Multiphase star rectifier
• For larger (>15kW) output power.
• Harmonics and fundamental component.
• Filter size decreases with the increase of
harmonics.
• Q phase filter has fundamental component
of qf frequency.
• Also known as star rectifier.
• May be considered as q
single-phase half-wave
rectifier.
• K-th diode conducts during the
period when the voltage of k-th
phase is greater than that of
other phases.
• The conduction period of each
diode is 2π/q.
• Primary must be delta
connected to compensate the
dc component flowing through
secondary windings.
(1)
.....
sin
sin
)
(
cos
/
2
2
/
0
/
0
q
q
V
t
q
V
t
d
t
V
q
V m
q
m
q
m
dc











 
(2)
.....
2
sin
2
1
2
4
2
sin
2
)
(
cos
/
2
2
2
/
1
/
0
2
/
1
/
0
2






































  q
q
q
V
t
t
q
V
t
d
t
V
q
V m
q
m
q
m
rms











Assuming a cosine wave from π/q to 2π/q, the average o/p voltage is.
Output rms voltage is,
If the load is purely resistive then peak current through the diode is
Im = Vm/R and the rms current through a diode is,
2
/
1
/
0
2
2
)
(
cos
2
2






 
q
m
s t
d
t
I
I




(Integrating over the whole period, 2π)
R
V
q
q
R
V
q
q
I
I s
m
m
s 
































2
/
1
2
/
1
2
sin
2
1
2
1
2
sin
2
1
2
1 





Vs is the rms voltage of a transformer secondary
Three phase bridge rectifiers
• Full-wave rectifier.
• Gives six-pulse ripples on
the o/p voltage.
• Conduction sequence of
diodes are,
12,23,34,45,56,61.
• The pair of diodes which
are connected between
that pair of supply lines
having the highest line-to-
line instantaneous
voltage will conduct.
• Line to line voltage,
p
ij V
V 3

• Average o/p voltage,


6
/
0
)
(
cos
3
6
/
2
2 



t
d
t
V
V m
dc
m
m V
V 654
.
1
3
3



(Vm is the peak phase voltage)
Rms o/p voltage, 2
/
1
6
/
0
2
/
1
6
/
0
2
2
4
2
sin
2
3
.
6
)
(
cos
3
6
/
2
2






















 

 





t
t
V
t
d
t
V
V m
m
rms
m
m
m
m V
V
V
V 6554
.
1
4
3
9
2
3
2
3
.
4
18
12
18
6
2
sin
4
1
2
6
/
18
2
/
1
2
/
1






































For purely resistive load, peak diode current, R
V
I m
m /
3

Rms diode current,
2
/
1
6
/
0
2
/
1
6
/
0
2
2
2
sin
4
1
2
2
)
(
cos
2
2
.
2






















 








t
t
t
d
t
I
I m
r
m
m I
I 5518
.
0
6
2
sin
2
1
6
1
2
/
1


















Rms value of transformer secondary current,
2
/
1
2
/
1
6
/
0
2
2
6
2
sin
4
1
6
.
2
4
)
(
cos
2
4
.
2 



















 







m
m
s I
t
d
t
I
I
m
m I
I 7804
.
0
6
2
sin
2
1
6
2
2
/
1


















Where Im is the peak secondary line current = peak diode current,
R
V
I m
m /
3

3-phase bridge rectifier with RL
load
t
V
E
Ri
dt
di
L ab
L 
sin
2



3
2
3
for
sin
2



 

 t
t
V
v ab
ab
81)
-
(3
...
)
sin(
2 )
(
1
R
E
e
A
t
Z
V
i
t
L
R
ab
L 






Where load impedance   2
1
2
2
)
( L
R
Z 


and load impedance angle .
tan 





 
R
L


The constant A1 can be found from the initial condition: at .
,
3 1
I
i
t L 
 

  
  
  












3
1
1
3
1
1
3
1
1
3
sin
2
3
sin
2
3
sin
2
L
R
ab
L
R
ab
L
R
ab
e
Z
V
R
E
I
A
e
A
Z
V
R
E
I
R
E
e
A
Z
V
I






































      
 
 
82)
-
(3
.
.
.
3
sin
2
sin
2
3
sin
2
sin
2
3
1
3
1
R
E
e
Z
V
R
E
I
t
Z
V
i
R
E
e
e
Z
V
R
E
I
t
Z
V
i
t
L
R
ab
ab
L
L
R
t
L
R
ab
ab
L


























































.
)
3
/
(
)
3
/
2
( 1
I
t
i
t
i L
L 


 



