1 | P a g e
AN
INTERNSHIP REPORT
ON
HALL BOOKING SYSTEM PROJECT
BY
KAMAL ACHARYA
(Tribhuvan University)
Date: 2023/12/21
2 | P a g e
Introduction and
Objectives
3 | P a g e
INTRODUCTION
PHP and MySQL project on Hall Booking System is a web based
project and it has been developed in PHP and MySQL and we can
manage Payment, Booking, Inventory, Booking Dates, Customers and
Hall from this project.
The main objective to develop Hall Booking System PHP, MySQL,
JAVA SCRIPT and BOOTSRAP Project is to overcome the manual
errors and make a computerized system.
In this project, there are various type of modules available to manage
Customers, Booking, Payment. We can also generate reports for
Booking, Payment, Booking Dates, Hall. Here the Payment module
manage all the operations of Payment, Booking module can manage
Booking, Inventory module is normally developed for managing
Inventory, Booking Dates module manages Booking Dates operations,
Customers module has been implemented to manage Customers.
In this project all the modules like Payment, Booking Dates, Booking
are tightly coupled and we can track the information easily. Ifyou are
looking for Free Hall Booking System Project in PHP and MySQL then
you can visit our free projects section.
We can easily get the list of wedding halls & lawns in Nagpur. Also we
have detailed contact information for some particular hall. But we
cannot get the availability about hall. So background behind this web
4 | P a g e
portal is that it gives the area wise listing of wedding halls & lawns
with the detailed information of individual and also display for
particular date the hall is available or not. Just dial is the system in
which we can only find the name of Hall and Lawns in city. In just dial
we cannot find Halls in specific area. This system cannot show all
information about any Hall. This system is not able to book the Halls
online.
The A Web Based Hall Booking Management System is designed to
overcome the disadvantage of previous system.We can easily get the
list of Wedding Halls. But we cannot get the availability about Hall. So
background behind this web portal is that it gives the area wise listing
of Wedding Halls with the detailed information of individual and also
display for particular date the Hall is available or not. This is a special
type of web portal to easily get the information of all Wedding Halls in
Nagpur which display separate calendar for separate Hall. For
particular date the Hall. We can availability of Hall as well as Lawns
detailed information about individuals Hall in our web portal . It
provides all facilities to clients with lowest cost and lowest
maintenance problems.
5 | P a g e
OBJECTIVES
The main objective to develop Hall Booking System PHP and MySQL
Project is to overcome the manual errors and make a computerized system.
In this project, there are various type of modules available to manage
Customers, Booking, Payment. We can also generate reports for Booking,
Payment, Booking Dates, Hall.
 This project is to manage the detail of payment, booking dates, booking
customer, hall.
 The project is totally build at administrative end and thus the only
administrator is guaranteed access.
 The purpose of project is to built an application program reduce the
manual work for managing the Payment, Booking date, Inventory,
Booking.
 It deals with monitoring the information and transaction of customers.
 Admin can track all information of payment , booking, inventory etc
 Admin can edit , add , delete and update the records of booking dates ,
customer , hall.
 Manage the information about of inventory , customer, payment .
 Provide people seeking hall with accurate information about available
accommodations.
 Allow booking of rooms without errors and without creating conflicts.
6 | P a g e
 To present the hall as an excellent, or the best, choice to its target
market.
 To make it easy for customers to make reservations.
 To make it easy for customers to get their questions answered, lowering
barriers to selecting this chain's hotels.
 To fill as many hall as possible at a relatively high rate.
7 | P a g e
Preliminary System
Analysis
8 | P a g e
PRELIMINARY INVESTIGATION OF FRONT
PAGE :- Before starting this project we give attention to laws and rules
related to the business .we give specially attention to the security on given
aspect in the project. We check each and every possibility related to that
project.
PRESENT SYSYEM IN USE :- In present system use manager
has burden to maintain all entries in record .it is very tedious business work.
In present system the manager has more difficult task for searching record
as well as sorting record because various number of books are maintain by
manager.
FLAWS IN PRESENT SYSTEM :- In present /manual
system the manger has to maintain the records like customer entry,
purchase and selling entry, accessories detail and product detail. Also
the manager has to maintain the information like customer report,
dealer etc. This is very difficult task to maintain all of information into
registers and also it is difficult to edit or update.
The following are main flaws present in system :
 All reports related to payment
 All reports related to booking
 All reports related to inventory
 All reports related to booking dates
 All report related to hall
NEED OF NEW SYSTEM :- Hall booking system is an offline
application which user can easily manage payment details , inventory details
9 | P a g e
, booking dates . User can search details of booking payment, customer, hall.
Manage the information about of inventory, customer, payment . Customers
who make a decision to book a tour or rental don’t want to wait until you
are in the office. They want to lock in the activity on their own schedule.
Using an online booking system means that your business is open 24 hours
a day, seven days a week.
FEASIBILITY STUDY :- We study which type of work done in
the business of hall booking system in hall booking there are so many halls
are available in that business the buying and selling of hall booking is done.
Hall are buying from the manager and in other it sells to customer hence it
interact with payment detail, customer detail, inventory etc.
PROJECT CATEGORY :- My project category is PHP and
MySQL, JavaScript and Bootsrap. It is most popular scripting language for
web development it is free, open source and server side (the code is executed
on the server).
HyperText Preprocessor is a general purpose programming language
originally design for web development it was originally created by Rasmus
Lerdorf in 1994 the php reference implementation is now produce by php
group.PHP is the most popular scripting language for web development. It
is free, open source and server-side (the code is executed on the server).
MySQL is a Relational Database Management System (RDBMS) that uses
Structured Query Language (SQL). It is also free and open source.
JavaScript is one of the 3 languages all web developers must learn HTML
& JavaScript.
10 | P a g e
Hardware and Software
Requirement
Specification
11 | P a g e
HARDWARE REQIREMENT FOR PROJECT :-
 AMD/ Intel processor
 Color mono monitor
 4.7 GB hard disk
 Keyboard and Mouse
SOFTWARE REQIREMENT FOR PROJECT :-
 Front End - PHP
 Back End - MYSql
 Operating system – Windows
PHP and MySQL, JavaScript and Bootsrap. It is most popular scripting
language for web development it is free, open source and server side (the
code is executed on the server).
12 | P a g e
Detailed System Analysis
13 | P a g e
DATA FLOW DAIGRAM
14 | P a g e
NUMBER OF MODULES AND PROCESS LOGIC
HOME :- It is main page of project which tell how your project looks from
outside and how it would attract customers.
ABOUT :- It tells about the project that what is in your project, on what
basis your project may work or run.
GALLARY :- In Gallary we are able o see all picture of project that what
is we providing to customer in which quality.
BOOKING NOW :- From here a user or customer may able to register or
book any hall which we want for function , it may be of any type which type
of function want to do in hall.
PAY :- It is paying module in which you have to pay money for the type of
hall you book and for how many days and etc.
15 | P a g e
DATA STRUCTURE AND TABLE
16 | P a g e
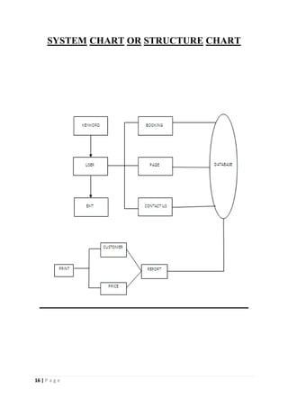
SYSTEM CHART OR STRUCTURE CHART
17 | P a g e
ENTITY RELATIONSHIP DAIGRAM
18 | P a g e
System Design
19 | P a g e
SOURCE CODE
ADMIN COEDING :-
<?php
session_start();
if(!isset($_SESSION["user"]))
{
header("location:index.php");
}
?>
<!DOCTYPE html>
<html xmlns="http://www.w3.org/1999/xhtml">
<head>
<meta charset="utf-8" />
<meta name="viewport" content="width=device-width, initial-scale=1.0"
/>
<title>Administrator </title>
<!-- Bootstrap Styles-->
<link href="assets/css/bootstrap.css" rel="stylesheet" />
<!--FontAwesome Styles-->
<link href="assets/css/font-awesome.css" rel="stylesheet" />
<!-- Morris Chart Styles-->
<link href="assets/js/morris/morris-0.4.3.min.css" rel="stylesheet" />
<!-- Custom Styles-->
<link href="assets/css/custom-styles.css" rel="stylesheet" />
<!-- Google Fonts-->
<link href='http://fonts.googleapis.com/css?family=Open+Sans'
rel='stylesheet' type='text/css' />
</head>
<body>
<div id="wrapper">
20 | P a g e
<nav class="navbar navbar-default top-navbar" role="navigation">
<div class="navbar-header">
<button type="button" class="navbar-toggle" data-toggle="collapse"
data-target=".sidebar-collapse">
<span class="sr-only">Toggle navigation</span>
<span class="icon-bar"></span>
<span class="icon-bar"></span>
<span class="icon-bar"></span>
</button>
<a class="navbar-brand" href="home.php"><?php echo
$_SESSION["user"]; ?></a>
</div>
<ul class="nav navbar-top-links navbar-right">
<li class="dropdown">
<a class="dropdown-toggle" data-toggle="dropdown" href="#" aria-
expanded="false">
<i class="fa fa-user fa-fw"></i><i class="fa fa-caret-down"></i>
</a>
<ul class="dropdown-menu dropdown-user">
<li><a href="usersetting.php"><i class="fa fa-user fa-fw"></i> User
Profile</a>
</li>
<li><a href="settings.php"><i class="fa fa-gear fa-fw"></i>
Settings</a>
</li>
<li class="divider"></li>
<li><a href="logout.php"><i class="fa fa-sign-out fa-fw"></i>
Logout</a>
</li>
</ul>
<!-- /.dropdown-user -->
</li>
<!-- /.dropdown -->
</ul>
21 | P a g e
</nav>
<!--/. NAV TOP -->
<nav class="navbar-default navbar-side" role="navigation">
<div class="sidebar-collapse">
<ul class="nav" id="main-menu">
<li>
<a class="active-menu" href="home.php"><i class="fa fa-
dashboard"></i> Status</a>
</li>
<li>
<a href="messages.php"><i class="fa fa-desktop"></i> News
Letters</a>
</li>
<li>
<a href="roombook.php"><i class="fa fa-bar-chart-o"></i> Hall
Booking</a>
</li>
<li>
<a href="payment.php"><i class="fa fa-qrcode"></i> Payment</a>
</li>
<li>
<a href="logout.php"><i class="fa fa-sign-out fa-fw"></i> Logout</a>
</li>
</ul>
</div>
</nav>
<!-- /. NAV SIDE -->
22 | P a g e
<div id="page-wrapper">
<div id="page-inner">
<div class="row">
<div class="col-md-12">
<h1 class="page-header">
Status <small>Hall Booking </small>
</h1>
</div>
</div>
<!-- /. ROW -->
<?php
include ('db.php');
$sql = "select * from roombook";
$re = mysqli_query($con,$sql);
$c =0;
while($row=mysqli_fetch_array($re) )
{
$new = $row['stat'];
$cin = $row['cin'];
$id = $row['id'];
if($new=="Not Conform")
{
$c = $c + 1;
}
}
23 | P a g e
?>
<div class="row">
<div class="col-md-12">
<div class="panel panel-default">
<div class="panel-heading">
</div>
<div class="panel-body">
<div class="panel-group" id="accordion">
<div class="panel panel-
primary">
<div class="panel-heading">
<h4 class="panel-title">
<a data-toggle="collapse" data-parent="#accordion"
href="#collapseTwo">
<button
class="btnbtn-default" type="button">
New Hall Bookings <span class="badge"><?php echo $c ; ?></span>
</button>
</a>
</h4>
</div>
<div id="collapseTwo" class="panel-collapse in" style="height: auto;">
<div class="panel-body">
<div class="panel panel-default">
<div class="panel-body">
<div class="table-responsive">
<table class="table">
<thead>
<tr>
24 | P a g e
<th>#</th>
<th>Name</th>
<th>Email</th>
<th>Country</th>
<th>Hall</th>
<th>Bedding</th>
<th>Meal</th>
<th>Check In</th>
<th>Check Out</th>
<th>Status</th>
<th>More</th>
</tr>
</thead>
<tbody>
<?php
$tsql = "select *
from roombook";
$tre =
mysqli_query($con,$tsql);
while($trow=mysqli_fetch_array($tre) )
{
$co
=$trow['stat'];
if($co=="Not
Conform")
25 | P a g e
{
echo"<tr>
<th>".$trow['id']."</th>
<th>".$trow['FName']." ".$trow['LName']."</th>
<th>".$trow['Email']."</th>
<th>".$trow['Country']."</th>
<th>".$trow['TRoom']."</th>
<th>".$trow['Bed']."</th>
<th>".$trow['Meal']."</th>
<th>".$trow['cin']."</th>
<th>".$trow['cout']."</th>
<th>".$trow['stat']."</th>
<th><a href='roombook.php?rid=".$trow['id']." ' class='btnbtn-
primary'>Action</a></th>
</tr>";
}
}
?>
</tbody>
26 | P a g e
</table>
</div>
</div>
</div>
<!-- End Basic Table -->
</div>
</div>
</div>
<?php
$rsql = "SELECT *
FROM `roombook`";
$rre =
mysqli_query($con,$rsql);
$r =0;
while($row=mysqli_fetch_array($rre) )
{
$br =
$row['stat'];
if($br=="Conform")
{
$r = $r
+ 1;
}
}
?>
27 | P a g e
<div class="panel panel-info">
<div class="panel-heading">
<h4 class="panel-title">
<a data-toggle="collapse" data-parent="#accordion"
href="#collapseOne" class="collapsed">
<button
class="btnbtn-primary" type="button">
Booked Halls <span class="badge"><?php echo $r ; ?></span>
</button>
</a>
</h4>
</div>
<div id="collapseOne" class="panel-collapse collapse" style="height:
0px;">
<div class="panel-body">
<?php
$msql =
"SELECT * FROM `roombook`";
$mre =
mysqli_query($con,$msql);
while($mrow=mysqli_fetch_array($mre) )
{
$br =
$mrow['stat'];
if($br=="Conform")
{
$fid = $mrow['id'];
28 | P a g e
echo"<div class='col-md-3 col-sm-12 col-xs-12'>
<div class='panel panel-primary text-center no-boderbg-color-
blue'>
<div class='panel-body'>
<i class='fa fa-users fa-5x'></i>
<h3>".$mrow['FName']."</h3>
</div>
<div class='panel-footer back-footer-blue'>
<a href=show.php?sid=".$fid ."><button class='btnbtn-
primary btn' data-toggle='modal' data-target='#myModal'>
Show
</button></a>
".$mrow['TRoom']."
