Topic3 Saed Sasi 1
Solution of Systems of Linear Equations
Read Chapter 9 and 11 of the textbook
Topic3 Saed Sasi 2
Vector, Matrices, and
Linear Equations
Topic3 Saed Sasi 3
MATRICES




































1
2
0
0
1
4
1
0
0
1
4
3
0
0
2
1
l
Tridiagona
,
6
0
0
0
0
0
0
0
0
0
4
0
0
0
0
1
diagonal
1
0
0
1
matrix
identity
0
0
0
0
0
0
matrix
zero
:
Examples
numbers
of
array
l
dimensiona
two
a
:
Matrix
Topic3 Saed Sasi 4
MATRICES
























1
0
0
0
1
4
0
0
0
1
4
0
3
1
2
1
ngular
upper tria
,
4
5
1
5
0
1
1
1
2
symmetric
:
Examples
Topic3 Saed Sasi 5
Determinant of a MATRICES
82
)
0
15
(
1
)
5
12
(
1
)
25
(
2
5
0
1
-
3
1
-
4
5
1
-
3
1
-
4
5
5
0
2
4
5
1
5
0
1
1
3
2
det
:
Examples
only
matrices
square
for
Defined





















Topic3 Saed Sasi 6
Adding and Multiplying Matrices
j
i
j
i
m
k
,
b
a
c
B
A
C
*
p
m
if
only
defined
is
AB
C
product
The
*
q)
B(p
and
m)
(n
A
matrices
two
of
tion
Multiplica
,
b
a
c
B
A
C
*
size
same
the
have
they
if
only
Defined
*
B
and
A
matrices
two
of
addition
The
1
kj
ik
ij
ij
ij
ij
















Topic3 Saed Sasi 7
Systems of Linear Equations
form
Matrix
form
Standard
7
5
3
6
0
1
3
1
5
.
2
3
4
2
7
6
5
3
5
.
2
3
3
4
2
forms
different
in
presented
be
can
equations
linear
of
system
A
3
2
1
3
1
3
2
1
3
2
1
















































x
x
x
x
x
x
x
x
x
x
x
Topic3 Saed Sasi 8
Solutions of Linear Equations
5
2
3
:
equations
following
the
o
solution t
a
is
2
1
2
1
2
1
2
1

















x
x
x
x
x
x
Topic3 Saed Sasi 9
Solutions of Linear Equations
 Some systems of equations may have infinite
number of solutions
all
for
solution
a
is
)
3
(
5
.
0
solutions
of
number
infinite
have
6
4
2
3
2
2
1
2
1
2
1
a
a
a
x
x
x
x
x
x


















Topic3 Saed Sasi 10
Solutions of Linear Equations
 A set of equations is inconsistent if there
exists no solution to the system of equations:
nt
inconsiste
are
equations
These
5
4
2
3
2
2
1
2
1




x
x
x
x
Both types of systems are said to be singular.
Topic3 Saed Sasi 11
In addition, systems that are very close to being singular
(Fig. 9.2c) can also cause problems. These systems are said
to be ill-conditioned. Graphically, this corresponds to the fact
that it is difficult to identify the exact point at which the lines
intersect. Ill-conditioned systems will also pose problems
when they are encountered during the numerical solution of
linear equations. This is because they will be extremely
sensitive to round-off error
Topic3 Saed Sasi 12
Graphical Solution of Systems of
Linear Equations
5
2
3
2
1
2
1




x
x
x
x
solution
x1
x2
Topic3 Saed Sasi 13
Cramer’s Rule is Not Practical
way
efficient
in
computed
are
ts
determinan
the
if
used
be
can
It
system.
30
by
30
a
solve
to
years
10
needs
computer
super
A
.
systems
large
for
practical
not
is
Rule
s
Cramer'
2
2
1
1
1
5
1
3
1
,
1
2
1
1
1
2
5
1
3
system
the
solve
to
used
be
can
Rule
s
Cramer'
17
2
1 


 x
x
Topic3 Saed Sasi 14
 Naive Gaussian Elimination
 Examples
Lecture 13
Naive Gaussian Elimination
Topic3 Saed Sasi 15
Naive Gaussian Elimination
o The method consists of two steps
o Forward Elimination: the system is reduced to
upper triangular form. A sequence of elementary
operations is used.
o Backward Substitution: Solve the system starting
from the last variable. Solve for xn ,xn-1,…x1.































































'
'
'
0
0
'
'
0
3
2
1
3
2
1
33
23
22
13
12
11
3
2
1
3
2
1
33
32
31
23
22
21
13
12
11
b
b
b
x
x
x
a
a
a
a
a
a
b
b
b
x
x
x
a
a
a
a
a
a
a
a
a
Topic3 Saed Sasi 16
Example 1
17
7
5
6
4
8
3
2
1
1
3
3
3
7
2
3
1
1
2
2
2
10
2
3
2
)
(
1
8
3
2
3
,
2
equations
from
Eliminate
:
Step1
___
n
Eliminatio
Forward
:
1
Part
:
n
Eliminatio
Gaussian
Naive
using
Solve
3
2
3
2
3
2
1
3
2
1
3
2
1
3
2
1
1




































x
x
x
x
x
x
x
eq
eq
eq
x
x
x
eq
eq
eq
x
x
x
equation
pivot
unchanged
eq
x
x
x
x
Topic3 Saed Sasi 17
Example 1



































13
13
6
4
8
3
2
2
1
5
3
3
17
7
5
)
(
2
6
4
1
8
3
2
3
equation
from
Eliminate
:
Step2
n
Eliminatio
Forward
:
1
Part
3
3
2
3
2
1
3
2
3
2
3
2
1
2
x
x
x
x
x
x
eq
eq
eq
x
x
equation
pivot
unchanged
eq
x
x
unchanged
eq
x
x
x
x
Topic3 Saed Sasi 18
Example 1
Backward Substitution






































1
2
1
is
solution
The
1
3
2
8
2
1
4
6
1
13
13
3
2
1
1
,
1
3
2
1
,
1
3
3
,
1
2
2
,
1
1
1
3
2
,
2
3
3
,
2
2
2
3
,
3
3
3
x
x
x
a
x
x
a
x
a
x
a
b
x
x
a
x
a
b
x
a
b
x
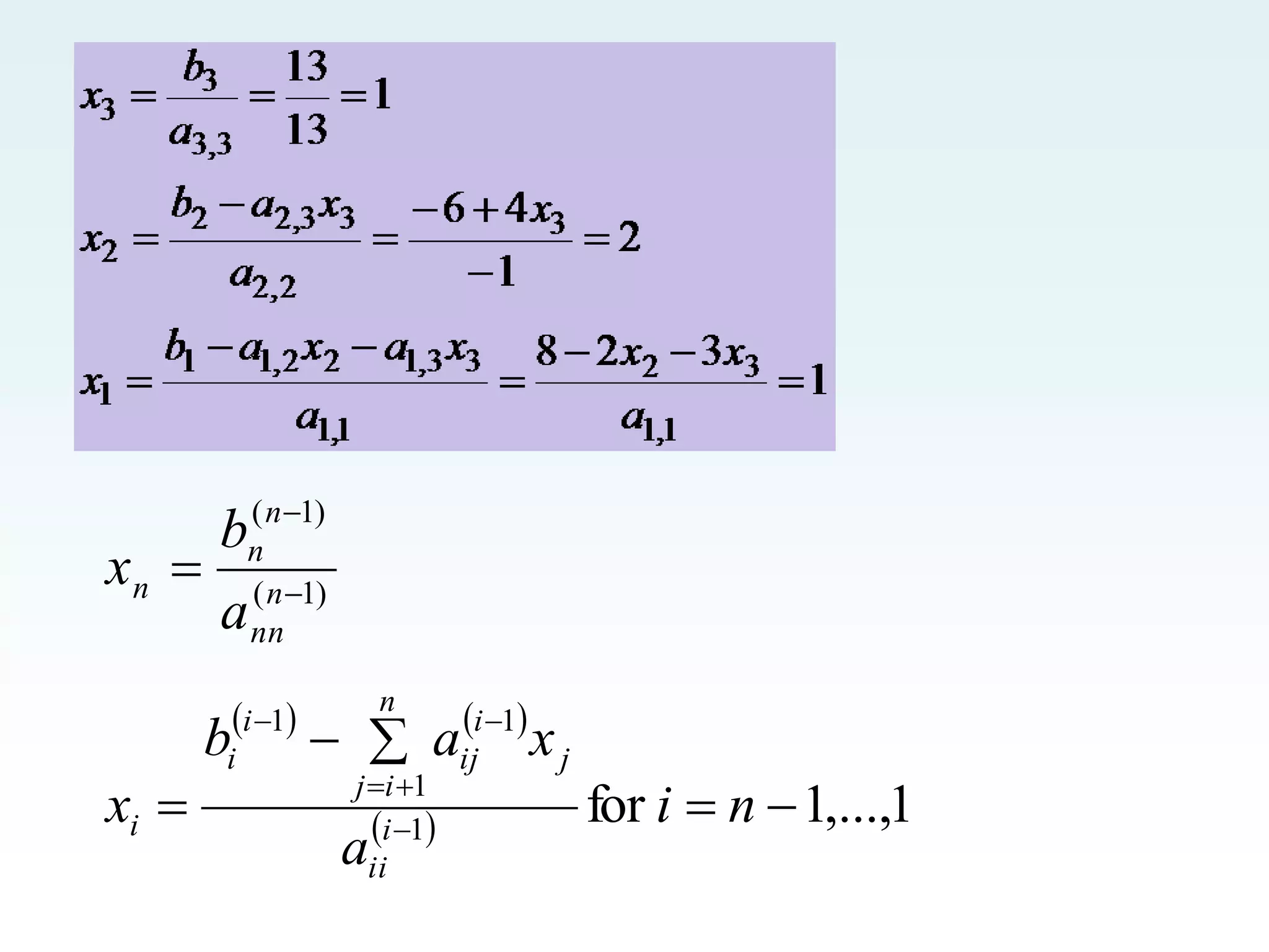
Forward Elimination
A set of n equations and n unknowns
1
1
3
13
2
12
1
11 ... b
x
a
x
a
x
a
x
a n
n 