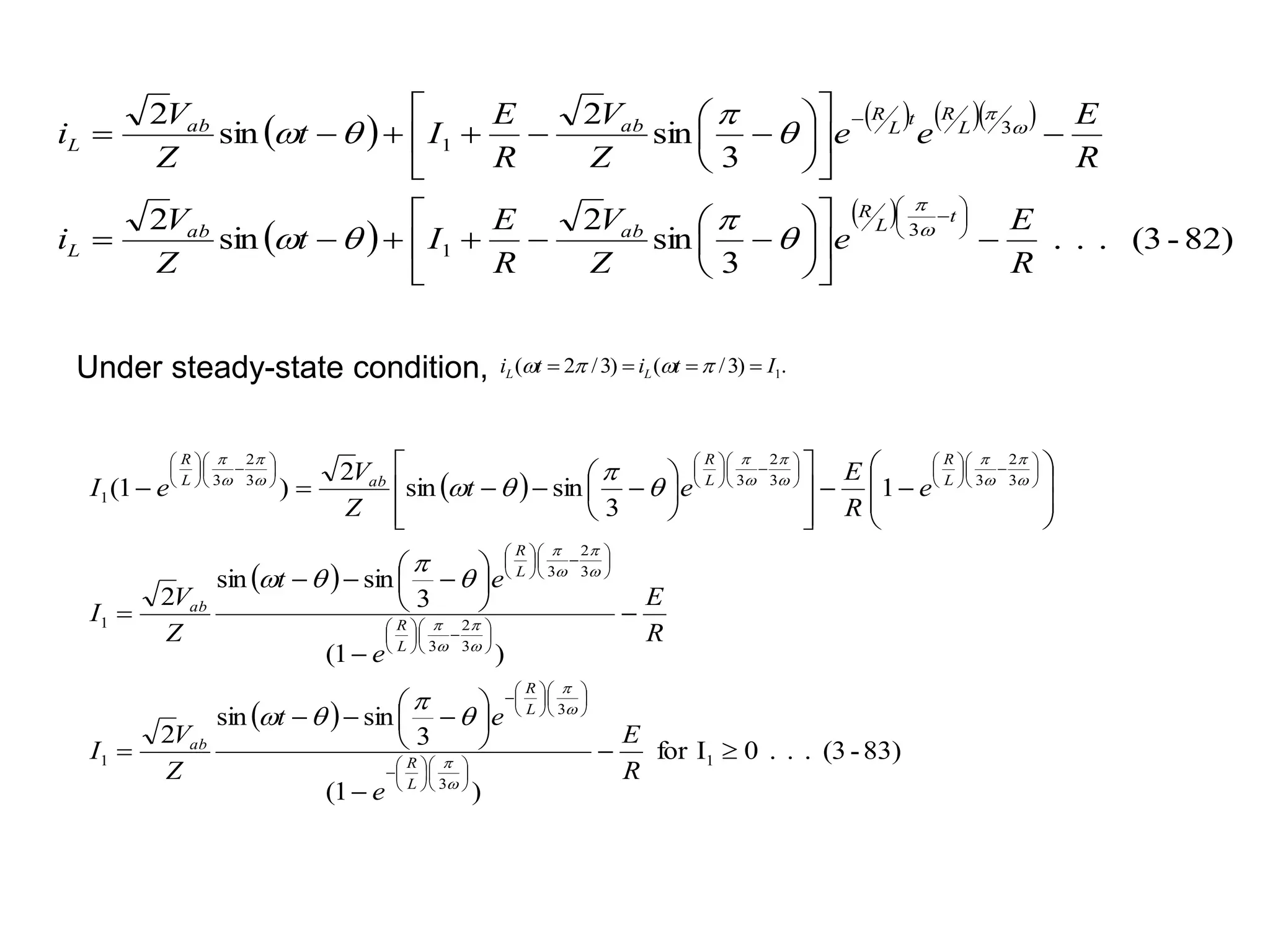
Under steady-state condition,
 
 
 
83)
-
(3
.
.
.
0
I
for
)
1
(
3
sin
sin
2
)
1
(
3
sin
sin
2
1
3
sin
sin
2
)
1
(
1
3
3
1
3
2
3
3
2
3
1
3
2
3
3
2
3
3
2
3
1

















































































































































R
E
e
e
t
Z
V
I
R
E
e
e
t
Z
V
I
e
R
E
e
t
Z
V
e
I
L
R
L
R
ab
L
R
L
R
ab
L
R
L
R
ab
L
R




































Which after substituting in eq (3-82) and then simplifying, gives
 
 
84)
-
(3
...
0
and
3
/
2
/3
for
)
1
(
3
sin
3
2
sin
sin
2 3
3























































L
L
R
L
R
ab
L
i
t
R
E
e
e
t
Z
V
i








 



Rms diode current can be found from above equation as,
2
/
1
3
2
3
/
2
)
(
2
2






 




t
d
i
I L
r
Rms o/p current is the combination of rms current of each diode.
r
rms I
I 3

Effects of source and load
inductance
.
angle
n
commutatio
called
is
which
time
some
for
conducts
diodes
both
and
equal
are
D3
and
D1
of
voltage
anode
is
Result
.
is
to
due
voltage
o/p
time
same
At the
.
becomes
o/p
and
of
L1
across
voltage
induced
and
resulting
decreases,
current
The
.
D
through
flows
still
and
equal
are
and
at
2
1
1
1
1


