Embed presentation
Download as PDF, PPTX














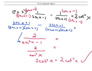
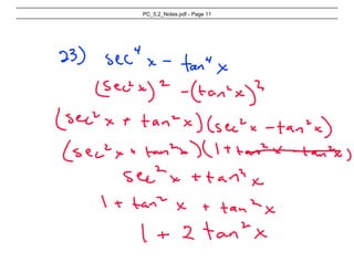
This document contains notes from PC_5.2_Notes.pdf spanning 13 pages. The notes cover a range of topics as they relate to Performance Cycle 5.2 but no other contextual information is provided about the specific content or meaning of the notes themselves.












