PENDEKATAN SISTEM
Pemecahan Masalah
 Masalah : Suatu kondisi yang memiliki potensi untuk menimbulkan kerugian atau
keuntungan luar biasa.
 Pemecahan Masalah : Tindakan memberi respon terhadap masalah untuk mengatasi
akibat buruknya atau memanfaatkan peluang keuntungan.
Masalah tidak terstruktur = Manajer
Masalah Terstrktur = Komputer
Masalah Semi Terstruktur = Manajer & Komputer
 Pentingnya pemecahan masalah didasarkan pada konsekuensinya bukan jumlah
waktu.
 Keputusan : Pemilihan suatu strategi atau tindakan
 Pengambilan Keputusan : Tindakan memilih strategi/ aksi yang manajer yakini
akan memberikan solusi tebaik atas masalah.
KK
 Gejala : Kondisi yang dihasilkan oleh masalah.
 Gejala menyerupai puncak gunung Es = Manajer harus mencari penyebab
masalah dibalik gejala.
 Suatu masalah adalah penyebab dari sutu persoalan atau penyebab dari suatu
peluang
Struktur Masalah
1. Masalah Terstruktur : Terdiri dari elemen dan hubungan-hubungan antar elemen
yang dapat dipahami oleh pemecah masalah.
2. Masalah tak Terstruktur : Terdiri dari elemen atau hubungan-hubungan antar
elemen yang tidak dipahami oleh pemecah masalah.
3. Masalh Semi terstruktur : Masalh yang berisi sebagian elemen atau hubungan
antar elemen yang dimengerti oleh pemecah masalah.
Pendekatan Sistem
= Merupakan Serangkaian langkah-langkah pemecahan masalah yang memastikan
bahwa masalah dipahami, solusi alternative dipertimbangkan dan solusi yang dipilih
bekerja.
Tahap dan Langkah Pendekatan Sistem
1. Usaha Persiapan
Mempersiapkan manajer untuk memecahkan masalah = menyediakan orientasi
sistem. Langkah :
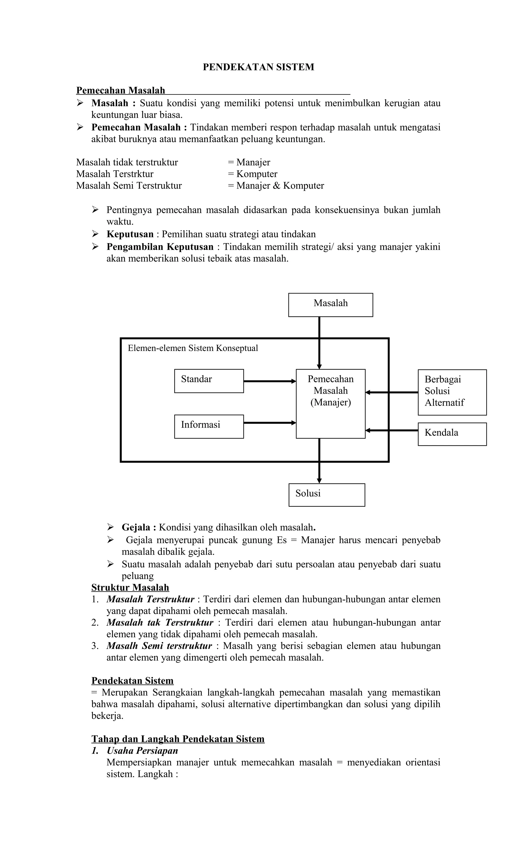
Masalah
Elemen-elemen Sistem Konseptual
Standar
Informasi
Pemecahan
Masalah
(Manajer)
Berbagai
Solusi
Alternatif
Kendala
Solusi
 Memandang perusahaan sebagai suatu sistem = menggunakan model
sistem umum perusahaan.
 Mengenali sistem lingkungan = menempatkan perusahaan sebagai suatu
sistem dalam lingkungannya.
 Mengidentifikasi subsistem perusahaan = subsistem sebagai bentuk area-
area fungsional, tingkat-tingkat manajemen sebagai subsitem, arus sumber
daya sebagai dasar membagi perusahaan menjadi subsistem.
2. Usaha Definisi
Identifikasi masalah : Suatu masalah ada atau akan ada.
Pemahaman masalah : mempelajari untuk mencari solusi
Pemicu masalah : sinyal umpan balik yang menunjukkan hal-hal lebih baik atau
buruk. Langkah :
 Bergerak dari tingkat sistem ke subsistem : Tiap tingkatan manajemen
adalah suatu subsistem.
Yang dilakukan oleh seorang manajer : mempelajari posisi sistem
dihubungkan dengan lingkungan, menganalisis sistem menurut subsistem-
subsistem.
 Menganalisis bagian sistem dalam urutan tertentu. Pada saat mempelajari
tiap tingkat system, elemen-elemen sistem dianalisis secara berurutan :
a. Mengevalusai standar : Standar harus sah, realistic, dimengerti,
terukur.
b. Membandingkan output sistem dengan standar
c. Mengevaluasi Manajemen
d. Mengevaluasi pemrosesan Informasi
e. Mengevaluasi input dan sumber daya input
f. Mengevaluasi proses tranformasi
g. Mengevaluasi sumber daya output
3. Usaha Solusi
 Mengidentifikasi solusi alternative
Manajer harus mengidentifikasi bermacam-macam cara untuk
memecahkan permasalahan yang sama. Contoh : computer tidak dapat
menangani volume aktifitas kegiatan perusahaan, alternatifnya :
menambah computer, mengganti computer, mengganti dengan jarinagan
computer.
