The Citric acid cycle
4/16/2003
The Citric acid cycle
It is called the Krebs cycle or the tricarboxylic and is the
“hub” of the metabolic system. It accounts for the
majority of carbohydrate, fatty acid and amino acid
oxidation. It also accounts for a majority of the
generation of these compounds and others as well.
Amphibolic - acts both catabolically and anabolically
3NAD+ + FAD + GDP + Pi + acetyl-CoA
3NADH + FADH + GTP + CoA + 2CO2
History
By 1930 it was established that the addition of lactate,
acetate succinate, malate, a-ketoglutaric acid
(dicarboxylic acids) and citrate and isocitrate
(tricarboxylic acids) when added to muscle mince that
they stimulated oxygen consumption and release of CO2
1935Albert Szent-Gyorgyi showed that
Succinate Fumarate Malate Oxaloacetate
Carl Martius and Franz Knoop showed
Citrate cis-aconitate isocitrate a ketoglutarate
succinate fumarate malate oxaloacetate
Martius and Knoop showed that pyruvate and
oxaloacetate could form citrate non-enzymatically by
the addition of peroxide under basic conditions.
Krebs showed that succinate is formed from fumarate,
malate or oxaloacetate. This is interesting since it was
shown that the other way worked as well!!
Pyruvate can form citrate enzymatically
Pyruvate + oxaloacetate citrate + CO2
The interconversion rates of the intermediates was fast
enough to support respiration rates.
Overview
The citric acid cycle enzymes are found
in the matrix of the mitochondria
Substrates have to flow across the outer and inner
parts of the mitochondria
Nathan Kaplan and Fritz Lipmann discovered
Coenzyme A and Ochoa and Lynen showed that acetyl-
CoA was intermediate from pyruvate to citrate.
CoA acts as a carrier of acetyl groups
Acetyl-CoA is a “high energy” compound: The DG'
for the hydrolysis of its thioester is -31.5 kJ• mol-1
making it greater than the hydrolysis of ATP
Pyruvate dehydrogenase converts pyruvate to
acetyl-CoA and CO2
Pyruvate dehydrogenase
A multienzyme complexes are groups of non covalently
associated enzymes that catalyze two or more sequential
steps in a metabolic pathway.
E. coli yeast
Pyruvate dehydrogenase -- E1 24 60
dihydrolipoyl transacetylase --E2 24 60
dihydrolipoyl dehydrogenase--E3 12 12
Molecular weight of 4,600,000 Da
24 E2 subunits 24 E1 orange a and b together
12 E3 Red
EM based image of the core E2 from yeast pyruvate dh
60 subunits associated as 20 cone-shaped trimers that
are verticies of a dodecahedron
Why such a complex set of enzymes?
1 Enzymatic reactions rates are limited by diffusion,
with shorter distance between subunits a enzyme
can almost direct the substrate from one subunit
(catalytic site) to another.
