David Luebke 1 8/29/2022
CS 332: Algorithms
Merge Sort
Solving Recurrences
The Master Theorem
David Luebke 2 8/29/2022
Administrative Question
 Who here cannot make Monday-Wednesday
office hours at 10 AM?
 If nobody, should we change class time?
David Luebke 3 8/29/2022
Homework 1
 Homework 1 will be posted later today
 (Problem with the exercise numbering, sorry)
 Due Monday Jan 28 at 9 AM
 Should be a fairly simple warm-up problem set
David Luebke 4 8/29/2022
Review: Asymptotic Notation
 Upper Bound Notation:
 f(n) is O(g(n)) if there exist positive constants c
and n0 such that f(n)  c  g(n) for all n  n0
 Formally, O(g(n)) = { f(n):  positive constants c
and n0 such that f(n)  c  g(n)  n  n0
 Big O fact:
 A polynomial of degree k is O(nk)
David Luebke 5 8/29/2022
Review: Asymptotic Notation
 Asymptotic lower bound:
 f(n) is (g(n)) if  positive constants c and n0 such
that 0  cg(n)  f(n)  n  n0
 Asymptotic tight bound:
 f(n) is (g(n)) if  positive constants c1, c2, and n0
such that c1 g(n)  f(n)  c2 g(n)  n  n0
 f(n) = (g(n)) if and only if
f(n) = O(g(n)) AND f(n) = (g(n))
David Luebke 6 8/29/2022
Other Asymptotic Notations
 A function f(n) is o(g(n)) if  positive
constants c and n0 such that
f(n) < c g(n)  n  n0
 A function f(n) is (g(n)) if  positive
constants c and n0 such that
c g(n) < f(n)  n  n0
 Intuitively,
 o() is like <
 O() is like 
 () is like >
 () is like 
 () is like =
David Luebke 7 8/29/2022
Merge Sort
MergeSort(A, left, right) {
if (left < right) {
mid = floor((left + right) / 2);
MergeSort(A, left, mid);
MergeSort(A, mid+1, right);
Merge(A, left, mid, right);
}
}
// Merge() takes two sorted subarrays of A and
// merges them into a single sorted subarray of A
// (how long should this take?)
David Luebke 8 8/29/2022
Merge Sort: Example
 Show MergeSort() running on the array
A = {10, 5, 7, 6, 1, 4, 8, 3, 2, 9};
David Luebke 9 8/29/2022
Analysis of Merge Sort
Statement Effort
 So T(n) = (1) when n = 1, and
2T(n/2) + (n) when n > 1
 So what (more succinctly) is T(n)?
MergeSort(A, left, right) { T(n)
if (left < right) { (1)
mid = floor((left + right) / 2); (1)
MergeSort(A, left, mid); T(n/2)
MergeSort(A, mid+1, right); T(n/2)
Merge(A, left, mid, right); (n)
}
}
David Luebke 10 8/29/2022
Recurrences
 The expression:
is a recurrence.
 Recurrence: an equation that describes a function
in terms of its value on smaller functions

















1
2
2
1
)
(
n
cn
n
T
n
c
n
T
David Luebke 11 8/29/2022
Recurrence Examples








0
0
)
1
(
0
)
(
n
n
n
s
c
n
s








0
)
1
(
0
0
)
(
n
n
s
n
n
n
s

















1
2
2
1
)
(
n
c
n
T
n
c
n
T

















1
1
)
(
n
cn
b
n
aT
n
c
n
T
David Luebke 12 8/29/2022
Solving Recurrences
 Substitution method
 Iteration method
 Master method
David Luebke 13 8/29/2022
Solving Recurrences
 The substitution method (CLR 4.1)
 A.k.a. the “making a good guess method”
 Guess the form of the answer, then use induction
to find the constants and show that solution works
 Examples:
 T(n) = 2T(n/2) + (n)  T(n) = (n lg n)
 T(n) = 2T(n/2) + n  ???
David Luebke 14 8/29/2022
Solving Recurrences
 The substitution method (CLR 4.1)
 A.k.a. the “making a good guess method”
 Guess the form of the answer, then use induction
to find the constants and show that solution works
 Examples:
 T(n) = 2T(n/2) + (n)  T(n) = (n lg n)
 T(n) = 2T(n/2) + n  T(n) = (n lg n)
 T(n) = 2T(n/2 )+ 17) + n  ???
David Luebke 15 8/29/2022
Solving Recurrences
 The substitution method (CLR 4.1)
 A.k.a. the “making a good guess method”
 Guess the form of the answer, then use induction
to find the constants and show that solution works
 Examples:
 T(n) = 2T(n/2) + (n)  T(n) = (n lg n)
 T(n) = 2T(n/2) + n  T(n) = (n lg n)
 T(n) = 2T(n/2+ 17) + n  (n lg n)
David Luebke 16 8/29/2022
Solving Recurrences
 Another option is what the book calls the
“iteration method”
 Expand the recurrence
 Work some algebra to express as a summation
 Evaluate the summation
 We will show several examples
David Luebke 17 8/29/2022
 s(n) =
c + s(n-1)
c + c + s(n-2)
2c + s(n-2)
2c + c + s(n-3)
3c + s(n-3)
…
kc + s(n-k) = ck + s(n-k)