 Mengevaluasi solusi alternative : mempertimbangkan kerugian dan
keuntungan dari setiap alternative
 Memilih solusi terbaik : mengambil satu alternative
 Menerapkan solusi terbaik
 Membuat tindak lanjut untuk memastikan bahwa solusi itu efektif :
Manajer harus memastikan solusi mencapai kinerja yang direncanakan.
Faktor Pribadi Yang mempengaruhi Pemecahan Masalah
Tiap manajer memiliki gaya pemecahan masalah yang unik, gaya ini dapat
mempengaruhi dalam :
1. Merasakan masalah
2. Mengumpulkan Informasi
3. Menggunakan Informasi
Pendekatan sistem dalam perspektif
Hal yang diperhatikan :
1. Pendekatan sistem sebenarnya hanyalah akal sehat
2. Pendekatan sistem hanyalah satu cara memecahkan suatu masalah
3. Pendekatan sistem adalah metodologi system dasar
Pendekatan sistem

Pendekatan sistem

  • 1.
    PENDEKATAN SISTEM Pemecahan Masalah Masalah : Suatu kondisi yang memiliki potensi untuk menimbulkan kerugian atau keuntungan luar biasa.  Pemecahan Masalah : Tindakan memberi respon terhadap masalah untuk mengatasi akibat buruknya atau memanfaatkan peluang keuntungan. Masalah tidak terstruktur = Manajer Masalah Terstrktur = Komputer Masalah Semi Terstruktur = Manajer & Komputer  Pentingnya pemecahan masalah didasarkan pada konsekuensinya bukan jumlah waktu.  Keputusan : Pemilihan suatu strategi atau tindakan  Pengambilan Keputusan : Tindakan memilih strategi/ aksi yang manajer yakini akan memberikan solusi tebaik atas masalah. KK  Gejala : Kondisi yang dihasilkan oleh masalah.  Gejala menyerupai puncak gunung Es = Manajer harus mencari penyebab masalah dibalik gejala.  Suatu masalah adalah penyebab dari sutu persoalan atau penyebab dari suatu peluang Struktur Masalah 1. Masalah Terstruktur : Terdiri dari elemen dan hubungan-hubungan antar elemen yang dapat dipahami oleh pemecah masalah. 2. Masalah tak Terstruktur : Terdiri dari elemen atau hubungan-hubungan antar elemen yang tidak dipahami oleh pemecah masalah. 3. Masalh Semi terstruktur : Masalh yang berisi sebagian elemen atau hubungan antar elemen yang dimengerti oleh pemecah masalah. Pendekatan Sistem = Merupakan Serangkaian langkah-langkah pemecahan masalah yang memastikan bahwa masalah dipahami, solusi alternative dipertimbangkan dan solusi yang dipilih bekerja. Tahap dan Langkah Pendekatan Sistem 1. Usaha Persiapan Mempersiapkan manajer untuk memecahkan masalah = menyediakan orientasi sistem. Langkah : Masalah Elemen-elemen Sistem Konseptual Standar Informasi Pemecahan Masalah (Manajer) Berbagai Solusi Alternatif Kendala Solusi
  • 2.
     Memandang perusahaansebagai suatu sistem = menggunakan model sistem umum perusahaan.  Mengenali sistem lingkungan = menempatkan perusahaan sebagai suatu sistem dalam lingkungannya.  Mengidentifikasi subsistem perusahaan = subsistem sebagai bentuk area- area fungsional, tingkat-tingkat manajemen sebagai subsitem, arus sumber daya sebagai dasar membagi perusahaan menjadi subsistem. 2. Usaha Definisi Identifikasi masalah : Suatu masalah ada atau akan ada. Pemahaman masalah : mempelajari untuk mencari solusi Pemicu masalah : sinyal umpan balik yang menunjukkan hal-hal lebih baik atau buruk. Langkah :  Bergerak dari tingkat sistem ke subsistem : Tiap tingkatan manajemen adalah suatu subsistem. Yang dilakukan oleh seorang manajer : mempelajari posisi sistem dihubungkan dengan lingkungan, menganalisis sistem menurut subsistem- subsistem.  Menganalisis bagian sistem dalam urutan tertentu. Pada saat mempelajari tiap tingkat system, elemen-elemen sistem dianalisis secara berurutan : a. Mengevalusai standar : Standar harus sah, realistic, dimengerti, terukur. b. Membandingkan output sistem dengan standar c. Mengevaluasi Manajemen d. Mengevaluasi pemrosesan Informasi e. Mengevaluasi input dan sumber daya input f. Mengevaluasi proses tranformasi g. Mengevaluasi sumber daya output 3. Usaha Solusi  Mengidentifikasi solusi alternative Manajer harus mengidentifikasi bermacam-macam cara untuk memecahkan permasalahan yang sama. Contoh : computer tidak dapat menangani volume aktifitas kegiatan perusahaan, alternatifnya : menambah computer, mengganti computer, mengganti dengan jarinagan computer.  Mengevaluasi solusi alternative : mempertimbangkan kerugian dan keuntungan dari setiap alternative  Memilih solusi terbaik : mengambil satu alternative  Menerapkan solusi terbaik  Membuat tindak lanjut untuk memastikan bahwa solusi itu efektif : Manajer harus memastikan solusi mencapai kinerja yang direncanakan. Faktor Pribadi Yang mempengaruhi Pemecahan Masalah Tiap manajer memiliki gaya pemecahan masalah yang unik, gaya ini dapat mempengaruhi dalam : 1. Merasakan masalah 2. Mengumpulkan Informasi 3. Menggunakan Informasi Pendekatan sistem dalam perspektif Hal yang diperhatikan : 1. Pendekatan sistem sebenarnya hanyalah akal sehat 2. Pendekatan sistem hanyalah satu cara memecahkan suatu masalah 3. Pendekatan sistem adalah metodologi system dasar