o s
od i  sris is  	
. As lwsos of  
o r is 
opid fro 
lp.sp.(likisr).	oisdofrwriigw’slrdwri,Iwould‘r’oprsii 
ss(b).Likoblogisp://wp./p1Ci5j-B 
http://help.sap.com/erp2005_ehp_07/helpdata/en/37/3a2429fcf611d4b2e90050dadf08a4/content.ht 
m?frameset=/en/eb/263b483b4f11d3a5f100a0c9303371/frameset.htmcurrent_toc=/en/c4/02693582 
f4db60e10000009b38f889/plain.htmnode_id=105show_children=false 
A little summarization on Payment Schemes. 
1. The payment scheme is a statistical budget billing procedure i.e. The amount to be paid is 
based on the consumption billing amounts of past and current billing periods which is 
prorated across the next billing period. 
2. Payment scheme allows payments in intervals/frequency like Weekly, Monthly, Quarterly 
etc. Here the screenshot shows the Frequency as ‘Monthly’. 
3. Payment Scheme period is not limited. When a periodic bill is created, the system does not 
end the payment scheme but adjusts it. Therefore, if a periodic bill is late, we can at least 
charge the customer for the previous budget billing amount. 
4. In addition to consumption billing, we can include/exclude all other credit and receivables 
items from the same contract in the payment scheme. 
5. Payment Scheme cannot be used along with Collective Bills. 
6. Payment Scheme has to be created manually either during the move-in process or via 
the transaction EA61PS. BOR Object is PAYSCHEME. 
7. In Contract Account the Budget Billing Procedure is defined as 4 – Payment Scheme. 
8. As with Payment Plan, Payment Schemes can be assigned to one sub transaction. 
9. Payment Scheme cannot be used in conjunction with Tax Jurisdiction Code as it doesn’t 
work with multi-level tax determination. 
10. The value of a payment scheme item can never be lower than zero. 
sapisurdg.wordpress.com http://wp.me/p1Ci5j-eB
11. We cannot create a payment scheme with a start date that lies in the past. 
12. When a payment scheme is created, a sample line (in table EABPL) is created for each 
contract in addition to the header data (in table EABP). This line contains all data relevant to the 
payment scheme such as amount, payment frequency, first payment date, and so on. This 
request data is also determined from the payment scheme sample lines. They represent the 
most important connection between the SAP Utilities data and the contract accounts receivable 
and payable data in this procedure. 
13. The system determines the extrapolation period in event Define Extrapolation Period for 
the Payment Scheme (R510). In the standard logic provided by SAP, the system sets the start 
date of the extrapolation period to the start date of the current periodic billing period. If the 
move-in date is within the current billing period, the system chooses this date. The end date is 
the same as the end date of the current billing period. The system uses this data to carry out 
extrapolation for the contract. 
14. The system first determines the payment scheme amount for each due date item. The 
extrapolation amount determined in event R511 and the amount from the open items that was 
transferred to the payment scheme are added together. This sum is divided by the number of 
payment scheme requests remaining in the billing period. The number of payment 
scheme requests depends on the start date of the payment scheme, the payment 
frequency, and the end of date of the billing period. 
15. The Payment scheme would be having one of the below status at any point of time in the 
system. 
Payment 
Scheme 
Status 
00 – Active The payment scheme is active. 
01 – Inactive You set the payment scheme to inactive when it was created 
and you have not yet activated it. The system does not 
generate any statistical requests when the payment scheme 
has this status. 
02 – Cancelled You ended the payment scheme without automatic account 
maintenance and did not create an interim or periodic bill 
with an end date within the billing period. 
12 – Inactive 
and Cancelled 
You created and ended the payment scheme with the status 
inactive. 
sapisurdg.wordpress.com http://wp.me/p1Ci5j-eB
03 – Deactivated You ended the payment scheme without automatic account 
maintenance and did not create an interim or periodic bill 
with an end date within the billing period. 
13 – Inactive 
and Deactivated 
You created and ended the payment scheme with the status 
inactive. 
