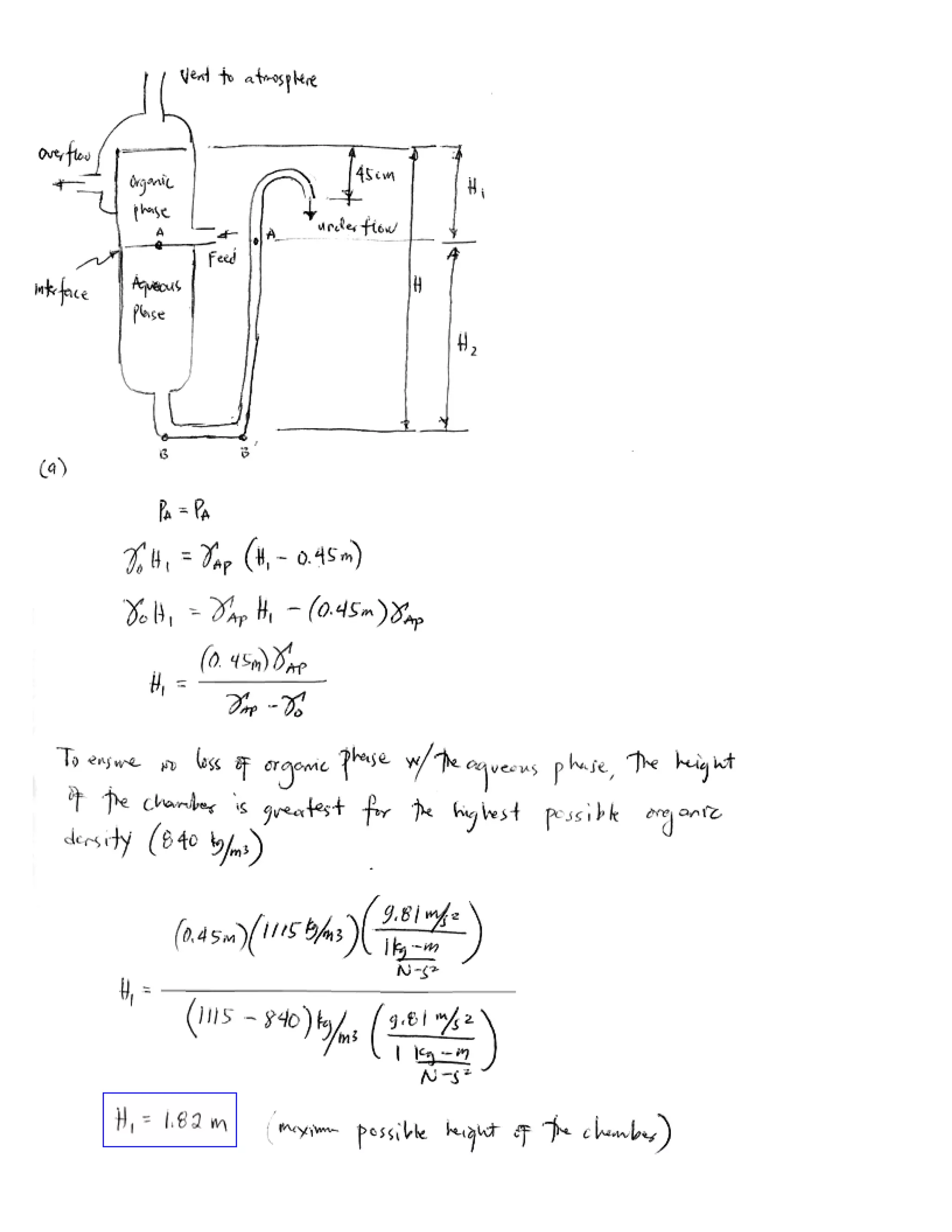
Mixtures which contain two insoluble organic and aqueous liquids are to be separated in a separator which consists of a vertical chamber with overflow and
                                                                                                                3
underflow. The mixture is fed slowly to the separator in which the aqueous phase, of constant density 1,115 kg/m , is discharged from the under flow at the
                                                                                                                                             3
base of the chamber to a discharged point 45 cm below the overflow of the chamber . The organic phase can vary density from 550 - 840 kg/m . Find: (a) The
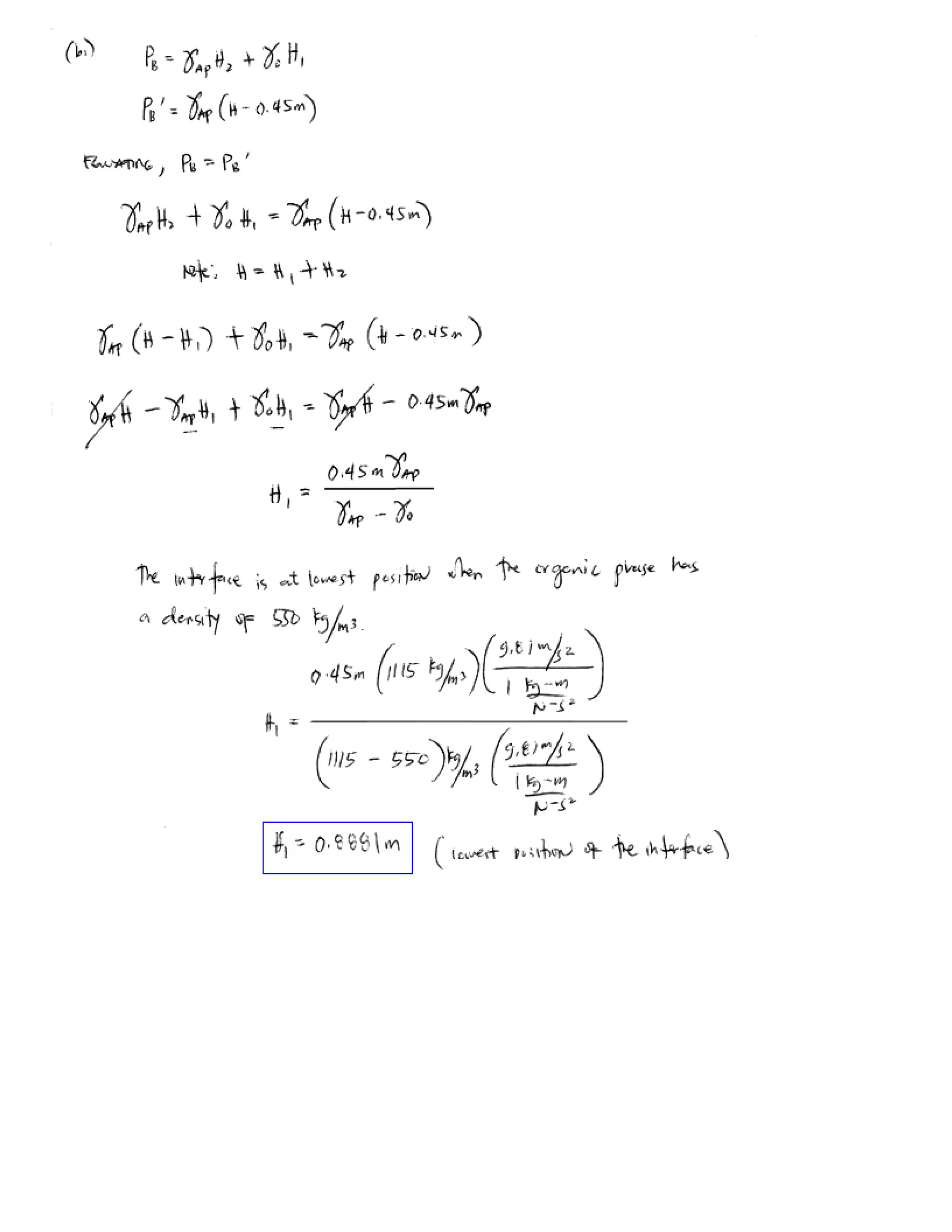
minimum height of the chamber, H1 which can be used if the organic phase is not to leave with aqueous phase. (b) The lowest possible position of the
interface, H1 in the chamber below the overflow, if the height H is made equal to 3.5 m,




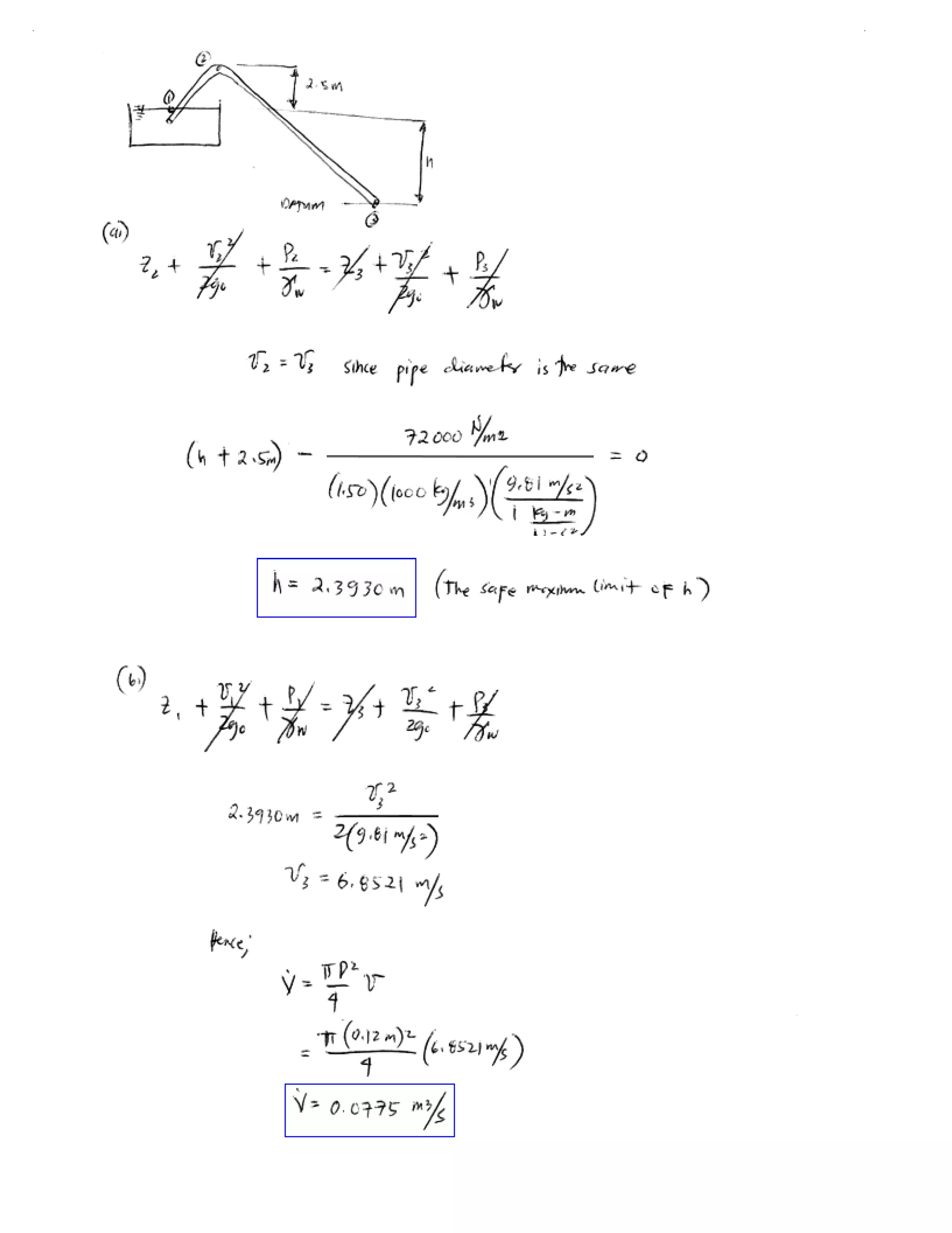
A liquid of specific gravity 1.50 is discharged from a tank through a siphon whose summit point is 2.5 m above the liquid level in the tank. The siphon has a
