Journal of Neurochemistry, 2003                                                                             10.1046/j.0022-3042.2003.01508.x




Inhibition of NADH oxidation by chloramphenicol
in the freely moving rat measured by picosecond
time-resolved emission spectroscopy

Stephane Mottin,* Pierre Laporte* and Raymond Cespuglio 
  ´
*LTSI, CNRS UMR 5516, University of St-Etienne, St-Etienne, France
 INSERM U480, University of Lyon, Lyon, France




Abstract                                                                implies an efficient inhibition of complex I of the respiratory
Owing to the lack of methods capable to monitor the energetic           chain by CAP. It refers to the mechanism through which the
processes taking place within small brain regions (i.e. nucleus         adverse effects of the antibiotic may take place. It could explain
raphe dorsalis, nRD), the neurotoxicity of various categories of        why paradoxical sleep, a state needing aerobic energy to
substances, including antibiotics and psycho-active drugs, still        occur, is suppressed after CAP administration. The present
remains difficult to evaluate. Using an in vivo picosecond               approach constitutes the first attempt to determine by fluor-
optical spectroscopy imaging method, we report that                     escence methods the effects of substances on deep brain
chloramphenicol (CAP), besides its well-known ability to inhibit        structures of the freely moving animal. It points out that in vivo
the mitochondria protein synthesis, also influences the NADH/            ultrafast optical methods are innovative and adequate tools for
NAD+ redox processes of the respiratory chain. At a 200-mg/kg           combined neurochemical and behavioural approaches.
dose, CAP indeed produces a marked increase in the fluor-                Keywords: antibiotic, behaving rat, NADH, neurotoxicity,
escent signal of the nRD which, according to clear evidence, is         sleep, time-resolved fluorescence.
likely to be related to the NADH concentration. This effect also        J. Neurochem. (2003) 10.1046/j.0022-3042.2003.01508.x




To date, the ÔseasonedÕ chloramphenicol (CAP) antibiotic still          regard to mitochondria metabolism. However, approaches
remains widely used in developing countries (Kumana et al.              related to the in vivo study of the brain mitochondria
1993) and the importance of its supply is so crucial that it            networks (Glinka et al. 1998; Yaffe 1999) still remain
often leads to forgery (Payet 1997). This substance, among              difficult. Owing to the progress of neurophotonics, direct
the most famous mitochondriotropic drugs used in research               brain investigations have been started in the unanesthetized
(Kroon and Arendzen 1972; Yunis 1988; Bories and Cravendi               animal (Mottin et al. 1997; Cassarino and Bennet 1999).
1994) is obviously precious in the case of serious epidemic             Besides, it is also known that mitochondria are elements
(Niel et al. 1997) and of multiresistant treatments (Barie              sensitive to antibiotics (Ramilo et al. 1988; Snavely and
1998). Owing to its excellent accessibility to the cerebro-             Hodges 1984; Degli Esposti 1998) and, in this respect, CAP
spinal fluid and brain tissue, this antibiotic is incomparably           has been widely studied. After discovery of the CAP ability
efficient against meningitis and typhoid fever (Meulemans                to inhibit mitochondria respiratory processes (Stoner et al.
et al. 1986). Nevertheless, it must be mentioned that its               1964), several other reports (Freeman and Haldar 1967;
administration to patients often induces adverse effects                Freeman and Haldar 1968; Freeman and Haldar 1970; Kroon
including mental confusion, headache, appetite loss, oph-
talmoplegia, selective inhibition of paradoxical sleep (PS) and         Received March 5, 2002; revised manuscript received July 15, 2002;
epileptogenic manifestations (Abou-Khalil et al. 1980; Yunis            accepted October 7, 2002.
1988; Holt et al. 1993; Bories and Cravendi 1994).                        Address correspondence and reprint requests to Stephane Mottin,
                                                                                                                                ´
   Most of the antibiotic adverse effects on the brain have             LTSI, CNRS UMR 5516, F-42023 St-Etienne Cedex 02, France.
                                                                        E-mail: MOTTIN@univ-st-etienne.fr
often been misinterpreted (Snavely and Hodges 1984;                       Abbreviations used: CAP, chloramphenicol; Cx, cortex; 5HT,
Thomas 1994; Norrby 1996; Kanemitsu and Shimada                         5-hydroxytryptamine; i.p., intraperitoneal; nRD, nucleus raphe dorsalis;
1999). As yet, many CAP metabolites have been studied in                ps, paradoxical sleep; TRES, time-resolved emission spectroscopy.



Ó 2003 International Society for Neurochemistry, J. Neurochem. (2003) 10.1046/j.0022-3042.2003.01508.x                                        1
2 S. Mottin et al.



and Arendzen 1972; Abou-Khalil et al. 1980) further pointed              with a special VUV window (StreakScope from Hamamatsu, Japan)
out that this compound is an inhibitor of the mitochondria               and a 270-M spectrograph (Spex Jobin-Yvon, France) were also
complex I (NADH-ubiquinone oxidoreductase, EC 1.6.5.3)                   used in the second generation of the optical design. Images obtained
on isolated mitochondria preparations. They allowed the                  with the streak camera were registered through a two-dimensional
                                                                         single-photon counting mode (Watanabe et al. 1994).
conclusion that the concentration of CAP necessary for the
inhibition of complex I is far superior to the concentration
                                                                         TRES methodology in vivo
necessary for the mitochondria protein synthesis inhibition.             When the measurements are limited in intensity, without a real-time
Since this period, CAP has been used, even in vivo, as a                 TRES analysis, the link existing between the photo-electron counts
ÔpureÕ mitochondria protein synthesis inhibitor. Its ability to          and the fluorophore concentration variation cannot be defined
inhibit the mitochondria complex I has been neglected since              (Mottin et al. 1993). The optical signal is proportional to the NADH
considered as effective only in vitro at strong overdoses                concentration variation only if the spectrum and the decay-time
(Abou-Khalil et al. 1980; Yunis 1988; Holt et al. 1993;                  remain unchanged. Thus, if the NADH quantum efficiency changes,
Bories and Cravendi 1994). CAP presents, nevertheless, an                if another emission overlaps the NADH fluorescence or if the inner
unusual excellent accessibility to the cerebro-spinal fluid and           filters absorb NADH emission, then the conventional fluorimetric
brain tissue where its accumulation may reach a concentra-               methods fail. TRES imagery avoids these inconveniences and
                                                                         allows a more objective analysis of tissue optics. In order to add
tion efficient enough to inhibit mitochondria respiration
                                                                         strength to our methodology, we also introduced the control of the
(Meulemans et al. 1986).
                                                                         photon counting rate. For this purpose, the laser intensity was set at
   Throughout this report, we provide answers to the                     a low level: 0.15 mW, 30 Hz, 5 lJ/pulse. The excitation wave-
unsolved problems attached to the adverse effects of CAP                 lengths were (i) 337 nm, with a nitrogen laser at a repetition rate of
not related to the inhibition of mitochondria protein synthe-            30 Hz and a FWHM (full width at half max) of 300 ps (LN 100,
sis. For this purpose, NADH/NAD+ redox processes taking                  Laser Photonics, USA) and (ii) 355 nm with a tripled YAG laser at a
place in the nucleus raphe dorsalis (nRD) of the freely                  repetition rate of 30 Hz and a FWHM of 3.5 ns (OPO901,
moving rat were first monitored with a picosecond time-                   BMIndustrie, France). Despite this long FWHM, the 355 nm
resolved fluorescence method. The nRD target was chosen                   wavelength was of a great interest with regard to the recent
because of its involvement in sleep triggering (Cespuglio                picosecond YAG microchip laser developments. For the 337 and
et al. 1992) and CAP was employed on the basis of its ability            355 nm wavelengths, we used a time window of 10 ns and 20 ns,
                                                                         respectively, the integration time being set at one minute. In the
to suppress PS (Petitjean et al. 1979). Afterwards, the effect
                                                                         487–508 nm emission wavelength window, the magnitude of the
of CAP on the NADH/NAD+ redox balance was checked.
                                                                         noise (measured in deionized water) was 2% and 8.5% of the basal
                                                                         nRD fluorescent signal for 337 and 335 excitation wavelengths,
                                                                         respectively.
Materials and methods                                                        Significance of the increase in fluorescence observed after CAP
                                                                         administration can be analysed in using different statistical tests. As
Experimental procedure                                                   our in vivo results are time series data we used a paired t-test well
In 15 OFA male rats (IFFA CREDO, France) weighing 280–300 g              adapted to evaluate the significance of the changes observed.
and anaesthetised with chloral hydrate [400 mg/kg, intraperitoneal           In pharmacology, temporal distributions of such time-dependent
(i.p.)], a guide canula was implanted in the nRD according to a          variables are usually studied by non-linear regression analysis. Thus,
procedure previously described (Mottin et al. 1997). After 10 days       in order to quantify all aspects of the mean increase in the
of recovery (12 h)12 h light/dark, temperature at 24 ± 0.5°C, food       autofluorescence induced by CAP, a mathematical pharmacokinetic
and water ad libitum) time-resolved fluorescence measurements             model was defined, i.e. y ¼ a + b {1 ) exp[– (t ) d )/c]}, y being
were carried out (daily sessions of 4–8 h). At the end of the            the value of the fluorescent signal expressed in single photo-electron
experimental sessions, the animals were killed with a lethal dose of     count units (SPE) and t the temporal scale in minutes. Coefficients a,
nembutal and the position of the working sensor checked. CAP             b, c and d represent, respectively, the basic autofluorescence level
hemisuccinate (SolnicolÓ, Synthelabo, France) and saline solution        (in SPE count), its increase (in SPE count), the time lapse covering
were administered i.p. For the 337 nm excitation wavelength              this variation (min) and the delay (min) existing between the
experiments, two CAP doses were used, i.e. 200 and 400 mg/kg.            injection procedure and the beginning of the signal increase. To
With the 355 nm excitation wavelength, experiments were conduc-          assess the validity of the model, the regression coefficient (R), was
ted with a 300-mg/kg dose.                                               always set above 0.95.

Time-resolved emission spectroscopy (TRES)
An application of ultrafast neurophotonics enabling both spectral
                                                                         Results
and temporal analysis of tissue fluorescence in behaving animals has
been achieved in this study. The first generation of the set-up used
was described before (Mottin et al. 1997). Briefly, delivery and          TRES imagery in vivo
collection of the optical signals (laser excitation and emission) were   A typical TRES image, derived from the nRD, is illustrated
performed through a thin optical fibre allowing a good anatomical         in Fig. 1(a). The autofluorescence spectrum is measured in
resolution (core diameter ¼ 200 lm). A streak camera equipped            the 377–554 nm window (Fig. 1b). The temporal analysis of



                                       Ó 2003 International Society for Neurochemistry, J. Neurochem. (2003) 10.1046/j.0022-3042.2003.01508.x
Inhibition of NADH oxidation by chloramphenicol 3




Fig. 1 (a) Typical time-resolved spectroscopy image derived from the    number of SPE counts for each pixel. The black part corresponds to
nucleus raphe dorsalis (nRD) by using a two-dimensional single photo-   zero SPE, the white part to 1 SPE. Grey becomes darker throughout
electron (SPE) counting. The spectrum of the autofluorescence is         the SPE counting. A rapid variation occurs from 1 to 10 SPE counting.
shown in (b). (c) shows the temporal shape corresponding to the         This image was acquired over 15 min.
spectral window 487–508 nm. The colours of the z-axis give the



the fluorescence shape gives a mean decay time of                        counting rate was lower for the 337 nm wavelength excita-
900 ± 50 ps within the 487–508 nm window (Fig. 1c).                     tion than for the 355 nm one. This was mainly due to the
                                                                        difference in the laser beam quality and the coupling into the
Changes induced by CAP                                                  optical fibre.
In freely moving animals, saline administration did not                    The mean values of (c) also given ± the standard error are,
induce behavioural changes nor variations in the TRES                   respectively, for 200 mg/kg, 300 mg/kg and 400 mg/kg:
signal. However, all the i.p. injections of CAP succinate               71 ± 33 min, 107 ± 24 min and 126 ± 35 min.
(200–400 mg/kg) performed in the same conditions induced                   The delay (d ) existing between the injection proce-
a highly significant increase in the nRD blue fluorescence                dure and the beginning of the signal increase is in a
(Fig. 2). The mean values of the basal counting (a) given ± the         2–14 min time window with a mean peaking at 4 min. The
standard error are, respectively, for 200 mg/kg, 300 mg/kg              fluorescence increment (b) induced by CAP injection is
and 400 mg/kg: 12721 ± 2310 SPE, 48794 ± 2474 SPE and                   shown on Fig. 3. The paired t-test comparisons performed
16013 ± 1051 SPE. We further noticed that the basal                     indicate that the differences existing between the CAP doses


Ó 2003 International Society for Neurochemistry, J. Neurochem. (2003) 10.1046/j.0022-3042.2003.01508.x
4 S. Mottin et al.