</div>
</div>
</div>";
29 | P a g e
}
}
?>
</div>
</div>
</div>
<?php
$fsql = "SELECT * FROM
`contact`";
$fre =
mysqli_query($con,$fsql);
$f =0;
while($row=mysqli_fetch_array($fre) )
{
$f = $f + 1;
}
?>
<div class="panel panel-danger">
<div class="panel-heading">
<h4 class="panel-title">
<a data-toggle="collapse" data-parent="#accordion"
href="#collapseThree" class="collapsed">
<button
class="btnbtn-primary" type="button">
Followers <span class="badge"><?php echo $f ; ?></span>
30 | P a g e
</button>
</a>
</h4>
</div>
<div id="collapseThree" class="panel-collapse collapse">
<div class="panel-body">
<div class="panel-body">
<div class="table-responsive">
<table class="table">
<thead>
<tr>
<th>#</th>
<th>Full Name</th>
<th>Email</th>
<th>Follow Start</th>
<th>Permission status</th>
</tr>
</thead>
<tbody>
<?php
$csql = "select *
from contact";
$cre =
mysqli_query($con,$csql);
while($crow=mysqli_fetch_array($cre) )
{
echo"<tr>
31 | P a g e
<th>".$crow['id']."</th>
<th>".$crow['fullname']."</th>
<th>".$crow['email']." </th>
<th>".$crow['cdate']." </th>
<th>".$crow['approval']."</th>
</tr>";
}
?>
</tbody>
</table>
<a href="messages.php"
class="btnbtn-primary">More Action</a>
</div>
</div>
</div>
</div>
</div>
</div>
</div>
</div>
</div>
</div>
</div>
<!-- DEOMO-->
32 | P a g e
<div class='panel-body'>
<button class='btnbtn-primary btn' data-toggle='modal' data-
target='#myModal'>
Update
</button>
<div class='modal fade' id='myModal' tabindex='-1' role='dialog' aria-
labelledby='myModalLabel' aria-hidden='true'>
<div class='modal-dialog'>
<div class='modal-content'>
<div class='modal-header'>
<button type='button' class='close' data-dismiss='modal' aria-
hidden='true'>&times;</button>
<h4 class='modal-title' id='myModalLabel'>Change the User name and
Password</h4>
</div>
<form
method='post>
<div class='modal-body'>
<div class='form-group'>
<label>Change User name</label>
<input name='usname' value='<?php echo $fname; ?>' class='form-
control' placeholder='Enter User name'>
</div>
</div>
<div
class='modal-body'>
<div class='form-group'>
<label>Change Password</label>
<input name='pasd' value='<?php echo $ps; ?>' class='form-control'
placeholder='Enter Password'>
</div>
</div>
<div class='modal-footer'>
33 | P a g e
<button type='button' class='btnbtn-default' data-
dismiss='modal'>Close</button>
<input type='submit' name='up' value='Update' class='btnbtn-primary'>
</form>
</div>
</div>
</div>
</div>
</div>
<!--DEMO END-->
<!-- /. ROW -->
</div>
<!-- /. PAGE INNER -->
</div>
<!-- /. PAGE WRAPPER -->
</div>
<!-- /. WRAPPER -->
<!-- JS Scripts-->
<!-- jQuery Js -->
<script src="assets/js/jquery-1.10.2.js"></script>
<!-- Bootstrap Js -->
<script src="assets/js/bootstrap.min.js"></script>
<!-- Metis Menu Js -->
<script src="assets/js/jquery.metisMenu.js"></script>
<!-- Morris Chart Js -->
<script src="assets/js/morris/raphael-2.1.0.min.js"></script>
<script src="assets/js/morris/morris.js"></script>
34 | P a g e
<!-- Custom Js -->
<script src="assets/js/custom-scripts.js"></script>
</body>
</html>
USER PAGE :-
<?php
$con = mysqli_connect("localhost","root","","hotel") or
die(mysql_error());
?>
<?php
include('db.php');
?>
<!DOCTYPE html>
<html lang="en">
<head>
<title>Hall</title>
<!-- for-mobile-apps -->
35 | P a g e
<meta name="viewport" content="width=device-width, initial-scale=1">
<meta http-equiv="Content-Type" content="text/html; charset=utf-8" />
<meta name="keywords" content="Resort Inn Responsive , Smartphone
Compatible web template , Samsung, LG, Sony Ericsson, Motorola web
design" />
<script type="application/x-javascript">addEventListener("load",
function() { setTimeout(hideURLbar, 0); }, false);
function hideURLbar(){ window.scrollTo(0,1); } </script>
<!-- //for-mobile-apps -->
<link href="css/bootstrap.css" rel="stylesheet" type="text/css"
media="all" />
<link href="css/font-awesome.css" rel="stylesheet">
<link rel="stylesheet" href="css/chocolat.css" type="text/css"
media="screen">
<link href="css/easy-responsive-tabs.css" rel='stylesheet'
type='text/css'/>
<link rel="stylesheet" href="css/flexslider.css" type="text/css"
media="screen" property="" />
<link rel="stylesheet" href="css/jquery-ui.css" />
<link href="css/style.css" rel="stylesheet" type="text/css" media="all" />
<script type="text/javascript" src="js/modernizr-2.6.2.min.js"></script>
<!--fonts-->
<link href="//fonts.googleapis.com/css?family=Oswald:300,400,700"
rel="stylesheet">
<link href="//fonts.googleapis.com/css?family=Federo"
rel="stylesheet">
36 | P a g e
<link href="//fonts.googleapis.com/css?family=Lato:300,400,700,900"
rel="stylesheet">
<!--//fonts-->
</head>
<body>
<!-- header -->
<div class="banner-top">
<div class="social-bnr-agileits">
<ul class="social-icons3">
<li><a
href="https://www.facebook.com/" class="fa fa-facebook icon-border
facebook"></a></li>
<li><a
href="https://twitter.com/" class="fa fa-twitter icon-border
twitter"></a></li>
<li><a
href="https://plus.google.com/u/0/" class="fa fa-google-plus icon-border
googleplus"></a></li>
</ul>
</div>
<div class="contact-bnr-w3-agile">
<ul>
<li><i class="fa fa-envelope" aria-
hidden="true"></i><a
href="mailto:info@example.com">radissonblue@gmail.com</a></li>
<li><i class="fa fa-phone" aria-
hidden="true"></i>8806003886</li>
37 | P a g e
<li class="s-bar">
<div class="search">
<input class="search_box"
type="checkbox" id="search_box">
<label class="icon-search"
for="search_box"><span class="glyphiconglyphicon-search" aria-
hidden="true"></span></label>
<div class="search_form">
<form action="#"
method="post">
<input
type="search" name="Search" placeholder=" " required=" " />
<input
type="submit" value="Search">
</form>
</div>
</div>
</li>
</ul>
</div>
<div class="clearfix"></div>
</div>
<div class="w3_navigation">
<div class="container">
<nav class="navbar navbar-default">
38 | P a g e
<div class="navbar-header navbar-left">
<button type="button" class="navbar-
toggle collapsed" data-toggle="collapse" data-target="#bs-example-
navbar-collapse-1">
<span class="sr-only">Toggle
navigation</span>
<span class="icon-bar"></span>
<span class="icon-bar"></span>
<span class="icon-bar"></span>
</button>
<h1><a class="navbar-brand"
href="index.php">Radisson <span>Blue</span><p
class="logo_w3l_agile_caption">Your Dreamy Resort</p></a></h1>
</div>
<!-- Collect the nav links, forms, and other content
for toggling -->
<div class="collapse navbar-collapse navbar-
right" id="bs-example-navbar-collapse-1">
<nav class="menu menu--iris">
<ul class="nav navbar-nav
menu__list">
<li
class="menu__itemmenu__item--current"><a href="index.html"
class="menu__link">Home</a></li>
<li class="menu__item"><a
href="#about" class="menu__link scroll">About</a></li>
39 | P a g e
<li class="menu__item"><a
href="#gallery" class="menu__link scroll">Gallery</a></li>
<li class="menu__item"><a
href="#rooms" class="menu__link scroll">Booking Now</a></li>
<li class="menu__item"><a
href="https://www.payu.in/?utm_source=google&utm_medium=cpc&utm
_campaign=search_remarketing&utm_term=rlsa_ad1&gclid=CjwKCAiA
6vXwBRBKEiwAYE7iS1CYXvqbXM1SCBPZFOQeikWaHCX2JRAmZsww
SCHJP_T12_b_AgpjOhoCZYsQAvD_BwE"
class="https://www.payu.in/?utm_source=google&utm_medium=cpc&ut
m_campaign=search_remarketing&utm_term=rlsa_ad1&gclid=CjwKCAi
A6vXwBRBKEiwAYE7iS1CYXvqbXM1SCBPZFOQeikWaHCX2JRAmZsw
wSCHJP_T12_b_AgpjOhoCZYsQAvD_BwE">PAY</a></li>
</ul>
</nav>
</div>
</nav>
</div>
</div>
<!-- //header -->
<!-- banner -->
<div id="home" class="w3ls-banner">
<!-- banner-text -->
<div class="slider">
<div class="callbacks_container">
40 | P a g e
<ul class="rslidescallbacks callbacks1"
id="slider4">
<li>
<div class="w3layouts-banner-top">
<div class="container">
<div class="agileits-
banner-info">
<h4>Radisson Blue</h4>
<h3>We know what
you love</h3>
<p>Welcome
to our hotels</p>
<div
class="agileits_w3layouts_more menu__item">
<a href="#" class="menu__link" data-
toggle="modal" data-target="#myModal">Learn More</a>
</div>
</div>
</div>
</div>
</li>
<li>
<div class="w3layouts-banner-top
w3layouts-banner-top1">
<div class="container">
41 | P a g e
<div class="agileits-
banner-info">
<h4>Radisson Blue</h4>
<h3>Stay with
friends & families</h3>
<p>Come &
enjoy precious moment with us</p>
<div
class="agileits_w3layouts_more menu__item">
<a href="#" class="menu__link" data-
toggle="modal" data-target="#myModal">Learn More</a>
</div>
</div>
</div>
</div>
</li>
<li>
<div class="w3layouts-banner-top
w3layouts-banner-top2">
<div class="container">
<div class="agileits-
banner-info">
<h4>Radisson Blue</h4>
<h3>want luxurious
vacation?</h3>
42 | P a g e
<p>Get
accommodation today</p>
<div
class="agileits_w3layouts_more menu__item">
<a
href="#" class="menu__link" data-toggle="modal" data-
target="#myModal">Learn More</a>
</div>
</div>
</div>
</div>
</li>
</ul>
</div>
<div class="clearfix"></div>
<!--banner Slider starts Here-->
</div>
<div class="thim-click-to-bottom">
<a href="#about" class="scroll">
<i class="fa fa-long-arrow-down" aria-
hidden="true"></i>
</a>
</div>
</div>
<!-- //banner -->
43 | P a g e
<!--//Header-->
<!-- //Modal1 -->
<div class="modal fade" id="myModal" tabindex="-1" role="dialog">
<!-- Modal1 -->
<div class="modal-dialog">
<!-- Modal content-->
<div class="modal-
content">
<div class="modal-
header">
<button
type="button" class="close" data-dismiss="modal">&times;</button>
<h4>Radisson
<span>Blue</span></h4>
<imgsrc="images/1.jpg" alt=" " class="img-responsive">
<h5>We know
what you love</h5>
<p>Providing
guests unique and enchanting views from their rooms with its exceptional
amenities, makes Star Hotel one of bests in its kind.Try our food menu,
awesome services and friendly staff while you are here.</p>
</div>
</div>
</div>
</div>
44 | P a g e
<!-- //Modal1 -->
<div id="availability-agileits">
<div class="col-md-12 book-form-left-w3layouts">
<a href="admin/reservation.php"><h2>HALL
BOOKINGS</h2></a>
</div>
<div class="clearfix"></div>
</div>
<!-- //banner-bottom -->
<!-- /about -->
<div class="about-wthree" id="about">
<div class="container">
<div class="ab-w3l-spa">
<h3 class="title-w3-agileits title-black-wthree">About Our Radisson
Blue</h3>
<p class="about-para-
w3ls">RADISSON BLUE HALL MANEGAMENT SYSTEAM EVENT WE
ARE GETTING HALL FOR WEDDING , BIRTHDAY , MEETING ,
CONFERENCE AND MANY MORE </p>
<imgsrc="images/about.jpg"
class="img-responsive" alt="Hair Salon">
<div
class="w3l-slider-img">
45 | P a g e
<imgsrc="images/a1.jpg" class="img-responsive" alt="Hair
Salon">
</div>
<div class="w3ls-info-about">
<h4>You'll
love all the amenities we offer!</h4>
<p>Lorem ipsum dolor sit amet, ut magna aliqua. </p>
</div>
</div>
<div class="clearfix"></div>
</div>
</div>
<!-- //about -->
<!--sevices-->
<div class="advantages">
<div class="container">
<div class="advantages-main">
<h3 class="title-w3-agileits">Our Services</h3>
<div class="advantage-bottom">
<div class="col-md-6 advantage-grid left-w3ls wow
bounceInLeft" data-wow-delay="0.3s">
<div class="advantage-block ">
46 | P a g e
<i class="fa fa-credit-card" aria-
hidden="true"></i>
<h4>Stay First, Pay After! </h4>
<p>Temporibusautemquibusdam et
autofficiisdebitisaut rerum necessitatibussaepeevenietut et
voluptates.</p>
<p><i class="fa fa-check" aria-
hidden="true"></i>Decorated Hall, proper air conditioned</p>
<p><i class="fa fa-check" aria-
hidden="true"></i>Private balcony</p>
</div>
</div>
<div class="col-md-6 advantage-grid right-w3ls wow
zoomIn" data-wow-delay="0.3s">
<div class="advantage-block">
<i class="fa fa-clock-o" aria-
hidden="true"></i>
<h4>24 Hour Hall Booking</h4>
<p>Temporibusautemquibusdam et
autofficiisdebitisaut rerum necessitatibussaepeevenietut et
voluptates.</p>
<p><i class="fa fa-check" aria-
hidden="true"></i>24 hours Hall service</p>
<p><i class="fa fa-check" aria-
hidden="true"></i>24-hour Concierge service</p>
</div>
47 | P a g e
</div>
<div class="clearfix"></div>
</div>
</div>
</div>
</div>
<!--//sevices-->
<!-- Gallery -->
<section class="portfolio-w3ls" id="gallery">
<h3 class="title-w3-agileits title-black-wthree">Our
Gallery</h3>
<div class="col-md-3 gallery-grid gallery1">
<a href="images/g1.jpg"
class="swipebox"><imgsrc="images/g1.jpg" class="img-responsive"
alt="/">
<div class="textbox">
<h4>Radisson Blue</h4>
<p><i class="fa fa-picture-o"
aria-hidden="true"></i></p>
</div>
</a>
</div>
<div class="col-md-3 gallery-grid gallery1">
48 | P a g e
<a href="images/g2.jpg"
class="swipebox"><imgsrc="images/g2.jpg" class="img-responsive"
alt="/">
<div class="textbox">
<h4>Radisson Blue</h4>
<p><i class="fa fa-picture-o"
aria-hidden="true"></i></p>
</div>
</a>
</div>
<div class="col-md-3 gallery-grid gallery1">
<a href="images/g3.jpg"
class="swipebox"><imgsrc="images/g3.jpg" class="img-responsive"
alt="/">
<div class="textbox">
<h4>Radisson Blue</h4>
<p><i class="fa fa-picture-o"
aria-hidden="true"></i></p>
</div>
</a>
</div>
<div class="col-md-3 gallery-grid gallery1">
<a href="images/g4.jpg"
class="swipebox"><imgsrc="images/g4.jpg" class="img-responsive"
alt="/">
<div class="textbox">
49 | P a g e
<h4>Radisson Blue</h4>
<p><i class="fa fa-picture-o"
aria-hidden="true"></i></p>
</div>
</a>
</div>
<div class="col-md-3 gallery-grid gallery1">
<a href="images/g5.jpg"
class="swipebox"><imgsrc="images/g5.jpg" class="img-responsive"
alt="/">
<div class="textbox">
<h4>Radisson Blue</h4>
<p><i class="fa fa-picture-o"
aria-hidden="true"></i></p>
</div>
</a>
</div>
<div class="col-md-3 gallery-grid gallery1">
<a href="images/g6.jpg"
class="swipebox"><imgsrc="images/g6.jpg" class="img-responsive"
alt="/">
<div class="textbox">
<h4>Radisson Blue</h4>
<p><i class="fa fa-picture-o"
aria-hidden="true"></i></p>
</div>
50 | P a g e
</a>
</div>
<div class="col-md-3 gallery-grid gallery1">
<a href="images/g6.jpg"
class="swipebox"><imgsrc="images/g7.jpg" class="img-responsive"
alt="/">
<div class="textbox">
<h4>Radisson Blue</h4>
<p><i class="fa fa-picture-o"
aria-hidden="true"></i></p>
</div>
</a>
</div>
<div class="col-md-3 gallery-grid gallery1">
<a href="images/g6.jpg"
class="swipebox"><imgsrc="images/g8.jpg" class="img-responsive"
alt="/">
<div class="textbox">
<h4>Radisson Blue</h4>
<p><i class="fa fa-picture-o"
aria-hidden="true"></i></p>
</div>
</a>
</div>
<div class="col-md-3 gallery-grid
gallery1">
51 | P a g e
<a href="images/g9.jpg"
class="swipebox"><imgsrc="images/g9.jpg" class="img-responsive"
alt="/">
<div class="textbox">
<h4>Radisson Blue</h4>
<p><i class="fa fa-picture-o"
aria-hidden="true"></i></p>
</div>
</a>
</div>
<div class="col-md-3 gallery-grid gallery1">
<a href="images/g10.jpg"
class="swipebox"><imgsrc="images/g10.jpg" class="img-responsive"
alt="/">
<div class="textbox">
<h4>Radisson Blue</h4>
<p><i class="fa fa-picture-o"
aria-hidden="true"></i></p>
</div>
</a>
</div>
<div class="col-md-3 gallery-grid gallery1">
<a href="images/g4.jpg"
class="swipebox"><imgsrc="images/g4.jpg" class="img-responsive"
alt="/">
<div class="textbox">
52 | P a g e
<h4>Radisson Blue</h4>
<p><i class="fa fa-picture-o"
aria-hidden="true"></i></p>