uniform diameter of 12 cm and it discharges the liquid into atmosphere whose pressure is 100 kPa. If the vapour pressure of the liquid at the summit is 72
kPa (vacuum), how far below the liquid level in the tank can the outlet be safely located? What is the maximum discharge? Neglect all losses of head.




Reference: Page 7-10 by Fluid Mechanics: Worked Examples for Engineers by Carl Schashke © 1998 Carl Schashke Reprinted 2005 with amendments
           Page 147-148 by Fluid Mechanics and Machinery by D. Rama Durgaiah © 2002 New Age International (P) Ltd., Publishers
Quiz 1 (thermo)
Quiz 1 (thermo)
Quiz 1 (thermo)
Quiz 1 (thermo)

Quiz 1 (thermo)

  • 1.
    Fluid Statics andBernoulli’s Theorem: 2 2 A hydraulic ram consists of a weightless plunger of cross-sectional area 0.0028 m and a piston mass of 900 kg and cross area of 0.28 m . The system is filled 3 with oil of density 760 kg/m . Calculate the force on the plunger required for equilibrium if the plunger is at an elevation of 1.8 m above the piston. Mixtures which contain two insoluble organic and aqueous liquids are to be separated in a separator which consists of a vertical chamber with overflow and 3 underflow. The mixture is fed slowly to the separator in which the aqueous phase, of constant density 1,115 kg/m , is discharged from the under flow at the 3 base of the chamber to a discharged point 45 cm below the overflow of the chamber . The organic phase can vary density from 550 - 840 kg/m . Find: (a) The minimum height of the chamber, H1 which can be used if the organic phase is not to leave with aqueous phase. (b) The lowest possible position of the interface, H1 in the chamber below the overflow, if the height H is made equal to 3.5 m, A liquid of specific gravity 1.50 is discharged from a tank through a siphon whose summit point is 2.5 m above the liquid level in the tank. The siphon has a uniform diameter of 12 cm and it discharges the liquid into atmosphere whose pressure is 100 kPa. If the vapour pressure of the liquid at the summit is 72 kPa (vacuum), how far below the liquid level in the tank can the outlet be safely located? What is the maximum discharge? Neglect all losses of head. Reference: Page 7-10 by Fluid Mechanics: Worked Examples for Engineers by Carl Schashke © 1998 Carl Schashke Reprinted 2005 with amendments Page 147-148 by Fluid Mechanics and Machinery by D. Rama Durgaiah © 2002 New Age International (P) Ltd., Publishers