                                                                            Fig. 4 In vivo fluorescence spectra derived from the nRD and induced
                                                                            by a nitrogen laser excitation. Each spectrum is the mean of seven
                                                                            spectra measured about 30 min before injection.


                                                                            are significant. The differences existing between the CAP
                                                                            doses between 200 mg/kg and 300 mg/kg are significant.
                                                                            Between 300 mg/kg and 400 mg/kg or between 200 mg/kg
                                                                            and 400 mg/kg the differences are highly significant.
                                                                               Regarding the 337 nm excitation, spectra obtained before
                                                                            CAP injection exhibited a high variability in the UV-purple
                                                                            part. Below 450 nm, several patterns of the spectra and decay
                                                                            times were also measured. This variability might be due to the
                                                                            presence or the absence of a UV-purple shoulder coming
                                                                            probably from different endogeneous fluorophores also com-
                                                                            bined with the Soret band of the haemoglobins (inner effect).
                                                                            Concerning again the above variability, the 450–480 nm
                                                                            window was in an intermediate position while above 480 nm,
                                                                            the UV-purple shoulder was less sensitive (Fig. 4).
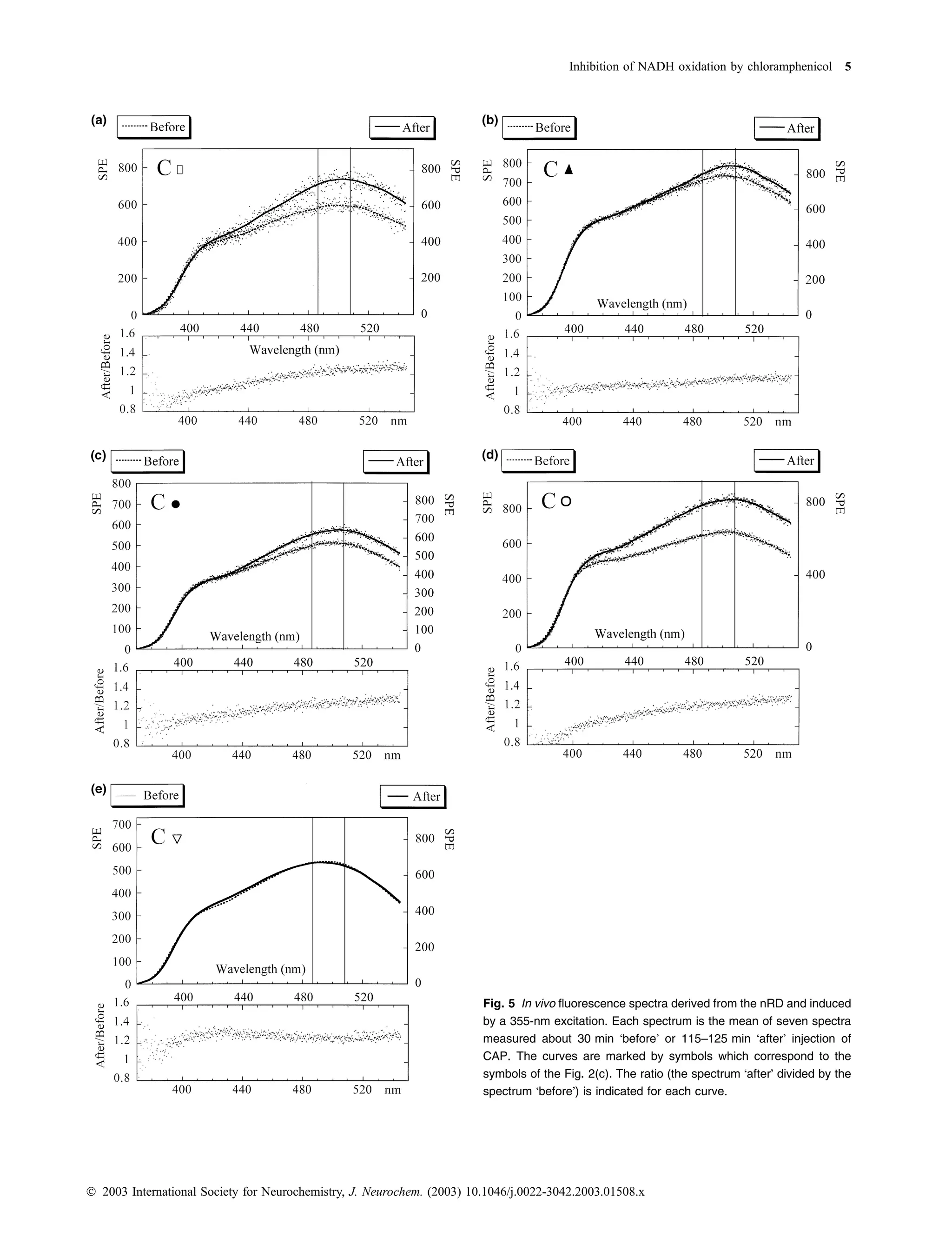
                                                                               In the case of the 355 nm excitation, basal spectra were
Fig. 2 Time-resolved spectroscopic measurements achieved in the             more reproducible. Figure 5 illustrates the variations induced
nRD. (a), (b) and (c) are, respectively, devoted to the 200 mg/kg,          by a CAP injection on the whole spectral window. In the
400 mg/kg and 300 mg/kg dose. Each point represents the sum of
                                                                            450–550 nm window, the increase in fluorescence obtained
single photo-electron counts performed in time-resolved emission
                                                                            was greater than in the 380–440 nm window (four positive
spectroscopy within the nRD (windows: 488–507 nm). The pharma-
                                                                            effects/five trials).
cokinetic exponential fitting y ¼ a + b{1 ) exp[– (t ) d )/c]} is shown.
Some data are missing due to data processing and the back-up pro-
                                                                               Finally, we also checked that, for a 300-mg/kg dose of
cedure. Symbols are used for clarity.                                       CAP, the overall CAP pharmacokinetics (increase and
                                                                            decrease down to the basic fluorescence level) occurred
                                                                            within 6–7 h.

                                                                            Changes induced by the animal death
                                                                            Concerning the ability of CAP (or metabolites) to inhibit the
                                                                            NADH/NAD+ redox processes of the respiratory chain in
                                                                            the nRD, it is hard to give an absolute evaluation of the
                                                                            inhibition strength. In order to overcome this difficulty, we
                                                                            compared the changes occurring in the signal during the
                                                                            animal death (lethal dose of barbiturates: 120 mg/kg) with
                                                                            those obtained after a CAP injection. The lethal dose was
                                                                            used when the basal level fluorescent signal before CAP
Fig. 3 The mean NADH fluorescence increment induced by CAP
                                                                            injection was fully reached. Results obtained indicate that
injections is quantified by (b). A paired t-test comparison indicates that   during death the increase in the fluorescent signal is faster
significant differences exist between the CAP doses (between 200 and         and higher than after a CAP dose of 300 mg/kg (Fig. 6). The
300 mg/kg; between 300 and 400 mg/kg and between 200 and                    magnitude of the NADH fluorescence increase induced by
400 mg/kg).                                                                 the CAP is close to 40% of the death effect.


                                        Ó 2003 International Society for Neurochemistry, J. Neurochem. (2003) 10.1046/j.0022-3042.2003.01508.x
Inhibition of NADH oxidation by chloramphenicol 5




                                                                        Fig. 5 In vivo fluorescence spectra derived from the nRD and induced
                                                                        by a 355-nm excitation. Each spectrum is the mean of seven spectra
                                                                        measured about 30 min ÔbeforeÕ or 115–125 min ÔafterÕ injection of
                                                                        CAP. The curves are marked by symbols which correspond to the
                                                                        symbols of the Fig. 2(c). The ratio (the spectrum ÔafterÕ divided by the
                                                                        spectrum ÔbeforeÕ) is indicated for each curve.




Ó 2003 International Society for Neurochemistry, J. Neurochem. (2003) 10.1046/j.0022-3042.2003.01508.x
6 S. Mottin et al.



