GLYCOSIDES
PART 1: INTRODUCTION
AND BIOSYNTHESIS
GENERAL STRUCTURE
•Glycosides are inactive sugars (glycone) bonded to a
non-sugar active portion (aglycone/genin)
•Usually an ether (R-O-R’)
•Other bonds such as R-C-R’ (C-glycosides), R-N-R’ (N-
glycosides) and R-S-R’ (S-glycosides) are possible
GENERAL STRUCTURE
•Both α and  glycosides are possible; only  form
occurs in plants
•Hydrolysable by mineral acids or enzymes such as
myrosin or emulsin (only target the beta forms of
glycosides)
BIOSYNTHESIS
•Aglycones – too different to be generalized
• Two important pathways include the mevalonate pathway
and shikimic acid pathway
•Glycone – from photosynthesis
• Actual glycoside - formation of UDP-sugar then
condensation with the aglycone
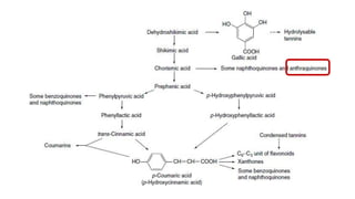
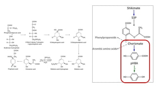
SHIKIMIC ACID PATHWAY
• Gives rise to aromatic
amino acids
• Present in plants but
NOT animals
• The prephenic acid
branch can also give rise
to the
phenylpropanoids
(shortcut: C6-C3’s)
• Many glycosides and
volatile oils are
classified as
phenylpropanoids
Isoprenoid synthesis: Mevalonate (MVA) Pathway
Alternative to mevalonate: The MEP/DOXP Pathway
• The MEP/ DOXP pathway is
found in plants, bacteria, and
Plasmodium
• Not found in animals
• Plants do both MEP (plastids)
and MEV (cytosol)
LIGNANS
•Lignans are single molecules created by union of two
phenylpropanoid molecules (see above)
•Lignin - polymeric substance that assists cellulose in
strengthening cell walls
• Important lignans include silymarin derivatives (see flavonoid
glycosides) and podophyllotoxin (will be revisited in resins)
PART 2:
GLYCOSIDES
OUTLINE Glycosides related to the
Shikimic Acid Pathway
From chorismate:
A) Anthraquinone
B) Phenol
C) Alcohol
From prephenate:
D) Aldehyde
E) Lactone
F) Flavonoid
Glycosides related to the
Mevalonic Acid Pathway
F) Saponins
G) Cardiac glycosides
Other Glycosides
H) Cyanophores
I) Glucosinolates
J) Miscellanous
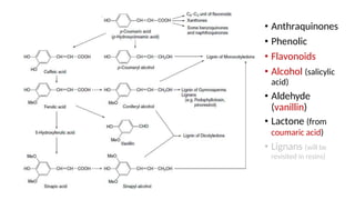
2A) GLYCOSIDES RELATED TO THE SHIKIMIC
ACID PATHWAY
• Anthraquinones
• Phenolic
• Flavonoids
• Alcohol (salicylic
acid)
• Aldehyde
(vanillin)
• Lactone (from
coumaric acid)
• Lignans (will be
revisited in resins)
Hydroquinone
• Anthraquinones
• Phenolic
• Flavonoids
• Alcohol (salicylic
acid)
• Aldehyde
(vanillin)
• Lactone (from
coumaric acid)
• Lignans (will be
revisited in resins)
A) ANTHRAQUINONE GLYCOSIDES
• Aglycones are oxidized forms of anthracene
• Can be classified as
• anthraquinones (2 =O)
• oxanthrones (1 -OH and 1 =O) - Cascara
• anthranols (1 -OH) - Andira araroba
• anthrones (1 =O)
• dianthrones (two anthrones bonded) - Cassia, Rheum,
Rhamnus
• Being aromatic, it is expected they come from shikimic acid
(chorismate branch)
• Others come from a different pathway (polyketide pathway)
3 4
A) ANTHRAQUINONE GLYCOSIDES
•Orange-red colored compounds
•Soluble in dilute alcohol and boiling/hot water
•Give a red, violet, or green color with a base (ex.
NH3/NaOH)
• Basis of Borntrager’s test
•Characteristic of their cathartic action, except for
chrysarobin, which is too irritating to the GIT
A) ANTHRAQUINONE GLYCOSIDES
BORNTRAGER’S TEST
• Involves extraction using organic solvent followed by addition of base
• (+) red color on the lower alkaline layer
• (-) indicates a very stable form of anthraquinone esp. the reduced types of
anthranol (the sample must be hydrolyzed and oxidized first)
MODIFIED BORNTRAGER’S TEST:
• Uses additional ferric chloride/peroxide to force oxidative hydrolysis
• (+) pink or red color in the alkaline layer
• indicates the presence of a very stable type of anthraquinone
1) SACRED BARK
Synonyms: Cascara sagrada
Scientific Name: Rhamnus purshianus
Family: Rhamnaceae
Constituents: Barbaloin (Cascarosides A and B), chrysaloin
(Cascarosides C and D)
Uses:
• Cathartic for habitual constipation restores natural tone of the colon)
• Casanthranol is purified mixture of the anthranol glycosides, and is
combined with surfactants or hydrocolloids
• Should be aged for at least 1 year prior to use
• Toreduce its bitter taste, cure with MgO or alkaline earths
2) FRANGULA
Synonyms: Alder buckthorn
Scientific Name: Dried bark of Rhamnus frangula
Family: Rhamnaceae
Constituents: Frangulin, glucofrangulin
Use: Cathartic
Note: “Movicol” = frangula + karaya
• Not commonly used in the local setting
3) ALOE
Synonyms: Sabila
Scientific Name: Dried latex leaves of Aloe
barbadensis (Curacao aloe) Aloe ferox/
Aloe spicata (Cape aloe)
Aloe perryi (Zanzibar/Socotrine aloe)
Family: Liliaceae
Constituents: Barbaloin, emodin, aloe emodin
Use: Cathartic, used for compound benzoin tincture
• Aloe vera Gel: treatment of burns, abrasions, skin irritations,
purgative, alopecia
• Stabilized aloe is used for lotion or yogurt production
O
OH O OH
HO R
EMODIN R-CH3
EMODIC ACID R-COOH
OH O OH
R' R
O
ALOE EMODIN
R -CH2OH R ' = 1
PHYSICON R=C H3 R' = OCH3
4) RHUBARB
Scientific Name: Rheum officinale, R. palmatum, R. raponticum
Family: Polygonaceae
Constituents: Rhein anthrones (at 2.2%), glucorhein, glucogallic acid
• Rhanponticin - adulterant from rhapontic rhubarb – blue fluorescence
Types:
• High-grade (Chinghai, Shensi-type)
• Medium grade (Canton-type)
• Third grade
Use: For jaundice, kidney stones
5) SENNAS/ SLIMMING TEA
Source: Dried leaflets of
• Cassia angustifolia (Tinnevelly senna)
• Cassia acutifolia (Alexandria senna)
Family: Fabaceae
Determination:
• Alexandria: pink w/ MgOAc in daylight, green-orange in filtered uv
• Tinnevelly: orange w/MgOAc in daylight, yellow-green in filtered uv
5) SENNAS/ SLIMMING TEA
Constituents: Sennosides A and B (major),
sennosides C and D (minor)
Use: Very potent cathartic (more so than
cascara sagrada)
• Cultivated on wet lands resembling rice
paddies; as successor to rice
• Adulterated with Argel leaves
(Solenostemma arghel)
• Blue-green leaves are the best quality, while
yellow ones are the poorest quality
6) GOA POWDER
Scientific Name: Andira araroba
Family: Fabaceae
Constituents: Chrysarobin (anthranol-type)
Use: Keratolytic agent, for psoriasis, trichophytosis, eczema
Notes:
• Chrysarobin is extracted by hot benzene
• Chrysarobin is the only anthraquinone glycoside too irritating
for oral use
• Anthralin has replaced the use of chrysarobin
7) ST. JOHN’S WORT (SJW)
Scientific Name: Hypericum perforatum
Family: Hypericaceae
Constituents: Hyperforin, hypericin
• Hyperforin is a prenylated ring –acts as reuptake inhibitor ->
increase neurotransmitters
• Was once dubbed as “Nature’s Prozac”
• [What is Prozac?]
