Câu1
a) 4 2
2y x x= −
TXĐ :R
Đạo hàm
3
' 4 4
0
' 0
1
y x x
x
y
x
= −
=
= ⇔  = ±
Các điểm cực trị A (0;0),B(1;-1);C(-1;-1).
1
' 0
1 1
x
y
x
>
> ⇔ − < <
h/s đồng biến trên (-1;0)và (1;+∞ )
1
' 0
0 1
x
y
x
< −
< ⇔  < <
h/s nghịch biến trên ( ; 1) à (0;1)v−∞ −
BBT:
x’ -∞ -1 0 1
+∞
y’ - 0 + 0 - 0 +
y +∞ 0 +∞
-1 -1
Đồ thị nhận trục tung làm trục đối xứng
Đồ thị cắt trục hoành tại 3 điểm A(0;0), D ( 2;0) à ( 2;0)v E
4 2
2y x x= −
b)
( )2 3
3
2
2
4 4 1
' 0 4 4( 1) 0
4 ( 1) 0
0
( 1) 0 (*)
y x m x
y x m x
x x m
x
x m
= − +
= ⇔ − + =
 ⇔ − + = 
=
⇔ 
− + =
Để (1) có 3 cực trị thì pt (*) có 2 nghiệm phân biệt khác 0. ⇔ m+1>0 ⇔ m
>-1
Với m>-1 pt (*) có 2 nghiệm phân biệt
1 1x m= + và 2 1x m= − +
Gọi
2
(0; ); ( 1; 2 1)
( 1; 2 1)
M m N m m
P m m
+ − −
− + − −
Vì đồ thị hàm số đối xứng qua trục 0y nên MNP∆ phải cân tại M
Vậy tam giác MPN vuông tại M suy ra 2 2 2
MN MP NP+ =
3
( 1) ( 1) 1 0m m ⇔ + + − = 
<=>m=0 (vì m>-1)
Vậy m=0
Câu 2.
ĐK: x R∈ ¡
( )
( )
3sin2 cos2 2cos 1
22 3sin cos 2cos 1 2cos 1
cos 3sin cos 1 0
cos 0
3 1 1
sin cos
2 2 2
2
1
sin
6 2
2
2
6 6
5
2
6 6
2
2 , ,
2
2
3
x x x
x x x x
x x x
x
x x
x k
x
x k
x m
x n
x k
x m k n m
x n
π
π
π
π
π
π π
π
π π
π
π
π
π
π
π
+ = −
⇔ + − = −
⇔ + − =
=
⇔
 + =


= +
⇔
  + = ÷  

= +

⇔ + = +


+ = +


= +

⇔ = ∈

= +

¢
Câu 3.
Đặt y = -z
( ) ( )
( )
3 3 2 2
2 2
3 9 22 0
1
2
x z x z x z
x z x z
 + − + − + + =


+ − + =

Đặt
( )
( )
( )
3 2
2
3 2
2
3 3 2 9 22 0
1
2
2
3 3 6 9 22 0 1
1
2 2
2
S SP S P S
S x z
P xz S P S
S SP S P S
S P S
 − − − − + =
= + 
⇒ 
= − − =

 − − + − + =

⇔ 
− − =

Từ (2)
2
2 2 1
4
S S
P
− −
⇒ =
Thay vào (1) ta được :
( ) ( )
( )
3 2 2 2
3 2
2
3 6
2 2 1 3 2 2 1 9 22 0
4 4
2 6 45 82 0
2
2 41 0 3
S S S S S S S S
S S S
S
S S
− − − − + − − − + =
⇔ − + − + =
=
⇔ 
− + =
Phương trình (3) vô nghiệm vì ' 40 0∆ = − <
Vậy
( )
2
3 3 1 1 3
2 ; ; , ;3
4 2 2 2 2
4
x z
S P x z
xz
+ =
    