                                                                           occurs at 278 nm. Within the large 320–600 nm wavelength
                                                                           window, the CAP and metabolites absorption (Bories and
                                                                           Cravendi 1994) are thus negligible. Therefore, the optical
                                                                           properties of CAP and metabolites cannot interfere with the
                                                                           signal measured.
                                                                              For the optical properties of the brain tissue, some
                                                                           modifications may occur when CAP is strongly infused
                                                                           intravenously (Sangiah and Burrows 1989). In such condi-
                                                                           tions, hypotension is triggered together with an increase in
Fig. 6 Events related to a CAP injection (a) or to the animal death        the cerebral blood volume. Both events could well be at the
(b). In the case illustrated in (b), the animal was killed (lethal dose    basis of a haemodynamic artefact. Regarding this aspect, we
of barbiturates, i.e. 120 mg/2 mL for the entire animal) 8 h after a       emphasize that our experimental protocol used only i.p.
300-mg/kg i.p. injection of CAP succinate (the c coefficient is             administrations of CAP and that our methodological set-up
3.8 ± 0.5 min). The basal level of the signal is fully reached 7 h after
                                                                           exhibited a photon counting rate in the same range through-
the 300 mg/kg i.p. injection. The nRD fluorescence was measured at
                                                                           out the different experimental sessions. This homogeneity
355 nm excitation wavelength (emission wavelength 484–508 nm).
                                                                           underlines that our sensor was at a scale avoiding angioar-
                                                                           chitectonic influences of the nRD. This nucleus is, indeed,
                                                                           poorly vascularized (Descarries et al. 1982) as about 12–24
Discussion
                                                                           capillary lumens are present in the section of our sensor. In
Data obtained indicate that CAP induces a significant                       the 480–540 nm window, however, the tissue absorption is
increase in the laser (335–337 nm excitation wavelengths)                  lower than in UV and might increase the absorption and the
induced NADH fluorescent signal of the nRD. For a CAP                       scattering effects produced by the nRD capillaries. Despite
dose of 300 mg/kg the effect obtained is close to 40% of the               this assumption, we nevertheless observed that the 480–
death triggered variation.                                                 540 nm spectral shapes do not change after CAP adminis-
                                                                           tration. Whatever the complexity of the optical tissue
NADH dependence of the fluorescent signal                                   properties might be, the time-course of the transient hypo-
Since the pioneering work of Chance et al. (1962), several                 tension attached to CAP administration is inferior to 10 min
optical designs have been published (Mottin et al. 1997).                  (Sangiah and Burrows 1989) and cannot in itself explain the
Many authors discussed the link existing between the UV-                   exponential increase observed in the fluorescent signal over
induced brain fluorescence and the NADH intramitochondria                   2 h. Moreover, we underline that the design of the monofibre
concentration (Rex et al. 1999; Sick and Perez-Pinzon 1999;                sensor employed: (i) limits the number of scattering events;
Hashimoto et al. 2000; Schuchmann et al. 2001). Again, the                 and (ii) allows a probing in small volumes as well as the
recent and important changes reported in the mitochondria                  largest collection of photons. This sensor design further
glucose-stimulated NADH fluorescence from intact pancre-                    avoids the geometrical blindness of a multioptic fibre
atic islets (Eto et al. 1999; Patterson et al. 2000) confirm this           configuration in scattering media.
aspect. It is thus very likely that the brain autofluorescence                 Concerning the changes occurring in the quantum effi-
measured in the 480–540 nm window might be attached to                     ciency of the fluorophores, the fluorescence decay time
NADH (for 337 or 355 nm excitation wavelengths). How-                      analysis performed is well suited. Indeed, in vitro, the
ever, since the TRES imagery, used in the present approach,                quantum efficiencies of either free or protein-bound forms of
offers, over conventional spectrofluorimetric methods, the                  NADH exhibit decay time variations in a range running from
beneficial access to a complete analysis of the tissue                      0.3 ns to 4 ns (Ross et al. 1982). In vivo, however, we have
fluorescence, we again considered the dependence of the                     not observed significant variations in the temporal shape of
fluorescent signal measured on the NADH concentration. In                   the fluorescence in the 480–540 nm window. Thus, the
this respect, we further analysed whether the signal obtained              increase in the nRD fluorescence obtained after CAP
could be produced by CAP itself. In the 480–540 nm                         injection is not dependent on the changes occurring in the
window, the changes observed might indeed result not only                  quantum efficiency. It might thus be directly linked with
from an increase in the NADH concentration, but also from:                 NADH concentration changes and complex I inhibition.
(i) the optical properties of xenobiotic compounds; (ii) the
modifications occurring in the optical properties of the tissue;            Death versus CAP effect
and (iii) the increase in quantum efficiency of endogenous                  It is clear that the increase in fluorescence induced by death
fluorophores.                                                               cannot be used directly as a perfect anoxic test of reference
   Regarding the optical properties of xenobiotic compounds,               since its amplitude depends on the nature of the anaesthetic
it can be underlined that the first spectral component                      (Holt et al. 1993; Bories and Cravendi 1994) and the
observed in UV absorption, with CAP in water at pH 7,                      concomitant transient modifications occurring in the optical


                                        Ó 2003 International Society for Neurochemistry, J. Neurochem. (2003) 10.1046/j.0022-3042.2003.01508.x
Inhibition of NADH oxidation by chloramphenicol 7



properties of the tissue (Delpy et al. 1988). Whatever these            might contribute to the CAP effect reported here. Thus, our
inconveniences might be, when death occurs, mitochondria                in vivo results raise once more the question related to the
redox processes are totally suppressed and NADH remains                 CAP toxicity. In this respect, several studies (Freeman and
fully reduced. If the strength of this inhibition is referenced at      Haldar 1968; Freeman and Haldar 1970; Abou-Khalil et al.
100%, then the in vivo effect obtained with CAP reaches                 1980; Glazko 1987; Yunis 1988; Holt et al. 1993; Bories and
40% of the death-related changes. To fulfil this aspect from             Cravendi 1994) have already suggested that the p-NO2 group
an experimental point of view, the use of different inhibitors          may be related to the complex I inhibition. This is also
of the complex I, for example, rotenone (Degli Esposti                  supported by the fact that thiamphenicol (TAP), differing
1998), would be useful. Finally, if we assume that the                  from CAP by a methylsulfonyl moiety replacing the p-NO2
maximal level of the NADH fluorescence occurs after death,               group, is inactive on complex I (Freeman and Haldar 1968;
the complex I inhibition could be estimated around 40% for a            Freeman and Haldar 1970; Abou-Khalil et al. 1980). TAP
300-mg/kg CAP injection. As discussed above, if the optical             remains, however, capable to induce an inhibition of the
properties of CAP and metabolites cannot not interfere                  protein synthesis like CAP. In this sense, our preliminary
directly with the signal measured, the inhibition of the                results (not shown) indicate that in vivo TAP does not
complex I could come from CAP itself or some of its                     increase the brain autofluorescence.
metabolites.
                                                                        Does the complex I inhibition achieved by CAP occur
Is the complex I inhibition induced by CAP                              in preferential neuronal sets?
or by some of its p-NO2 metabolites?                                    The complex I appears to be concentrated in brain regions
CAP offers a unique example in terms of metabolic pathway               containing a high density of excitatory synapses (Higgins
diversity (Glazko 1987; Bories and Cravendi 1994). It is                and Greenamyre 1996). A preference for the dendrites (60%)
questioned here whether some of the CAP metabolites could               has also been reported (Wong-Riley 1989; Higgins and
lead to the rise observed in the nRD NADH fluorescence                   Greenamyre 1996). The nRD area probed ((200 lm)3, about
after CAP administration. In this respect, CAP, poorly                  200–300 nerve cell bodies) in our experiments exhibits
soluble in water, is often formulated as an biologically                numerous dendrites (Descarries et al. 1982). The nRD
inactive ester. CAP succinate, however, is hydrolysed into              comprises also the largest collection of 5HT cell bodies
the active form of CAP in the liver, lungs and kidneys. The             (about 50% of the whole nerve cells) in rats (Descarries et al.
rate at which this hydrolysis occurs in the liver appears to be         1982), in cats (Chazal and Ralston 1987) and in humans
highly variable among individuals (Kroon and de Jong 1979)              (Dorph-Petersen 1999). Finally, the area occupied by mito-
and this is confirmed and quantified by our data. The increase            chondria (10%) was estimated nearly identical in 5HT and
in CAP concentration in brain tissue is a composite function            non-5HT neurones (Descarries et al. 1982). Thus, the
of its hydrolysis rate, the excretion of CAP succinate, the             complex I inhibition does not occur exclusively in 5HT
glucuronidization into CAP glucuronide and the blood–brain              neurones.
barrier transfer. As the concentration of CAP into the
cerebro-spinal fluid of the rat injected with a 165-mg/kg dose           Is the complex I inhibition tissue-specific in vivo?
is 23 ± 5 mg/L during the first hour postinjection (Meule-               In in vitro preparations, the inhibition induced by CAP has
mans et al. 1986), in our experiments a 200-mg/kg dose                  been observed at doses 5–10-fold higher than those used in
might lead to a CAP concentration around 26–28 mg/L (80–                our experiments (Stoner 1964; Freeman and Haldar 1967;
110 lM). Further, in in vitro mitochondria preparations, a              Freeman and Haldar 1968; Freeman and Haldar 1970;
50% inhibition of the complex I is achieved by CAP in the               Kroon and Arendzen 1972; Abou-Khalil et al. 1980; Yunis
400–1000 lM range (Freeman and Haldar 1968; Freeman                     1988). Moreover, it was also shown that the CAP inhibition
and Haldar 1970; Kroon and Arendzen 1972; Abou-Khalil                   site fits in many aspects with that of rotenone (Freeman and
et al. 1980), while for oxidative phosphorylation a 7–17%               Haldar 1970). CAP belongs indeed to a class of polycyclic
inhibition is obtained at 100 lM (Kroon and Arendzen 1972;              hydrophobic inhibitors (rotenone-like) related to quinone.
Abou-Khalil et al. 1980). In our experimental conditions, the           In vivo, the existence of brain complex I tissue-specific
nRD complex I inhibition might thus be in the above range.              isoenzymes have been suggested as well as the fact that
It is not excluded, however, that the large NADH rise                   rotenone impairs more strongly the brain than skeletal
obtained after CAP administration could come from one of                muscles, the heart and kidneys (Higgins and Greenamyre
its metabolites. The consistent investigations conducted as             1996). In this respect, a threshold effect has been proposed
yet on CAP metabolism (Abou-Khalil et al. 1980; Glazko                  as an additional mechanism contributing to the tissue
1987; Yunis 1988; Holt et al. 1993; Bories and Cravendi                 specificity suggested (Davey et al. 1998; Rossignol et al.
1994) point out nitroso-CAP (NO-CAP) as a putative                      1999; Rossignol et al. 2000). The threshold value quantifies
candidate. Although not identified in clinical samples (Holt             how far the enzymatic activity can be reduced before the
et al. 1993; Bories and Cravendi 1994), this compound                   occurrence of significant impairments of the oxidative


Ó 2003 International Society for Neurochemistry, J. Neurochem. (2003) 10.1046/j.0022-3042.2003.01508.x
8 S. Mottin et al.



phosphorylation. Data reported indicate a strong tissue               of a reduced production of energy in the areas where the
difference for the complex I, i.e. about 40–50% inhibition            complex I threshold is exceeded. Finally, in practice, a cheap
leads to brain energy impairments while the threshold values          mitochondria neuroprotective substance, given in association
are mean of 70–80% for the liver, the muscle, etc.                    with CAP, would protect patients against adverse effects of
(Rossignol et al. 1999; Rossignol et al. 2000). More                  the antibiotic in several underdeveloped countries.
detailed studies (Davey and Clark 1996; Davey et al.
1997; Davey et al. 1998) further specify that the low                 CAP and paradoxical sleep
threshold values differed among various brain regions                 The implications of our results extend beyond the field
(hippocampus, cortex) when considering non-synaptic                   related to the antibiotic neurotoxicity. In this respect, we
(60%) or synaptic mitochondria (25%). When the 25%                    recall that in 1974, in our laboratory, CAP was given orally,
threshold is exceeded, mitochondria respiration is severely           as an antibiotic, to cats equipped only with the polygraphic
impaired, resulting in a reduced synthesis of ATP. Below this         electrodes allowing the sleep-wake states scoring. A marked
threshold, the complex I activity changes and the proton-             inhibition of PS occurrence was then noticed and later
electron fluxes remain nearly unchanged. But, this is not              confirmed in mice and rats (Petitjean et al. 1979; Fride et al.
exactly the case for NADH since its variations are devoted            1989; Prospero-Garcia et al. 1993). Up to now, the mech-
to the maintenance of the fluxes at the same level. Moreover,          anisms related to this effect have remained unexplained.
in in vivo situation, control of critical ratio (oxidative            They have been, nevertheless, at the basis of a fruitful
phosphorylation fluxes/free radical production) and thresh-            research on the nature of the link existing between protein
olds can also be influenced (Barrientos and Moraes 1999),              synthesis and PS occurrence. But PS inhibition related to
for example by glutathione which reduces complex I                    CAP does not result from a specific inhibition of the protein
threshold (Davey et al. 1998). When the cellular redox state          synthesis since TAP, a structural analogue of CAP achieving
is unbalanced, the redox centres produce more free radicals,          the same protein synthesis inhibition, does not prevent PS
introducing the cell in a vicious cycle (Barrientos and               occurrence (Petitjean et al. 1979; Fride et al. 1989; Prosper-
Moraes 1999) amplifying the reactive oxygen species fluxes             o-Garcia et al. 1993). Afterwards, the possibility of a PS
with a high tissue susceptibility (Esposito et al. 1999).             dependence on energetic metabolism emerged (Jouvet 1994;
    Thus, the fact that very low doses of CAP are capable to          Mottin et al. 1997). Data reported here fulfil the hypothesis
trigger the in vivo complex I inhibition might be related to: (i)     that PS might indeed be energy-gated (Jouvet 1994). They
complex I specific steric factors towards rotenone binding             underline that respiratory chain inhibition at the complex I
sites; (ii) very low threshold value of brain complex I; and          level is a determinant event in the CAP-related PS suppres-
(iii) in vivo redox situation.                                        sion.