• Claims to treat depression
• SJW is a well-known enzyme inducer
• Enzyme inducers increase drug metabolism and can
potentially lower drug DoA and/or efficacy
• Hyperforin is a well-known natural product that induces CYP
enzymes
8) ANTHRAQUINONES AS PIGMENTS
Danthron (Chrysazin/ 1,8-dihydroxyanthraquinone)
• Cathartic
• For production of anthralin and indanthrene dyestuffs
Cochineal
• Dried female insect of Dactylopius coccus
• Carminic acid
• Colorant
B) PHENOL GLYCOSIDES
• Aglycone is a phenolic group
• Detected by Millon’s Test
(+) peach/salmon/pink-colored Hg complex of nitrophenyl derivative
• NOTE: Most tannins and flavonoids are also phenol glycosides
by technicality (their structures are intrinsically phenolic too)
• Being aromatic, it is expected they come from the Shikimic
acid pathway (chorismate branch)
1) BEARBERRY
Synonyms: Rockberry
Scientific Name: Arctostaphylos uva-ursi
Family: Ericaceae
Constituents: Arbutin, ericolin
• Hydrolysis of arbutin yields hydroquinone
Use: Diuretic, astringent and antiseptic
• Arbutin has some tyrosinase-inhibiting effect
• Skin-lightening potential
C) ALCOHOL GLYCOSIDES
• Aglycone is a hydrocarbon bearing an alcohol moiety ROH
• Dominated by the salicylates
• NOTE: Salicylates are alcohols AND phenols at the same time – some
books may classify them under phenols
• Detected by Ester Formation
• C2H5OH + CH3COOH ----> CH3COOC2H5
Salicylates (aromatic) also stem from the
chorismate branch of the shikimic acid pathway
1) WILLOW
Scientific Name: Salix purpurea and S. fragilis
Family: Salicaceae
Constituents: Salicin (also found in poplar)
• Salicin is hydrolyzed to yield salicylalcohol by emulsin
• Salicylalcohol can be oxidized in the lab to yield salicylic acid
• Antirheumatic, anti-inflammatory
Salicin and the birth of aspirin:
2) POPLAR
Scientific Name: Populus tremuloides
Family: Salicaceae
Constituents: Populin (benzoylsalicin)
Use: Quinine substitute
• Expectorant, antipyretic, analgesic
• Common ingredient of herbal cough mixtures
D) ALDEHYDE GLYCOSIDES
• Aglycone is a hydrocarbon bearing the formyl group CHO
• Represented by vanillin
• Synthesized under the prephenate branch
Several steps take
place to convert
prephenate to
coumaric acid, and
finally to vanillin:
D) ALDEHYDE: QUALITATIVE TESTS
a) Fehling’s Test – uses Cu2SO4
• (+) Cu2O brick red ppt
b) Nessler’s Test – uses alkaline K2HgI4
• (+) gray ppt of Hg
c) Tollen’s Test – uses ammioniacal AgNO3
• (+) gradual deposition of silver mirror
d) Schiff’s Test
• Complexation reaction
• Magenta-red color restored if there’s a aldehyde
1) VANILLA
• Unripe fruit of Vanilla planifolia (Mexican/ Bourbon
vanilla) or Vanilla tahitensis (Tahitian) [Orchidaceae]
• Contains glucovanillin (avenein)
• Vanilla must undergo sweating to release odor (hydrolysis
of glucovanillin to yield vanillin)
• Vanillin can be artificially made using eugenol (clove) or more
commonly today, guiacol (Pinaceae)
• Vastly used in food, perfumery, and cosmetics
• Vanilla is the SECOND most expensive spice in the world!
• Mexican/Vera cruz – best variety
• Bourbon – coumarinlike odor
• Tahiti – reddish brown, unpleasant odor
F) LACTONE GLYCOSIDES
•Aglycone contains a lactone (cyclic ester) portion
•Involves derivatives of coumarin, phenylpropanoids
that originate from cinnamic and coumaric acids
F) LACTONE GLYCOSIDES: QUALITATIVE TESTS
1) Kedde’s Test – for unsaturated lactones
Reagent: 3,5-dinitrobenzoic acid in NaOH
(+) blue-violet/amethyst color
2) Chromatography – for saturated lactones
Can utilize the following spray reagents:
a) Folin Ciocalteau - for catechol & hydroquinone type
(+) blue spots
b) Vanillin-HCl - for resorcinol & phloroglucinol type
(+) pink spots
c) Gibb’s reagent
(+) various colors of different phenols (2,6-dichloroquinone-4-chloroimide)
1) COUMARIN (compound)
Sources:
Use:
• Coumarin is hydroxycinnamic acid lactone, usually used as flavoring
agents (especially of tonka)
• Tonka is used in tobacco manufacture and in perfumery (replaced by
synthetic coumarin)
• Dicumarol, or dihydroxylated coumarin, obtained from Melilotus
officinalis and used as an anticoagulant
1) Tonka beans Dipteryx odorata
2) Sweet clover Melilotus albus
3) Red clover Trifolium pretense
4) Sweet vernal grass Anthoxanthum odoratum
5) Sweet-scented
bedstraw
Galium trifolium
obtained from http://www.animalresearch.info/en/drug-
development/drug-prescriptions/worfarin-sodium-anticoagulant/
Red clover
• For psoriasis and eczema, and
expectorant
• Isoflavones used for HRT
Horse chestnut tree
(Aesculus hippocastanum)
• Aesculin, aesculetin
• Anticoagulant (now prepared
synthetically)
1) Tonka beans Dipteryx odorata
2) Sweet clover Melilotus albus
3) Red clover Trifolium pretense
4) Sweet vernal grass Anthoxanthum odoratum
5) Sweet-scented bedstraw Galium trifolium
Melilot
(Melilotus officinalis, Fabaceae)
• Yellow papilionaceous flower
• Improperly cured leaves and
flowering tops
• Melilotoside, melilotic acid,
caffeic acids
2) SPANISH FLY
Synonyms: Blistering flies/ Cantharides
Scientific Name: Cantharis vesicatoria
(Other name: Lytta vesicatoria)
Constituents: Cantharidin
Note: The bugs are killed by vinegar, by fumes of weak acids (like
vinger) or base (like ammonia) – then preserved in organic solvent
• Rubefacient, vesicant (for warts), urinary irritant resulting to
priapism and thus usable as aphrodisiac
• In excess, can cause renal failure and fatality
3) BISHOP’S FLOWER
Synonyms: Laceflower
Scientific Name: Ammi majus
Family: Apiaceae
Constituents: Methoxsalen aka xanthotoxin (a
photosensitizing furocoumarin)
Uses:
• Repigmentation in idiopathic vitiligo, control of psoriasis
• Has risk of cancer, cataract, and actinic skin degeneration
4) GRAPEFRUIT JUICE
Scientific Name: Citrus paradisi
Family: Rutaceae
Constituents: Bergamottin, bergapten
• Inhibit CYP enzymes (especially CYP3A4)
F) FLAVONOID GLYCOSIDES
• “C6-C3-C6 ” compounds arising from the phenylpropanoid
(prephenate) branch of the shikimate pathway
• Most have the gamma-benzopyrone as nucleus
• Exception: benzofuranone in aurones
Classifications:
• Chalcone
• Aurone
• Flavanone
• Flavone
• Flavonol
(ex. quercetin)
• Flavan-3-ol
(ex. catechin)
• Leucoanthocyanidin
(flavan-3,4-diols)
• Isoflavone
• Anthocyanidin
F) FLAVONOID GLYCOSIDES
• Flavonoids or bioflavonoids from Citrus fruits and Soya
• Largest group of naturally occurring phenols
• “Flava” – yellow (flavonoids dissolve in alkali, giving yellow solution;
in acid, it becomes colorless)
• Chalcones (“copper”) are the yellow pigment in plant flowers
• Anthocyanidins - aglycones
• “Anthocyanins” – proper term for the glycosides
• Sap pigments (color of plant is determined by pH of the sap)
• Ppt in aqueous solution as Pb salts or picrates
• Add 20% HC = hydrolyzes , crystallizes
• Bilberry (Vaccinium myrtillus, Ericaceae) – source of anthocyanins
F) FLAVONOID GLYCOSIDES
Significant flavonoids
1) Hesperitin, diosmin and naringen
• Anti-H. pylori
2) Isoflavonoids – richest in soy
• Along with some coumestans and
lignans, are called "phytoestrogens"