16. Deactivation reason for Payment Scheme can be due to the below reasons. 
Deactivation Status Reason for deactivating a sample line: 
“ “ – Deactivation Due to Manual Change (Only valid for inactive lines) 
1 – Deactivation Due to Move-Out 
2 – Deactivation Due to Reversal of Move-Out 
3 – Deactivation Due to Basic Data Changes 
4 – Deactivation Due to Amount Change 
5 – Deactivation Due to Termination of Payment Scheme 
Payment Scheme adjustment can happen cause of Periodic Billing and Interim Billing. 
Here I am talking about Periodic Billing. For more details on this do look at the link. 
So adjusting a Payment Scheme during Creation of a Periodic Bill 
17. During creation of the Periodic Billing document, the system carries out an extrapolation for 
the subsequent periodic billing period. This can result in an adjustment to the payment 
scheme amount. 
18. As part of this adjustment, one can add the receivables and the credit items from the current 
consumption billing, as well as other open items that are part of the current consumption 
billing, to the payment scheme. 
19. With a periodic bill, any unpaid payment scheme requests that have a due date within the 
billing period become invalid. If these requests have already been included in a dunning run, 
the information is no longer available once the periodic bill has been created. If we execute 
sapisurdg.wordpress.com http://wp.me/p1Ci5j-eB
the periodic invoicing before the scheduled date, all existing future payment scheme requests 
that are due up until the planned periodic invoicing date are reversed without a follow-on 
posting. 
20. If the customer has already paid budget billing requests with due dates after the end of the 
billing period, these payments are taken into account when the extrapolation portion of the 
payment scheme amount is adjusted. This means that the newly determined extrapolation 
amount is reduced by the value of the requests that have already been paid. The remaining 
amount is divided amongst the remaining payment scheme due dates. 
21. The system marks open items for transfer to the payment scheme and transfers them to 
event Transfer of Open Items during Invoicing (R415). We can also use this event to exclude 
certain items from being transferred. 
How the Extrapolation works 
A periodic bill is created for a customer on January 1. The payment scheme to be adjusted has a 
monthly payment frequency and with the payment date on the 25th of each month. 
Say the extrapolation for the period January 1 to December 31 results in a gross amount of EUR 
1200. 
The following items are transferred to the payment scheme: 
 Additional payment of current periodic bill: EUR 120 
 Account maintenance: EUR 40 
 Request with Invoicing: EUR 80 
The full amount transferred to the payment scheme is EUR 240. 
Number of open payment scheme requests until the end of the new periodic bill: 12 (from the 
extrapolation period of 12 months) 
After the payment scheme has been adjusted, the new amount is (1200 + 240) / 12 = EUR 120 
From EUR 120, this consists of an extrapolation amount of EUR 100 and open items transferred to 
the payment scheme to the value of EUR 20. 
sapisurdg.wordpress.com http://wp.me/p1Ci5j-eB
22. Once a payment scheme has been adjusted, the system carries out an amount and 
percentage limit check of the changed payment scheme sample lines before the changes are 
written to the database. This setting is done in customizing (Table is TE558) 
23. The checks take place at contract level regardless of whether the contract is optional or 
mandatory. The system carries out the check in event Check Amount/Percentage Limits for 
Automatic Payment Scheme Adjustment (R514), for which SAP provides a standard logic. 
24. For terminating a Payment Scheme, enter the End date and the Deactivation reason. Once 
the end date has been given, the system checks whether payment scheme requests that have 
already been paid exist after the end date. If this is the case, the end date is set to the next due 
date plus one day. Depending on the sequence of the end date and the first payment date of the 
payment scheme, the system proceeds as follows: 
 If the end date is before the first payment date of the payment scheme, the payment scheme is 
deleted from the database. If statistical requests for this payment scheme are already created, they 
are cleared. 
 If the end date is after the first payment date of the payment scheme, the system executes the 
following actions: 
• The payment scheme sample line that is active on the end date is prorated so that its 
end date is the same as the end date of the payment scheme. A new sample line is 
created for the part of the sample line that comes after the end date. 
• All payment scheme sample lines with a start date that comes after the end date are 
deactivated. 