</div>
</a>
</div>
<div class="col-md-3 gallery-grid gallery1">
<a href="images/g2.jpg"
class="swipebox"><imgsrc="images/g2.jpg" class="img-responsive"
alt="/">
<div class="textbox">
<h4>Radisson Blue</h4>
<p><i class="fa fa-picture-o"
aria-hidden="true"></i></p>
</div>
</a>
</div>
<div class="clearfix"></div>
</section>
<!-- //gallery -->
<!-- rooms & rates -->
<div class="plans-section" id="rooms">
<div class="container">
<h3 class="title-w3-agileits title-black-
wthree">Halls And Rates</h3>
53 | P a g e
<div class="priceing-table-main">
<div class="col-md-3 price-grid">
<div class="price-block agile">
<div class="price-gd-top">
<imgsrc="images/h1.jpg" alt=" "
class="img-responsive" />
<h4>Wedding Hall</h4>
</div>
<div class="price-gd-bottom">
<div class="price-list">
<ul>
<li><i
class="fa fa-star" aria-hidden="true"></i></li>
<li><i
class="fa fa-star" aria-hidden="true"></i></li>
<li><i
class="fa fa-star" aria-hidden="true"></i></li>
<li><i
class="fa fa-star" aria-hidden="true"></i></li>
<li><i
class="fa fa-star-o" aria-hidden="true"></i></li>
</ul>
</div>
<div class="price-selet">
54 | P a g e
<h3><span>Rs</span>3320</h3>
<a
href="admin/reservation.php" >Book Now</a>
</div>
</div>
</div>
</div>
<div class="col-md-3 price-grid ">
<div class="price-block agile">
<div class="price-gd-top">
<imgsrc="images/h2.jpg" alt=" "
class="img-responsive" />
<h4>Birthday Hall</h4>
</div>
<div class="price-gd-bottom">
<div class="price-list">
<ul>
<li><i class="fa fa-
star" aria-hidden="true"></i></li>
<li><i class="fa fa-
star" aria-hidden="true"></i></li>
<li><i class="fa fa-
star" aria-hidden="true"></i></li>
55 | P a g e
<li><i class="fa fa-
star" aria-hidden="true"></i></li>
<li><i class="fa fa-
star-o" aria-hidden="true"></i></li>
</ul>
</div>
<div class="price-selet">
<h3><span>Rs</span>3220</h3>
<a
href="admin/reservation.php" >Book Now</a>
</div>
</div>
</div>
</div>
<div class="col-md-3 price-grid lost">
<div class="price-block agile">
<div class="price-gd-top">
<imgsrc="images/h3.jpg" alt=" "
class="img-responsive" />
<h4>Conference Hall</h4>
</div>
<div class="price-gd-bottom">
<div class="price-list">
<ul>
56 | P a g e
<li><i class="fa fa-
star" aria-hidden="true"></i></li>
<li><i class="fa fa-
star" aria-hidden="true"></i></li>
<li><i class="fa fa-
star" aria-hidden="true"></i></li>
<li><i class="fa fa-
star-o" aria-hidden="true"></i></li>
<li><i class="fa fa-
star-o" aria-hidden="true"></i></li>
</ul>
</div>
<div class="price-selet">
<h3><span>Rs</span>10890</h3>
<a
href="admin/reservation.php" >Book Now</a>
</div>
</div>
</div>
</div>
<div class="col-md-3 price-grid wthree lost">
<div class="price-block agile">
<div class="price-gd-top ">
<imgsrc="images/h4.jfif" alt="
" class="img-responsive" />
57 | P a g e
<h4>Meeting Hall</h4>
</div>
<div class="price-gd-bottom">
<div class="price-list">
<ul>
<li><i class="fa fa-
star" aria-hidden="true"></i></li>
<li><i class="fa fa-
star" aria-hidden="true"></i></li>
<li><i class="fa fa-
star-o" aria-hidden="true"></i></li>
<li><i class="fa fa-
star-o" aria-hidden="true"></i></li>
<li><i class="fa fa-
star-o" aria-hidden="true"></i></li>
</ul>
</div>
<div class="price-selet">
<h3><span>Rs</span>
2150</h3>
<a
href="admin/reservation.php" >Book Now</a>
</div>
</div>
</div>
</div>
58 | P a g e
<div class="clearfix"></div>
</div>
</div>
</div>
<!--// rooms & rates -->
<!-- contact -->
<section class="contact-w3ls" id="contact">
<div class="container">
<div class="col-lg-6 col-md-6 col-sm-6 contact-w3-agile2"
data-aos="flip-left">
<div class="contact-agileits">
<h4>Contact Us</h4>
<p class="contact-agile2">Sign Up For Our
News Letters</p>
<form method="post" name="sentMessage"
id="contactForm" >
<div class="control-group form-group">
<label class="contact-p1">Full Name:</label>
<input type="text" class="form-control" name="name" id="name"
required >
<p class="help-block"></p>
</div>
59 | P a g e
<div class="control-group form-group">
<label class="contact-p1">Phone Number:</label>
<input type="tel" class="form-control" name="phone" id="phone"
required >
<p class="help-block"></p>
</div>
<div class="control-group form-group">
<label class="contact-p1">Email Address:</label>
<input type="email" class="form-control" name="email" id="email"
required >
<p class="help-block"></p>
</div>
<input type="submit" name="sub" value="Send Now" class="btnbtn-
primary">
</form>
<?php
if(isset($_POST['sub']))
{
60 | P a g e
$name =$_POST['name'];
$phone = $_POST['phone'];
$email = $_POST['email'];
$approval = "Not Allowed";
$sql = "INSERT INTO `contact`(`fullname`,
`phoneno`, `email`,`cdate`,`approval`) VALUES
('$name','$phone','$email',now(),'$approval')" ;
if(mysqli_query($con,$sql))
echo"OK";
}
?>
</div>
</div>
<div class="col-lg-6 col-md-6 col-sm-6 contact-w3-agile1"
data-aos="flip-right">
<h4>Connect With Us</h4>
<p class="contact-agile1"><strong>Phone
:</strong>8806003886</p>
<p class="contact-agile1"><strong>Email
:</strong><a
href="mailto:name@example.com">badissonblue@gmail@gmail</a></
p>
61 | P a g e
<p class="contact-agile1"><strong>Address
:</strong>Bhandara State maharashtra India </p>
<div class="social-bnr-agileits footer-icons-agileinfo">
<ul class="social-icons3">
<li><a href="#"
class="fa fa-facebook icon-border facebook"></a></li>
<li><a href="#"
class="fa fa-twitter icon-border twitter"></a></li>
<li><a href="#"
class="fa fa-google-plus icon-border googleplus"></a></li>
</ul>
</div>
<iframe src="" ></iframe>
</div>
<div class="clearfix"></div>
</div>
</section>
<!-- /contact -->
<div class="copy">
<p>Radisson Blue | Design by <a href="index.php">Ashwin
sawwalakhe , Daisy Lihare , Tulsisawwalakhe</a></p>
</div>
62 | P a g e
<!--/footer -->
<!--js -->
<script type="text/javascript" src="js/jquery-2.1.4.min.js"></script>
<!-- contact form -->
<script src="js/jqBootstrapValidation.js"></script>
<!-- /contact form -->
<!-- Calendar -->
<script src="js/jquery-ui.js"></script>
<script>
$(function() {
$(
"#datepicker,#datepicker1,#datepicker2,#datepicker3" ).datepicker();
});
</script>
<!-- //Calendar -->
<!-- gallery popup -->
<link rel="stylesheet" href="css/swipebox.css">
<script
src="js/jquery.swipebox.min.js"></script>
<script type="text/javascript">
jQuery(function($) {
$(".swipebox").swipebox();
});
63 | P a g e
</script>
<!-- //gallery popup -->
<!-- start-smoth-scrolling -->
<script type="text/javascript" src="js/move-top.js"></script>
<script type="text/javascript" src="js/easing.js"></script>
<script type="text/javascript">
jQuery(document).ready(function($) {
$(".scroll").click(function(event){
event.preventDefault();
$('html,body').animate({scrollTop:$(this.hash).offset().top},1000);
});
});
</script>
<!-- start-smoth-scrolling -->-
<!--flexSlider -->
<script defer
src="js/jquery.flexslider.js"></script>
<script type="text/javascript">
$(window).load(function(){
$('.flexslider').flexslider({
animation: "slide",
start: function(slider){
$('body').removeClass('loading');
64 | P a g e
}
});
});
</script>
<!-- //flexSlider -->
<script src="js/responsiveslides.min.js"></script>
<script>
// You can also use
"$(window).load(function() {"
$(function () {
// Slideshow 4
$("#slider4").responsiveSlides({
auto: true,
pager:true,
nav:false,
speed: 500,
namespace: "callbacks",
before: function () {
$('.events').append("<li>before
event fired.</li>");
},
after: function () {
$('.events').append("<li>after
event fired.</li>");
65 | P a g e
}
});
});
</script>
<!--search-bar-->
<script src="js/main.js"></script>
<!--//search-bar-->
<!--tabs-->
<script src="js/easy-responsive-tabs.js"></script>
<script>
$(document).ready(function () {
$('#horizontalTab').easyResponsiveTabs({
type: 'default', //Types: default, vertical, accordion
width: 'auto', //auto or any width like 600px
fit: true, // 100% fit in a container
closed: 'accordion', // Start closed if in accordion view
activate: function(event) { // Callback function if tab is switched
var $tab = $(this);
var $info = $('#tabInfo');
var $name = $('span', $info);
$name.text($tab.text());
$info.show();
66 | P a g e
}
});
$('#verticalTab').easyResponsiveTabs({
type: 'vertical',
width: 'auto',
fit: true
});
});
</script>
<!--//tabs-->
<!-- smooth scrolling -->
<script type="text/javascript">
$(document).ready(function() {
/*
var defaults = {
containerID: 'toTop', // fading element id
containerHoverID: 'toTopHover', // fading element
hover id
scrollSpeed: 1200,
easingType: 'linear'
};
*/
$().UItoTop({ easingType: 'easeOutQuart' });
});
67 | P a g e
</script>
<div class="arr-w3ls">
<a href="#home" id="toTop" style="display: block;"><span
id="toTopHover" style="opacity: 1;"></span></a>
</div>
<!-- //smooth scrolling -->
<script type="text/javascript" src="js/bootstrap-3.1.1.min.js"></script>
</body>
</html>
RESERVATION :-
<?php
include('db.php')
?>
<!DOCTYPE html>
<html xmlns="http://www.w3.org/1999/xhtml">
<head>
<meta charset="utf-8" />
<meta name="viewport" content="width=device-width, initial-scale=1.0"
/>
<title>RESERVATION RADISSON BLUE HOTEL</title>
<!-- Bootstrap Styles-->
<link href="assets/css/bootstrap.css" rel="stylesheet" />
<!--FontAwesome Styles-->
<link href="assets/css/font-awesome.css" rel="stylesheet" />
<!-- Custom Styles-->
<link href="assets/css/custom-styles.css" rel="stylesheet" />
<!-- Google Fonts-->
68 | P a g e
<link href='http://fonts.googleapis.com/css?family=Open+Sans'
rel='stylesheet' type='text/css' />
</head>
<body>
<div id="wrapper">
<nav class="navbar-default navbar-side" role="navigation">
<div class="sidebar-collapse">
<ul class="nav" id="main-menu">
<li>
<a href="../index.php"><i class="fa fa-home"></i> Homepage</a>
</li>
</ul>
</div>
</nav>
<div id="page-wrapper" >
<div id="page-inner">
<div class="row">
<div class="col-md-12">
<h1 class="page-header">
RESERVATION <small></small>
</h1>
</div>
</div>
<div class="row">
<div class="col-md-5 col-sm-5">
<div class="panel panel-primary">
<div class="panel-heading">
69 | P a g e
PERSONAL INFORMATION
</div>
<div class="panel-body">
<form name="form" method="post">
<div class="form-group">
<label>Title*</label>
<select name="title" class="form-control" required >
<option value selected ></option>
<option value="Dr.">Dr.</option>
<option value="Miss.">Miss.</option>
<option value="Mr.">Mr.</option>
<option value="Mrs.">Mrs.</option>
<option value="Prof.">Prof.</option>
<option value="Rev .">Rev .</option>
<option value="Rev . Fr">Rev .Fr .</option>
</select>
</div>
<div class="form-group">
<label>First Name</label>
<input name="fname" class="form-control" required>
</div>
<div class="form-group">
<label>Last Name</label>
<input name="lname" class="form-control" required>
</div>
<div class="form-group">
<label>Email</label>
<input name="email" type="email" class="form-control" required>
70 | P a g e
</div>
<div class="form-group">
<label>Nationality*</label>
<label class="radio-inline">
<input type="radio" name="nation" value="Indian" checked="">India
</label>
<label class="radio-inline">
<input type="radio" name="nation" value="Non Indian ">Non India
</label>
</div>
<?php
$countries =
array("Afghanistan", "Albania", "Algeria", "American Samoa",
"Andorra", "Angola", "Anguilla", "Antarctica", "Antigua and Barbuda",
"Argentina", "Armenia", "Aruba", "Australia", "Austria", "Azerbaijan",
"Bahamas", "Bahrain", "Bangladesh", "Barbados", "Belarus", "Belgium",
"Belize", "Benin", "Bermuda", "Bhutan", "Bolivia", "Bosnia and
Herzegowina", "Botswana", "Bouvet Island", "Brazil", "British Indian
Ocean Territory", "Brunei Darussalam", "Bulgaria", "Burkina Faso",
"Burundi", "Cambodia", "Cameroon", "Canada", "Cape Verde", "Cayman
Islands", "Central African Republic", "Chad", "Chile", "China",
"Christmas Island", "Cocos (Keeling) Islands", "Colombia", "Comoros",
"Congo", "Congo, the Democratic Republic of the", "Cook Islands",
"Costa Rica", "Cote d'Ivoire", "Croatia (Hrvatska)", "Cuba", "Cyprus",
"Czech Republic", "Denmark", "Djibouti", "Dominica", "Dominican
Republic", "East Timor", "Ecuador", "Egypt", "El Salvador", "Equatorial
Guinea", "Eritrea", "Estonia", "Ethiopia", "Falkland Islands (Malvinas)",
"Faroe Islands", "Fiji", "Finland", "France", "France Metropolitan",
"French Guiana", "French Polynesia", "French Southern Territories",
"Gabon", "Gambia", "Georgia", "Germany", "Ghana", "Gibraltar",
"Greece", "Greenland", "Grenada", "Guadeloupe", "Guam",
"Guatemala", "Guinea", "Guinea-Bissau", "Guyana", "Haiti", "Heard and
Mc Donald Islands", "Holy See (Vatican City State)", "Honduras", "Hong
71 | P a g e
Kong", "Hungary", "Iceland", "India", "Indonesia", "Iran (Islamic
Republic of)", "Iraq", "Ireland", "Israel", "Italy", "Jamaica", "Japan",
"Jordan", "Kazakhstan", "Kenya", "Kiribati", "Korea, Democratic
People's Republic of", "Korea, Republic of", "Kuwait", "Kyrgyzstan",
"Lao, People's Democratic Republic", "Latvia", "Lebanon", "Lesotho",
"Liberia", "Libyan Arab Jamahiriya", "Liechtenstein", "Lithuania",
"Luxembourg", "Macau", "Macedonia, The Former Yugoslav Republic
of", "Madagascar", "Malawi", "Malaysia", "Maldives", "Mali", "Malta",
"Marshall Islands", "Martinique", "Mauritania", "Mauritius", "Mayotte",
"Mexico", "Micronesia, Federated States of", "Moldova, Republic of",
"Monaco", "Mongolia", "Montserrat", "Morocco", "Mozambique",
"Myanmar", "Namibia", "Nauru", "Nepal", "Netherlands", "Netherlands
Antilles", "New Caledonia", "New Zealand", "Nicaragua", "Niger",
"Nigeria", "Niue", "Norfolk Island", "Northern Mariana Islands",
"Norway", "Oman", "Pakistan", "Palau", "Panama", "Papua New
Guinea", "Paraguay", "Peru", "Philippines", "Pitcairn", "Poland",
"Portugal", "Puerto Rico", "Qatar", "Reunion", "Romania", "Russian
Federation", "Rwanda", "Saint Kitts and Nevis", "Saint Lucia", "Saint
Vincent and the Grenadines", "Samoa", "San Marino", "Sao Tome and
Principe", "Saudi Arabia", "Senegal", "Seychelles", "Sierra Leone",
"Singapore", "Slovakia (Slovak Republic)", "Slovenia", "Solomon
Islands", "Somalia", "South Africa", "South Georgia and the South
Sandwich Islands", "Spain", "Sri Lanka", "St. Helena", "St. Pierre and
Miquelon", "Sudan", "Suriname", "Svalbard and Jan Mayen Islands",
"Swaziland", "Sweden", "Switzerland", "Syrian Arab Republic", "Taiwan,
Province of China", "Tajikistan", "Tanzania, United Republic of",
"Thailand", "Togo", "Tokelau", "Tonga", "Trinidad and Tobago",
"Tunisia", "Turkey", "Turkmenistan", "Turks and Caicos Islands",
"Tuvalu", "Uganda", "Ukraine", "United Arab Emirates", "United
Kingdom", "United States", "United States Minor Outlying Islands",
"Uruguay", "Uzbekistan", "Vanuatu", "Venezuela", "Vietnam", "Virgin
Islands (British)", "Virgin Islands (U.S.)", "Wallis and Futuna Islands",
"Western Sahara", "Yemen", "Yugoslavia", "Zambia", "Zimbabwe");
?>
72 | P a g e
<div class="form-
group">
<label> Country*</label>
<select name="country" class="form-control" required>
<option value selected ></option>
<?php
foreach($countries as $key => $value):
echo '<option value="'.$value.'">'.$value.'</option>'; //close your
tags!!