2
2
3
23
2
22
1
21 ... b
x
a
x
a
x
a
x
a n
n 




n
n
nn
n
n
n b
x
a
x
a
x
a
x
a 



 ...
3
3
2
2
1
1
. .
. .
. .
(n-1) steps of forward elimination
Forward Elimination
Step 1
For Equation 2, divide Equation 1 by and
multiply by .
)
...
( 1
1
3
13
2
12
1
11
11
21
b
x
a
x
a
x
a
x
a
a
a
n
n 










1
11
21
1
11
21
2
12
11
21
1
21 ... b
a
a
x
a
a
a
x
a
a
a
x
a n
n 



11
a
21
a
Forward Elimination
1
11
21
1
11
21
2
12
11
21
1
21 ... b
a
a
x
a
a
a
x
a
a
a
x
a n
n 



1
11
21
2
1
11
21
2
2
12
11
21
22 ... b
a
a
b
x
a
a
a
a
x
a
a
a
a n
n
n 





















'
2
'
2
2
'
22 ... b
x
a
x
a n
n 


2
2
3
23
2
22
1
21 ... b
x
a
x
a
x
a
x
a n
n 




Subtract the result from Equation 2.
−
_________________________________________________
or
Forward Elimination
Repeat this procedure for the remaining
equations to reduce the set of equations as
1
1
3
13
2
12
1
11 ... b
x
a
x
a
x
a
x
a n
n 




'
2
'
2
3
'
23
2
'
22 ... b
x
a
x
a
x
a n
n 



'
3
'
3
3
'
33
2
'
32 ... b
x
a
x
a
x
a n
n 



'
'
3
'
3
2
'
2 ... n
n
nn
n
n b
x
a
x
a
x
a 



. . .
. . .
. . .
End of Step 1
Step 2
Repeat the same procedure for the 3rd term of
Equation 3.
Forward Elimination
1
1
3
13
2
12
1
11 ... b
x
a
x
a
x
a
x
a n
n 




'
2
'
2
3
'
23
2
'
22 ... b
x
a
x
a
x
a n
n 



"
3
"
3
3
"
33 ... b
x
a
x
a n
n 


"
"
3
"
3 ... n
n
nn
n b
x
a
x
a 


. .
. .
. .
End of Step 2
Forward Elimination
At the end of (n-1) Forward Elimination steps, the
system of equations will look like
'
2
'
2
3
'
23
2
'
22 ... b
x
a
x
a
x
a n
n 



"
3
"
3
3
"
33 ... b
x
a
x
a n
n 


   
1
1 


n
n
n
n
nn b
x
a
. .
. .
. .
1
1
3
13
2
12
1
11 ... b
x
a
x
a
x
a
x
a n
n 




End of Step (n-1)
Matrix Form at End of Forward
Elimination

















































 )
(n-
n
"
'
n
)
(n
nn
"
n
"
'
n
'
'
n
b
b
b
b
x
x
x
x
a
a
a
a
a
a
a
a
a
a
1
3
2
1
3
2
1
1
3
33
2
23
22
1
13
12
11
0
0
0
0
0
0
0










Back Substitution Starting Eqns
'
2
'
2
3
'
23
2
'
22 ... b
x
a
x
a
x
a n
n 



"
3
"
3
"
33 ... b
x
a
x
a n
n 


   
1
1 


n
n
n
n
nn b
x
a
. .
. .
. .
1
1
3
13
2
12
1
11 ... b
x
a
x
a
x
a
x
a n
n 




Back Substitution
Start with the last equation because it has only one unknown
)
1
(
)
1
(


 n
nn
n
n
n
a
b
x
   
  1
,...,
1
for
1
1
1
1




 




n
i
a
x
a
b
x i
ii
n
i
j
j
i
ij
i
i
i
)
1
(
)
1
(


 n
nn
n
n
n
a
b
x
Topic3 Saed Sasi 29
How Do We Know If a Solution is
Good or Not
 Given AX=B
 X is a solution if AX-B=0
 Due to computation error AX-B may not be zero
 Compute the residuals R=|AX-B|
 One possible test is ?????


i
i
r
max
if
acceptable
is
solution
The
Topic3 Saed Sasi 30
Determinant
13
det
det
13
0
0
4
1
0
3
2
1
A'
2
1
3
2
3
2
3
2
1
A
:
Example
t
determinan
affect the
not
do
operations
elementary
The
operations
Elementary





















 












(A')
(A)
Naïve Gauss Elimination
Pitfalls
9
5
5
11
3
2
6
3
7
10
3
2
1
3
2
1
3
2








x
x
x
x
x
x
x
x
Pitfall#1. Division by zero

































9
11
3
5
1
5
3
2
6
7
10
0
3
2
1
x
x
x
Is division by zero an issue here?
9
5
5
14
3
5
6
15
7
10
12
3
2
1
3
2
1
3
2
1









x
x
x
x
x
x
x
x
x

































9
14
15
5
1
5
3
5
6
7
10
12
3
2
1
x
x
x
Is division by zero an issue here?
YES
28
5
24
14
3
5
6
15
7
10
12
3
2
1
3
2
1
3
2
1









x
x
x
x
x
x
x
x
x

































28
14
15
5
1
24
3
5
6
7
10
12
3
2
1
x
x
x


































2
5
.
6
15
19
21
12
5
.
6
0
0
7
10
12
3
2
1
x
x
x
Division by zero is a possibility at any step
of forward elimination
Pitfall#2. Large Round-off Errors

































9
751
.
1
45
3
1
5
7
249
.
2
3
10
15
20
3
2
1
x
x
x
Exact Solution





















1
1
1
3
2
1
x
x
x
Pitfall#2. Large Round-off Errors

































9
751
.
1
45
3
1
5
7
249
.
2
3
10
15
20
3
2
1
x
x
x
Solve it on a computer using 6 significant digits with chopping





















999995
.
0
05
.
1
9625
.
0
3
2
1
x
x
x
Pitfall#2. Large Round-off Errors

































9
751
.
1
45
3
1
5
7
249
.
2
3
10
15
20
3
2
1
x
x
x
Solve it on a computer using 5 significant digits with chopping





















99995
.
0
5
.
1
625
.
0
3
2
1
x
x
x
Is there a way to reduce the round off error?
Avoiding Pitfalls
Increase the number of significant digits
• Decreases round-off error
• Does not avoid division by zero
Avoiding Pitfalls
Gaussian Elimination with Partial Pivoting
• Avoids division by zero
• Reduces round off error
Gauss Elimination with
Partial Pivoting
Pitfalls of Naïve Gauss Elimination
• Possible division by zero
• Large round-off errors
Avoiding Pitfalls
Increase the number of significant digits
• Decreases round-off error
• Does not avoid division by zero
Avoiding Pitfalls
Gaussian Elimination with Partial Pivoting
• Avoids division by zero
• Reduces round off error
What is Different About Partial
Pivoting?
pk
a
At the beginning of the kth step of forward elimination,
find the maximum of
nk
k
k
kk a
a
a .......,
,.........
, ,
1

If the maximum of the values is
in the p th row, ,
n
p
k 
 then switch rows p and k.
Example































2
279
2
177
8
106
1
12
144
1
8
64
1
5
25
3
2
1
.
.
.
a
a
a
Solve the following set of equations
by Gaussian elimination with partial
pivoting
Example 2 Cont.
































2
279
2
177
8
106
1
12
144
1
8
64
1
5
25
3
2
1
.
.
.
a
a
a
1. Forward Elimination
2. Back Substitution










2
.
279
1
12
144
2
.
177
1
8
64
8
.
106
1
5
25



Forward Elimination
Number of Steps of Forward
Elimination
Number of steps of forward elimination is
(n1)=(31)=2
Forward Elimination: Step 1
• Examine absolute values of first column, first row
and below.
144
,
64
,
25
• Largest absolute value is 144 and exists in row 3.
• Switch row 1 and row 3.





















8
.
106
1
5
25
2
.
177
1
8
64
2
.
279
1
12
144
2
.
279
1
12
144
2
.
177
1
8
64
8
.
106
1
5
25






Forward Elimination: Step 1 (cont.)
.
   
1
.
124
4444
.
0
333
.
5
99
.
63
4444
.
0
2
.
279
1
12
144 
 











8
.
106
1
5
25
2
.
177
1
8
64
2
.
279
1
12
144



 
 
 
10
.
53
.5556
0
667
.
2
0
124.1
0.4444
5.333
63.99
177.2
1
8
64














8
.
106
1
5
25
10
.
53
5556
.
0
667
.
2
0
2
.
279
1
12
144



Divide Equation 1 by 144 and
multiply it by 64, .
4444
.
0
144
64

Subtract the result from
Equation 2
Substitute new equation for
Equation 2
Forward Elimination: Step 1 (cont.)
.
   
47
.
48
1736
.
0
083
.
2
00
.
25
1736
.
0
279.2
1
12
144 
 

 
 
 
33
.
58
8264
.
0
917
.
2
0
48.47
0.1736
2.083
25
106.8
1
5
25














8
.
106
1
5
25
10
.
53
5556
.
0
667
.
2
0
2
.
279
1
12
144













33
.
58
8264
.
0
917
.
2
0
10
.
53
5556
.
0
667
.
2
0
2
.
279
1
12
144



Divide Equation 1 by 144 and
multiply it by 25, .
1736
.
0
144
25

Subtract the result from
Equation 3
Substitute new equation for
Equation 3
Forward Elimination: Step 2
• Examine absolute values of second column, second row
and below.
2.917
,
667
.
2
• Largest absolute value is 2.917 and exists in row 3.
• Switch row 2 and row 3.





