In vivo CAP neurotoxicity
                                                                      Conclusion
Concerning this aspect, it is likely that brain mitochondria
injury induced by CAP could result from inhibition of                 During the past 25 years, mitochondria complex I inhibition
complex I and protein synthesis. Our results do not imply             by CAP has been considered to be sensitive only at strong
that the inhibition of the protein synthesis results secondarily      overdoses. Our report shows that, in vivo, this inhibition is
from the complex I inhibition. They only suggest that these           effective at clinical dosages of the substance. The CAP
two processes run in parallel when the CAP dose admin-                neurotoxicity is, at least in part, a consequence of the complex
istered is sufficient enough for triggering both of them. Most         I inhibition. This adverse property, limiting the oxidative
of the CAP side-effects reported in neurological practice             production of ATP, might explain why PS, an energy-gated
might be the consequence of the brain complex I inhibition.           state, is suppressed after the antibiotic administration. More-
CAP was used widely in paediatric practice until the                  over, the TRES optical methods appear to be well-suited for
identification of the so-called Ôgrey syndromeÕ in the late            probing brain mitochondria functions in relation with beha-
1950s as a result of the antibiotic treatment. Despite                viour. They can be also of paramount importance for studies
intensive research, the mechanism of the CAP-induced                  related to the brain toxicology of substances.
aplasia remain unexplained (Glazko 1987; Holt et al. 1993).
A tentative explanation could reside in the fact that in vivo,
                                                                      References
CAP inhibits the complex I. Its persistent use world-wide
(Kumana et al. 1993; Norris et al. 1995; Niel et al. 1997;            Abou-Khalil S., Abou-Khalil W. H. and Yunis A. A. (1980) Differential
Payet 1997; Barie 1998; Kanemitsu et al. 1999) would justify               effects of chloramphenicol and its nitrosoanalogue on protein
                                                                           synthesis and oxidative phosphorylation in rat liver mitochondria.
a renewed interest in the toxicology related to this cheap and             Biochem. Pharmacol. 29, 2605–2609.
useful antibiotic. Although the precise mechanisms of CAP             Barie P. S. (1998) Antibiotic-resistant gram-positive cocci: implications
neurotoxicity remain uncertain at the cellular level, the toxic            for surgical practice. World J. Surg. 22, 118–126.
manifestations as yet reported might likely be a consequence


                                    Ó 2003 International Society for Neurochemistry, J. Neurochem. (2003) 10.1046/j.0022-3042.2003.01508.x
Inhibition of NADH oxidation by chloramphenicol 9



Barrientos A. and Moraes T. (1999) Titrating the effects of mitochondrial     Glinka Y., Tipton K. F. and Youdim M. B. H. (1998) Mechanism of
      complex I impairment in the cell physiology. J. Biol. Chem. 274,              inhibition of mitochondrial respiratory complex I by 6-hydroxy-
      16188–16197.                                                                  dopamine and its prevention by desferrioxamine. Eur. J. Phar-
Bories G. F. and Cravendi J.-P. (1994) Metabolism of chloramphenicol.               macol. 351, 121–129.
      A story of nearly 50 years. Drug Metabol. Rev. 26, 767–783.             Hashimoto M., Takeda Y., Sato T., Kawahara H., Nagano O. and Hir-
Cassarino D. S. and Bennet J. P. (1999) An evaluation of the role of                akawa M. (2000) Dynamic changes of NADH fluorescence images
      mitochondria in neurodegenerative diseases: mitochondrial muta-               and NADH content during spreading depression in the cerebral
      tions and oxidative pathology, protective nuclear responses, and              cortex of gerbils. Brain Res. 872, 294–300.
      cell death in neurodegeneration. Brain Res. Rev. 29, 1–25.              Higgins D. S. and Greenamyre J. T. (1996) [3H]Dihydrorotenone binding
Cespuglio R., Houdouin F., Oulerich M., El Mansari M. and Jouvet M.                 to NADH: ubiquinone reductase (complex I) of the electron trans-
      (1992) Axonal and somato-dendritic modalities of serotonin                    port chain: an autoradiographic study. J. Neurosci. 16, 3807–3816.
      release: their involvment in sleep preparation, triggering and          Holt D., Harvey D. and Hurley R. (1993) Chloramphenicol toxicity. Adv.
      maintenance. J. Sleep Res. 1, 150–156.                                        Drug. React. Rev. Toxicol. Rev. 12, 83–95.
Chance B., Cohen P., Jobsis F. and Schoener B. (1962) Intracellular           Jouvet M. (1994) Paradoxical sleep mechanisms. Sleep 17, S77–S83.
      oxidation-reduction states in vivo. Science 137, 499–508.               Kanemitsu K. and Shimada J. (1999) Neurotoxicity of antibacterial
Chazal G. and Ralston H. J. (1987) Serotonin-containing structures in the           agents (tetracyclines, chloramphenicol, aminoglycosides, beta-lac-
      nucleus raphe dorsalis of the cat: an ultrastructural analysis of             tams and others). Ryoikibetsu Shokogun Shirizu 27, 545–551.
      dendrites, presynaptic dentrites and axon terminals. J. Comp.           Kroon A. M. and Arendzen A. J. (1972) Inhibition of mitochondrial
      Neurol. 259, 317.                                                             biogenesis. FEBS Meeting 28, 71–83.
Davey G. P. and Clark J. B. (1996) Threshold effects and control of           Kroon A. M. and de Jong L. (1979) The use of antibiotics to study
      oxidative phosphorylation in nonsynaptic rat brain mitochondria.              mitochondrial protein synthesis, in Methods in Enzymology,
      J. Neurochem. 66, 1617–1624.                                                  (Fleischer S. and Packer L., eds). Academic Press, New York.
Davey G. P., Canevari L. and Clark J. B. (1997) Threshold effects in          Kumana C. R., Li K. Y. and Kou M. (1993) Do chloramphenicol blood
      synaptosomal and nonsynaptic mitochondria from hippocampal                    dyscrasias occur in Hong Kong? Adv. Drug. React. Rev. Toxicol.
      CA1 and paramedian neocortex brain regions. J. Neurochem. 69,                 Rev. 12, 97–106.
      2564–2570.                                                              Meulemans A., Vicard P., Mohler J., Vulpillat M. and Pocidalo J. J.
Davey G. P., Peuchen S. and Clark J. B. (1998) Energy thresholds in                 (1986) Continuous sampling for determination of pharmacokinet-
      brain mitochondria. Potential involvement in neurodegeneration.               ics in rat cerebrospinal fluid. Antimicrob. Agents Chemother. 30,
      J. Biol. Chem. 273, 12753–12757.                                              888–891.
Degli Esposti M. (1998) Inhibitors of NADH-ubiquinone reductase: an           Mottin S., Tran-Minh C., Laporte P., Cespuglio R. and Jouvet M. (1993)
      overview. Biochim. Biophys. Acta 1364, 222–235.                               Fiber optic time-resolved fluorescence sensor for in vitro serotonin
Delpy D. T., Cope M., van der Zee P., Arridge S., Wray S. and Wray J.               determination. Appl. Spectroscopy 47, 590–597.
      (1988) Estimation of optical pathlength through tissue from             Mottin S., Laporte P., Cespuglio R. and Jouvet M. (1997) Determination
      direct time of flight measurement. Phys. Med. Biol. 33, 1433–                  of NADH in the rat brain during sleep wake states with an optic
      1442.                                                                         fibre sensor and time resolved fluorescence procedures. Neuro-
Descarries L., Watkins K. C., Garcia S. and Beaudet A. J. (1982) The                science 79, 683–693.
      serotonin neurons in nucleus raphe dorsalis of adult rat: a light and   Niel L., Lamarque D., Coue J. C., Soares J. L., Milleliri J. M., Boutin
                                                                                                           ´             `
      electron microscope radioautographic study. Comp. Neurol. 207,                J. P., Merouze F. and Rey J. L. (1997) Chronique d’une epidemie
                                                                                             ´                                                  ´ ´
      239–254.                                                                      annoncee de meningite a meningocoque (Goma, Za). Bull. Soc.
                                                                                            ´        ´        ` ´
Dorph-Petersen K.-A. (1999) Stereological estimation using vertical                 Pathol. Exot. 90, 299–302.
      sections in a complex tissue. J. Microsc. 195, 79–86.                   Norrby S. R. (1996) Neurotoxicity of carbapenem antibacterials. Drug
Esposito L. A., Melov S., Panov A., Cottrell B. A. and Wallace D. C.                Saf. 15, 87–90.
      (1999) Mitochondrial disease in mouse results in increased              Norris A. H., Reilly J. P., Edelstein P. H., Brennan P. J. and Schuster M.
      oxidative stress. Proc. Natl Acad. Sci. USA 96, 4820–4825.                    G. (1995) Chloramphenicol for the treatment of vancomycin-
Eto K., Tsubamoto Y., Teraushi Y., Sugiyama T., Kishimoto T.,                       resistant enterococcal infections. Clin. Infect. Dis. 20, 1137–1142.
      Takahashi N., Yamauchi N., Kubota N., Murayama S., Aizawa T.,           Patterson G. H., Knobel S. M., Arkhammar P., Thastrup O. and Piston D.
      Akanuma Y., Aizawa S., Kasai H., Yazaki Y. and Kadowaki T.                    W. (2000) Separation of the glucose-stimulated cytoplasmic and
      (1999) Role of NADH shuttle system in glucose-induced activation              mitochondrial NAD(P)H responses in pancreatic islet beta cells.
      of mitochondrial metabolism and insulin secretion. Science 283,               Proc. Natl Acad. Sci. USA 97, 5203–5207.
      981–985.                                                                Payet M. (1997) Trafics sur ordonnance. Croissance 401, 14–18.
Freeman K. B. and Haldar D. (1967) The inhibition of NADH oxidation           Petitjean F., Buda C., Janin M., David M. and Jouvet M. (1979) Effets du
      in mammalian mitochondria by chloramphenicol. Biochem. Bio-                   chloramphenicol sur le sommeil du chat. psychopharmacol. 66,
      phys. Res. Comm. 28, 8–12.                                                    147–153.
Freeman K. B. and Haldar D. (1968) The inhibition of mammalian                Prospero-Garcia O., Jimenez-Anguiano A. and Drucker-Colin R. (1993)
      mitochondrial NADH oxidation by chloramphenicol and its iso-                  Chloramphenicol prevents carbachol-induced REM sleep in cats.
      mers and analogues. Can. J. Biochem. 46, 1003–1008.                           Neurosci. Lett. 154, 168–170.
Freeman K. B. and Haldar D. (1970) Effects of chloramphenicol and its         Ramilo O., Kinane B. T. and McCracken G. H. (1988) Chloramphenicol
      isomers and analogues on the mitochondrial respiratory chain. Can.            neurotoxicity. Ped. Infect. Dis. J. 7, 358–359.
      J. Biochem. 48, 469–485.                                                Rex A., Pfeifer L., Fink F. and Fink H. (1999) Cortical NADH during
Fride E., Ben-Or S. and Allweis C. (1989) Mitochondrial protein syn-                pharmacological manipulations of the respiratory chain and
      thesis may be involved in long-term memory formation. Pharma-                 spreading depression in vivo. J. Neurosci. Res. 57, 359–370.
      col. Biochem. Behav. 32, 873–878.                                       Ross J. B. A., Subramanian S. and Brand L. (1982) Spectroscopic
Glazko A. J. (1987) Early adventures in drug metabolism – chloram-                  studies of the pyridine nucleotide coenzymes and their complexes
      phenicol. Ther. Drug Monit. 9, 320–330.                                       with dehydrogenases, in The Pyridine Nucleotide Coenzymes




Ó 2003 International Society for Neurochemistry, J. Neurochem. (2003) 10.1046/j.0022-3042.2003.01508.x
10 S. Mottin et al.



