Active Contours




                        www.numerical-tours.com

Gabriel Peyré
CEREMADE, Université Paris-Dauphine
Overview


 • Parametric Edge-based Active
   Contours


 • Implicit   Edge-based Active Contours


 • Region-based Active Contours
                                           2
Parametric Active Contours
Local minimum:                   argmin E( ) = L( ) + ⇥R( )
                                                  Data   Regularization
Boundary conditions:                             fidelity
                                                                 x0
 – Open curve:     (0) = x0   and   (1) = x1 .
 – Closed curve:    (0) = (1).

                                                            x1




                                                                      3
Parametric Active Contours
Local minimum:                          argmin E( ) = L( ) + ⇥R( )
                                                               Data   Regularization
Boundary conditions:                                          fidelity
                                                                                  x0
 – Open curve:         (0) = x0    and     (1) = x1 .
 – Closed curve:         (0) = (1).

Snakes energy: (depends on parameterization)                                 x1
              1                                         1
 L( ) =           W ( (t))|| (t)||dt,     R( ) =            || (t)|| + µ||    (t)||dt
          0                                        0




        Image f                   Weight W (x)                 Curve                    3
Geodesic Active Contours
 Geodesic active contours: (intrinsic)          Replace W by W + ,
                            1
      E( ) = L( ) =             W ( (t))|| (t)||dt
                        0
     (local) minimum of the weighted length L.
     local geodesic (not minimal path).




              Weight W (x)                    Curve                  4
Curve Evolution
Family of curves { s (t)}s>0 minimizing E( s ).
                                                  s

Do not confound:
     t: abscise along the curve.
                                                      s+ds
     s: artificial “time” of evolution.




                                                        5
Curve Evolution
Family of curves { s (t)}s>0 minimizing E( s ).
                                                  s

Do not confound:
     t: abscise along the curve.
                                                      s+ds
     s: artificial “time” of evolution.

Local minimum of:        min E( )
                         d
Minimization flow:             s   =   E( s )
                         ds




                                                        5
Curve Evolution
Family of curves { s (t)}s>0 minimizing E( s ).
                                                     s

Do not confound:
     t: abscise along the curve.
                                                                    s+ds
     s: artificial “time” of evolution.

Local minimum of:        min E( )
                       d
Minimization flow:          s =     E( s )
                       ds
Warning: the set of curves is not a vector space.
                                        1
Inner product at :       µ, ⇥⇥ =            µ(t), ⇥(t)⇥|| (t)||dt
                                    0
      Riemannian manifold of infinite dimension.

                                                                      5
Curve Evolution
Family of curves { s (t)}s>0 minimizing E( s ).
                                                      s

Do not confound:
     t: abscise along the curve.
                                                                        s+ds
     s: artificial “time” of evolution.

Local minimum of:        min E( )
                       d
Minimization flow:          s =     E( s )
                       ds
Warning: the set of curves is not a vector space.
                                        1
Inner product at :       µ, ⇥⇥ =            µ(t), ⇥(t)⇥|| (t)||dt
                                    0
      Riemannian manifold of infinite dimension.
Numerical implementation:         (k+1)
                                            =   (k)
                                                      ⇥k E(   (k)
                                                                    )
                                                                          5
Intrinsic Curve Evolutions
E( ) only depends on { (t)  t              [0, 1]}.

Intrinsic energy E: evolution along the normal
                                                       s
    d
       ⇥s (t) = (⇥s (t), ns (t), ⇤s (t)) ns (t)            ns
    ds
                      speed              normal


                         s (t)
Normal:      ns (t) =
                        || s (t)||

                                           1
Curvature:    ⇥s (t) = ns (t), s (t)⇥
                                      || s (t)||2


                                                                6
Mean Curvature Motion
                                            1
No data-fidelity:         E( ) =                 || (t)||dt
                                        0
                                                  d
         Curve-shortening flow.                         s   =         E( s )
                                                  ds
                                  1
                                         (t)
 E( + ⇥) = E( ) +                              , ⇥ (t)⇥dt + O(||⇥||)
                              0       || (t)||
                          1 d              (t)
 ⌅E( ) : t ⇤⇥
                       || (t)|| dt      || (t)||             0



Mean-curvature motion:
                                                                 s

    d
           s (t)   = ⇥s (t)ns (t)
    ds
  Speed:           (x, n, ⇥) = ⇥
                                                                              7
Discretization
Discretization:     = { (i)}N 1
                            i=0       R2 , with (N ) = (0).