= ⇒ = ⇒ ⇔ =  ÷  ÷
=    
Vậy ( )
3 1 1 3
; ; , ;
2 2 2 2
x y
   
= − − ÷  ÷
   
Câu 4.
( ) ( )
( )
3 3
2 2 21 1
3 3
1 22 21 1
1 ln 1 ln 11
ln 11
x x
I dx dx
x x x
x
dx dx I I
x x
+ + + 
= = + 
 
+
= + = +
∫ ∫
∫ ∫
Với
( )
3
3
1 21
1
3
2 21
1 1 2
3
ln 1
I dx
x x
x
I dx
x
= = − =
+
=
∫
∫
Đặt
( )
( )
( )
2
3
3
2 1
1
3 3
1 1
3
1
1
ln 1
1
1
1
1 1
ln 1
1
1 1 1
ln 4 ln 2
3 1
1
ln 4 ln 2 ln
3 1
1 3
ln 2 ln
3 2
u x du dx
x
dv dx
v dxx
x
I x dx
x x x
dx dx
x x
x
x

= + =  +
⇒ 
=  = − 
⇒ = − + +
+
 
= − + + − + 
= − + +
+
= +
∫
∫ ∫
Vậy
2 1 3
ln 2 ln
3 3 2
I = + +
Câu 5.
Tích Thể Tích khối chóp S.ABC
Gọi M là trung điểm AB =>
1 a
MH= MB=
3 6
Vì ABC∆ đều cạnh a, CM là đường
cao =>
a 3
CM=
2
Xét CMH∆ vuông tại M
Theo Pitago ta có: 2 2 2CH =CM +MH =
2 2a 3 a
+
2 6
   
 ÷  ÷ ÷   
=
7 2a
9
=>
a 7
CH=
3
Ta có ( )( ) · oSC, ABC =SCH=60
· SH a 21
tanSCH= = 3 SH=HC. 3=
HC 3
⇒
=>
2 31 1 a 21 a 3 a 7
V = SH.S = . . =
SABCΔABC3 3 3 4 12
Xét trong mặt phẳng (ABC) kẻ d qua A và song song với BC
Nên BC//(SA;d)
=> [ ] ( )
d =d
BC;SA B SA,d→  
Dựng hình thoi ABCD
Dựng HK
( )
( )
HK AD k AD
HI SK I SK
⊥ ∈
⊥ ∈
Ta có ( )SH ABC SH AD⊥ ⇒ ⊥
Mà HK AD⊥ nên ( )AD SHK⊥
( ) ( )SAD SHK⇒ ⊥
Mà ( )êHI SK n n HI SAD⊥ ⊥
⇒ HI là khoảng cách từ H đến (SAD)
· 2 3
AHsin .
3 2 3
a a
KH KAH= = =
Vì
·
22
2 2 2 2
1 1 1 3 3 24
90 ê
721
7
2 6
o
SHK n n
HI HS HK a aa
a
HI
  
= = + = + = ÷ ÷  ÷   
⇒ =
Vì BC//(SAD) và
2
3
HA AB= nên khoảng cách cần tìm là
3 3 7 42
.
2 2 2 6 8
a a
HI = =
Câu 6.
Cách 1:
Không mất tổng quát, giả sử .x y z≥ ≥
Từ giả thiết suy ra ( )z x y= − + do đó,
( )( )
( )( )
22 2
22 2 2 2
3 3 3 12
3 3 3 12
x y y z x z
x y y x x y
P x y x y
x y x y
− − −
− + +
= + + − + + +
= + + − + + +
Đặt
2
2
a x y
b y x
= +

= +
thì
2
3
2
3
a b
x
b a
y
−
=

− =

và 0a b≥ ≥
Thay vào P ta được :
2 2
2 2
3 3 3 2
3 3 3 2 3
2 2
a b a b
a b a b
P a ab b
a b a b
−
−
= + + − − +
+ −   
= + + − + ÷  ÷
   