• The end date and, if necessary, the deactivation reason are entered in the payment 
scheme header data. 
• All statistical requests with due dates that lie after the end date are cleared. 
25. In order to ensure that a payment scheme can no longer be changed, one must deactivate it 
once it has ended. 
26. Requests with due dates that come after the most recent interim or periodic bill and that have 
already been paid are settled against the current consumption billing when the bill is created. 
27. If the interim/periodic bill is reversed, the entire process is cancelled. This means that the 
clearing of the paid requests against the transferred items and the current consumption billing 
is also reversed. 
28. We cannot delete a payment scheme from the system, it can be archived though. 
29. Migration Object for Payment Scheme is BBP_PAYSC 
30. An important customizing has to be maintained for SAP Utilities under Invoicing → Basic 
Settings → Define Basic Settings for Invoicing, choose Tax Determination in Billing for the time 
of tax determination. 
The following events are available for the budget billing procedure Payment Scheme. 
sapisurdg.wordpress.com http://wp.me/p1Ci5j-eB
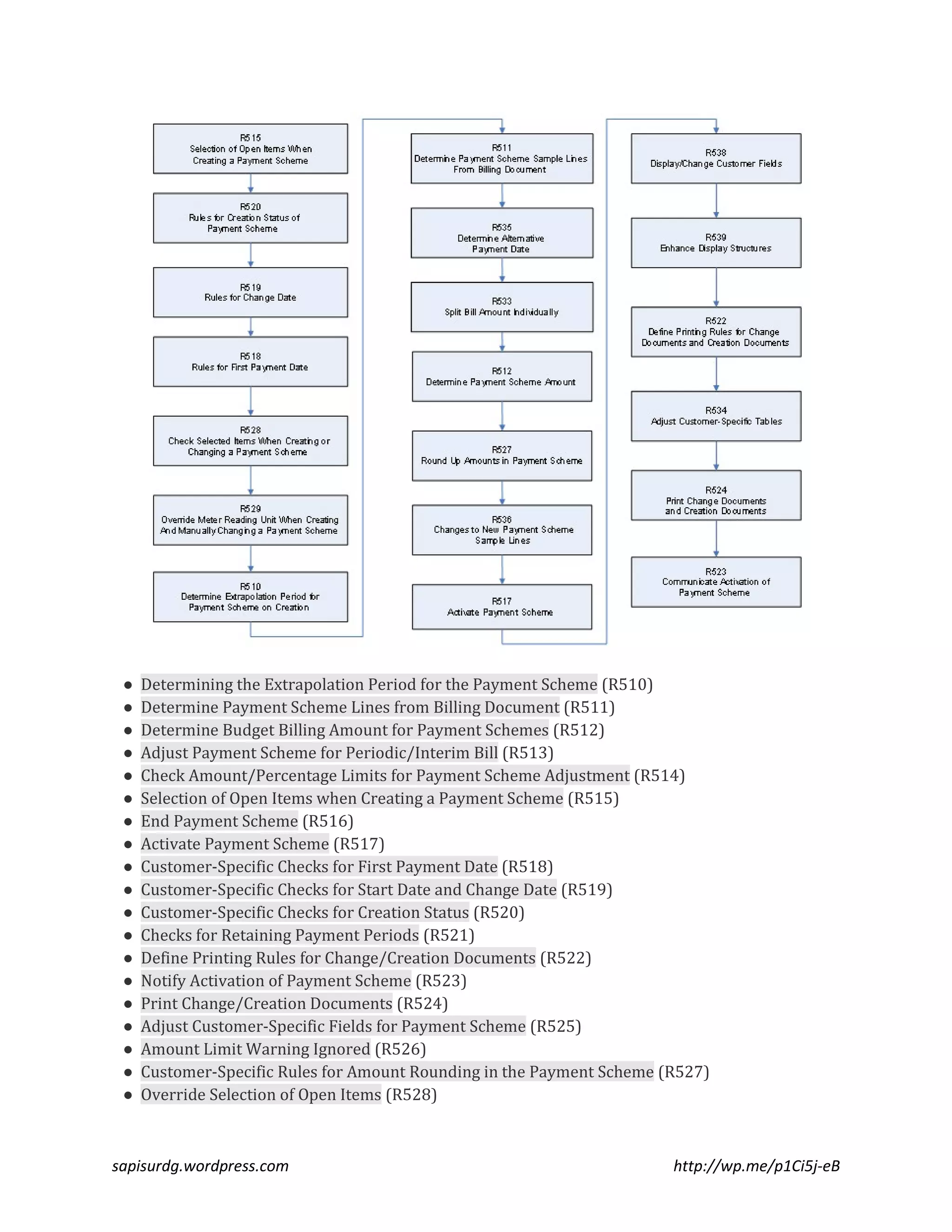
Determining the Extrapolation Period for the Payment Scheme (R510) 
 Determine Payment Scheme Lines from Billing Document (R511) 
 Determine Budget Billing Amount for Payment Schemes (R512) 
 Adjust Payment Scheme for Periodic/Interim Bill (R513) 
 Check Amount/Percentage Limits for Payment Scheme Adjustment (R514) 
 Selection of Open Items when Creating a Payment Scheme (R515) 
 End Payment Scheme (R516) 
 Activate Payment Scheme (R517) 
 Customer-Specific Checks for First Payment Date (R518) 
 Customer-Specific Checks for Start Date and Change Date (R519) 
 Customer-Specific Checks for Creation Status (R520) 
 Checks for Retaining Payment Periods (R521) 
 Define Printing Rules for Change/Creation Documents (R522) 