3. Quercetin (glycoside: quercitrin)
• Commonly used standard for total
flavonoid content
F) FLAVONOID GLYCOSIDES
4. Vitamin P
• “Permeability factors”
• Originally assumed to be "citrin" in
paprika/ lemon peel
• Actually a combination of rutin +
hesperidin
• Rutin – yields quercetin,
rhamnose, glucose
• Hesperidin – yields hesperitin,
rhamnose, glucose
• For treatment of capillary bleeding
and increased capillary fragility
• For HTN, radiation injuries
F) FLAVONOID GLYCOSIDES: QUALITATIVE
TESTS
1) Wilstatter “cyanidin” test – uses HCl
• for the presence of gamma benzopyrone nucleus
• (+) orange to red to crimson & magenta occasionally green/blue
2) Bate-Smith & Metcalf test - uses HCl
• (+) immediate red = presence of chalcones & aurones
• If no color is produced, boil sample
• Intense red color/ violet = leucoanthocyanins
3) Test for anthocyanins: extract with 1% HCl then boil
• (+) at boiling point, an orange red to blue red coloration
1) MILK THISTLE
Synonyms: Carduus marianus
Scientific Name: Silybium marianum
Family: Asteraceae
Silbinin (a mix of silybin A and silybin B) – flavolignans that
have hepatoprotective effect
F) FLAVONOID GLYCOSIDES
2) SOY ISOFLAVONES (Glycine soja)
• Genistein, daidzein, glycitein
• Prevents onset of atherosclerosis
• Can also increase memory and mental flexibility
• Alternative for menopausal symptoms (estrogenic activity)
3) TEA CATECHINS (Camellia sinensis)
• 30-42% of dry weight of tea are flavonoids
• Controls lipid levels, prevents atherosclerosis and coronary disease
• Epigallocatechin gallate (EGCG) - potential anticancer effects
F) FLAVONOID GLYCOSIDES
4) CACAO
• Contains catechins and procyanidins (10x
greater than in cranberry)
• Prevents atherosclerosis
5) CRANBERRY
• Contains procyanidins and other flavonoids
and polyphenols
• Prevents adhesion of UTI-causing microbes
such as E. coli and H. pylori in GIT and teeth
• Potential use in periodontal diseases
2B) GLYCOSIDES RELATED TO THE
MEVALONIC ACID PATHWAY
• Steroidal saponins
• Triterpenoid saponins
• Cardiac glycosides
• Terpenes and carotenoids
(will be revisited in resins, volatile
oils, and vitamins)
G) SAPONINS
• Aglycones are called the sapogenins (if toxic – “sapotoxin”)
• Neutral/ Steroidal – tetracyclic; present in monocots
• Acidic/ Triterpenoid – pentacyclic; present in dicots
G) SAPONIN GLYCOSIDES
3 Main Properties
a) Foams/lathers in aqueous solution
b) Hemolyzes red blood cells
c) Lowers surface tension of solution
• Forms complex with metal solutions like those of barium and
lead (complex has beige to brown color)
• One of the most toxic plant principles
• Irritating to the mucus membranes
• Toxic to cold-blooded animals (fish poisons)
G) SAPONIN GLYCOSIDES: QUALITATIVE TESTS
1. Froth test – foam / lather formation
• Honeycomb froth persisting for 10 minutes above 2 cm is positive
for saponins
• If froth is unstable add aqueous Na2CO3 to neutralize the free acids
2. Liebermann–Burchard test
• For steroidal saponins in monocots - (+) blue or green
• For triterpenoidal saponins in dicots - (+) red, pink or violet
• Pale yellow if saturated sterol or triterpenoid is present
1) YAM
Scientific Name:
Dioscorea alata
D. spiculiflora
D. floribunda (Mexican Yam)
Family: Dioscoreaceae
Constituents: Botogenin, diosgenin (steroidal saponins)
Uses:
• Diosgenin is used for production of corticosteroids (specifically
sex hormones)
• D. floribunda is the best source of steroids
2) SARSAPARILLA
• Scientific Name:
• Smilax aristolochiaefolia (Mexican sarsaparilla)
• Smilax regellii (Honduras sarsaparilla)
• Family: Liliaceae
• Constituents: Smilagenin, sarsasapogenin, parillin
(steroidal saponins)
• Claims of use for syphilis, rheumatism, skin diseases,
psoriasis, eczema
• Suggested to come from sarsaparilla’s steroid content
3) GINSENG
Scientific Name:
Panax ginseng (Asian ginseng)
Panax quinquefolius (American ginseng)
Family: Araliaceae
Constituents: Ginsenosides, panaxosides, chikusetsusaponins
(all steroidal saponins)
• Aphrodisiac and an adaptogen ( resistance to stress)
• Tx of anemia, diabetes, gastritis, sexual impotence
• “Ginseng of Europe”: Chamomile - leaflets of Matricaria chamomila
4) LIQUORICE
Source: Dried roots/stolons of
Glycyrrhiza glabra (Fabaceae) var.
glandulifera - Russian var. β-
violacea – Persian
Glycyrrhyzin/ glycyyrhizic acid– 50x sweet as sugar
• Hydrolyzed to glucuronic acid and glycyrrhetic acid (see figure)
• Expectorant, flavoring agent, mask taste of bitter drugs (paralyze taste buds),
increases the foaminess of beer
• Glycyrrhetic acid: anti-inflammatory, for PUD, for Addison’s disease
• Caution in people with HTN: causes fluid/Na+ retention, reduces K+
5) QUILLAJA/ SOAPBARK
• Dried inner bark of Quillaja
Saponaria (Rosaceae)
• Contains “quillaja saponin” (10%)
• Detergent, emulsifier
* Gugo (Box bean, St. Thomas bean)
• Entada phaseoloides (Fabaceae)
• Used during historical times
H) CARDIAC GLYCOSIDES
• Aglycones have a steroid portion (CPPP nucleus)
• Contain a variety of deoxysugars at C3
• The steroid always has a OH at C14
• Further classified based on lactone attached on C17
H) CARDIAC GLYCOSIDES
Cardenolide
• Five-member unsaturated lactone
• Usually found in plants
• More common in nature
Bufadienolide / bufanolide
• Six-member unsaturated lactone
• Usually found in animals
• or plants, scillaren (from squill)
H) CARDIAC GLYCOSIDES
• Have specific action on the cardiac tissues; they increase force of
systolic contraction
• Inhibit Na+/K+ ATPase, thereby increasing the Ca+2 inside the
heart muscles (positive inotropic effect)
H) QUALITATIVE TESTS
1. Keller Kiliani Test - for
presence of deoxy sugar
(+) blue or violet coloration
after standing
2. Liebermann Burchard Test
- for unsaturated sterol
• Reagent: Conc. H2SO4 + acetic
anhydride
(+) green/ blue (pale yellow
if saturated sterol)
3. Salkowski’s Test – for sterol
• Reagent: Conc. H2SO4
(+) red or violet
4. Kedde’s test - lactone
• Reagent: 3,5-dinitrobenzoic
acid
• Standard: 0.025% digitoxin
in MeOH
(+) blue–violet
1) FOXGLOVE
Scientific Name:
Digitalis purpurea
Digitalis lanata (Grecian)
Family: Plantaginaceae
Constituents:
Purpurea: digitoxin & gitoxin (two most active), gitaloxin
Lanata: digoxin and lanatosides
Use: For heart failure and arrhythmias
• Digoxin: more polar, shorter
half-life (30 to 40 hours),
excreted via kidneys (Lanoxin®)
• Digitoxin: very lipophilic, longer
half-life (168 to 192 hours)
Digitalis
pupurea
Digitalis
lanata
Other name Foxglove Grecian
Foxglove
Constituents Digitoxin,
gitoxin,
gitaloxin
Digoxin,
deslanoside
(desacetyl-
lanatoside)
2) STROPHANTHUS
Scientific Name: Strophanthus kombe
Family: Apocynaceae
Constituents:
• G-Strophanthin (aglycone: ouabagenin)
• K-Strophanthin (aglycone: strophanthidin)
Use: For heart failure and arryhthmias, arrow poisons (historical)
• Ouabain/G strophanthin (from Strophanthus gratus or Acokantheria
schimperi) was proposed to be an endogenous cardiac glycoside
based on studies on Na-K ATPase
• Lewis, L. K., Yandle, T.G., Hilton, P.J., Jensen, B. P.,Begg, E. J., & Nicholls, M. G. (2014).
