MOTI ACCELERATI
PROF. ROMANO
Moto di un grave(1)
 E’ sperimentalmente provato che un grave in moto

lungo un asse verticale ha un’accelerazione di modulo
g = 9,8 m/s2 e diretta verso il basso. Se fissiamo un
asse z lungo la direzione di moto come in figura e
supponiamo z(0) = z0 abbiamo a = -g e quindi:

z (t )
v(t )

z0

v0t

v0

gt

1 2
gt
2

asse z

Z0
O
Un esempio
 Supponiamo di lasciar cadere un corpo da un’ altezza

z0. Poiché la velocità iniziale è nulla, la legge del moto
è:

z (t )
v(t )

1 2
z0
gt
2
gt 0

Il corpo arriva al suolo all’ istante t* tale che z(t*) =
0. Si ricava :

0

z0
v

1
g (t*)2
2
2 gz0

t*

2 z0
g

v(t*)

gt*

g

2 z0
g
Somma in coordinate cartesiane
 Se due vettori del piano u e v hanno rispettivamente

componenti (ux,uy) e (vx,vy), possiamo scrivere:
u = uxi + juy
v = vxi + jvy
essendo i e j i versori (vettori di modulo uno) degli assi.
u +v = (ux + vx)i+(uy + vy)j
Ogni vettore può essere scomposto nelle sue componenti
cartesiane secondo lo schema seguente:
Accelerazione vettoriale
Esattamente come si fa per la velocità, è possibile definire una accelerazione
media con la posizione:

Nel caso del moto di un proiettile si dimostra che l’accelerazione vettoriale
vale am = g con g diretta verso il basso e di modulo |g| = 9,8 m/s2 :
g
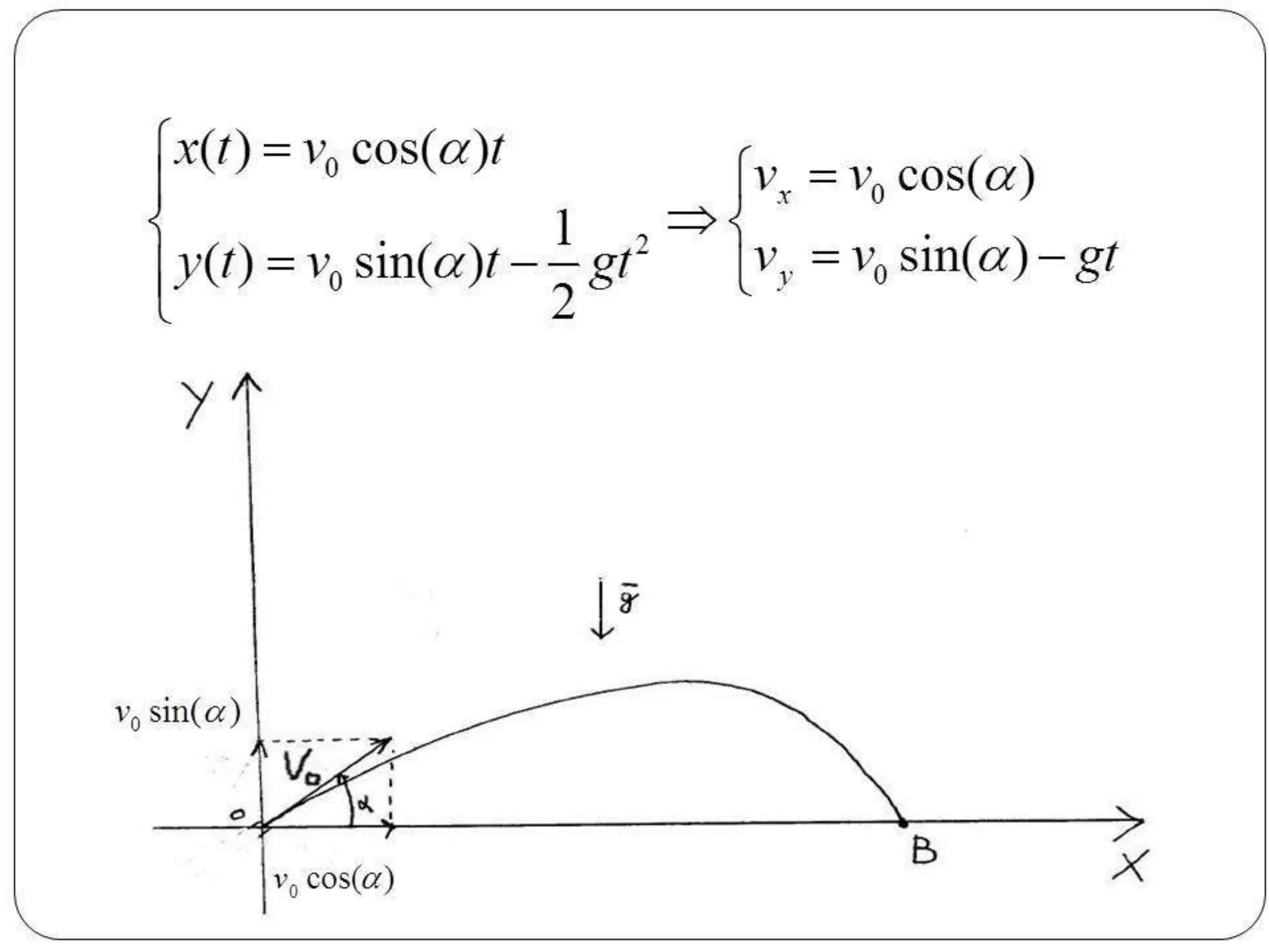
Moto di un grave(2) (proiettile)
Da quanto detto possiamo scrivere la relazione generale per Il moto parabolico:
R(t) = R0 + V0t + (1/2)gt2 1)
Se prendiamo un piano contenente sia g che V0 il moto avviene in questo piano e
quindi possiamo ridurci a solo due componenti. Quando si ha una relazione
vettoriale è possibile trasformarla in 2 equazioni tra numeri prendendo le
componenti dei due membri prima rispetto all’asse x e poi rispetto all’asse y.
Questa è una proprietà matematica che non dimostriamo. Dunque, del tutto in
generale, possiamo scrivere:

U

V

UX

VX ,U Y

VY

Il vettore R0 è il vettore posizione all’istante iniziale. Se il punto si trova per t = 0
all’origine degli assi, è R0 = 0 . Supponiamo inoltre che la velocità iniziale V0
formi con l’asse x un angolo α . La 1) da luogo alle due equazioni (scalari) :
x(t ) v0 cos( )t
1 2
y (t ) v0 sin( )t
gt
2

vx

v0 cos( )

vy

v0 sin( ) gt

v0 cos( )

v0 sin( )

v0 cos( )
Gittata del proiettile
Volendo trovare le coordinate del punto B del grafico, dobbiamo calcolare
l’istante t* in cui il proiettile, che parte da quota y = 0, si ritrova alla stessa
altezza. Calcolato t* dalla seconda equazione, lo inseriamo nella prima
per calcolare x(t*) = gittata:

1
0 y(t*) v0 sin( )t * g (t*)2
2

OB

v0 sin( )
v0 cos( )t* v0 cos( )2
g

0
t*

v0 sin( )
2
g
2

v sin( ) cos( )
2 0
g
Equazione della traiettoria
Se ricaviamo t dall’ equazione per x(t) e la sostituiamo in quella per y otteniamo
l’equazione della traiettoria:

t

x(t ) v0 cos( )t
1 2
y (t ) v0 sin( )t
gt
2

y

x
v0 cos( )

x
1
x
y v0 sin( )
g
v0 cos( ) 2 v0 cos( )

x2
xtg ( ) g
2
2v0 cos2 ( )

2
Massima altezza
Poiché l’ asse della parabola è parallelo all’asse y, anche la velocità, che è tangente
alla traiettoria nel punto di massima altezza, sarà in tale punto orizzontale:

Dunque per calcolare la massima altezza h basta imporre che vy sia zero:

vy

0

v0 sin( )

v0 sin( )t *

gt*

1
gt *2
2

v0 sin( )
g
sin( ) cos( )
g

t*
v0

2

h

y (t*)
Esercizi per casa
Gli esercizi presi dal Walker volume uno sono scaricabili dal seguente link:
http://antromano74.altervista.org/3b/esercizi-cinematica-3B.pdf
Consigliati 1, 2, 4 a pagina 45 , 17 pagina 46, 21 e 24 pagina 47