10
.
53
5556
.
0
667
.
2
0
33
.
58
8264
.
0
917
.
2
0
2
.
279
1
12
144
33
.
58
8264
.
0
917
.
2
0
10
.
53
5556
.
0
667
.
2
0
2
.
279
1
12
144






Forward Elimination: Step 2 (cont.)
.
   
33
.
53
7556
.
0
667
.
2
0
9143
.
0
58.33
0.8264
2.917
0 
 











10
.
53
5556
.
0
667
.
2
0
33
.
58
8264
.
0
917
.
2
0
2
.
279
1
12
144



 
 
 
23
.
0
2
.
0
0
0
53.33
0.7556
2.667
0
53.10
0.5556
2.667
0

















 23
.
0
2
.
0
0
0
33
.
58
8264
.
0
917
.
2
0
2
.
279
1
12
144



Divide Equation 2 by 2.917 and
multiply it by 2.667,
.
9143
.
0
917
.
2
667
.
2

Subtract the result from
Equation 3
Substitute new equation for
Equation 3
Back Substitution
Back Substitution
1.15
2
.
0
23
.
0
23
.
0
2
.
0
3
3







a
a
Solving for a3













































 23
0
33
58
2
279
2
0
0
0
8264
0
917
2
0
1
12
144
23
.
0
2
.
0
0
0
33
.
58
8264
.
0
917
.
2
0
2
.
279
1
12
144
3
2
1
.
.
.
a
a
a
.
.
.



Back Substitution (cont.)
Solving for a2
67
19.
917
.
2
15
.
1
8264
.
0
33
.
58
917
.
2
8264
.
0
33
.
58
33
.
58
8264
.
0
917
.
2
3
2
3
2








a
a
a
a
































 23
0
33
58
2
279
2
0
0
0
8264
0
917
2
0
1
12
144
3
2
1
.
.
.
a
a
a
.
.
.
Back Substitution (cont.)
Solving for a1
2917
.
0
144
15
.
1
67
.
19
12
2
.
279
144
12
2
.
279
2
.
279
12
144
3
2
1
3
2
1











a
a
a
a
a
a
































 23
0
33
58
2
279
2
0
0
0
8264
0
917
2
0
1
12
144
3
2
1
.
.
.
a
a
a
.
.
.
Gaussian Elimination with Partial
Pivoting Solution































2
279
2
177
8
106
1
12
144
1
8
64
1
5
25
3
2
1
.
.
.
a
a
a





















15
.
1
67
.
19
2917
.
0
3
2
1
a
a
a
Topic3 Saed Sasi 59
Lecture 16
Tridiagonal, and Banded Systems
 Tridiagonal Systems
 Diagonal Dominance
 Tridiagonal Algorithm
 Examples
Topic3 Saed Sasi 60
Tridiagonal Systems:
 The non-zero elements are
in the main diagonal,
super diagonal and
subdiagonal.
 aij=0 if |i-j| > 1

















































5
4
3
2
1
5
4
3
2
1
6
1
0
0
0
1
4
1
0
0
0
2
6
2
0
0
0
1
4
3
0
0
0
1
5
b
b
b
b
b
x
x
x
x
x
Tridiagonal Systems
Topic3 Saed Sasi 61
 Occur in many applications
 Needs less storage (4n-2 compared to n2 +n for the general cases)
 (Elements of A + elements of b ; 13+5=18)
 Selection of pivoting rows is unnecessary
(under some conditions)
 Efficiently solved by Gaussian elimination
Tridiagonal Systems
Topic3 Saed Sasi 62
 Based on Naive Gaussian elimination.
 As in previous Gaussian elimination algorithms
 Forward elimination step
 Backward substitution step
 Elements in the super diagonal are not affected.
 Elements in the main diagonal, and B need
updating
Algorithm to Solve Tridiagonal Systems
Topic3 Saed Sasi 63
Tridiagonal System






































































































n
n
n
n
n
n
n
n
n
b
b
b
b
x
x
x
x
d
c
d
c
d
c
d
b
b
b
b
x
x
x
x
d
a
c
d
a
c
d
a
c
d
b
a, d








 3
2
1
3
2
1
1
3
2
2
1
1
3
2
1
3
2
1
1
1
3
2
2
2
1
1
1
and
and
d
update
to
need
We
Topic3 Saed Sasi 64
Diagonal Dominance
row.
ing
correspond
in the
elements
of
sum
the
n
larger tha
is
element
diagonal
each
of
magnitude
The
)
1
(
a
a
if
dominant
diagonally
is
matrix
A
,
1
ij
ii n
i
for
A
n
i
j
j


 


Topic3 Saed Sasi 65
Diagonal Dominance
dominant
Diagonally
Not
dominant
Diagonally
1
2
1
2
3
2
1
0
3
5
2
1
1
6
1
1
0
3
:
Examples





















Topic3 Saed Sasi 66
Diagonally Dominant Tridiagonal System
 A tridiagonal system is diagonally dominant if
(i.e., |diagonal element| > sum of |element before| and |element after| diagonal element)
 Forward Elimination preserves diagonal dominance
)
1
(
1 n
i
a
c
d i
i
i 


 
Topic3 Saed Sasi 67
Solving Tridiagonal System
  1
,...,
2
,
1
for
1
on
Substituti
Backward
2
n
Eliminatio
Forward
1
1
1
1
1
1
1



































n
n
i
x
c
b
d
x
d
b
x
n
i
b
d
a
b
b
c
d
a
d
d
i
i
i
i
i
n
n
n
i
i
i
i
i
i
i
i
i
i






































































































n
n
n
n
n
n
n
n
n
b
b
b
b
x
x
x
x
d
c
d
c
d
c
d
b
b
b
b
x
x
x
x
d
a
c
d
a
c
d
a
c
d
b
a, d








 3
2
1
3
2
1
1
3
2
2
1
1
3
2
1
3
2
1
1
1
3
2
2
2
1
1
1
and
and
d
update
to
need
We
Topic3 Saed Sasi 68
Example
  1
,
2
,
3
for
1
,
on
Substituti
Backward
4
2
,
n
Eliminatio
Forward
6
8
9
12
,
2
2
2
,
1
1
1
,
5
5
5
5
6
8
9
12
5
1
2
5
1
2
5
1
2
5
Solve
1
1
1
1
1
1
1
4
3
2
1



























































































































i
x
c
b
d
x
d
b
x
i
b
d
a
b
b
c
d
a
d
d
B
C
A
D
x
x
x
x
i
i
i
i
i
n
n
n
i
i
i
i
i
i
i
i
i
i
Topic3 Saed Sasi 69
Example
5619
.
4
5652
.
4
5652
.
6
1
6
,
5619
.
4
5652
.
4
2
1
5
5652
.
6
6
.
4
6
.
6
1
8
,
5652
.
4
6
.
4
2
1
5
6
.
6
5
12
1
9
,
6
.
4
5
2
1
5
n
Eliminatio
Forward
6
8
9
12
,
2
2
2
,
1
1
1
,
5
5
5
5
3
3
3
4
4
3
3
3
4
4
2
2
2
3
3
2
2
2
3
3
1
1
1
2
2
1
1
1
2
2








































































































































b
d
a
b
b
c
d
a
d
d
b
d
a
b
b
c
d
a
d
d
b
d
a
b
b
c
d
a
d
d
B
C
A
D
Topic3 Saed Sasi 70
Example
Backward Substitution
 After the Forward Elimination:
 Backward Substitution:
   
2
5
1
2
12
1
6
.
4
1
2
6
.
6
1
5652
.
4
1
2
5652
.
6
,
1
5619
.
4
5619
.
4
5619
.
4
5652
.
6
6
.
6
12
,
5619
.
4
5652
.
4
6
.
4
5
1
2
1
1
1
2
3
2
2
2
3
4
3
3
3
4
4
4























d
x
c
b
x
d
x
c
b
x
d
x
c
b
x
d
b
x
B
D T
T
http://numericalmethods.eng.usf.edu
Gauss-Seidel Method
Why?
The Gauss-Seidel Method allows the user to control round-off error.
Elimination methods such as Gaussian Elimination and LU
Decomposition are prone to prone to round-off error.
Also: If the physics of the problem are understood, a close initial
guess can be made, decreasing the number of iterations needed.
http://numericalmethods.eng.usf.edu
Gauss-Seidel Method
Algorithm
A set of n equations and n unknowns:
1
1
3
13
2
12
1
11 ... b
x
a
x
a
x
a
x
a n
n 




2
3
23
2
22
1
21 ... b
x
a
x
a
x
a
x
a n
2n 




n
n
nn
n
n
n b
x
a
x
a
x
a
x
a 



 ...
3
3
2
2
1
1
. .
. .
. .
If: the diagonal elements are
non-zero
Rewrite each equation solving
for the corresponding unknown
ex:
First equation, solve for x1
Second equation, solve for x2
http://numericalmethods.eng.usf.edu
Gauss-Seidel Method
Algorithm
Rewriting each equation
11
1
3
13
2
12
1
1
a
x
a
x
a
x
a
c
x n
n






nn
n
n
n
n
n
n
n
n
n
n
n
n
n
n
n
n
n
n
n
n
n
a
x
a
x
a
x
a
c
x
a
x
a
x
a
x
a
x
a
c
x
a
x
a
x
a
x
a
c
x
1
1
,
2
2
1
1
1
,
1
,
1
2
2
,
1
2
2
,
1
1
1
,
1
1
1
22
2
3
23
1
21
2
2



