Endogenous ouabain is not ouabain. Hypertension, 64(4), 680-683.
3) OLEANDER
Source: Nerium oleander (Apocynaceae)
Constituents: Oleandrin
• Oleandrin and digitalinum verum
• Causes many cases of poisoning worldwide
(some fatal, resulting from suicide)
3b) YELLOW OLEANDER
• Thevetia peruviana (Apocynaceae)
• Contains thevetin
• Used for mild myocardial insufficiency
OTHER CARDENOLIDES
4) LILY OF THE VALLEY
• Convallaria majalis (Apocynaceae)
rhizome and root
• Convallarin, convallatoxin
• Ornamental, cardiotonic
5) PHEASANT’S EYE/ FALSE HELLEBORE
• Adonis vernalis (Ranunculaceae)
Adonitoxin, cymarin
• Acts similarly to strophanthus
• Cardiotonic, tranquilizer
6) BLACK INDIAN HEMP
• aka Dogbane, Canadian Hemp
• Apocynum canabinum
(Apocynaceae) rhizome and root
• Cymarin
6) NIGHT BLOOMING CACTUS
• Selenicereus grandiflorus
(Cactaceae)
• Cardiotonic, antidepressant
8) SQUILL
Synonyms: Dried sliced bulb of the white
variety of Urginea maritima (Liliaceae)
Scientific Name: Urginea maritima
Family: Asparagaceae
Constituent: Scillarens
Red squill: red variety of U. maritima
(used as rat poison – lack the vomiting reflex)
8) SQUILL
• Scillarens – glycosides of squill
• Scillaren A - most important
• Hydrolyzed by scillarenase to
proscillaridin A and glucose
• Proscillaridin is further hydrolysed to
scillaridin A (scillarenin) and rhamnose
• Mild gastric irritation causing
secretion from bronchioles - for
expectorant effect
• Also emetic, cardiotonic, diuretic
9) BLACK HELLEBORE/ CHRISTMAS ROSE
Source: Rhizome and root of Helleborus niger
(Ranunculaceae)
Constituents: hellebrin, helleborin
• Has digitalis-like action
• Abortifacient, cardiotonic
* Green Hellebore: cardiac depressant
2C) OTHER GLYCOSIDES
I) CYANOGENIC GLYCOSIDES/ CYANOPHORES
• Aglycones are derived from phenylalanine, including both
the aromatic ring and the cyanide portion
• Cyanophores are cleaved by the enzyme emulsin
• They give a characteristic bitter almond/peach kernel odor,
and are found in bitter almonds, apricots, cherries, peaches,
plums and other rosaceous seeds.
I) CYANOPHORES: QUALITATIVE TEST
•Guignard’s test – non specific test for cyanophore
because there are other substances that can liberate H2S,
SO2 oraldehyde.
• Uses sodium picrate paper
• (+) brick red or any shade of red
(within 15 minutes ONLY – if the color change occurs after 3 hours,
it is negative)
• HCN has an odor of bitter almond / peach kernels
BREAKDOWN OF AMYGDALIN
•Emulsin (amygdalase + prunase) – complete enzyme
1) WILD CHERRY/ PRUNUS VIRGINIANA
Scientific Name: Prunus serotina
Family: Rosaceae
Constituents: Amygdalin
• Vehicle for cough preparations
• Sedative, expectorant, antitussive
• Recent data show potential antigout activity
• Laetrile (“vitamin B17”) – amgydalin derivative with anticancer
claims (highly disputed for decades, even until now!) and
possibility for sickle cell anemia control
• Risk of cyanide poisoning
2) OTHER PRUNES
Include the following:
• Almond (Prunus amygdalus)
• Apricot (Prunus armeniaca)
• Peach (Prunus persica)
J) ISOTHIOCYANATE
GLYCOSIDES/ GLUCOSINOLATES
• Aglycones are usually hydrocarbons, aliphatic or aromatic,
with a thiocyanate group (SCN)
• Their is related to synthesis of cyanophores, but with use of
sulfur-containing amino acids
• Glucosinolates are cleaved by the enzyme myrosin
• They give a characteristic mustard smell
• Found in cruciferous plants of the family Brassicaceae.
SINALBIN
↓
↓
ACRINYL ISOTHIOCYANATE
Myrosin/Myrosinase acrinyl
SOURCES OF ISOTHIOCYANATE
GLYCOSIDES
1. Mustard (Black mustard) (Sinapis Nigra) (Brown Mustard)
- The dried ripe seed of Brassica nigra (Cruciferae)
Chemical constituent:
1. Sinigrin (Potassium myronate)- upon hydrolysis with the help of enzyme Myrosinase
allyl will yield Allyl isothiocyanate (more volatile mustard oil)
- Uses:
● Local irritant
● Emetic
● Rubefacient
● Vesicant
● Condiment (kitchen use)
SOURCES OF ISOTHIOCYANATE
GLYCOSIDES
2. White Mustard (Sinapis Alba)
- The dried ripe seed of Brassica Alba (Cruciferae)
Chemical Constituent: Sinalbin - (less volatile mustard)oil)
J) GLUCOSINOLATES: QUALITATIVE TESTS
1) Odor test - for the volatile type
ex. Allicin (in garlic)
2) Ferric chloride test - for the non-volatile type
• Fe(SCN)3 - blood red
Garlic contains allicin (a volatile oil). Though not a glycoside, allicin can
be grouped with glucosinolates for containing sulfur.
ID test of garlic :
• 10 mL 1N NaOH + 10mL water + heat
• use sodium nitroferricyanide (nitroprusside)
• red or orange color
1) BLACK MUSTARD
Synonyms: Sinaplis nigra, brown mustard
Scientific Name: Brassica nigra
Family: Brassicaceae
Constituents: Sinigrin (potassium myronate)
• Gives rise to highly volatile aglycone allyl isothiocyanate
after hydrolysis by myrosin
Use: Local irritant, emetic, rubefacient, and vesicant,
condiment
• Sinigrin is also found in Japanese horseradish (Eutrema japonicum)
2) WHITE MUSTARD
Synonyms: Sinapis alba
Scientific Name: Brassica alba
Family: Brassicaceae
Constituents: Sinalbin (less volatile, pungent tasting)
• Gives rise to aglycone acrinyl isothiocyanate after
hydrolysis by myrosin
Use: Local irritant, emetic, rubefacient, and vesicant,
condiment
K) MISCELLANEOUS GLYCOSIDES
•Several glycosides of varying structures are classified
by factors other than biosynthetic origin or structure
1. Bitter glycosides
2. Sweet glycosides
3. Coloring glycosides
4. Neutral glycosides
1) BITTER GLYCOSIDES
a) Gentian glycosides - from Gentiana lutea
• Gentiopicrin, gentianin, gentiamarin
• Often used as bitter tonic and appetite stimulant
• Also for flatulence and bloating
Other bitter glycosides:
b) Picrasmin – from Picrasma excelsa
c) Quassin – from heartwood of Quassia amara
2) SWEET GLYCOSIDES
a) Steviosides
• From leaves of sugarleaf Stevia rebaudiana
• Derivatives of steviol
• 200-300x sweet as sugar
• Used in soft drinks and food industries
b) Glycyrrhizin
(refer to glycyrrhiza slides in saponins)
3) COLORING GLYCOSIDES
a) RED SANDALWOOD/ RED SAUNDERS
Pterocarpus santalinus (Fabaceae)
Constituents: Santalin/ santalinic acid
• Coloring for cabinets
b) REDWOOD/ LOGWOOD/ BLOODWOOD
Hematoxylum campechianum (Fabaceae)
Constituents: Hematoxylin
• Use: Microbial stain
• Constituents are derived from heartwood
3) COLORING GLYCOSIDES
e) Litmus
• Natural source from lichen
• Ochrolechia tartarea
f) SAFFRON
• (Crocus sativus, Iridaceae)
• Crocin, picrocrocin
• Colorant, flavorant or spice
(most expensive in the world)
• Crocin has antioxidant effect
• Ongoing study for
antidepressant action
c) Carminic acid
• from cochineal Dactylopius coccus
• Insects are grown on cacti, then
brushed with small brooms and
killed
• Used today as indicators
d) Betanin
• from sugarbeet (Beta vulgaris)
• Nitrogen-containing glycoside
• Red pigment
4) NEUTRAL GLYCOSIDES
FISHBERRY/LIGTANG (Anamirta cocculus)
Family: Menispermaceae
Constituents: Picrotoxin
Uses:
• Fish poison
• Previously used as antidote to
barbiturate/nicotine poisoning

Glycosides

  • 1.
