Embed presentation
Download to read offline
























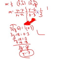
This document discusses key concepts related to coordinate planes, plotting points, finding slopes of lines, and using slopes to determine which section of a ski slope is steepest. It provides examples of simplifying fractions, finding slopes using the point-slope formula and between points, and plotting a ski slope problem on the coordinate plane to determine the steepest section using slopes. Objectives are to understand the coordinate system, plot and label points, and find slopes using various methods.