 Notify Activation of Payment Scheme (R523) 
 Print Change/Creation Documents (R524) 
 Adjust Customer-Specific Fields for Payment Scheme (R525) 
 Amount Limit Warning Ignored (R526) 
 Customer-Specific Rules for Amount Rounding in the Payment Scheme (R527) 
 Override Selection of Open Items (R528) 
sapisurdg.wordpress.com http://wp.me/p1Ci5j-eB
Change Meter Reading Unit During Creation/Change of Payment Scheme (R529) 
 Execute Amount Checks (R530) 
 Automatic Account Maintenance when Payment Scheme is Ended (R531) 
 Determine Deactivation Reason for Payment Scheme (R532) 
 Divide Bill End Amount (R533) 
 Adjust Customer-Specific Tables (R534) 
 Determine Minimum Number of Days Between Creation Date and Due Date (R535). 
 Adjust New Lines (R536) 
 Suppress Interval Adjustment During Generation of New Lines (R537) 
 Display and Change Customer-Specific Fields(R538) 
 Enhancing Display Structures (R539) 
 Determine Billing Transaction and Document Types of Included Items (R540) 
 Select Contract Accounting Items for Payment Scheme (R415) 
 Incl. Items w. Different Tax Codes (R543) 
 Determination of Tax Code for Requests (R544) 
 Reactivation of Payment Scheme on Move-Out Reversal (R572) 
Below are some screenshots of how the Payment Scheme works in the system. For now this 
Contract doesn’t have any previous billing history maintained in the system. So on the date of 
move-in the Payment Scheme has been activated. For the current Billing Period extrapolaton is 
done and an Estimated amount of EUR 1 is written down as shown. 
sapisurdg.wordpress.com http://wp.me/p1Ci5j-eB
The Estimated Billing Document as a result of extrapolation during the creation of Payment Scheme 
is shown below. 
Below are the screenshots of the Billing line items which show the actual consumption amount for 
the current period and the prorated consumption amount for the next billing period which has the 
Budget Billing Item checked. 
