GE3792
INDUSTRIAL
MANAGEMENT
FINAL YEAR VII SEMESTER
DEPARTMENT OF MECHANICAL
ENGINEERING
UNIT WISE
LECTURE
NOTES
Prepared by
Mr.K.BALAMANIKANDASUTHAN
Assistant Professor
Mechanical Engineering
Department
UNIT – I INTRODUCTION TO MANAGEMENT 9
Management: Introduction; Definition and Functions – Approaches to the study of Management –
Mintzberg’s Ten Managerial Roles – Principles of Taylor; Fayol; Weber; Parker – Forms of Organization:
Sole Proprietorship; Partnership; Company (Private and Public); Cooperative – Public Sector Vs Private
Sector Organization – Business Environment: Economic; Social; Political; Legal – Trade Union: Definition;
Functions; Merits & Demerits.
Management: Introduction
Every human being has several needs & desires which can be satisfied only by working & living together
in organized groups & institutions. In this way the people satisfy their economic & social needs. As a
result there are several types of groups e.g. Family, school, government and business firm etc. Such
groups achieve their goals by working in controlled & coordinated manner. Management involves
coordinating and overseeing the most activities of others so that their activities are completed effectively
& efficiently. The 21st century economy has become knowledge based and is performance driven. It is
driven by innovations & technology & organizations have to transform themselves to serve new customer
expectations. The manager of today must integrate management skills with new approaches that
emphasize the human touch, enhance flexibility & involves employees. Management is needed in all
types of organization, at all levels of organization, in all organization work areas throughout the world
Importance of Management
The efficient management of human & material resources is essential for achievement of objectives of
any organization. The success of any business lies in the quality of management. The significance of
management will be more clear through the following points :-
1. Determination of objectives – Management helps in determining the objective of the
organization. No organization can succeed in its operations unless its objectives are identified
& well defined. These objectives have to be communicated to all the people working in the
organization.
2. Achievement of the objectives – Management plays a vital role in accomplishment of
organizational objectives & goals. The coordination & integration of material & human
resources helps in achieving the pre-determined goals effectively & efficiently.
3. Efficient use of resources – An efficient management can lead a business towards growth &
prosperity. Management reduces wastage of human, material & financial resources through
proper planning & control.
4. Encourages innovation – Management encourage innovation in the organization. Innovation
brings new ideas, new methods, new products & makes the organization more competitive.
5. Personal objectives – Personal objectives are concerned with satisfaction of financial & social
needs of the employees. Through motivation & direction management helps the individuals to
achieve their personal goals while working towards organizational objectives.
6. Economic development – Management helps in development of the society by producing
good quality products, creating employment opportunities & adopting new technology.
7. Creates dynamic organization – Management helps the employees to overcome their
resistance to change & adopt as per changing situation to ensure its survival & growth.
Definitions
According To Harold Koontz "Management is the art of getting things done through others and with
formally organised groups." According to George R. Terry ''Management Is a distinct process consisting
of planning, organising, actuating and controlling; utilising in each both science and art, and followed in
order to accomplish pre-determined objectives." According to Massie & Douglas “Management is the
process by which co-operative group directs actions towards common goals."
Functions of Management
According to functions approach managers perform certain activities to effectively & efficiently
coordinate the work of others. They are classified as –
1. Planning – It involves defining jobs, establishing strategies for achieving those goals &
developing plans to integrate & coordinate activities.
2. Organising – Involves arranging & structuring work to accomplish the organizationgoals.
3. Staffing – Involves manning the organization structure through proper & effectiveselection.
4. Directing – Involves influencing, guiding supervising & motivating the subordinate.
5. Controlling – Involves monitoring, comparing & correcting work performance.
Approaches to the study of Management
1. Systems Approach :
During the 1960s, researchers began to analyse organizations from a systems perspective based on
the physical sciences. The systems approach to management propounds that organizations are not
self-contained, but they rely on and are affected by factors in their external environment. A system
is a set of interrelated and interdependent parts arranged in a manner that produces a unified whole.
The two basic types of systems are open system and closed system. A closed system is not
influenced by and does not interact with its environment. An open system interacts with its
environment. Using the systems approach, managers envision an organization as a body with many
interdependent parts, each of which is important for the well-being of the entire organization.
Managers coordinate the work activities of various parts of the organization, realizing that decisions
and actions taken in one organizational area will affect other areas.
2. Contingency Approach
The contingency approach to the management proposes that different organizations
require different ways of managing. The contingency approach subscribes to view that the
organization recognizes and responds to situational variables as they arise. The contingency
approach to management assumes that there is no universal answer to all the questions related to the
management because organizations, people and situations vary and change over time. Thus, the
right thing to do depends on a complex variety of critical environmental and internal contingencies.
3. Behavioural Approach
Organizational behaviour (OB) is the field of study that is concerned with the actions
(behaviours) of people at work. The OB research has contributed much of what we know about
human resources management and contemporary views of motivation, leadership, trust, teamwork
and conflict management. The early advocates of the organizational behaviour approach were
Robert Owen, Hugo Munsterberg, Mary Parker Follett and Chester Barnard. Their ideas served as
the foundation for employee selection procedures, motivation programmes, work teams and
organization–environment management techniques.
Hawthorne Studies
The Hawthorne studies (also referred to as the observer effect) were the most important
contribution to the development of OB. This series of experiments were conducted from 1924 to the
early 1930s at western Electric company’s Hawthorne works in Cicero, Illinois, USA. Initially,
these were devised as a scientific management experiment to assess the impact of changes in
various physical environment variables such as illumination of light on the employee productivity.
After Harvard professor Elton Mayo and his associates joined the Hawthorne studies 436 Industrial
Engineering and Management as consultants, other experiments were included to look at
redesigning jobs, make changes in workday and workweek length, introduce rest periods and
introduce individual versus group wage plans. It was observed that there is no effect of change in
illumination of light on worker’s productivity, significantly. The main factors of consistant
productivity was manager’s attention towards the workers.
The researchers concluded that social norms or group standards were key determinants
of individual work behaviour. Although criticized on procedures, analyses of findings and
conclusions, the Hawthorne studies stimulated interest in the human behaviour in organizational
settings. In the present context, the behavioural approach assists managers in designing jobs that
motivate workers, in working with employee teams and in facilitating the flow of communication
within organizations.
4. Quantitative Approach
The quantitative approach to management, also known as operations research or
decision science, uses quantitative techniques to improve decision-making. This approach includes
application of statistics, optimization models, information models and computer simulations. The
quantitative approach originated during World War II, as mathematical and statistical solutions to
military problems were developed for wartime use. Today, the quantitative approach has
contributed most directly to managerial decision-making, particularly in planning and controlling.
The availability of sophisticated computer software programs has made the use of quantitative
techniques quite feasible for managers.
Mintzberg’s Ten Managerial Roles :
Henry Mintzberg identified ten different roles, separated into three categories. The categories he
defined are as follows
Interpersonal Role
Managers are expected to coordinate and interact with employees and provide direction to the
organization. Here comes into play their interpersonal role. Three parts of the manager’s
interpersonal role are as follows:
1. Figurehead role: It symbolizes the organization and what it is trying to achieve.
2. Leader role: The manager is expected to train, counsel, mentor and encourage high employee
performance.
3. Liaison role: The manager should coordinate with and link people inside and outside the
organization to help achieve organizational goals.
Informational Role
This role is associated with the tasks needed to obtain and transmit information for management of
the organization.
Three parts of the informational role are as follows:
1. Monitor role: Analysing information from both the internal and external environments.
2. Disseminator role: Transmitting information to influence attitudes and behaviour of employees.
3. Spokesperson role: Using information to positively influence the way people in and out of the
organization would respond to it.
Decisional Role
The decisional role is associated with the methods managers use to plan strategy and utilize
resources to achieve organizational goals.
Four parts of the decisional role are as follows:
1. Entrepreneur role: Deciding upon new projects or programs to initiate and invest.
2. Disturbance handler role: Assuming responsibility for handling an unexpected event or crisis.
3. Resource allocator role: Assigning resources between functions and divisions, setting budgets
of lower-level managers.
4. Negotiator role: Seeking to negotiate solutions between other managers, unions, customers or
shareholders.
Principles of Taylor
Henri Fayol’s 14 Principles of Management
Henri Fayol, a French mining engineer, developed 14 principles of management based on his
management experiences. These principles are described as follows
1. Division of work: Division of work and specialization improves the productivity with the same
effort.
2. Authority and responsibility: Authority is the right to give orders and the power to exact
obedience. Authority creates responsibility for getting the work completed.
3. Discipline: Obedience, respect and proper behaviour within an organization are absolutely
essential.
4. Unity of command: An employee should receive orders from only one superior.
5. Unity of direction: Organizational activities must have one central authority and one plan of
action.
6. Subordination of individual interest to general interest: The interests of one employee or
group of employees are subordinate to the interests and goals of the organization.
7. Remuneration of personnel: Salaries – the price of services rendered by employees – should be
fair and should provide satisfaction to both the employee and the employer.
8. Centralization: The objective of centralization is the best utilization of personnel. The degree of
centralization varies according to the dynamics of each organization.
9. Scalar chain: A chain of authority, that is, scalar chain, exists from the highest organizational
authority to the lowest ranks.
10. Order: An organizational order for materials and personnel is essential. Right materials and
right employees are necessary for each organizational function and activity.
11. Equity: In organizations, equity is a combination of kindliness and justice. Both equity and
equality of treatment should be considered when dealing with employees.
12. Stability of tenure of personnel: To attain the maximum productivity of personnel, a stable
workforce is needed.
13. Initiative: Thinking out a plan and ensuring its success is an extremely strong motivator. Zeal,
energy and initiative are desired at all levels of the organizational ladder.
14. Esprit de corps: Teamwork is fundamentally important for an organization. Work teams and
extensive face-to-face verbal communication encourage teamwork.
Max Weber’s Bureaucracy
In the late 1800s, Max Weber disliked that many European organizations were being managed on a
personal family basis and that employees were loyal to individual supervisors rather than the
organization. He believed that organizations should be managed impersonally and that a formal
organizational structure, where specific rules were followed, was important. Max Weber gave the
theory of bureaucracy that is explained below.
Characteristics of Bureaucracy
1. A well-defined hierarchy: All positions within a bureaucracy are structured in a way that
permits the higher positions to supervise and control the lower positions. There should be a
clear chain of command, control and order throughout the organization.
2. Division of labour and specialization: All responsibilities, specialties and expertise should be
divided among the employees. One should not be a jack of all trades.
3. Rules and regulations: There should be a practice to follow standard rules and regulations in
the whole organization.
4. Impersonal relationships between managers and employees: Managers should maintain an
impersonal relationship with employees so that favouritism and personal prejudice do not
influence their decisions.
5. Competence: Competence of the employees should be the basis for all decisions made in
hiring, job assignments and promotions to foster an ability and merit as the primary
characteristics of a bureaucratic organization, not the relationship or acquaintance with the
employees.
6. Records: A bureaucracy needs to maintain records of all its activities.
Mary Parker Follett
Mary Parker Follett focused her efforts on ethics, power and leadership. She encouraged
employee involvement or participation in decision-making process. She stressed the importance
of men rather than methods, a concept developed in scientific management before her time. As a
result, she was a pioneer but was often not taken seriously by management scholars of her time.
But, times change and her innovative ideas from the past suddenly take on new meanings. These
innovative ideas are related to reciprocal relationships in understanding the dynamic aspects of
the individual in relationship to others, the principle of integration and power sharing among the
people. Her ideas on negotiation, power and employee participation were influential in the
development of organizational studies.
Organization :
A firm or Organization is a group of people located in any premises or area, who do work and
transform raw materials into goods and services with the help of tools and sell them. The firm may be
industrial, commercial or financial. Firm’s size and characteristics depend on the type of ownerships. In
this chapter, we will discuss about the type of a firm’s or business ownership and different structures of
an organization. Some major types of firm’s ownerships are sole partnership, general partnership, limited
partnership, limited liability partnership, corporation, joint stock company (private and public company),
cooperative society, etc.
Forms of Organization
Sole Proprietorship
A sole proprietorship is the simplest form of business ownership. It is owned by a single
person.The owner enjoys alone with the business’s profits and losses. There is no liability protection for
the owner. The owner is liable to pay all the debts. If the individual is sued and loses, the business and
personal property may be seized to pay obligations.
Characteristics of sole partnership are enumerated as follows:
1. Sole proprietorships do not have perpetuity.
2. The proprietor may sell or quit the business.
3. The business does not need to be registered with the state.
4. The trademarks can be registered with the Secretary of State’s office if desired.
. A federal employer’s identification number is not required as long as there are no employees.
6. The business income is taxed at the sole proprietor’s individual tax rate.
Advantages
1. It is easy to start the business.
2. No documents are required to file with the state.
. There is only one level of taxation.
4. Decision-making is easy.
5. One can discontinue his/her business at his/her will.
Disadvantages
1. No tax breaks are provided for company benefits.
2. The owner is liable for all debts incurred, i.e. unlimited liability.
3. The amount of capital investment one can raise is limited.
Partnership
General Partnership
A general partnership is formed by two or more persons. Similar to a sole proprietorship, the
partners are not separate from the business. Unless agreements/provisions have been established, each
individual is responsible for all of the partnership’s debt. Also, each partner can incur debt on behalf of
the business unless other provisions have been made. Each partner shares in the losses and profits of the
business. Partnerships do not have perpetuity. When a partner leaves or dies, the business ends. As with a
sole proprietorship, the general partnership does not need to be registered with the Secretary of State’s
office. The partnership does need a Federal Employer’s Identification Number even if there are no
employees. Characteristics of a general partnership are very similar to sole partnership.
Advantages of General Partnership
(a) It is relatively easy to create.
(b) Only one level of taxation is subjected.
Disadvantages of General Partnership
(a) There are no tax breaks for company benefits similar to sole partnership.
(b) Each partner is liable for debts incurred.
(c) In case of death or quit, business may end.
Limited Partnership
One main difference between the general partnership and a limited partnership is that the limited
partners’ risk is reduced to the amount contributed to the partnership. The general partnership does not
need any special registration, but a limited partnership certificate needs to be filed with the Secretary of
State’s office. Tax reporting and payment is carried out the same way as a general partnership. There are
certain advantages and disadvantages of limited partnership as discussed below:
Advantages of Limited Partnership
1. There is limited risk to some partners.
2. It is relatively easier to create.
3. One level of taxation is possible.
Disadvantages of Limited Partnership
1. There is liability for debts incurred by partners.
2. The business owners are taxed as corporations under certain circumstances.
3. There are no tax breaks for company benefits.
4. There is no perpetuity of business.
Limited Liability Partnership
Limited liability partnerships are similar to other partnerships except that the partners have
limited personal liability due to negligence, malpractice and conduct of partners not under immediate and
direct control of a partner. The partnership is not free from liability due to debts or acts of partners under
direct control of a partner. A limited liability partnership is designed to help the professionals who operate
as a partnership and desire the limited liability protection afforded.
Limited Liability Company (LLC):
Features:
Ownership: LLCs blend features of partnerships and corporations, offering limited liability to owners
(members) while maintaining pass-through taxation.
Limited Liability: Members have limited liability, protecting personal assets from business debts and
obligations.
Flexible Structure: LLCs have flexible management structure and profit distribution among members.
Taxation: Profits pass through to members' personal income tax returns.
Advantages:
1. Limited Liability: Members are shielded from personal liability for business debts and
lawsuits.
2. Tax Flexibility: LLCs can choose taxation as a sole proprietorship, partnership, S corporation,
or C corporation.
3. Flexible Management: Less stringent management requirements, offering operational
flexibility.
4. Pass-Through Taxation: Avoids double taxation; profits are taxed only at the individual level.
Disadvantages:
1. Complexity: An LLC may involve more paperwork and formalities than sole proprietorships or
partnerships.
2. State Laws: Compliance with state-specific regulations and requirements.
3. Investor Restrictions: May face limitations in attracting investors due to ownership and
management structures.
4. Perpetual Succession Uncertainty: LLCs' continuity may be uncertain due to member changes
or dissolution.
Cooperative Society
A business formed by a group of people to obtain services or products more effectively and
economically than they could get individually is called a cooperative and jointly known as cooperative
society. Members of the cooperative own finance and operate the business for mutual benefit.
Cooperative society may be following types: consumer’s cooperative society, producer’s cooperative
society, cooperative marketing society, cooperative credit society, cooperative farming society and
housing cooperative society.
Characteristics of cooperative societies:
1. In cooperatives, net income paid to owners is taxed as personal income.
2. Ownership benefits can be distributed in proportion to use.
3. Control is democratic with one vote per patron.
4. There is limited return on equity capital.
5. All income is distributed to members on a participation basis.
6. Cooperative organizations do not come under state or federal income tax liability.
7. Like a sole proprietorship, partnership, or corporation, a cooperative must operate as a business
with complete planning, management, and written policies.
Advantages of Cooperative Societies
1. There is requirement of smaller-than-usual capital investment.
2. Authority is divided among the members or owners.
3. There are possible difficulties in cancelling the membership.
4. There is an economical purchasing of supplies due to economy of scale.
5. Expenses are shared by all the members of trade shows/exhibits.
Disadvantages of Cooperative Societies
1. There may be some losses of independence.
2. Working capital is less than the required.
3. Decision-making is complex in comparison to sole partnership.
4. Quality control may become difficult.
Public Sector Vs Private Sector Organization
(i) Private limited company:
This type company can be formed by two or more persons. The maximum number of
member ship is limited to 50. In this transfer of shares is limited to members only. The
government also does not interfere in the working of the company.
(ii) Public Limited Company:
Its is one whose membership is open to general public. The minimum number required to
form such company is seven, but there is no upper limit. Such company’s can advertise to offer
its share to genera public through a prospectus.
These public limited companies are subjected to greater control & supervision of control.
Merits:
 The liability being limited the shareholder bear no Rick& therefore more as make
persons are encouraged to invest capital.
 Because of large numbers of investors, the risk of loss is divided.
 Joint stock companies are not affected by the death or the retirement of the shareholders.
Disadvantages:
 It is difficult to preserve secrecy in these companies.
 It requires a large number of legal formalities to be observed.
 Lack of personal interest.
Public Corporations:
A public corporation is wholly owned by the Government centre to state. It is established usually by a
Special Act of the parliament. Special statute also prescribes its management pattern
power duties & jurisdictions. Though the total capital is provided by the Government, they have
separate entity & enjoy independence in matters related to appointments, promotions etc.
Merits:
 These are expected to provide better working conditions to the employees & supported to
be better managed.
 Quick decisions can be possible, because of absence of bureaucratic control.
 More Hexibility as compared to departmental organization.
 Since the management is in the hands of experienced & capable directors & managers,
these ate managed more efficiently than that of government departments.
Demerits:
 Any alteration in the power & Constitution of Corporation requires an amendment in the
particular Act, which is difficult & time consuming.
 Public Corporations possess monopoly & in the absence of competition, these are not
interested in adopting new techniques & in making improvement in their working.
Government Companies:
A state enterprise can also be organized in the form of a Joint stock company; A government company is
any company in which of the share capital is held by the central government or partly by central
government & party by one to more state governments. It is managed b the elected board of directors
which may include private individuals. These are accountable for its working to the concerned ministry or
department & its annual report is required to be placed ever year on the table of the parliament or state
legislatures along with the comments of the government to concerned department.
Merits:
 It is easy to form.
 The directors of a government company are free to take decisions & are not bound by
certain rigid rules & regulations.
Demerits:
 Misuse of excessive freedom cannot be ruled out.
 The directors are appointed by the government so they spend more time in pleasing their
political masters & top government officials, which results in inefficient management.
Business environment :
Dimensions of or the agents forming the business environment involve economic, social, legal,
technological and political circumstances which are contemplated properly for decision-making and
enhancing the achievement of the trading concern. In distinction to the precise environment, these aspects
manifest the prevailing environment, which often affects many companies at the same time. However, the
administration of every business can profit from being informed of these dimensions rather than being
unbiased in them. A concise argument of the multiple factors comprising the global environment of the
company is provided below:
(A) Legal Environment
 It includes various laws passed by the government, administrative orders issued by government
authorities, court judgments as well as decisions rendered by the central, state or local governments.
 Understanding of legal knowledge is a pre-requisite for the smooth functioning of business and
industry.
 Understanding the legal environment by business houses help them not to fall in a legal tangle.
 The legal environment includes various laws like Companies Act 2013, Consumer Protection Act
1986, Policies relating to licensing & approvals, Policies related to foreign trade etc.
Example: Labour laws followed by companies help them to keep away from penalties.