From Equation 1
From equation 2
From equation n-1
From equation n
http://numericalmethods.eng.usf.edu
Gauss-Seidel Method
Algorithm
General Form of each equation
11
1
1
1
1
1
a
x
a
c
x
n
j
j
j
j





22
2
1
2
2
2
a
x
a
c
x
j
n
j
j
j





1
,
1
1
1
,
1
1
1











n
n
n
n
j
j
j
j
n
n
n
a
x
a
c
x
nn
n
n
j
j
j
nj
n
n
a
x
a
c
x





1
http://numericalmethods.eng.usf.edu
Gauss-Seidel Method
Algorithm
General Form for any row ‘i’
.
,
,
2
,
1
,
1
n
i
a
x
a
c
x
ii
n
i
j
j
j
ij
i
i 






How or where can this equation be used?
http://numericalmethods.eng.usf.edu
Gauss-Seidel Method
Solve for the unknowns
Assume an initial guess for [X]
















n
-
n
2
x
x
x
x
1
1

Use rewritten equations to solve for
each value of xi.
Important: Remember to use the
most recent value of xi. Which
means to apply values calculated to
the calculations remaining in the
current iteration.
http://numericalmethods.eng.usf.edu
Gauss-Seidel Method
Calculate the Absolute Relative Approximate Error
100



 new
i
old
i
new
i
i
a
x
x
x
So when has the answer been found?
The iterations are stopped when the absolute relative
approximate error is less than a prespecified tolerance for all
unknowns.
http://numericalmethods.eng.usf.edu
Gauss-Seidel Method: Example 1
The upward velocity of a rocket
is given at three different times
Time, Velocity
5 106.8
8 177.2
12 279.2
The velocity data is approximated by a polynomial as:
  12.
t
5
,
3
2
2
1 



 a
t
a
t
a
t
v
 
s
t  
m/s
v
Table 1 Velocity vs. Time data.
http://numericalmethods.eng.usf.edu
Gauss-Seidel Method: Example 1































3
2
1
3
2
3
2
2
2
1
2
1
1
1
1
v
v
v
a
a
a
t
t
t
t
t
t
3
2
1
Using a Matrix template of the form
( Quadratic interpolation)
The system of equations becomes































2
.
279
2
.
177
8
.
106
1
12
144
1
8
64
1
5
25
3
2
1
a
a
a
Initial Guess: Assume an initial guess of





















5
2
1
3
2
1
a
a
a
http://numericalmethods.eng.usf.edu
Gauss-Seidel Method: Example 1
Rewriting each equation































2
.
279
2
.
177
8
.
106
1
12
144
1
8
64
1
5
25
3
2
1
a
a
a
25
5
8
.
106 3
2
1
a
a
a



8
64
2
.
177 3
1
2
a
a
a



1
12
144
2
.
279 2
1
3
a
a
a



http://numericalmethods.eng.usf.edu
Gauss-Seidel Method: Example 1
Applying the initial guess and solving for ai





















5
2
1
3
2
1
a
a
a 6720
.
3
25
)
5
(
)
2
(
5
8
.
106
a1 



    8510
.
7
8
5
6720
.
3
64
2
.
177
a2 




    36
.
155
1
8510
.
7
12
6720
.
3
144
2
.
279
a3 





Initial Guess
When solving for a2, how many of the initial guess values were used?
http://numericalmethods.eng.usf.edu
Gauss-Seidel Method: Example 1
%
76
.
72
100
6720
.
3
0000
.
1
6720
.
3
1
a 


 x
%
47
.
125
100
8510
.
7
0000
.
2
8510
.
7
2
a 




 x
%
22
.
103
100
36
.
155
0000
.
5
36
.
155
3
a 




 x
Finding the absolute relative approximate error
100



 new
i
old
i
new
i
i
a
x
x
x At the end of the first iteration
The maximum absolute
relative approximate error is
125.47%























36
.
155
8510
.
7
6720
.
3
3
2
1
a
a
a
http://numericalmethods.eng.usf.edu
Gauss-Seidel Method: Example 1
Iteration #2
Using























36
.
155
8510
.
7
6720
.
3
3
2
1
a
a
a
  056
.
12
25
36
.
155
8510
.
7
5
8
.
106
1 




a
  882
.
54
8
36
.
155
056
.
12
64
2
.
177
2 




a
    34
.
798
1
882
.
54
12
056
.
12
144
2
.
279
3 





a
from iteration #1
the values of ai are found:
http://numericalmethods.eng.usf.edu
Gauss-Seidel Method: Example 1
Finding the absolute relative approximate error
%
543
.
69
100
056
.
12
6720
.
3
056
.
12
1
a 


 x
  %
695
.
85
100
x
882
.
54
8510
.
7
882
.
54
2






a
  %
540
.
80
100
34
.
798
36
.
155
34
.
798
3
a 





 x
At the end of the second iteration























54
.
798
882
.
54
056
.
12
3
2
1
a
a
a
The maximum absolute
relative approximate error is
85.695%
Iteration a1 a2 a3
1
2
3
4
5
6
3.6720
12.056
47.182
193.33
800.53
3322.6
72.767
69.543
74.447
75.595
75.850
75.906
−7.8510
−54.882
−255.51
−1093.4
−4577.2
−19049
125.47
85.695
78.521
76.632
76.112
75.972
−155.36
−798.34
−3448.9
−14440
−60072
−249580
103.22
80.540
76.852
76.116
75.963
75.931
http://numericalmethods.eng.usf.edu
Gauss-Seidel Method: Example 1





















0857
.
1
690
.
19
29048
.
0
a
a
a
3
2
1
Repeating more iterations, the following values are obtained
%
1
a
 %
2
a
 %
3
a

Notice – The relative errors are not decreasing at any significant rate
Also, the solution is not converging to the true solution of
http://numericalmethods.eng.usf.edu
Gauss-Seidel Method: Pitfall
What went wrong?
Even though done correctly, the answer is not converging to the
correct answer
This example illustrates a pitfall of the Gauss-Siedel method: not all
systems of equations will converge.
Is there a fix?
One class of system of equations always converges: One with a diagonally
dominant coefficient matrix.
Diagonally dominant: [A] in [A] [X] = [C] is diagonally dominant if:




n
j
j
ij
a
a
i
1
ii 



n
i
j
j
ij
ii a
a
1
for all ‘i’ and for at least one ‘i’
http://numericalmethods.eng.usf.edu
Gauss-Seidel Method: Pitfall
 











1
16
123
1
43
45
34
81
.
5
2
A
Diagonally dominant: The coefficient on the diagonal must be at least
equal to the sum of the other coefficients in that row and at least one row
with a diagonal coefficient greater than the sum of the other coefficients
in that row.











129
34
96
5
53
23
56
34
124
]
B
[
Which coefficient matrix is diagonally dominant?
Most physical systems do result in simultaneous linear equations that
have diagonally dominant coefficient matrices.
http://numericalmethods.eng.usf.edu
Gauss-Seidel Method: Example 2
Given the system of equations
1
5
3
12 3
2
1 x
-
x
x 

28
3
5 3
2
1 x
x
x 


76
13
7
3 3
2
1 

 x
x
x





















1
0
1
3
2
1
x
x
x
With an initial guess of
The coefficient matrix is:
 









 

13
7
3
3
5
1
5
3
12
A
Will the solution converge using the
Gauss-Siedel method?
http://numericalmethods.eng.usf.edu
Gauss-Seidel Method: Example 2
 









 

13
7
3
3
5
1
5
3
12
A
Checking if the coefficient matrix is diagonally dominant
4
3
1
5
5 23
21
22 





 a
a
a
10
7
3
13
13 32
31
33 





 a
a
a
8
5
3
12
12 13
12
11 






 a
a
a
The inequalities are all true and at least one row is strictly greater than:
Therefore: The solution should converge using the Gauss-Siedel Method
http://numericalmethods.eng.usf.edu
Gauss-Seidel Method: Example 2






























 
76
28
1
13
7
3
3
5
1
5
3
12
3
2
1
a
a
a
Rewriting each equation
12
5
3
1 3
2
1
x
x
x



5
3
28 3
1
2
x
x
x



13
7
3
76 2
1
3
x
x
x



With an initial guess of





















1
0
1
3
2
1
x
x
x
    50000
.
0
12
1
5
0
3
1
1 



x
    9000
.
4
5
1
3
5
.
0
28
2 



x
    0923
.
3
13
9000
.
4
7
50000
.
0
3
76
3 



x
http://numericalmethods.eng.usf.edu
Gauss-Seidel Method: Example 2
The absolute relative approximate error
%
00
.
100
100
50000
.
0
0000
.
1
50000
.
0
1




a
%
00
.
100
100
9000
.
4
0
9000
.
4
2
a 




%
662
.
67
100
0923
.
3
0000
.
1
0923
.
3
3
a 




The maximum absolute relative error after the first iteration is 100%
http://numericalmethods.eng.usf.edu
Gauss-Seidel Method: Example 2





















8118
.
3
7153
.
3
14679
.
0
3
2
1
x
x
x
After Iteration #1
    14679
.
0
12
0923
.
3
5
9000
.
4
3
1
1 



x
    7153
.
3
5
0923
.
3
3
14679
.
0
28
2 



x
    8118
.
3
13
900
.
4
7
14679
.
0
3
76
3 



x
Substituting the x values into the
equations
After Iteration #2





















0923
.
3
9000
.
4
5000
.
0
3
2
1
x
x
x
http://numericalmethods.eng.usf.edu
Gauss-Seidel Method: Example 2
Iteration #2 absolute relative approximate error
%
61
.
240
100
14679
.
0
50000
.
0
14679
.
0
1
a 