  • 2.
  • 3.
    GENERAL STRUCTURE •Glycosides areinactive sugars (glycone) bonded to a non-sugar active portion (aglycone/genin) •Usually an ether (R-O-R’) •Other bonds such as R-C-R’ (C-glycosides), R-N-R’ (N- glycosides) and R-S-R’ (S-glycosides) are possible
  • 4.
    GENERAL STRUCTURE •Both αand  glycosides are possible; only  form occurs in plants •Hydrolysable by mineral acids or enzymes such as myrosin or emulsin (only target the beta forms of glycosides)
  • 5.
    BIOSYNTHESIS •Aglycones – toodifferent to be generalized • Two important pathways include the mevalonate pathway and shikimic acid pathway •Glycone – from photosynthesis • Actual glycoside - formation of UDP-sugar then condensation with the aglycone
  • 6.
  • 7.
    • Gives riseto aromatic amino acids • Present in plants but NOT animals • The prephenic acid branch can also give rise to the phenylpropanoids (shortcut: C6-C3’s) • Many glycosides and volatile oils are classified as phenylpropanoids
  • 8.
  • 9.
    Alternative to mevalonate:The MEP/DOXP Pathway • The MEP/ DOXP pathway is found in plants, bacteria, and Plasmodium • Not found in animals • Plants do both MEP (plastids) and MEV (cytosol)
  • 10.
    LIGNANS •Lignans are singlemolecules created by union of two phenylpropanoid molecules (see above) •Lignin - polymeric substance that assists cellulose in strengthening cell walls • Important lignans include silymarin derivatives (see flavonoid glycosides) and podophyllotoxin (will be revisited in resins)
  • 11.
  • 12.
    OUTLINE Glycosides relatedto the Shikimic Acid Pathway From chorismate: A) Anthraquinone B) Phenol C) Alcohol From prephenate: D) Aldehyde E) Lactone F) Flavonoid Glycosides related to the Mevalonic Acid Pathway F) Saponins G) Cardiac glycosides Other Glycosides H) Cyanophores I) Glucosinolates J) Miscellanous
  • 13.
    2A) GLYCOSIDES RELATEDTO THE SHIKIMIC ACID PATHWAY
  • 14.
    • Anthraquinones • Phenolic •Flavonoids • Alcohol (salicylic acid) • Aldehyde (vanillin) • Lactone (from coumaric acid) • Lignans (will be revisited in resins) Hydroquinone
  • 15.
    • Anthraquinones • Phenolic •Flavonoids • Alcohol (salicylic acid) • Aldehyde (vanillin) • Lactone (from coumaric acid) • Lignans (will be revisited in resins)
  • 17.
    A) ANTHRAQUINONE GLYCOSIDES •Aglycones are oxidized forms of anthracene • Can be classified as • anthraquinones (2 =O) • oxanthrones (1 -OH and 1 =O) - Cascara • anthranols (1 -OH) - Andira araroba • anthrones (1 =O) • dianthrones (two anthrones bonded) - Cassia, Rheum, Rhamnus • Being aromatic, it is expected they come from shikimic acid (chorismate branch) • Others come from a different pathway (polyketide pathway)
  • 19.
  • 21.
    A) ANTHRAQUINONE GLYCOSIDES •Orange-redcolored compounds •Soluble in dilute alcohol and boiling/hot water •Give a red, violet, or green color with a base (ex. NH3/NaOH) • Basis of Borntrager’s test •Characteristic of their cathartic action, except for chrysarobin, which is too irritating to the GIT
  • 22.
    A) ANTHRAQUINONE GLYCOSIDES BORNTRAGER’STEST • Involves extraction using organic solvent followed by addition of base • (+) red color on the lower alkaline layer • (-) indicates a very stable form of anthraquinone esp. the reduced types of anthranol (the sample must be hydrolyzed and oxidized first) MODIFIED BORNTRAGER’S TEST: • Uses additional ferric chloride/peroxide to force oxidative hydrolysis • (+) pink or red color in the alkaline layer • indicates the presence of a very stable type of anthraquinone
  • 23.
    1) SACRED BARK Synonyms:Cascara sagrada Scientific Name: Rhamnus purshianus Family: Rhamnaceae Constituents: Barbaloin (Cascarosides A and B), chrysaloin (Cascarosides C and D) Uses: • Cathartic for habitual constipation restores natural tone of the colon) • Casanthranol is purified mixture of the anthranol glycosides, and is combined with surfactants or hydrocolloids • Should be aged for at least 1 year prior to use • Toreduce its bitter taste, cure with MgO or alkaline earths
  • 24.
    2) FRANGULA Synonyms: Alderbuckthorn Scientific Name: Dried bark of Rhamnus frangula Family: Rhamnaceae Constituents: Frangulin, glucofrangulin Use: Cathartic Note: “Movicol” = frangula + karaya • Not commonly used in the local setting
  • 25.
    3) ALOE Synonyms: Sabila ScientificName: Dried latex leaves of Aloe barbadensis (Curacao aloe) Aloe ferox/ Aloe spicata (Cape aloe) Aloe perryi (Zanzibar/Socotrine aloe) Family: Liliaceae Constituents: Barbaloin, emodin, aloe emodin Use: Cathartic, used for compound benzoin tincture • Aloe vera Gel: treatment of burns, abrasions, skin irritations, purgative, alopecia • Stabilized aloe is used for lotion or yogurt production
  • 26.
    O OH O OH HOR EMODIN R-CH3 EMODIC ACID R-COOH OH O OH R' R O ALOE EMODIN R -CH2OH R ' = 1 PHYSICON R=C H3 R' = OCH3
  • 27.
    4) RHUBARB Scientific Name:Rheum officinale, R. palmatum, R. raponticum Family: Polygonaceae Constituents: Rhein anthrones (at 2.2%), glucorhein, glucogallic acid • Rhanponticin - adulterant from rhapontic rhubarb – blue fluorescence Types: • High-grade (Chinghai, Shensi-type) • Medium grade (Canton-type) • Third grade Use: For jaundice, kidney stones
  • 28.
    5) SENNAS/ SLIMMINGTEA Source: Dried leaflets of • Cassia angustifolia (Tinnevelly senna) • Cassia acutifolia (Alexandria senna) Family: Fabaceae Determination: • Alexandria: pink w/ MgOAc in daylight, green-orange in filtered uv • Tinnevelly: orange w/MgOAc in daylight, yellow-green in filtered uv
  • 29.
    5) SENNAS/ SLIMMINGTEA Constituents: Sennosides A and B (major), sennosides C and D (minor) Use: Very potent cathartic (more so than cascara sagrada) • Cultivated on wet lands resembling rice paddies; as successor to rice • Adulterated with Argel leaves (Solenostemma arghel) • Blue-green leaves are the best quality, while yellow ones are the poorest quality
  • 30.
    6) GOA POWDER ScientificName: Andira araroba Family: Fabaceae Constituents: Chrysarobin (anthranol-type) Use: Keratolytic agent, for psoriasis, trichophytosis, eczema Notes: • Chrysarobin is extracted by hot benzene • Chrysarobin is the only anthraquinone glycoside too irritating for oral use • Anthralin has replaced the use of chrysarobin
  • 31.
    7) ST. JOHN’SWORT (SJW) Scientific Name: Hypericum perforatum Family: Hypericaceae Constituents: Hyperforin, hypericin • Hyperforin is a prenylated ring –acts as reuptake inhibitor -> increase neurotransmitters • Was once dubbed as “Nature’s Prozac” • [What is Prozac?] • Claims to treat depression • SJW is a well-known enzyme inducer
  • 32.
    • Enzyme inducersincrease drug metabolism and can potentially lower drug DoA and/or efficacy • Hyperforin is a well-known natural product that induces CYP enzymes
  • 33.