Đặt ,
2 2
a b a b
u v
+ −
= = thì 0u v≥ ≥ và ta có :
2 2
9 3 3 2 3v u v u v
P u v+ −
= + + − +
Xét hàm:
2 2
2 2
( ) 9 3 3 2 3 , 0
2
'( ) 3 ln3 3 ln3
3
2ln3 2 0
v u v u v
u v u v
P f u u v u v
u
f u
u v
+ −
+ −
= = + + − + ≥ ≥
= + −
+
≥ − >
( )f u⇒ đồng biến trên [ ; )v +∞ kéo theo
2 2
( ) ( ) 9 3 1 2 4
2.9 4 1 (1)
v v
v
f u f v v
v
≥ = + + −
= − +
Xét ( ) 2.9 4 1, 0v
g v v v= − + ≥
'( ) 2.9 ln9 4 4.9 ln3 4 4ln3 4 0 0v v
g v dov= − = − ≥ − > ≥
Suy ra g(v) đồng biến trên [0; ),+∞ kéo theo ( ) (0) 3 (2)g v g≥ =
Từ (1) và (2),suy ra f(u)≥ 3 hay P≥ 3
Đẳng thức xảy ra khi u=v=0 hay x = y = z =0
Vậy min P=3
Cách2
Đặt , ,a x y b y Z c z x= − = − = −
Từ giả thiết suy ra ( )2 2 2
2x y z xy yz zx+ + = − + +
Do đó ( ) ( )2 2 22 2 2
6 2x y z x y y z z x+ + = − + − + −
Vì vậy nếu đặt , ,a x y b y z c z x= − = − = − thì , , 0a b c ≥
và , ,a b c b c a c a b+ ≥ + ≥ + ≥
Ta có
( )2 2 2
3 3 3 2a b c
P a b c= + + − + +
Vì a b c+ ≥ nên ( ) 2
a b c c+ ≥
Tương tự
( )
( )
2
2
b c a a
c a b b
+ ≥
+ ≥
Công ba bất đẳng thức trên ta được
( ) ( ) ( )22 2 2 2 2 2
2 2ab bc ca a b c a b c a b c+ + ≥ + + ⇒ + + ≥ + +
Do vậy
( )
( ) ( ) ( )
3 3 3
3 3 3
a b c
a b c
P a b c
a b c
≥ + + − + +
= − + − + −
Xét hàm
( )
( )
( ) ( )
'
3 , 0
3 ln3 1 0
0 1
x
x
f x x x
f x
f x f
= − ≥
= − >
⇒ ≥ =
Vì Vậy 3P ≥ , dấu “=” xảy ra khi x = y = z = 0
Câu 7.
a).
( )
( )
22
1
11 3
15 3 52
,
22 52 1
h d M AN
− −
= = = =
+ −
Đặt
6 , 0AB x x= >
Có
2
2
2
2 2 2 2 2
1 1
. 6 .2 6
2 2
1 1
. 6 .3 9
2 2
1 1
. 3 .4 6
2 2
36 6 9 6 15
ADN
ABM
CMN
AMN ABCD ADN ABM CMN
S AD DN x x x
S AB BM x x x
S CM CN x x x
S S S S S
x x x x x
= = =
= = =
= = =
⇒ = − − −
= − − − =
Theo định lý pitago 2 2
AN AD DN= +
2 2
2
36 4 2 10
2 30 15 3 5 1
22 10 10 2
AMN
x x x
S x x
h x
AN x
= + =
⇒ = = = ⇒ ⇒ =
Định lý pitago
2 2 2 2 45
36 9 145
2
AM AB BM x x x= + = + = =
:2 3 0 2 3AN x y y x− − = ⇔ = −
Đặt: ( ;2 3)A a a −
2 2
2 2
2 2
11 1 45
2 3
2 2 2
11 7 45
2
2 2 2
5 25 20 0 5 4 0
1
4
a a
a a
a a a a
a
a
   