Moti accelerati

  • 1.
  • 2.
    Moto di ungrave(1)  E’ sperimentalmente provato che un grave in moto lungo un asse verticale ha un’accelerazione di modulo g = 9,8 m/s2 e diretta verso il basso. Se fissiamo un asse z lungo la direzione di moto come in figura e supponiamo z(0) = z0 abbiamo a = -g e quindi: z (t ) v(t ) z0 v0t v0 gt 1 2 gt 2 asse z Z0 O
  • 3.
    Un esempio  Supponiamodi lasciar cadere un corpo da un’ altezza z0. Poiché la velocità iniziale è nulla, la legge del moto è: z (t ) v(t ) 1 2 z0 gt 2 gt 0 Il corpo arriva al suolo all’ istante t* tale che z(t*) = 0. Si ricava : 0 z0 v 1 g (t*)2 2 2 gz0 t* 2 z0 g v(t*) gt* g 2 z0 g
  • 4.
    Somma in coordinatecartesiane  Se due vettori del piano u e v hanno rispettivamente componenti (ux,uy) e (vx,vy), possiamo scrivere: u = uxi + juy v = vxi + jvy essendo i e j i versori (vettori di modulo uno) degli assi. u +v = (ux + vx)i+(uy + vy)j
  • 5.
    Ogni vettore puòessere scomposto nelle sue componenti cartesiane secondo lo schema seguente:
  • 6.
    Accelerazione vettoriale Esattamente comesi fa per la velocità, è possibile definire una accelerazione media con la posizione: Nel caso del moto di un proiettile si dimostra che l’accelerazione vettoriale vale am = g con g diretta verso il basso e di modulo |g| = 9,8 m/s2 : g
  • 7.
    Moto di ungrave(2) (proiettile) Da quanto detto possiamo scrivere la relazione generale per Il moto parabolico: R(t) = R0 + V0t + (1/2)gt2 1) Se prendiamo un piano contenente sia g che V0 il moto avviene in questo piano e quindi possiamo ridurci a solo due componenti. Quando si ha una relazione vettoriale è possibile trasformarla in 2 equazioni tra numeri prendendo le componenti dei due membri prima rispetto all’asse x e poi rispetto all’asse y. Questa è una proprietà matematica che non dimostriamo. Dunque, del tutto in generale, possiamo scrivere: U V UX VX ,U Y VY Il vettore R0 è il vettore posizione all’istante iniziale. Se il punto si trova per t = 0 all’origine degli assi, è R0 = 0 . Supponiamo inoltre che la velocità iniziale V0 formi con l’asse x un angolo α . La 1) da luogo alle due equazioni (scalari) :
  • 8.
    x(t ) v0cos( )t 1 2 y (t ) v0 sin( )t gt 2 vx v0 cos( ) vy v0 sin( ) gt v0 cos( ) v0 sin( ) v0 cos( )
  • 9.
    Gittata del proiettile Volendotrovare le coordinate del punto B del grafico, dobbiamo calcolare l’istante t* in cui il proiettile, che parte da quota y = 0, si ritrova alla stessa altezza. Calcolato t* dalla seconda equazione, lo inseriamo nella prima per calcolare x(t*) = gittata: 1 0 y(t*) v0 sin( )t * g (t*)2 2 OB v0 sin( ) v0 cos( )t* v0 cos( )2 g 0 t* v0 sin( ) 2 g 2 v sin( ) cos( ) 2 0 g
  • 10.
    Equazione della traiettoria Sericaviamo t dall’ equazione per x(t) e la sostituiamo in quella per y otteniamo l’equazione della traiettoria: t x(t ) v0 cos( )t 1 2 y (t ) v0 sin( )t gt 2 y x v0 cos( ) x 1 x y v0 sin( ) g v0 cos( ) 2 v0 cos( ) x2 xtg ( ) g 2 2v0 cos2 ( ) 2
  • 11.
    Massima altezza Poiché l’asse della parabola è parallelo all’asse y, anche la velocità, che è tangente alla traiettoria nel punto di massima altezza, sarà in tale punto orizzontale: Dunque per calcolare la massima altezza h basta imporre che vy sia zero: vy 0 v0 sin( ) v0 sin( )t * gt* 1 gt *2 2 v0 sin( ) g sin( ) cos( ) g t* v0 2 h y (t*)
  • 12.
    Esercizi per casa Gliesercizi presi dal Walker volume uno sono scaricabili dal seguente link: http://antromano74.altervista.org/3b/esercizi-cinematica-3B.pdf Consigliati 1, 2, 4 a pagina 45 , 17 pagina 46, 21 e 24 pagina 47