    8) ANTHRAQUINONES ASPIGMENTS Danthron (Chrysazin/ 1,8-dihydroxyanthraquinone) • Cathartic • For production of anthralin and indanthrene dyestuffs Cochineal • Dried female insect of Dactylopius coccus • Carminic acid • Colorant
  • 34.
    B) PHENOL GLYCOSIDES •Aglycone is a phenolic group • Detected by Millon’s Test (+) peach/salmon/pink-colored Hg complex of nitrophenyl derivative • NOTE: Most tannins and flavonoids are also phenol glycosides by technicality (their structures are intrinsically phenolic too) • Being aromatic, it is expected they come from the Shikimic acid pathway (chorismate branch)
  • 36.
    1) BEARBERRY Synonyms: Rockberry ScientificName: Arctostaphylos uva-ursi Family: Ericaceae Constituents: Arbutin, ericolin • Hydrolysis of arbutin yields hydroquinone Use: Diuretic, astringent and antiseptic • Arbutin has some tyrosinase-inhibiting effect • Skin-lightening potential
  • 37.
    C) ALCOHOL GLYCOSIDES •Aglycone is a hydrocarbon bearing an alcohol moiety ROH • Dominated by the salicylates • NOTE: Salicylates are alcohols AND phenols at the same time – some books may classify them under phenols • Detected by Ester Formation • C2H5OH + CH3COOH ----> CH3COOC2H5
  • 38.
    Salicylates (aromatic) alsostem from the chorismate branch of the shikimic acid pathway
  • 39.
    1) WILLOW Scientific Name:Salix purpurea and S. fragilis Family: Salicaceae Constituents: Salicin (also found in poplar) • Salicin is hydrolyzed to yield salicylalcohol by emulsin • Salicylalcohol can be oxidized in the lab to yield salicylic acid • Antirheumatic, anti-inflammatory
  • 40.
    Salicin and thebirth of aspirin:
  • 41.
    2) POPLAR Scientific Name:Populus tremuloides Family: Salicaceae Constituents: Populin (benzoylsalicin) Use: Quinine substitute • Expectorant, antipyretic, analgesic • Common ingredient of herbal cough mixtures
  • 42.
    D) ALDEHYDE GLYCOSIDES •Aglycone is a hydrocarbon bearing the formyl group CHO • Represented by vanillin • Synthesized under the prephenate branch
  • 43.
    Several steps take placeto convert prephenate to coumaric acid, and finally to vanillin:
  • 44.
    D) ALDEHYDE: QUALITATIVETESTS a) Fehling’s Test – uses Cu2SO4 • (+) Cu2O brick red ppt b) Nessler’s Test – uses alkaline K2HgI4 • (+) gray ppt of Hg c) Tollen’s Test – uses ammioniacal AgNO3 • (+) gradual deposition of silver mirror d) Schiff’s Test • Complexation reaction • Magenta-red color restored if there’s a aldehyde
  • 45.
    1) VANILLA • Unripefruit of Vanilla planifolia (Mexican/ Bourbon vanilla) or Vanilla tahitensis (Tahitian) [Orchidaceae] • Contains glucovanillin (avenein) • Vanilla must undergo sweating to release odor (hydrolysis of glucovanillin to yield vanillin) • Vanillin can be artificially made using eugenol (clove) or more commonly today, guiacol (Pinaceae) • Vastly used in food, perfumery, and cosmetics • Vanilla is the SECOND most expensive spice in the world! • Mexican/Vera cruz – best variety • Bourbon – coumarinlike odor • Tahiti – reddish brown, unpleasant odor
  • 46.
    F) LACTONE GLYCOSIDES •Aglyconecontains a lactone (cyclic ester) portion •Involves derivatives of coumarin, phenylpropanoids that originate from cinnamic and coumaric acids
  • 48.
    F) LACTONE GLYCOSIDES:QUALITATIVE TESTS 1) Kedde’s Test – for unsaturated lactones Reagent: 3,5-dinitrobenzoic acid in NaOH (+) blue-violet/amethyst color 2) Chromatography – for saturated lactones Can utilize the following spray reagents: a) Folin Ciocalteau - for catechol & hydroquinone type (+) blue spots b) Vanillin-HCl - for resorcinol & phloroglucinol type (+) pink spots c) Gibb’s reagent (+) various colors of different phenols (2,6-dichloroquinone-4-chloroimide)
  • 49.
    1) COUMARIN (compound) Sources: Use: •Coumarin is hydroxycinnamic acid lactone, usually used as flavoring agents (especially of tonka) • Tonka is used in tobacco manufacture and in perfumery (replaced by synthetic coumarin) • Dicumarol, or dihydroxylated coumarin, obtained from Melilotus officinalis and used as an anticoagulant 1) Tonka beans Dipteryx odorata 2) Sweet clover Melilotus albus 3) Red clover Trifolium pretense 4) Sweet vernal grass Anthoxanthum odoratum 5) Sweet-scented bedstraw Galium trifolium
  • 50.
  • 51.
    Red clover • Forpsoriasis and eczema, and expectorant • Isoflavones used for HRT Horse chestnut tree (Aesculus hippocastanum) • Aesculin, aesculetin • Anticoagulant (now prepared synthetically) 1) Tonka beans Dipteryx odorata 2) Sweet clover Melilotus albus 3) Red clover Trifolium pretense 4) Sweet vernal grass Anthoxanthum odoratum 5) Sweet-scented bedstraw Galium trifolium Melilot (Melilotus officinalis, Fabaceae) • Yellow papilionaceous flower • Improperly cured leaves and flowering tops • Melilotoside, melilotic acid, caffeic acids
  • 52.
    2) SPANISH FLY Synonyms:Blistering flies/ Cantharides Scientific Name: Cantharis vesicatoria (Other name: Lytta vesicatoria) Constituents: Cantharidin Note: The bugs are killed by vinegar, by fumes of weak acids (like vinger) or base (like ammonia) – then preserved in organic solvent • Rubefacient, vesicant (for warts), urinary irritant resulting to priapism and thus usable as aphrodisiac • In excess, can cause renal failure and fatality
  • 53.
    3) BISHOP’S FLOWER Synonyms:Laceflower Scientific Name: Ammi majus Family: Apiaceae Constituents: Methoxsalen aka xanthotoxin (a photosensitizing furocoumarin) Uses: • Repigmentation in idiopathic vitiligo, control of psoriasis • Has risk of cancer, cataract, and actinic skin degeneration
  • 54.
    4) GRAPEFRUIT JUICE ScientificName: Citrus paradisi Family: Rutaceae Constituents: Bergamottin, bergapten • Inhibit CYP enzymes (especially CYP3A4)
  • 55.
    F) FLAVONOID GLYCOSIDES •“C6-C3-C6 ” compounds arising from the phenylpropanoid (prephenate) branch of the shikimate pathway • Most have the gamma-benzopyrone as nucleus • Exception: benzofuranone in aurones
  • 57.
    Classifications: • Chalcone • Aurone •Flavanone • Flavone • Flavonol (ex. quercetin) • Flavan-3-ol (ex. catechin) • Leucoanthocyanidin (flavan-3,4-diols) • Isoflavone • Anthocyanidin
  • 58.
    F) FLAVONOID GLYCOSIDES •Flavonoids or bioflavonoids from Citrus fruits and Soya • Largest group of naturally occurring phenols • “Flava” – yellow (flavonoids dissolve in alkali, giving yellow solution; in acid, it becomes colorless) • Chalcones (“copper”) are the yellow pigment in plant flowers • Anthocyanidins - aglycones • “Anthocyanins” – proper term for the glycosides • Sap pigments (color of plant is determined by pH of the sap) • Ppt in aqueous solution as Pb salts or picrates • Add 20% HC = hydrolyzes , crystallizes • Bilberry (Vaccinium myrtillus, Ericaceae) – source of anthocyanins
  • 59.
    F) FLAVONOID GLYCOSIDES Significantflavonoids 1) Hesperitin, diosmin and naringen • Anti-H. pylori 2) Isoflavonoids – richest in soy • Along with some coumestans and lignans, are called "phytoestrogens" 3. Quercetin (glycoside: quercitrin) • Commonly used standard for total flavonoid content
  • 60.