%
889
.
31
100
7153
.
3
9000
.
4
7153
.
3
2
a 




%
874
.
18
100
8118
.
3
0923
.
3
8118
.
3
3
a 




The maximum absolute relative error after the first iteration is 240.61%
This is much larger than the maximum absolute relative error obtained in
iteration #1. Is this a problem?
Iteration a1 a2 a3
1
2
3
4
5
6
0.50000
0.14679
0.74275
0.94675
0.99177
0.99919
100.00
240.61
80.236
21.546
4.5391
0.74307
4.9000
3.7153
3.1644
3.0281
3.0034
3.0001
100.00
31.889
17.408
4.4996
0.82499
0.10856
3.0923
3.8118
3.9708
3.9971
4.0001
4.0001
67.662
18.876
4.0042
0.65772
0.074383
0.00101
http://numericalmethods.eng.usf.edu
Gauss-Seidel Method: Example 2
Repeating more iterations, the following values are obtained
%
1
a
 %
2
a
 %
3
a






















4
3
1
3
2
1
x
x
x





















0001
.
4
0001
.
3
99919
.
0
3
2
1
x
x
x
The solution obtained is close to the exact solution of .
http://numericalmethods.eng.usf.edu
Gauss-Seidel Method: Example 3
Given the system of equations
76
13
7
3 3
2
1 

 x
x
x
28
3
5 3
2
1 

 x
x
x
1
5
3
12 3
2
1 

 x
x
x
With an initial guess of





















1
0
1
3
2
1
x
x
x
Rewriting the equations
3
13
7
76 3
2
1
x
x
x



5
3
28 3
1
2
x
x
x



5
3
12
1 2
1
3




x
x
x
Iteration a1 A2 a3
1
2
3
4
5
6
21.000
−196.15
−1995.0
−20149
2.0364×105
−2.0579×105
95.238
110.71
109.83
109.90
109.89
109.89
0.80000
14.421
−116.02
1204.6
−12140
1.2272×105
100.00
94.453
112.43
109.63
109.92
109.89
50.680
−462.30
4718.1
−47636
4.8144×105
−4.8653×106
98.027
110.96
109.80
109.90
109.89
109.89
http://numericalmethods.eng.usf.edu
Gauss-Seidel Method: Example 3
Conducting six iterations, the following values are obtained
%
1
a
 %
2
a
 %
3
a

The values are not converging.
Does this mean that the Gauss-Seidel method cannot be used?
http://numericalmethods.eng.usf.edu
Gauss-Seidel Method
The Gauss-Seidel Method can still be used
The coefficient matrix is not
diagonally dominant
 












5
3
12
3
5
1
13
7
3
A
But this is the same set of
equations used in example #2,
which did converge.
 









 

13
7
3
3
5
1
5
3
12
A
If a system of linear equations is not diagonally dominant, check to see if
rearranging the equations can form a diagonally dominant matrix.
http://numericalmethods.eng.usf.edu
Gauss-Seidel Method
Not every system of equations can be rearranged to have a
diagonally dominant coefficient matrix.
Observe the set of equations
3
3
2
1 

 x
x
x
9
4
3
2 3
2
1 

 x
x
x
9
7 3
2
1 

 x
x
x
Which equation(s) prevents this set of equation from having a
diagonally dominant coefficient matrix?

lecture0003-numerical-methods-topic-3-solution-of-systems-of-linear-equations-lectures-.pptx