(B) Political Environment
 It means that the actions were taken by the government, which potentially affect the
routine activities of any business or company on a domestic or at the global level.
 The success of business and industry depends upon the government’s attitude towards the
business and industry, Stability of Government, Peace in the country.
Example: Political stability and central government’s attitudes towards business, industry and
employment, has attracted many national and international business entrepreneurs to invest in India.
(C) Economic Environment
 The economic environment consists of an economic system, economic policies and
economic conditions prevailing in a country.
 Interest Rates, Taxes, Inflation, Stock Market Indices, Value of Rupee, Personal
Disposable Income, Unemployment rate etc. are the factors which affect the economic
environment.
Example: A rise in the disposable income of people due to a decrease in tax rates in a country creates
more demand for products.
(D) Social Environment
 Social Environment consists of social forces like traditions, values, social trends, level of
education, the standard of living etc. All these forces have a vast impact on business.
 Tradition: It refers to social practices that have lasted for decades, such as Ugadi, Deepavali, Id,
Christmas,etc.,
 Impact: More demand during festivals provides opportunities for various businesses.
 Values: It refers to moral principles prevailing in the society, such as Freedom of choice in the
market, Social Justice, Equality of opportunity, Non-discriminatory practices etc.
 Impact: The organisations that believe in values maintain a good reputation in society and find
ease in selling their products.
 Social Trends: It refers to a general change or development in the society, such as health and
fitness trend among urban dwellers.
 Impact: Health and fitness trend has created demand for gyms, mineral water etc.
(E) Technological Environment
 It consists of scientific improvements and innovations which provide new ways of
producing goods, rendering services, new methods and techniques to operate a business.
 It is very important for a firm to understand the level of scientific achievements of a
particular economy before introducing its products.
 Technological compatibility of products also drives the demand for manufactured
products by a company.
Example: E-commerce has changed the scenario of doing the business, buying goods and availing
services at the click of a mouse or through mobile, Digital India initiative by the government and move
towards a paperless society.
Trade union
A trade union is an organisation made up of members (a membership-based organisation) and its
membership must be made up mainly of workers. One of a trade union's main aims is to protect and
advance the interests of its members in the workplace.
Most trade unions are independent of any employer. However, trade unions try to develop close working
relationships with employers. This can sometimes take the form of a partnership agreement between the
employer and the trade union which identifies their common interests and objectives.
Definition Of Trade Unions
Trade unions are collective bodies that represent workers in negotiations with employers. Their
main purpose is to safeguard the rights of employees and improve their working conditions. By
providing a unified voice, trade unions empower workers to negotiate fair wages and benefits.
They act as intermediaries between employees and employers, advocating for the interests of the
workforce as a whole.
Trade unions functions are ,
 To negotiate agreements with employers on pay and conditions
 To discuss major changes to the workplace such as large scale redundancy
 To discuss members' concerns with employers
 To accompany members in disciplinary and grievance meetings
 To provide members with legal and financial advice
 To provide education facilities and certain consumer benefits such as discounted insurance
UNIT – II FUNCTIONS OF MANAGEMENT - I 9
Planning: Characteristics; Nature; Importance; Steps; Limitation; Planning Premises; Strategic Planning;
Vision & Mission statement in Planning– Organizing: Organizing Theory; Principles; Types;
Departmentalization; Centralization and Decentralization; Authority & Responsibility – Staffing: Systems
Approach; Recruiting and Selection Process; Human Resource Development (HRD) Concept and Design.
INTRODUCTION TO PLANNING
Every business enterprise has its own predetermined objectives to be achieved. In order to
achieve the objectives in the best possible manner, it requires a lot of mental exercise based upon
imagination, foresight and judgment for deciding the tasks to be undertaken and techniques to be adopted.
No doubt the success lies in the effective and sound planning, which undoubtedly determines the future
course of action. Planning is the beginning of the process of management. A manager must plan before he
can possibly organize, staff, direct or control. Because planning sets all other functions into action, it can
be seen as the most basic function of management. Without planning other functions becomes merely an
activity, producing nothing but disorder.
All planning involves anticipation of the future course of events and therefore bears an element of
uncertainty in respect of its success. Planning is concerned with the determination of the objectives to be
achieved and course of action to be followed to achieve them. Before any operative action takes place it is
necessary to decide what, where, when and who shall do the things. Decision-making is also an important
element of planning. Planning determines both long-term and short- term objectives and also of the
individual departments as well as the entire organisation. In fact there is an element of planning in every
human activity, but in business there is greater need for planning. Planning thereby is to decide the future
course of action and therefore it is an intellectual process which requires a manager to think before acting.
It is thinking in advance. The managers of an organization are able to decide what is to be done, when it is
to be done and who is to do it only through proper planning. Planning hence is considered to be the first
managerial function to be performed in the process of management
DEFINITIONS OF PLANNING
According to Theo Haimann, ―Planning is deciding in advance what is to be done. When a manager
plans, he projects a course of action for the future, attempting to achieve a consistent, coordinated
structure of operations aimed at the desired results.‖
According to Louis AAllen, "Planning involves the development of forecasts, objectives, policies,
programmes, procedures, schedules and budgets".
According to Koontz and O’Donnell, ―Planning is deciding in advance what to do, how to do, when to
do it and who is to do it, planning bridges the gap from where we are, to where we want to go. It makes it
possible for things to occur which would not otherwise happen‖.
NATURE OF PLANNING
Thenatureofplanningcanbesummarizedasfollows:
1. Intellectual Process
Planning is an intellectual process. That is it is a mental exercise. It requires thinking reflection, analysis of
information and judgment. A good plan is based upon collection, study and analysis of the requisite facts,
evaluating alternativecombinationoffactors and deciding themost appropriate lines ofaction, dependingupon the
abilityandintelligenceofmanagement.
Furtherdecisionscannotbemadeon guess work. A mental exercise is required to foresee the pros and cons of
various alternatives. The selection of best alternative from the available ones will require deep thinking.
According to Koontz and O‘Donnell, planning is an intellectual process involving mental exercise,
foreseeingfuture developments,makingforecastsandthedeterminationofthebestcourseofaction.
2. Primary Function
Planning is the beginning ofthe process ofmanagement.A manager must planbefore she/he can possibly organize,
staff, direct or control. Because planning setsall others into action, it can be seen as the most basic function of
management.Without proper planning other activities becomemeaningless activity, producingnothingbut chaos.
It is a primary requisite to the managerial functions of organizing,staffing, directing, motivating, co-ordinating,
communicating and controlling. A manager must do planning before she/he can undertake the other
managerialfunctions. In short planning sets allother functions into action. Without planning,other functionswill
becomemereactivitiesproducingnothing.
3. Focus on objectives
Planning is linked with certain goals or objectives. A plan starts with the settingof objectives, and then, develops
policies, procedures, strategies, etc. to achieve the objectives. Planning has no meaning, if it does fix up
objectives. If planning isnot related to goals or objectives, it becomes an empty mental exercise or mereday-
dreaming. An organizationemploys a number ofpersons. Each one ofthemhas differentpersonalityand attitude.
There will be difference of opinion about the objectives of the enterprise and the methods to achieve them.
Planning focuses attention onsettinguporganizationalobjectivesandsuggestswaysto achievethem.
4. Pervasive
Planning pervades all levels of management. That is, planning is done at all levels of the management. In other
words, every manager, whether he is at the top, in the middle or at the bottom of the organizational structure,
plans. Of course, the depth of planning differs from one management level to other. Top management is
concerned with wide long-range strategic planning, while management at lower levels is concerned with
operational short-range planning. Planning is essential for every sort of business activities. Every department
whether, purchase, sales, accounts, auditing, marketing etc. needs systematic planning. Co-ordination of
different departmental plans and direction of their integrated energies towards the desired goal of the business
depend on planning. Effective organization, staffing, direction and controlling are needed for planning.
Planning in this way is all-embracing.
5. Decision-Making
Planning is essentially a decision making process, since it involves carefulanalysisofvariousalternative courses
ofactionand choosing the best. Inthe wordsofR. N Farmer and B. M Richman, ―Planning is essentiallydecision-
making onceit involveschoosingfromamongthe alternatives‖. Decision- making isanintegralpart ofplanning. It
is defined asthe process ofchoosingamongalternatives.Obviously,decision-makingwilloccurat manypointsin the
planning process. The success of an organization depends to a great extent on the type ofdecisions that are
made at the various level of an organization. Decision-makinginvolves making a choice fromvarious levelof an
organization. Decision –makinginvolves making achoice fromvarious available alternativesafter evaluating each
of these. Planning targets, objectives and course of action provide managers withguidelines and criteria against
which to evaluate alternatives and choose thosewhicharemostsuitable,thusplanningguidesdecision-making.
6. Integrated
It involves not only the determination of objectives but the formulation of sound policies, programmes,
procedures and strategies for the accomplishment ofthese objectives. It is the first of managerial functions and
facilitates other functions like organizing, staffing etc. It indicates that it facilitates and integrates all other
functionsofmanagement
7. Selective
Planningisaselective process. That is,it involves theselectionofbest courseof actionafter a carefulanalysis of the
variousalternativecoursesofaction.
8. Continuous
Planning is a never-ending activity of a manager. Planning is always tentative and subject to revision and
amendment as new facts become known. Even inexecution of planning there may be a change in settings and
conditions necessitatingmodification on a some what continual basis. Generally managers have the practiceof re
examining a plan and modifying them, if necessary, in view of the newsituations.
Inthisway, it willbepossibleto heed to newsituations and overcomeproblems.Planningisnecessaryforsituations
whenthingsaregoingwellaswellaswhentroublesarefaced.Alltypesofsituationsrequirecontinuousplanning.
9. Inseparable
Planning and control are inseparable, which means that they are Siamesetwins of management. Unplanned
action cannot be controlled, for controlinvolveskeeping activities in course by correcting deviations from plans.
And any attemptto control without plans should be meaningless. In short, planning without controlis fruitless
exercise,andcontrolwithoutplanningisimpossibility.
10. Future Oriented
Planning is future oriented. Its essence is looking ahead. It‘s undertaken tohandle future events effectively and
achieve some objectives in future.No doubt, we always plan for future. We anticipate future requirements and
availability of resources. While determining the future demands, we have to takeinto considerationthe existing
and prospective resources of the business and fiscal,monetary and industrial policy of the government. Plans are
alwaysput to practicein future. It is onlya setting, thinking and arrangement in advance for the future.Planning
inthiswayislookingahead.
11. Action Oriented
Planning is action-oriented. That is, planning should be undertaken in the light of organizational preferences.
The course of action determined must be realistic. That is, it should be neither impossible nor too easy to
achieve.
12. Inter-Dependent
Planning is an inter-dependent process. It requires the cooperation of various sections and sub-sections of the
organization.
13. Participative
Planning involves the participation of all the managers as well as the subordinates. In the words of Koontz
and O‘ Donnell, ―plans must be formulated in an atmosphere of the participation and high degree of
concurrence
IMPORTANCE OF PLANNING
ThesignificanceorimportanceofPlanningcanbesummarisedasfollows:
1) Planning offsets future uncertainty and change
A business concern has to work in an environment which is uncertain andever-changing. Planning helps the
manager in carving out the organization thanwould bepresent without planning. Proper planningbrings withit a
higher degree of certainty and order in the organization; it helps the organization in foreseeing the risks and
uncertainties in the future and in advance in the best possible way and inpreparing the plan on the basis of
decisions in the past and present. This willreducetheuncertaintiesandrisksresultingfromthe futurechanges.In
short,planninghelpstoreduceuncertaintiesandchangesinfuture.
2) Facilitates unity of direction and coordination
Planning facilitates coordination through its well defined objectives, wellpublicized policies, programmes
and procedures. Planning facilitates the coordinationofalltheinter-connectedactivitiesandavoidsduplication
ofactivitiesand delays in the executionof activities. In the words of Koontzand O‘ Donnell,―Plans are selected
courses along with the management desires to co-ordinategroup action, towards the common goals of the
organization.‖
3) Facilitates Control
Planning facilitates control. Planning determines in advance the work to bedone, the person responsible
for doing it., the time to be taken to do the work andthe costs to be incurred. This makes it easy to
compare the actual performance with the planned performance. In case there are deviations, corrective
actionsaretakentoremovethedeviations.Thusplanningfacilitatescontrol.
4) Management by objectives
It facilitates Management byobjectives. That is, it makes the managementformulate theobjectives ofthe
organizationinclear-cut terms andtake the rightcourseofactionto realizespecificobjectives.
5) Focuses attention on Organizational goals and facilitates management by objectives
An organization has definite goals or objectives, and all the activities of theorganization are directed
towards the achievement of those objectives. Planningmakes the organization objectives more concrete
and clear, and makes every levelof the people of the organizationhave a clear idea of the objectives of the
organizationobjectives to be achieved. It also determines the methods to be adopted in orderto achieve
theorganization‘sobjectives.
6) Improves Adaptability
Planning helps adaptability i.e. planning helps the organization in coping with the changing business
environment. The anticipation of future events and changingconditions, implied in planning, prepares the
organizationtomeetthemeffectively
7) Improves Competitive Strength
Planning improves the competitive strengths of the firm by anticipating thetechnological changes and
tastes and preferences of the people for discoveringnew opportunities for expansion and providing
for changes in work methods, improvement in quality of products, etc. enterprises which adopt
planning willhaveacompetitiveedgeoverenterpriseswhichdonot have planning
8) Improves motivation
Planning improves motivation. Planning ensures the participationof allmanagersin the determination of the
goals, policies, programmes etc. of the organization;this improves the motivation and morale of the
managers.
Again, when there isgood planning, the workers in the organization know clearly what is expected of
them. Thisimprovesthemotivationandmoraleamongworkers
9) Encourages Innovation and Creativity
Planning promotes or encourages innovation and creativity on the part ofmanagers, in the sense that
many new ideas come to the minds of managers duringplanning, which is basicallya deciding function of
management
10) Facilitates Delegation
This means that not only managers but also their subordinates take part inplanning.Theinvolvement of
subordinatesinplanningnecessarily requiresdelegationofauthoritytothemforgettingthethingsdone
LIMITATIONS OF PLANNING
1. Internal Limitations
There are several limitations of planning. Some of them are inherit in the process of
planning like rigidity and other arise due to shortcoming of the techniquesof planning and in the
plannersthemselves.
a) Rigidity
i) Planninghastendencytomakeadministrationinflexible.
ii) Planning implies prior determination of policies, procedures and programmes and a strict
adherence to themin allcircumstances.
iii)Thereisno scopeforindividualfreedom.
iv)The development of employees is highly doubted because of whichmanagement might
havefacedlot ofdifficultiesinfuture.
v) Planning therefore introduces inelasticity and discourages individual initiative and
experimentation.
b) Misdirected Planning
i) Planningmaybeusedtoserveindividualinterestsratherthantheinterest oftheenterprise.
ii) Attempts can be made to influence setting of objectives, formulation of plans and
programmes to suit one‘s own requirement rather than that of wholeorganization.
iii)Machinery of planning can never be freed of bias. Every planner has hisown likes, dislikes,
preferences,attitudesandinterestswhichisreflectedinplanning
c) Time consuming
i) Planning is a time consuming process because it involves collection ofinformation, it‘s
analysis and interpretation thereof.This entireprocess takes alotoftime speciallywhere there
are anumberofalternatives available.
ii) Therefore planning is not suitable during emergency or crisis when quick decisions are
required.
d) Probability in planning
i) Planningis based onforecastswhicharemere estimatesabout future.
ii) These estimatesmayproveto beinexact dueto theuncertaintyoffuture.
iii)Anychangeintheanticipatedsituationmayrenderplans ineffective.
iv)Plans do not always reflect real situations in spite of the sophisticated techniques of
forecastingbecause future isunpredictable.
v) Thus, excessivereliance onplans mayproveto be fatal.
e) False sense of security
i) Elaborate planning may create a false sense of security to the effect that everything is
takenfor granted.
ii) Managers assumethat as longastheywork as perplans,it issatisfactory.
ii) Thereforetheyfailto take uptimelyactions and anopportunityislost.
iii)Employeesaremoreconcernedaboutfulfilmentofplanperformanceratherthan anykind ofchange.
f) Expensive
Collection,analysisandevaluationofdifferent information,factsandalternatives involves a lot of expense in
termsoftime, effort andmoney.
2. External Limitations of Planning
i) PoliticalClimate- Change of government from Congress to some otherpoliticalparty, etc.
ii) Labour Union-Strikes, lockouts,agitations.
iii) Technological changes- Modern techniques and equipments,computerization.
iv) Policies ofcompetitors- E.g. Policies ofCocaCola and Pepsi.
v) NaturalCalamities-Earthquakes andfloods.
vi) Changes in demand and prices- Change in fashion, change in tastes, changein income level, demand
falls, pricefalls, etc.
PLANNING PREMISES
Planning premises means systemic and logical estimate for the future factors affecting planning.
According to Dr.G.R.Terry ,‖planning premise are the assumptions providing a background against
which the estimated events affecting the planning will take place‖.
Types of Planning Premises are briefly explained as follows:-
1. Internal and External Premises
Internal Premises come from the business itself. It includes skills of the workers, capital investment
policies, philosophy of management, sales forecasts, etc. External Premises come from the external
environment. That is, economic, social, political, cultural and technological environment. External
premises cannot be controlled by the business.
2. Controllable, Semi-controllable and Uncontrollable Premises
Controllable Premises are those which are fully controlled by the management. They include factors
like materials, machines and money. Semi-controllable Premises are partly controllable. They
include marketing strategy.
Uncontrollable Premises are those over which the management has absolutely no control. They
include weather conditions, consumers' behaviour, government policy, natural calamities, wars, etc.
3. Tangible and Intangible Premises
Tangible Premises can be measured in quantitative terms. They include units of production and sale,
money, time, hours of work, etc.
Intangible Premises cannot be measured in quantitative terms. They include goodwill of the
business, employee's morale, employee's attitude and public relations.
4. Constant and Variable Premises
Constant Premises do not change. They remain the same, even if there is a change in the course of
action. They include men, money and machines.
Variable Premises are subject to change. They change according to the course of action. They
include union-management relations.
STRATEGIC PLANNING
Strategic planning is the process of documenting and establishing a direction of your small business—
by assessing both where you are and where you're going. The strategic plan gives you a place to record
your mission, vision, and values, as well as your long-term goals and the action plans you'll use to reach
them.
Strategic planning is a systematic process that helps you set an ambition for your business' future and
determine how best to achieve it. Its primary purpose is to connect three key areas: your mission -
defining your business' purpose. Strategic planning is important because it influences the attractiveness
of the business to investors. The attractiveness of the business to potential investors means the ability of
the organization to access financial resources that it could use for its continued growth and
development. Strategic planning is the art of creating specific business strategies, implementing them,
and evaluating the results of executing the plan, in regard to a company‘s overall long-term goals or
desires. It is a concept that focuses on integrating various departments (such as accounting and finance,
marketing, and human resources) within a company to accomplish its strategic goals. The term strategic
planning is essentially synonymous with strategic management.
Characteristics of Strategic Planning
 Strategic Planning is an analytical process which formulates strategic and operational plans for
the organization. The implementation of strategic plans is possible through projects, whereas
various units or divisions of the firm implement operational plans.
 It performs SWOT Analysis, i.e. during the planning process, the firm‘s strengths, weaknesses,
opportunities and threats are taken into consideration.
 It is a forward-looking activity wherein the future opportunities and threats are ascertained
while considering its profitability, market share, product and competition.
 It presupposes that a firm should always be ready to adapt itself according to the dynamic
business environment. For this purpose alternative strategies are developed for different
circumstances, i.e. from best to worst, for the future
 It can be done for the entire organization or to a specific business unit.
 It is helpful in selecting the best strategy, among the various strategies taking into account the
firm‘s interest, personal values and corporate social responsibility.
 It acts as a guide to the executive to reduce the risk involved in the business and also to take
the best possible advantage of the opportunities. So, in this way, it contributes to the success of
the enterprise.
 Strategic Planning is a logical effort, that envisions the desired future, by producing various
alternative actions and decisions, to formulate an effective strategy, that brings success to the
organisation. It helps in analysing and adjusting the organisation‘s efforts as a whole,
according to the changing businessenvironment.
Strategic Planning Stages
1. Generation of Strategic Alternatives:
In this step, the firm seeks a number of strategic alternatives in the light of the firm‘s business,
industry and competition. These strategies may be acquisition and expansion, focusing on core
competencies, increase in the market share, etc.
2. Assessment of Strategic Alternatives:
At this stage, the firm observes various strategies, on the basis of the benefits. It questions:
• Will it improve the firm‘s position or market share?