endforeach;
?>
</select>
</div>
<div class="form-
group">
<label>Phone Number</label>
<input name="phone" type ="text" class="form-control" required>
</div>
</div>
</div>
</div>
<div class="row">
<div class="col-md-6 col-sm-6">
<div class="panel panel-primary">
<div class="panel-heading">
73 | P a g e
RESERVATION INFORMATION
</div>
<div class="panel-body">
<div class="form-
group">
<label>Type Of Hall *</label>
<select name="troom" class="form-control" required>
<option value selected ></option>
<option value="Wedding Hall">WEDDING HALL</option>
<option value="Birthday Hall">BIRTHDAY HALL</option>
<option value="Conference Hall">CONFERENCE
HALL</option>
<option value="Meeting Hall">MEETING HALL </option>
</select>
</div>
<div class="form-group">
<label>No.of Halls *</label>
<select name="nroom" class="form-control" required>
<option value selected ></option>
<option value="1">1</option>
<!--<option value="2">2</option>
<option value="3">3</option>
<option value="4">4</option>
<option value="5">5</option>
<option value="6">6</option>
74 | P a g e
<option value="7">7</option> -->
</select>
</div>
<div class="form-group">
<label>Meal Plan</label>
<select name="meal" class="form-control"required>
<option value selected ></option>
<option value="Room only">Room only</option>
<option value="Breakfast">Breakfast</option>
<option value="Half Board">Half Board</option>
<option value="Full Board">Full Board</option>
</select>
</div>
<div class="form-group">
<label>Check-In</label>
<input name="cin" type ="date" class="form-control">
</div>
<div class="form-group">
<label>Check-Out</label>
<input name="cout" type ="date" class="form-control">
</div>
</div>
</div>
75 | P a g e
</div>
<div class="col-md-12 col-sm-12">
<div class="well">
<h4>HUMAN VERIFICATION</h4>
<p>Type Below this code <?php $Random_code=rand();
echo$Random_code; ?></p><br />
<p>Enter the random code<br
/></p>
<input type="text"
name="code1" title="random code" />
<input type="hidden"
name="code" value="<?php echo $Random_code; ?>" />
<input type="submit" name="submit"
class="btnbtn-primary">
<?php
if(isset($_POST['submit']))
{
$code1=$_POST['code1'];
$code=$_POST['code'];
if($code1!="$code")
{
$msg="Invalide code";
}
else
{
$con=mysqli_connect("localhost","root","","hotel");
$check="SELECT *
FROM roombook WHERE email = '$_POST[email]'";
$rs =
mysqli_query($con,$check);
76 | P a g e
$data =
mysqli_fetch_array($rs, MYSQLI_NUM);
if($data[0] > 1) {
echo "<script
type='text/javascript'>alert('User Already in Exists')</script>";
}
else
{
$new ="Not
Conform";
$newUser="INSERT INTO `roombook`(`Title`, `FName`, `LName`,
`Email`, `National`, `Country`, `Phone`, `TRoom`, `Bed`, `NRoom`,
`Meal`, `cin`, `cout`,`stat`,`nodays`) VALUES
('$_POST[title]','$_POST[fname]','$_POST[lname]','$_POST[email]','$_
POST[nation]','$_POST[country]','$_POST[phone]','$_POST[troom]','$_
POST[bed]','$_POST[nroom]','$_POST[meal]','$_POST[cin]','$_POST[c
out]','$new',datediff('$_POST[cout]','$_POST[cin]'))";
if
(mysqli_query($con,$newUser))
{
echo
"<script type='text/javascript'>alert('Your Booking application has been
sent')</script>";
}
else
{
echo
"<script type='text/javascript'>alert('Error adding user in
database')</script>";
}
77 | P a g e
}
$msg="Your code is correct";
}
}
?>
</form>
</div>
</div>
</div>
</div>
</div>
<!-- /. PAGE INNER -->
</div>
<!-- /. PAGE WRAPPER -->
</div>
<!-- /. WRAPPER -->
<!-- JS Scripts-->
<!-- jQuery Js -->
<script src="assets/js/jquery-1.10.2.js"></script>
<!-- Bootstrap Js -->
<script src="assets/js/bootstrap.min.js"></script>
<!-- Metis Menu Js -->
<script src="assets/js/jquery.metisMenu.js"></script>
<!-- Custom Js -->
<script src="assets/js/custom-scripts.js"></script>
</body>
</html>
78 | P a g e
INPUT SCREEN AND OUTPUT SCREEN
79 | P a g e
80 | P a g e
81 | P a g e
82 | P a g e
p
83 | P a g e
Validation Checks
84 | P a g e
PROGRAM TESTING :- The project runs satisfactorily and data
tested correctly. Testing check for two types of error that is syntax error or
logical error when there is a discrepancy the sequence of instruction is traced
to determine problem and proper use of syntax is used.
STRING TESTING :- Our program is invariably related to one
another and interacts to total system. Each program is tested to see whether
it confirms to related program in our system. Each portion of system is tested
against the entire Module with both test and live data before the entire
system is ready to run.
Sr. No Field Name Validation Check
1. User_name This has both “Integer” and “Text” data type
of maximum “30” digits or alphabet in
display.
2. Enter_pass This has both “Integer” and “Text” data type
of maximum “30” digits or alphabet in
display.
85 | P a g e
System Security Measures
86 | P a g e
This project is single user multitasking project. We think to give facility of
change it means that three user can monitor this project. So we can secure
login for this project. In that project, first of all, we think to give facility of
change password to user. But in hall management the owner hire a record
keeper to operate this software .In this application after login by user the
login page is hiding and homepage is show. It all forms are close i.e. whole
application is close and them user reopen this application then user must
login to open homepage or operate it.
87 | P a g e
Implementation,
Evaluation and
Maintance
88 | P a g e
SYMPLIFY WORK :- In our purposed HALL BOOKING SYSTEM
The main advantage is quicker entries of data in database. This complex job is
made easy by this application .this is because proposed system is designed in such
way that the user
SAVE TIME AND MONEY :- In our purposed HALL
BOOKING SYSTEM is designed in such way that user has to make entry just at
click on button.this application saves times due to above reason.
MORE ACCURACY :- In our purposed HALL BOOKING
SYSTEM, The In accuracy maintain by administrator . The administrator is able
to maintain the accuracy like search record.
MAINTAIN LARGE AMOUNT OF DATA :- In our
purposed HALL BOOKING SYSTEM, Will maintain the record like Hall entry,
Customer Entry, Book Entry. This is very easy task to maintain any information
in database.
USE FRIENDLY :- In our purposed HALL BOOKING SYSTEM,
Many facilities are available in this application. Any person can access this
application easily.
89 | P a g e
Future Scope of the
Project
90 | P a g e
HALL BOOKING is among the fastest growing sectors in both developed
and emerging economics. Hence, the use of hall is increasing day by day
.due to increase scope of hall management it is difficult to work manually.
Hence this concept has more future scope of hall management future User
can submit his requirement of Hall and it directly displayed to owner. Good
amount of user friendliness has been incorporated in this system.
It is possible to exploit these features to get the details of not only seminar
hall but also the total number of blocks and which contains the total list of
the hall in a block wise. The process is suitable to extend the kind of task
and the number of more process. When owner login to website User can
display the user details and requirement in calendar and he can online show
the conformation of booking for particular owner. After submitting the
requirement of user, owner can receive message that he has received enquiry
of user and details of user as well as user get the message that he/she want
to book the Hall is conformed or not. We will add the payment gateway for
payment of Hall. Hence the user can directly do the payment online to the
owner’s bank account.
91 | P a g e
Suggestion and
Conclusion
92 | P a g e
In the previous work User can only search the details of Halls and can check
the availability of Hall .Now a days people are very busy in our life if they
want to book a Hall for function purpose they have to spend more time and
money for searching the Hall according to their requirement. So we can
implement this web portal for booking of Halls
The project entitled ”HALL BOOKING SYSTEM” was successfully
executed. This system replaces the existing system with more features. The
system provides security to user documents. However, the possibilities for
innovation are infinite and scope for development is innumerable. The
future extension can be made to provide more option in this application.
93 | P a g e
Bibliography and
Reference
94 | P a g e
BIBLIOGRAPHY
For the compiliation of the project “HALL BOOKING SYSTEM” Here,
We designed a website for reducing the time and money of user for
searching a Hall in city .Using this website User can find the Hall in specific
area. And also view the detailed information about any Hall. Also in this
website User can view the booked date of Halls. User can also book the Hall
using this website. Using this website user can save their time and money
and can easily book the Hall according to their requirement.
95 | P a g e
REFERENCE
We have taken reference from the verity of book related to PHP AND MY SQL,
which helped us a lot for the successful completation of this project. This books
referred are as follows:
1)System Analysis & Design
-Elias M. Award
(Galgotia Publication(p)Ltd.)
2)Analysis & Design Of Information System
-V.Rajaraman
(PHI Publication)
3) Database Management System
-C.S.V.Murthy
(Himalaya Publication Ltd.)
96 | P a g e
Reference
Acharya, Kamal. "STUDENT INFORMATION MANAGEMENT
SYSTEM." Authorea Preprints (2023).
Acharya, Kamal. "Library Management System." Available at SSRN4807104 (2019).
ACHARYA, KAMAL, et al. "LIBRARY MANAGEMENT SYSTEM." (2019).
Acharya, Kamal. "Online bus reservation system project report." Authorea
Preprints (2024).
Acharya, Kamal. "Online bus reservation system project report." (2024).
Acharya, Kamal. “Online Bus Reservation System.” SSRN ElectroNIC ASIA
Journal (2024): n. pag.
Acharya, Kamal. “Student Information Management System Project.” SSRN
ElectroNIC ASIA Journal (2024): n. pag.
Acharya, Kamal. “ATTENDANCE MANAGEMENT SYSTEM.” International
Research Journal of Modernization in Engineering Technology and
Science (2023): n. pag.
Acharya, Kamal. “College Information Management System.” SSRN ElectroNIC
ASIA Journal (2024): n. pag.
Acharya, Kamal, Attendance Management System Project (April 28, 2024).
Available at
SSRN: https://ssrn.com/abstract=4810251 or http://dx.doi.org/10.2139/ssrn.4810251
Acharya, Kamal, Online Food Order System (May 2, 2024). Available at
SSRN: https://ssrn.com/abstract=4814732 or http://dx.doi.org/10.2139/ssrn.4814732
Acharya, Kamal, University management system project. (May 1, 2024). Availableat
SSRN: https://ssrn.com/abstract=4814103 or http://dx.doi.org/10.2139/ssrn.4814103
Acharya, Kamal, Online banking management system. (May 1, 2024). Available at
SSRN: https://ssrn.com/abstract=4813597 or http://dx.doi.org/10.2139/ssrn.4813597
Acharya, Kamal, Online Job Portal Management System (May 5, 2024). Available at
SSRN: https://ssrn.com/abstract=4817534 or http://dx.doi.org/10.2139/ssrn.4817534
Acharya, Kamal, Employee leave management system. (May 7, 2024). Available
at
SSRN: https://ssrn.com/abstract=4819626 or http://dx.doi.org/10.2139/ssrn.4819626
Acharya, Kamal, Online electricity billing project report. (May 7, 2024). Available at
SSRN: https://ssrn.com/abstract=4819630 or http://dx.doi.org/10.2139/ssrn.4819630
Acharya, Kamal, POLICY MANAGEMENT SYSTEM PROJECT REPORT. (December
10, 2023). Available at
SSRN: https://ssrn.com/abstract=4831694 or http://dx.doi.org/10.2139/ssrn.4831694
Acharya, Kamal, Online job placement system project report. (January 10, 2023).
Available at
SSRN: https://ssrn.com/abstract=4831638 or http://dx.doi.org/10.2139/ssrn.4831638
Acharya, Kamal, Software testing for project report. (May 16, 2023). Available at
SSRN: https://ssrn.com/abstract=4831028 or http://dx.doi.org/10.2139/ssrn.4831028
Acharya, Kamal, ONLINE CRIME REPORTING SYSTEM PROJECT. (August 10,
2022). Available at
SSRN: https://ssrn.com/abstract=4831015 or http://dx.doi.org/10.2139/ssrn.4831015
Acharya, Kamal, Burber ordering system project report. (October 10, 2022).
97 | P a g e
Available at
SSRN: https://ssrn.com/abstract=4832704 or http://dx.doi.org/10.2139/ssrn.4832704
Acharya, Kamal, Teachers Record Management System Project Report (December 10,
2023). Available at
SSRN: https://ssrn.com/abstract=4833821 or http://dx.doi.org/10.2139/ssrn.4833821
Acharya, Kamal, Dairy Management System Project Report (December 20, 2020).
Available at
SSRN: https://ssrn.com/abstract=4835231 or http://dx.doi.org/10.2139/ssrn.4835231
Acharya, Kamal, Electrical Shop Management System Project (December 10, 2019).
Available at
SSRN: https://ssrn.com/abstract=4835238 or http://dx.doi.org/10.2139/ssrn.4835238
Acharya, Kamal, Online book store management system project report. (Febuary 10,
2020). Available at
SSRN: https://ssrn.com/abstract=4835277 or http://dx.doi.org/10.2139/ssrn.4835277
Acharya, Kamal, Paint shop management system project report. (January 10, 2019).
Available at
SSRN: https://ssrn.com/abstract=4835441 or http://dx.doi.org/10.2139/ssrn.4835441
Acharya, Kamal, Supermarket billing system project report. (August 10, 2021).