2. Channeling metabolic intermediates between
successive enzymes minimizes side reactions
3. The reactions of a multienzyme complex can be
coordinately controlled
Covalent modification of eukaryotic
pyruvate dehydrogenase
The five reactions of the pyruvate dehydrogenase
multi enzyme complex
The enzyme requires five coenzymes and five
reactions
Pyruvate + CoA + NAD+ acetyl-CoA + CO2 + NADH
The Coenzymes and prosthetic groups
of pyruvate dehydrogenase
Cofactor Location Function
Thiamine Bound to E1 Decarboxylates
pyrophosphate pyruvate
Lipoic acid Covalently linked Accepts
to a Lys on hydroxyethyl
E2 (lipoamide) carbanion from
TPP
CoenzymeA Substrate for E2 Accepts acetyl
group from lipoamide
FAD (flavin) Bound to E3 reduced by lipoamide
NADH Substrate for E3 reduced by FADH2
Domain structure of dihydrolipoyl
transacetylase E2
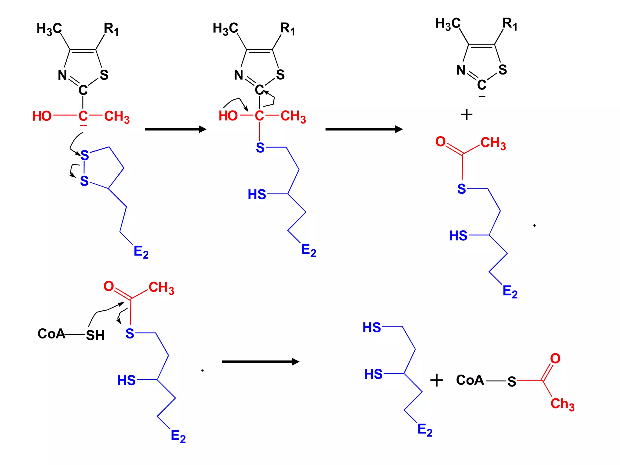
1. Pyruvate dh decarboxylates pyruvate using a TPP
cofactor forming hydroxyethyl-TPP.
2 The hydroxyethyl group is transferred to the oxidized
lipoamide on E2 to form Acetyl dihydrolipoamide-E2
3 E2 catalyzes the transfer of the acetyl groups to CoA
yielding acetyl-CoA and reduced dihydrolipoamide-E2
4 Dihydrolipoyl dh E3 reoxidizes dihydrolipoamide-E2
and itself becomes reduced as FADH2 is formed
5 Reduced E3 is reoxidized by NAD+ to form FAD and
NADH The enzymes SH groups are reoxidized by the
FAD and the electrons are transferred to NADH
Pyruvate dehydrogenase
N
C
S
H3C R1
S
S
E2
C CH3
HO
N
C
S
H3C R1
S
HS
E2
C CH3
HO
S
HS
E2
+
CH3
O
N
C
S
H3C R1
HS
HS
E2
S
HS
E2
+
CH3
O
CoA SH
CoA S
Ch3
O
+
+
HS
HS
E2
S
S
FAD
+
SH
SH
FAD
SH
SH
FAD
S
S
FADH2
S
S
FAD
NAD+ NADH + H+
S
S
E2
+
S
S
E2
HS
S
E2
S
SH
E2
S
S
E2
S
S
E2
S
SH
E2
HS
S
E2
S
S
E2
CH3
O
CH3
O
CH3
O
CH3
O
Arsenite or organic arsenical compound
inhibition
HS
HS
R
O-
As
OH
OH
+
S
S
R
As
O-
lecture_23a.ppt

lecture_23a.ppt

  • 1.
    The Citric acidcycle 4/16/2003
  • 2.
    The Citric acidcycle It is called the Krebs cycle or the tricarboxylic and is the “hub” of the metabolic system. It accounts for the majority of carbohydrate, fatty acid and amino acid oxidation. It also accounts for a majority of the generation of these compounds and others as well. Amphibolic - acts both catabolically and anabolically 3NAD+ + FAD + GDP + Pi + acetyl-CoA 3NADH + FADH + GTP + CoA + 2CO2
  • 3.
    History By 1930 itwas established that the addition of lactate, acetate succinate, malate, a-ketoglutaric acid (dicarboxylic acids) and citrate and isocitrate (tricarboxylic acids) when added to muscle mince that they stimulated oxygen consumption and release of CO2 1935Albert Szent-Gyorgyi showed that Succinate Fumarate Malate Oxaloacetate Carl Martius and Franz Knoop showed Citrate cis-aconitate isocitrate a ketoglutarate succinate fumarate malate oxaloacetate
  • 4.
    Martius and Knoopshowed that pyruvate and oxaloacetate could form citrate non-enzymatically by the addition of peroxide under basic conditions. Krebs showed that succinate is formed from fumarate, malate or oxaloacetate. This is interesting since it was shown that the other way worked as well!! Pyruvate can form citrate enzymatically Pyruvate + oxaloacetate citrate + CO2 The interconversion rates of the intermediates was fast enough to support respiration rates.