• Will it increase existing strengths?
• Will it bring new opportunities?
• Will it maximise shareholder‘s wealth?
3. Selection of Strategy:
The optimum strategy is selected at this stage, among various alternative strategies. Both
internal and external analysis of the firm is performed during the exercise; wherein internal
analysis entails an evaluation of financial performance, operational limitations, current market
position/share corporate culture, strengths and weaknesses. On the other hand, external analysis
concentrates on the analysis of competition, trends, changing business environment,
opportunities and threats, latest technology and so forth.
Vision & Mission statement in Planning
From the perspective of an organization, the problem may be that you are not focusing on what
you want to achieve and how you will achieve it. Below are a series of steps or statements of how to
give your organization direction. The first is a statement of vision. It provides a destination for the
organization. Next is a statement of mission. This is a guiding light of how to get to the destination.
These are critical statements for the organization and the individuals who run the organization.
Vision – Big picture of what you want to achieve.
Mission – General statement of how you will achieve the vision.
A companion statement often created with the vision and mission is a statement of core values.
Core Values – How you will behave during the process.
Once you have identified what your organization wants to achieve (vision) and generally how the vision
will be achieved (mission), the next step is to develop a series of statements specifying how the mission
will be utilized to achieve the vision:
Strategies – Strategies are one or more ways to use the mission statement in order to achieve the vision
statement. Although an organization will have just one vision statement and one mission statement, it
may have several strategies.
Goals – These are general statements of what needs to be accomplished to implement a strategy.
Objectives – Objectives provide specific milestones with a specific timeline for achieving a goal.
Action Plans – These are specific implementation plans of how you will achieve an objective.
A more in-depth discussion of these statements is presented below. Statements for an example business
are provided for clarification.
Vision Statement – A mental picture of what you want to accomplish or achieve. For example, your
vision may be a successful winery business or an economically active community.
Vision of an Example Business – A successful family dairy business.
Mission Statement – A general statement of how the vision will be achieved. The mission statement is
an action statement that usually begins with the word "to".
Mission of an Example Business – To provide unique and high quality dairy products to local
consumers.
Core Values– Core values define the organization in terms of the principles and values the leaders will
follow in carrying out the activities of the organization.
Core Values of the Example Business:
Focus on new and innovative business ideas,Practice high ethical standards.
Respect and protect the environment. Meet the changing needs and desires of clients and consumers.
Statements of vision and mission are important so that everyone involved in the organization, including
outside stakeholders, understand what the organization will accomplish and how it will be
accomplished. In essence this means "keeping everyone on the same page" so they are all "pulling in
the same direction".
There is a close relationship between the vision and mission. As the vision statement is a static mental
picture of what you want to achieve, the mission statement is a dynamic process of how the vision will
be accomplished. To create successful statements, you should keep the following concepts in mind.
ORGANIZING
Organizing is a process of integrating, coordinating and mobilizing the activities of members of
a group for seeking common goals. Organisation is the process of establishing relationship among the
members of the enterprise. The relationships are created in terms of authority and responsibility. To
organise is to harmonise,coordinate or arrange in a logical and orderly manner. Each member in the
organisation is assigned a specific responsibility or duty to perform and is granted the corresponding
authority to perform his duty.
DEFINITIONS OF ORGANISING
According to Koontz and O‘Donnell, ―Organizing involves the establishment of an internal structure
of roles, by identifying and listing the activities required to achieve the purpose of enterprise, the
grouping of these activities, the assignment of such group of activities to manager, the delegation of
authority to carry out and provision for coordination of authority relationship horizontally and vertically
in the organization structure‖.
According to Theo Haimann, "Organising is the process of defining and grouping the activities of
the enterprise and establishing the authority relationships among them. In performing the organising
function, the manager defines, department alises and assigns activities so that they can be most
effectively executed."
According to Urwick, ―Organizing is a process of dividing up of activities which are necessary to any
purpose and arranging them in group which are assigned to individuals‖.
a) Determination of Objectives:
It is the first step in building up an organization. Organization is always related
to certain objectives. Therefore, it is essential for the management to identify the
objectives before starting any activity. Organization structure is built on the basis of the
objectives of the enterprise.
This step helps the management not only in framing the organization structure
but also in achieving the enterprise objectives with minimum cost and efforts.
Determination of objectives will consistin deciding as to why the proposed organization
is to be set up and, therefore, what will be the nature of the work to be accomplished
through the organization.
b) Enumeration of Objectives:
If the members of the group are to pool their efforts effectively, there must be
proper division of the major activities. The first step in organizing group effort is the
division of the total job into essential activities. Each job should be properly classified
and grouped.
This will enable the people to know what is expected of them as members of
the group and will help in avoiding duplication of efforts. For example, the work of an
industrial concern may be divided into the following major functions – production,
financing, personnel, sales, purchase, etc.
c) Classification of Activities:
The next step will be to classify activities according to similarities and common
purposesand functions and taking the human and material resources into account. Then,
closely related and similar activities are grouped into divisions and departments and the
departmental activities are further divided into sections.
d) Assignment of Duties:
Here, specific job assignments are made to different subordinates for ensuring a
certainty of work performance. Each individual should be given a specific job to do
according to his ability and made responsible for that. He should also be given the
adequate authority to do thejob assigned to him.
e) Delegation of Authority:
Everybody should clearly know to whom he is accountable; corresponding to the
responsibility, authority is delegated to the subordinates for enabling them to show
work performance. This will help in the smooth working of the enterprise by facilitating
delegation of responsibility and authority.
Principles of organization or Requisites of an Ideal and Sound Organization:
1. Principle of unity of objectives: All activities in an organization should aim at achieving
common goals. All departmental goals must be clearly defined and should aim at achieving the
overall goal of organization. Also, efforts must be made to synchronize the individual goals with
organizational goals.
2. Principle of specialization: Sound and effective organization rests on specialization. When an
employee takes special type of knowledge and skill in any area, it is known as specialization.
By dividing the work into small tasks, each employee is required to perform a task repeatedly. In
this way, he becomes an expert in his area and benefits the organization by specializing in it.
3. Principle of coordination: Organization establishes coordination. Coordination is obtained by
group efforts with clearly defined roles that emphasize on unity of action.
4. Principle of parity of authority and responsibility: Authority is the power or right to give
orders, make decisions, and enforce obedience . Responsibility is the obligation to perform the duties
assigned. There should a balance between them otherwise more authority than required will lead to
abuse of authority. Similarly, without adequate authority, responsibility cannot be fulfilled
effectively as the employee will not be having powers to make decisions and enforce his orders.
5. Principle of delegation: Process of transferring authority and creation of responsibility between
superior and subordinates to accomplish a certain task is called delegation of authority. A superior
can delegate authority but not responsibility. Responsibility is absolute. The ultimate responsibility
vests with him only. He would be answerable to his superior for non performance of work by his
subordinates. Also, the principle of parity of authority and responsibility should not be disobeyed in
delegation as well.
6. Scalar Principle: Under this principle all the people working in the organization should be bound
with one another from top to bottom in a vertical chain. For example, Board of Directors > General
Manager > Departmental Manager > Supervisor > Foreman > Workers.
7. Principle of unity of command: Subordinates should receive orders from single superior at a time
and all subordinates should be accountable to that superior only. More superiors leads to confusion,
delay and shirking of work.
8. Principle of span of control: Span of control refers to the number of employees under the direct
supervision of the superior. Larger span of control is more difficult to supervise and coordinate.
However, it depends upon a number of factors like the ability of the superior and nature of his work
etc. Span of control determines the number of levels in the organisation.
9. Principle of flexibility: Organizational structure must be flexible considering the environmental
dynamism. Sometimes, change may need to be incorporated in the organization structure due to
changes in the environmental factors and in that condition, organization structure should have
capability to permit the change.
10. Principle of simplicity: This principle emphasizes the simplicity of organizational structure. The
structure of organization should be simple with minimum number of levels so that its employee can
understand duties and authority easily. Also, simple structure is cost effective and easy to understand.
ORGANIZATIONAL TYPES
฀ The formal framework, by which job tasks are divided, grouped and coordinated.
Formal and Informal Organization
Formal Organization
฀ The intentional structure of roles in a formally organized enterprise.
฀ According to Classical Theorists, formal organization is
built on fourpillars:
o Division of labour
o Scalar and functional processes
o Structure
o Span of Control
Characteristics
฀ Organization structure is designed by the top management to fulfill certain requirements
–performance of necessary activities thereby achieving organizational goals.
฀ Organization structure is based on the principles of division of labour and
efficiency inoperations.
฀ Organization concentrates more on the performance of jobs and not on the
individualsperforming the jobs
฀ The authority and responsibility assigned to each job have to be adhered to by the
job holders. Based on the concept of authority and responsibility people are
placed in hierarchyand their status is determined accordingly.
฀ Coordination among members and their control are well specified through
processes,procedures, rules, etc.
Informal Organization
฀ A network of interpersonal relationships that arise when people associate with one another.
Characteristics
฀ Informal organization is a natural outcome at the workplace. It is not designed and planned.
Disadvantages
฀ It is autocrative and dictorial in nature
฀ Line organization is not suitable for large scale enterprise where high level of
specializationis required.
฀ Specialized variety of job is difficult to supervise by a supervisor
฀ Limited opportunities for the members to acquire experience of the other
functions of theenterprise.
฀ The head of each department is afforded total control of his workforce and to this
extent theeffectiveness of his department depends upon his capabilities.
Line and Staff Organization
฀ In line and staff organization, the line executives are responsible for maintaining
discipline,production and the staff division is responsible for research, planning,
scheduling, establishing standards and recording of performance.
฀ The line managers are supplied with services of staff for the basic
functions likeproduction, marketing, finance, accounting, personnel,
R&D, etc.
฀ The line managers are decision takers, taking decisions with the help of staff experts.
฀ Staff experts can suggest their recommendations to the line managers
฀ The implementation is the responsibility of line managers. Hence, the staff
experts are called as „thinkers‟ while the line managers are called as
„doers‟.
Advantages
฀ Operational efficiency is increased
฀ Offer greater flexibility
฀ Wastage of raw material, machine hours are reduced considerably.
฀ Discipline and stability can be achieved
฀ Better chances of advancement for both line and staff managers
฀ Services of staff executives can be used to train line executives
Disadvantages
฀ Possibility of misunderstanding between line and staff employees if
functions are notdefined clearly
฀ Line executives depend too much on staff executives, in such conditions line
executivemay lose their initiative and creativity
฀ Line manager‟s approach to the problem is practical while the staff management
approachbeing experts in their field is theoretical.
฀ Informal organization is created on the basis of some similarity among its
members. The bases of similarity may be age, gender, place of origin, caste,
religion, personality characteristics, likings/disliking, etc.
฀ Membership in an informal organization is voluntary. A person may become
member of several informal organizations at the same time.
฀ Behavior of members of the informal organization is coordinated and controlled
by group norms and not by the norms of the formal organization.
Comparison of Formal and Informal Organization
Basis of Comparison Formal Organization Informal Organization
Formation Planned and deliberate Spontaneous
Purpose Well-set goals Social interaction
Structure Well structured Unstructured
Nature Official Unofficial
Focus Positions Persons
Leadership Superior Anyone
Source of Power Delegated Given by group
Guidelines for behaviour Rules and Procedures Group norms
Sources of control Reward/Punishment Sanctions
LINE AND STAFF AUTHORITY
Authority and Power
Power: The ability of individuals or groups to induce or influence the beliefs or actions
of otherpersons or groups.
Authority: The right in a position to exercise discretion in making decisions affecting others
Line/Staff Concepts
Line Authority: The relationship in which a superior exercises direct supervision
over asubordinate.
Scalar Principle: The clearer the line of authority, the clearer will be the
responsibility fordecision making and the more effective will be organizational
communication.
Staff Relationship: The nature of staff relationship is advisory.
The function of people in a pure staff capacity is to investigate, research and give
advice to linemanagers.
Functional Authority
The right delegated to an individual or a department to control specified processes,
practices,policies or other matters relating to activities undertaken by persons in other
departments.
Line Organization/Scaler Organization
฀ Line organization structure is based on scaler or hierarchical principles
ie., relativeauthority and responsibility.
฀ Everyone has a well-defined manager and there is clear definition of the routes of
authorityand communication
฀ The top-level management takes the major decisions and passes it to
middle-levelsubordinates who implement them.
฀ The middle-level management identifies the job and assigns the responsibility
to differentpeople according to their functions and ability.
฀ Easy to establish and operate
฀ It is economical and easy to understand
฀ No confusion as authority and responsibilities of each employee are clearly defined.
฀ Discipline and loyalty is ensured due to unified command
฀ Line organization promotes staff discipline more easily than other forms
Disadvantages
฀ It is autocrative and dictorial in nature
฀ Line organization is not suitable for large scale enterprise where high level of
specializationis required.
฀ Specialized variety of job is difficult to supervise by a supervisor
฀ Limited opportunities for the members to acquire experience of the other
functions of theenterprise.
฀ The head of each department is afforded total control of his workforce and to this
extent theeffectiveness of his department depends upon his capabilities.
Line and Staff Organization
฀ In line and staff organization, the line executives are responsible for maintaining
discipline,production and the staff division is responsible for research, planning,
scheduling, establishing standards and recording of performance.
฀ The line managers are supplied with services of staff for the basic
functions likeproduction, marketing, finance, accounting, personnel,
R&D, etc.
฀ The line managers are decision takers, taking decisions with the help of staff experts.
฀ Staff experts can suggest their recommendations to the line managers
฀ The implementation is the responsibility of line managers. Hence, the staff
experts are called as „thinkers‟ while the line managers are called as
„doers‟.
Advantages
฀ Operational efficiency is increased
฀ Offer greater flexibility
฀ Wastage of raw material, machine hours are reduced considerably.
฀ Discipline and stability can be achieved
฀ Better chances of advancement for both line and staff managers
฀ Services of staff executives can be used to train line executives
Disadvantages
฀ Possibility of misunderstanding between line and staff employees if
functions are notdefined clearly
฀ Line executives depend too much on staff executives, in such conditions line
executivemay lose their initiative and creativity
฀ Line manager‟s approach to the problem is practical while the staff management
approachbeing experts in their field is theoretical.
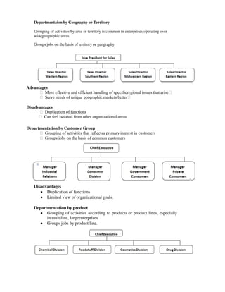
DEPARTMENTATION
The basis by which jobs are grouped together.
Forms (or) Types
฀ Departmentation by Enterprise Function
฀ Departmentation by Territory or Geography
฀ Departmentation by Customer Group
฀ Departmentation by Product
฀ Departmentation by Process
Departmentation by Enterprise Function
Grouping of activities according to the functions of an enterprise such as production, sales
and financing.
Advantages
฀ Efficiencies from putting together similar specialities and people with
common skills,knowledge and orientations
฀ Coordination within functional area
฀ In-depth specialization
Disadvantages
฀ Poor communication across functional areas
฀ Limited view of organizational goals
Departmentaion by Geography or Territory
Grouping of activities by area or territory is common in enterprises operating over
widegeographic areas.
Groups jobs on the basis of territory or geography.
Advantages
฀ More effective and efficient handling of specificregional issues that arise฀
฀ Serve needs of unique geographic markets better฀
Disadvantages
฀ Duplication of functions
฀ Can feel isolated from other organizational areas
Departmentation by Customer Group
฀ Grouping of activities that reflectsa primary interest in customers
฀ Groups jobs on the basis of common customers
Disadvantages
 Duplication of functions
 Limited view of organizational goals.

Departmentation by product
 Grouping of activities according to products or product lines, especially
in multiline, largeenterprises
 Groups jobs by product line.
Advantages
 Allows specialization in particular products and services
 Managers can become experts in their industry
 Closer to customers
Disadvantages
 Duplication of functions
 Limited view of organizational goals
Departmentation by Process
 Group jobs on the basis of product or customer flow
Advantage: More efficient flow of work activities
Disadvantage: Can only be used with certain types of products.
Matrix Departmentation
The combining of functional and project or product patterns of departmentation in the
sameorganization
Advantages
• Efficiently manage large, complex tasks
• Effectively carry out large, complex tasks
Disadvantages
• Requires high levels of coordination
• Conflict between bosses
• Requires high levels of management skills
Centralization
The degree to which decision making is concentrated at a single point in the organization
Advantages of Centralization
o Provide Power and prestige for manager
o Promote uniformity of policies, practices and decisions
o Minimal extensive controlling procedures and practices
o Minimize duplication of function
Disadvantages of Centralization
• Neglected functions for mid. Level, and less motivated beside personnel.
Decentralization
The degree to which lower-level employees provide input or actually make decisions.
Advantages of Decentralization
• Raise morale and promote interpersonal relationships
• Relieve from the daily administration
• Bring decision-making close to action
• Develop Second-line managers
• Promote employee‟s enthusiasm and coordination
• Facilitate actions by lower-level managers
Disadvantages of Decentralization
• Top-level administration may feel it would decrease their status
• Managers may not permit full and maximum utilization of highly qualified personnel
• Increased costs. It requires more managers and large staff
• It may lead to overlapping and duplication of effort
DELEGATION OF AUTHORITY
A manager alone cannot perform all the tasks assigned to him. In order to meet the
targets, the manager should delegate authority. Delegation of Authority means division of
authority and powers downwards to the subordinate. Delegation is about entrusting
someone else to do parts of your job. Delegation of authority can be defined as subdivision
and sub-allocation of powers to the subordinates in order to achieve effective results.
Delegation is the assignment of authority to another person (normally from a
manager to a subordinate) to carry out specific activities. It is the process of distributing and
entrusting work to another person. Delegation is one of the core concepts of management
leadership.
Delegation means devolution of authority on subordinates to make them to perform
the assigned duties or tasks. It is that part of the process of organization by which managers
make it possible for others to share the work of accomplishing organizational objectives.
Delegation consists of granting authority or the right to decision-making in certain defined
areas and charging the subordinate with responsibility for carrying through the assigned
tasks.
Delegation refers to the assignment of work to others and confer them the requisite
authority to accomplish the job assigned. Through delegation, a manager is able to divide
the work and allocate it to the subordinates. This helps in reducing his work load so that he
can work on important areas such as - planning, business analysis etc. Through delegating
powers, the subordinates get a feeling of importance.
Elements of Delegation
1. Authority - in context of a business organization, authority can be defined as the power
and right of a person to use and allocate the resources efficiently, to take decisions and to
give orders so as to achieve the organizational objectives. Authority must be well- defined.
All people who have the authority should know what is the scope of their authority is and
they shouldn‘t misutilize it. Authority is the right to give commands, orders and get the
things done. The top level management has greatest authority.
Authority always flows from top to bottom. It explains how a superior gets work
done from his subordinate by clearly explaining what is expected of him and how he should
go about it. Authority should be accompanied with an equal amount of responsibility.
Delegating the authority to someone else doesn‘t imply escaping from accountability.
Accountability still rest with the person having the utmost authority.
According to the above diagram, the Managing Director has got the highest level of
authority. This authority is shared by the Marketing Manager who shares his authority with the
Sales Manager. From this chain of hierarchy, the official chain of communication becomes clear
which is helpful in achievement of results and which provides stability to a concern. This scalar
chain of command always flow from top to bottom and it defines the authority positions of different
managers at different levels.
3. Responsibility - is the duty of the person to complete the task assigned to him. A person
who is given the responsibility should ensure that he accomplishes the tasks assigned to
him. If the tasks for which he was held responsible are not completed, then he should not
give explanations or excuses. Responsibility without adequate authority leads to
discontent and dissatisfaction among the person. Responsibility flows from bottom to
top. The middle level and lower level management holds more responsibility. The person
held responsible for a job is answerable for it. If he performs the tasks assigned as
expected, he is bound for praises. While if he doesn‘t accomplish tasks assigned as
expected, then also he is answerable for that.
Staffing :
The main purpose of staffing is to put right man on right job. According to Kootz & O‘Donell,
―Managerial function of staffing involves manning the organization structure through proper and
effective selection, appraisal & development of personnel to fill the roles designed un the structure‖.
Staffing involves:
฀ Manpower Planning (estimating man power in terms of searching, choose the person and
giving the right place).
฀ Recruitment, Selection & Placement.
฀ Training & Development.
฀ Remuneration.
฀ Performance Appraisal.
฀ Promotions & Transfer.
Manpower Planning
Manpower Planning which is also called as Human Resource Planning consists of putting
right number of people, right kind of people at the right place, right time, doing the right
things for which they are suited for the achievement of goals of the organization.