Available at
SSRN: https://ssrn.com/abstract=4835474 or http://dx.doi.org/10.2139/ssrn.4835474
Acharya, Kamal, Online texi booking system project report. (March 10, 2022).
Available at
SSRN: https://ssrn.com/abstract=4837729 or http://dx.doi.org/10.2139/ssrn.4837729
Acharya, Kamal, Online car servicing system project report. (March 10, 2023).
Available at
SSRN: https://ssrn.com/abstract=4837832 or http://dx.doi.org/10.2139/ssrn.4837832
Acharya, Kamal, School management system project report. (July 10, 2021). Available at
SSRN: https://ssrn.com/abstract=4837837 or http://dx.doi.org/10.2139/ssrn.4837837
Acharya, Kamal, Furniture Showroom Management System Project Report (March 21,
2021). Available at
SSRN: https://ssrn.com/abstract=4839422 or http://dx.doi.org/10.2139/ssrn.4839422
Acharya, Kamal, Online Vehicle Rental System Project Report (March 21, 2019). Available
at SSRN: https://ssrn.com/abstract=4839429 or http://dx.doi.org/10.2139/ssrn.4839429

Hall booking system project report .pdf

  • 1.
    1 | Pa g e AN INTERNSHIP REPORT ON HALL BOOKING SYSTEM PROJECT BY KAMAL ACHARYA (Tribhuvan University) Date: 2023/12/21
  • 2.
    2 | Pa g e Introduction and Objectives
  • 3.
    3 | Pa g e INTRODUCTION PHP and MySQL project on Hall Booking System is a web based project and it has been developed in PHP and MySQL and we can manage Payment, Booking, Inventory, Booking Dates, Customers and Hall from this project. The main objective to develop Hall Booking System PHP, MySQL, JAVA SCRIPT and BOOTSRAP Project is to overcome the manual errors and make a computerized system. In this project, there are various type of modules available to manage Customers, Booking, Payment. We can also generate reports for Booking, Payment, Booking Dates, Hall. Here the Payment module manage all the operations of Payment, Booking module can manage Booking, Inventory module is normally developed for managing Inventory, Booking Dates module manages Booking Dates operations, Customers module has been implemented to manage Customers. In this project all the modules like Payment, Booking Dates, Booking are tightly coupled and we can track the information easily. Ifyou are looking for Free Hall Booking System Project in PHP and MySQL then you can visit our free projects section. We can easily get the list of wedding halls & lawns in Nagpur. Also we have detailed contact information for some particular hall. But we cannot get the availability about hall. So background behind this web
  • 4.
    4 | Pa g e portal is that it gives the area wise listing of wedding halls & lawns with the detailed information of individual and also display for particular date the hall is available or not. Just dial is the system in which we can only find the name of Hall and Lawns in city. In just dial we cannot find Halls in specific area. This system cannot show all information about any Hall. This system is not able to book the Halls online. The A Web Based Hall Booking Management System is designed to overcome the disadvantage of previous system.We can easily get the list of Wedding Halls. But we cannot get the availability about Hall. So background behind this web portal is that it gives the area wise listing of Wedding Halls with the detailed information of individual and also display for particular date the Hall is available or not. This is a special type of web portal to easily get the information of all Wedding Halls in Nagpur which display separate calendar for separate Hall. For particular date the Hall. We can availability of Hall as well as Lawns detailed information about individuals Hall in our web portal . It provides all facilities to clients with lowest cost and lowest maintenance problems.
  • 5.
    5 | Pa g e OBJECTIVES The main objective to develop Hall Booking System PHP and MySQL Project is to overcome the manual errors and make a computerized system. In this project, there are various type of modules available to manage Customers, Booking, Payment. We can also generate reports for Booking, Payment, Booking Dates, Hall.  This project is to manage the detail of payment, booking dates, booking customer, hall.  The project is totally build at administrative end and thus the only administrator is guaranteed access.  The purpose of project is to built an application program reduce the manual work for managing the Payment, Booking date, Inventory, Booking.  It deals with monitoring the information and transaction of customers.  Admin can track all information of payment , booking, inventory etc  Admin can edit , add , delete and update the records of booking dates , customer , hall.  Manage the information about of inventory , customer, payment .  Provide people seeking hall with accurate information about available accommodations.  Allow booking of rooms without errors and without creating conflicts.
  • 6.
    6 | Pa g e  To present the hall as an excellent, or the best, choice to its target market.  To make it easy for customers to make reservations.  To make it easy for customers to get their questions answered, lowering barriers to selecting this chain's hotels.  To fill as many hall as possible at a relatively high rate.
  • 7.
    7 | Pa g e Preliminary System Analysis
  • 8.
    8 | Pa g e PRELIMINARY INVESTIGATION OF FRONT PAGE :- Before starting this project we give attention to laws and rules related to the business .we give specially attention to the security on given aspect in the project. We check each and every possibility related to that project. PRESENT SYSYEM IN USE :- In present system use manager has burden to maintain all entries in record .it is very tedious business work. In present system the manager has more difficult task for searching record as well as sorting record because various number of books are maintain by manager. FLAWS IN PRESENT SYSTEM :- In present /manual system the manger has to maintain the records like customer entry, purchase and selling entry, accessories detail and product detail. Also the manager has to maintain the information like customer report, dealer etc. This is very difficult task to maintain all of information into registers and also it is difficult to edit or update. The following are main flaws present in system :  All reports related to payment  All reports related to booking  All reports related to inventory  All reports related to booking dates  All report related to hall NEED OF NEW SYSTEM :- Hall booking system is an offline application which user can easily manage payment details , inventory details
  • 9.
    9 | Pa g e , booking dates . User can search details of booking payment, customer, hall. Manage the information about of inventory, customer, payment . Customers who make a decision to book a tour or rental don’t want to wait until you are in the office. They want to lock in the activity on their own schedule. Using an online booking system means that your business is open 24 hours a day, seven days a week. FEASIBILITY STUDY :- We study which type of work done in the business of hall booking system in hall booking there are so many halls are available in that business the buying and selling of hall booking is done. Hall are buying from the manager and in other it sells to customer hence it interact with payment detail, customer detail, inventory etc. PROJECT CATEGORY :- My project category is PHP and MySQL, JavaScript and Bootsrap. It is most popular scripting language for web development it is free, open source and server side (the code is executed on the server). HyperText Preprocessor is a general purpose programming language originally design for web development it was originally created by Rasmus Lerdorf in 1994 the php reference implementation is now produce by php group.PHP is the most popular scripting language for web development. It is free, open source and server-side (the code is executed on the server). MySQL is a Relational Database Management System (RDBMS) that uses Structured Query Language (SQL). It is also free and open source. JavaScript is one of the 3 languages all web developers must learn HTML & JavaScript.
  • 10.
    10 | Pa g e Hardware and Software Requirement Specification
  • 11.
    11 | Pa g e HARDWARE REQIREMENT FOR PROJECT :-  AMD/ Intel processor  Color mono monitor  4.7 GB hard disk  Keyboard and Mouse SOFTWARE REQIREMENT FOR PROJECT :-  Front End - PHP  Back End - MYSql  Operating system – Windows PHP and MySQL, JavaScript and Bootsrap. It is most popular scripting language for web development it is free, open source and server side (the code is executed on the server).
  • 12.
    12 | Pa g e Detailed System Analysis
  • 13.
    13 | Pa g e DATA FLOW DAIGRAM
  • 14.
    14 | Pa g e NUMBER OF MODULES AND PROCESS LOGIC HOME :- It is main page of project which tell how your project looks from outside and how it would attract customers. ABOUT :- It tells about the project that what is in your project, on what basis your project may work or run. GALLARY :- In Gallary we are able o see all picture of project that what is we providing to customer in which quality. BOOKING NOW :- From here a user or customer may able to register or book any hall which we want for function , it may be of any type which type of function want to do in hall. PAY :- It is paying module in which you have to pay money for the type of hall you book and for how many days and etc.
  • 15.
    15 | Pa g e DATA STRUCTURE AND TABLE
  • 16.
    16 | Pa g e SYSTEM CHART OR STRUCTURE CHART
  • 17.
    17 | Pa g e ENTITY RELATIONSHIP DAIGRAM
  • 18.
    18 | Pa g e System Design
  • 19.
    19 | Pa g e SOURCE CODE ADMIN COEDING :- <?php session_start(); if(!isset($_SESSION["user"])) { header("location:index.php"); } ?> <!DOCTYPE html> <html xmlns="http://www.w3.org/1999/xhtml"> <head> <meta charset="utf-8" /> <meta name="viewport" content="width=device-width, initial-scale=1.0" /> <title>Administrator </title> <!-- Bootstrap Styles--> <link href="assets/css/bootstrap.css" rel="stylesheet" /> <!--FontAwesome Styles--> <link href="assets/css/font-awesome.css" rel="stylesheet" /> <!-- Morris Chart Styles--> <link href="assets/js/morris/morris-0.4.3.min.css" rel="stylesheet" /> <!-- Custom Styles--> <link href="assets/css/custom-styles.css" rel="stylesheet" /> <!-- Google Fonts--> <link href='http://fonts.googleapis.com/css?family=Open+Sans' rel='stylesheet' type='text/css' /> </head> <body> <div id="wrapper">
  • 20.
    20 | Pa g e <nav class="navbar navbar-default top-navbar" role="navigation"> <div class="navbar-header"> <button type="button" class="navbar-toggle" data-toggle="collapse" data-target=".sidebar-collapse"> <span class="sr-only">Toggle navigation</span> <span class="icon-bar"></span> <span class="icon-bar"></span> <span class="icon-bar"></span> </button> <a class="navbar-brand" href="home.php"><?php echo $_SESSION["user"]; ?></a> </div> <ul class="nav navbar-top-links navbar-right"> <li class="dropdown"> <a class="dropdown-toggle" data-toggle="dropdown" href="#" aria- expanded="false"> <i class="fa fa-user fa-fw"></i><i class="fa fa-caret-down"></i> </a> <ul class="dropdown-menu dropdown-user"> <li><a href="usersetting.php"><i class="fa fa-user fa-fw"></i> User Profile</a> </li> <li><a href="settings.php"><i class="fa fa-gear fa-fw"></i> Settings</a> </li> <li class="divider"></li> <li><a href="logout.php"><i class="fa fa-sign-out fa-fw"></i> Logout</a> </li> </ul> <!-- /.dropdown-user --> </li> <!-- /.dropdown --> </ul>
  • 21.
    21 | Pa g e </nav> <!--/. NAV TOP --> <nav class="navbar-default navbar-side" role="navigation"> <div class="sidebar-collapse"> <ul class="nav" id="main-menu"> <li> <a class="active-menu" href="home.php"><i class="fa fa- dashboard"></i> Status</a> </li> <li> <a href="messages.php"><i class="fa fa-desktop"></i> News Letters</a> </li> <li> <a href="roombook.php"><i class="fa fa-bar-chart-o"></i> Hall Booking</a> </li> <li> <a href="payment.php"><i class="fa fa-qrcode"></i> Payment</a> </li> <li> <a href="logout.php"><i class="fa fa-sign-out fa-fw"></i> Logout</a> </li> </ul> </div> </nav> <!-- /. NAV SIDE -->
  • 22.
    22 | Pa g e <div id="page-wrapper"> <div id="page-inner"> <div class="row"> <div class="col-md-12"> <h1 class="page-header"> Status <small>Hall Booking </small> </h1> </div> </div> <!-- /. ROW --> <?php include ('db.php'); $sql = "select * from roombook"; $re = mysqli_query($con,$sql); $c =0; while($row=mysqli_fetch_array($re) ) { $new = $row['stat']; $cin = $row['cin']; $id = $row['id']; if($new=="Not Conform") { $c = $c + 1; } }
  • 23.
    23 | Pa g e ?> <div class="row"> <div class="col-md-12"> <div class="panel panel-default"> <div class="panel-heading"> </div> <div class="panel-body"> <div class="panel-group" id="accordion"> <div class="panel panel- primary"> <div class="panel-heading"> <h4 class="panel-title"> <a data-toggle="collapse" data-parent="#accordion" href="#collapseTwo"> <button class="btnbtn-default" type="button"> New Hall Bookings <span class="badge"><?php echo $c ; ?></span> </button> </a> </h4> </div> <div id="collapseTwo" class="panel-collapse in" style="height: auto;"> <div class="panel-body"> <div class="panel panel-default"> <div class="panel-body"> <div class="table-responsive"> <table class="table"> <thead> <tr>
  • 24.
    24 | Pa g e <th>#</th> <th>Name</th> <th>Email</th> <th>Country</th> <th>Hall</th> <th>Bedding</th> <th>Meal</th> <th>Check In</th> <th>Check Out</th> <th>Status</th> <th>More</th> </tr> </thead> <tbody> <?php $tsql = "select * from roombook"; $tre = mysqli_query($con,$tsql); while($trow=mysqli_fetch_array($tre) ) { $co =$trow['stat']; if($co=="Not Conform")
  • 25.
    25 | Pa g e { echo"<tr> <th>".$trow['id']."</th> <th>".$trow['FName']." ".$trow['LName']."</th> <th>".$trow['Email']."</th> <th>".$trow['Country']."</th> <th>".$trow['TRoom']."</th> <th>".$trow['Bed']."</th> <th>".$trow['Meal']."</th> <th>".$trow['cin']."</th> <th>".$trow['cout']."</th> <th>".$trow['stat']."</th> <th><a href='roombook.php?rid=".$trow['id']." ' class='btnbtn- primary'>Action</a></th> </tr>"; } } ?> </tbody>
  • 26.
    26 | Pa g e </table> </div> </div> </div> <!-- End Basic Table --> </div> </div> </div> <?php $rsql = "SELECT * FROM `roombook`"; $rre = mysqli_query($con,$rsql); $r =0; while($row=mysqli_fetch_array($rre) ) { $br = $row['stat']; if($br=="Conform") { $r = $r + 1; } } ?>
  • 27.
    27 | Pa g e <div class="panel panel-info"> <div class="panel-heading"> <h4 class="panel-title"> <a data-toggle="collapse" data-parent="#accordion" href="#collapseOne" class="collapsed"> <button class="btnbtn-primary" type="button"> Booked Halls <span class="badge"><?php echo $r ; ?></span> </button> </a> </h4> </div> <div id="collapseOne" class="panel-collapse collapse" style="height: 0px;"> <div class="panel-body"> <?php $msql = "SELECT * FROM `roombook`"; $mre = mysqli_query($con,$msql); while($mrow=mysqli_fetch_array($mre) ) { $br = $mrow['stat']; if($br=="Conform") { $fid = $mrow['id'];
  • 28.
    28 | Pa g e echo"<div class='col-md-3 col-sm-12 col-xs-12'> <div class='panel panel-primary text-center no-boderbg-color- blue'> <div class='panel-body'> <i class='fa fa-users fa-5x'></i> <h3>".$mrow['FName']."</h3> </div> <div class='panel-footer back-footer-blue'> <a href=show.php?sid=".$fid ."><button class='btnbtn- primary btn' data-toggle='modal' data-target='#myModal'> Show </button></a> ".$mrow['TRoom']." </div> </div> </div>";
  • 29.
    29 | Pa g e } } ?> </div> </div> </div> <?php $fsql = "SELECT * FROM `contact`"; $fre = mysqli_query($con,$fsql); $f =0; while($row=mysqli_fetch_array($fre) ) { $f = $f + 1; } ?> <div class="panel panel-danger"> <div class="panel-heading"> <h4 class="panel-title"> <a data-toggle="collapse" data-parent="#accordion" href="#collapseThree" class="collapsed"> <button class="btnbtn-primary" type="button"> Followers <span class="badge"><?php echo $f ; ?></span>
  • 30.
    30 | Pa g e </button> </a> </h4> </div> <div id="collapseThree" class="panel-collapse collapse"> <div class="panel-body"> <div class="panel-body"> <div class="table-responsive"> <table class="table"> <thead> <tr> <th>#</th> <th>Full Name</th> <th>Email</th> <th>Follow Start</th> <th>Permission status</th> </tr> </thead> <tbody> <?php $csql = "select * from contact"; $cre = mysqli_query($con,$csql); while($crow=mysqli_fetch_array($cre) ) { echo"<tr>
  • 31.