         ⇥µ, ⇥⇤ =    i ⇥µ(i),   ⇥(i)⇤|| (i)   (i + 1)||




                                                              k




                                                                  8
Discretization
Discretization:     = { (i)}N 1
                            i=0          R2 , with (N ) = (0).

         ⇥µ, ⇥⇤ =    i ⇥µ(i),   ⇥(i)⇤|| (i)      (i + 1)||

Discrete energy: E( ) =         i   || (i)    (i + 1)||


                                                                 k




                                                                     8
Discretization
Discretization:     = { (i)}N 1
                            i=0          R2 , with (N ) = (0).

         ⇥µ, ⇥⇤ =    i ⇥µ(i),   ⇥(i)⇤|| (i)      (i + 1)||

Discrete energy: E( ) =         i   || (i)    (i + 1)||

Gradient descent flow:       k+1      =   k    ⇥k E( k )
                                                                      k




                                                             E( k )


                                                                          8
Discretization
Discretization:      = { (i)}N 1
                             i=0            R2 , with (N ) = (0).

         ⇥µ, ⇥⇤ =     i ⇥µ(i),   ⇥(i)⇤|| (i)       (i + 1)||

Discrete energy: E( ) =          i   || (i)     (i + 1)||

Gradient descent flow:        k+1      =     k   ⇥k E( k )
                                                                        k
                                 1
Discrete gradient:    ⇥E( ) =        ⇥           N    ⇥( )
                              ||⇥ ||

        (⇥ )(i) = (i + 1)            (i)
                                                               E( k )
        (⇥ )(i) = (i 1)               (i)
                     (i)
        (N )(i) =
                  || (i)||
                                                                            8
Geodesic Active Contours Motion
Weighted length:
                                1
        E( ) = L( ) =               W ( (t))|| (t)||dt
                            0

 Evolution:
  d
     ⇥s (t) = (⇥s (t), ns (t), ⇤s (t)) ns (t)                           0
  ds
    (x, n, ⇥) = W (x)⇥              W (x), n


     attraction toward areas
    where W is small.
                                                                  s
     finite di erences discretization.
                                                         Weight W (x)
Open vs. Closed Curves
                                              0
                                    s




                                              x0
                            s

                                        0


                       x1
        Weight W (x)            Image f (x)
Global Minimum with Fast Marching
Geodesic distance map:

   Ux0 (x1 ) =       min           L( )
                 (0)=x0 , (1)=x1


Global minimum: Ux0 (x1 ) = L(            )      Image f           Metric W (x)




                                              Distance Ux0 (x) Geodesic curve (t)
Global Minimum with Fast Marching
Geodesic distance map:

   Ux0 (x1 ) =       min           L( )
                 (0)=x0 , (1)=x1


Global minimum: Ux0 (x1 ) = L(            )      Image f           Metric W (x)



Fast O(N log(N )) algorithm:

– Compute Ux0 with Fast Marching.
– Solve EDO:                                  Distance Ux0 (x) Geodesic curve (t)
    d
        (t) =       Ux0 ( (t))
     dt
       (0) = x1
Overview


 • Parametric Edge-based Active Contours
 • ImplicitEdge-based Active
   Contours


 • Region-based Active Contor
                                           12
Level Sets
Level-set curve representation:
                                                                      s (x)   0
    { s (t)  t   [0, 1]} = x   R  ⇥s (x) = 0 .
                                  2




Example: circle of radius r           s (x)   = ||x   x0 ||   s
Example: square of radius r           s (x)   = ||x   x0 ||       s
                                                                      s (x)   0
Level Sets
Level-set curve representation:
                                                                                  s (x)    0
    { s (t)  t   [0, 1]} = x    R  ⇥s (x) = 0 .
                                   2