  • 1.
    Topic3 Saed Sasi1 Solution of Systems of Linear Equations Read Chapter 9 and 11 of the textbook
  • 2.
    Topic3 Saed Sasi2 Vector, Matrices, and Linear Equations
  • 3.
    Topic3 Saed Sasi3 MATRICES                                     1 2 0 0 1 4 1 0 0 1 4 3 0 0 2 1 l Tridiagona , 6 0 0 0 0 0 0 0 0 0 4 0 0 0 0 1 diagonal 1 0 0 1 matrix identity 0 0 0 0 0 0 matrix zero : Examples numbers of array l dimensiona two a : Matrix
  • 4.
    Topic3 Saed Sasi4 MATRICES                         1 0 0 0 1 4 0 0 0 1 4 0 3 1 2 1 ngular upper tria , 4 5 1 5 0 1 1 1 2 symmetric : Examples
  • 5.
    Topic3 Saed Sasi5 Determinant of a MATRICES 82 ) 0 15 ( 1 ) 5 12 ( 1 ) 25 ( 2 5 0 1 - 3 1 - 4 5 1 - 3 1 - 4 5 5 0 2 4 5 1 5 0 1 1 3 2 det : Examples only matrices square for Defined                     
  • 6.
    Topic3 Saed Sasi6 Adding and Multiplying Matrices j i j i m k , b a c B A C * p m if only defined is AB C product The * q) B(p and m) (n A matrices two of tion Multiplica , b a c B A C * size same the have they if only Defined * B and A matrices two of addition The 1 kj ik ij ij ij ij                
  • 7.
    Topic3 Saed Sasi7 Systems of Linear Equations form Matrix form Standard 7 5 3 6 0 1 3 1 5 . 2 3 4 2 7 6 5 3 5 . 2 3 3 4 2 forms different in presented be can equations linear of system A 3 2 1 3 1 3 2 1 3 2 1                                                 x x x x x x x x x x x
  • 8.
    Topic3 Saed Sasi8 Solutions of Linear Equations 5 2 3 : equations following the o solution t a is 2 1 2 1 2 1 2 1                  x x x x x x
  • 9.
    Topic3 Saed Sasi9 Solutions of Linear Equations  Some systems of equations may have infinite number of solutions all for solution a is ) 3 ( 5 . 0 solutions of number infinite have 6 4 2 3 2 2 1 2 1 2 1 a a a x x x x x x                  
  • 10.
    Topic3 Saed Sasi10 Solutions of Linear Equations  A set of equations is inconsistent if there exists no solution to the system of equations: nt inconsiste are equations These 5 4 2 3 2 2 1 2 1     x x x x Both types of systems are said to be singular.
  • 11.
    Topic3 Saed Sasi11 In addition, systems that are very close to being singular (Fig. 9.2c) can also cause problems. These systems are said to be ill-conditioned. Graphically, this corresponds to the fact that it is difficult to identify the exact point at which the lines intersect. Ill-conditioned systems will also pose problems when they are encountered during the numerical solution of linear equations. This is because they will be extremely sensitive to round-off error
  • 12.
    Topic3 Saed Sasi12 Graphical Solution of Systems of Linear Equations 5 2 3 2 1 2 1     x x x x solution x1 x2
  • 13.
    Topic3 Saed Sasi13 Cramer’s Rule is Not Practical way efficient in computed are ts determinan the if used be can It system. 30 by 30 a solve to years 10 needs computer super A . systems large for practical not is Rule s Cramer' 2 2 1 1 1 5 1 3 1 , 1 2 1 1 1 2 5 1 3 system the solve to used be can Rule s Cramer' 17 2 1     x x
  • 14.
    Topic3 Saed Sasi14  Naive Gaussian Elimination  Examples Lecture 13 Naive Gaussian Elimination
  • 15.
    Topic3 Saed Sasi15 Naive Gaussian Elimination o The method consists of two steps o Forward Elimination: the system is reduced to upper triangular form. A sequence of elementary operations is used. o Backward Substitution: Solve the system starting from the last variable. Solve for xn ,xn-1,…x1.                                                                ' ' ' 0 0 ' ' 0 3 2 1 3 2 1 33 23 22 13 12 11 3 2 1 3 2 1 33 32 31 23 22 21 13 12 11 b b b x x x a a a a a a b b b x x x a a a a a a a a a
  • 16.
    Topic3 Saed Sasi16 Example 1 17 7 5 6 4 8 3 2 1 1 3 3 3 7 2 3 1 1 2 2 2 10 2 3 2 ) ( 1 8 3 2 3 , 2 equations from Eliminate : Step1 ___ n Eliminatio Forward : 1 Part : n Eliminatio Gaussian Naive using Solve 3 2 3 2 3 2 1 3 2 1 3 2 1 3 2 1 1                                     x x x x x x x eq eq eq x x x eq eq eq x x x equation pivot unchanged eq x x x x
  • 17.
    Topic3 Saed Sasi17 Example 1                                    13 13 6 4 8 3 2 2 1 5 3 3 17 7 5 ) ( 2 6 4 1 8 3 2 3 equation from Eliminate : Step2 n Eliminatio Forward : 1 Part 3 3 2 3 2 1 3 2 3 2 3 2 1 2 x x x x x x eq eq eq x x equation pivot unchanged eq x x unchanged eq x x x x
  • 18.
    Topic3 Saed Sasi18 Example 1 Backward Substitution                                       1 2 1 is solution The 1 3 2 8 2 1 4 6 1 13 13 3 2 1 1 , 1 3 2 1 , 1 3 3 , 1 2 2 , 1 1 1 3 2 , 2 3 3 , 2 2 2 3 , 3 3 3 x x x a x x a x a x a b x x a x a b x a b x
  • 19.
    Forward Elimination A setof n equations and n unknowns 1 1 3 13 2 12 1 11 ... b x a x a x a x a n n      2 2 3 23 2 22 1 21 ... b x a x a x a x a n n      n n nn n n n b x a x a x a x a      ... 3 3 2 2 1 1 . . . . . . (n-1) steps of forward elimination
  • 20.
    Forward Elimination Step 1 ForEquation 2, divide Equation 1 by and multiply by . ) ... ( 1 1 3 13 2 12 1 11 11 21 b x a x a x a x a a a n n            1 11 21 1 11 21 2 12 11 21 1 21 ... b a a x a a a x a a a x a n n     11 a 21 a
  • 21.
    Forward Elimination 1 11 21 1 11 21 2 12 11 21 1 21 ...b a a x a a a x a a a x a n n     1 11 21 2 1 11 21 2 2 12 11 21 22 ... b a a b x a a a a x a a a a n n n                       ' 2 ' 2 2 ' 22 ... b x a x a n n    2 2 3 23 2 22 1 21 ... b x a x a x a x a n n      Subtract the result from Equation 2. − _________________________________________________ or
  • 22.
    Forward Elimination Repeat thisprocedure for the remaining equations to reduce the set of equations as 1 1 3 13 2 12 1 11 ... b x a x a x a x a n n      ' 2 ' 2 3 ' 23 2 ' 22 ... b x a x a x a n n     ' 3 ' 3 3 ' 33 2 ' 32 ... b x a x a x a n n     ' ' 3 ' 3 2 ' 2 ... n n nn n n b x a x a x a     . . . . . . . . . End of Step 1
  • 23.
    Step 2 Repeat thesame procedure for the 3rd term of Equation 3. Forward Elimination 1 1 3 13 2 12 1 11 ... b x a x a x a x a n n      ' 2 ' 2 3 ' 23 2 ' 22 ... b x a x a x a n n     " 3 " 3 3 " 33 ... b x a x a n n    " " 3 " 3 ... n n nn n b x a x a    . . . . . . End of Step 2
  • 24.
    Forward Elimination At theend of (n-1) Forward Elimination steps, the system of equations will look like ' 2 ' 2 3 ' 23 2 ' 22 ... b x a x a x a n n     " 3 " 3 3 " 33 ... b x a x a n n        1 1    n n n n nn b x a . . . . . . 1 1 3 13 2 12 1 11 ... b x a x a x a x a n n      End of Step (n-1)
  • 25.
    Matrix Form atEnd of Forward Elimination                                                   ) (n- n " ' n ) (n nn " n " ' n ' ' n b b b b x x x x a a a a a a a a a a 1 3 2 1 3 2 1 1 3 33 2 23 22 1 13 12 11 0 0 0 0 0 0 0          
  • 26.
    Back Substitution StartingEqns ' 2 ' 2 3 ' 23 2 ' 22 ... b x a x a x a n n     " 3 " 3 " 33 ... b x a x a n n        1 1    n n n n nn b x a . . . . . . 1 1 3 13 2 12 1 11 ... b x a x a x a x a n n     
  • 27.
    Back Substitution Start withthe last equation because it has only one unknown ) 1 ( ) 1 (    n nn n n n a b x
  • 28.
         1 ,..., 1 for 1 1 1 1           n i a x a b x i ii n i j j i ij i i i ) 1 ( ) 1 (    n nn n n n a b x
  • 29.
    Topic3 Saed Sasi29 How Do We Know If a Solution is Good or Not  Given AX=B  X is a solution if AX-B=0  Due to computation error AX-B may not be zero  Compute the residuals R=|AX-B|  One possible test is ?????   i i r max if acceptable is solution The
  • 30.
    Topic3 Saed Sasi30 Determinant 13 det det 13 0 0 4 1 0 3 2 1 A' 2 1 3 2 3 2 3 2 1 A : Example t determinan affect the not do operations elementary The operations Elementary                                    (A') (A)
  • 31.
  • 32.
    9 5 5 11 3 2 6 3 7 10 3 2 1 3 2 1 3 2         x x x x x x x x Pitfall#1. Division byzero                                  9 11 3 5 1 5 3 2 6 7 10 0 3 2 1 x x x
  • 33.
    Is division byzero an issue here? 9 5 5 14 3 5 6 15 7 10 12 3 2 1 3 2 1 3 2 1          x x x x x x x x x                                  9 14 15 5 1 5 3 5 6 7 10 12 3 2 1 x x x
  • 34.
    Is division byzero an issue here? YES 28 5 24 14 3 5 6 15 7 10 12 3 2 1 3 2 1 3 2 1          x x x x x x x x x                                  28 14 15 5 1 24 3 5 6 7 10 12 3 2 1 x x x                                   2 5 . 6 15 19 21 12 5 . 6 0 0 7 10 12 3 2 1 x x x Division by zero is a possibility at any step of forward elimination
  • 35.
    Pitfall#2. Large Round-offErrors                                  9 751 . 1 45 3 1 5 7 249 . 2 3 10 15 20 3 2 1 x x x Exact Solution                      1 1 1 3 2 1 x x x
  • 36.
    Pitfall#2. Large Round-offErrors                                  9 751 . 1 45 3 1 5 7 249 . 2 3 10 15 20 3 2 1 x x x Solve it on a computer using 6 significant digits with chopping                      999995 . 0 05 . 1 9625 . 0 3 2 1 x x x
  • 37.
    Pitfall#2. Large Round-offErrors                                  9 751 . 1 45 3 1 5 7 249 . 2 3 10 15 20 3 2 1 x x x Solve it on a computer using 5 significant digits with chopping                      99995 . 0 5 . 1 625 . 0 3 2 1 x x x Is there a way to reduce the round off error?
  • 38.
    Avoiding Pitfalls Increase thenumber of significant digits • Decreases round-off error • Does not avoid division by zero
  • 39.
    Avoiding Pitfalls Gaussian Eliminationwith Partial Pivoting • Avoids division by zero • Reduces round off error
  • 40.
  • 41.
    Pitfalls of NaïveGauss Elimination • Possible division by zero • Large round-off errors
  • 42.
    Avoiding Pitfalls Increase thenumber of significant digits • Decreases round-off error • Does not avoid division by zero
  • 43.
    Avoiding Pitfalls Gaussian Eliminationwith Partial Pivoting • Avoids division by zero • Reduces round off error