    31 | Pa g e <th>".$crow['id']."</th> <th>".$crow['fullname']."</th> <th>".$crow['email']." </th> <th>".$crow['cdate']." </th> <th>".$crow['approval']."</th> </tr>"; } ?> </tbody> </table> <a href="messages.php" class="btnbtn-primary">More Action</a> </div> </div> </div> </div> </div> </div> </div> </div> </div> </div> </div> <!-- DEOMO-->
  • 32.
    32 | Pa g e <div class='panel-body'> <button class='btnbtn-primary btn' data-toggle='modal' data- target='#myModal'> Update </button> <div class='modal fade' id='myModal' tabindex='-1' role='dialog' aria- labelledby='myModalLabel' aria-hidden='true'> <div class='modal-dialog'> <div class='modal-content'> <div class='modal-header'> <button type='button' class='close' data-dismiss='modal' aria- hidden='true'>&times;</button> <h4 class='modal-title' id='myModalLabel'>Change the User name and Password</h4> </div> <form method='post> <div class='modal-body'> <div class='form-group'> <label>Change User name</label> <input name='usname' value='<?php echo $fname; ?>' class='form- control' placeholder='Enter User name'> </div> </div> <div class='modal-body'> <div class='form-group'> <label>Change Password</label> <input name='pasd' value='<?php echo $ps; ?>' class='form-control' placeholder='Enter Password'> </div> </div> <div class='modal-footer'>
  • 33.
    33 | Pa g e <button type='button' class='btnbtn-default' data- dismiss='modal'>Close</button> <input type='submit' name='up' value='Update' class='btnbtn-primary'> </form> </div> </div> </div> </div> </div> <!--DEMO END--> <!-- /. ROW --> </div> <!-- /. PAGE INNER --> </div> <!-- /. PAGE WRAPPER --> </div> <!-- /. WRAPPER --> <!-- JS Scripts--> <!-- jQuery Js --> <script src="assets/js/jquery-1.10.2.js"></script> <!-- Bootstrap Js --> <script src="assets/js/bootstrap.min.js"></script> <!-- Metis Menu Js --> <script src="assets/js/jquery.metisMenu.js"></script> <!-- Morris Chart Js --> <script src="assets/js/morris/raphael-2.1.0.min.js"></script> <script src="assets/js/morris/morris.js"></script>
  • 34.
    34 | Pa g e <!-- Custom Js --> <script src="assets/js/custom-scripts.js"></script> </body> </html> USER PAGE :- <?php $con = mysqli_connect("localhost","root","","hotel") or die(mysql_error()); ?> <?php include('db.php'); ?> <!DOCTYPE html> <html lang="en"> <head> <title>Hall</title> <!-- for-mobile-apps -->
  • 35.
    35 | Pa g e <meta name="viewport" content="width=device-width, initial-scale=1"> <meta http-equiv="Content-Type" content="text/html; charset=utf-8" /> <meta name="keywords" content="Resort Inn Responsive , Smartphone Compatible web template , Samsung, LG, Sony Ericsson, Motorola web design" /> <script type="application/x-javascript">addEventListener("load", function() { setTimeout(hideURLbar, 0); }, false); function hideURLbar(){ window.scrollTo(0,1); } </script> <!-- //for-mobile-apps --> <link href="css/bootstrap.css" rel="stylesheet" type="text/css" media="all" /> <link href="css/font-awesome.css" rel="stylesheet"> <link rel="stylesheet" href="css/chocolat.css" type="text/css" media="screen"> <link href="css/easy-responsive-tabs.css" rel='stylesheet' type='text/css'/> <link rel="stylesheet" href="css/flexslider.css" type="text/css" media="screen" property="" /> <link rel="stylesheet" href="css/jquery-ui.css" /> <link href="css/style.css" rel="stylesheet" type="text/css" media="all" /> <script type="text/javascript" src="js/modernizr-2.6.2.min.js"></script> <!--fonts--> <link href="//fonts.googleapis.com/css?family=Oswald:300,400,700" rel="stylesheet"> <link href="//fonts.googleapis.com/css?family=Federo" rel="stylesheet">
  • 36.
    36 | Pa g e <link href="//fonts.googleapis.com/css?family=Lato:300,400,700,900" rel="stylesheet"> <!--//fonts--> </head> <body> <!-- header --> <div class="banner-top"> <div class="social-bnr-agileits"> <ul class="social-icons3"> <li><a href="https://www.facebook.com/" class="fa fa-facebook icon-border facebook"></a></li> <li><a href="https://twitter.com/" class="fa fa-twitter icon-border twitter"></a></li> <li><a href="https://plus.google.com/u/0/" class="fa fa-google-plus icon-border googleplus"></a></li> </ul> </div> <div class="contact-bnr-w3-agile"> <ul> <li><i class="fa fa-envelope" aria- hidden="true"></i><a href="mailto:info@example.com">radissonblue@gmail.com</a></li> <li><i class="fa fa-phone" aria- hidden="true"></i>8806003886</li>
  • 37.
    37 | Pa g e <li class="s-bar"> <div class="search"> <input class="search_box" type="checkbox" id="search_box"> <label class="icon-search" for="search_box"><span class="glyphiconglyphicon-search" aria- hidden="true"></span></label> <div class="search_form"> <form action="#" method="post"> <input type="search" name="Search" placeholder=" " required=" " /> <input type="submit" value="Search"> </form> </div> </div> </li> </ul> </div> <div class="clearfix"></div> </div> <div class="w3_navigation"> <div class="container"> <nav class="navbar navbar-default">
  • 38.
    38 | Pa g e <div class="navbar-header navbar-left"> <button type="button" class="navbar- toggle collapsed" data-toggle="collapse" data-target="#bs-example- navbar-collapse-1"> <span class="sr-only">Toggle navigation</span> <span class="icon-bar"></span> <span class="icon-bar"></span> <span class="icon-bar"></span> </button> <h1><a class="navbar-brand" href="index.php">Radisson <span>Blue</span><p class="logo_w3l_agile_caption">Your Dreamy Resort</p></a></h1> </div> <!-- Collect the nav links, forms, and other content for toggling --> <div class="collapse navbar-collapse navbar- right" id="bs-example-navbar-collapse-1"> <nav class="menu menu--iris"> <ul class="nav navbar-nav menu__list"> <li class="menu__itemmenu__item--current"><a href="index.html" class="menu__link">Home</a></li> <li class="menu__item"><a href="#about" class="menu__link scroll">About</a></li>
  • 39.
    39 | Pa g e <li class="menu__item"><a href="#gallery" class="menu__link scroll">Gallery</a></li> <li class="menu__item"><a href="#rooms" class="menu__link scroll">Booking Now</a></li> <li class="menu__item"><a href="https://www.payu.in/?utm_source=google&utm_medium=cpc&utm _campaign=search_remarketing&utm_term=rlsa_ad1&gclid=CjwKCAiA 6vXwBRBKEiwAYE7iS1CYXvqbXM1SCBPZFOQeikWaHCX2JRAmZsww SCHJP_T12_b_AgpjOhoCZYsQAvD_BwE" class="https://www.payu.in/?utm_source=google&utm_medium=cpc&ut m_campaign=search_remarketing&utm_term=rlsa_ad1&gclid=CjwKCAi A6vXwBRBKEiwAYE7iS1CYXvqbXM1SCBPZFOQeikWaHCX2JRAmZsw wSCHJP_T12_b_AgpjOhoCZYsQAvD_BwE">PAY</a></li> </ul> </nav> </div> </nav> </div> </div> <!-- //header --> <!-- banner --> <div id="home" class="w3ls-banner"> <!-- banner-text --> <div class="slider"> <div class="callbacks_container">
  • 40.
    40 | Pa g e <ul class="rslidescallbacks callbacks1" id="slider4"> <li> <div class="w3layouts-banner-top"> <div class="container"> <div class="agileits- banner-info"> <h4>Radisson Blue</h4> <h3>We know what you love</h3> <p>Welcome to our hotels</p> <div class="agileits_w3layouts_more menu__item"> <a href="#" class="menu__link" data- toggle="modal" data-target="#myModal">Learn More</a> </div> </div> </div> </div> </li> <li> <div class="w3layouts-banner-top w3layouts-banner-top1"> <div class="container">
  • 41.
    41 | Pa g e <div class="agileits- banner-info"> <h4>Radisson Blue</h4> <h3>Stay with friends & families</h3> <p>Come & enjoy precious moment with us</p> <div class="agileits_w3layouts_more menu__item"> <a href="#" class="menu__link" data- toggle="modal" data-target="#myModal">Learn More</a> </div> </div> </div> </div> </li> <li> <div class="w3layouts-banner-top w3layouts-banner-top2"> <div class="container"> <div class="agileits- banner-info"> <h4>Radisson Blue</h4> <h3>want luxurious vacation?</h3>
  • 42.
    42 | Pa g e <p>Get accommodation today</p> <div class="agileits_w3layouts_more menu__item"> <a href="#" class="menu__link" data-toggle="modal" data- target="#myModal">Learn More</a> </div> </div> </div> </div> </li> </ul> </div> <div class="clearfix"></div> <!--banner Slider starts Here--> </div> <div class="thim-click-to-bottom"> <a href="#about" class="scroll"> <i class="fa fa-long-arrow-down" aria- hidden="true"></i> </a> </div> </div> <!-- //banner -->
  • 43.
    43 | Pa g e <!--//Header--> <!-- //Modal1 --> <div class="modal fade" id="myModal" tabindex="-1" role="dialog"> <!-- Modal1 --> <div class="modal-dialog"> <!-- Modal content--> <div class="modal- content"> <div class="modal- header"> <button type="button" class="close" data-dismiss="modal">&times;</button> <h4>Radisson <span>Blue</span></h4> <imgsrc="images/1.jpg" alt=" " class="img-responsive"> <h5>We know what you love</h5> <p>Providing guests unique and enchanting views from their rooms with its exceptional amenities, makes Star Hotel one of bests in its kind.Try our food menu, awesome services and friendly staff while you are here.</p> </div> </div> </div> </div>
  • 44.
    44 | Pa g e <!-- //Modal1 --> <div id="availability-agileits"> <div class="col-md-12 book-form-left-w3layouts"> <a href="admin/reservation.php"><h2>HALL BOOKINGS</h2></a> </div> <div class="clearfix"></div> </div> <!-- //banner-bottom --> <!-- /about --> <div class="about-wthree" id="about"> <div class="container"> <div class="ab-w3l-spa"> <h3 class="title-w3-agileits title-black-wthree">About Our Radisson Blue</h3> <p class="about-para- w3ls">RADISSON BLUE HALL MANEGAMENT SYSTEAM EVENT WE ARE GETTING HALL FOR WEDDING , BIRTHDAY , MEETING , CONFERENCE AND MANY MORE </p> <imgsrc="images/about.jpg" class="img-responsive" alt="Hair Salon"> <div class="w3l-slider-img">
  • 45.
    45 | Pa g e <imgsrc="images/a1.jpg" class="img-responsive" alt="Hair Salon"> </div> <div class="w3ls-info-about"> <h4>You'll love all the amenities we offer!</h4> <p>Lorem ipsum dolor sit amet, ut magna aliqua. </p> </div> </div> <div class="clearfix"></div> </div> </div> <!-- //about --> <!--sevices--> <div class="advantages"> <div class="container"> <div class="advantages-main"> <h3 class="title-w3-agileits">Our Services</h3> <div class="advantage-bottom"> <div class="col-md-6 advantage-grid left-w3ls wow bounceInLeft" data-wow-delay="0.3s"> <div class="advantage-block ">
  • 46.
    46 | Pa g e <i class="fa fa-credit-card" aria- hidden="true"></i> <h4>Stay First, Pay After! </h4> <p>Temporibusautemquibusdam et autofficiisdebitisaut rerum necessitatibussaepeevenietut et voluptates.</p> <p><i class="fa fa-check" aria- hidden="true"></i>Decorated Hall, proper air conditioned</p> <p><i class="fa fa-check" aria- hidden="true"></i>Private balcony</p> </div> </div> <div class="col-md-6 advantage-grid right-w3ls wow zoomIn" data-wow-delay="0.3s"> <div class="advantage-block"> <i class="fa fa-clock-o" aria- hidden="true"></i> <h4>24 Hour Hall Booking</h4> <p>Temporibusautemquibusdam et autofficiisdebitisaut rerum necessitatibussaepeevenietut et voluptates.</p> <p><i class="fa fa-check" aria- hidden="true"></i>24 hours Hall service</p> <p><i class="fa fa-check" aria- hidden="true"></i>24-hour Concierge service</p> </div>
  • 47.
    47 | Pa g e </div> <div class="clearfix"></div> </div> </div> </div> </div> <!--//sevices--> <!-- Gallery --> <section class="portfolio-w3ls" id="gallery"> <h3 class="title-w3-agileits title-black-wthree">Our Gallery</h3> <div class="col-md-3 gallery-grid gallery1"> <a href="images/g1.jpg" class="swipebox"><imgsrc="images/g1.jpg" class="img-responsive" alt="/"> <div class="textbox"> <h4>Radisson Blue</h4> <p><i class="fa fa-picture-o" aria-hidden="true"></i></p> </div> </a> </div> <div class="col-md-3 gallery-grid gallery1">
  • 48.
    48 | Pa g e <a href="images/g2.jpg" class="swipebox"><imgsrc="images/g2.jpg" class="img-responsive" alt="/"> <div class="textbox"> <h4>Radisson Blue</h4> <p><i class="fa fa-picture-o" aria-hidden="true"></i></p> </div> </a> </div> <div class="col-md-3 gallery-grid gallery1"> <a href="images/g3.jpg" class="swipebox"><imgsrc="images/g3.jpg" class="img-responsive" alt="/"> <div class="textbox"> <h4>Radisson Blue</h4> <p><i class="fa fa-picture-o" aria-hidden="true"></i></p> </div> </a> </div> <div class="col-md-3 gallery-grid gallery1"> <a href="images/g4.jpg" class="swipebox"><imgsrc="images/g4.jpg" class="img-responsive" alt="/"> <div class="textbox">
  • 49.
    49 | Pa g e <h4>Radisson Blue</h4> <p><i class="fa fa-picture-o" aria-hidden="true"></i></p> </div> </a> </div> <div class="col-md-3 gallery-grid gallery1"> <a href="images/g5.jpg" class="swipebox"><imgsrc="images/g5.jpg" class="img-responsive" alt="/"> <div class="textbox"> <h4>Radisson Blue</h4> <p><i class="fa fa-picture-o" aria-hidden="true"></i></p> </div> </a> </div> <div class="col-md-3 gallery-grid gallery1"> <a href="images/g6.jpg" class="swipebox"><imgsrc="images/g6.jpg" class="img-responsive" alt="/"> <div class="textbox"> <h4>Radisson Blue</h4> <p><i class="fa fa-picture-o" aria-hidden="true"></i></p> </div>
  • 50.
    50 | Pa g e </a> </div> <div class="col-md-3 gallery-grid gallery1"> <a href="images/g6.jpg" class="swipebox"><imgsrc="images/g7.jpg" class="img-responsive" alt="/"> <div class="textbox"> <h4>Radisson Blue</h4> <p><i class="fa fa-picture-o" aria-hidden="true"></i></p> </div> </a> </div> <div class="col-md-3 gallery-grid gallery1"> <a href="images/g6.jpg" class="swipebox"><imgsrc="images/g8.jpg" class="img-responsive" alt="/"> <div class="textbox"> <h4>Radisson Blue</h4> <p><i class="fa fa-picture-o" aria-hidden="true"></i></p> </div> </a> </div> <div class="col-md-3 gallery-grid gallery1">
  • 51.
    51 | Pa g e <a href="images/g9.jpg" class="swipebox"><imgsrc="images/g9.jpg" class="img-responsive" alt="/"> <div class="textbox"> <h4>Radisson Blue</h4> <p><i class="fa fa-picture-o" aria-hidden="true"></i></p> </div> </a> </div> <div class="col-md-3 gallery-grid gallery1"> <a href="images/g10.jpg" class="swipebox"><imgsrc="images/g10.jpg" class="img-responsive" alt="/"> <div class="textbox"> <h4>Radisson Blue</h4> <p><i class="fa fa-picture-o" aria-hidden="true"></i></p> </div> </a> </div> <div class="col-md-3 gallery-grid gallery1"> <a href="images/g4.jpg" class="swipebox"><imgsrc="images/g4.jpg" class="img-responsive" alt="/"> <div class="textbox">
  • 52.