The same is reflected in the Payment Scheme as shown below. 
sapisurdg.wordpress.com http://wp.me/p1Ci5j-eB
Payment Scheme would require the End Date and the Deactivation reason as shown below. 
sapisurdg.wordpress.com http://wp.me/p1Ci5j-eB
For now this Contract has previous billing history maintained in the system. So when the Payment 
Scheme is activated it asks for importing the open items from the contracts. 
sapisurdg.wordpress.com http://wp.me/p1Ci5j-eB
sapisurdg.wordpress.com http://wp.me/p1Ci5j-eB
There are many scenarios which I have not talked about as they would require more time, ( but 
anyways probably later some day) , these can be found out in the SAP link where they are described 
in detail. 
sapisurdg.wordpress.com http://wp.me/p1Ci5j-eB

Budget Billing : Payment Scheme

  • 1.
    o s od i sris is . As lwsos of o r is opid fro lp.sp.(likisr). oisdofrwriigw’slrdwri,Iwould‘r’oprsii ss(b).Likoblogisp://wp./p1Ci5j-B http://help.sap.com/erp2005_ehp_07/helpdata/en/37/3a2429fcf611d4b2e90050dadf08a4/content.ht m?frameset=/en/eb/263b483b4f11d3a5f100a0c9303371/frameset.htmcurrent_toc=/en/c4/02693582 f4db60e10000009b38f889/plain.htmnode_id=105show_children=false A little summarization on Payment Schemes. 1. The payment scheme is a statistical budget billing procedure i.e. The amount to be paid is based on the consumption billing amounts of past and current billing periods which is prorated across the next billing period. 2. Payment scheme allows payments in intervals/frequency like Weekly, Monthly, Quarterly etc. Here the screenshot shows the Frequency as ‘Monthly’. 3. Payment Scheme period is not limited. When a periodic bill is created, the system does not end the payment scheme but adjusts it. Therefore, if a periodic bill is late, we can at least charge the customer for the previous budget billing amount. 4. In addition to consumption billing, we can include/exclude all other credit and receivables items from the same contract in the payment scheme. 5. Payment Scheme cannot be used along with Collective Bills. 6. Payment Scheme has to be created manually either during the move-in process or via the transaction EA61PS. BOR Object is PAYSCHEME. 7. In Contract Account the Budget Billing Procedure is defined as 4 – Payment Scheme. 8. As with Payment Plan, Payment Schemes can be assigned to one sub transaction. 9. Payment Scheme cannot be used in conjunction with Tax Jurisdiction Code as it doesn’t work with multi-level tax determination. 10. The value of a payment scheme item can never be lower than zero. sapisurdg.wordpress.com http://wp.me/p1Ci5j-eB
  • 2.
    11. We cannotcreate a payment scheme with a start date that lies in the past. 12. When a payment scheme is created, a sample line (in table EABPL) is created for each contract in addition to the header data (in table EABP). This line contains all data relevant to the payment scheme such as amount, payment frequency, first payment date, and so on. This request data is also determined from the payment scheme sample lines. They represent the most important connection between the SAP Utilities data and the contract accounts receivable and payable data in this procedure. 13. The system determines the extrapolation period in event Define Extrapolation Period for the Payment Scheme (R510). In the standard logic provided by SAP, the system sets the start date of the extrapolation period to the start date of the current periodic billing period. If the move-in date is within the current billing period, the system chooses this date. The end date is the same as the end date of the current billing period. The system uses this data to carry out extrapolation for the contract. 14. The system first determines the payment scheme amount for each due date item. The extrapolation amount determined in event R511 and the amount from the open items that was transferred to the payment scheme are added together. This sum is divided by the number of payment scheme requests remaining in the billing period. The number of payment scheme requests depends on the start date of the payment scheme, the payment frequency, and the end of date of the billing period. 15. The Payment scheme would be having one of the below status at any point of time in the system. Payment Scheme Status 00 – Active The payment scheme is active. 01 – Inactive You set the payment scheme to inactive when it was created and you have not yet activated it. The system does not generate any statistical requests when the payment scheme has this status. 02 – Cancelled You ended the payment scheme without automatic account maintenance and did not create an interim or periodic bill with an end date within the billing period. 12 – Inactive and Cancelled You created and ended the payment scheme with the status inactive. sapisurdg.wordpress.com http://wp.me/p1Ci5j-eB
  • 3.