     (Everse J., Anderson B. and You K.-S., eds). Academic Press, New     Snavely S. R. and Hodges G. R. (1984) The neurotoxicity of antibac-
     York.                                                                     terial agents. Ann. Intern. Med. 101, 92–104.
Rossignol R., Malgat M., Mazat J.-P. and Letellier T. (1999) Threshold    Stoner C. D., Hodges T. K. and Hanson J. B. (1964) Chloramphenicol as
     effect and tissue specificity. Implication for mitochondrial cyto-         an inhibitor of energy-linked processes in maize mitochondria.
     pathies. J. Biol. Chem. 274, 33426–33432.                                 Nature 203, 258–261.
Rossignol R., Letellier T., Malgat M., Rocher C. and Mazat J.-P.          Thomas R. J. (1994) Neurotoxicity of antibacterial therapy. South Med.
     (2000) Tissue variation in the control of oxidative phosphoryla-          J. 87, 869–874.
     tion: implication for mitochondrial diseases. Biochem. J. 347,       Watanabe M., Koishi M., Fujiwara M., Takeshita T. and Cieslik W.
     45–53.                                                                    (1994) Development of a new fluorescence decay measurement
Sangiah S. and Burrows G. E. (1989) Hypotension produced by rapid              system using two-dimensional single-photon counting. J. Photo-
     intravenous administration of chloramphenicol in anaesthetised            chem. Photobiol. A: Chem. 80, 429–432.
     dogs. Res. Vet. Sci. 46, 62–67.                                      Wong-Riley M. T. T. (1989) Cytochrome oxidase: an endogenous
Schuchmann S., Kovacsb R., Kanna O., Heinemanna U. and Buchheim                metabolic marker for neuronal activity. Trends Neurosci. 12,
     K. (2001) Monitoring NAD(P)H autofluorescence to assess mito-              94–101.
     chondrial metabolic functions in rat hippocampal-entorhinal cortex   Yaffe M. P. (1999) The machinery of mitochondrial inheritance and
     slices. Brain Res. Protoc. 7, 267–276.                                    behavior. Science 283, 1493–1497.
Sick T. J. and Perez-Pinzon M. A. (1999) Optical methods for probing      Yunis A. A. (1988) Chloramphenicol: relation of structure to activity and
     mitochondrial function in brain slices. Methods 18, 104–108.              toxicity. Ann. Rev. Pharmacol. Toxicol. 28, 83–100.




                                       Ó 2003 International Society for Neurochemistry, J. Neurochem. (2003) 10.1046/j.0022-3042.2003.01508.x