0
)
1
(
0
0
)
(
n
n
s
c
n
n
s
David Luebke 18 8/29/2022
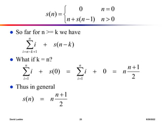
 So far for n >= k we have
 s(n) = ck + s(n-k)
 What if k = n?
 s(n) = cn + s(0) = cn








0
)
1
(
0
0
)
(
n
n
s
c
n
n
s
David Luebke 19 8/29/2022
 So far for n >= k we have
 s(n) = ck + s(n-k)
 What if k = n?
 s(n) = cn + s(0) = cn
 So
 Thus in general
 s(n) = cn








0
)
1
(
0
0
)
(
n
n
s
c
n
n
s








0
)
1
(
0
0
)
(
n
n
s
c
n
n
s
David Luebke 20 8/29/2022
 s(n)
= n + s(n-1)
= n + n-1 + s(n-2)
= n + n-1 + n-2 + s(n-3)
= n + n-1 + n-2 + n-3 + s(n-4)
= …
= n + n-1 + n-2 + n-3 + … + n-(k-1) + s(n-k)








0
)
1
(
0
0
)
(
n
n
s
n
n
n
s
David Luebke 21 8/29/2022
 s(n)
= n + s(n-1)
= n + n-1 + s(n-2)
= n + n-1 + n-2 + s(n-3)
= n + n-1 + n-2 + n-3 + s(n-4)
= …
= n + n-1 + n-2 + n-3 + … + n-(k-1) + s(n-k)
=








0
)
1
(
0
0
)
(
n
n
s
n
n
n
s
)
(
1
k
n
s
i
n
k
n
i





David Luebke 22 8/29/2022
 So far for n >= k we have








0
)
1
(
0
0
)
(
n
n
s
n
n
n
s
)
(
1
k
n
s
i
n
k
n
i





David Luebke 23 8/29/2022
 So far for n >= k we have
 What if k = n?








0
)
1
(
0
0
)
(
n
n
s
n
n
n
s
)
(
1
k
n
s
i
n
k
n
i





David Luebke 24 8/29/2022
 So far for n >= k we have
 What if k = n?








0
)
1
(
0
0
)
(
n
n
s
n
n
n
s
)
(
1
k
n
s
i
n
k
n
i





2
1
0
)
0
(
1
1




 
 

n
n
i
s
i
n
i
n
i
David Luebke 25 8/29/2022
 So far for n >= k we have
 What if k = n?
 Thus in general








0
)
1
(
0
0
)
(
n
n
s
n
n
n
s
)
(
1
k
n
s
i
n
k
n
i





2
1
0
)
0
(
1
1




 
 

n
n
i
s
i
n
i
n
i
2
1
)
(


n
n
n
s
David Luebke 26 8/29/2022
 T(n) =
2T(n/2) + c
2(2T(n/2/2) + c) + c
22T(n/22) + 2c + c
22(2T(n/22/2) + c) + 3c
23T(n/23) + 4c + 3c
23T(n/23) + 7c
23(2T(n/23/2) + c) + 7c
24T(n/24) + 15c
…
2kT(n/2k) + (2k - 1)c














 1
2
2
1
)
( n
c
n
T
n
c
n
T
David Luebke 27 8/29/2022
 So far for n > 2k we have
 T(n) = 2kT(n/2k) + (2k - 1)c
 What if k = lg n?
 T(n) = 2lg n T(n/2lg n) + (2lg n - 1)c
= n T(n/n) + (n - 1)c
= n T(1) + (n-1)c
= nc + (n-1)c = (2n - 1)c