Example: circle of radius r            s (x)   = ||x      x0 ||   s
Example: square of radius r            s (x)   = ||x      x0 ||       s
                                                                                  s (x)    0

    Union of domains:      s   = min(     1
                                          s,    s)
                                                2


    Intersection of domains:      s   = max(         1
                                                     s,   s)
                                                          2



                                                                          s (x)    0




                                                                          s   = min(      1
                                                                                          s,   s)
                                                                                               2
Level Sets
Level-set curve representation:
                                                                                     s (x)    0
    { s (t)  t   [0, 1]} = x      R  ⇥s (x) = 0 .
                                    2




Example: circle of radius r             s (x)     = ||x      x0 ||   s
Example: square of radius r             s (x)     = ||x      x0 ||       s
                                                                                     s (x)    0

    Union of domains:      s   = min(        1
                                             s,    s)
                                                   2


    Intersection of domains:       s   = max(           1
                                                        s,   s)
                                                             2



                                                                             s (x)    0
Popular choice: (signed) distance to a curve
         ⇥s (x) = ± min || s (t)       x||
                      t

     infinite number of mappings              s          s.
                                                                             s   = min(      1
                                                                                             s,   s)
                                                                                                  2
Level Sets Evolution
Dictionary parameteric          implicit:
     Position:    x=   s (t)


                                 s (x)
     Normal: ns (t) =
                           ||    s (x)||

                                         ⇥s
     Curvature:    s (x)   = div                 (x)
                                      || ⇥s ||




                                                       14
Level Sets Evolution
Dictionary parameteric           implicit:
     Position:    x=    s (t)


                                  s (x)
     Normal: ns (t) =
                            ||    s (x)||

                                          ⇥s
     Curvature:     s (x)   = div                  (x)
                                       || ⇥s ||
Evolution PDE:
        d
           ⇥s (t) = (⇥s (t), ns (t), ⇤s (t)) ns (t)
        ds

        d                                            ⇥s (x)              ⇥s
           ⇥s (x) = || ⇥s (x)||           ⇥s (x),             , div              (x) .
        ds                                        || ⇥s (x)||         || ⇥s ||
         All level sets evolves together.
                                                                                    14
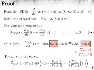
Proof
                    d
Evolution PDE:         ⇥s (t) = (⇥s (t), ns (t), ⇤s (t)) ns (t)   ( )
                    ds
Definition of level-sets:      t, ⇥s ( s (t)) = 0




                                                                   15
Proof
                    d
Evolution PDE:         ⇥s (t) = (⇥s (t), ns (t), ⇤s (t)) ns (t)   ( )
                    ds
Definition of level-sets:      t, ⇥s ( s (t)) = 0

Deriving with respect to t:
              ⇤ s       ⇤⇥s
      ⇥s (x),     (t) +     (x) = 0          for x =     s (t)    ( )
              ⇤s         ⇤s




                                                                   15
Proof
                    d
Evolution PDE:         ⇥s (t) = (⇥s (t), ns (t), ⇤s (t)) ns (t)    ( )
                    ds
Definition of level-sets:      t, ⇥s ( s (t)) = 0

Deriving with respect to t:
              ⇤ s       ⇤⇥s
      ⇥s (x),     (t) +     (x) = 0           for x =     s (t)    ( )
              ⇤s         ⇤s
                ⌅⇤s
( )+( ):            (x) =       (x, ns (t), ⇥s (t))   ⇤s (x), ns (t)
                 ⌅s




                                                                       15
Proof
                    d
Evolution PDE:         ⇥s (t) = (⇥s (t), ns (t), ⇤s (t)) ns (t)             ( )
                    ds
Definition of level-sets:      t, ⇥s ( s (t)) = 0