    03 – DeactivatedYou ended the payment scheme without automatic account maintenance and did not create an interim or periodic bill with an end date within the billing period. 13 – Inactive and Deactivated You created and ended the payment scheme with the status inactive. 16. Deactivation reason for Payment Scheme can be due to the below reasons. Deactivation Status Reason for deactivating a sample line: “ “ – Deactivation Due to Manual Change (Only valid for inactive lines) 1 – Deactivation Due to Move-Out 2 – Deactivation Due to Reversal of Move-Out 3 – Deactivation Due to Basic Data Changes 4 – Deactivation Due to Amount Change 5 – Deactivation Due to Termination of Payment Scheme Payment Scheme adjustment can happen cause of Periodic Billing and Interim Billing. Here I am talking about Periodic Billing. For more details on this do look at the link. So adjusting a Payment Scheme during Creation of a Periodic Bill 17. During creation of the Periodic Billing document, the system carries out an extrapolation for the subsequent periodic billing period. This can result in an adjustment to the payment scheme amount. 18. As part of this adjustment, one can add the receivables and the credit items from the current consumption billing, as well as other open items that are part of the current consumption billing, to the payment scheme. 19. With a periodic bill, any unpaid payment scheme requests that have a due date within the billing period become invalid. If these requests have already been included in a dunning run, the information is no longer available once the periodic bill has been created. If we execute sapisurdg.wordpress.com http://wp.me/p1Ci5j-eB
  • 4.
    the periodic invoicingbefore the scheduled date, all existing future payment scheme requests that are due up until the planned periodic invoicing date are reversed without a follow-on posting. 20. If the customer has already paid budget billing requests with due dates after the end of the billing period, these payments are taken into account when the extrapolation portion of the payment scheme amount is adjusted. This means that the newly determined extrapolation amount is reduced by the value of the requests that have already been paid. The remaining amount is divided amongst the remaining payment scheme due dates. 21. The system marks open items for transfer to the payment scheme and transfers them to event Transfer of Open Items during Invoicing (R415). We can also use this event to exclude certain items from being transferred. How the Extrapolation works A periodic bill is created for a customer on January 1. The payment scheme to be adjusted has a monthly payment frequency and with the payment date on the 25th of each month. Say the extrapolation for the period January 1 to December 31 results in a gross amount of EUR 1200. The following items are transferred to the payment scheme: Additional payment of current periodic bill: EUR 120 Account maintenance: EUR 40 Request with Invoicing: EUR 80 The full amount transferred to the payment scheme is EUR 240. Number of open payment scheme requests until the end of the new periodic bill: 12 (from the extrapolation period of 12 months) After the payment scheme has been adjusted, the new amount is (1200 + 240) / 12 = EUR 120 From EUR 120, this consists of an extrapolation amount of EUR 100 and open items transferred to the payment scheme to the value of EUR 20. sapisurdg.wordpress.com http://wp.me/p1Ci5j-eB
  • 5.
    22. Once apayment scheme has been adjusted, the system carries out an amount and percentage limit check of the changed payment scheme sample lines before the changes are written to the database. This setting is done in customizing (Table is TE558) 23. The checks take place at contract level regardless of whether the contract is optional or mandatory. The system carries out the check in event Check Amount/Percentage Limits for Automatic Payment Scheme Adjustment (R514), for which SAP provides a standard logic. 24. For terminating a Payment Scheme, enter the End date and the Deactivation reason. Once the end date has been given, the system checks whether payment scheme requests that have already been paid exist after the end date. If this is the case, the end date is set to the next due date plus one day. Depending on the sequence of the end date and the first payment date of the payment scheme, the system proceeds as follows: If the end date is before the first payment date of the payment scheme, the payment scheme is deleted from the database. If statistical requests for this payment scheme are already created, they are cleared. If the end date is after the first payment date of the payment scheme, the system executes the following actions: • The payment scheme sample line that is active on the end date is prorated so that its end date is the same as the end date of the payment scheme. A new sample line is created for the part of the sample line that comes after the end date. • All payment scheme sample lines with a start date that comes after the end date are deactivated. • The end date and, if necessary, the deactivation reason are entered in the payment scheme header data. • All statistical requests with due dates that lie after the end date are cleared. 25. In order to ensure that a payment scheme can no longer be changed, one must deactivate it once it has ended. 26. Requests with due dates that come after the most recent interim or periodic bill and that have already been paid are settled against the current consumption billing when the bill is created. 27. If the interim/periodic bill is reversed, the entire process is cancelled. This means that the clearing of the paid requests against the transferred items and the current consumption billing is also reversed. 28. We cannot delete a payment scheme from the system, it can be archived though. 29. Migration Object for Payment Scheme is BBP_PAYSC 30. An important customizing has to be maintained for SAP Utilities under Invoicing → Basic Settings → Define Basic Settings for Invoicing, choose Tax Determination in Billing for the time of tax determination. The following events are available for the budget billing procedure Payment Scheme. sapisurdg.wordpress.com http://wp.me/p1Ci5j-eB
  • 6.