    52 | Pa g e <h4>Radisson Blue</h4> <p><i class="fa fa-picture-o" aria-hidden="true"></i></p> </div> </a> </div> <div class="col-md-3 gallery-grid gallery1"> <a href="images/g2.jpg" class="swipebox"><imgsrc="images/g2.jpg" class="img-responsive" alt="/"> <div class="textbox"> <h4>Radisson Blue</h4> <p><i class="fa fa-picture-o" aria-hidden="true"></i></p> </div> </a> </div> <div class="clearfix"></div> </section> <!-- //gallery --> <!-- rooms & rates --> <div class="plans-section" id="rooms"> <div class="container"> <h3 class="title-w3-agileits title-black- wthree">Halls And Rates</h3>
  • 53.
    53 | Pa g e <div class="priceing-table-main"> <div class="col-md-3 price-grid"> <div class="price-block agile"> <div class="price-gd-top"> <imgsrc="images/h1.jpg" alt=" " class="img-responsive" /> <h4>Wedding Hall</h4> </div> <div class="price-gd-bottom"> <div class="price-list"> <ul> <li><i class="fa fa-star" aria-hidden="true"></i></li> <li><i class="fa fa-star" aria-hidden="true"></i></li> <li><i class="fa fa-star" aria-hidden="true"></i></li> <li><i class="fa fa-star" aria-hidden="true"></i></li> <li><i class="fa fa-star-o" aria-hidden="true"></i></li> </ul> </div> <div class="price-selet">
  • 54.
    54 | Pa g e <h3><span>Rs</span>3320</h3> <a href="admin/reservation.php" >Book Now</a> </div> </div> </div> </div> <div class="col-md-3 price-grid "> <div class="price-block agile"> <div class="price-gd-top"> <imgsrc="images/h2.jpg" alt=" " class="img-responsive" /> <h4>Birthday Hall</h4> </div> <div class="price-gd-bottom"> <div class="price-list"> <ul> <li><i class="fa fa- star" aria-hidden="true"></i></li> <li><i class="fa fa- star" aria-hidden="true"></i></li> <li><i class="fa fa- star" aria-hidden="true"></i></li>
  • 55.
    55 | Pa g e <li><i class="fa fa- star" aria-hidden="true"></i></li> <li><i class="fa fa- star-o" aria-hidden="true"></i></li> </ul> </div> <div class="price-selet"> <h3><span>Rs</span>3220</h3> <a href="admin/reservation.php" >Book Now</a> </div> </div> </div> </div> <div class="col-md-3 price-grid lost"> <div class="price-block agile"> <div class="price-gd-top"> <imgsrc="images/h3.jpg" alt=" " class="img-responsive" /> <h4>Conference Hall</h4> </div> <div class="price-gd-bottom"> <div class="price-list"> <ul>
  • 56.
    56 | Pa g e <li><i class="fa fa- star" aria-hidden="true"></i></li> <li><i class="fa fa- star" aria-hidden="true"></i></li> <li><i class="fa fa- star" aria-hidden="true"></i></li> <li><i class="fa fa- star-o" aria-hidden="true"></i></li> <li><i class="fa fa- star-o" aria-hidden="true"></i></li> </ul> </div> <div class="price-selet"> <h3><span>Rs</span>10890</h3> <a href="admin/reservation.php" >Book Now</a> </div> </div> </div> </div> <div class="col-md-3 price-grid wthree lost"> <div class="price-block agile"> <div class="price-gd-top "> <imgsrc="images/h4.jfif" alt=" " class="img-responsive" />
  • 57.
    57 | Pa g e <h4>Meeting Hall</h4> </div> <div class="price-gd-bottom"> <div class="price-list"> <ul> <li><i class="fa fa- star" aria-hidden="true"></i></li> <li><i class="fa fa- star" aria-hidden="true"></i></li> <li><i class="fa fa- star-o" aria-hidden="true"></i></li> <li><i class="fa fa- star-o" aria-hidden="true"></i></li> <li><i class="fa fa- star-o" aria-hidden="true"></i></li> </ul> </div> <div class="price-selet"> <h3><span>Rs</span> 2150</h3> <a href="admin/reservation.php" >Book Now</a> </div> </div> </div> </div>
  • 58.
    58 | Pa g e <div class="clearfix"></div> </div> </div> </div> <!--// rooms & rates --> <!-- contact --> <section class="contact-w3ls" id="contact"> <div class="container"> <div class="col-lg-6 col-md-6 col-sm-6 contact-w3-agile2" data-aos="flip-left"> <div class="contact-agileits"> <h4>Contact Us</h4> <p class="contact-agile2">Sign Up For Our News Letters</p> <form method="post" name="sentMessage" id="contactForm" > <div class="control-group form-group"> <label class="contact-p1">Full Name:</label> <input type="text" class="form-control" name="name" id="name" required > <p class="help-block"></p> </div>
  • 59.
    59 | Pa g e <div class="control-group form-group"> <label class="contact-p1">Phone Number:</label> <input type="tel" class="form-control" name="phone" id="phone" required > <p class="help-block"></p> </div> <div class="control-group form-group"> <label class="contact-p1">Email Address:</label> <input type="email" class="form-control" name="email" id="email" required > <p class="help-block"></p> </div> <input type="submit" name="sub" value="Send Now" class="btnbtn- primary"> </form> <?php if(isset($_POST['sub'])) {
  • 60.
    60 | Pa g e $name =$_POST['name']; $phone = $_POST['phone']; $email = $_POST['email']; $approval = "Not Allowed"; $sql = "INSERT INTO `contact`(`fullname`, `phoneno`, `email`,`cdate`,`approval`) VALUES ('$name','$phone','$email',now(),'$approval')" ; if(mysqli_query($con,$sql)) echo"OK"; } ?> </div> </div> <div class="col-lg-6 col-md-6 col-sm-6 contact-w3-agile1" data-aos="flip-right"> <h4>Connect With Us</h4> <p class="contact-agile1"><strong>Phone :</strong>8806003886</p> <p class="contact-agile1"><strong>Email :</strong><a href="mailto:name@example.com">badissonblue@gmail@gmail</a></ p>
  • 61.
    61 | Pa g e <p class="contact-agile1"><strong>Address :</strong>Bhandara State maharashtra India </p> <div class="social-bnr-agileits footer-icons-agileinfo"> <ul class="social-icons3"> <li><a href="#" class="fa fa-facebook icon-border facebook"></a></li> <li><a href="#" class="fa fa-twitter icon-border twitter"></a></li> <li><a href="#" class="fa fa-google-plus icon-border googleplus"></a></li> </ul> </div> <iframe src="" ></iframe> </div> <div class="clearfix"></div> </div> </section> <!-- /contact --> <div class="copy"> <p>Radisson Blue | Design by <a href="index.php">Ashwin sawwalakhe , Daisy Lihare , Tulsisawwalakhe</a></p> </div>
  • 62.
    62 | Pa g e <!--/footer --> <!--js --> <script type="text/javascript" src="js/jquery-2.1.4.min.js"></script> <!-- contact form --> <script src="js/jqBootstrapValidation.js"></script> <!-- /contact form --> <!-- Calendar --> <script src="js/jquery-ui.js"></script> <script> $(function() { $( "#datepicker,#datepicker1,#datepicker2,#datepicker3" ).datepicker(); }); </script> <!-- //Calendar --> <!-- gallery popup --> <link rel="stylesheet" href="css/swipebox.css"> <script src="js/jquery.swipebox.min.js"></script> <script type="text/javascript"> jQuery(function($) { $(".swipebox").swipebox(); });
  • 63.
    63 | Pa g e </script> <!-- //gallery popup --> <!-- start-smoth-scrolling --> <script type="text/javascript" src="js/move-top.js"></script> <script type="text/javascript" src="js/easing.js"></script> <script type="text/javascript"> jQuery(document).ready(function($) { $(".scroll").click(function(event){ event.preventDefault(); $('html,body').animate({scrollTop:$(this.hash).offset().top},1000); }); }); </script> <!-- start-smoth-scrolling -->- <!--flexSlider --> <script defer src="js/jquery.flexslider.js"></script> <script type="text/javascript"> $(window).load(function(){ $('.flexslider').flexslider({ animation: "slide", start: function(slider){ $('body').removeClass('loading');
  • 64.
    64 | Pa g e } }); }); </script> <!-- //flexSlider --> <script src="js/responsiveslides.min.js"></script> <script> // You can also use "$(window).load(function() {" $(function () { // Slideshow 4 $("#slider4").responsiveSlides({ auto: true, pager:true, nav:false, speed: 500, namespace: "callbacks", before: function () { $('.events').append("<li>before event fired.</li>"); }, after: function () { $('.events').append("<li>after event fired.</li>");
  • 65.
    65 | Pa g e } }); }); </script> <!--search-bar--> <script src="js/main.js"></script> <!--//search-bar--> <!--tabs--> <script src="js/easy-responsive-tabs.js"></script> <script> $(document).ready(function () { $('#horizontalTab').easyResponsiveTabs({ type: 'default', //Types: default, vertical, accordion width: 'auto', //auto or any width like 600px fit: true, // 100% fit in a container closed: 'accordion', // Start closed if in accordion view activate: function(event) { // Callback function if tab is switched var $tab = $(this); var $info = $('#tabInfo'); var $name = $('span', $info); $name.text($tab.text()); $info.show();
  • 66.
    66 | Pa g e } }); $('#verticalTab').easyResponsiveTabs({ type: 'vertical', width: 'auto', fit: true }); }); </script> <!--//tabs--> <!-- smooth scrolling --> <script type="text/javascript"> $(document).ready(function() { /* var defaults = { containerID: 'toTop', // fading element id containerHoverID: 'toTopHover', // fading element hover id scrollSpeed: 1200, easingType: 'linear' }; */ $().UItoTop({ easingType: 'easeOutQuart' }); });
  • 67.
    67 | Pa g e </script> <div class="arr-w3ls"> <a href="#home" id="toTop" style="display: block;"><span id="toTopHover" style="opacity: 1;"></span></a> </div> <!-- //smooth scrolling --> <script type="text/javascript" src="js/bootstrap-3.1.1.min.js"></script> </body> </html> RESERVATION :- <?php include('db.php') ?> <!DOCTYPE html> <html xmlns="http://www.w3.org/1999/xhtml"> <head> <meta charset="utf-8" /> <meta name="viewport" content="width=device-width, initial-scale=1.0" /> <title>RESERVATION RADISSON BLUE HOTEL</title> <!-- Bootstrap Styles--> <link href="assets/css/bootstrap.css" rel="stylesheet" /> <!--FontAwesome Styles--> <link href="assets/css/font-awesome.css" rel="stylesheet" /> <!-- Custom Styles--> <link href="assets/css/custom-styles.css" rel="stylesheet" /> <!-- Google Fonts-->
  • 68.
    68 | Pa g e <link href='http://fonts.googleapis.com/css?family=Open+Sans' rel='stylesheet' type='text/css' /> </head> <body> <div id="wrapper"> <nav class="navbar-default navbar-side" role="navigation"> <div class="sidebar-collapse"> <ul class="nav" id="main-menu"> <li> <a href="../index.php"><i class="fa fa-home"></i> Homepage</a> </li> </ul> </div> </nav> <div id="page-wrapper" > <div id="page-inner"> <div class="row"> <div class="col-md-12"> <h1 class="page-header"> RESERVATION <small></small> </h1> </div> </div> <div class="row"> <div class="col-md-5 col-sm-5"> <div class="panel panel-primary"> <div class="panel-heading">
  • 69.
    69 | Pa g e PERSONAL INFORMATION </div> <div class="panel-body"> <form name="form" method="post"> <div class="form-group"> <label>Title*</label> <select name="title" class="form-control" required > <option value selected ></option> <option value="Dr.">Dr.</option> <option value="Miss.">Miss.</option> <option value="Mr.">Mr.</option> <option value="Mrs.">Mrs.</option> <option value="Prof.">Prof.</option> <option value="Rev .">Rev .</option> <option value="Rev . Fr">Rev .Fr .</option> </select> </div> <div class="form-group"> <label>First Name</label> <input name="fname" class="form-control" required> </div> <div class="form-group"> <label>Last Name</label> <input name="lname" class="form-control" required> </div> <div class="form-group"> <label>Email</label> <input name="email" type="email" class="form-control" required>
  • 70.
    70 | Pa g e </div> <div class="form-group"> <label>Nationality*</label> <label class="radio-inline"> <input type="radio" name="nation" value="Indian" checked="">India </label> <label class="radio-inline"> <input type="radio" name="nation" value="Non Indian ">Non India </label> </div> <?php $countries = array("Afghanistan", "Albania", "Algeria", "American Samoa", "Andorra", "Angola", "Anguilla", "Antarctica", "Antigua and Barbuda", "Argentina", "Armenia", "Aruba", "Australia", "Austria", "Azerbaijan", "Bahamas", "Bahrain", "Bangladesh", "Barbados", "Belarus", "Belgium", "Belize", "Benin", "Bermuda", "Bhutan", "Bolivia", "Bosnia and Herzegowina", "Botswana", "Bouvet Island", "Brazil", "British Indian Ocean Territory", "Brunei Darussalam", "Bulgaria", "Burkina Faso", "Burundi", "Cambodia", "Cameroon", "Canada", "Cape Verde", "Cayman Islands", "Central African Republic", "Chad", "Chile", "China", "Christmas Island", "Cocos (Keeling) Islands", "Colombia", "Comoros", "Congo", "Congo, the Democratic Republic of the", "Cook Islands", "Costa Rica", "Cote d'Ivoire", "Croatia (Hrvatska)", "Cuba", "Cyprus", "Czech Republic", "Denmark", "Djibouti", "Dominica", "Dominican Republic", "East Timor", "Ecuador", "Egypt", "El Salvador", "Equatorial Guinea", "Eritrea", "Estonia", "Ethiopia", "Falkland Islands (Malvinas)", "Faroe Islands", "Fiji", "Finland", "France", "France Metropolitan", "French Guiana", "French Polynesia", "French Southern Territories", "Gabon", "Gambia", "Georgia", "Germany", "Ghana", "Gibraltar", "Greece", "Greenland", "Grenada", "Guadeloupe", "Guam", "Guatemala", "Guinea", "Guinea-Bissau", "Guyana", "Haiti", "Heard and Mc Donald Islands", "Holy See (Vatican City State)", "Honduras", "Hong
  • 71.