Deriving with respect to t:
              ⇤ s       ⇤⇥s
      ⇥s (x),     (t) +     (x) = 0              for x =         s (t)     ( )
              ⇤s         ⇤s
                 ⌅⇤s
( )+( ):             (x) =        (x, ns (t), ⇥s (t))      ⇤s (x), ns (t)
                  ⌅s
                                                                         s (x)
                                                              =
                                                                  ||     s (x)||
 For all x on the curve,
     d                                    ⇥s (x)              ⇥s
        ⇥s (x) = || ⇥s (x)||   ⇥s (x),             , div               (x) .
     ds                                || ⇥s (x)||         || ⇥s ||
                                                                               15
Implicit Geodesic Active Contours
 Evolution PDE:
      d                             s
          s = ||   s ||div W               .
      ds                       ||   s ||




Comparison with explicit active contours:
          : 2D instead of 1D equation.
        + : allows topology change.




                                               16
Implicit Geodesic Active Contours
 Evolution PDE:
      d                                    s
          s = ||      s ||div W                       .
      ds                           ||      s ||




Comparison with explicit active contours:
           : 2D instead of 1D equation.
        + : allows topology change.


 Re-initialization:       ⇥s (x) = ± min || s (t)              x||
                                                  t
    Eikonal equation:         ||        s ||   =1         with ⇥s ( s (t)) = 0


                                                                                 16
Multiple Fluids Dynamics
See Ron Fedkiw homepage.   http://physbam.stanford.edu/ fedkiw/
    Multiple gaz:




   Fluid/air interface:




                                                             17
Overview


 • Parametric Edge-based Active Contours
 • Implicit   Edge-based Active Contours


 • Region-based Active Contours

                                           18
Energy Depending on Region
Optimal segmentation [0, 1]2 =          c
                                            :
     min L1 ( ) + L2 (   c
                             ) + R( )              R( ) = |        |
                Data           Regularization
               fidelity
Chan-Vese binary model:         L1 ( ) =        |I(x)   c1 |2 dx
           More general models




                                                                       19
Energy Depending on Region
Optimal segmentation [0, 1]2 =           c
                                             :
     min L1 ( ) + L2 (    c
                              ) + R( )                 R( ) = |         |
                Data            Regularization
               fidelity
Chan-Vese binary model:          L1 ( ) =         |I(x)      c1 |2 dx
           More general models

Level set implementation:          = {x  (x) > 0}
                                         2        x                         H(x)
 Smoothed Heaviside:          H (x) =        atan
                                                  ⇥                            x
L1 ( ) ⇥ L( ) =          H ( (x))||I(x)          c1 ||2 dx

R( )     R( ) =          ||⇥(H )(x)||dx
                                                                              19
Descent Schemes
For a given c = (c1 , c2 )   R2 :
        min Ec ( ) =     H ( (x))||I(x)   c1 ||2 +
         ⇥

                  H ( ⇥(x))||I(x)    c2 ||2 + ||⇥(H ⇥)(x)||dx




                                                                20
Descent Schemes
For a given c = (c1 , c2 )      R2 :
        min Ec ( ) =         H ( (x))||I(x)         c1 ||2 +
         ⇥

                   H ( ⇥(x))||I(x)            c2 ||2 + ||⇥(H ⇥)(x)||dx
Descent with respect to        :
               ⇥(k+1) = ⇥(k)            k    Ec (⇥(k) )

     Ec ( ) = H ( (x))G(x)
                                                                 ⇥⇥
   G(x) = ||I(x)         2
                     c1 ||     ||I(x)           2
                                            c2 ||    div                (x)
                                                               ||⇥⇥||



                                                                              20
Descent Schemes
For a given c = (c1 , c2 )       R2 :
        min Ec ( ) =          H ( (x))||I(x)           c1 ||2 +
         ⇥

                    H ( ⇥(x))||I(x)            c2 ||2 + ||⇥(H ⇥)(x)||dx
Descent with respect to         :
                  ⇥(k+1) = ⇥(k)          k    Ec (⇥(k) )

     Ec ( ) = H ( (x))G(x)
                                                                    ⇥⇥
   G(x) = ||I(x)          2
                      c1 ||     ||I(x)           2
                                             c2 ||      div                (x)
                                                                  ||⇥⇥||