⇒ − + − − = ÷  ÷
   
   
⇔ − + − = ÷  ÷
   
⇔ − + = ⇔ − + =
=
⇔  =
Vậy 1 2(1; 1), (4;5)A A−
Câu 8.
a).
Gọi
( )
( )
( 1;2 ; 2)
1;2 ; 2
0;0;3
A a a a
B b b b
I
− +
− + Với a ≠ b
( )
( )
( )
( )
22 2 2
22 2 2
1;2; 1
1;2 ; 1
2 1 4 6 4 2
2 1 4 6 4 2
IA a a
IB b b b
IA a a a a
IB b b b b
→
→
⇒ = − −
= − −
⇒ = − + = − +
= − + = − +
Vì IAB∆ Vuông cân tại I nên
( ) ( )
( )
( ) ( )
2 22 2
2 1 1 4 0. 0
6 4 2 6 4 2
3 1 0 (1)
6 4 0 (2)
a b abIA IB
a a b bIA IB
ab a b
a b a b
→ →
  − − + = =
⇔ 
− + = − += 
− + + =
⇔ 
− + − =   
Từ (2) vì a ≠ b
2
3
a b⇔ + = thế vào (1)
Ta được
1
9
ab = −
2
1 2
3
1 2
3
8
3
a
b
IA
 +
=

⇒ 
− =
⇒ =
Vậy
( ) ( )
22 2 8
: 3
3
S x y Z+ + − =
Câu 9.
a).
( ) ( )
1 3
2
2
5
1 2
5
1.2.3
30 3 2
3 28 0
7( / )
4( )
n
n
nC C
n n n
n
n n
n n
n t m
n loai
−
=
− −
⇔ =
⇔ = − +
⇔ − − =
=
⇔ =−
Khai triển
7 72 2
7 1 1
14 2
x x
hay
x x
   
− − ÷  ÷
   
Số hạng tổng quát là
( )7
72
7
14 3
7
1
2
1 . , , 7
2
k k
k
k
kk
k
x
C
x
x
C k N k
−
−
−
   
− ÷  ÷
  
= − ∈ ≤
Xét
14 3 5 3k k− = ⇔ =
Vậy số hạng chứa 5
x là
( )
5
33 5
7 4
35
1
2 16
x
C x− = −
Câu 7b) Do tính đối xứng của (E) nên giao điểm của (C) và (E) là đỉnh
hình vuông thỏa mãn A(a;a) a>0
Suy ra 2 2
8 2a a a+ = ⇒ =
2 2
2 2 2 2
4 4
( ): 1 1
x y
E
m n m n
+ = ⇒ + =
Vì 2m=8 nên m=4
2
2
1 4 16
1
4 3
n
n
⇒ + = ⇒ =
Vậy
2 2
( ): 1
1616
3
x y
E + =
Câu 8b) Viết lại (d) dưới dạng:
2 1
( )
2
x t
y t t
z t
= −

= ∈
 = +
¡
Giả sử M(2t-1;t;t+2) N (a;b;c)
Ta có
2 1 2 3 2
2 2
2 4 2
2 5 0 2 5 0
3 2 2 4 2 5 0
2
t a a t
t b b t
t c c t
a b c a b c
t t t
t
− + = = − 
 + = − = − − 
⇔ 
+ + = = − 
 + − + = + − + = 
⇒ − − − − + + =
⇔ =
Vậy M(3;2;4), khác A => thỏa mãn
Câu 9 b)
Đặt
( ), .Z a bi a b R= + ∈
( ) ( ) ( )
( ) ( )
5
2
2 1
5 2 1
5 5 5 2 2 2
3 2 6 7 0
3 2 0 1
6 7 0 1
Z i
i
a bi i i a bi
a bi i a bi ai b i
a b i b a
a b a
b a b
−
 
+ ÷
  = −
+
⇔ − + = − + +
⇔ − + = + + − + −
⇔ − − + − + =
− − = = 
⇔ ⇔ 
− + = = 
Vậy
( )
22
2 2
1 , 1 1 2 1 2
W=1+1+i+2i=2+3i
2 3 13
Z i Z i i i
Z
= + = + = + − =
⇒
= + =
Đáp án đề thi Toán đại học - 2012