    71 | Pa g e Kong", "Hungary", "Iceland", "India", "Indonesia", "Iran (Islamic Republic of)", "Iraq", "Ireland", "Israel", "Italy", "Jamaica", "Japan", "Jordan", "Kazakhstan", "Kenya", "Kiribati", "Korea, Democratic People's Republic of", "Korea, Republic of", "Kuwait", "Kyrgyzstan", "Lao, People's Democratic Republic", "Latvia", "Lebanon", "Lesotho", "Liberia", "Libyan Arab Jamahiriya", "Liechtenstein", "Lithuania", "Luxembourg", "Macau", "Macedonia, The Former Yugoslav Republic of", "Madagascar", "Malawi", "Malaysia", "Maldives", "Mali", "Malta", "Marshall Islands", "Martinique", "Mauritania", "Mauritius", "Mayotte", "Mexico", "Micronesia, Federated States of", "Moldova, Republic of", "Monaco", "Mongolia", "Montserrat", "Morocco", "Mozambique", "Myanmar", "Namibia", "Nauru", "Nepal", "Netherlands", "Netherlands Antilles", "New Caledonia", "New Zealand", "Nicaragua", "Niger", "Nigeria", "Niue", "Norfolk Island", "Northern Mariana Islands", "Norway", "Oman", "Pakistan", "Palau", "Panama", "Papua New Guinea", "Paraguay", "Peru", "Philippines", "Pitcairn", "Poland", "Portugal", "Puerto Rico", "Qatar", "Reunion", "Romania", "Russian Federation", "Rwanda", "Saint Kitts and Nevis", "Saint Lucia", "Saint Vincent and the Grenadines", "Samoa", "San Marino", "Sao Tome and Principe", "Saudi Arabia", "Senegal", "Seychelles", "Sierra Leone", "Singapore", "Slovakia (Slovak Republic)", "Slovenia", "Solomon Islands", "Somalia", "South Africa", "South Georgia and the South Sandwich Islands", "Spain", "Sri Lanka", "St. Helena", "St. Pierre and Miquelon", "Sudan", "Suriname", "Svalbard and Jan Mayen Islands", "Swaziland", "Sweden", "Switzerland", "Syrian Arab Republic", "Taiwan, Province of China", "Tajikistan", "Tanzania, United Republic of", "Thailand", "Togo", "Tokelau", "Tonga", "Trinidad and Tobago", "Tunisia", "Turkey", "Turkmenistan", "Turks and Caicos Islands", "Tuvalu", "Uganda", "Ukraine", "United Arab Emirates", "United Kingdom", "United States", "United States Minor Outlying Islands", "Uruguay", "Uzbekistan", "Vanuatu", "Venezuela", "Vietnam", "Virgin Islands (British)", "Virgin Islands (U.S.)", "Wallis and Futuna Islands", "Western Sahara", "Yemen", "Yugoslavia", "Zambia", "Zimbabwe"); ?>
  • 72.
    72 | Pa g e <div class="form- group"> <label> Country*</label> <select name="country" class="form-control" required> <option value selected ></option> <?php foreach($countries as $key => $value): echo '<option value="'.$value.'">'.$value.'</option>'; //close your tags!! endforeach; ?> </select> </div> <div class="form- group"> <label>Phone Number</label> <input name="phone" type ="text" class="form-control" required> </div> </div> </div> </div> <div class="row"> <div class="col-md-6 col-sm-6"> <div class="panel panel-primary"> <div class="panel-heading">
  • 73.
    73 | Pa g e RESERVATION INFORMATION </div> <div class="panel-body"> <div class="form- group"> <label>Type Of Hall *</label> <select name="troom" class="form-control" required> <option value selected ></option> <option value="Wedding Hall">WEDDING HALL</option> <option value="Birthday Hall">BIRTHDAY HALL</option> <option value="Conference Hall">CONFERENCE HALL</option> <option value="Meeting Hall">MEETING HALL </option> </select> </div> <div class="form-group"> <label>No.of Halls *</label> <select name="nroom" class="form-control" required> <option value selected ></option> <option value="1">1</option> <!--<option value="2">2</option> <option value="3">3</option> <option value="4">4</option> <option value="5">5</option> <option value="6">6</option>
  • 74.
    74 | Pa g e <option value="7">7</option> --> </select> </div> <div class="form-group"> <label>Meal Plan</label> <select name="meal" class="form-control"required> <option value selected ></option> <option value="Room only">Room only</option> <option value="Breakfast">Breakfast</option> <option value="Half Board">Half Board</option> <option value="Full Board">Full Board</option> </select> </div> <div class="form-group"> <label>Check-In</label> <input name="cin" type ="date" class="form-control"> </div> <div class="form-group"> <label>Check-Out</label> <input name="cout" type ="date" class="form-control"> </div> </div> </div>
  • 75.
    75 | Pa g e </div> <div class="col-md-12 col-sm-12"> <div class="well"> <h4>HUMAN VERIFICATION</h4> <p>Type Below this code <?php $Random_code=rand(); echo$Random_code; ?></p><br /> <p>Enter the random code<br /></p> <input type="text" name="code1" title="random code" /> <input type="hidden" name="code" value="<?php echo $Random_code; ?>" /> <input type="submit" name="submit" class="btnbtn-primary"> <?php if(isset($_POST['submit'])) { $code1=$_POST['code1']; $code=$_POST['code']; if($code1!="$code") { $msg="Invalide code"; } else { $con=mysqli_connect("localhost","root","","hotel"); $check="SELECT * FROM roombook WHERE email = '$_POST[email]'"; $rs = mysqli_query($con,$check);
  • 76.
    76 | Pa g e $data = mysqli_fetch_array($rs, MYSQLI_NUM); if($data[0] > 1) { echo "<script type='text/javascript'>alert('User Already in Exists')</script>"; } else { $new ="Not Conform"; $newUser="INSERT INTO `roombook`(`Title`, `FName`, `LName`, `Email`, `National`, `Country`, `Phone`, `TRoom`, `Bed`, `NRoom`, `Meal`, `cin`, `cout`,`stat`,`nodays`) VALUES ('$_POST[title]','$_POST[fname]','$_POST[lname]','$_POST[email]','$_ POST[nation]','$_POST[country]','$_POST[phone]','$_POST[troom]','$_ POST[bed]','$_POST[nroom]','$_POST[meal]','$_POST[cin]','$_POST[c out]','$new',datediff('$_POST[cout]','$_POST[cin]'))"; if (mysqli_query($con,$newUser)) { echo "<script type='text/javascript'>alert('Your Booking application has been sent')</script>"; } else { echo "<script type='text/javascript'>alert('Error adding user in database')</script>"; }
  • 77.
    77 | Pa g e } $msg="Your code is correct"; } } ?> </form> </div> </div> </div> </div> </div> <!-- /. PAGE INNER --> </div> <!-- /. PAGE WRAPPER --> </div> <!-- /. WRAPPER --> <!-- JS Scripts--> <!-- jQuery Js --> <script src="assets/js/jquery-1.10.2.js"></script> <!-- Bootstrap Js --> <script src="assets/js/bootstrap.min.js"></script> <!-- Metis Menu Js --> <script src="assets/js/jquery.metisMenu.js"></script> <!-- Custom Js --> <script src="assets/js/custom-scripts.js"></script> </body> </html>
  • 78.
    78 | Pa g e INPUT SCREEN AND OUTPUT SCREEN
  • 79.
    79 | Pa g e
  • 80.
    80 | Pa g e
  • 81.
    81 | Pa g e
  • 82.
    82 | Pa g e p
  • 83.
    83 | Pa g e Validation Checks
  • 84.
    84 | Pa g e PROGRAM TESTING :- The project runs satisfactorily and data tested correctly. Testing check for two types of error that is syntax error or logical error when there is a discrepancy the sequence of instruction is traced to determine problem and proper use of syntax is used. STRING TESTING :- Our program is invariably related to one another and interacts to total system. Each program is tested to see whether it confirms to related program in our system. Each portion of system is tested against the entire Module with both test and live data before the entire system is ready to run. Sr. No Field Name Validation Check 1. User_name This has both “Integer” and “Text” data type of maximum “30” digits or alphabet in display. 2. Enter_pass This has both “Integer” and “Text” data type of maximum “30” digits or alphabet in display.
  • 85.
    85 | Pa g e System Security Measures
  • 86.
    86 | Pa g e This project is single user multitasking project. We think to give facility of change it means that three user can monitor this project. So we can secure login for this project. In that project, first of all, we think to give facility of change password to user. But in hall management the owner hire a record keeper to operate this software .In this application after login by user the login page is hiding and homepage is show. It all forms are close i.e. whole application is close and them user reopen this application then user must login to open homepage or operate it.
  • 87.
    87 | Pa g e Implementation, Evaluation and Maintance
  • 88.
    88 | Pa g e SYMPLIFY WORK :- In our purposed HALL BOOKING SYSTEM The main advantage is quicker entries of data in database. This complex job is made easy by this application .this is because proposed system is designed in such way that the user SAVE TIME AND MONEY :- In our purposed HALL BOOKING SYSTEM is designed in such way that user has to make entry just at click on button.this application saves times due to above reason. MORE ACCURACY :- In our purposed HALL BOOKING SYSTEM, The In accuracy maintain by administrator . The administrator is able to maintain the accuracy like search record. MAINTAIN LARGE AMOUNT OF DATA :- In our purposed HALL BOOKING SYSTEM, Will maintain the record like Hall entry, Customer Entry, Book Entry. This is very easy task to maintain any information in database. USE FRIENDLY :- In our purposed HALL BOOKING SYSTEM, Many facilities are available in this application. Any person can access this application easily.
  • 89.
    89 | Pa g e Future Scope of the Project
  • 90.
    90 | Pa g e HALL BOOKING is among the fastest growing sectors in both developed and emerging economics. Hence, the use of hall is increasing day by day .due to increase scope of hall management it is difficult to work manually. Hence this concept has more future scope of hall management future User can submit his requirement of Hall and it directly displayed to owner. Good amount of user friendliness has been incorporated in this system. It is possible to exploit these features to get the details of not only seminar hall but also the total number of blocks and which contains the total list of the hall in a block wise. The process is suitable to extend the kind of task and the number of more process. When owner login to website User can display the user details and requirement in calendar and he can online show the conformation of booking for particular owner. After submitting the requirement of user, owner can receive message that he has received enquiry of user and details of user as well as user get the message that he/she want to book the Hall is conformed or not. We will add the payment gateway for payment of Hall. Hence the user can directly do the payment online to the owner’s bank account.
  • 91.
    91 | Pa g e Suggestion and Conclusion
  • 92.
    92 | Pa g e In the previous work User can only search the details of Halls and can check the availability of Hall .Now a days people are very busy in our life if they want to book a Hall for function purpose they have to spend more time and money for searching the Hall according to their requirement. So we can implement this web portal for booking of Halls The project entitled ”HALL BOOKING SYSTEM” was successfully executed. This system replaces the existing system with more features. The system provides security to user documents. However, the possibilities for innovation are infinite and scope for development is innumerable. The future extension can be made to provide more option in this application.
  • 93.
    93 | Pa g e Bibliography and Reference
  • 94.
    94 | Pa g e BIBLIOGRAPHY For the compiliation of the project “HALL BOOKING SYSTEM” Here, We designed a website for reducing the time and money of user for searching a Hall in city .Using this website User can find the Hall in specific area. And also view the detailed information about any Hall. Also in this website User can view the booked date of Halls. User can also book the Hall using this website. Using this website user can save their time and money and can easily book the Hall according to their requirement.
  • 95.
    95 | Pa g e REFERENCE We have taken reference from the verity of book related to PHP AND MY SQL, which helped us a lot for the successful completation of this project. This books referred are as follows: 1)System Analysis & Design -Elias M. Award (Galgotia Publication(p)Ltd.) 2)Analysis & Design Of Information System -V.Rajaraman (PHI Publication) 3) Database Management System -C.S.V.Murthy (Himalaya Publication Ltd.)
  • 96.
    96 | Pa g e Reference Acharya, Kamal. "STUDENT INFORMATION MANAGEMENT SYSTEM." Authorea Preprints (2023). Acharya, Kamal. "Library Management System." Available at SSRN4807104 (2019). ACHARYA, KAMAL, et al. "LIBRARY MANAGEMENT SYSTEM." (2019). Acharya, Kamal. "Online bus reservation system project report." Authorea Preprints (2024). Acharya, Kamal. "Online bus reservation system project report." (2024). Acharya, Kamal. “Online Bus Reservation System.” SSRN ElectroNIC ASIA Journal (2024): n. pag. Acharya, Kamal. “Student Information Management System Project.” SSRN ElectroNIC ASIA Journal (2024): n. pag. Acharya, Kamal. “ATTENDANCE MANAGEMENT SYSTEM.” International Research Journal of Modernization in Engineering Technology and Science (2023): n. pag. Acharya, Kamal. “College Information Management System.” SSRN ElectroNIC ASIA Journal (2024): n. pag. Acharya, Kamal, Attendance Management System Project (April 28, 2024). Available at SSRN: https://ssrn.com/abstract=4810251 or http://dx.doi.org/10.2139/ssrn.4810251 Acharya, Kamal, Online Food Order System (May 2, 2024). Available at SSRN: https://ssrn.com/abstract=4814732 or http://dx.doi.org/10.2139/ssrn.4814732 Acharya, Kamal, University management system project. (May 1, 2024). Availableat SSRN: https://ssrn.com/abstract=4814103 or http://dx.doi.org/10.2139/ssrn.4814103 Acharya, Kamal, Online banking management system. (May 1, 2024). Available at SSRN: https://ssrn.com/abstract=4813597 or http://dx.doi.org/10.2139/ssrn.4813597 Acharya, Kamal, Online Job Portal Management System (May 5, 2024). Available at SSRN: https://ssrn.com/abstract=4817534 or http://dx.doi.org/10.2139/ssrn.4817534 Acharya, Kamal, Employee leave management system. (May 7, 2024). Available at SSRN: https://ssrn.com/abstract=4819626 or http://dx.doi.org/10.2139/ssrn.4819626 Acharya, Kamal, Online electricity billing project report. (May 7, 2024). Available at SSRN: https://ssrn.com/abstract=4819630 or http://dx.doi.org/10.2139/ssrn.4819630 Acharya, Kamal, POLICY MANAGEMENT SYSTEM PROJECT REPORT. (December 10, 2023). Available at SSRN: https://ssrn.com/abstract=4831694 or http://dx.doi.org/10.2139/ssrn.4831694 Acharya, Kamal, Online job placement system project report. (January 10, 2023). Available at SSRN: https://ssrn.com/abstract=4831638 or http://dx.doi.org/10.2139/ssrn.4831638 Acharya, Kamal, Software testing for project report. (May 16, 2023). Available at SSRN: https://ssrn.com/abstract=4831028 or http://dx.doi.org/10.2139/ssrn.4831028 Acharya, Kamal, ONLINE CRIME REPORTING SYSTEM PROJECT. (August 10, 2022). Available at SSRN: https://ssrn.com/abstract=4831015 or http://dx.doi.org/10.2139/ssrn.4831015 Acharya, Kamal, Burber ordering system project report. (October 10, 2022).
  • 97.
    97 | Pa g e Available at SSRN: https://ssrn.com/abstract=4832704 or http://dx.doi.org/10.2139/ssrn.4832704 Acharya, Kamal, Teachers Record Management System Project Report (December 10, 2023). Available at SSRN: https://ssrn.com/abstract=4833821 or http://dx.doi.org/10.2139/ssrn.4833821 Acharya, Kamal, Dairy Management System Project Report (December 20, 2020). Available at SSRN: https://ssrn.com/abstract=4835231 or http://dx.doi.org/10.2139/ssrn.4835231 Acharya, Kamal, Electrical Shop Management System Project (December 10, 2019). Available at SSRN: https://ssrn.com/abstract=4835238 or http://dx.doi.org/10.2139/ssrn.4835238 Acharya, Kamal, Online book store management system project report. (Febuary 10, 2020). Available at SSRN: https://ssrn.com/abstract=4835277 or http://dx.doi.org/10.2139/ssrn.4835277 Acharya, Kamal, Paint shop management system project report. (January 10, 2019). Available at SSRN: https://ssrn.com/abstract=4835441 or http://dx.doi.org/10.2139/ssrn.4835441 Acharya, Kamal, Supermarket billing system project report. (August 10, 2021). Available at SSRN: https://ssrn.com/abstract=4835474 or http://dx.doi.org/10.2139/ssrn.4835474 Acharya, Kamal, Online texi booking system project report. (March 10, 2022). Available at SSRN: https://ssrn.com/abstract=4837729 or http://dx.doi.org/10.2139/ssrn.4837729 Acharya, Kamal, Online car servicing system project report. (March 10, 2023). Available at SSRN: https://ssrn.com/abstract=4837832 or http://dx.doi.org/10.2139/ssrn.4837832 Acharya, Kamal, School management system project report. (July 10, 2021). Available at SSRN: https://ssrn.com/abstract=4837837 or http://dx.doi.org/10.2139/ssrn.4837837 Acharya, Kamal, Furniture Showroom Management System Project Report (March 21, 2021). Available at SSRN: https://ssrn.com/abstract=4839422 or http://dx.doi.org/10.2139/ssrn.4839422 Acharya, Kamal, Online Vehicle Rental System Project Report (March 21, 2019). Available at SSRN: https://ssrn.com/abstract=4839429 or http://dx.doi.org/10.2139/ssrn.4839429