Limit        0:    ⇥Ec (⇥)          { =0} (x)||⇥⇥(x)||G(x)

    Numerically, use           Ec ( ) = ||           (x)||G(x)
                                                                                 20
Update of c
Joint minimization:   min Ec ( )
                      ,c1 ,c2




                                   21
Update of c
Joint minimization:        min Ec ( )
                           ,c1 ,c2



   Update of :        ⇥(k+1) = ⇥(k)     k   Ec(k) (⇥(k) )




                                                            21
Update of c
Joint minimization:              min Ec ( )
                                  ,c1 ,c2



   Update of :             ⇥(k+1) = ⇥(k)         k     Ec(k) (⇥(k) )


  Update of (c1 , c2 ):

            (k+1)     (k+1)
         (c1        , c2      ) = argmin Ec (        (k)
                                                           )
                                   c1 ,c2

         (k+1)
        c1     = c( (k) )                              I(x)H( (x))dx
                                            c( ) =
         (k+1)
        c2     = c( (k) )                                H( (x))dx

                                                                       21
Example of Evolution
  Use de-localized initialization.




                         (0)




                                     22
Conclusion
        Curve evolution
        Energy minimization


 Parametric vs. level set representation.


 Dictionary to translate
     – curve properties.
     – energy gradients.


 Edge based vs. region based energies.