Recruitment
Recruitment is the process of finding and attempting to attract job candidates who are
capable of effectively filling job vacancies.Job descriptions and job specifications are
important in the recruiting process because theyspecify the nature of the job and the
qualifications required of job candidates.
Selection
Selecting a suitable candidate can be the biggest challenge for any organization. The
success of an organization largely depends on its staff. Selection of the right candidate builds
the foundation of any organization's success and helps in reducing turnovers.
Training and Development
Training and Development is a planned effort to facilitate employee learning of job- related
behaviors in order to improve employee performance.
Systems Approach:
In the 1960, an approach to management appeared which tried to unify the prior schools of
thought. This approach is commonly known as ‗Systems Approach‘. Its early contributors include
Ludwing Von Bertalanffy, Lawrence J. Henderson, W.G. Scott, Deniel Katz, Robert L. Kahn, W. Buckley
and J.D. Thompson.
They viewed organization as an organic and open system, which is composed of interacting and
interdependent parts, called subsystems. The system approach is to look upon management as a system or
as ―an organised whole‖ made up of subsystems integrated into a unity or orderly totality. System
approach is based on the generalization that everything is inter-related and inter-dependent. A system is
composed of related and dependent element which, when in interaction, forms a unitary whole. A system
is simply an assemblage or combination of things or parts forming a complex whole. One of its most
important characteristic is that it is composed of hierarchy of sub-systems. That is the parts forming the
major systems and so on. For example, the world can be considered to be a system in which various
national economies are sub-systems.
In turn, each national economy is composed of its various industries, each industry is composed of
firms; and of course, a firm can be considered a system composed of sub-systems such as production,
marketing, finance, accounting and so on.
The basic features of systems approach are as under:
(i) A system consists of interacting elements. It is set of inter related and interdependent parts arranged in
a manner that produces a unified whole.
(ii) The various sub-systems should be studied in their inter- relationships rather, than in isolation from
each other.
(iii) An organisational system has a boundary that determines which parts are internal and which are
external.
(iv) A system does not exist in a vaccum. It receives information, material and energy from other systems
as inputs. These inputs undergo a transformation process within the system and leave the system as output
to other systems.
(v) An organisation is a dynamic system as it is responsive to its environment. It is vulnerable to change in
its environment.
In the systems approach, attention is paid towards the overall effectiveness of the system rather than the
effectiveness of the sub-systems. The interdependence of the sub-systems is taken into account. The idea
of systems can be applied at an organizational level. In applying system concepts, organizations are taken
into account and not only the objectives and performances of different departments (sub-systems).
The systems approach is considered both general and specialized systems. The general systems
approach to management is mainly concerned with formal organizations and the concepts are relating to
technique of sociology, psychology and philosophy. The specific management system includes the
analysis of organisational structure, information, planning and control mechanism and job design, etc. As
discussed earlier, system approach has immense possibilities, ―A system view point may provide the
impetus to unify management theory. By definitions, it could treat the various approaches such as the
process of quantitative and behavioural ones as sub-systems in an overall theory of management. Thus, the
systems approach may succeed where the process approach has failed to lead management out of the
theory of jungle. ‖ Systems theory is useful to management because it aims at achieving the objectives and
it views organization as an open system. Chester Barnard was the first person to utilise the systems
approach in the field of management. He feels that the executive must steer through by keeping a balance
between conflicting forces and events. A high order of responsible leadership makes the executives
effective. H. Simon viewed organization as a complex system of decision making process.
Evaluation of System Approach:
The systems approach assists in studying the functions of complex organisations and has been utilised as
the base for the new kinds of organisations like project management organisation. It is possible to bring
out the inter-relations in various functions like planning, organising, directing and controlling. This
approach has an edge over the other approaches because it is very close to reality. This approach is
called abstract and vague. It cannot be easily applied to large and complex organisations. Moreover, it
does not provide any tool and technique for managers.
RECRUITMENT
The process of locating, identifying and attracting capable applicants
Recruiting Sources
The source used is influenced by three factors
 The local labour market
 The type or level of position
 The size of the organization
Recruitment Process
The recruitment process consists of the following steps
• Identification of vacancy
• Preparation of job description and job specification
• Selection of sources
• Advertising the vacancy
• Managing the response
a) Identification of vacancy:
The recruitment process begins with the human resource department receiving
requisitions for recruitment from any department of the company. These contain:
 Posts to be filled
 Number of persons
 Duties to be performed
 Qualifications required
b) Preparation of job description and job specification:
A job description is a list of the general tasks, or functions, and responsibilities of a
position. It may often include to whom the position reports, specifications such as the qualifications or
skills needed by the person in the job, or a salary range. A job specification describes the knowledge,
skills, education, experience, and abilities you believe are essential to performing a particular job
c)Selection of sources:
Every organization has the option of choosing the candidates for its recruitment processes
from two kinds of sources: internal and external sources. The sources within the organization itself (like
transfer of employees from one department to other, promotions) to fill a position are known as the
internal sources of recruitment. Recruitment candidates from all the other sources (like outsourcing
agencies etc.) are known as the external sources of the recruitment
d)Advertising the vacancy:
After choosing the appropriate sources, the vacancy is communicated to the candidates
by means of a suitable media such as television, radio, newspaper, internet, direct mail etc.
e)Managing the response:
After receiving an adequate number of responses from job seekers, the sieving process of
the resumes begins. This is a very essential step of the recruitment selection process, because
selecting the correct resumes that match the job profile, is very important. Naturally, it has to be
done rather competently by a person who understands all the responsibilities associated with the
designation in its entirety. Candidates with the given skill set are then chosen and further called
for interview. Also, the applications of candidates that do not match the present nature of the
position but may be considered for future requirements are filed separately and preserved.
SELECTION PROCESS
Selecting a suitable candidate can be the biggest challenge for any organisation. The success
of an organization largely depends on its staff. Selection of the right candidate builds thefoundation of any
organization's success and helps in reducing turnovers. Though there is no fool proof selection procedure
that will ensure low turnover and high profits,the following steps generally make up the selection process
Initial Screening
This is generally the starting point of any employee selection process. Initial Screening
eliminates unqualified applicants and helps save time. Applications received from various sources
are scrutinized and irrelevant ones are discarded.
Preliminary Interview
It is used to eliminate those candidates who do not meet the minimum eligibility criteria laid
down by the organization. The skills, academic and family background, competencies andinterests of
the candidate are examined during preliminary interview. Preliminary interviews are less formalized
and planned than the final interviews. The candidates are given a brief up about the company and the
job profile; and it is also examined how much the candidate knows aboutthe company. Preliminary
interviews are also called screening interviews.
Filling Application Form
An candidate who passes the preliminary interview and is found to be eligible for the job is asked to
fill in a formal application form. Such a form is designed in a way that it records the personal as well
professional details of the candidates such as age, qualifications, reason for leaving previous job,
experience, etc.
Personal Interview
Most employers believe that the personal interview is very important. It helps them in obtaining more
information about the prospective employee. It also helps them in interacting with the candidate and
judging his communication abilities, his ease of handling pressure etc. In some Companies, the selection
process comprises only of the Interview.
References check
Most application forms include a section that requires prospective candidates to put down names of a
few references. References can be classified into - former employer, former customers, business
references, reputable persons. Such references are contacted to get a feedback on the person in question
including his behaviour, skills, conduct etc.
Background Verification
A background check is a review of a person's commercial, criminal and (occasionally) financial records.
Employers often perform background checks on employers or candidates for employment to confirm
information given in a job application, verify a person's identity, or ensure that the individual does not
have a history of criminal activity, etc., that could be an issue upon employment.
Final Interview
Final interview is a process in which a potential employee is evaluated by an employer for prospective
employment in their organization. During this process, the employer hopes to determine whether or not
the applicant is suitable for the job. Different types of tests are conducted to evaluate the capabilities of an
applicant, his behaviour, special qualities etc. Separate tests are conducted for various types of jobs
฀ Intelligence Tests
฀ Proficiency and Aptitude Tests
฀ Vocational Tests
฀ Personality Tests
Physical Examination
If all goes well, then at this stage, a physical examination is conducted to make sure that the
candidate has sound health and does not suffer from any serious ailment.
Job Offer
A candidate who clears all the steps is finally considered right for a particular job and is presented
with the job offer. An applicant can be dropped at any given stage if considered unfit for the job.
Human Resource Development (HRD) Concept and Design
Definitions of HRD
Various scholars have defined the term ―Human Resource Development‖ based on their perspective.
Important definitions of HRD are as follows:
฀ Leonard Nadler defined, ―Human Resource Development is a series of organized activities, conducted
within a specialized time and designed to produce behavioral change.‖
฀ As per M. M. Khan, ―Human Resource Development is the across of increasing knowledge, capabilities
and positive work attitudes of all people working at all levels in a business undertaking.‖
The concept of the Human Resource Department
HRD is an organizational context which is a process through which required help is provided to the
employees of an organization in a continuous and well-planned manner to:
฀ Obtain or boost capabilities needed to perform several functionsattached to their present or desired
future roles;
฀ Enhance their general abilities as individuals and discover as well as explore their inner potentials
for organizational purposes and employee‘s development; and
฀ Develop a culture in an organization under which a strong relationship between the employee-
employer is established and all the members work in a team and give professional well-being and
motivation among employees.
HRD is a whole process and not a blend of mechanisms and techniques. All the mechanisms and
techniques such as performance appraisal, counseling, training, and organizational development
interventions are used to facilitate and promote the process in a continuous manner. The process is
limitless and there is a need to examine the mechanism periodically and to sort out the issues attached to
hinder the process. The process of HRD facilitates the organization and allocates organizational resources
for the motives as well as evaluating the HRD philosophy.
Human Resource Development (HRD) Design :
Designing a robust Human Resource Development (HRD) system requires a strategic approach
that aligns with organizational objectives, caters to individual needs, and fosters a culture of
continuous learning. Here‘s a step-by-step guide to crafting an effective HRD system blueprint.
Step 1: Assess Organizational Needs
Start by conducting a thorough needs assessment. Identify skill gaps, performance deficiencies,
and areas where employee development can directly contribute to achieving organizational goals.
Step 2: Define Objectives and Goals
Clearly outline the objectives and goals of your HRD system. Are you aiming to enhance
specific skills, foster leadership, or improve overall performance? Define these goals to guide
your design process.
Step 3: Tailor Learning Paths
Design customized learning paths that address the identified needs. Consider various formats –
workshops, e-learning, mentoring, etc. – and ensure they align with different learning styles and
preferences.
Step 4: Incorporate Technology
Leverage technology to enhance learning experiences. Consider digital platforms, e-learning
tools, and data analytics to personalize development paths and track progress effectively.
Step 5: Develop Performance Management Strategies
Integrate performance management strategies that tie individual growth to organizational
objectives. Set clear goals, provide regular feedback, and establish metrics to evaluate progress.
Step 6: Promote Leadership Development
Incorporate a strong leadership development component. Identify high-potential employees,
provide leadership training, and create opportunities for mentorship and practical leadership
experience.
Step 7: Prioritize Career Development
Design career development paths that empower employees to envision their growth within the
organization. Include opportunities for skill enhancement, lateral movement, and upward
mobility.
Step 8: Implement Diversity and Inclusion Initiatives
Ensure that your HRD system embraces diversity and inclusion. Design learning paths and
programs that resonate with employees from diverse backgrounds and perspectives.
Step 9: Create Measurement and Evaluation Metrics
Define measurement and evaluation metrics to assess the effectiveness of your HRD system.
Regularly gather feedback, track progress, and make necessary adjustments based on outcomes.
Step 10: Foster a Learning Culture
Embed a learning culture into your HRD system. Encourage employees to proactively seek
growth opportunities, share knowledge, and collaborate for mutual development.
UNIT – III FUNCTIONS OF MANAGEMENT - II 9
Directing (Leading): Leadership Traits; Style; Morale; Managerial Grids (Blake-Mounton, Reddin) –
Communication: Purpose; Model; Barriers – Controlling: Process; Types; Levels; Guidelines; Audit
(External, Internal, Merits); Preventive Control – Decision Making: Elements; Characteristics;
Nature; Process; Classifications
Directing (Leading):
Directing is said to be a process in which the managers instruct, guide and oversee the performance of the
workers to achieve predetermined goals. Directing is said to be the heart of management process.
Planning, organizing, staffing have got no importance if direction function does not take place.
According to Human, “Directing consists of process or technique by which instruction can be issued and
operations can be carried out as originally planned” Therefore, Directing is the function of guiding,
inspiring, overseeing and instructing people towards accomplishment of organizational goals.
PRINCIPLES OF EFFECTIVE DIRECTION
Effective direction leads to greater contribution of subordinates to organization goals. The directing
function of management can be effective only when certain well accepted principles are followed. The
following are the basic principles of effective direction:
I) Harmony of Objectives: It is an essential function of management to make the people realize the
objectives of the group and direct their efforts towards the achievement of their objectives. The interest of
the group must always prevail over individual interest. Effective direction fosters the sense of
belongingness among all subordinates in such a way that they always identify themselves with the
enterprise and tune their goals with those of the enterprise.
II)Unity of Command: This principle states that one person should receive orders from only one
superior, in other words, one person should be accountable to only one boss. If one person is under more
than one boss then there can be contradictory orders and the subordinate fails to understand whose order
to be followed. In the absence of unity of command, the authority is undermined, discipline weakened,
loyalty divided and confusion and delays are caused.
III) Unity of Direction: To have effective direction, there should be one head and one plan for a group of
activities having the same objectives. In other words, each group of activities having the same objectives
must have one plan of action and must be under the control of one supervisor.
IV) Direct Supervision: The directing function of management becomes more effective if the superior
maintains direct personal contact with his subordinates.Direct supervision infuses a sense of participation
among subordinates that encourages them to put in their best to achieve the organizational goals and
develop all effective system of feed-back.
V)Participative or Democratic Management: The function of directing becomes more effective if
participative or democratic style of management is followed. According to this principle, the superior
must act .according to the mutual consent and the decisions reached after consulting the subordinates. It
provides necessary motivation to the workers by ensuring their participation and acceptance
of work methods.
VI) Effective Communication: To have effective direction, it is very essential to have an effective
communication system which provides for free flow of ideas, information, suggestions, complaints and
grievances.
VII) Follow-Up: In order to make direction effective, a manager has to continuously direct, guide,
motivation and lead his subordinates. A manager has not only to issue order and instructions but also
to follow-up the performance so as to ensure that work is being performed as desired. He should
intelligently oversee his subordinates at work and correct them whenever they go wrong.
Leadership Traits :
Leadership Styles
1. The Manager makes decision and announces it: It is an extreme form of autocratic leadership
whereby decisions are made by the boss who identifies the problem, considers alternative
solutions, selects one of them and then reports his decision to his subordinates for
implementation.
2. The Manager sells his decisions: It is a slightly improved form of leadership wherein the manager takes
the additional step of persuading the subordinates to accept his decision.
3. The Manager presents his ideas and invites questions: There is greater involvement of the employees in
this pattern. The boss arrives at the decision, but provides a full opportunity to his subordinates to get
fuller explanation of his thinking and intentions.
4. The manager presents a tentative decision subject to change: Herein the decision is tentatively taken by
the manager but he is amenable to change and influence from the employees.
5. The manager may present the problem, get the suggestions and then take is own decision: Herein
sufficient opportunity is given to the employees to make suggestions that are coolly considered by the
Manager.
6. The Manager may define the limits and request the group to make a decision:
A manager of this style of management lets the group have the right to make the decision. The
subordinates are able to take the decision to the limits defined by the manager.
7. The Manager may permit full involvement of the subordinates in the decision-making process: It is
often designated as 'Democratic' leadership.
Leadership style refers to the behaviour pattern adopted by a leader to influence the behaviour of his
subordinates for attaining the organizational goals. As different leadership styles have their own merits
and demerits, it is difficult to prefer one leadership styles to another. The selection of a leadership style
will depend on the consideration of a number of factors. Tannenbaum and Schmidt have pointed out the
important factors that affect the choice of a style of leadership.
They are:-
Forces in the manager i.e., the manager's personality, experience and value system.
Forces in the subordinates i.e., the subordinates readiness for making decisions,
knowledge, interest, need for independence etc.
Forces in the situation i.e., complexity of the problem, pressure of time etc.
COMMUNICATION
Communication is the exchange of messages between people for the purpose of achieving
common meanings. Unless common meanings are shared, managers find it extremely difficult to
influence others. Whenever group of people interact, communication takes place. Communication is the
exchange of information using a shared set of symbols. It is the process that links group members and
enables them to coordinate their activities. Therefore, when managers foster effective communication,
they strengthen the connections between employees and build cooperation. Communication also functions
to build and reinforce interdependence between various parts of the organization. As a linking
mechanism among the different organizational subsystems, communication is a central feature of the
structure of groups and organizations. It helps to coordinate tasks and activities within and between
organizations.
DEFINITION
According to Koontz and O'Donnell, "Communication, is an intercourse by words, letters
symbols or messages, and is a way that the organization members shares meaning and
understanding with another".
THE COMMUNICATION PROCESS
Communication is important in building and sustaining human relationships at work.
Communication can be thought of as a process or flow. Before communication can take place, a
purpose, expressed as a message to be conveyed is needed. It passes between the sender and
the receiver. The result is transference of meaning from one person to another.
The figure below depicts the communication process. This model is made up of seven parts:
Source, (2) Encoding, (3) Message, (4) Channel, (5) Decoding, (6) Receiver, and (7)
Feedback.
a) Source:
The source initiates a message. This is the origin of the communication and can be an
individual, group or inanimate object. The effectiveness of a communication depends to a
considerable degree on the characteristics of the source. The person who initiates the
communication process is known as sender, source or communicator. In an organization, the
sender will be a person who has a need or desire to send a message to others. The sender has
some information which he wants to communicate to some other person to achieve some
purpose. By initiating the message, the sender attempts to achieve understanding and change
in the behaviour of the receiver.
b) Encoding:
Once the source has decided what message to communicate, the content of the message must
be put in a form the receiver can understand. As the background for encoding information, the
sender uses his or her own frame of reference. It includes the individual's view of the
organization or situation as a function of personal education, interpersonal relationships,
attitudes, knowledge and experience. Three conditions are necessary for successful encoding
the message.
Skill: Successful communicating depends on the skill you posses. Without the requisite skills, the
message of the communicator will not reach the requisite skills; the message of the communicator will
not reach the receiver in the desired form. One's total communicative success includes speaking, reading,
listening and reasoning skills.
Attitudes: Our attitudes influence our behaviour. We hold predisposed ideas on a number of topics and
our communications are affected by these attitudes.
Knowledge: We cannot communicate what we don't know. The amount of knowledge the source holds
about his or her subject will affect the message he or she seeks to transfer.
The Message:
The message is the actual physical product from the source encoding. The message contains the thoughts
and feelings that the communicator intends to evoke in the receiver. The message has two primary
components:-
The Content: The thought or conceptual component of the message is contained in thewords, ideas,
symbols and concepts chosen to relay the message.
The Affect: The feeling or emotional component of the message is contained in the intensity, force,
demeanour (conduct or behaviour), and sometimes the gestures of the communicator.
c)The Channel:
The actual means by which the message is transmitted to the receiver (Visual, auditory, written or some
combination of these three) is called the channel. The channel is the medium through which message
travels. The channel is the observable carrier of the message.
Communication in which the sender's voice is used as the channel is called oral communication. When
the channel involves written language, the sender is using written communication. The sender's choice of
a channel conveys additional information beyond that contained in themessage itself. For example,
documenting an employee's poor performance in writing conveys that the manager has taken the problem
seriously.
d) Decoding:
Decoding means interpreting what the message means. The extent to which the decoding by the receiver
depends heavily on the individual characteristics of the sender and receiver. The greater the similarity in
the background or status factors of the communicators, the greater the probability that a messagezwill be
perceived accurately. Most messages can be decoded in more than one way. Receiving and decoding a
message are a type of perception. The decoding process is therefore subject to the perception biases.
e) The Receiver:
The receiver is the object to whom the message is directed. Receiving the message means one or more of
the receiver's senses register the message - for example, hearing the sound of a supplier's voice over the
telephone or seeing the boss give a thumbs-up signal. Like the sender, the receiver is subject to many
influences that can affect the understanding of the message. Most important, the receiver will perceive a
communication in a manner that is consistent with previous experiences. Communications that are not
consistent with expectations is likely to be rejected.
h) Feedback:
The final link in the communication process is a feedback loop. Feedback, in effect, is communication
travelling in the opposite direction. If the sender pays attention to the feedback and interprets it
accurately, the feedback can help the sender learn whether the original communication was decoded
accurately. Without feedback, one-way communication occurs between managers and their employees.