    Determining the ExtrapolationPeriod for the Payment Scheme (R510) Determine Payment Scheme Lines from Billing Document (R511) Determine Budget Billing Amount for Payment Schemes (R512) Adjust Payment Scheme for Periodic/Interim Bill (R513) Check Amount/Percentage Limits for Payment Scheme Adjustment (R514) Selection of Open Items when Creating a Payment Scheme (R515) End Payment Scheme (R516) Activate Payment Scheme (R517) Customer-Specific Checks for First Payment Date (R518) Customer-Specific Checks for Start Date and Change Date (R519) Customer-Specific Checks for Creation Status (R520) Checks for Retaining Payment Periods (R521) Define Printing Rules for Change/Creation Documents (R522) Notify Activation of Payment Scheme (R523) Print Change/Creation Documents (R524) Adjust Customer-Specific Fields for Payment Scheme (R525) Amount Limit Warning Ignored (R526) Customer-Specific Rules for Amount Rounding in the Payment Scheme (R527) Override Selection of Open Items (R528) sapisurdg.wordpress.com http://wp.me/p1Ci5j-eB
  • 7.
    Change Meter ReadingUnit During Creation/Change of Payment Scheme (R529) Execute Amount Checks (R530) Automatic Account Maintenance when Payment Scheme is Ended (R531) Determine Deactivation Reason for Payment Scheme (R532) Divide Bill End Amount (R533) Adjust Customer-Specific Tables (R534) Determine Minimum Number of Days Between Creation Date and Due Date (R535). Adjust New Lines (R536) Suppress Interval Adjustment During Generation of New Lines (R537) Display and Change Customer-Specific Fields(R538) Enhancing Display Structures (R539) Determine Billing Transaction and Document Types of Included Items (R540) Select Contract Accounting Items for Payment Scheme (R415) Incl. Items w. Different Tax Codes (R543) Determination of Tax Code for Requests (R544) Reactivation of Payment Scheme on Move-Out Reversal (R572) Below are some screenshots of how the Payment Scheme works in the system. For now this Contract doesn’t have any previous billing history maintained in the system. So on the date of move-in the Payment Scheme has been activated. For the current Billing Period extrapolaton is done and an Estimated amount of EUR 1 is written down as shown. sapisurdg.wordpress.com http://wp.me/p1Ci5j-eB
  • 8.
    The Estimated BillingDocument as a result of extrapolation during the creation of Payment Scheme is shown below. Below are the screenshots of the Billing line items which show the actual consumption amount for the current period and the prorated consumption amount for the next billing period which has the Budget Billing Item checked. The same is reflected in the Payment Scheme as shown below. sapisurdg.wordpress.com http://wp.me/p1Ci5j-eB
  • 9.
    Payment Scheme wouldrequire the End Date and the Deactivation reason as shown below. sapisurdg.wordpress.com http://wp.me/p1Ci5j-eB
  • 10.
    For now thisContract has previous billing history maintained in the system. So when the Payment Scheme is activated it asks for importing the open items from the contracts. sapisurdg.wordpress.com http://wp.me/p1Ci5j-eB
  • 11.
  • 12.
    There are manyscenarios which I have not talked about as they would require more time, ( but anyways probably later some day) , these can be found out in the SAP link where they are described in detail. sapisurdg.wordpress.com http://wp.me/p1Ci5j-eB