Lesson 2­3.notebook                                                      October 04, 2012



             Assignment:

             1­­>L2.3, pg. 93­95, #3 ­ 45 (thirds) ­ Due Monday (10/8)
             2­­>Chapter 1 test signed for extra credit??




                                                                                            1
Lesson 2­3.notebook                                                         October 04, 2012


           Lesson 2.3 WarmUp:
           Solve each equation.  Show all work for full credit.
           1) 18  ­  (­x)  =  81

           2) 447  +  x  =  ­261

           3) 6  =  ­1/2n

           Write an equation for each sentence.  Then solve the equation.
           4) six times a number is 132

           5) four fifths is equal to ten sixteenths of a number




                                                                                               2
Lesson 2­3.notebook                                                           October 04, 2012


           Lesson 2.3:

           FYI­­>Some equations require more than one step to solve them...
             these are called multi­step equations!

           *To solve multi­step equations...
             ....undo the operations by working backwards!!




                                                                                                 3
Lesson 2­3.notebook                                                            October 04, 2012


            *consecutive integers ­ integers in counting order 
            [4, 5, 6... ...n, n + 1, n + 2]

            *consecutive even integers ­ integers in counting order that go 
            by "twos" and start with an even number
            [4, 6, 8......n, n + 2, n + 4]

            *consecutive odd integers ­ integers in counting order that go 
            by "twos" and start with an odd number
            [7, 9, 11... ...n, n  +  2, n  +  4]




                                                                                                  4
Lesson 2­3.notebook                                       October 04, 2012


             Lesson 2.3 examples:
             Solve each equation.  Check your answer.
             A) 2x  ­  6  =  4                   check:




             B) n  +  1                         check:
                    ­2
                              =14




                                                                             5
Lesson 2­3.notebook                                October 04, 2012


             C) 12  =  ­7x  ­  9          check:




             D) ­1/5  ­  4/9x  =  2/15    check:
                   




                                                                      6
Lesson 2­3.notebook                             October 04, 2012



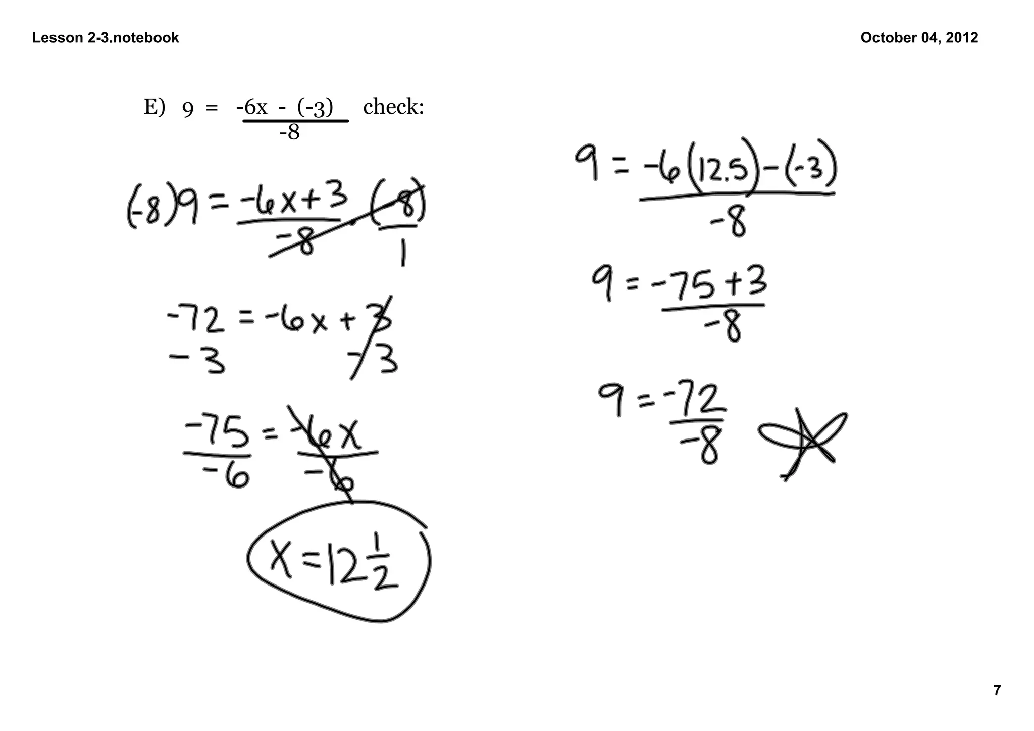
              E) 9  =   ­6x  ­  (­3)   check:
                                       ­8
                       




                                                                   7
Lesson 2­3.notebook                                                October 04, 2012

            F) Find 3 consecutive integers with a sum of ­36.




            G) Find 3 consecutive odd integers with a sum of ­51




                                                                                      8

8th alg -l2.3--oct4

  • 1.
    Lesson 2­3.notebook October 04, 2012 Assignment: 1­­>L2.3, pg. 93­95, #3 ­ 45 (thirds) ­ Due Monday (10/8) 2­­>Chapter 1 test signed for extra credit?? 1
  • 2.
    Lesson 2­3.notebook October 04, 2012 Lesson 2.3 WarmUp: Solve each equation.  Show all work for full credit. 1) 18  ­  (­x)  =  81 2) 447  +  x  =  ­261 3) 6  =  ­1/2n Write an equation for each sentence.  Then solve the equation. 4) six times a number is 132 5) four fifths is equal to ten sixteenths of a number 2
  • 3.
    Lesson 2­3.notebook October 04, 2012 Lesson 2.3: FYI­­>Some equations require more than one step to solve them... these are called multi­step equations! *To solve multi­step equations... ....undo the operations by working backwards!! 3
  • 4.
    Lesson 2­3.notebook October 04, 2012 *consecutive integers ­ integers in counting order  [4, 5, 6... ...n, n + 1, n + 2] *consecutive even integers ­ integers in counting order that go  by "twos" and start with an even number [4, 6, 8......n, n + 2, n + 4] *consecutive odd integers ­ integers in counting order that go  by "twos" and start with an odd number [7, 9, 11... ...n, n  +  2, n  +  4] 4
  • 5.
    Lesson 2­3.notebook October 04, 2012 Lesson 2.3 examples: Solve each equation.  Check your answer. A) 2x  ­  6  =  4 check: B) n  +  1         check:     ­2 =14 5
  • 6.
    Lesson 2­3.notebook October 04, 2012 C) 12  =  ­7x  ­  9 check: D) ­1/5  ­  4/9x  =  2/15  check:      6
  • 7.
    Lesson 2­3.notebook October 04, 2012 E) 9  =   ­6x  ­  (­3)   check:                          ­8      7
  • 8.
    Lesson 2­3.notebook October 04, 2012 F) Find 3 consecutive integers with a sum of ­36. G) Find 3 consecutive odd integers with a sum of ­51 8