Faced with differences in their power, lack of time, and a desire to save face by not passing on negative
information, employees may be discouraged from providing the necessary feedback to their managers.
BARRIERS TO EFFECTIVE COMMUNICATION
Barriers to communication are factors that block or significantly distort successful communication.
Effective managerial communication skills helps overcome some, but not all, barriers to communication
in organizations. The more prominent barriers to effective communication which every manager should
be aware of is given below:
a) Filtering:
Filtering refers to a sender manipulating information so it will be seen more favourably by the receiver.
The major determinant of filtering is the number of levels in an organization's structure. The more vertical
levels in the organization's hierarchy, the more opportunities for filtering. Sometimes the information is
filtered by the sender himself. If the sender is hiding some meaning and disclosing in such a fashion as
appealing to the receiver, then he is "filtering" the message deliberately. A manager in the process of
altering communication in his favour is attempting to filter the information.
b) Selective Perception
Selective perception means seeing what one wants to see. The receiver, in the communication process,
generally resorts to selective perception i.e., he selectively perceives the message based on the
organizational requirements, the needs and characteristics, background of the employees etc. Perceptual
distortion is one of the distressing barriers to the effective communication. People interpret what they see
and call it a reality. In our regular activities, we tend to see those things that please us and to reject or
ignore unpleasant things. Selective perception allows us to keep out dissonance (the existence of
conflicting elements in our perceptual set) at a tolerable level. If we encounter something that does not fit
out current image of reality, we structure the situation to minimize our dissonance. Thus, we manage to
overlook many stimuli from the environment that do not fit into out current perception of the world. This
process has significant implications for managerial activities. For example, the employment interviewer
who expects a female job applicant to put her family ahead of her career is likely to see that in female
applicants, regardless of whether the applicants feel that way or not.
c) Emotions:
How the receiver feels at the time of receipt of information influences effectively how he interprets the
information. For example, if the receiver feels that the communicator is in a jovial mood, he interprets
that the information being sent by the communicator to be good and interesting. Extreme emotions and
jubilation or depression are quite likely to hinder the effectiveness of communication. A person's ability
to encode a message can become impaired when the person is feeling strong emotions. For example,
when you are angry, it is harder to consider the other person's viewpoint and to choose words carefully.
The angrier you are, the harder this task becomes. Extreme emotions – such as jubilation or depression -
are most likely to hinder effective communication. In such instances, we are most prone to disregard our
rational and objective thinking processes and substitute emotional judgments.
d) Language:
Communicated message must be understandable to the receiver. Words mean different things to different
people. Language reflects not only the personality of the individual but also the culture of society in
which the individual is living. In organizations, people from different regions, different backgrounds, and
speak different languages. People will have different academic backgrounds, different intellectual
facilities, and hence the jargon they use varies. Often, communication gap arises because the language the
sender is using may beincomprehensible, vague and indigestible. Language is a central element in
communication. It may pose a barrier if its use obscures meaning and distorts intent. Words mean
different things
to different people. Age, education and cultural background are three of the more obvious variables that
influence the language a person uses and the definitions he or she gives to words. Therefore, use simple,
direct, declarative language.Speak in brief sentences and use terms or words you have heard from you
audience. As much as possible, speak in the language of the listener. Do not use jargon or technical
language except with those who clearly understand it.
e) Stereotyping:
Stereotyping is the application of selective perception. When we have preconceived ideas about other
people and refuse to discriminate between individual behaviours, we are applying selective perception to
our relationship with other people. Stereotyping is a barrier to communications because those who
stereotype others use selective perception in their communication and tend to hear only those things that
confirm their stereotyped images.
Consequently, stereotypes become more deeply ingrained as we find more "evidence" to confirm our
original opinion. Stereotyping has a convenience function in our interpersonal relations. Since people are
all different, ideally we should react and interact with each person differently. To do this, however,
requires considerable psychological effort. It is much easier to categorize (stereotype) people so that we
can interact with them as members of a particular category. Since the number of categories is small, we
end up treating many people the same even though they are quite different. Our communications, then,
may be directed at an individual as a member of a category at the sacrifice of the more effective
communication on a personal level.
f) Status Difference:
The organizational hierarchy pose another barrier to communication within organization, especially when
the communication is between employee and manager. This is so because the employee is dependent on
the manager as the primary link to the organization and hence more likely to distort upward
communication than either horizontal or downward communication.
Effective supervisory skills make the supervisor more approachable and help reduce the risk of problems
related to status differences. In addition, when employees feel secure, they are more likely to be
straightforward in upward communication.
g) Use of Conflicting Signals:
A sender is using conflicting signals when he or she sends inconsistent messages. A vertical message
might conflict with a nonverbal one. For example, if a manager says to his employees, "If you have a
problem, just come to me. My door is always open", but he looks annoyed whenever an employee knocks
on his door". Then we say the manager is sending conflicting messages. When signals conflict, the
receivers of the message have to decide which, if any, to believe.
h) Reluctance to Communicate:
For a variety of reasons, managers are sometimes reluctant to transmit messages. The reasons could be:-
They may doubt their ability to do so.
They may dislike or be weary of writing or talking to others.
They may hesitate to deliver bad news because they do not want to face a negative
reaction.
When someone gives in to these feelings, they become a barrier to effective communications.
i) Projection:
Projection has two meanings.
Projecting one's own motives into others behavior. For example, managers who are motivated by money
may assume their subordinates are also motivated by it. If the subordinate's prime motive is something
other than money, serious problems may arise.The use of defense mechanism to avoid placing blame on
oneself. As a defense mechanism, the projection phenomenon operates to protect the ego from unpleasant
communications. Frequently, individuals who have a particular fault will see the same fault in others,
making their own fault seem not so serious.
j) The "Halo Effect":
The term "halo effect" refers to the process of forming opinions based on one element from a group of
elements and generalizing that perception to all other elements. For example, in an organization, a good
attendance record may cause positive judgments about productivity, attitude, or quality of work. In
performance evaluation system, the halo effect refers to the practice of singling out one trait of an
employee (either good or bad) and using this as a basis for judgments of the total employee
CONTROLLING :
DEFINITION
Control is the process through which managers assure that actual activities conform to planned activities.
In the words of Koontz and O'Donnell - "Managerial control implies measurement of accomplishment
against the standard and the correction of deviations to assure attainment of objectives according to plans.
Examples for the standards
Profitability standards: In general, these standards indicate how much the company would like to make as
profit over a given time period- that is, its return on investment.
Market position standards: These standards indicate the share of total sales in a particular market that the
company would like to have relative to its competitors.
Productivity standards: How much that various segments of the organization should produce is the focus
of these standards.
Product leadership standards: These indicate what must be done to attain such a position.
Employee attitude standards: These standards indicate what types of attitudes the company managers
should strive to indicate in the company’s employees.
Social responsibility standards: Such as making contribution to the society.Standards reflecting the
relative balance between short and long range goals.
Measurement of Performance:
The measurement of performance against standards should be on a forward looking basis so that
deviations may be detected in advance by appropriate actions. The degree of difficulty in measuring
various types of organizational performance, of course, is determined primarily by the activity being
measured. For example, it is far more difficult to measure the performance of highway maintenance
worker than to measure the performance of a student enrolled in a college level management course.
c) Comparing Measured Performance to Stated Standards:
When managers have taken a measure of organizational performance, their next step in controlling is to
compare this measure against some standard. A standard is the level of activity established to serve as a
model for evaluating organizational performance. The performance evaluated can be for the organization
as a whole or for some individuals working within the organization. In essence, standards are the
yardsticks that determine whether organizational performance is adequate or inadequate
d) Taking Corrective Actions:
After actual performance has been measured compared with established performance standards, the next
step in the controlling process is to take corrective action, if necessary. Corrective action is managerial
activity aimed at bringing organizational performance up to the level of performance standards. In other
words, corrective action focuses on correcting organizational mistakes that hinder organizational
performance. Before taking any corrective action, however, managers should make sure that the standards
they are using were properly established and that their measurements of organizational performance are
valid and reliable.At first glance, it seems a fairly simple proposition that managers should take corrective
action to eliminate problems - the factors within an organization that are barriers to organizational goal
attainment. In practice, however, it is often difficult to pinpoint the problem causing some
undesirable organizational effect
TYPES OF CONTROL SYSTEMS
The control systems can be classified into three types namely feed forward, concurrent and
feedback control systems.
Feed forward controls: They are preventive controls that try to anticipate problems and take corrective
action before they occur. Example – a team leader checks the quality, completeness and reliability of
their tools prior to going to the site.
Concurrent controls: They (sometimes called screening controls) occur while an activity is taking place.
Example – the team leader checks the quality or performance of his members while performing.
Feedback controls: They measure activities that have already been completed. Thus corrections can take
place after performance is over. Example – feedback from facilities engineers regarding the completed
job.
Guidelines for Control :
The requirements for effective control are
a) Control should be tailored to plans and positions This means that, all control techniques and systems
should reflect the plans they are designed to follow. This is because every plan and every kind and phase
of an operation has its unique
characteristics.
b) Control must be tailored to individual managers and their responsibilities This means that controls
must be tailored to the personality of individual managers. This because control systems and inforation
are intended to help individual managers carry out their function of control. If they are not of a type that a
manager can or will understand, they will not be useful.
c) Control should point up exceptions as critical points
This is because by concentration on exceptions from planned performance, controls based on the time
honored exception principle allow managers to detect those places where their attention is required and
should be given. However, it is not enough to look at exceptions, because some deviations from standards
have little meaning and others have a great deal of significance.
d) Control should be objective
This is because when controls are subjective, a manager’s personality may influence judgments of
performance inaccuracy. Objective standards can be quantitative such as costs or man hours per unit or
date of job completion. They can also be qualitative in the case of training programs that have specific
characteristics or are designed to accomplish a specific kind of upgrading of the quality of personnel.
e) Control should be flexible
This means that controls should remain workable in the case of changed plans, unforeseen circumstances,
or outsight failures. Much flexibility in control can be provided by having alternative plans for various
probable situations.
f) Control should be economical
This means that control must worth their cost. Although this requirement is simple, its practice is often
complex. This is because a manager may find it difficult to know what a particular system is worth, or to
know what it costs.
g) Control should lead to corrective actions
This is because a control system will be of little benefit if it does not lead to corrective action, control is
justified only if the indicated or experienced deviations from plans are corrected through appropriate
planning, organizing, directing, and leading.
PREVENTIVE CONTROL
Preventive control are based on the philosophy of preventing undesirable
deviations from occuring by developing and maintaining a highly qualified managerial
staff.
Assumption :
ndamentals can be evaluated.
Advantages :
Thus control is a very important process through which managers ensure that actual
activities confirm to planned activities. It is mainly used to measure progress, to
uncover deviations and to indicate corrective action.
DECISION MAKING
The word decision has been derived from the Latin word "decidere" which means "cutting off". Thus,
decision involves cutting off of alternatives between those that are desirable and those that are not
desirable.
In the words of George R. Terry, "Decision-making is the selection based on some criteria from
two or more possible alternatives".
Characteristics of Decision Making
Decision making implies that there are various alternatives and the most desirable alternative is chosen to
solve the problem or to arrive at expected results.
The decision-maker has freedom to choose an alternative.
Decision-making may not be completely rational but may be judgemental and emotional.
Decision-making is goal-oriented.
Decision-making is a mental or intellectual process because the final decision is made by the decision-
maker.
A decision may be expressed in words or may be implied from behaviour.
Choosing from among the alternative courses of operation implies uncertainty about the final result of
each possible course of operation.
Decision making is rational. It is taken only after a thorough analysis and reasoning and weighing the
consequences of the various alternatives.
ELEMENTS OF DECISION MAKING :
I came across a decision-making process by Dr Pam Brown which presents 7 practical elements to
making a good decision quickly and confidently.
The 7 Elements are:
1. Outline the goal and outcome
2. Gather data to support the decision-making process
3. Develop alternatives
4. List the pros and cons of each alternative
5. Make the decision
6. Immediately take action
7. Learn from and reflect on the decision making
Let’s explore each of these a little
Outline the goal and outcome
Don’t try and make decisions on the hoof. It is important to outline what you are trying to achieve from
this decision and before making any decision we need to outline what we are trying to achieve and what
the likely outcome will be. Get clear on exactly what it is you are trying to achieve and what is the most
likely outcome of this decision. The more clarity you can add to your goal and outcome at this point the
better your choice will be at the end of the process.
Gather data to support the decision-making process
To make a good decision, you must gather data which allows you to make a good decision. Gathering
data preferably from more than one information source will let you to make good choices and to speed up
the decision-making process. We all now have the most fantastic tool available for gathering information,
the internet. Be careful though when gathering data that you don’t get paralysed by analysis. Gather
relevant data and collect enough data to aid the decision-making process.
Develop Alternatives
Making good decisions seldom happens if you only consider one option. Utilising your goal, outcome and
the data you have gathered, list the alternatives that spring to mind immediately. Explore these a little
further and determine whether any other options are appropriate. When you have a list of possible
alternatives, then narrow your decision-making process down to a manageable number of alternatives.
There is no definitive number of alternatives that you should consider but narrowing your search to 3
good options will allow you to get to a decision quicker and with more confidence.
List the Pros and Cons of Each
Now that you have a manageable number of alternatives you can start to list the pros and cons of each. A
simple way to do this is to take a sheet of paper divide it down the middle, one sheet for each option and
list as many pros and cons as you can think of for each. Doing so will assist you in the next part of the
process as you can lay each piece of paper beside the other and quickly review the pros and cons of each.
Make the Decision
Now you have the alternatives and a list of the pros and cons you need to evaluate each and decide which
option most closely meets your goal and desired outcome. It is possible that each alternative goes some
way to achieving your goal and desired outcome and this is where your list of pros and cons comes into
its own as it will allow you to objectively make an informed decision knowing not only the good points of
the decision but also the likely downsides. Your tolerance to risk will also play a factor in this part of the
process. If you have a high tolerance for risk, you may select an option which has the biggest pro but also
the most significant risk. An alternative with high risk may still be the best alternative for you. This part
of the process allows you to make an informed decision.
Immediately Take Action
Once you have decided which alternative best meets your goal and desired outcome, then you need to
take action immediately to implement your decision. Taking action immediately helps you to avoid
procrastination and from going through a constant process of analysis of the options or going back to
earlier points of the process of gathering more information. Taking action is an essential part of the
decision-making process and when action is taken the decision is reinforced in your mind and helps
remove doubt.
Learn and Reflect on the Decision Making
Not every decision you make will turn out exactly as you thought it would. There is risk in making
decisions, but there is also learning. Evaluate the outcome of each decision against your original goal and
review what worked well, what didn’t work so well and let this feedback assist you in making future
decisions. The more decisions you make, the more feedback and learning you have to make even better
decisions in future.
If you struggle to make decisions utilising the process above will assist you in making good decisions
with confidence.
DECISION MAKING PROCESS OR ELEMENTS OF DECISION MAKING
The decision making process is presented in the figure below:
Specific Objective:
The need for decision making arises in order to achieve certain specific objectives. The starting point in
any analysis of decision making involves the determination of whether a decision needs to be made.
Problem Identification:
A problem is a felt need, a question which needs a solution. In the words of Joseph L Massie "A good
decision is dependent upon the recognition of the right problem". The objective of problem identification
is that if the problem is precisely and specifically identifies, it will provide a clue in finding a possible
solution. A problem can be identified clearly, if managers go through diagnosis and analysis of the
problem.
Diagnosis: Diagnosis is the process of identifying a problem from its signs and symptoms. A symptom is
a condition or set of conditions that indicates the existence of a problem. Diagnosing the real problem
implies knowing the gap between what is and what ought to be, identifying the reasons for the gap and
understanding the problem in relation to higher objectives of the organization.
Analysis:
Diagnosis gives rise to analysis. Analysis of a problem requires:
Who would make decision?
What information would be needed?
From where the information is available?
Search for Alternatives:
A problem can be solved in several ways; however, all the ways cannot be equally satisfying. Therefore,
the decision maker must try to find out the various alternatives available in order to get the most
satisfactory result of a decision.
A decision maker can use several sources for identifying alternatives:
His own past experiences
Practices followed by others and
Using creative techniques.
Evaluation of Alternatives:
After the various alternatives are identified, the next step is to evaluate them and select the one that will
meet the choice criteria. /the decision maker must check proposed alternatives against limits, and if an
alternative does not meet them, he can discard it. Having narrowed down the alternatives which require
serious consideration, the decision maker will go for evaluating how each alternative may contribute
towards the objective supposed to be achieved by implementing the decision.
Choice of Alternative:
The evaluation of various alternatives presents a clear picture as to how each one of them contribute to the
objectives under question. A comparison is made among the likely outcomes of various alternatives and
the best one is chosen.
Action: Once the alternative is selected, it is put into action. The actual process of decision making ends
with the choice of an alternative through which the objectives can be achieved.
Results: When the decision is put into action, it brings certain results. These results must correspond with
objectives, the starting point of decision process, if good decision has been made and implemented
properly. Thus, results provide indication whether decision making and its implementation is proper.
Characteristics of Effective Decisions
An effective decision is one which should contain three aspects. These aspects are given
below:
Action Orientation:
controllable aspects
implementation.
Decisions are action-oriented and are directed towards relevant and of the environment. Decisions should
ultimately find their utility in Goal Direction: Decision making should be goal-directed to enable the
organization to meet its objectives.
Effective in Implementation: Decision making should take into account all the possible factors not only in
terms of external context but also in internal context so that a decision can be implemented properly.
NATURE OF DECISION MAKING
The conditions for making decisions can be divided into three types. Namely
a) Certainty, b) Uncertainty and c) Risk
Virtually all decisions are made in an environment to at least some uncertainty However; the degree will
vary from relative certainty to great uncertainty. There are certain risks involved in making decisions.
a) Certainty:
In a situation involving certainty, people are reasonably sure about what will happen when they make a
decision. The information is available and is considered to be reliable, and the cause and effect
relationships are known.
b) Uncertainty
In a situation of uncertainty, on the other hand, people have only a meager database, they do not know
whether or not the data are reliable, and they are very unsure about whether or not the situation may
change.
Moreover, they cannot evaluate the interactions of the different variables. For example, a corporation that
decides to expand its Operation to an unfamiliar country may know little about the country, culture, laws,
economic environment, and politics. The political situation may be volatile that even experts cannot
predict a possible change in government.
c) Risk
In a situation with risks, factual information may exist, but it may be incomplete. To improve decision
making One may estimate the objective probability of an outcome by using, for example, mathematical
models On the other hand, subjective probability, based on judgment and experience may be used
All intelligent decision makers dealing with uncertainty like to know the degree and nature of the risk
they are taking in choosing a course of action. One of the deficiencies in using the traditional approaches
of operations research for problem solving is that many of the data used in model are merely estimates
and others are based on probabilities. The ordinary practice is to have staff specialists conic up with best
estimates.
Virtually every decision is based on the interaction of a number of important variables, many of which
has e an element of uncertainty but, perhaps, a fairly high degree of probability. Thus, the wisdom of
launching a new product might depend on a number of critical variables: the cost of introducing the
product, the cost of producing it, the capital investment that will he required, the price that can be set for
the product, the size of the potential market, and the share of the total market that it will represent
CLASSIFICATIONS OF DECISIONS
Programmed and Non-Programmed Decisions:
Herbert Simon has grouped organizational decisions into two categories based on the procedure
followed.
They are:
Programmed decisions:
Programmed decisions are routine and repetitive and are made within the framework of organizational
policies and rules. These policies and rules are established well in advance to solve recurring problems in
the organization. Programmed decisions have short-run impact. They are, generally, taken at the lower
level of management.
Non-Programmed Decisions:
Non-programmed decisions are decisions taken to meet non-repetitive problems. Non-programmed
decisions are relevant for solving unique/ unusual problems in which various alternatives cannot be
decided in advance. A common feature of non-programmed decisions is that they are novel and non-
recurring and therefore, readymade solutions are not available. Since these decisions are of high
importance and have long-term consequences, they are made by top level management.
Strategic and Tactical Decisions:
Organizational decisions may also be classified as strategic or tactical.
Strategic Decisions:
Basic decisions or strategic decisions are decisions which are of crucial importance. Strategic decisions a
major choice of actions concerning allocation of resources and contribution to the achievement of
organizational objectives. Decisions like plant location, product diversification, entering into new
markets, selection of channels of distribution, capital expenditure etc are examples of basic or strategic
decisions.