                                            23

Mesh Processing Course : Active Contours

  • 1.
    Active Contours www.numerical-tours.com Gabriel Peyré CEREMADE, Université Paris-Dauphine
  • 2.
    Overview • ParametricEdge-based Active Contours • Implicit Edge-based Active Contours • Region-based Active Contours 2
  • 3.
    Parametric Active Contours Localminimum: argmin E( ) = L( ) + ⇥R( ) Data Regularization Boundary conditions: fidelity x0 – Open curve: (0) = x0 and (1) = x1 . – Closed curve: (0) = (1). x1 3
  • 4.
    Parametric Active Contours Localminimum: argmin E( ) = L( ) + ⇥R( ) Data Regularization Boundary conditions: fidelity x0 – Open curve: (0) = x0 and (1) = x1 . – Closed curve: (0) = (1). Snakes energy: (depends on parameterization) x1 1 1 L( ) = W ( (t))|| (t)||dt, R( ) = || (t)|| + µ|| (t)||dt 0 0 Image f Weight W (x) Curve 3
  • 5.
    Geodesic Active Contours Geodesic active contours: (intrinsic) Replace W by W + , 1 E( ) = L( ) = W ( (t))|| (t)||dt 0 (local) minimum of the weighted length L. local geodesic (not minimal path). Weight W (x) Curve 4
  • 6.
    Curve Evolution Family ofcurves { s (t)}s>0 minimizing E( s ). s Do not confound: t: abscise along the curve. s+ds s: artificial “time” of evolution. 5
  • 7.
    Curve Evolution Family ofcurves { s (t)}s>0 minimizing E( s ). s Do not confound: t: abscise along the curve. s+ds s: artificial “time” of evolution. Local minimum of: min E( ) d Minimization flow: s = E( s ) ds 5
  • 8.
    Curve Evolution Family ofcurves { s (t)}s>0 minimizing E( s ). s Do not confound: t: abscise along the curve. s+ds s: artificial “time” of evolution. Local minimum of: min E( ) d Minimization flow: s = E( s ) ds Warning: the set of curves is not a vector space. 1 Inner product at : µ, ⇥⇥ = µ(t), ⇥(t)⇥|| (t)||dt 0 Riemannian manifold of infinite dimension. 5
  • 9.
    Curve Evolution Family ofcurves { s (t)}s>0 minimizing E( s ). s Do not confound: t: abscise along the curve. s+ds s: artificial “time” of evolution. Local minimum of: min E( ) d Minimization flow: s = E( s ) ds Warning: the set of curves is not a vector space. 1 Inner product at : µ, ⇥⇥ = µ(t), ⇥(t)⇥|| (t)||dt 0 Riemannian manifold of infinite dimension. Numerical implementation: (k+1) = (k) ⇥k E( (k) ) 5
  • 10.
    Intrinsic Curve Evolutions E() only depends on { (t) t [0, 1]}. Intrinsic energy E: evolution along the normal s d ⇥s (t) = (⇥s (t), ns (t), ⇤s (t)) ns (t) ns ds speed normal s (t) Normal: ns (t) = || s (t)|| 1 Curvature: ⇥s (t) = ns (t), s (t)⇥ || s (t)||2 6
  • 11.
    Mean Curvature Motion 1 No data-fidelity: E( ) = || (t)||dt 0 d Curve-shortening flow. s = E( s ) ds 1 (t) E( + ⇥) = E( ) + , ⇥ (t)⇥dt + O(||⇥||) 0 || (t)|| 1 d (t) ⌅E( ) : t ⇤⇥ || (t)|| dt || (t)|| 0 Mean-curvature motion: s d s (t) = ⇥s (t)ns (t) ds Speed: (x, n, ⇥) = ⇥ 7
  • 12.
    Discretization Discretization: = { (i)}N 1 i=0 R2 , with (N ) = (0). ⇥µ, ⇥⇤ = i ⇥µ(i), ⇥(i)⇤|| (i) (i + 1)|| k 8
  • 13.
    Discretization Discretization: = { (i)}N 1 i=0 R2 , with (N ) = (0). ⇥µ, ⇥⇤ = i ⇥µ(i), ⇥(i)⇤|| (i) (i + 1)|| Discrete energy: E( ) = i || (i) (i + 1)|| k 8
  • 14.
    Discretization Discretization: = { (i)}N 1 i=0 R2 , with (N ) = (0). ⇥µ, ⇥⇤ = i ⇥µ(i), ⇥(i)⇤|| (i) (i + 1)|| Discrete energy: E( ) = i || (i) (i + 1)|| Gradient descent flow: k+1 = k ⇥k E( k ) k E( k ) 8