Mottin laporte-cespuglio-2003

  • 1.
    Journal of Neurochemistry,2003 10.1046/j.0022-3042.2003.01508.x Inhibition of NADH oxidation by chloramphenicol in the freely moving rat measured by picosecond time-resolved emission spectroscopy Stephane Mottin,* Pierre Laporte* and Raymond Cespuglio  ´ *LTSI, CNRS UMR 5516, University of St-Etienne, St-Etienne, France  INSERM U480, University of Lyon, Lyon, France Abstract implies an efficient inhibition of complex I of the respiratory Owing to the lack of methods capable to monitor the energetic chain by CAP. It refers to the mechanism through which the processes taking place within small brain regions (i.e. nucleus adverse effects of the antibiotic may take place. It could explain raphe dorsalis, nRD), the neurotoxicity of various categories of why paradoxical sleep, a state needing aerobic energy to substances, including antibiotics and psycho-active drugs, still occur, is suppressed after CAP administration. The present remains difficult to evaluate. Using an in vivo picosecond approach constitutes the first attempt to determine by fluor- optical spectroscopy imaging method, we report that escence methods the effects of substances on deep brain chloramphenicol (CAP), besides its well-known ability to inhibit structures of the freely moving animal. It points out that in vivo the mitochondria protein synthesis, also influences the NADH/ ultrafast optical methods are innovative and adequate tools for NAD+ redox processes of the respiratory chain. At a 200-mg/kg combined neurochemical and behavioural approaches. dose, CAP indeed produces a marked increase in the fluor- Keywords: antibiotic, behaving rat, NADH, neurotoxicity, escent signal of the nRD which, according to clear evidence, is sleep, time-resolved fluorescence. likely to be related to the NADH concentration. This effect also J. Neurochem. (2003) 10.1046/j.0022-3042.2003.01508.x To date, the ÔseasonedÕ chloramphenicol (CAP) antibiotic still regard to mitochondria metabolism. However, approaches remains widely used in developing countries (Kumana et al. related to the in vivo study of the brain mitochondria 1993) and the importance of its supply is so crucial that it networks (Glinka et al. 1998; Yaffe 1999) still remain often leads to forgery (Payet 1997). This substance, among difficult. Owing to the progress of neurophotonics, direct the most famous mitochondriotropic drugs used in research brain investigations have been started in the unanesthetized (Kroon and Arendzen 1972; Yunis 1988; Bories and Cravendi animal (Mottin et al. 1997; Cassarino and Bennet 1999). 1994) is obviously precious in the case of serious epidemic Besides, it is also known that mitochondria are elements (Niel et al. 1997) and of multiresistant treatments (Barie sensitive to antibiotics (Ramilo et al. 1988; Snavely and 1998). Owing to its excellent accessibility to the cerebro- Hodges 1984; Degli Esposti 1998) and, in this respect, CAP spinal fluid and brain tissue, this antibiotic is incomparably has been widely studied. After discovery of the CAP ability efficient against meningitis and typhoid fever (Meulemans to inhibit mitochondria respiratory processes (Stoner et al. et al. 1986). Nevertheless, it must be mentioned that its 1964), several other reports (Freeman and Haldar 1967; administration to patients often induces adverse effects Freeman and Haldar 1968; Freeman and Haldar 1970; Kroon including mental confusion, headache, appetite loss, oph- talmoplegia, selective inhibition of paradoxical sleep (PS) and Received March 5, 2002; revised manuscript received July 15, 2002; epileptogenic manifestations (Abou-Khalil et al. 1980; Yunis accepted October 7, 2002. 1988; Holt et al. 1993; Bories and Cravendi 1994). Address correspondence and reprint requests to Stephane Mottin, ´ Most of the antibiotic adverse effects on the brain have LTSI, CNRS UMR 5516, F-42023 St-Etienne Cedex 02, France. E-mail: MOTTIN@univ-st-etienne.fr often been misinterpreted (Snavely and Hodges 1984; Abbreviations used: CAP, chloramphenicol; Cx, cortex; 5HT, Thomas 1994; Norrby 1996; Kanemitsu and Shimada 5-hydroxytryptamine; i.p., intraperitoneal; nRD, nucleus raphe dorsalis; 1999). As yet, many CAP metabolites have been studied in ps, paradoxical sleep; TRES, time-resolved emission spectroscopy. Ó 2003 International Society for Neurochemistry, J. Neurochem. (2003) 10.1046/j.0022-3042.2003.01508.x 1
  • 2.
    2 S. Mottinet al. and Arendzen 1972; Abou-Khalil et al. 1980) further pointed with a special VUV window (StreakScope from Hamamatsu, Japan) out that this compound is an inhibitor of the mitochondria and a 270-M spectrograph (Spex Jobin-Yvon, France) were also complex I (NADH-ubiquinone oxidoreductase, EC 1.6.5.3) used in the second generation of the optical design. Images obtained on isolated mitochondria preparations. They allowed the with the streak camera were registered through a two-dimensional single-photon counting mode (Watanabe et al. 1994). conclusion that the concentration of CAP necessary for the inhibition of complex I is far superior to the concentration TRES methodology in vivo necessary for the mitochondria protein synthesis inhibition. When the measurements are limited in intensity, without a real-time Since this period, CAP has been used, even in vivo, as a TRES analysis, the link existing between the photo-electron counts ÔpureÕ mitochondria protein synthesis inhibitor. Its ability to and the fluorophore concentration variation cannot be defined inhibit the mitochondria complex I has been neglected since (Mottin et al. 1993). The optical signal is proportional to the NADH considered as effective only in vitro at strong overdoses concentration variation only if the spectrum and the decay-time (Abou-Khalil et al. 1980; Yunis 1988; Holt et al. 1993; remain unchanged. Thus, if the NADH quantum efficiency changes, Bories and Cravendi 1994). CAP presents, nevertheless, an if another emission overlaps the NADH fluorescence or if the inner unusual excellent accessibility to the cerebro-spinal fluid and filters absorb NADH emission, then the conventional fluorimetric brain tissue where its accumulation may reach a concentra- methods fail. TRES imagery avoids these inconveniences and allows a more objective analysis of tissue optics. In order to add tion efficient enough to inhibit mitochondria respiration strength to our methodology, we also introduced the control of the (Meulemans et al. 1986). photon counting rate. For this purpose, the laser intensity was set at Throughout this report, we provide answers to the a low level: 0.15 mW, 30 Hz, 5 lJ/pulse. The excitation wave- unsolved problems attached to the adverse effects of CAP lengths were (i) 337 nm, with a nitrogen laser at a repetition rate of not related to the inhibition of mitochondria protein synthe- 30 Hz and a FWHM (full width at half max) of 300 ps (LN 100, sis. For this purpose, NADH/NAD+ redox processes taking Laser Photonics, USA) and (ii) 355 nm with a tripled YAG laser at a place in the nucleus raphe dorsalis (nRD) of the freely repetition rate of 30 Hz and a FWHM of 3.5 ns (OPO901, moving rat were first monitored with a picosecond time- BMIndustrie, France). Despite this long FWHM, the 355 nm resolved fluorescence method. The nRD target was chosen wavelength was of a great interest with regard to the recent because of its involvement in sleep triggering (Cespuglio picosecond YAG microchip laser developments. For the 337 and et al. 1992) and CAP was employed on the basis of its ability 355 nm wavelengths, we used a time window of 10 ns and 20 ns, respectively, the integration time being set at one minute. In the to suppress PS (Petitjean et al. 1979). Afterwards, the effect 487–508 nm emission wavelength window, the magnitude of the of CAP on the NADH/NAD+ redox balance was checked. noise (measured in deionized water) was 2% and 8.5% of the basal nRD fluorescent signal for 337 and 335 excitation wavelengths, respectively. Materials and methods Significance of the increase in fluorescence observed after CAP administration can be analysed in using different statistical tests. As Experimental procedure our in vivo results are time series data we used a paired t-test well In 15 OFA male rats (IFFA CREDO, France) weighing 280–300 g adapted to evaluate the significance of the changes observed. and anaesthetised with chloral hydrate [400 mg/kg, intraperitoneal In pharmacology, temporal distributions of such time-dependent (i.p.)], a guide canula was implanted in the nRD according to a variables are usually studied by non-linear regression analysis. Thus, procedure previously described (Mottin et al. 1997). After 10 days in order to quantify all aspects of the mean increase in the of recovery (12 h)12 h light/dark, temperature at 24 ± 0.5°C, food autofluorescence induced by CAP, a mathematical pharmacokinetic and water ad libitum) time-resolved fluorescence measurements model was defined, i.e. y ¼ a + b {1 ) exp[– (t ) d )/c]}, y being were carried out (daily sessions of 4–8 h). At the end of the the value of the fluorescent signal expressed in single photo-electron experimental sessions, the animals were killed with a lethal dose of count units (SPE) and t the temporal scale in minutes. Coefficients a, nembutal and the position of the working sensor checked. CAP b, c and d represent, respectively, the basic autofluorescence level hemisuccinate (SolnicolÓ, Synthelabo, France) and saline solution (in SPE count), its increase (in SPE count), the time lapse covering were administered i.p. For the 337 nm excitation wavelength this variation (min) and the delay (min) existing between the experiments, two CAP doses were used, i.e. 200 and 400 mg/kg. injection procedure and the beginning of the signal increase. To With the 355 nm excitation wavelength, experiments were conduc- assess the validity of the model, the regression coefficient (R), was ted with a 300-mg/kg dose. always set above 0.95. Time-resolved emission spectroscopy (TRES) An application of ultrafast neurophotonics enabling both spectral Results and temporal analysis of tissue fluorescence in behaving animals has been achieved in this study. The first generation of the set-up used was described before (Mottin et al. 1997). Briefly, delivery and TRES imagery in vivo collection of the optical signals (laser excitation and emission) were A typical TRES image, derived from the nRD, is illustrated performed through a thin optical fibre allowing a good anatomical in Fig. 1(a). The autofluorescence spectrum is measured in resolution (core diameter ¼ 200 lm). A streak camera equipped the 377–554 nm window (Fig. 1b). The temporal analysis of Ó 2003 International Society for Neurochemistry, J. Neurochem. (2003) 10.1046/j.0022-3042.2003.01508.x
  • 3.
    Inhibition of NADHoxidation by chloramphenicol 3 Fig. 1 (a) Typical time-resolved spectroscopy image derived from the number of SPE counts for each pixel. The black part corresponds to nucleus raphe dorsalis (nRD) by using a two-dimensional single photo- zero SPE, the white part to 1 SPE. Grey becomes darker throughout electron (SPE) counting. The spectrum of the autofluorescence is the SPE counting. A rapid variation occurs from 1 to 10 SPE counting. shown in (b). (c) shows the temporal shape corresponding to the This image was acquired over 15 min. spectral window 487–508 nm. The colours of the z-axis give the the fluorescence shape gives a mean decay time of counting rate was lower for the 337 nm wavelength excita- 900 ± 50 ps within the 487–508 nm window (Fig. 1c). tion than for the 355 nm one. This was mainly due to the difference in the laser beam quality and the coupling into the Changes induced by CAP optical fibre. In freely moving animals, saline administration did not The mean values of (c) also given ± the standard error are, induce behavioural changes nor variations in the TRES respectively, for 200 mg/kg, 300 mg/kg and 400 mg/kg: signal. However, all the i.p. injections of CAP succinate 71 ± 33 min, 107 ± 24 min and 126 ± 35 min. (200–400 mg/kg) performed in the same conditions induced The delay (d ) existing between the injection proce- a highly significant increase in the nRD blue fluorescence dure and the beginning of the signal increase is in a (Fig. 2). The mean values of the basal counting (a) given ± the 2–14 min time window with a mean peaking at 4 min. The standard error are, respectively, for 200 mg/kg, 300 mg/kg fluorescence increment (b) induced by CAP injection is and 400 mg/kg: 12721 ± 2310 SPE, 48794 ± 2474 SPE and shown on Fig. 3. The paired t-test comparisons performed 16013 ± 1051 SPE. We further noticed that the basal indicate that the differences existing between the CAP doses Ó 2003 International Society for Neurochemistry, J. Neurochem. (2003) 10.1046/j.0022-3042.2003.01508.x
  • 4.
    4 S. Mottinet al. Fig. 4 In vivo fluorescence spectra derived from the nRD and induced by a nitrogen laser excitation. Each spectrum is the mean of seven spectra measured about 30 min before injection. are significant. The differences existing between the CAP doses between 200 mg/kg and 300 mg/kg are significant. Between 300 mg/kg and 400 mg/kg or between 200 mg/kg and 400 mg/kg the differences are highly significant. Regarding the 337 nm excitation, spectra obtained before CAP injection exhibited a high variability in the UV-purple part. Below 450 nm, several patterns of the spectra and decay times were also measured. This variability might be due to the presence or the absence of a UV-purple shoulder coming probably from different endogeneous fluorophores also com- bined with the Soret band of the haemoglobins (inner effect). Concerning again the above variability, the 450–480 nm window was in an intermediate position while above 480 nm, the UV-purple shoulder was less sensitive (Fig. 4). In the case of the 355 nm excitation, basal spectra were Fig. 2 Time-resolved spectroscopic measurements achieved in the more reproducible. Figure 5 illustrates the variations induced nRD. (a), (b) and (c) are, respectively, devoted to the 200 mg/kg, by a CAP injection on the whole spectral window. In the 400 mg/kg and 300 mg/kg dose. Each point represents the sum of 450–550 nm window, the increase in fluorescence obtained single photo-electron counts performed in time-resolved emission was greater than in the 380–440 nm window (four positive spectroscopy within the nRD (windows: 488–507 nm). The pharma- effects/five trials). cokinetic exponential fitting y ¼ a + b{1 ) exp[– (t ) d )/c]} is shown. Some data are missing due to data processing and the back-up pro- Finally, we also checked that, for a 300-mg/kg dose of cedure. Symbols are used for clarity. CAP, the overall CAP pharmacokinetics (increase and decrease down to the basic fluorescence level) occurred within 6–7 h. Changes induced by the animal death Concerning the ability of CAP (or metabolites) to inhibit the NADH/NAD+ redox processes of the respiratory chain in the nRD, it is hard to give an absolute evaluation of the inhibition strength. In order to overcome this difficulty, we compared the changes occurring in the signal during the animal death (lethal dose of barbiturates: 120 mg/kg) with those obtained after a CAP injection. The lethal dose was used when the basal level fluorescent signal before CAP Fig. 3 The mean NADH fluorescence increment induced by CAP injection was fully reached. Results obtained indicate that injections is quantified by (b). A paired t-test comparison indicates that during death the increase in the fluorescent signal is faster significant differences exist between the CAP doses (between 200 and and higher than after a CAP dose of 300 mg/kg (Fig. 6). The 300 mg/kg; between 300 and 400 mg/kg and between 200 and magnitude of the NADH fluorescence increase induced by 400 mg/kg). the CAP is close to 40% of the death effect. Ó 2003 International Society for Neurochemistry, J. Neurochem. (2003) 10.1046/j.0022-3042.2003.01508.x