 1
2
2
1
)
( n
c
n
T
n
c
n
T

lecture3.ppt

  • 1.
    David Luebke 18/29/2022 CS 332: Algorithms Merge Sort Solving Recurrences The Master Theorem
  • 2.
    David Luebke 28/29/2022 Administrative Question  Who here cannot make Monday-Wednesday office hours at 10 AM?  If nobody, should we change class time?
  • 3.
    David Luebke 38/29/2022 Homework 1  Homework 1 will be posted later today  (Problem with the exercise numbering, sorry)  Due Monday Jan 28 at 9 AM  Should be a fairly simple warm-up problem set
  • 4.
    David Luebke 48/29/2022 Review: Asymptotic Notation  Upper Bound Notation:  f(n) is O(g(n)) if there exist positive constants c and n0 such that f(n)  c  g(n) for all n  n0  Formally, O(g(n)) = { f(n):  positive constants c and n0 such that f(n)  c  g(n)  n  n0  Big O fact:  A polynomial of degree k is O(nk)
  • 5.
    David Luebke 58/29/2022 Review: Asymptotic Notation  Asymptotic lower bound:  f(n) is (g(n)) if  positive constants c and n0 such that 0  cg(n)  f(n)  n  n0  Asymptotic tight bound:  f(n) is (g(n)) if  positive constants c1, c2, and n0 such that c1 g(n)  f(n)  c2 g(n)  n  n0  f(n) = (g(n)) if and only if f(n) = O(g(n)) AND f(n) = (g(n))
  • 6.
    David Luebke 68/29/2022 Other Asymptotic Notations  A function f(n) is o(g(n)) if  positive constants c and n0 such that f(n) < c g(n)  n  n0  A function f(n) is (g(n)) if  positive constants c and n0 such that c g(n) < f(n)  n  n0  Intuitively,  o() is like <  O() is like   () is like >  () is like   () is like =
  • 7.
    David Luebke 78/29/2022 Merge Sort MergeSort(A, left, right) { if (left < right) { mid = floor((left + right) / 2); MergeSort(A, left, mid); MergeSort(A, mid+1, right); Merge(A, left, mid, right); } } // Merge() takes two sorted subarrays of A and // merges them into a single sorted subarray of A // (how long should this take?)
  • 8.
    David Luebke 88/29/2022 Merge Sort: Example  Show MergeSort() running on the array A = {10, 5, 7, 6, 1, 4, 8, 3, 2, 9};
  • 9.
    David Luebke 98/29/2022 Analysis of Merge Sort Statement Effort  So T(n) = (1) when n = 1, and 2T(n/2) + (n) when n > 1  So what (more succinctly) is T(n)? MergeSort(A, left, right) { T(n) if (left < right) { (1) mid = floor((left + right) / 2); (1) MergeSort(A, left, mid); T(n/2) MergeSort(A, mid+1, right); T(n/2) Merge(A, left, mid, right); (n) } }
  • 10.
    David Luebke 108/29/2022 Recurrences  The expression: is a recurrence.  Recurrence: an equation that describes a function in terms of its value on smaller functions                  1 2 2 1 ) ( n cn n T n c n T
  • 11.
    David Luebke 118/29/2022 Recurrence Examples         0 0 ) 1 ( 0 ) ( n n n s c n s         0 ) 1 ( 0 0 ) ( n n s n n n s                  1 2 2 1 ) ( n c n T n c n T                  1 1 ) ( n cn b n aT n c n T
  • 12.
    David Luebke 128/29/2022 Solving Recurrences  Substitution method  Iteration method  Master method
  • 13.
    David Luebke 138/29/2022 Solving Recurrences  The substitution method (CLR 4.1)  A.k.a. the “making a good guess method”  Guess the form of the answer, then use induction to find the constants and show that solution works  Examples:  T(n) = 2T(n/2) + (n)  T(n) = (n lg n)  T(n) = 2T(n/2) + n  ???