Tactical Decisions:
Routine decisions or tactical decisions are decisions which are routine and repetitive. They are derived out
of strategic decisions. The various features of a tactical decision are as follows:
Tactical decision relates to day-to-day operation of the organization and has to be taken very frequently.
Tactical decision is mostly a programmed one. Therefore, the decision can be made within the context of
these variables.The outcome of tactical decision is of short-term nature and affects a narrow part of the
organization.The authority for making tactical decisions can be delegated to lower level managers
because: first, the impact of tactical decision is narrow and of short term nature and Second, by
delegating authority for such decisions to lower-level managers, higher level managers are free to devote
more time on strategic decisions
Management Audit
A management audit is an independent and systematic analysis and evaluation of a company’s overall
activities and performances. It is a valuable tool used to determine the efficiency, functions,
accomplishments and achievements of the company.
The primary objective of the management audit is to identify errors in management activities and suggest
possible changes. It guides the management to manage the operations most effectively and productively.
In other words, a management audit is involved in the evaluation and assessment of the management
system and information in the various departments or the entire company. Its reach has been extended to
review system and subsystem, authorisation, procedure, accountability, quality of data generated, quality
of personnel, etc.,
The Scope of Management Audit:
A management audit is vast as compared to a financial review because it not only evaluates finance but
also other features of a company. It has an efficiency for assessing management from top to lower level.
Few main scopes of management audit are described below:
 Calculate the Effectiveness of the Management- It audits the entire level of management of a
company.
 Execution of Principals and Policies- It reviews whether the policies and the principles deployed
by the company is effective and successful.
 Locate and Examine the Differences-It helps to identify the differences in productivity and if the
pattern set by the company is not fulfilled.
 Suggest for Improvement- The management audit suggests improvement in areas, e.g. purchase,
sale, finance, administration, human resources, etc.,
Advantages of internal audit :
 Continuous evaluation of processes and operations
 Minimizing risk of fraud and errors
Advantages of external audit :
 Impartial analysis of financial statements
 Unbiased picture of the company's financial position
 Quicker identification of problem areas
 Validation or invalidation of internal audit concerns
Advantages of external audit over internal audit :
 External auditors are more impartial.
 They have no other job outside of conducting the audit.
 They provide quicker identification of possible problem areas.
 They validate or invalidate concerns raised during internal audit.
 External auditors can leverage internal audit's understanding of the organization's
risk and control environment.
UNIT – IV ORGANIZATION THEORY 9
Organizational Conflict: Positive Aspects; Individual; Role; Interpersonal; Intra Group; Inter Group;
Conflict Management – Maslow’s hierarchy of needs theory; Herzberg’s motivation, hygiene theory;
McClelland’s three needs motivation theory; Vroom’s valence-expectancy theory – Change
Management: Concept of Change; Lewin’s Process of Change Model; Sources of Resistance;
Overcoming Resistance; Guidelines to managing Conflict
Positive Aspects :
A positive conflict is a conflict that resolves productively and constructively. Positive conflict
management can help companies navigate workplace conflict. When there is a disagreement, instead
of one side winning and another losing, both sides can come to a greater understanding with a net
positive outcome for the organization. Positive conflicts can prompt employees to think differently
about issues, ultimately improving workflow and workplace practices.
Benefits of Positive Conflict
When a company implements a positive conflict resolution approach, it can expect to see
improvement in the overall business performance and the satisfaction of team members. Consider the
following workplace benefits:
1. Efficiency: It can require a lot of effort to turn a negative conflict positive, but the overall effect of
positive conflict management can save time and energy in the long run. Positive conflict resolution
seeks real, lasting solutions to conflict, rather than letting resentments or misunderstandings persist.
2. Trust: When employees know their voices are heard, they are more likely to feel more secure
about their role in the organization. This can, in turn, foster more creative thinking, productive
brainstorming, clear communication, and a greater sense of well-being in the workplace.
3. Emotional intelligence: Positive conflict management can help all team members develop
emotional intelligence. This can have an overall effect on the company culture, attracting and
retaining top talent.
4. Alignment: When a win-win approach is taken to workplace conflict, the company offers better
opportunities for widespread alignment over common goals and plans for implementation. The more
common ground there is in a work environment, the better its chances are of success in the
marketplace.
Individual :
Attitudes: Differences in attitudes among employees can lead to conflict. For example, if one person
strongly believes in a particular approach while another disagrees, conflict may arise.
Beliefs: Differing beliefs about work processes, values, or goals can create tension within an
organization.
Personality Orientation: Individuals have unique personality traits, communication styles, and ways
of approaching tasks. When these clash, conflict can occur.
Human Frailties: Imperfections, biases, and emotional vulnerabilities in individuals contribute to
conflict. These might include ego, insecurities, or personal biases1.
Inter-Individual Factors:
Norm Violations: Conflict arises when someone breaches organizational norms or policies. For
instance, a manager ignoring established procedures could cause friction among team members.
Levels and Types of Conflict
Fig 1 Different level of conflict
In addition to different views of conflict, there exist several different levels of conflict. By level of
conflict, we are referring to the number of individuals involved in the conflict. That is, is the conflict
within just one person, between two people, between two or more groups, or between two or more
organizations? Both the causes of a conflict and the most effective means to resolve it can be affected
by level. Four levels can be identified: within an individual (intrapersonal conflict), between two parties
(interpersonal conflict), between groups (intergroup conflict), and between organizations
(interorganizational conflict).
Intrapersonal Conflict
Intrapersonal conflict arises within a person. In the workplace, this is often the result of competing
motivations or roles. We often hear about someone who has an approach-avoidance conflict; that is,
they are both attracted to and repelled by the same object. Similarly, a person can be attracted to two
equally appealing alternatives, such as two good job offers (approach-approach conflict) or repelled by
two equally unpleasant alternatives, such as the threat of being fired if one fails to identify a coworker
guilty of breaking company rules (avoidance-avoidance conflict). Intrapersonal conflict can arise
because of differences in roles.
A role conflict occurs when there are competing demands on our time, energy, and other resources. For
example, a conflict may arise if you’re the head of one team but also a member of another team. We
can also have conflict between our roles at work and those roles that we hold in our personal lives.
Another type of intrapersonal conflict involves role ambiguity. Perhaps you’ve been given the task of
finding a trainer for a company’s business writing training program. You may feel unsure about what
kind of person to hire—a well-known but expensive trainer or a local, unknown but low-priced trainer.
If you haven’t been given guidelines about what’s expected, you may be wrestling with several options.
Interpersonal Conflict
Interpersonal conflict is among individuals such as coworkers, a manager and an employee, or CEOs
and their staff. Many companies suffer because of interpersonal conflicts as it results in loss of
productivity and employee turnover. According to one estimate, 31.9 percent of CEOs resigned from
their jobs because they had conflict with the board of directors (Whitehouse, 2008). Such conflicts often
tend to get highly personal because only two parties are involved and each person embodies the
opposing position in the conflict. Hence, it is sometimes difficult to distinguish between the opponent’s
position and the person. Keeping conflicts centered around ideas rather than individual differences is
important in avoiding a conflict escalation. Throughout the book, we will learn more about strategies
for dealing with interpersonal conflicts.
Intergroup Conflict
Intergroup conflict is conflict that takes place among different groups and often involves disagreement
over goals, values, or resources. Types of groups may include different departments, employee unions,
or management in a company or competing companies that supply the same customers. Departments
may conflict over budget allocations, unions and management may disagree over work rules, and
suppliers may conflict with each other on the quality of parts.
Merging two groups together can lead to friction between the groups—especially if there are scarce
resources to be divided among the group. For example, in what has been called “the most difficult and
hard-fought labor issue in an airline merger,” Canadian Air and Air Canada pilots were locked into
years of personal and legal conflict when the two airlines’ seniority lists were combined following the
merger (Stoykewch, 2003). Seniority is a valuable and scarce resource for pilots, because it helps to
determine who flies the newest and biggest planes, who receives the best flight routes, and who is paid
the most. In response to the loss of seniority, former Canadian Air pilots picketed at shareholder
meetings, threatened to call in sick, and had ongoing conflicts with pilots from Air Canada. The history
of past conflicts among organizations and employees makes new deals challenging. Intergroup conflict
can be the most complicated form of conflict because of the number of individuals involved. Coalitions
can form and result in an “us-against-them” mentality. Here, too, is an opportunity for groups to form
insulated ways of thinking and problems solving, thus allowing groupthink to develop and thrive.
Inter organizational Conflict
Finally, we can see inter organizational conflict in disputes between two companies in the same industry
(for example, a disagreement between computer manufactures over computer standards), between two
companies in different industries or economic sectors (for example, a conflict between real estate
interests and environmentalists over land use planning), and even between two or more countries (for
example, a trade dispute between the United States and Russia). In each case, both parties inevitably
feel the pursuit of their goals is being frustrated by the other party.
Types of Conflict
If we are to try to understand conflict, we need to know what type of conflict is present. At least four
types of conflict can be identified:
Goal conflict can occur when one person or group desires a different outcome than others do. This is
simply a clash over whose goals are going to be pursued.
Cognitive conflict can result when one person or group holds ideas or opinions that are inconsistent
with those of others. Often cognitive conflicts are rooted in differences in attitudes, beliefs, values, and
worldviews, and ideas maybe tied to deeply held culture, politics, and religion. This type of conflict
emerges when one person’s or group’s feelings or emotions (attitudes) are incompatible with those of
others.
Affective conflict is seen in situations where two individuals simply don’t get along with each other.
Behavioral conflict exists when one person or group does something (i.e., behaves in a certain way)
that is unacceptable to others. Dressing for work in a way that “offends” others and using profane
language are examples of behavioral conflict.
Each of these types of conflict is usually triggered by different factors, and each can lead to very
different responses by the individual or group. It is important to note that there are many types of conflict
and that not all researchers use this same four-type classification. For example, Dr. Amy Gallo (2015)
has characterized conflict as being rooted in relationships, tasks (what to do), process (how to do things),
or status. Regardless, when we find ourselves in a conflict situation, it can be helpful to try and take a
step back and identify what type of conflict it is. It can also be helpful to acknowledge that what may
look like a goal conflict may actually also have components of affective or cognitive conflict.
Conflict Management
Negotiating conflict positively takes some practice, but the benefits to the overall business, and the
team members, are worth the effort. Follow these steps to develop a positive conflict resolution
strategy:
1. Listen first.
Always enter a conflict resolution session looking to first hear your adversary out. It’s important to
have strong active listening skills and stay engaged with other disputants so that everyone feels heard.
By entering with a listen-first mentality, you may realize that some of your preconceptions about what
the other person wants may, in fact, be wrong.
2. Use “I” statements.
When you keep your assertions and observations in the first person, you avoid pointing fingers and
don’t presume to speak for anyone else. Using “I” statements can help prevent someone on the other
side of an issue from feeling that they are being treated in a dishonest or disrespectful way.
3. Look for the root cause.
Finding the causes of conflict requires you to trace the dispute back to the root of the problem. As
best you can, build a timeline with disputants to see if you can work your way back towards the origin
of a conflict. Isolating the cause of a dispute can often simplify the resolution process.
4. Agree on facts.
It’s important to establish ground rules and build consensus by agreeing on the basic facts of a
conflict. If you can be methodical about agreeing to the basic components of a conflict, working
toward a mutual solution is a much easier process.
5. Offer compliments.
It may seem counterintuitive in the moment, but offering compliments can help defuse a tense
situation and also increase your leverage during the resolution of conflict. Praising an adversary, such
as noting the positive aspects of their case, can help build trust that you can work toward a mutually
beneficial resolution.
6. Try to find a compromise.
Work toward a win-win solution where both parties feel heard. An acceptable, positive conflict
solution often requires both disputants to compromise and offer concessions to each other. Remember
that workplace conflicts are not a zero-sum game and that win-win resolutions are almost always
possible.
Maslow’s hierarchy of needs theory
Abraham Maslow, an eminent US psychologist, has classified human needs in a logical convenient way
that has an important implication for managers making his theory the most popular amongst the
managers. In this theory, he has pointed out and explained how needs influence human behaviour.
Maslow viewed human motivation as a hierarchy of five needs ranging from most basic physiological
needs to the highest needs for self-actualisation.
Fig 2 Maslow’s Need Hierarchy
Physiological needs: These comprise the basic components: food, shelter, and clothing. These needs
are most powerful motivators, as no individual can survive without them. Physiological needs must be
satisfied to somelevel or these should be partially satisfied, before the individual moves to satisfy other
higher category needs. Maslow observed that man lives by bread alone, when there is no bread.
Safety needs: Once level one has been accomplished and the physiological needs satisfied, one feels
concerned about safety from future uncertainty, enemies and other threats. These are essentially needs
of self-preservation. At this stage, an individual begins to think for future and makes efforts to provide
for rainy days. It is concluded by Maslow that, employees need sufficient wage to feed, to take shelter,
to protect them and their families and a safe working environment before attempting to satisfy other
needs of the higher order.
Social needs: Maslow focuses next on satisfying needs of love and affection, which are known as
social needs. Social needs include the need to love and be loved and the need to belong and be identified
with a group.Although not written as pre-requisite it is an essential need. Family life invariably affects
work environment. As for the first two levels of need, relative satisfaction of social needs gives rise to
next higher-level need.
Esteem needs: Employees in the organisation who perceive themselves as worthwhile are said to
possess esteem needs. Self-respect is a key to such needs. Much of our self-respect stems from
acceptance in society and commanding the respect of fellow members within society. .Esteem needs
include need for self-respect and appreciation from others, status and prestige in the society etc.
Self-actualization needs: At the top of Maslow‟s hierarchy of needs, there lies the need of self-
actualisation. It is an open-ended need, because it relates to the need to become more and more what
one is to become everything that one is capable of becoming. It includes need for realisation one‟s full
potentials of development, maturity and autonomy. On the relative satisfaction of this need, an
individual becomes growth-oriented. Self directed, detached and creative but in organisation he hardly
achieves self realisation.
However, the creativity of an individual in producing new and practical ideas, in bringing about
productivity and innovation and in reducing cost that might satisfy some of the needs of self-
actualisation
Herzberg’s motivation,hygiene theory
Herzberg's Two-Factor Theory is the brainchild of Frederick Herzberg. This is a type of motivation
theory based on content motivation. It is a theory which motivates individual by means of finding and
satisfying of individual requirements, desires and further works to satisfy individual expectations.
According to Frederick Herzberg, who studied clinical psychology in Pittsburgh,believed that the theory
is related to work which motivates several employees. The theory was published under Motivation to
Work during the year 1959.
Fig 3 Herzberg’s motivation,hygiene theory
This theory is based upon notion that motivation can be split into hygiene factors and motivation
factors. He concluded that there were two types of motivation:
Hygiene factor shows dissatisfaction level which is the real creators of job satisfaction which covers
Supervision
Motivation Factors will cover motivation aspect in case of Job which includes:
Such factors are basically the requirements that will avoid nasty goings-on and uneasiness while
motivational scale is the requirement for personal development.
McClelland’s Theory of Need or Achievement Motivation Theory
This theory has a specific reference to industrial organisation, as the achievement motive has to do a lot
with the success and failure of these organisations. David McClelland and his associates like John
Atkinson and others in Harvard University, USA, have d veloped this theory of motivation. The main
fundamentals of this theory are need for achievement, power and affiliation. This theory assumes that
some people are much more achievement-oriented and open minded than others. Therefore, they get
job satisfaction and derive special kind of pleasure in achieving an objective successfully or performing
challenging job rather than receiving monetary and other rewards.
The balance between these drives varies from individual to individual. For example, one individual
might have a strong need of affiliation while another might have a strong need for achievement. The
blend of both makes for a successful organisation. The people with a high need of achievement would
like to take responsibility for solving problems, so they tend to set moderately difficult targets for
themselves and take calculated risks to meet these targets. Achievement-oriented individuals seek
satisfaction in doing things better and in assuming important personal responsibility for solving the
problems but thepeople with low achievement needs tend to perform either poorly or average in thesame
situation.
Fig 4 McClelland’s Theory
Similar to the need to achieve is the need for authority or the desire todominate people and events which
is considered one of the important motivational factors. Such individuals, if given a position marked by
higher authority and power, tend to perform better as compared to other positions having less power.
Similarly, some other individual may derive satisfaction from better friendly interpersonal relations in
work setting. They can be motivated by providing atmosphere of support and friendship and social
affiliation. This need is more like a social need, which has been described earlier.
Vroom’s valence Theory :
CONCEPT OF CHANGE AND CHANGE MANAGEMENT
Change is defined as “to make or become different, give or begin to have a different form.”
‘Change’ also means dissatisfaction with the old and belief in the new.
Change underlies a qualitatively different way of perceiving, thinking, behaving and to improve over
the past and present.
In this way, change is the process of moving from current state to future state and in between come the
transition state which creates stress and anxiety.
When we say change management, we mean making changes in a planned and systematic fashion. In
another way, change management is a systematic approach in dealing with the change, both from the
perspective of an organisation as well as on the individual level.
In Change management process the changes of a system are implemented in a controlled manner by
following a pre-defined framework/model, to some extent with reasonable modifications.
Change management means to plan, initiate, realise, control and then finally stabilise the change
processes on both corporate and personnel level.
Change management plays an important role in any organisation since the task of managing change is
not an easy one. Change management can ensure standardised methods, processes and procedures that
are useful for all changes.
It is also useful for efficient and prompt handling of all changes and to maintain a proper balance
between the need for change and the potential detrimental impact of changes. The main objective of
change management is to reduce the probability of change implementation failure; reduce resistance to
change and to get maximum benefit from the implementation.
A very useful framework to perceive change process is the problem solving.
Managing change is seen as a matter of moving from one state to another specifically from the problem
state to the solution state.
Change management can be referred from two perspectives:
• Organisational change management
• Individual change management
Organisational change management is the management of change from theperspective of a manager or
the top leadership. It takes into account both the processes and the tools that managers use to make
changes at an organisational Change Management level. It focuses on change management practices
and skills as well as strategies,plans and training programs. It is related with one to many (one manager
dealingwith the whole organisation collectively). The emphasis is laid on communication,training and
the overall culture or value system of the organisation.
Individual change management is the process of helping employees to understand them where they are
in the change process and managing that change effectively. This change management is related with
bottom level that means employees. It is related with one-on-one (each individual is given
emphasisbecause they are the one who bring change). The focus for individual change management is
on the tools and techniques to enrich employees through the transition.
Libraries must change to survive. The amount, diversity and speed of information available today have
forced libraries to change the mode of their services and operations for the benefit of the users.
Librarians must analyse their own contexts for change, to monitor external trends as contexts for change
and planning to position their own libraries in new contexts and to learn to manage change to move
from present into future. The fifth law of library science “Library is a growing organism” is also related
with the change because growth always implies change and this change is a challenge to both the
libraries and the librarians. They must establish their strategies and select roles. The role of libraries has
gradually changed from the traditional storehouse of information to access providers. Libraries like
other organisations must respond proactively to their changing environment
FORCES OF CHANGE
External Forces
External forces for the change originate outside the organisation and it might have a global effect. These
are also called environmental forces that are beyond the management’s control. External forces such as
demographic characteristics,economic factors, technological advancements, market changes and socio-
political pressures are affecting the operating environment in organisations.
Demographic changes are related with the diversity in workforce. It is a well-known fact that globalised
economy has created increased threats and opportunities, forcing organisations to make drastic
improvements not only to gain competitive advantages but many times to survive.
Rapid technological innovation is another force for change in organisations and those fail to keep pace
with will be bound to lag behind. Market changes such as competitors introduce several new things like
new products, reduce prices or augment customer services. At the same time, changes occur in customer
tastes, interests and income. Some changes are created by social and political events. Political events
may create substantial change. But it is difficult for organisations to predict such changes. Thus
managers are required to adjust their managerial style or approach to fit within these changes
Internal Forces
These forces originate from inside the organisation and are under the control of the organisation. These
forces come from human problems and managerial behaviour and decisions. Generally problems related
with the human behaviour are about how they are treated at their workplace. No organisation can
progress without the commitment and dedication of its employees. Dissatisfaction among employees
regarding the working conditions as well as individual and organisational needs may lead to conflict
between management and their employees. Excessive interpersonal conflict is often a clear sign that
change is needed. Unusual or high levels of absenteeism and turnover also represent the forces for
change. How an organisation decides to motivate, communicate and integrate change into the work
force will determine the magnitude of its success
Lewin’s Process of Change Model
Lewin proposed that the behavior of any individual in response to a proposed change is a function of
group behavior. Any interaction or force affecting the group structure also affects the individual’s
behavior and capacity to change. Therefore, the group environment, or ‘field’, must be considered in
the change process. The 3 Stage Model of Change describes status-quo as the present situation, but a
change process—a proposed change—should then evolve into a future desired state. To understand
group behavior, and hence the behavior of individual group members during the change process, we
must evaluate the totality and complexity of the field. This is also known as Field Theory, which is
widely used to develop change models including Lewin’s 3 Stage Mode
The 3 Stages of Change
Let’s look at how Lewin’s three-step model describes the nature of change, its implementation, and
common challenges:
Fig 5 Lewin’s three-step model
Step 1: Unfreeze
Lewin identifies human behavior, with respect to change, as a quasi-stationary equilibrium state. This
state is a mindset, a mental and physical capacity that can be almost absolutely reached, but it is initially
situated so that the mind can evolve without actually attaining that capacity.