  • 5.
    Inhibition of NADHoxidation by chloramphenicol 5 Fig. 5 In vivo fluorescence spectra derived from the nRD and induced by a 355-nm excitation. Each spectrum is the mean of seven spectra measured about 30 min ÔbeforeÕ or 115–125 min ÔafterÕ injection of CAP. The curves are marked by symbols which correspond to the symbols of the Fig. 2(c). The ratio (the spectrum ÔafterÕ divided by the spectrum ÔbeforeÕ) is indicated for each curve. Ó 2003 International Society for Neurochemistry, J. Neurochem. (2003) 10.1046/j.0022-3042.2003.01508.x
  • 6.
    6 S. Mottinet al. occurs at 278 nm. Within the large 320–600 nm wavelength window, the CAP and metabolites absorption (Bories and Cravendi 1994) are thus negligible. Therefore, the optical properties of CAP and metabolites cannot interfere with the signal measured. For the optical properties of the brain tissue, some modifications may occur when CAP is strongly infused intravenously (Sangiah and Burrows 1989). In such condi- tions, hypotension is triggered together with an increase in Fig. 6 Events related to a CAP injection (a) or to the animal death the cerebral blood volume. Both events could well be at the (b). In the case illustrated in (b), the animal was killed (lethal dose basis of a haemodynamic artefact. Regarding this aspect, we of barbiturates, i.e. 120 mg/2 mL for the entire animal) 8 h after a emphasize that our experimental protocol used only i.p. 300-mg/kg i.p. injection of CAP succinate (the c coefficient is administrations of CAP and that our methodological set-up 3.8 ± 0.5 min). The basal level of the signal is fully reached 7 h after exhibited a photon counting rate in the same range through- the 300 mg/kg i.p. injection. The nRD fluorescence was measured at out the different experimental sessions. This homogeneity 355 nm excitation wavelength (emission wavelength 484–508 nm). underlines that our sensor was at a scale avoiding angioar- chitectonic influences of the nRD. This nucleus is, indeed, poorly vascularized (Descarries et al. 1982) as about 12–24 Discussion capillary lumens are present in the section of our sensor. In Data obtained indicate that CAP induces a significant the 480–540 nm window, however, the tissue absorption is increase in the laser (335–337 nm excitation wavelengths) lower than in UV and might increase the absorption and the induced NADH fluorescent signal of the nRD. For a CAP scattering effects produced by the nRD capillaries. Despite dose of 300 mg/kg the effect obtained is close to 40% of the this assumption, we nevertheless observed that the 480– death triggered variation. 540 nm spectral shapes do not change after CAP adminis- tration. Whatever the complexity of the optical tissue NADH dependence of the fluorescent signal properties might be, the time-course of the transient hypo- Since the pioneering work of Chance et al. (1962), several tension attached to CAP administration is inferior to 10 min optical designs have been published (Mottin et al. 1997). (Sangiah and Burrows 1989) and cannot in itself explain the Many authors discussed the link existing between the UV- exponential increase observed in the fluorescent signal over induced brain fluorescence and the NADH intramitochondria 2 h. Moreover, we underline that the design of the monofibre concentration (Rex et al. 1999; Sick and Perez-Pinzon 1999; sensor employed: (i) limits the number of scattering events; Hashimoto et al. 2000; Schuchmann et al. 2001). Again, the and (ii) allows a probing in small volumes as well as the recent and important changes reported in the mitochondria largest collection of photons. This sensor design further glucose-stimulated NADH fluorescence from intact pancre- avoids the geometrical blindness of a multioptic fibre atic islets (Eto et al. 1999; Patterson et al. 2000) confirm this configuration in scattering media. aspect. It is thus very likely that the brain autofluorescence Concerning the changes occurring in the quantum effi- measured in the 480–540 nm window might be attached to ciency of the fluorophores, the fluorescence decay time NADH (for 337 or 355 nm excitation wavelengths). How- analysis performed is well suited. Indeed, in vitro, the ever, since the TRES imagery, used in the present approach, quantum efficiencies of either free or protein-bound forms of offers, over conventional spectrofluorimetric methods, the NADH exhibit decay time variations in a range running from beneficial access to a complete analysis of the tissue 0.3 ns to 4 ns (Ross et al. 1982). In vivo, however, we have fluorescence, we again considered the dependence of the not observed significant variations in the temporal shape of fluorescent signal measured on the NADH concentration. In the fluorescence in the 480–540 nm window. Thus, the this respect, we further analysed whether the signal obtained increase in the nRD fluorescence obtained after CAP could be produced by CAP itself. In the 480–540 nm injection is not dependent on the changes occurring in the window, the changes observed might indeed result not only quantum efficiency. It might thus be directly linked with from an increase in the NADH concentration, but also from: NADH concentration changes and complex I inhibition. (i) the optical properties of xenobiotic compounds; (ii) the modifications occurring in the optical properties of the tissue; Death versus CAP effect and (iii) the increase in quantum efficiency of endogenous It is clear that the increase in fluorescence induced by death fluorophores. cannot be used directly as a perfect anoxic test of reference Regarding the optical properties of xenobiotic compounds, since its amplitude depends on the nature of the anaesthetic it can be underlined that the first spectral component (Holt et al. 1993; Bories and Cravendi 1994) and the observed in UV absorption, with CAP in water at pH 7, concomitant transient modifications occurring in the optical Ó 2003 International Society for Neurochemistry, J. Neurochem. (2003) 10.1046/j.0022-3042.2003.01508.x
  • 7.
    Inhibition of NADHoxidation by chloramphenicol 7 properties of the tissue (Delpy et al. 1988). Whatever these might contribute to the CAP effect reported here. Thus, our inconveniences might be, when death occurs, mitochondria in vivo results raise once more the question related to the redox processes are totally suppressed and NADH remains CAP toxicity. In this respect, several studies (Freeman and fully reduced. If the strength of this inhibition is referenced at Haldar 1968; Freeman and Haldar 1970; Abou-Khalil et al. 100%, then the in vivo effect obtained with CAP reaches 1980; Glazko 1987; Yunis 1988; Holt et al. 1993; Bories and 40% of the death-related changes. To fulfil this aspect from Cravendi 1994) have already suggested that the p-NO2 group an experimental point of view, the use of different inhibitors may be related to the complex I inhibition. This is also of the complex I, for example, rotenone (Degli Esposti supported by the fact that thiamphenicol (TAP), differing 1998), would be useful. Finally, if we assume that the from CAP by a methylsulfonyl moiety replacing the p-NO2 maximal level of the NADH fluorescence occurs after death, group, is inactive on complex I (Freeman and Haldar 1968; the complex I inhibition could be estimated around 40% for a Freeman and Haldar 1970; Abou-Khalil et al. 1980). TAP 300-mg/kg CAP injection. As discussed above, if the optical remains, however, capable to induce an inhibition of the properties of CAP and metabolites cannot not interfere protein synthesis like CAP. In this sense, our preliminary directly with the signal measured, the inhibition of the results (not shown) indicate that in vivo TAP does not complex I could come from CAP itself or some of its increase the brain autofluorescence. metabolites. Does the complex I inhibition achieved by CAP occur Is the complex I inhibition induced by CAP in preferential neuronal sets? or by some of its p-NO2 metabolites? The complex I appears to be concentrated in brain regions CAP offers a unique example in terms of metabolic pathway containing a high density of excitatory synapses (Higgins diversity (Glazko 1987; Bories and Cravendi 1994). It is and Greenamyre 1996). A preference for the dendrites (60%) questioned here whether some of the CAP metabolites could has also been reported (Wong-Riley 1989; Higgins and lead to the rise observed in the nRD NADH fluorescence Greenamyre 1996). The nRD area probed ((200 lm)3, about after CAP administration. In this respect, CAP, poorly 200–300 nerve cell bodies) in our experiments exhibits soluble in water, is often formulated as an biologically numerous dendrites (Descarries et al. 1982). The nRD inactive ester. CAP succinate, however, is hydrolysed into comprises also the largest collection of 5HT cell bodies the active form of CAP in the liver, lungs and kidneys. The (about 50% of the whole nerve cells) in rats (Descarries et al. rate at which this hydrolysis occurs in the liver appears to be 1982), in cats (Chazal and Ralston 1987) and in humans highly variable among individuals (Kroon and de Jong 1979) (Dorph-Petersen 1999). Finally, the area occupied by mito- and this is confirmed and quantified by our data. The increase chondria (10%) was estimated nearly identical in 5HT and in CAP concentration in brain tissue is a composite function non-5HT neurones (Descarries et al. 1982). Thus, the of its hydrolysis rate, the excretion of CAP succinate, the complex I inhibition does not occur exclusively in 5HT glucuronidization into CAP glucuronide and the blood–brain neurones. barrier transfer. As the concentration of CAP into the cerebro-spinal fluid of the rat injected with a 165-mg/kg dose Is the complex I inhibition tissue-specific in vivo? is 23 ± 5 mg/L during the first hour postinjection (Meule- In in vitro preparations, the inhibition induced by CAP has mans et al. 1986), in our experiments a 200-mg/kg dose been observed at doses 5–10-fold higher than those used in might lead to a CAP concentration around 26–28 mg/L (80– our experiments (Stoner 1964; Freeman and Haldar 1967; 110 lM). Further, in in vitro mitochondria preparations, a Freeman and Haldar 1968; Freeman and Haldar 1970; 50% inhibition of the complex I is achieved by CAP in the Kroon and Arendzen 1972; Abou-Khalil et al. 1980; Yunis 400–1000 lM range (Freeman and Haldar 1968; Freeman 1988). Moreover, it was also shown that the CAP inhibition and Haldar 1970; Kroon and Arendzen 1972; Abou-Khalil site fits in many aspects with that of rotenone (Freeman and et al. 1980), while for oxidative phosphorylation a 7–17% Haldar 1970). CAP belongs indeed to a class of polycyclic inhibition is obtained at 100 lM (Kroon and Arendzen 1972; hydrophobic inhibitors (rotenone-like) related to quinone. Abou-Khalil et al. 1980). In our experimental conditions, the In vivo, the existence of brain complex I tissue-specific nRD complex I inhibition might thus be in the above range. isoenzymes have been suggested as well as the fact that It is not excluded, however, that the large NADH rise rotenone impairs more strongly the brain than skeletal obtained after CAP administration could come from one of muscles, the heart and kidneys (Higgins and Greenamyre its metabolites. The consistent investigations conducted as 1996). In this respect, a threshold effect has been proposed yet on CAP metabolism (Abou-Khalil et al. 1980; Glazko as an additional mechanism contributing to the tissue 1987; Yunis 1988; Holt et al. 1993; Bories and Cravendi specificity suggested (Davey et al. 1998; Rossignol et al. 1994) point out nitroso-CAP (NO-CAP) as a putative 1999; Rossignol et al. 2000). The threshold value quantifies candidate. Although not identified in clinical samples (Holt how far the enzymatic activity can be reduced before the et al. 1993; Bories and Cravendi 1994), this compound occurrence of significant impairments of the oxidative Ó 2003 International Society for Neurochemistry, J. Neurochem. (2003) 10.1046/j.0022-3042.2003.01508.x
  • 8.