L
bc
L
bc
L
ac
L
L
d
dc
bc
ac
v
v
v
v
v
v
v
v
i
I
v
v






pe1.ppt

  • 1.
    Multiphase star rectifier •For larger (>15kW) output power. • Harmonics and fundamental component. • Filter size decreases with the increase of harmonics. • Q phase filter has fundamental component of qf frequency. • Also known as star rectifier.
  • 2.
    • May beconsidered as q single-phase half-wave rectifier. • K-th diode conducts during the period when the voltage of k-th phase is greater than that of other phases. • The conduction period of each diode is 2π/q. • Primary must be delta connected to compensate the dc component flowing through secondary windings.
  • 3.
    (1) ..... sin sin ) ( cos / 2 2 / 0 / 0 q q V t q V t d t V q V m q m q m dc              (2) ..... 2 sin 2 1 2 4 2 sin 2 ) ( cos / 2 2 2 / 1 / 0 2 / 1 / 0 2                                        q q q V t t q V t d t V q V m q m q m rms            Assuming a cosine wave from π/q to 2π/q, the average o/p voltage is. Output rms voltage is, If the load is purely resistive then peak current through the diode is Im = Vm/R and the rms current through a diode is, 2 / 1 / 0 2 2 ) ( cos 2 2         q m s t d t I I     (Integrating over the whole period, 2π) R V q q R V q q I I s m m s                                  2 / 1 2 / 1 2 sin 2 1 2 1 2 sin 2 1 2 1       Vs is the rms voltage of a transformer secondary
  • 4.
    Three phase bridgerectifiers • Full-wave rectifier. • Gives six-pulse ripples on the o/p voltage. • Conduction sequence of diodes are, 12,23,34,45,56,61. • The pair of diodes which are connected between that pair of supply lines having the highest line-to- line instantaneous voltage will conduct. • Line to line voltage, p ij V V 3 
  • 5.
    • Average o/pvoltage,   6 / 0 ) ( cos 3 6 / 2 2     t d t V V m dc m m V V 654 . 1 3 3    (Vm is the peak phase voltage) Rms o/p voltage, 2 / 1 6 / 0 2 / 1 6 / 0 2 2 4 2 sin 2 3 . 6 ) ( cos 3 6 / 2 2                                 t t V t d t V V m m rms m m m m V V V V 6554 . 1 4 3 9 2 3 2 3 . 4 18 12 18 6 2 sin 4 1 2 6 / 18 2 / 1 2 / 1                                       For purely resistive load, peak diode current, R V I m m / 3  Rms diode current, 2 / 1 6 / 0 2 / 1 6 / 0 2 2 2 sin 4 1 2 2 ) ( cos 2 2 . 2                                 t t t d t I I m r m m I I 5518 . 0 6 2 sin 2 1 6 1 2 / 1                  
  • 6.
    Rms value oftransformer secondary current, 2 / 1 2 / 1 6 / 0 2 2 6 2 sin 4 1 6 . 2 4 ) ( cos 2 4 . 2                              m m s I t d t I I m m I I 7804 . 0 6 2 sin 2 1 6 2 2 / 1                   Where Im is the peak secondary line current = peak diode current, R V I m m / 3 
  • 7.
    3-phase bridge rectifierwith RL load t V E Ri dt di L ab L  sin 2    3 2 3 for sin 2        t t V v ab ab 81) - (3 ... ) sin( 2 ) ( 1 R E e A t Z V i t L R ab L        Where load impedance   2 1 2 2 ) ( L R Z    and load impedance angle . tan         R L   The constant A1 can be found from the initial condition: at . , 3 1 I i t L                          3 1 1 3 1 1 3 1 1 3 sin 2 3 sin 2 3 sin 2 L R ab L R ab L R ab e Z V R E I A e A Z V R E I R E e A Z V I                                      
  • 8.
              82) - (3 . . . 3 sin 2 sin 2 3 sin 2 sin 2 3 1 3 1 R E e Z V R E I t Z V i R E e e Z V R E I t Z V i t L R ab ab L L R t L R ab ab L                                                           . ) 3 / ( ) 3 / 2 ( 1 I t i t i L L         Under steady-state condition,       83) - (3 . . . 0 I for ) 1 ( 3 sin sin 2 ) 1 ( 3 sin sin 2 1 3 sin sin 2 ) 1 ( 1 3 3 1 3 2 3 3 2 3 1 3 2 3 3 2 3 3 2 3 1                                                                                                                                                  R E e e t Z V I R E e e t Z V I e R E e t Z V e I L R L R ab L R L R ab L R L R ab L R                                    
  • 9.
    Which after substitutingin eq (3-82) and then simplifying, gives     84) - (3 ... 0 and 3 / 2 /3 for ) 1 ( 3 sin 3 2 sin sin 2 3 3                                                        L L R L R ab L i t R E e e t Z V i              Rms diode current can be found from above equation as, 2 / 1 3 2 3 / 2 ) ( 2 2             t d i I L r Rms o/p current is the combination of rms current of each diode. r rms I I 3 
  • 10.
    Effects of sourceand load inductance . angle n commutatio called is which time some for conducts diodes both and equal are D3 and D1 of voltage anode is Result . is to due voltage o/p time same At the . becomes o/p and of L1 across voltage induced and resulting decreases, current The . D through flows still and equal are and at 2 1 1 1 1   L bc L bc L ac L L d dc bc ac v v v v v v v v i I v v     