For example, a contagious disease can spread rapidly in a population and resist initial measures to
contain the escalation.Eventually, throughmedical advancement, the disease can be treated and virtually
disappear from the population
Lewin argues that change follows similar resistance, but group forces (the field) prevent individuals
from embracing this change. Therefore, we must agitate the equilibrium state in order to instigate a
behavior that is open to change. Lewin suggests that an emotional stir-up may disturb the group
dynamics and forces associated with self-righteousness among the individual group members.
Certainly, there are a variety of ways to shake up the present status-quo, and you’ll want to consider
whether you need change in an individual or, as in a company, amongst a group of people.
Let’s consider the process of preparing a meal. The first change, before anything else can happen, is to
“unfreeze” foods—preparing them for change, whether they’re frozen and require thawing, or raw food
requiring washing. Lewin’s 3 Step Model believes that human change follows a similar philosophy, so
you must first unfreeze the status-quo before you may implement organizational change.
Though not formally part of Lewin’s model, actions within this Unfreeze stage may include:
Determining what needs to change
Survey your company.
Understand why change is necessary.
Ensuring support from management and the C-suite.
Talk with stakeholders to obtain support.
Frame your issue as one that positively impacts the entire company.
Creating the need for change.
Market a compelling message about why change is best.
Communicate the change using your long-term vision.
Step 2: Change
Once you’ve “unfrozen” the status quo, you may begin to implement your change.
Organizational change in particular is notoriously complex, so executing a well-planned change process
does not guarantee predictable results. Therefore, you must prepare a variety of change options, from
the planned change process to trial-and-error. With each attempt at change, examine what worked, what
didn’t, what parts were resistant, etc. During this evaluation process, there are two important drivers of
successful and long-term effectiveness of the change implementation process: information flow and
leadership.
Information flow refers to sharing information across multiple levels of the organizational hierarchy,
making available a variety of skills and expertise, and coordinating problem solving across the
company.
Leadership is defined as the influence of certain individuals in the group to achieve common goals. A
well-planned change process requires defining a vision and motivation.
The iterative approach is also necessary to sustain a change. According to Lewin, a change left without
adequate reinforcement may be short-lived and therefore fail to meet the objectives of a change process.
During the Change phase, companies should:
Communicate widely and clearly about the planned implementation, benefits, and who is affected.
Answer questions, clarify misunderstandings, and dispel rumors.
Promote and empower action. Encourage employees to get involved proactively with the change, and
support managers in providing daily and weekly direction to staff.
Involve others as much as possible. These easy wins can accumulate into larger wins, and working
with more people can help you navigate various stakeholders.
Step 3: Refreeze
The purpose of the final step—refreezing—is to sustain the change you’ve enacted. The goal is for the
people involved to consider this new state as the new status-quo, so they no longer resist forces that are
trying to implement the change. The group norms, activities, strategies, and processes are transformed
per the new state. Without appropriate steps that sustain and reinforce the change, the previously
dominant behaviour tends to reassert itself. You’ll need to consider both formal and informal
mechanisms to implement and freeze these new changes.
Consider one or more steps or actions that can be strong enough to counter the cumulative effect of all
resistive forces to the change—these stronger steps help ensure the new change will prevail and become
“the new normal”.
In the Refreeze phase, companies should do the following
Tie the new changes into the culture by identifying change supports and change barriers.
Develop and promote ways to sustain the change long-term.
Consider:
Ensuring leadership and management support and adapting organizational structure when
necessary.
Establishing feedback processes.
Creating a rewards system.
Offer training, support, and communication for both the short- and long-term. Promote both formal
and informal methods, and remember the various ways that employees learn.
Sources of Resistance :
The reasons of employee’s resistance to change are as follows:
i) Lack of Understanding
The Employees do not understand why the change is happening when they don’t have sufficient
knowledge about the change. Some communication problems are often related with this aspect of
change. Without understanding the reason behind the change, it becomes quite difficult for people to
accept change.
ii) Fear of unknown and failure
Employees resist change because they have to learn something new. They fear the unknown
and about their ability to adapt it. People are always suspicious about the unfamiliar thing; they are
concerned about how to get from the old to new, because it involves learning something new with risk
of failure. They are very much satisfied with the status quo and try to maintain it.
iii) Lack of competency
Sometimes employees resist change because they don’t have required competencies as needed
when and after the change is implemented. They don’t want to show their weaknesses that’s why they
resist change. Sometimes they presume that their lack of competency may cost them their job.
iv) Employees feel overloaded
Sometimes the employees do not have sufficient time to engage with the change. They are not
in the position to handle two things simultaneously i.e. handle change and carry their current
responsibilities.
v) Genuine objections
Employees also resist change because they don’t share the value driving the change. They
genuinely believe it is wrong to initiate change in the organisation and resist saving the organisation.
They have genuine objections.
Apart from these there are four categories of different causes of resistance. They are;
• Psychological
Employee’s negative perception, frustration, anxiety, and preference towards status quo,
cognitive comfort, fear, past failure, cynicism or mistrust in top management/owner
• Materialistic
Loss of pay, comfort, status, and threat to job security
• Employees concern for firm
Faults & weaknesses in change program i.e. change is not good for the firm or employees and
management has difference/conflict of perceptions about change program and its effects
Overcoming Resistance
i) Education and Communication
This approach is used, when resistance is the result of the lack of information or inaccurate
information and analysis. In this case it is better to educate and communicate people who are
going to be affected by the change. This helps employees to see the change effort in new light
and not to entertain rumors about the change in the organisation.
ii) Participation and Involvement
This approach is useful when the changing authority does not have full information about the
change. In this case it is better to involve the employees in the change process as it lowers the
chances of resistance to change.
iii) Facilitation and Support
Sometimes people resist due to some adjustment problems like fear from the anticipated
change. In these situations it is advised to the managers to support the staff fully and force them
into the new situation so that they can understand that it is not as difficult as they presume. The
support of the management helps employees to overcome their fear and anxiety. There must be
provision for counseling, coaching and special training for the employees to handle the change
effectively.
iv) Negotiation and Agreement
This method is useful when people fear of losing something due to change. In such conditions
the manager offers some incentives to them. For this purpose the manager negotiates with the
employees not to resist change.
v) Manipulation and Co-option
As Kotter and Schlesinger suggests that when any other approach does not work, an effective
manipulation technique like co-opting those who resist. Co-option involves the patronising
gesture in bringing a person into a change management-planning group only for the sake of
appearances rather than their substantive contribution. As involvement of the leaders of the
resisting group have only symbolic role to be played in decision-making process.vi) Explicit
and Implicit Coercion .This approach is used when it is essential to implement the change
speedily.
In such cases change is forced upon the employees by making clear that
Change Management resisting change may lead to losing jobs, firing, transferring or not
promoting employees.
These six approaches help in identifying the types of resistances to change and how to
overcome them. Sometimes the combination of these approaches is used to tackle with
resistance.
John Kotter has mentioned eight reasons for the failure of the change processes.
These are:
• Allowing too much complexity
• Failing to build a substantial coalition
• Not understanding the need for a clear vision
• Failing to clearly communicate the vision
• Permitting roadblocks against the vision
• Not planning and getting short-term wins
• Declaring victory too soon
• Not anchoring changes in the corporate culture.
Guidelines to manage Conflict :
Fig 6 Managing Conflict Guidelines
1. Accommodating
An accommodating mode of conflict management tends to be high in cooperation but low in
assertiveness. When you use this style, you resolve the disagreement by sacrificing your own
needs and desires for those of the other party.
This management style might benefit your work when conflicts are trivial and you need to
move on quickly. At home, this style works when your relationship with your roommate,
partner, or child is more important than being right. Although accommodation might be optimal
for some conflicts, others require a more assertive style.
2. Avoiding
When avoiding, you try to dodge or bypass a conflict. This style of managing conflicts is low
in assertiveness and cooperativeness. Avoidance is unproductive for handling most disputes
because it may leave the other party feeling like you don't care. Also, if left unresolved, some
conflicts become much more troublesome.
However, an avoiding management style works in situations where:
You need time to think through a disagreement.You have more pressing problems to deal with
first.The risks of confronting a problem outweigh the benefits.
3. Collaborating
A collaborating conflict management style demands a high level of cooperation from all parties
involved. Individuals in a dispute come together to find a respectful resolution that benefits
everyone. Collaborating works best if you have plenty of time and are on the same power level
as the other parties involved. If not, you may be better off choosing another style.
4. Competing
When you use a competitive conflict management style (sometimes called 'forcing'), you put
your own needs and desires over those of others. This style is high in assertiveness and low in
cooperation. In other words, it's the opposite of accommodating. While you might think this
style would never be acceptable, it's sometimes needed when you are in a higher position of
power than other parties and need to resolve a dispute quickly.
5. Compromising
Compromising demands moderate assertiveness and cooperation from all parties involved.
With this type of resolution, everyone gets something they want or need. This style of managing
conflict works well when time is limited. Because of time constraints, compromising isn't
always as creative as collaborating, and some parties may come away less satisfied than others.
UNIT – V PRODUCTIVITY AND MODERN TOPICS 9
Productivity: Concept; Measurements; Affecting Factors; Methods to Improve – Modern Topics
(concept, feature/characteristics, procedure, merits and demerits): Business Process Reengineering
(BPR); Benchmarking; SWOT/SWOC Analysis; Total Productive Maintenance; Enterprise Resource
Planning (ERP); Management of Information Systems (MIS), Industry 4.0.
Productivity
Productivity is probably one of the most common, and at the same time one of the vaguest concepts in
the linguistics of Business and Management. Like the concept of quality, we think we know it
intuitively, yet we soon discover that numerous difficulties are inherent in the precise conceptual
definition of productivity, let alone its empirical measurement.
The term "productivity" is usually operationalized in terms of ratios of outputs to inputs, defined in
physical terms or the equivalent. The productivity analysis is intended to shed light upon the efficiency
of the production process in the firm. To this end, quantities of outputs and inputs
(e.g., volumes of goods or services for outputs, manhours for labor inputs, and machine hours for capital
inputs) for proxies thereof are measured rather than their nominal monetary values.
Productivity analysis of a purposeful productive system comprised of more than one distinct activity
usually envisions the production process as a "black box" -inputs flowing in, outputs flowing out. It
concentrates on levels and variations in input-output relationships to gain some insights about the
overall efficiency of this production process. Tasks of a management oriented productivity analysis
thus include the proper specification and measurement of output-input ratios, the identification of some
of the basic factors affecting these productivity variations, and the assessment of their relative
contribution to productivity performance.
Concept of productivity
The concept of productivity can be applicable to any economy, small, medium and large business,
government and individuals. Productivity aims at the maximum utilization of resources for yielding as
many goods and services as possible, desired by consumers at lowest possible cost. Productivity is the
ratio of output in a period of time to the input in the same period time.
Productivity can measured with the help of following formula:
Productivity can thus be measured as:
“Productivity is the quantitative relation between; what a firm produces and what a firm uses as a
resource to produce output, i.e. arithmetic ratio of amount produced (output) to the amount of resources
(input)”.
“Productivity is an aggregate measure of the efficiency of production; it is the ratio of output to inputs
i.e. capital, labor, land, energy and materials”.
“Productivity refers to the efficiency of the production system and an indicator to; how well the factors
of production (land, capital, labor and energy) are utilized”.
Productivity is the ratio between output of wealth and input of resources used in production processes.
Output means the quantity of products produced and the inputs are the various resources used in the
production. The resources used may be land, building, equipment, machinery, materials, labour etc.
Productivity can be increased by the following ways:
1. Increasing the output using the same input.
2. Reducing the input by maintaining the output as constant.
3. Increasing the output to a maximum extent with a smaller increase in input. Productivity is the
outcome of several factors. These factors are so interrelated that it is difficult to identify the effect of
any one factor on productivity.
Measurements of productivity
Productivity of each resource can be measured separately. Such measurement gives single
factor productivity. The method of calculating productivity considering more than one resource
is called multi-factor productivity approach to measuring productivity. Total productivity (total
productivity index) refers to the productivity of all resources put together. So productivity of
all resources put together gives total productivity.
There are broadly three types of productivity measurements and these are explained below:
1. Single-Factor Productivity Measurement.
2. Multi-Factor Productivity Measurement.
3. Total (Composite) Factor Productivity Measures.
4. Total Productivity Model.
1. Single-Factor Productivity Measurement:
Single-Factor Productivity is a measure of output against specific input. Partial productivity is
concerned with efficiency of one class of input. Its significance lies in its focus on utilization
of one resource. Labor productivity is a single factor productivity measure. It is the ratio of
output to labor input (units of output per labor hour). Material productivity is the ratio of output
to materials input.
Machine productivity is the ratio of machine units of output per machine hour, output per unit
machine. Capital productivity is the ratio of output to capital input and it is measured in Rupees.
Energy Productivity is units of output per kilowatt-hour (Rupee value of output per kilowatt-
hour).
Advantages of Single-Factor Productivity:
i. Ease in obtaining relevant data and easy to comprehend.
ii. Acts as a good diagnostic measure to identify areas of improvement by evaluating inputs
separately across the output.
iii. Ease in comparing with other businesses in the industry.
Disadvantages of Single-Factor Productivity:
i. Does not reflect the overall performance of the business.
ii. Misinterpreted as technical change or efficiency/effectiveness of labor.
iii. Management may identify wrong areas of improvements if the focus areas of a business are
not examined accurately.
2. Multi-Factor Productivity Measurement:
The concept of multi-factor productivity was developed by Scott D. Sink, multi-factor
productivity measurement model considered labour, material and energy as major inputs.
Capital was deliberately left out as it is most difficult to estimate how much capital is being
consumed per unit/ time.
The concept of depreciation used by accountants make it further difficult to estimate actual
capital being consumed. Multi-factor productivity is ratio of output to a group of inputs such
as; labor, energy and material. Multi-factor productivity is an index of output obtained from
more than one of the resources (inputs) used in production. It is the ratio of net output to the
sum of associated labor and other factor inputs.
Advantages of Multi-Factor Productivity:
i. Considers intermediate inputs of a business.
ii. Measures technical change in an industry. Disadvantages of Multi-Factor Productivity
iii. Difficulty in obtaining all the inputs.
iv. Difficulty in communicating inter-industry linkages and aggregation.
3. Total (Composite) Factor Productivity Measures:
The Total Factor Productivity model developed by John W. Kendrick in 1951, he has taken
only labour and capital as only two input factors. In an effort to improve productivity of labour,
company may install more machinery and then productivity of labour will go up bringing down
the capital productivity.
Therefore, labour and capital are considered to be the most significant in contribution in the
process of production.
Advantages of Total Factor Productivity:
i. Ease in obtaining data and to understand.
ii. Ease in understanding.
iii. Ease of aggregation across industries.
Disadvantages of Total Factor Productivity:
i. Not a good measure for technological change.
ii. Other inputs are ignored.
iii. Net output does not reflect the efficiency of production system in a proper way.
4. Total Productivity Model:
Total Productivity Model was developed by David J. Sumanth in 1979 considered five items
as inputs. These are human, material, capital, energy and other expenses. This model can be
applied in any manufacturing or service organization.
Total Tangible Output = Value of finished units produced + Partial units produced + Dividends
from securities + Interests from bonds + other incomes.
Total Tangible Inputs = Value of human inputs + Capital inputs + Materials purchased +
Energy inputs + other expenses (taxes, transport & office expenses etc.).
Advantages of Total Productivity:
i. All quantifiable inputs are considered.
ii. Sensitivity analysis can be done.
iii. Provides both firm level and operational unit level productivity.
Disadvantages of Total Productivity:
i. Data is difficult to compute.
ii. Does not consider intangible factors of input and output.
Constraints in measuring productivity are discussed below:
1. Changing Price of Inputs and Outputs:
There is a continuous change in the price of inputs and outputs, quality of raw-materials,
machines and tools, quality of labor, etc. All this creates difficulties in measuring productivity.
2. Intangible Output of Service Sector:
It is very difficult to measure the productivity of service sectors e.g. banking, insurance,
education, etc. This is because the output of the service sector is intangible.
3. Difficulty in Measuring Output:
The output of an industry may be measured in terms of volume (units) or value (Rupee). It is
very difficult to combine both these factors. If the output is homogeneous, then the productivity
can be measured in terms of volume. If the output is not homogeneous, then the productivity
can be measured in terms of rupee.
4. Difficulty in Measuring Inputs:
Most industries do not have proper records of the inputs of land, labor, capital and machines.
Even if such records are available, it is very difficult to calculate the exact number of man
hours worked i.e. the input of labor.
5. Factorial Productivity:
Factorial productivity means to calculate the productivity of different factors of production
separately. Some management experts say that a single factor of production cannot produce
anything by itself. Therefore, it has no productivity. Therefore, according to these management
experts, the concept of factorial productivity is meaningless.
6. Difficulty in Measuring Man-Hours:
It is difficult to find out the exact number of productive man-hours. This is because wages paid
to the employees also includes the cost of idle time.
The productivity improvement models are discussed in detail below:
Model # 1. Material Based Measures:
This method includes material planning and control (MPC), purchasing, logistics, material
storage and retrieval, source selection and procurement of quality material, waste elimination.
It encompasses the following methods:
i. Material planning and control.
ii. Material storage and retrieval.
iii. Source selection and procurement of quality material.
iv. Waste elimination.
v. Recycling and reuse of waste materials.
vi. Purchasing logistics.
Model # 2. Process or Task Based Measures:
Process based productivity is based on management style, communication in the organization,
work culture, motivation, promotion group activities. Process based techniques include
improvements in doing work like; process design and human factor engineering, to increase
productivity; there are two main techniques (method Study and work measurement) of
simplifying any task-
(a) Method Engineering is the systematic recording and critical examination of the present and
the proposed way of doing work as a means of developing better economical, easier and
efficient way of doing work and implementing it.
(b) Work Measurement is an application of technique designed to establish and time required
by qualified worker to carry out specified tasks at defined level of performance. In short,
measurement of time to do work.
Model # 3. Technology Based Measures:
This included use of advanced and updated technology to increase productivity. It consist
CAD/CAM/CIMS, Robotics, Laser technology, Modern maintenance technology, Energy
technology, Flexible manufacturing system (FMS).
(a) Computer Aided Design (CAD):
CAD refers to design of products, processes or systems with the help of computers. The impact
of CAD on human productivity is significant. Speed of evaluation of alternative designs,
Minimization of risk of functioning, and Error reductions are the advantages of CAD.
(b) Computer Added Machining (CAM):
CAM is very much useful to design and control the manufacturing. It helps to achieve the
effectiveness in production system by line balancing. CAM helps in production planning and
control (PPC), capacity requirements planning (CRP), manufacturing resources planning
(MRP-II) and materials requirement planning (MRP) and automated inspection.
(c) Computer Integrated Manufacturing (CIMS):
Computer integrated manufacturing is characterized by automatic line balancing, machine
loading (scheduling and sequencing), automatic inventory control and inspection. It includes
robotics, modern maintenance techniques, energy technology, Flexible Manufacturing System
(FMS).
Model # 4. Product Based Measures:
Productivity can be improved by improving product design, by improving the quality of parts
of product.
Productivity can be improved by taking following action regarding product:
i. Value analysis and value engineering.
ii. Product diversification.
iii. Standardization and simplification.
iv. Reliability engineering.
v. Product mix and promotion.
Affecting Factors
These factors may broadly be divided as follows:
1. Human:
Human nature and human behaviour are the most significant determinants of productivity.
Human factors may further be classified into two categories as given below:
(a) Ability to work – Productivity of an organization depends upon the competence and calibre of its
people—both workers and managers. Ability to work is governed by education, training, experience,
aptitude, etc. of the employees.