  • 44.
    What is DifferentAbout Partial Pivoting? pk a At the beginning of the kth step of forward elimination, find the maximum of nk k k kk a a a ......., ,......... , , 1  If the maximum of the values is in the p th row, , n p k   then switch rows p and k.
  • 45.
  • 46.
    Example 2 Cont.                                 2 279 2 177 8 106 1 12 144 1 8 64 1 5 25 3 2 1 . . . a a a 1.Forward Elimination 2. Back Substitution           2 . 279 1 12 144 2 . 177 1 8 64 8 . 106 1 5 25   
  • 47.
  • 48.
    Number of Stepsof Forward Elimination Number of steps of forward elimination is (n1)=(31)=2
  • 49.
    Forward Elimination: Step1 • Examine absolute values of first column, first row and below. 144 , 64 , 25 • Largest absolute value is 144 and exists in row 3. • Switch row 1 and row 3.                      8 . 106 1 5 25 2 . 177 1 8 64 2 . 279 1 12 144 2 . 279 1 12 144 2 . 177 1 8 64 8 . 106 1 5 25      
  • 50.
    Forward Elimination: Step1 (cont.) .     1 . 124 4444 . 0 333 . 5 99 . 63 4444 . 0 2 . 279 1 12 144               8 . 106 1 5 25 2 . 177 1 8 64 2 . 279 1 12 144          10 . 53 .5556 0 667 . 2 0 124.1 0.4444 5.333 63.99 177.2 1 8 64               8 . 106 1 5 25 10 . 53 5556 . 0 667 . 2 0 2 . 279 1 12 144    Divide Equation 1 by 144 and multiply it by 64, . 4444 . 0 144 64  Subtract the result from Equation 2 Substitute new equation for Equation 2
  • 51.
    Forward Elimination: Step1 (cont.) .     47 . 48 1736 . 0 083 . 2 00 . 25 1736 . 0 279.2 1 12 144           33 . 58 8264 . 0 917 . 2 0 48.47 0.1736 2.083 25 106.8 1 5 25               8 . 106 1 5 25 10 . 53 5556 . 0 667 . 2 0 2 . 279 1 12 144              33 . 58 8264 . 0 917 . 2 0 10 . 53 5556 . 0 667 . 2 0 2 . 279 1 12 144    Divide Equation 1 by 144 and multiply it by 25, . 1736 . 0 144 25  Subtract the result from Equation 3 Substitute new equation for Equation 3
  • 52.
    Forward Elimination: Step2 • Examine absolute values of second column, second row and below. 2.917 , 667 . 2 • Largest absolute value is 2.917 and exists in row 3. • Switch row 2 and row 3.                      10 . 53 5556 . 0 667 . 2 0 33 . 58 8264 . 0 917 . 2 0 2 . 279 1 12 144 33 . 58 8264 . 0 917 . 2 0 10 . 53 5556 . 0 667 . 2 0 2 . 279 1 12 144      
  • 53.
    Forward Elimination: Step2 (cont.) .     33 . 53 7556 . 0 667 . 2 0 9143 . 0 58.33 0.8264 2.917 0               10 . 53 5556 . 0 667 . 2 0 33 . 58 8264 . 0 917 . 2 0 2 . 279 1 12 144          23 . 0 2 . 0 0 0 53.33 0.7556 2.667 0 53.10 0.5556 2.667 0                   23 . 0 2 . 0 0 0 33 . 58 8264 . 0 917 . 2 0 2 . 279 1 12 144    Divide Equation 2 by 2.917 and multiply it by 2.667, . 9143 . 0 917 . 2 667 . 2  Subtract the result from Equation 3 Substitute new equation for Equation 3
  • 54.
  • 55.
    Back Substitution 1.15 2 . 0 23 . 0 23 . 0 2 . 0 3 3        a a Solving fora3                                               23 0 33 58 2 279 2 0 0 0 8264 0 917 2 0 1 12 144 23 . 0 2 . 0 0 0 33 . 58 8264 . 0 917 . 2 0 2 . 279 1 12 144 3 2 1 . . . a a a . . .   
  • 56.
    Back Substitution (cont.) Solvingfor a2 67 19. 917 . 2 15 . 1 8264 . 0 33 . 58 917 . 2 8264 . 0 33 . 58 33 . 58 8264 . 0 917 . 2 3 2 3 2         a a a a                                  23 0 33 58 2 279 2 0 0 0 8264 0 917 2 0 1 12 144 3 2 1 . . . a a a . . .
  • 57.
    Back Substitution (cont.) Solvingfor a1 2917 . 0 144 15 . 1 67 . 19 12 2 . 279 144 12 2 . 279 2 . 279 12 144 3 2 1 3 2 1            a a a a a a                                  23 0 33 58 2 279 2 0 0 0 8264 0 917 2 0 1 12 144 3 2 1 . . . a a a . . .
  • 58.
    Gaussian Elimination withPartial Pivoting Solution                                2 279 2 177 8 106 1 12 144 1 8 64 1 5 25 3 2 1 . . . a a a                      15 . 1 67 . 19 2917 . 0 3 2 1 a a a
  • 59.
    Topic3 Saed Sasi59 Lecture 16 Tridiagonal, and Banded Systems  Tridiagonal Systems  Diagonal Dominance  Tridiagonal Algorithm  Examples
  • 60.
    Topic3 Saed Sasi60 Tridiagonal Systems:  The non-zero elements are in the main diagonal, super diagonal and subdiagonal.  aij=0 if |i-j| > 1                                                  5 4 3 2 1 5 4 3 2 1 6 1 0 0 0 1 4 1 0 0 0 2 6 2 0 0 0 1 4 3 0 0 0 1 5 b b b b b x x x x x Tridiagonal Systems
  • 61.
    Topic3 Saed Sasi61  Occur in many applications  Needs less storage (4n-2 compared to n2 +n for the general cases)  (Elements of A + elements of b ; 13+5=18)  Selection of pivoting rows is unnecessary (under some conditions)  Efficiently solved by Gaussian elimination Tridiagonal Systems
  • 62.
    Topic3 Saed Sasi62  Based on Naive Gaussian elimination.  As in previous Gaussian elimination algorithms  Forward elimination step  Backward substitution step  Elements in the super diagonal are not affected.  Elements in the main diagonal, and B need updating Algorithm to Solve Tridiagonal Systems
  • 63.
    Topic3 Saed Sasi63 Tridiagonal System                                                                                                       n n n n n n n n n b b b b x x x x d c d c d c d b b b b x x x x d a c d a c d a c d b a, d          3 2 1 3 2 1 1 3 2 2 1 1 3 2 1 3 2 1 1 1 3 2 2 2 1 1 1 and and d update to need We
  • 64.
    Topic3 Saed Sasi64 Diagonal Dominance row. ing correspond in the elements of sum the n larger tha is element diagonal each of magnitude The ) 1 ( a a if dominant diagonally is matrix A , 1 ij ii n i for A n i j j      
  • 65.
    Topic3 Saed Sasi65 Diagonal Dominance dominant Diagonally Not dominant Diagonally 1 2 1 2 3 2 1 0 3 5 2 1 1 6 1 1 0 3 : Examples                     
  • 66.
    Topic3 Saed Sasi66 Diagonally Dominant Tridiagonal System  A tridiagonal system is diagonally dominant if (i.e., |diagonal element| > sum of |element before| and |element after| diagonal element)  Forward Elimination preserves diagonal dominance ) 1 ( 1 n i a c d i i i     
  • 67.
    Topic3 Saed Sasi67 Solving Tridiagonal System   1 ,..., 2 , 1 for 1 on Substituti Backward 2 n Eliminatio Forward 1 1 1 1 1 1 1                                    n n i x c b d x d b x n i b d a b b c d a d d i i i i i n n n i i i i i i i i i i                                                                                                       n n n n n n n n n b b b b x x x x d c d c d c d b b b b x x x x d a c d a c d a c d b a, d          3 2 1 3 2 1 1 3 2 2 1 1 3 2 1 3 2 1 1 1 3 2 2 2 1 1 1 and and d update to need We
  • 68.
    Topic3 Saed Sasi68 Example   1 , 2 , 3 for 1 , on Substituti Backward 4 2 , n Eliminatio Forward 6 8 9 12 , 2 2 2 , 1 1 1 , 5 5 5 5 6 8 9 12 5 1 2 5 1 2 5 1 2 5 Solve 1 1 1 1 1 1 1 4 3 2 1                                                                                                                            i x c b d x d b x i b d a b b c d a d d B C A D x x x x i i i i i n n n i i i i i i i i i i
  • 69.
    Topic3 Saed Sasi69 Example 5619 . 4 5652 . 4 5652 . 6 1 6 , 5619 . 4 5652 . 4 2 1 5 5652 . 6 6 . 4 6 . 6 1 8 , 5652 . 4 6 . 4 2 1 5 6 . 6 5 12 1 9 , 6 . 4 5 2 1 5 n Eliminatio Forward 6 8 9 12 , 2 2 2 , 1 1 1 , 5 5 5 5 3 3 3 4 4 3 3 3 4 4 2 2 2 3 3 2 2 2 3 3 1 1 1 2 2 1 1 1 2 2                                                                                                                                         b d a b b c d a d d b d a b b c d a d d b d a b b c d a d d B C A D
  • 70.
    Topic3 Saed Sasi70 Example Backward Substitution  After the Forward Elimination:  Backward Substitution:     2 5 1 2 12 1 6 . 4 1 2 6 . 6 1 5652 . 4 1 2 5652 . 6 , 1 5619 . 4 5619 . 4 5619 . 4 5652 . 6 6 . 6 12 , 5619 . 4 5652 . 4 6 . 4 5 1 2 1 1 1 2 3 2 2 2 3 4 3 3 3 4 4 4                        d x c b x d x c b x d x c b x d b x B D T T
  • 71.
    http://numericalmethods.eng.usf.edu Gauss-Seidel Method Why? The Gauss-SeidelMethod allows the user to control round-off error. Elimination methods such as Gaussian Elimination and LU Decomposition are prone to prone to round-off error. Also: If the physics of the problem are understood, a close initial guess can be made, decreasing the number of iterations needed.
  • 72.
    http://numericalmethods.eng.usf.edu Gauss-Seidel Method Algorithm A setof n equations and n unknowns: 1 1 3 13 2 12 1 11 ... b x a x a x a x a n n      2 3 23 2 22 1 21 ... b x a x a x a x a n 2n      n n nn n n n b x a x a x a x a      ... 3 3 2 2 1 1 . . . . . . If: the diagonal elements are non-zero Rewrite each equation solving for the corresponding unknown ex: First equation, solve for x1 Second equation, solve for x2
  • 73.
    http://numericalmethods.eng.usf.edu Gauss-Seidel Method Algorithm Rewriting eachequation 11 1 3 13 2 12 1 1 a x a x a x a c x n n       nn n n n n n n n n n n n n n n n n n n n n n a x a x a x a c x a x a x a x a x a c x a x a x a x a c x 1 1 , 2 2 1 1 1 , 1 , 1 2 2 , 1 2 2 , 1 1 1 , 1 1 1 22 2 3 23 1 21 2 2                                    From Equation 1 From equation 2 From equation n-1 From equation n
  • 74.
    http://numericalmethods.eng.usf.edu Gauss-Seidel Method Algorithm General Formof each equation 11 1 1 1 1 1 a x a c x n j j j j      22 2 1 2 2 2 a x a c x j n j j j      1 , 1 1 1 , 1 1 1            n n n n j j j j n n n a x a c x nn n n j j j nj n n a x a c x      1
  • 75.
    http://numericalmethods.eng.usf.edu Gauss-Seidel Method Algorithm General Formfor any row ‘i’ . , , 2 , 1 , 1 n i a x a c x ii n i j j j ij i i        How or where can this equation be used?
  • 76.
    http://numericalmethods.eng.usf.edu Gauss-Seidel Method Solve forthe unknowns Assume an initial guess for [X]                 n - n 2 x x x x 1 1  Use rewritten equations to solve for each value of xi. Important: Remember to use the most recent value of xi. Which means to apply values calculated to the calculations remaining in the current iteration.