    F) FLAVONOID GLYCOSIDES 4.Vitamin P • “Permeability factors” • Originally assumed to be "citrin" in paprika/ lemon peel • Actually a combination of rutin + hesperidin • Rutin – yields quercetin, rhamnose, glucose • Hesperidin – yields hesperitin, rhamnose, glucose • For treatment of capillary bleeding and increased capillary fragility • For HTN, radiation injuries
  • 61.
    F) FLAVONOID GLYCOSIDES:QUALITATIVE TESTS 1) Wilstatter “cyanidin” test – uses HCl • for the presence of gamma benzopyrone nucleus • (+) orange to red to crimson & magenta occasionally green/blue 2) Bate-Smith & Metcalf test - uses HCl • (+) immediate red = presence of chalcones & aurones • If no color is produced, boil sample • Intense red color/ violet = leucoanthocyanins 3) Test for anthocyanins: extract with 1% HCl then boil • (+) at boiling point, an orange red to blue red coloration
  • 62.
    1) MILK THISTLE Synonyms:Carduus marianus Scientific Name: Silybium marianum Family: Asteraceae Silbinin (a mix of silybin A and silybin B) – flavolignans that have hepatoprotective effect
  • 63.
    F) FLAVONOID GLYCOSIDES 2)SOY ISOFLAVONES (Glycine soja) • Genistein, daidzein, glycitein • Prevents onset of atherosclerosis • Can also increase memory and mental flexibility • Alternative for menopausal symptoms (estrogenic activity) 3) TEA CATECHINS (Camellia sinensis) • 30-42% of dry weight of tea are flavonoids • Controls lipid levels, prevents atherosclerosis and coronary disease • Epigallocatechin gallate (EGCG) - potential anticancer effects
  • 64.
    F) FLAVONOID GLYCOSIDES 4)CACAO • Contains catechins and procyanidins (10x greater than in cranberry) • Prevents atherosclerosis 5) CRANBERRY • Contains procyanidins and other flavonoids and polyphenols • Prevents adhesion of UTI-causing microbes such as E. coli and H. pylori in GIT and teeth • Potential use in periodontal diseases
  • 65.
    2B) GLYCOSIDES RELATEDTO THE MEVALONIC ACID PATHWAY
  • 66.
    • Steroidal saponins •Triterpenoid saponins • Cardiac glycosides • Terpenes and carotenoids (will be revisited in resins, volatile oils, and vitamins)
  • 67.
    G) SAPONINS • Aglyconesare called the sapogenins (if toxic – “sapotoxin”) • Neutral/ Steroidal – tetracyclic; present in monocots • Acidic/ Triterpenoid – pentacyclic; present in dicots
  • 68.
    G) SAPONIN GLYCOSIDES 3Main Properties a) Foams/lathers in aqueous solution b) Hemolyzes red blood cells c) Lowers surface tension of solution • Forms complex with metal solutions like those of barium and lead (complex has beige to brown color) • One of the most toxic plant principles • Irritating to the mucus membranes • Toxic to cold-blooded animals (fish poisons)
  • 69.
    G) SAPONIN GLYCOSIDES:QUALITATIVE TESTS 1. Froth test – foam / lather formation • Honeycomb froth persisting for 10 minutes above 2 cm is positive for saponins • If froth is unstable add aqueous Na2CO3 to neutralize the free acids 2. Liebermann–Burchard test • For steroidal saponins in monocots - (+) blue or green • For triterpenoidal saponins in dicots - (+) red, pink or violet • Pale yellow if saturated sterol or triterpenoid is present
  • 70.
    1) YAM Scientific Name: Dioscoreaalata D. spiculiflora D. floribunda (Mexican Yam) Family: Dioscoreaceae Constituents: Botogenin, diosgenin (steroidal saponins) Uses: • Diosgenin is used for production of corticosteroids (specifically sex hormones) • D. floribunda is the best source of steroids
  • 71.
    2) SARSAPARILLA • ScientificName: • Smilax aristolochiaefolia (Mexican sarsaparilla) • Smilax regellii (Honduras sarsaparilla) • Family: Liliaceae • Constituents: Smilagenin, sarsasapogenin, parillin (steroidal saponins) • Claims of use for syphilis, rheumatism, skin diseases, psoriasis, eczema • Suggested to come from sarsaparilla’s steroid content
  • 72.
    3) GINSENG Scientific Name: Panaxginseng (Asian ginseng) Panax quinquefolius (American ginseng) Family: Araliaceae Constituents: Ginsenosides, panaxosides, chikusetsusaponins (all steroidal saponins) • Aphrodisiac and an adaptogen ( resistance to stress) • Tx of anemia, diabetes, gastritis, sexual impotence • “Ginseng of Europe”: Chamomile - leaflets of Matricaria chamomila
  • 73.
    4) LIQUORICE Source: Driedroots/stolons of Glycyrrhiza glabra (Fabaceae) var. glandulifera - Russian var. β- violacea – Persian Glycyrrhyzin/ glycyyrhizic acid– 50x sweet as sugar • Hydrolyzed to glucuronic acid and glycyrrhetic acid (see figure) • Expectorant, flavoring agent, mask taste of bitter drugs (paralyze taste buds), increases the foaminess of beer • Glycyrrhetic acid: anti-inflammatory, for PUD, for Addison’s disease • Caution in people with HTN: causes fluid/Na+ retention, reduces K+
  • 74.
    5) QUILLAJA/ SOAPBARK •Dried inner bark of Quillaja Saponaria (Rosaceae) • Contains “quillaja saponin” (10%) • Detergent, emulsifier * Gugo (Box bean, St. Thomas bean) • Entada phaseoloides (Fabaceae) • Used during historical times
  • 75.
    H) CARDIAC GLYCOSIDES •Aglycones have a steroid portion (CPPP nucleus) • Contain a variety of deoxysugars at C3 • The steroid always has a OH at C14 • Further classified based on lactone attached on C17
  • 76.
    H) CARDIAC GLYCOSIDES Cardenolide •Five-member unsaturated lactone • Usually found in plants • More common in nature Bufadienolide / bufanolide • Six-member unsaturated lactone • Usually found in animals • or plants, scillaren (from squill)
  • 77.
    H) CARDIAC GLYCOSIDES •Have specific action on the cardiac tissues; they increase force of systolic contraction • Inhibit Na+/K+ ATPase, thereby increasing the Ca+2 inside the heart muscles (positive inotropic effect)
  • 78.
    H) QUALITATIVE TESTS 1.Keller Kiliani Test - for presence of deoxy sugar (+) blue or violet coloration after standing 2. Liebermann Burchard Test - for unsaturated sterol • Reagent: Conc. H2SO4 + acetic anhydride (+) green/ blue (pale yellow if saturated sterol) 3. Salkowski’s Test – for sterol • Reagent: Conc. H2SO4 (+) red or violet 4. Kedde’s test - lactone • Reagent: 3,5-dinitrobenzoic acid • Standard: 0.025% digitoxin in MeOH (+) blue–violet
  • 79.
    1) FOXGLOVE Scientific Name: Digitalispurpurea Digitalis lanata (Grecian) Family: Plantaginaceae Constituents: Purpurea: digitoxin & gitoxin (two most active), gitaloxin Lanata: digoxin and lanatosides Use: For heart failure and arrhythmias
  • 80.
    • Digoxin: morepolar, shorter half-life (30 to 40 hours), excreted via kidneys (Lanoxin®) • Digitoxin: very lipophilic, longer half-life (168 to 192 hours) Digitalis pupurea Digitalis lanata Other name Foxglove Grecian Foxglove Constituents Digitoxin, gitoxin, gitaloxin Digoxin, deslanoside (desacetyl- lanatoside)
  • 81.
    2) STROPHANTHUS Scientific Name:Strophanthus kombe Family: Apocynaceae Constituents: • G-Strophanthin (aglycone: ouabagenin) • K-Strophanthin (aglycone: strophanthidin) Use: For heart failure and arryhthmias, arrow poisons (historical) • Ouabain/G strophanthin (from Strophanthus gratus or Acokantheria schimperi) was proposed to be an endogenous cardiac glycoside based on studies on Na-K ATPase
  • 83.
    • Lewis, L.K., Yandle, T.G., Hilton, P.J., Jensen, B. P.,Begg, E. J., & Nicholls, M. G. (2014). Endogenous ouabain is not ouabain. Hypertension, 64(4), 680-683.