Đáp án đề thi Toán đại học - 2012

  • 1.
    Câu1 a) 4 2 2yx x= − TXĐ :R Đạo hàm 3 ' 4 4 0 ' 0 1 y x x x y x = − = = ⇔  = ± Các điểm cực trị A (0;0),B(1;-1);C(-1;-1). 1 ' 0 1 1 x y x > > ⇔ − < < h/s đồng biến trên (-1;0)và (1;+∞ ) 1 ' 0 0 1 x y x < − < ⇔  < < h/s nghịch biến trên ( ; 1) à (0;1)v−∞ − BBT: x’ -∞ -1 0 1 +∞ y’ - 0 + 0 - 0 + y +∞ 0 +∞ -1 -1 Đồ thị nhận trục tung làm trục đối xứng Đồ thị cắt trục hoành tại 3 điểm A(0;0), D ( 2;0) à ( 2;0)v E 4 2 2y x x= −
  • 2.
    b) ( )2 3 3 2 2 44 1 ' 0 4 4( 1) 0 4 ( 1) 0 0 ( 1) 0 (*) y x m x y x m x x x m x x m = − + = ⇔ − + =  ⇔ − + =  = ⇔  − + = Để (1) có 3 cực trị thì pt (*) có 2 nghiệm phân biệt khác 0. ⇔ m+1>0 ⇔ m >-1 Với m>-1 pt (*) có 2 nghiệm phân biệt 1 1x m= + và 2 1x m= − + Gọi 2 (0; ); ( 1; 2 1) ( 1; 2 1) M m N m m P m m + − − − + − − Vì đồ thị hàm số đối xứng qua trục 0y nên MNP∆ phải cân tại M Vậy tam giác MPN vuông tại M suy ra 2 2 2 MN MP NP+ = 3 ( 1) ( 1) 1 0m m ⇔ + + − =  <=>m=0 (vì m>-1) Vậy m=0 Câu 2. ĐK: x R∈ ¡
  • 3.
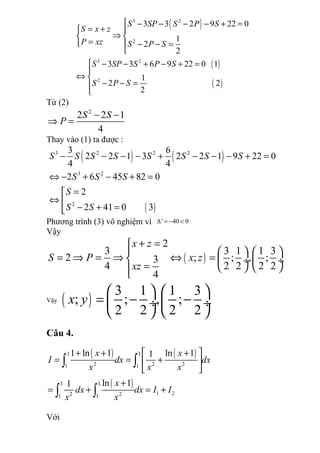
    ( ) ( ) 3sin2cos2 2cos 1 22 3sin cos 2cos 1 2cos 1 cos 3sin cos 1 0 cos 0 3 1 1 sin cos 2 2 2 2 1 sin 6 2 2 2 6 6 5 2 6 6 2 2 , , 2 2 3 x x x x x x x x x x x x x x k x x k x m x n x k x m k n m x n π π π π π π π π π π π π π π π π + = − ⇔ + − = − ⇔ + − = = ⇔  + =   = + ⇔   + = ÷    = +  ⇔ + = +   + = +   = +  ⇔ = ∈  = +  ¢ Câu 3. Đặt y = -z ( ) ( ) ( ) 3 3 2 2 2 2 3 9 22 0 1 2 x z x z x z x z x z  + − + − + + =   + − + =  Đặt
  • 4.
    ( ) ( ) () 3 2 2 3 2 2 3 3 2 9 22 0 1 2 2 3 3 6 9 22 0 1 1 2 2 2 S SP S P S S x z P xz S P S S SP S P S S P S  − − − − + = = +  ⇒  = − − =   − − + − + =  ⇔  − − =  Từ (2) 2 2 2 1 4 S S P − − ⇒ = Thay vào (1) ta được : ( ) ( ) ( ) 3 2 2 2 3 2 2 3 6 2 2 1 3 2 2 1 9 22 0 4 4 2 6 45 82 0 2 2 41 0 3 S S S S S S S S S S S S S S − − − − + − − − + = ⇔ − + − + = = ⇔  − + = Phương trình (3) vô nghiệm vì ' 40 0∆ = − < Vậy ( ) 2 3 3 1 1 3 2 ; ; , ;3 4 2 2 2 2 4 x z S P x z xz + =      = ⇒ = ⇒ ⇔ =  ÷  ÷ =     Vậy ( ) 3 1 1 3 ; ; , ; 2 2 2 2 x y     = − − ÷  ÷     Câu 4. ( ) ( ) ( ) 3 3 2 2 21 1 3 3 1 22 21 1 1 ln 1 ln 11 ln 11 x x I dx dx x x x x dx dx I I x x + + +  = = +    + = + = + ∫ ∫ ∫ ∫ Với