  • 77.
    http://numericalmethods.eng.usf.edu Gauss-Seidel Method Calculate theAbsolute Relative Approximate Error 100     new i old i new i i a x x x So when has the answer been found? The iterations are stopped when the absolute relative approximate error is less than a prespecified tolerance for all unknowns.
  • 78.
    http://numericalmethods.eng.usf.edu Gauss-Seidel Method: Example1 The upward velocity of a rocket is given at three different times Time, Velocity 5 106.8 8 177.2 12 279.2 The velocity data is approximated by a polynomial as:   12. t 5 , 3 2 2 1      a t a t a t v   s t   m/s v Table 1 Velocity vs. Time data.
  • 79.
    http://numericalmethods.eng.usf.edu Gauss-Seidel Method: Example1                                3 2 1 3 2 3 2 2 2 1 2 1 1 1 1 v v v a a a t t t t t t 3 2 1 Using a Matrix template of the form ( Quadratic interpolation) The system of equations becomes                                2 . 279 2 . 177 8 . 106 1 12 144 1 8 64 1 5 25 3 2 1 a a a Initial Guess: Assume an initial guess of                      5 2 1 3 2 1 a a a
  • 80.
    http://numericalmethods.eng.usf.edu Gauss-Seidel Method: Example1 Rewriting each equation                                2 . 279 2 . 177 8 . 106 1 12 144 1 8 64 1 5 25 3 2 1 a a a 25 5 8 . 106 3 2 1 a a a    8 64 2 . 177 3 1 2 a a a    1 12 144 2 . 279 2 1 3 a a a   
  • 81.
    http://numericalmethods.eng.usf.edu Gauss-Seidel Method: Example1 Applying the initial guess and solving for ai                      5 2 1 3 2 1 a a a 6720 . 3 25 ) 5 ( ) 2 ( 5 8 . 106 a1         8510 . 7 8 5 6720 . 3 64 2 . 177 a2          36 . 155 1 8510 . 7 12 6720 . 3 144 2 . 279 a3       Initial Guess When solving for a2, how many of the initial guess values were used?
  • 82.
    http://numericalmethods.eng.usf.edu Gauss-Seidel Method: Example1 % 76 . 72 100 6720 . 3 0000 . 1 6720 . 3 1 a     x % 47 . 125 100 8510 . 7 0000 . 2 8510 . 7 2 a       x % 22 . 103 100 36 . 155 0000 . 5 36 . 155 3 a       x Finding the absolute relative approximate error 100     new i old i new i i a x x x At the end of the first iteration The maximum absolute relative approximate error is 125.47%                        36 . 155 8510 . 7 6720 . 3 3 2 1 a a a
  • 83.
    http://numericalmethods.eng.usf.edu Gauss-Seidel Method: Example1 Iteration #2 Using                        36 . 155 8510 . 7 6720 . 3 3 2 1 a a a   056 . 12 25 36 . 155 8510 . 7 5 8 . 106 1      a   882 . 54 8 36 . 155 056 . 12 64 2 . 177 2      a     34 . 798 1 882 . 54 12 056 . 12 144 2 . 279 3       a from iteration #1 the values of ai are found:
  • 84.
    http://numericalmethods.eng.usf.edu Gauss-Seidel Method: Example1 Finding the absolute relative approximate error % 543 . 69 100 056 . 12 6720 . 3 056 . 12 1 a     x   % 695 . 85 100 x 882 . 54 8510 . 7 882 . 54 2       a   % 540 . 80 100 34 . 798 36 . 155 34 . 798 3 a        x At the end of the second iteration                        54 . 798 882 . 54 056 . 12 3 2 1 a a a The maximum absolute relative approximate error is 85.695%
  • 85.
    Iteration a1 a2a3 1 2 3 4 5 6 3.6720 12.056 47.182 193.33 800.53 3322.6 72.767 69.543 74.447 75.595 75.850 75.906 −7.8510 −54.882 −255.51 −1093.4 −4577.2 −19049 125.47 85.695 78.521 76.632 76.112 75.972 −155.36 −798.34 −3448.9 −14440 −60072 −249580 103.22 80.540 76.852 76.116 75.963 75.931 http://numericalmethods.eng.usf.edu Gauss-Seidel Method: Example 1                      0857 . 1 690 . 19 29048 . 0 a a a 3 2 1 Repeating more iterations, the following values are obtained % 1 a  % 2 a  % 3 a  Notice – The relative errors are not decreasing at any significant rate Also, the solution is not converging to the true solution of
  • 86.
    http://numericalmethods.eng.usf.edu Gauss-Seidel Method: Pitfall Whatwent wrong? Even though done correctly, the answer is not converging to the correct answer This example illustrates a pitfall of the Gauss-Siedel method: not all systems of equations will converge. Is there a fix? One class of system of equations always converges: One with a diagonally dominant coefficient matrix. Diagonally dominant: [A] in [A] [X] = [C] is diagonally dominant if:     n j j ij a a i 1 ii     n i j j ij ii a a 1 for all ‘i’ and for at least one ‘i’
  • 87.
    http://numericalmethods.eng.usf.edu Gauss-Seidel Method: Pitfall             1 16 123 1 43 45 34 81 . 5 2 A Diagonally dominant: The coefficient on the diagonal must be at least equal to the sum of the other coefficients in that row and at least one row with a diagonal coefficient greater than the sum of the other coefficients in that row.            129 34 96 5 53 23 56 34 124 ] B [ Which coefficient matrix is diagonally dominant? Most physical systems do result in simultaneous linear equations that have diagonally dominant coefficient matrices.
  • 88.
    http://numericalmethods.eng.usf.edu Gauss-Seidel Method: Example2 Given the system of equations 1 5 3 12 3 2 1 x - x x   28 3 5 3 2 1 x x x    76 13 7 3 3 2 1    x x x                      1 0 1 3 2 1 x x x With an initial guess of The coefficient matrix is:               13 7 3 3 5 1 5 3 12 A Will the solution converge using the Gauss-Siedel method?
  • 89.
    http://numericalmethods.eng.usf.edu Gauss-Seidel Method: Example2               13 7 3 3 5 1 5 3 12 A Checking if the coefficient matrix is diagonally dominant 4 3 1 5 5 23 21 22        a a a 10 7 3 13 13 32 31 33        a a a 8 5 3 12 12 13 12 11         a a a The inequalities are all true and at least one row is strictly greater than: Therefore: The solution should converge using the Gauss-Siedel Method
  • 90.
    http://numericalmethods.eng.usf.edu Gauss-Seidel Method: Example2                                 76 28 1 13 7 3 3 5 1 5 3 12 3 2 1 a a a Rewriting each equation 12 5 3 1 3 2 1 x x x    5 3 28 3 1 2 x x x    13 7 3 76 2 1 3 x x x    With an initial guess of                      1 0 1 3 2 1 x x x     50000 . 0 12 1 5 0 3 1 1     x     9000 . 4 5 1 3 5 . 0 28 2     x     0923 . 3 13 9000 . 4 7 50000 . 0 3 76 3     x
  • 91.
    http://numericalmethods.eng.usf.edu Gauss-Seidel Method: Example2 The absolute relative approximate error % 00 . 100 100 50000 . 0 0000 . 1 50000 . 0 1     a % 00 . 100 100 9000 . 4 0 9000 . 4 2 a      % 662 . 67 100 0923 . 3 0000 . 1 0923 . 3 3 a      The maximum absolute relative error after the first iteration is 100%
  • 92.
    http://numericalmethods.eng.usf.edu Gauss-Seidel Method: Example2                      8118 . 3 7153 . 3 14679 . 0 3 2 1 x x x After Iteration #1     14679 . 0 12 0923 . 3 5 9000 . 4 3 1 1     x     7153 . 3 5 0923 . 3 3 14679 . 0 28 2     x     8118 . 3 13 900 . 4 7 14679 . 0 3 76 3     x Substituting the x values into the equations After Iteration #2                      0923 . 3 9000 . 4 5000 . 0 3 2 1 x x x
  • 93.
    http://numericalmethods.eng.usf.edu Gauss-Seidel Method: Example2 Iteration #2 absolute relative approximate error % 61 . 240 100 14679 . 0 50000 . 0 14679 . 0 1 a      % 889 . 31 100 7153 . 3 9000 . 4 7153 . 3 2 a      % 874 . 18 100 8118 . 3 0923 . 3 8118 . 3 3 a      The maximum absolute relative error after the first iteration is 240.61% This is much larger than the maximum absolute relative error obtained in iteration #1. Is this a problem?
  • 94.
    Iteration a1 a2a3 1 2 3 4 5 6 0.50000 0.14679 0.74275 0.94675 0.99177 0.99919 100.00 240.61 80.236 21.546 4.5391 0.74307 4.9000 3.7153 3.1644 3.0281 3.0034 3.0001 100.00 31.889 17.408 4.4996 0.82499 0.10856 3.0923 3.8118 3.9708 3.9971 4.0001 4.0001 67.662 18.876 4.0042 0.65772 0.074383 0.00101 http://numericalmethods.eng.usf.edu Gauss-Seidel Method: Example 2 Repeating more iterations, the following values are obtained % 1 a  % 2 a  % 3 a                       4 3 1 3 2 1 x x x                      0001 . 4 0001 . 3 99919 . 0 3 2 1 x x x The solution obtained is close to the exact solution of .
  • 95.
    http://numericalmethods.eng.usf.edu Gauss-Seidel Method: Example3 Given the system of equations 76 13 7 3 3 2 1    x x x 28 3 5 3 2 1    x x x 1 5 3 12 3 2 1    x x x With an initial guess of                      1 0 1 3 2 1 x x x Rewriting the equations 3 13 7 76 3 2 1 x x x    5 3 28 3 1 2 x x x    5 3 12 1 2 1 3     x x x
  • 96.
    Iteration a1 A2a3 1 2 3 4 5 6 21.000 −196.15 −1995.0 −20149 2.0364×105 −2.0579×105 95.238 110.71 109.83 109.90 109.89 109.89 0.80000 14.421 −116.02 1204.6 −12140 1.2272×105 100.00 94.453 112.43 109.63 109.92 109.89 50.680 −462.30 4718.1 −47636 4.8144×105 −4.8653×106 98.027 110.96 109.80 109.90 109.89 109.89 http://numericalmethods.eng.usf.edu Gauss-Seidel Method: Example 3 Conducting six iterations, the following values are obtained % 1 a  % 2 a  % 3 a  The values are not converging. Does this mean that the Gauss-Seidel method cannot be used?
  • 97.
    http://numericalmethods.eng.usf.edu Gauss-Seidel Method The Gauss-SeidelMethod can still be used The coefficient matrix is not diagonally dominant               5 3 12 3 5 1 13 7 3 A But this is the same set of equations used in example #2, which did converge.               13 7 3 3 5 1 5 3 12 A If a system of linear equations is not diagonally dominant, check to see if rearranging the equations can form a diagonally dominant matrix.
  • 98.
    http://numericalmethods.eng.usf.edu Gauss-Seidel Method Not everysystem of equations can be rearranged to have a diagonally dominant coefficient matrix. Observe the set of equations 3 3 2 1    x x x 9 4 3 2 3 2 1    x x x 9 7 3 2 1    x x x Which equation(s) prevents this set of equation from having a diagonally dominant coefficient matrix?