  • 84.
    3) OLEANDER Source: Neriumoleander (Apocynaceae) Constituents: Oleandrin • Oleandrin and digitalinum verum • Causes many cases of poisoning worldwide (some fatal, resulting from suicide) 3b) YELLOW OLEANDER • Thevetia peruviana (Apocynaceae) • Contains thevetin • Used for mild myocardial insufficiency
  • 85.
    OTHER CARDENOLIDES 4) LILYOF THE VALLEY • Convallaria majalis (Apocynaceae) rhizome and root • Convallarin, convallatoxin • Ornamental, cardiotonic 5) PHEASANT’S EYE/ FALSE HELLEBORE • Adonis vernalis (Ranunculaceae) Adonitoxin, cymarin • Acts similarly to strophanthus • Cardiotonic, tranquilizer 6) BLACK INDIAN HEMP • aka Dogbane, Canadian Hemp • Apocynum canabinum (Apocynaceae) rhizome and root • Cymarin 6) NIGHT BLOOMING CACTUS • Selenicereus grandiflorus (Cactaceae) • Cardiotonic, antidepressant
  • 86.
    8) SQUILL Synonyms: Driedsliced bulb of the white variety of Urginea maritima (Liliaceae) Scientific Name: Urginea maritima Family: Asparagaceae Constituent: Scillarens Red squill: red variety of U. maritima (used as rat poison – lack the vomiting reflex)
  • 87.
    8) SQUILL • Scillarens– glycosides of squill • Scillaren A - most important • Hydrolyzed by scillarenase to proscillaridin A and glucose • Proscillaridin is further hydrolysed to scillaridin A (scillarenin) and rhamnose • Mild gastric irritation causing secretion from bronchioles - for expectorant effect • Also emetic, cardiotonic, diuretic
  • 88.
    9) BLACK HELLEBORE/CHRISTMAS ROSE Source: Rhizome and root of Helleborus niger (Ranunculaceae) Constituents: hellebrin, helleborin • Has digitalis-like action • Abortifacient, cardiotonic * Green Hellebore: cardiac depressant
  • 89.
  • 90.
    I) CYANOGENIC GLYCOSIDES/CYANOPHORES • Aglycones are derived from phenylalanine, including both the aromatic ring and the cyanide portion • Cyanophores are cleaved by the enzyme emulsin • They give a characteristic bitter almond/peach kernel odor, and are found in bitter almonds, apricots, cherries, peaches, plums and other rosaceous seeds.
  • 91.
    I) CYANOPHORES: QUALITATIVETEST •Guignard’s test – non specific test for cyanophore because there are other substances that can liberate H2S, SO2 oraldehyde. • Uses sodium picrate paper • (+) brick red or any shade of red (within 15 minutes ONLY – if the color change occurs after 3 hours, it is negative) • HCN has an odor of bitter almond / peach kernels
  • 92.
    BREAKDOWN OF AMYGDALIN •Emulsin(amygdalase + prunase) – complete enzyme
  • 93.
    1) WILD CHERRY/PRUNUS VIRGINIANA Scientific Name: Prunus serotina Family: Rosaceae Constituents: Amygdalin • Vehicle for cough preparations • Sedative, expectorant, antitussive • Recent data show potential antigout activity • Laetrile (“vitamin B17”) – amgydalin derivative with anticancer claims (highly disputed for decades, even until now!) and possibility for sickle cell anemia control • Risk of cyanide poisoning
  • 94.
    2) OTHER PRUNES Includethe following: • Almond (Prunus amygdalus) • Apricot (Prunus armeniaca) • Peach (Prunus persica)
  • 95.
    J) ISOTHIOCYANATE GLYCOSIDES/ GLUCOSINOLATES •Aglycones are usually hydrocarbons, aliphatic or aromatic, with a thiocyanate group (SCN) • Their is related to synthesis of cyanophores, but with use of sulfur-containing amino acids • Glucosinolates are cleaved by the enzyme myrosin • They give a characteristic mustard smell • Found in cruciferous plants of the family Brassicaceae.
  • 96.
  • 97.
    SOURCES OF ISOTHIOCYANATE GLYCOSIDES 1.Mustard (Black mustard) (Sinapis Nigra) (Brown Mustard) - The dried ripe seed of Brassica nigra (Cruciferae) Chemical constituent: 1. Sinigrin (Potassium myronate)- upon hydrolysis with the help of enzyme Myrosinase allyl will yield Allyl isothiocyanate (more volatile mustard oil) - Uses: ● Local irritant ● Emetic ● Rubefacient ● Vesicant ● Condiment (kitchen use)
  • 98.
    SOURCES OF ISOTHIOCYANATE GLYCOSIDES 2.White Mustard (Sinapis Alba) - The dried ripe seed of Brassica Alba (Cruciferae) Chemical Constituent: Sinalbin - (less volatile mustard)oil)
  • 99.
    J) GLUCOSINOLATES: QUALITATIVETESTS 1) Odor test - for the volatile type ex. Allicin (in garlic) 2) Ferric chloride test - for the non-volatile type • Fe(SCN)3 - blood red Garlic contains allicin (a volatile oil). Though not a glycoside, allicin can be grouped with glucosinolates for containing sulfur. ID test of garlic : • 10 mL 1N NaOH + 10mL water + heat • use sodium nitroferricyanide (nitroprusside) • red or orange color
  • 100.
    1) BLACK MUSTARD Synonyms:Sinaplis nigra, brown mustard Scientific Name: Brassica nigra Family: Brassicaceae Constituents: Sinigrin (potassium myronate) • Gives rise to highly volatile aglycone allyl isothiocyanate after hydrolysis by myrosin Use: Local irritant, emetic, rubefacient, and vesicant, condiment • Sinigrin is also found in Japanese horseradish (Eutrema japonicum)
  • 101.
    2) WHITE MUSTARD Synonyms:Sinapis alba Scientific Name: Brassica alba Family: Brassicaceae Constituents: Sinalbin (less volatile, pungent tasting) • Gives rise to aglycone acrinyl isothiocyanate after hydrolysis by myrosin Use: Local irritant, emetic, rubefacient, and vesicant, condiment
  • 103.
    K) MISCELLANEOUS GLYCOSIDES •Severalglycosides of varying structures are classified by factors other than biosynthetic origin or structure 1. Bitter glycosides 2. Sweet glycosides 3. Coloring glycosides 4. Neutral glycosides
  • 104.
    1) BITTER GLYCOSIDES a)Gentian glycosides - from Gentiana lutea • Gentiopicrin, gentianin, gentiamarin • Often used as bitter tonic and appetite stimulant • Also for flatulence and bloating Other bitter glycosides: b) Picrasmin – from Picrasma excelsa c) Quassin – from heartwood of Quassia amara
  • 105.
    2) SWEET GLYCOSIDES a)Steviosides • From leaves of sugarleaf Stevia rebaudiana • Derivatives of steviol • 200-300x sweet as sugar • Used in soft drinks and food industries b) Glycyrrhizin (refer to glycyrrhiza slides in saponins)
  • 106.
    3) COLORING GLYCOSIDES a)RED SANDALWOOD/ RED SAUNDERS Pterocarpus santalinus (Fabaceae) Constituents: Santalin/ santalinic acid • Coloring for cabinets b) REDWOOD/ LOGWOOD/ BLOODWOOD Hematoxylum campechianum (Fabaceae) Constituents: Hematoxylin • Use: Microbial stain • Constituents are derived from heartwood
  • 107.
    3) COLORING GLYCOSIDES e)Litmus • Natural source from lichen • Ochrolechia tartarea f) SAFFRON • (Crocus sativus, Iridaceae) • Crocin, picrocrocin • Colorant, flavorant or spice (most expensive in the world) • Crocin has antioxidant effect • Ongoing study for antidepressant action c) Carminic acid • from cochineal Dactylopius coccus • Insects are grown on cacti, then brushed with small brooms and killed • Used today as indicators d) Betanin • from sugarbeet (Beta vulgaris) • Nitrogen-containing glycoside • Red pigment
  • 108.
    4) NEUTRAL GLYCOSIDES FISHBERRY/LIGTANG(Anamirta cocculus) Family: Menispermaceae Constituents: Picrotoxin Uses: • Fish poison • Previously used as antidote to barbiturate/nicotine poisoning