  • 14.
    David Luebke 148/29/2022 Solving Recurrences  The substitution method (CLR 4.1)  A.k.a. the “making a good guess method”  Guess the form of the answer, then use induction to find the constants and show that solution works  Examples:  T(n) = 2T(n/2) + (n)  T(n) = (n lg n)  T(n) = 2T(n/2) + n  T(n) = (n lg n)  T(n) = 2T(n/2 )+ 17) + n  ???
  • 15.
    David Luebke 158/29/2022 Solving Recurrences  The substitution method (CLR 4.1)  A.k.a. the “making a good guess method”  Guess the form of the answer, then use induction to find the constants and show that solution works  Examples:  T(n) = 2T(n/2) + (n)  T(n) = (n lg n)  T(n) = 2T(n/2) + n  T(n) = (n lg n)  T(n) = 2T(n/2+ 17) + n  (n lg n)
  • 16.
    David Luebke 168/29/2022 Solving Recurrences  Another option is what the book calls the “iteration method”  Expand the recurrence  Work some algebra to express as a summation  Evaluate the summation  We will show several examples
  • 17.
    David Luebke 178/29/2022  s(n) = c + s(n-1) c + c + s(n-2) 2c + s(n-2) 2c + c + s(n-3) 3c + s(n-3) … kc + s(n-k) = ck + s(n-k)         0 ) 1 ( 0 0 ) ( n n s c n n s
  • 18.
    David Luebke 188/29/2022  So far for n >= k we have  s(n) = ck + s(n-k)  What if k = n?  s(n) = cn + s(0) = cn         0 ) 1 ( 0 0 ) ( n n s c n n s
  • 19.
    David Luebke 198/29/2022  So far for n >= k we have  s(n) = ck + s(n-k)  What if k = n?  s(n) = cn + s(0) = cn  So  Thus in general  s(n) = cn         0 ) 1 ( 0 0 ) ( n n s c n n s         0 ) 1 ( 0 0 ) ( n n s c n n s
  • 20.
    David Luebke 208/29/2022  s(n) = n + s(n-1) = n + n-1 + s(n-2) = n + n-1 + n-2 + s(n-3) = n + n-1 + n-2 + n-3 + s(n-4) = … = n + n-1 + n-2 + n-3 + … + n-(k-1) + s(n-k)         0 ) 1 ( 0 0 ) ( n n s n n n s
  • 21.
    David Luebke 218/29/2022  s(n) = n + s(n-1) = n + n-1 + s(n-2) = n + n-1 + n-2 + s(n-3) = n + n-1 + n-2 + n-3 + s(n-4) = … = n + n-1 + n-2 + n-3 + … + n-(k-1) + s(n-k) =         0 ) 1 ( 0 0 ) ( n n s n n n s ) ( 1 k n s i n k n i     
  • 22.
    David Luebke 228/29/2022  So far for n >= k we have         0 ) 1 ( 0 0 ) ( n n s n n n s ) ( 1 k n s i n k n i     
  • 23.
    David Luebke 238/29/2022  So far for n >= k we have  What if k = n?         0 ) 1 ( 0 0 ) ( n n s n n n s ) ( 1 k n s i n k n i     
  • 24.
    David Luebke 248/29/2022  So far for n >= k we have  What if k = n?         0 ) 1 ( 0 0 ) ( n n s n n n s ) ( 1 k n s i n k n i      2 1 0 ) 0 ( 1 1          n n i s i n i n i
  • 25.
    David Luebke 258/29/2022  So far for n >= k we have  What if k = n?  Thus in general         0 ) 1 ( 0 0 ) ( n n s n n n s ) ( 1 k n s i n k n i      2 1 0 ) 0 ( 1 1          n n i s i n i n i 2 1 ) (   n n n s
  • 26.
    David Luebke 268/29/2022  T(n) = 2T(n/2) + c 2(2T(n/2/2) + c) + c 22T(n/22) + 2c + c 22(2T(n/22/2) + c) + 3c 23T(n/23) + 4c + 3c 23T(n/23) + 7c 23(2T(n/23/2) + c) + 7c 24T(n/24) + 15c … 2kT(n/2k) + (2k - 1)c                1 2 2 1 ) ( n c n T n c n T
  • 27.
    David Luebke 278/29/2022  So far for n > 2k we have  T(n) = 2kT(n/2k) + (2k - 1)c  What if k = lg n?  T(n) = 2lg n T(n/2lg n) + (2lg n - 1)c = n T(n/n) + (n - 1)c = n T(1) + (n-1)c = nc + (n-1)c = (2n - 1)c                1 2 2 1 ) ( n c n T n c n T