    8 S. Mottinet al. phosphorylation. Data reported indicate a strong tissue of a reduced production of energy in the areas where the difference for the complex I, i.e. about 40–50% inhibition complex I threshold is exceeded. Finally, in practice, a cheap leads to brain energy impairments while the threshold values mitochondria neuroprotective substance, given in association are mean of 70–80% for the liver, the muscle, etc. with CAP, would protect patients against adverse effects of (Rossignol et al. 1999; Rossignol et al. 2000). More the antibiotic in several underdeveloped countries. detailed studies (Davey and Clark 1996; Davey et al. 1997; Davey et al. 1998) further specify that the low CAP and paradoxical sleep threshold values differed among various brain regions The implications of our results extend beyond the field (hippocampus, cortex) when considering non-synaptic related to the antibiotic neurotoxicity. In this respect, we (60%) or synaptic mitochondria (25%). When the 25% recall that in 1974, in our laboratory, CAP was given orally, threshold is exceeded, mitochondria respiration is severely as an antibiotic, to cats equipped only with the polygraphic impaired, resulting in a reduced synthesis of ATP. Below this electrodes allowing the sleep-wake states scoring. A marked threshold, the complex I activity changes and the proton- inhibition of PS occurrence was then noticed and later electron fluxes remain nearly unchanged. But, this is not confirmed in mice and rats (Petitjean et al. 1979; Fride et al. exactly the case for NADH since its variations are devoted 1989; Prospero-Garcia et al. 1993). Up to now, the mech- to the maintenance of the fluxes at the same level. Moreover, anisms related to this effect have remained unexplained. in in vivo situation, control of critical ratio (oxidative They have been, nevertheless, at the basis of a fruitful phosphorylation fluxes/free radical production) and thresh- research on the nature of the link existing between protein olds can also be influenced (Barrientos and Moraes 1999), synthesis and PS occurrence. But PS inhibition related to for example by glutathione which reduces complex I CAP does not result from a specific inhibition of the protein threshold (Davey et al. 1998). When the cellular redox state synthesis since TAP, a structural analogue of CAP achieving is unbalanced, the redox centres produce more free radicals, the same protein synthesis inhibition, does not prevent PS introducing the cell in a vicious cycle (Barrientos and occurrence (Petitjean et al. 1979; Fride et al. 1989; Prosper- Moraes 1999) amplifying the reactive oxygen species fluxes o-Garcia et al. 1993). Afterwards, the possibility of a PS with a high tissue susceptibility (Esposito et al. 1999). dependence on energetic metabolism emerged (Jouvet 1994; Thus, the fact that very low doses of CAP are capable to Mottin et al. 1997). Data reported here fulfil the hypothesis trigger the in vivo complex I inhibition might be related to: (i) that PS might indeed be energy-gated (Jouvet 1994). They complex I specific steric factors towards rotenone binding underline that respiratory chain inhibition at the complex I sites; (ii) very low threshold value of brain complex I; and level is a determinant event in the CAP-related PS suppres- (iii) in vivo redox situation. sion. In vivo CAP neurotoxicity Conclusion Concerning this aspect, it is likely that brain mitochondria injury induced by CAP could result from inhibition of During the past 25 years, mitochondria complex I inhibition complex I and protein synthesis. Our results do not imply by CAP has been considered to be sensitive only at strong that the inhibition of the protein synthesis results secondarily overdoses. Our report shows that, in vivo, this inhibition is from the complex I inhibition. They only suggest that these effective at clinical dosages of the substance. The CAP two processes run in parallel when the CAP dose admin- neurotoxicity is, at least in part, a consequence of the complex istered is sufficient enough for triggering both of them. Most I inhibition. This adverse property, limiting the oxidative of the CAP side-effects reported in neurological practice production of ATP, might explain why PS, an energy-gated might be the consequence of the brain complex I inhibition. state, is suppressed after the antibiotic administration. More- CAP was used widely in paediatric practice until the over, the TRES optical methods appear to be well-suited for identification of the so-called Ôgrey syndromeÕ in the late probing brain mitochondria functions in relation with beha- 1950s as a result of the antibiotic treatment. Despite viour. They can be also of paramount importance for studies intensive research, the mechanism of the CAP-induced related to the brain toxicology of substances. aplasia remain unexplained (Glazko 1987; Holt et al. 1993). A tentative explanation could reside in the fact that in vivo, References CAP inhibits the complex I. Its persistent use world-wide (Kumana et al. 1993; Norris et al. 1995; Niel et al. 1997; Abou-Khalil S., Abou-Khalil W. H. and Yunis A. A. (1980) Differential Payet 1997; Barie 1998; Kanemitsu et al. 1999) would justify effects of chloramphenicol and its nitrosoanalogue on protein synthesis and oxidative phosphorylation in rat liver mitochondria. a renewed interest in the toxicology related to this cheap and Biochem. Pharmacol. 29, 2605–2609. useful antibiotic. Although the precise mechanisms of CAP Barie P. S. (1998) Antibiotic-resistant gram-positive cocci: implications neurotoxicity remain uncertain at the cellular level, the toxic for surgical practice. World J. Surg. 22, 118–126. manifestations as yet reported might likely be a consequence Ó 2003 International Society for Neurochemistry, J. Neurochem. (2003) 10.1046/j.0022-3042.2003.01508.x
  • 9.
    Inhibition of NADHoxidation by chloramphenicol 9 Barrientos A. and Moraes T. (1999) Titrating the effects of mitochondrial Glinka Y., Tipton K. F. and Youdim M. B. H. (1998) Mechanism of complex I impairment in the cell physiology. J. Biol. Chem. 274, inhibition of mitochondrial respiratory complex I by 6-hydroxy- 16188–16197. dopamine and its prevention by desferrioxamine. Eur. J. Phar- Bories G. F. and Cravendi J.-P. (1994) Metabolism of chloramphenicol. macol. 351, 121–129. A story of nearly 50 years. Drug Metabol. Rev. 26, 767–783. Hashimoto M., Takeda Y., Sato T., Kawahara H., Nagano O. and Hir- Cassarino D. S. and Bennet J. P. (1999) An evaluation of the role of akawa M. (2000) Dynamic changes of NADH fluorescence images mitochondria in neurodegenerative diseases: mitochondrial muta- and NADH content during spreading depression in the cerebral tions and oxidative pathology, protective nuclear responses, and cortex of gerbils. Brain Res. 872, 294–300. cell death in neurodegeneration. Brain Res. Rev. 29, 1–25. Higgins D. S. and Greenamyre J. T. (1996) [3H]Dihydrorotenone binding Cespuglio R., Houdouin F., Oulerich M., El Mansari M. and Jouvet M. to NADH: ubiquinone reductase (complex I) of the electron trans- (1992) Axonal and somato-dendritic modalities of serotonin port chain: an autoradiographic study. J. Neurosci. 16, 3807–3816. release: their involvment in sleep preparation, triggering and Holt D., Harvey D. and Hurley R. (1993) Chloramphenicol toxicity. Adv. maintenance. J. Sleep Res. 1, 150–156. Drug. React. Rev. Toxicol. Rev. 12, 83–95. Chance B., Cohen P., Jobsis F. and Schoener B. (1962) Intracellular Jouvet M. (1994) Paradoxical sleep mechanisms. Sleep 17, S77–S83. oxidation-reduction states in vivo. Science 137, 499–508. Kanemitsu K. and Shimada J. (1999) Neurotoxicity of antibacterial Chazal G. and Ralston H. J. (1987) Serotonin-containing structures in the agents (tetracyclines, chloramphenicol, aminoglycosides, beta-lac- nucleus raphe dorsalis of the cat: an ultrastructural analysis of tams and others). Ryoikibetsu Shokogun Shirizu 27, 545–551. dendrites, presynaptic dentrites and axon terminals. J. Comp. Kroon A. M. and Arendzen A. J. (1972) Inhibition of mitochondrial Neurol. 259, 317. biogenesis. FEBS Meeting 28, 71–83. Davey G. P. and Clark J. B. (1996) Threshold effects and control of Kroon A. M. and de Jong L. (1979) The use of antibiotics to study oxidative phosphorylation in nonsynaptic rat brain mitochondria. mitochondrial protein synthesis, in Methods in Enzymology, J. Neurochem. 66, 1617–1624. (Fleischer S. and Packer L., eds). Academic Press, New York. Davey G. P., Canevari L. and Clark J. B. (1997) Threshold effects in Kumana C. R., Li K. Y. and Kou M. (1993) Do chloramphenicol blood synaptosomal and nonsynaptic mitochondria from hippocampal dyscrasias occur in Hong Kong? Adv. Drug. React. Rev. Toxicol. CA1 and paramedian neocortex brain regions. J. Neurochem. 69, Rev. 12, 97–106. 2564–2570. Meulemans A., Vicard P., Mohler J., Vulpillat M. and Pocidalo J. J. Davey G. P., Peuchen S. and Clark J. B. (1998) Energy thresholds in (1986) Continuous sampling for determination of pharmacokinet- brain mitochondria. Potential involvement in neurodegeneration. ics in rat cerebrospinal fluid. Antimicrob. Agents Chemother. 30, J. Biol. Chem. 273, 12753–12757. 888–891. Degli Esposti M. (1998) Inhibitors of NADH-ubiquinone reductase: an Mottin S., Tran-Minh C., Laporte P., Cespuglio R. and Jouvet M. (1993) overview. Biochim. Biophys. Acta 1364, 222–235. Fiber optic time-resolved fluorescence sensor for in vitro serotonin Delpy D. T., Cope M., van der Zee P., Arridge S., Wray S. and Wray J. determination. Appl. Spectroscopy 47, 590–597. (1988) Estimation of optical pathlength through tissue from Mottin S., Laporte P., Cespuglio R. and Jouvet M. (1997) Determination direct time of flight measurement. Phys. Med. Biol. 33, 1433– of NADH in the rat brain during sleep wake states with an optic 1442. fibre sensor and time resolved fluorescence procedures. Neuro- Descarries L., Watkins K. C., Garcia S. and Beaudet A. J. (1982) The science 79, 683–693. serotonin neurons in nucleus raphe dorsalis of adult rat: a light and Niel L., Lamarque D., Coue J. C., Soares J. L., Milleliri J. M., Boutin ´ ` electron microscope radioautographic study. Comp. Neurol. 207, J. P., Merouze F. and Rey J. L. (1997) Chronique d’une epidemie ´ ´ ´ 239–254. annoncee de meningite a meningocoque (Goma, Za). Bull. Soc. ´ ´ ` ´ Dorph-Petersen K.-A. (1999) Stereological estimation using vertical Pathol. Exot. 90, 299–302. sections in a complex tissue. J. Microsc. 195, 79–86. Norrby S. R. (1996) Neurotoxicity of carbapenem antibacterials. Drug Esposito L. A., Melov S., Panov A., Cottrell B. A. and Wallace D. C. Saf. 15, 87–90. (1999) Mitochondrial disease in mouse results in increased Norris A. H., Reilly J. P., Edelstein P. H., Brennan P. J. and Schuster M. oxidative stress. Proc. Natl Acad. Sci. USA 96, 4820–4825. G. (1995) Chloramphenicol for the treatment of vancomycin- Eto K., Tsubamoto Y., Teraushi Y., Sugiyama T., Kishimoto T., resistant enterococcal infections. Clin. Infect. Dis. 20, 1137–1142. Takahashi N., Yamauchi N., Kubota N., Murayama S., Aizawa T., Patterson G. H., Knobel S. M., Arkhammar P., Thastrup O. and Piston D. Akanuma Y., Aizawa S., Kasai H., Yazaki Y. and Kadowaki T. W. (2000) Separation of the glucose-stimulated cytoplasmic and (1999) Role of NADH shuttle system in glucose-induced activation mitochondrial NAD(P)H responses in pancreatic islet beta cells. of mitochondrial metabolism and insulin secretion. Science 283, Proc. Natl Acad. Sci. USA 97, 5203–5207. 981–985. Payet M. (1997) Trafics sur ordonnance. Croissance 401, 14–18. Freeman K. B. and Haldar D. (1967) The inhibition of NADH oxidation Petitjean F., Buda C., Janin M., David M. and Jouvet M. (1979) Effets du in mammalian mitochondria by chloramphenicol. Biochem. Bio- chloramphenicol sur le sommeil du chat. psychopharmacol. 66, phys. Res. Comm. 28, 8–12. 147–153. Freeman K. B. and Haldar D. (1968) The inhibition of mammalian Prospero-Garcia O., Jimenez-Anguiano A. and Drucker-Colin R. (1993) mitochondrial NADH oxidation by chloramphenicol and its iso- Chloramphenicol prevents carbachol-induced REM sleep in cats. mers and analogues. Can. J. Biochem. 46, 1003–1008. Neurosci. Lett. 154, 168–170. Freeman K. B. and Haldar D. (1970) Effects of chloramphenicol and its Ramilo O., Kinane B. T. and McCracken G. H. (1988) Chloramphenicol isomers and analogues on the mitochondrial respiratory chain. Can. neurotoxicity. Ped. Infect. Dis. J. 7, 358–359. J. Biochem. 48, 469–485. Rex A., Pfeifer L., Fink F. and Fink H. (1999) Cortical NADH during Fride E., Ben-Or S. and Allweis C. (1989) Mitochondrial protein syn- pharmacological manipulations of the respiratory chain and thesis may be involved in long-term memory formation. Pharma- spreading depression in vivo. J. Neurosci. Res. 57, 359–370. col. Biochem. Behav. 32, 873–878. Ross J. B. A., Subramanian S. and Brand L. (1982) Spectroscopic Glazko A. J. (1987) Early adventures in drug metabolism – chloram- studies of the pyridine nucleotide coenzymes and their complexes phenicol. Ther. Drug Monit. 9, 320–330. with dehydrogenases, in The Pyridine Nucleotide Coenzymes Ó 2003 International Society for Neurochemistry, J. Neurochem. (2003) 10.1046/j.0022-3042.2003.01508.x
  • 10.
    10 S. Mottinet al. (Everse J., Anderson B. and You K.-S., eds). Academic Press, New Snavely S. R. and Hodges G. R. (1984) The neurotoxicity of antibac- York. terial agents. Ann. Intern. Med. 101, 92–104. Rossignol R., Malgat M., Mazat J.-P. and Letellier T. (1999) Threshold Stoner C. D., Hodges T. K. and Hanson J. B. (1964) Chloramphenicol as effect and tissue specificity. Implication for mitochondrial cyto- an inhibitor of energy-linked processes in maize mitochondria. pathies. J. Biol. Chem. 274, 33426–33432. Nature 203, 258–261. Rossignol R., Letellier T., Malgat M., Rocher C. and Mazat J.-P. Thomas R. J. (1994) Neurotoxicity of antibacterial therapy. South Med. (2000) Tissue variation in the control of oxidative phosphoryla- J. 87, 869–874. tion: implication for mitochondrial diseases. Biochem. J. 347, Watanabe M., Koishi M., Fujiwara M., Takeshita T. and Cieslik W. 45–53. (1994) Development of a new fluorescence decay measurement Sangiah S. and Burrows G. E. (1989) Hypotension produced by rapid system using two-dimensional single-photon counting. J. Photo- intravenous administration of chloramphenicol in anaesthetised chem. Photobiol. A: Chem. 80, 429–432. dogs. Res. Vet. Sci. 46, 62–67. Wong-Riley M. T. T. (1989) Cytochrome oxidase: an endogenous Schuchmann S., Kovacsb R., Kanna O., Heinemanna U. and Buchheim metabolic marker for neuronal activity. Trends Neurosci. 12, K. (2001) Monitoring NAD(P)H autofluorescence to assess mito- 94–101. chondrial metabolic functions in rat hippocampal-entorhinal cortex Yaffe M. P. (1999) The machinery of mitochondrial inheritance and slices. Brain Res. Protoc. 7, 267–276. behavior. Science 283, 1493–1497. Sick T. J. and Perez-Pinzon M. A. (1999) Optical methods for probing Yunis A. A. (1988) Chloramphenicol: relation of structure to activity and mitochondrial function in brain slices. Methods 18, 104–108. toxicity. Ann. Rev. Pharmacol. Toxicol. 28, 83–100. Ó 2003 International Society for Neurochemistry, J. Neurochem. (2003) 10.1046/j.0022-3042.2003.01508.x