  • 5.
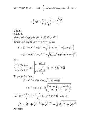
    ( ) 3 3 1 21 1 3 221 1 1 2 3 ln 1 I dx x x x I dx x = = − = + = ∫ ∫ Đặt ( ) ( ) ( ) 2 3 3 2 1 1 3 3 1 1 3 1 1 ln 1 1 1 1 1 1 ln 1 1 1 1 1 ln 4 ln 2 3 1 1 ln 4 ln 2 ln 3 1 1 3 ln 2 ln 3 2 u x du dx x dv dx v dxx x I x dx x x x dx dx x x x x  = + =  + ⇒  =  = −  ⇒ = − + + +   = − + + − +  = − + + + = + ∫ ∫ ∫ Vậy 2 1 3 ln 2 ln 3 3 2 I = + + Câu 5. Tích Thể Tích khối chóp S.ABC Gọi M là trung điểm AB => 1 a MH= MB= 3 6 Vì ABC∆ đều cạnh a, CM là đường cao => a 3 CM= 2 Xét CMH∆ vuông tại M
  • 6.
    Theo Pitago tacó: 2 2 2CH =CM +MH = 2 2a 3 a + 2 6      ÷  ÷ ÷    = 7 2a 9 => a 7 CH= 3 Ta có ( )( ) · oSC, ABC =SCH=60 · SH a 21 tanSCH= = 3 SH=HC. 3= HC 3 ⇒ => 2 31 1 a 21 a 3 a 7 V = SH.S = . . = SABCΔABC3 3 3 4 12 Xét trong mặt phẳng (ABC) kẻ d qua A và song song với BC Nên BC//(SA;d) => [ ] ( ) d =d BC;SA B SA,d→   Dựng hình thoi ABCD Dựng HK ( ) ( ) HK AD k AD HI SK I SK ⊥ ∈ ⊥ ∈ Ta có ( )SH ABC SH AD⊥ ⇒ ⊥ Mà HK AD⊥ nên ( )AD SHK⊥ ( ) ( )SAD SHK⇒ ⊥ Mà ( )êHI SK n n HI SAD⊥ ⊥ ⇒ HI là khoảng cách từ H đến (SAD) · 2 3 AHsin . 3 2 3 a a KH KAH= = = Vì · 22 2 2 2 2 1 1 1 3 3 24 90 ê 721 7 2 6 o SHK n n HI HS HK a aa a HI    = = + = + = ÷ ÷  ÷    ⇒ =
  • 7.
    Vì BC//(SAD) và 2 3 HAAB= nên khoảng cách cần tìm là 3 3 7 42 . 2 2 2 6 8 a a HI = = Câu 6. Cách 1: Không mất tổng quát, giả sử .x y z≥ ≥ Từ giả thiết suy ra ( )z x y= − + do đó, ( )( ) ( )( ) 22 2 22 2 2 2 3 3 3 12 3 3 3 12 x y y z x z x y y x x y P x y x y x y x y − − − − + + = + + − + + + = + + − + + + Đặt 2 2 a x y b y x = +  = + thì 2 3 2 3 a b x b a y − =  − =  và 0a b≥ ≥ Thay vào P ta được : 2 2 2 2 3 3 3 2 3 3 3 2 3 2 2 a b a b a b a b P a ab b a b a b − − = + + − − + + −    = + + − + ÷  ÷     Đặt , 2 2 a b a b u v + − = = thì 0u v≥ ≥ và ta có : 2 2 9 3 3 2 3v u v u v P u v+ − = + + − + Xét hàm:
  • 8.
    2 2 2 2 () 9 3 3 2 3 , 0 2 '( ) 3 ln3 3 ln3 3 2ln3 2 0 v u v u v u v u v P f u u v u v u f u u v + − + − = = + + − + ≥ ≥ = + − + ≥ − > ( )f u⇒ đồng biến trên [ ; )v +∞ kéo theo 2 2 ( ) ( ) 9 3 1 2 4 2.9 4 1 (1) v v v f u f v v v ≥ = + + − = − + Xét ( ) 2.9 4 1, 0v g v v v= − + ≥ '( ) 2.9 ln9 4 4.9 ln3 4 4ln3 4 0 0v v g v dov= − = − ≥ − > ≥ Suy ra g(v) đồng biến trên [0; ),+∞ kéo theo ( ) (0) 3 (2)g v g≥ = Từ (1) và (2),suy ra f(u)≥ 3 hay P≥ 3 Đẳng thức xảy ra khi u=v=0 hay x = y = z =0 Vậy min P=3 Cách2 Đặt , ,a x y b y Z c z x= − = − = − Từ giả thiết suy ra ( )2 2 2 2x y z xy yz zx+ + = − + + Do đó ( ) ( )2 2 22 2 2 6 2x y z x y y z z x+ + = − + − + − Vì vậy nếu đặt , ,a x y b y z c z x= − = − = − thì , , 0a b c ≥ và , ,a b c b c a c a b+ ≥ + ≥ + ≥ Ta có ( )2 2 2 3 3 3 2a b c P a b c= + + − + + Vì a b c+ ≥ nên ( ) 2 a b c c+ ≥ Tương tự ( ) ( ) 2 2 b c a a c a b b + ≥ + ≥ Công ba bất đẳng thức trên ta được ( ) ( ) ( )22 2 2 2 2 2 2 2ab bc ca a b c a b c a b c+ + ≥ + + ⇒ + + ≥ + + Do vậy
  • 9.
    ( ) ( )( ) ( ) 3 3 3 3 3 3 a b c a b c P a b c a b c ≥ + + − + + = − + − + − Xét hàm ( ) ( ) ( ) ( ) ' 3 , 0 3 ln3 1 0 0 1 x x f x x x f x f x f = − ≥ = − > ⇒ ≥ = Vì Vậy 3P ≥ , dấu “=” xảy ra khi x = y = z = 0 Câu 7. a). ( ) ( ) 22 1 11 3 15 3 52 , 22 52 1 h d M AN − − = = = = + − Đặt 6 , 0AB x x= > Có 2 2 2 2 2 2 2 2 1 1 . 6 .2 6 2 2 1 1 . 6 .3 9 2 2 1 1 . 3 .4 6 2 2 36 6 9 6 15 ADN ABM CMN AMN ABCD ADN ABM CMN S AD DN x x x S AB BM x x x S CM CN x x x S S S S S x x x x x = = = = = = = = = ⇒ = − − − = − − − =
  • 10.
    Theo định lýpitago 2 2 AN AD DN= + 2 2 2 36 4 2 10 2 30 15 3 5 1 22 10 10 2 AMN x x x S x x h x AN x = + = ⇒ = = = ⇒ ⇒ = Định lý pitago 2 2 2 2 45 36 9 145 2 AM AB BM x x x= + = + = = :2 3 0 2 3AN x y y x− − = ⇔ = − Đặt: ( ;2 3)A a a − 2 2 2 2 2 2 11 1 45 2 3 2 2 2 11 7 45 2 2 2 2 5 25 20 0 5 4 0 1 4 a a a a a a a a a a     ⇒ − + − − = ÷  ÷         ⇔ − + − = ÷  ÷     ⇔ − + = ⇔ − + = = ⇔  = Vậy 1 2(1; 1), (4;5)A A− Câu 8. a). Gọi ( ) ( ) ( 1;2 ; 2) 1;2 ; 2 0;0;3 A a a a B b b b I − + − + Với a ≠ b