  • 15.
    Discretization Discretization: = { (i)}N 1 i=0 R2 , with (N ) = (0). ⇥µ, ⇥⇤ = i ⇥µ(i), ⇥(i)⇤|| (i) (i + 1)|| Discrete energy: E( ) = i || (i) (i + 1)|| Gradient descent flow: k+1 = k ⇥k E( k ) k 1 Discrete gradient: ⇥E( ) = ⇥ N ⇥( ) ||⇥ || (⇥ )(i) = (i + 1) (i) E( k ) (⇥ )(i) = (i 1) (i) (i) (N )(i) = || (i)|| 8
  • 16.
    Geodesic Active ContoursMotion Weighted length: 1 E( ) = L( ) = W ( (t))|| (t)||dt 0 Evolution: d ⇥s (t) = (⇥s (t), ns (t), ⇤s (t)) ns (t) 0 ds (x, n, ⇥) = W (x)⇥ W (x), n attraction toward areas where W is small. s finite di erences discretization. Weight W (x)
  • 17.
    Open vs. ClosedCurves 0 s x0 s 0 x1 Weight W (x) Image f (x)
  • 18.
    Global Minimum withFast Marching Geodesic distance map: Ux0 (x1 ) = min L( ) (0)=x0 , (1)=x1 Global minimum: Ux0 (x1 ) = L( ) Image f Metric W (x) Distance Ux0 (x) Geodesic curve (t)
  • 19.
    Global Minimum withFast Marching Geodesic distance map: Ux0 (x1 ) = min L( ) (0)=x0 , (1)=x1 Global minimum: Ux0 (x1 ) = L( ) Image f Metric W (x) Fast O(N log(N )) algorithm: – Compute Ux0 with Fast Marching. – Solve EDO: Distance Ux0 (x) Geodesic curve (t) d (t) = Ux0 ( (t)) dt (0) = x1
  • 20.
    Overview • ParametricEdge-based Active Contours • ImplicitEdge-based Active Contours • Region-based Active Contor 12
  • 21.
    Level Sets Level-set curverepresentation: s (x) 0 { s (t) t [0, 1]} = x R ⇥s (x) = 0 . 2 Example: circle of radius r s (x) = ||x x0 || s Example: square of radius r s (x) = ||x x0 || s s (x) 0
  • 22.
    Level Sets Level-set curverepresentation: s (x) 0 { s (t) t [0, 1]} = x R ⇥s (x) = 0 . 2 Example: circle of radius r s (x) = ||x x0 || s Example: square of radius r s (x) = ||x x0 || s s (x) 0 Union of domains: s = min( 1 s, s) 2 Intersection of domains: s = max( 1 s, s) 2 s (x) 0 s = min( 1 s, s) 2
  • 23.
    Level Sets Level-set curverepresentation: s (x) 0 { s (t) t [0, 1]} = x R ⇥s (x) = 0 . 2 Example: circle of radius r s (x) = ||x x0 || s Example: square of radius r s (x) = ||x x0 || s s (x) 0 Union of domains: s = min( 1 s, s) 2 Intersection of domains: s = max( 1 s, s) 2 s (x) 0 Popular choice: (signed) distance to a curve ⇥s (x) = ± min || s (t) x|| t infinite number of mappings s s. s = min( 1 s, s) 2
  • 24.
    Level Sets Evolution Dictionaryparameteric implicit: Position: x= s (t) s (x) Normal: ns (t) = || s (x)|| ⇥s Curvature: s (x) = div (x) || ⇥s || 14
  • 25.
    Level Sets Evolution Dictionaryparameteric implicit: Position: x= s (t) s (x) Normal: ns (t) = || s (x)|| ⇥s Curvature: s (x) = div (x) || ⇥s || Evolution PDE: d ⇥s (t) = (⇥s (t), ns (t), ⇤s (t)) ns (t) ds d ⇥s (x) ⇥s ⇥s (x) = || ⇥s (x)|| ⇥s (x), , div (x) . ds || ⇥s (x)|| || ⇥s || All level sets evolves together. 14
  • 26.
    Proof d Evolution PDE: ⇥s (t) = (⇥s (t), ns (t), ⇤s (t)) ns (t) ( ) ds Definition of level-sets: t, ⇥s ( s (t)) = 0 15
  • 27.
    Proof d Evolution PDE: ⇥s (t) = (⇥s (t), ns (t), ⇤s (t)) ns (t) ( ) ds Definition of level-sets: t, ⇥s ( s (t)) = 0 Deriving with respect to t: ⇤ s ⇤⇥s ⇥s (x), (t) + (x) = 0 for x = s (t) ( ) ⇤s ⇤s 15
  • 28.
    Proof d Evolution PDE: ⇥s (t) = (⇥s (t), ns (t), ⇤s (t)) ns (t) ( ) ds Definition of level-sets: t, ⇥s ( s (t)) = 0 Deriving with respect to t: ⇤ s ⇤⇥s ⇥s (x), (t) + (x) = 0 for x = s (t) ( ) ⇤s ⇤s ⌅⇤s ( )+( ): (x) = (x, ns (t), ⇥s (t)) ⇤s (x), ns (t) ⌅s 15