  • 5.
  • 6.
    The citric acidcycle enzymes are found in the matrix of the mitochondria Substrates have to flow across the outer and inner parts of the mitochondria
  • 8.
    Nathan Kaplan andFritz Lipmann discovered Coenzyme A and Ochoa and Lynen showed that acetyl- CoA was intermediate from pyruvate to citrate.
  • 10.
    CoA acts asa carrier of acetyl groups Acetyl-CoA is a “high energy” compound: The DG' for the hydrolysis of its thioester is -31.5 kJ• mol-1 making it greater than the hydrolysis of ATP Pyruvate dehydrogenase converts pyruvate to acetyl-CoA and CO2
  • 11.
    Pyruvate dehydrogenase A multienzymecomplexes are groups of non covalently associated enzymes that catalyze two or more sequential steps in a metabolic pathway. E. coli yeast Pyruvate dehydrogenase -- E1 24 60 dihydrolipoyl transacetylase --E2 24 60 dihydrolipoyl dehydrogenase--E3 12 12 Molecular weight of 4,600,000 Da
  • 12.
    24 E2 subunits24 E1 orange a and b together 12 E3 Red
  • 13.
    EM based imageof the core E2 from yeast pyruvate dh 60 subunits associated as 20 cone-shaped trimers that are verticies of a dodecahedron
  • 14.
    Why such acomplex set of enzymes? 1 Enzymatic reactions rates are limited by diffusion, with shorter distance between subunits a enzyme can almost direct the substrate from one subunit (catalytic site) to another. 2. Channeling metabolic intermediates between successive enzymes minimizes side reactions 3. The reactions of a multienzyme complex can be coordinately controlled
  • 15.
    Covalent modification ofeukaryotic pyruvate dehydrogenase
  • 16.
    The five reactionsof the pyruvate dehydrogenase multi enzyme complex
  • 17.
    The enzyme requiresfive coenzymes and five reactions Pyruvate + CoA + NAD+ acetyl-CoA + CO2 + NADH
  • 18.
    The Coenzymes andprosthetic groups of pyruvate dehydrogenase Cofactor Location Function Thiamine Bound to E1 Decarboxylates pyrophosphate pyruvate Lipoic acid Covalently linked Accepts to a Lys on hydroxyethyl E2 (lipoamide) carbanion from TPP CoenzymeA Substrate for E2 Accepts acetyl group from lipoamide FAD (flavin) Bound to E3 reduced by lipoamide NADH Substrate for E3 reduced by FADH2
  • 19.
    Domain structure ofdihydrolipoyl transacetylase E2
  • 20.
    1. Pyruvate dhdecarboxylates pyruvate using a TPP cofactor forming hydroxyethyl-TPP. 2 The hydroxyethyl group is transferred to the oxidized lipoamide on E2 to form Acetyl dihydrolipoamide-E2 3 E2 catalyzes the transfer of the acetyl groups to CoA yielding acetyl-CoA and reduced dihydrolipoamide-E2 4 Dihydrolipoyl dh E3 reoxidizes dihydrolipoamide-E2 and itself becomes reduced as FADH2 is formed 5 Reduced E3 is reoxidized by NAD+ to form FAD and NADH The enzymes SH groups are reoxidized by the FAD and the electrons are transferred to NADH Pyruvate dehydrogenase
  • 21.
    N C S H3C R1 S S E2 C CH3 HO N C S H3CR1 S HS E2 C CH3 HO S HS E2 + CH3 O N C S H3C R1 HS HS E2 S HS E2 + CH3 O CoA SH CoA S Ch3 O + +
  • 22.
  • 23.
  • 24.
    Arsenite or organicarsenical compound inhibition HS HS R O- As OH OH + S S R As O-