  • 11.
    ( ) ( ) () ( ) 22 2 2 22 2 2 1;2; 1 1;2 ; 1 2 1 4 6 4 2 2 1 4 6 4 2 IA a a IB b b b IA a a a a IB b b b b → → ⇒ = − − = − − ⇒ = − + = − + = − + = − + Vì IAB∆ Vuông cân tại I nên ( ) ( ) ( ) ( ) ( ) 2 22 2 2 1 1 4 0. 0 6 4 2 6 4 2 3 1 0 (1) 6 4 0 (2) a b abIA IB a a b bIA IB ab a b a b a b → →   − − + = = ⇔  − + = − +=  − + + = ⇔  − + − =    Từ (2) vì a ≠ b 2 3 a b⇔ + = thế vào (1) Ta được 1 9 ab = − 2 1 2 3 1 2 3 8 3 a b IA  + =  ⇒  − = ⇒ = Vậy ( ) ( ) 22 2 8 : 3 3 S x y Z+ + − = Câu 9. a).
  • 12.
    ( ) () 1 3 2 2 5 1 2 5 1.2.3 30 3 2 3 28 0 7( / ) 4( ) n n nC C n n n n n n n n n t m n loai − = − − ⇔ = ⇔ = − + ⇔ − − = = ⇔ =− Khai triển 7 72 2 7 1 1 14 2 x x hay x x     − − ÷  ÷     Số hạng tổng quát là ( )7 72 7 14 3 7 1 2 1 . , , 7 2 k k k k kk k x C x x C k N k − − −     − ÷  ÷    = − ∈ ≤ Xét 14 3 5 3k k− = ⇔ = Vậy số hạng chứa 5 x là ( ) 5 33 5 7 4 35 1 2 16 x C x− = − Câu 7b) Do tính đối xứng của (E) nên giao điểm của (C) và (E) là đỉnh hình vuông thỏa mãn A(a;a) a>0 Suy ra 2 2 8 2a a a+ = ⇒ = 2 2 2 2 2 2 4 4 ( ): 1 1 x y E m n m n + = ⇒ + = Vì 2m=8 nên m=4 2 2 1 4 16 1 4 3 n n ⇒ + = ⇒ =
  • 13.
    Vậy 2 2 ( ):1 1616 3 x y E + = Câu 8b) Viết lại (d) dưới dạng: 2 1 ( ) 2 x t y t t z t = −  = ∈  = + ¡ Giả sử M(2t-1;t;t+2) N (a;b;c) Ta có 2 1 2 3 2 2 2 2 4 2 2 5 0 2 5 0 3 2 2 4 2 5 0 2 t a a t t b b t t c c t a b c a b c t t t t − + = = −   + = − = − −  ⇔  + + = = −   + − + = + − + =  ⇒ − − − − + + = ⇔ = Vậy M(3;2;4), khác A => thỏa mãn Câu 9 b) Đặt ( ), .Z a bi a b R= + ∈ ( ) ( ) ( ) ( ) ( ) 5 2 2 1 5 2 1 5 5 5 2 2 2 3 2 6 7 0 3 2 0 1 6 7 0 1 Z i i a bi i i a bi a bi i a bi ai b i a b i b a a b a b a b −   + ÷   = − + ⇔ − + = − + + ⇔ − + = + + − + − ⇔ − − + − + = − − = =  ⇔ ⇔  − + = =  Vậy ( ) 22 2 2 1 , 1 1 2 1 2 W=1+1+i+2i=2+3i 2 3 13 Z i Z i i i Z = + = + = + − = ⇒ = + =