  • 29.
    Proof d Evolution PDE: ⇥s (t) = (⇥s (t), ns (t), ⇤s (t)) ns (t) ( ) ds Definition of level-sets: t, ⇥s ( s (t)) = 0 Deriving with respect to t: ⇤ s ⇤⇥s ⇥s (x), (t) + (x) = 0 for x = s (t) ( ) ⇤s ⇤s ⌅⇤s ( )+( ): (x) = (x, ns (t), ⇥s (t)) ⇤s (x), ns (t) ⌅s s (x) = || s (x)|| For all x on the curve, d ⇥s (x) ⇥s ⇥s (x) = || ⇥s (x)|| ⇥s (x), , div (x) . ds || ⇥s (x)|| || ⇥s || 15
  • 30.
    Implicit Geodesic ActiveContours Evolution PDE: d s s = || s ||div W . ds || s || Comparison with explicit active contours: : 2D instead of 1D equation. + : allows topology change. 16
  • 31.
    Implicit Geodesic ActiveContours Evolution PDE: d s s = || s ||div W . ds || s || Comparison with explicit active contours: : 2D instead of 1D equation. + : allows topology change. Re-initialization: ⇥s (x) = ± min || s (t) x|| t Eikonal equation: || s || =1 with ⇥s ( s (t)) = 0 16
  • 32.
    Multiple Fluids Dynamics SeeRon Fedkiw homepage. http://physbam.stanford.edu/ fedkiw/ Multiple gaz: Fluid/air interface: 17
  • 33.
    Overview • ParametricEdge-based Active Contours • Implicit Edge-based Active Contours • Region-based Active Contours 18
  • 34.
    Energy Depending onRegion Optimal segmentation [0, 1]2 = c : min L1 ( ) + L2 ( c ) + R( ) R( ) = | | Data Regularization fidelity Chan-Vese binary model: L1 ( ) = |I(x) c1 |2 dx More general models 19
  • 35.
    Energy Depending onRegion Optimal segmentation [0, 1]2 = c : min L1 ( ) + L2 ( c ) + R( ) R( ) = | | Data Regularization fidelity Chan-Vese binary model: L1 ( ) = |I(x) c1 |2 dx More general models Level set implementation: = {x (x) > 0} 2 x H(x) Smoothed Heaviside: H (x) = atan ⇥ x L1 ( ) ⇥ L( ) = H ( (x))||I(x) c1 ||2 dx R( ) R( ) = ||⇥(H )(x)||dx 19
  • 36.
    Descent Schemes For agiven c = (c1 , c2 ) R2 : min Ec ( ) = H ( (x))||I(x) c1 ||2 + ⇥ H ( ⇥(x))||I(x) c2 ||2 + ||⇥(H ⇥)(x)||dx 20
  • 37.
    Descent Schemes For agiven c = (c1 , c2 ) R2 : min Ec ( ) = H ( (x))||I(x) c1 ||2 + ⇥ H ( ⇥(x))||I(x) c2 ||2 + ||⇥(H ⇥)(x)||dx Descent with respect to : ⇥(k+1) = ⇥(k) k Ec (⇥(k) ) Ec ( ) = H ( (x))G(x) ⇥⇥ G(x) = ||I(x) 2 c1 || ||I(x) 2 c2 || div (x) ||⇥⇥|| 20
  • 38.
    Descent Schemes For agiven c = (c1 , c2 ) R2 : min Ec ( ) = H ( (x))||I(x) c1 ||2 + ⇥ H ( ⇥(x))||I(x) c2 ||2 + ||⇥(H ⇥)(x)||dx Descent with respect to : ⇥(k+1) = ⇥(k) k Ec (⇥(k) ) Ec ( ) = H ( (x))G(x) ⇥⇥ G(x) = ||I(x) 2 c1 || ||I(x) 2 c2 || div (x) ||⇥⇥|| Limit 0: ⇥Ec (⇥) { =0} (x)||⇥⇥(x)||G(x) Numerically, use Ec ( ) = || (x)||G(x) 20
  • 39.
    Update of c Jointminimization: min Ec ( ) ,c1 ,c2 21
  • 40.
    Update of c Jointminimization: min Ec ( ) ,c1 ,c2 Update of : ⇥(k+1) = ⇥(k) k Ec(k) (⇥(k) ) 21
  • 41.
    Update of c Jointminimization: min Ec ( ) ,c1 ,c2 Update of : ⇥(k+1) = ⇥(k) k Ec(k) (⇥(k) ) Update of (c1 , c2 ): (k+1) (k+1) (c1 , c2 ) = argmin Ec ( (k) ) c1 ,c2 (k+1) c1 = c( (k) ) I(x)H( (x))dx c( ) = (k+1) c2 = c( (k) ) H( (x))dx 21
  • 42.
    Example of Evolution Use de-localized initialization. (0) 22
  • 43.
    Conclusion Curve evolution Energy minimization Parametric vs. level set representation. Dictionary to translate – curve properties. – energy gradients. Edge based vs. region based energies. 23