(b) Willingness to work – Motivation and morale of people is the second important group of human
factors that determine productivity. Wage incentive schemes, labour participation in management,
communication system, informal group relations, promotion policy, union management relations,
quality of leadership, etc., are the main factors governing employees’ willingness to work. Working
conditions like working hours, sanitation, ventilation, schools, clubs, libraries, subsidized canteen,
company transport, etc., also influence the motivation and morale of employees.
2. Technological:
Technological factors exercise significant influence on the level of productivity.
The main technological factors are as follows:
(a) Size and capacity of plant
(b) Product design and standardization
(c) Timely supply of materials and fuel
(d) Rationalization and automation measures
(e) Repairs and maintenance
(f) Production planning and control
(g) Plant layout and location
(h) Materials handling system
(i) Inspection and quality control
(j) Machinery and equipment used
(k) Research and development
(l) Inventory control
(m) Reduction and utilization of waste and scrap, etc.
3. Managerial:
The competence and attitudes of managers have an important bearing on productivity. In many
organizations, productivity is low despite latest technology and trained manpower. This is due to
inefficient and indifferent management. Competent and dedicated managers can obtain extraordinary
results from ordinary people.
Job performance of employees depends on their ability and willingness to work. Management is the
catalyst to create both. Advanced technology requires knowledge workers who in turn work
productively under professionally qualified managers. No ideology can win a greater output with less
effort. It is only through sound management that optimum utilization of human and technical resources
can be secured.
4. Natural:
Natural factors such as physical, geological, geographical and climatic conditions exert considerable
influence on productivity, particularly in extractive industries. For example, productivity of labour in
extreme climates (too cold or too hot) tends to be comparatively low. Natural resources like water, fuel
and minerals influence productivity.
5. Sociological:
Social customs, traditions and institutions influence attitudes towards work and job. For instance, bias
on the basis of caste, religion, etc., inhibited the growth of modern industry in some countries. The joint
family system affected incentive to work hard in India. Close ties with land and native place hampered
stability and discipline among industrial labour.
6. Political:
Law and order, stability of Government, harmony between States, etc. are essential for high productivity
in industries. Taxation policies of the Government influence willingness to work, capital formation,
modernization and expansion of plants, etc. Industrial policy affects the size, and capacity of plants.
Tariff policies influence competition. Elimination of sick and inefficient units helps to improve
productivity.
7. Economic:
Size of the market, banking and credit facilities, transport and communication systems, etc. are
important factors influencing productivity.Productivity is an economics term which refers to the ratio
of product to what is required to produce the product. Productivity is outcome of several interrelated
factors. All the factors which are related to input and output components of a production process are
likely to affect productivity.So, there are many factors which can influence productivity; such as internal
and external. Knowing the internal and external factors that affect productivity of an Industrial
organization; give industrial engineers; the intelligence, they needs to sort out the low performance of
resources and make strategic plans for the future.
Some of the Other Factors
The factors influencing productivity can be classified broadly into two categories:
(A) Controllable Factors.
(B) Uncontrollable Factor.
(A) Controllable Factors:
Controllable Factors are considered as internal factors. These are the factors which are in control of
industrial organization.
Controllable factors are:
1. Material and Power:
Improved quality of raw materials and increased use of power have a favorable effect on productivity.
An effort to reduce materials and energy consumption brings about considerable improvement in
productivity.
It consist:
i. Selection of quality material and right material.
ii. Control of wastage and scrap.
iii. Effective stock control.
iv. Development of sources of supply.
v. Optimum energy utilization and energy savings.
2. Machinery and Plant Layout:
The size of the plant and the capacity utilization has direct bearing on productivity. Production below
or above the optimum level will be uneconomical and will tend towards lower level of productivity.
The arrangement of machines and position in the plant and the setup of the wore-bench of an individual
worked will determine how economically and efficiently production will be ferried out.
3. Human Factors:
Human nature and human behavior are the most significant determinants of productivity. Human factors
include both their ability as well as their willingness.
i. Ability to Work:
Ability to work is governed by education, training, experience and aptitude of the employees.
Productivity of an organization depends upon the competence and caliber of its people (both workers
and managers).
ii. Willingness to Work:
Motivation and morale of people are very important factors that determine productivity. These are
affected by wage incentive schemes, labour participation in management, communication systems,
informal group relations, promotion policy, union Management relations, quality of leadership, working
hours, sanitation, ventilation, subsidized canteen and company transport etc.
4. Organization and Managerial Factors:
Organization factor include various steps taken by the organization towards maintaining better
industrial relations such as delegation and decentralization of authority. These factors also influence
motivation likewise the existence of group, with higher productivity as their goal is likely to contribute
to the organization objectives.
The competence and attitudes of managers have an important bearing on productivity. Competent and
dedicated managers can obtain extraordinary results from ordinary people. Job performance of
employees depends on their ability and willingness to work.
5. Technological Factors:
Technological factors exert significant influence on the level of productivity.
These include the following:
i. Size and capacity of plant
ii. Product design and standardization
iii. Production planning and control
iv. Plant layout and location
v. Materials handling system
vi. Inspection and quality control
vii. Machinery and equipment used
viii. Research and development
(B) Uncontrollable Factors:
Uncontrollable factors are known as external factors and these factors are beyond the control of the
individual industrial organization.
Uncontrollable factors are:
1. Economic Political and Social Changes:
There are economic, social and political factor that affects the productivity.
i. Economic Factors like Size of the market, banking and credit facilities, transport and communication
systems, etc. is important factors influencing productivity.
ii. Political Factors like Law and order, stability of government, harmony between states etc. are
essential for high productivity in industries Taxation policies of the government influence willingness
to work, capital formation, modernization and expansion of plants etc. Industrial policy affects the size,
and capacity of plants. Elimination of sick and inefficient units also helps to improve productivity.
iii. Social Factors like Social customs, traditions and institutions influence attitudes towards work and
job. For instance, bias on the basis of caste, religion, etc., inhibited the growth of modern industry in
some countries. The joint family system affected incentive to work hard in India. Close ties with land
and native place hampered stability and discipline among industrial labour.
2. Natural Resources:
Natural factors such as physical, geographical and climate conditions exert considerable influence on
productivity, particularly in extreme climates (too cold or too hot) tends to be comparatively low.
Natural resources like water, fuel and minerals influence productivity.
3. Government Factor:
Government policies and programs are significant to productivity practices of government agencies,
transport and communication power, and fiscal policies (interest rates, taxes) influence productivity to
the greater extent.
Benchmarking
Benchmarking, is a tool of strategic management, that allows the organization to set goals and measure
productivity, on the basis of the best industry practices. It is a practice in which quality level is used as
a point of reference to evaluate things by making a comparison
Types of Benchmarking
There are two types of Benchmarking, discussed as under:
Internal Benchmarking: When measurement and comparison of key operations between teams, groups
and individuals are made within the organization, the benchmarking is said to be internal.
External Benchmarking: When measurement and comparison of key operations are made with the
competitors, then, it is called as external benchmarking.
Further, the process is sub-classified as:
Process Benchmarking
Performance Benchmarking
Strategic Benchmarking
Application of Benchmarking
The process entails looking outside the organization to study what others do to achieve their
performance level and also the processes they use. So, the approach helps in determining the
processes behind the exceptional performance. It can be applied in the following areas:
Human Resource Management
Product Development
Product Distribution
Maintenance Operations
Plant utilisation levels
Customer Services
Process of Benchmarking
 Identifying the need for Benchmarking
 Understanding the existing process and practices
 Obtaining support and approval from the top management.
 Identifying best practices.
 Making a comparison between the firm’s processes and performance with those of rivals.
 Preparation of report, regarding the differences in standard and actual results.
 Implementing steps necessary for filling gaps in performance.
 Evaluation and review
Benchmarking does not provide a solution to all the problems rather it analyses the situations and
processes and helps in improving the performance.
It is a continuous improvement process. Hence, the benchmarking exercises are applied appropriately
and performed regularly, so as to gain competitive advantage and also refining performance in the
major areas of business.
In this process, a firm’s major operations are measured and compared with the rivals and
acknowledged leaders of the industry.
SWOT/SWOC Analysis
Use SWOC analysis whenever you have a business idea as a great cost-effective way to reduce
challenges and deter failure of a business venture or product.
SWOC analysis is a strategic planning method used to research external and internal factors which
affect company success and growth. Firms use SWOC analysis to determine the strengths,
weaknesses, opportunities, and challenges of their firm, products, and competition.
SWOC analysis is relevant to SWOT analysis. SWOT examines strengths, weaknesses, and
opportunities. But it focuses on threats rather than challenges. The two are similar but they do have
their differences, which is why firms may choose to use SWOC or SWOT.
Strengths
Strengths are features which benefit the company, such as product sales. For example, sales of
Product X is growing 3% each month. But Product Z is seeing a 3% monthly decline. In this case,
Product X, which brings in more revenue, is where the firm should focus their efforts to continue
profit growth.
Strengths can also be more abstract. If you’ve decided to build a product because you know you can
offer it cheaper than your competitor, this is an overall strength of the company. Or if you have
records of better customer service via positive reviews online, this is a strength you can use to your
advantage. Strengths can be documented through statistics, customer service reviews, and surveys.
Weaknesses
The next step is noticing weaknesses. Weaknesses cause a company to struggle. For example, if
you’ve decided to target a younger audience but your packaging is still dedicated to senior citizens,
the new consumer base will struggle to connect to the product. This will show in reports, and cause an
internal struggle within the company
Weaknesses need to be documented and acknowledged to handle them promptly before it spreads and
leads to overall destruction.
Opportunities
Opportunities are often external. They provide ways for firms to grow successfully. For example, a
digital marketing agency helps a client develop an effective email marketing strategy. The agency has
been thinking of doing graphic design so they offer a reduced fee to re-do the existing client’s logo.
This is an opportunity for the agency to develop a new section of their business without having to
devise a marketing plan because they can reach out to existing clients.
Being open to opportunities, knowing when to look for them, and how to act on them can boost a
firm’s success. Documenting past opportunities can help create a plan on how to capitalize future
opportunities.
Challenges
The final step in SWOC analysis is acknowledging challenges. This is how SWOC and SWOT
analysis differ because SWOT analysis focuses on threats.
Challenges are similar to threats but have the chance of being overcome. Threats have the potential to
damage a firm, but challenges often already exist and need to be handled appropriately.
This step is crucial. If you’ve already examined the strengths, weaknesses, and opportunities but skip
assessing challenges, you may be on the path to failure. Challenges can greatly undermine any
progress you’ve made, so by ignoring this step, you’ve opened yourself up to potential failure.
When to use SWOC analysis
Use SWOC analysis whenever you have a business idea. Whether it’s starting a brand new business, a
product, or a product upgrade. You can do SWOC analysis annually, quarterly, or monthly; it depends
on what product or idea you’re using SWOC analysis for.
But if you choose to do SWOC analysis, remember it’s a great cost-effective way to reduce challenges
and deter failure of a business venture or product.
TPM (Total Productive Maintenance)
Getting operators involved in maintaining their own equipment, and emphasizing proactive and
preventive maintenance will lay a foundation for improved production (fewer breakdowns, stops, and
defects).
What Is TPM?
TPM (Total Productive Maintenance) is a holistic approach to equipment maintenance that strives to
achieve perfect production:
 No Breakdowns
 No Small Stops or Slow Running
 No Defects
In addition it values a safe working environment:
 No Accidents
TPM emphasizes proactive and preventative maintenance to maximize the operational efficiency of
equipment. It blurs the distinction between the roles of production and maintenance by placing a
strong emphasis on empowering operators to help maintain their equipment.
The implementation of a TPM program creates a shared responsibility for equipment that encourages
greater involvement by plant floor workers. In the right environment this can be very effective in
improving productivity (increasing up time, reducing cycle times, and eliminating defects).
The 5S Foundation
The goal of 5S is to create a work environment that is clean and well-organized. It consists of five
elements:
Sort: eliminate anything that is not truly needed in the work area
Straighten: organize the remaining items
Shine: clean and inspect the work area
Standardize: create standards for performing the above three activities
Sustain: ensure the standards are regularly applied
It should be reasonably intuitive how 5S creates a foundation for well-running equipment. For
example, in a clean and well-organized work environment, tools and parts are much easier to find, and
it is much easier to spot emerging issues such as fluid leaks, material spills, metal shavings from
unexpected wear, hairline cracks in mechanisms, etc
TPM Pillar 1: Autonomous Maintenance (Jishu Hozen)
Jishu Hozen or Autonomous Maintenance places the responsibility of basic maintenance activities on
the hands of the operators and leaves the maintenance staff with more time to attend to more complex
maintenance tasks.Maintenance activities that are carried out by shop floor workers include basic
cleaning of machines, lubricating, oiling, and tightening of nuts and bolts, inspection, diagnosis of
potential problems and other actions that increase the productive life of machines or equipment.
By carrying out these maintenance activities, the workers become more responsible towards their
work and downtime is reduced because there is no need of waiting for maintenance staff as they can
correct simple problems that may occur from time to time.
Maintenance staff on the other hand will be more concerned with issues that require a higher technical
ability such as replacement and servicing of internal parts. They will also carry out scheduled or
planned maintenance which means production will not be interrupted unnecessarily.
Autonomous maintenance has benefits to both the workers and the organization as a whole:
 Operators become more responsible and concerned about the condition of equipment they use
on a daily basis
 Skill levels of workers increase as they gain an understanding of the general working of
equipment thus achieving the multi-skilling objective of a lean organization
 Machines operate at their optimal level because basic maintenance such as cleaning and
lubrication is carried out more regularly
 Problems are identified and corrected before they go out of control leading to major
breakdown of equipment.
 Engineering staff are freed-up to carry out higher-level maintenance activities on sensitive
and critical equipment thus reducing the overall system downtime
By carrying out the simple activities in this TPM pillar, capital investments are drastically
reduced because the organization has reliable equipment and does not have to replace machines as
often. This is because the lifespan of machines is drastically increased as forced deterioration is
checked through constant monitoring and maintenance
TPM Pillar 2: Planned Maintenance
Planned maintenance is the scheduling of maintenance activities based on observed behaviour of
machines such as failure rates and breakdowns. By scheduling these activities around such
metrics, the cycle of breakdowns and failure is broken thus contributing to a longer service life of
machines.Because there is a specific time for maintaining equipment, production is rarely
interrupted as these activities are scheduled around the time when they are idle or are producing
very little. In fact, production functions can build up some inventory to allow for the planned
maintenance to be carried out as they have prior information of when these activities are
scheduled.This is in contrast to reactive maintenance that waits for problems to occur which has a
negative impact on productivity due to machine downtime. Production will never be sure when
they will be able to get back to work because the problems are not clear and technicians will just
be doing exploratory work to find causes.
There are many obvious benefits of taking the planned maintenance approach as compared to
being reactive when technical issues arise:
 By constantly scheduling maintenance activities, the number of breakdowns gradually
decrease and this then increases the capacity for productive activities
 Production functions can continue with their activities uninterrupted because they know
exactly when maintenance will take place.
 Maintenance is done when the production floor is not very busy
 Capital investments in machinery are reduced as the equipment is utilized to its fullest
potential
 Expensive machine parts do not have to be kept in inventory as there is better control of
the various categories of parts.
TPM Pillar 3: Quality Maintenance
This TPM pillar addresses the issue of quality by ensuring equipment is able to detect and prevent
errors during production. By detecting errors, processes become reliable enough to produce the right
specification the first time.The quality aspect of maintenance is very important because it helps in
preventing defects from moving down the value chain which only leads to a lot of rework.
Using lean tools such autonomation (jidoka) and andon, machines detect and report any abnormal
conditions, thereby releasing the operators from the tedious monitoring that is common in non-lean
operations.
The quality maintenance pillar of TPM also ingrains in the workforce the habit of finding the root
cause of problems instead of rushing to solutions that are not permanent. This is done through tools
such as 5 Whys root-cause-analysis and Ishakawa diagrams which are structured ways of getting to
the real reasons why problems occur.
Quality maintenance offers a number of advantages including:
 Targeted improvement activities address quality issues that arise from time to time in the
workplace by coming up with permanent countermeasures
 Defects are minimized or completely eliminated
 Cost of poor quality is reduced by getting quality right the first time. This happens because
errors are caught before they move down the value stream which reduces the amount of
rework that has to be done to correct them
TPM Pillar 4: Focused Improvement (Kobetsu Kaizen)
In this pillar, cross-functional teams are assembled with the main working on problematic equipment
and coming up with improvement suggestions.
The use of cross-functional teams is important so as to have a large and varied number of employees
involved so as to bring in different experience as well as viewpoints to the table.
These teams are better placed to come up with solutions to the issues that arise concerning crucial
machines. The kaizen projects for maintenance also serve as training sessions on the total productive
maintenance tool which results in the organization having a large pool of skilled personnel.
Once a focussed improvement team for maintenance has been identified and trained, they choose at
least one piece of equipment as a pilot for their activities. Problems relating to the equipment are
identified and improvement goals set in a three to five day in-house kaizen event.
During the events, the participants map the current state of affairs as a baseline performance measure
on which they will compare any future performance after improvement.
The teams work together to make sure that any solutions that they come up with are implemented and
any follow-up activities are completed within the agreed timelines.
The focussed improvement pillar of TPM is therefore advantageous as quick gains are made which
helps in promoting the lean methodology to workers who may not have bought in to the program.
The organization is able to build-up a large base of employees that are conversant with the right tools
for solving problems and getting to the root cause.
TPM Pillar 5: Early Equipment Maintenance
The fifth TPM pillar of Early Management uses the experience gathered from previous maintenance
improvement activities to ensure that new machinery reaches its optimal performance much early than
usual.
Working with a myriad of stake-holders including suppliers, the company is able to hit the ground
running with highly reliable and productive equipment
The productivity as well as output quality of the machines is also guaranteed from the very first day
when the equipment is commissioned.
Using the input from the people who use these machines on a daily basis, suppliers of the equipment
can improve the maintainability and operability in the next iteration of their products.
Among the factors that should be considered when designing new equipment include:
 Ease of cleaning and inspection
 Ease of lubrication
 Accessibility of equipment parts
 Improving operability of machines through ergonomically placing controls in such a way that
they are comfortable to use by operators
 Making it easier for changeover to take place through simplification of procedures or
eliminating the unnecessary ones
 Feedback mechanisms that prevent out-of-spec situations as well as clear indications of the
correct specifications for quality products
 Increased safety features
Though the machines may be designed and manufactured with all the above considerations in mind, it
is still possible that there will be bugs that will need to be removed before full commissioning.
Early management is a system that addresses these concerns and uses input from the staff who will be
using the equipment before installation.
TPM Pillar 6: Education and Training
This pillar is concerned with filling the knowledge gap that exists in an organization when it comes to
total productive maintenance.
Lack of knowledge in the tools can stand in the way of proper implementation leading to mediocre
results at best and failure at worst.
Without proper training, tools such as TPM can be misunderstood by the staff which can result in
disastrous results for the company.
Ensuring that employees are trained gives the organization a reliable pool of knowledgeable staff that
can drive the initiative competently.
TPM education and training pillar is a company-wide initiative that does not leave out any employee
cadre. In fact, all levels in the organization – from the operators to senior managers – get involved in
the TPM training as well projects.
Through training, operators’ skills levels are raised to the point where they are able to carry-out basic
maintenance activities that were previously the preserve of maintenance staff.
The technical staff are then taught higher level skills such as preventive maintenance and analytical
skills to help become more proactive to problem solving.
At the managerial level, managers also learn the TPM skills so as to become competent mentors to
their juniors as well as be involved in coaching programs.
TPM Pillar 7: Health, Safety & Environment
That workers must be able to perform their functions in a safe environment devoid of health risks
cannot be gainsaid.
The health, safety and environment pillar of total productive maintenance ensures that all workers are
provided with an environment that is safe and that all conditions that are harmful to their well-being
are eliminated.
While the goal of any organization is to produce value for the customer in an efficient and productive
manner, this should be done in a way that is does not put to risk the safety of workers. It is therefore
important that any solutions which are put in place should consider the well-being of the worker
above all else.
When workers are in a safe environment, their attitude towards work changes dramatically with a
resultant increase in important metrics such as productivity. This is because injuries or fatalities
reduce when there is a concerted effort to make the workplace an accident-free environment.
The cross-functional teams will work towards making machines safe to use by the operators by
putting in place such features as guards, works standards, use of personal protective equipment and
first-aid kits in the work-area. Each of these measures are aimed at improving the safety of the
machines so as to have a more productive work-force.
TPM Pillar 8: TPM in Office Functions
Taking TPM to the administrative functions is the next logical step in the total productive
maintenance program so as to have the whole organization speaking from the same page.
As these are supportive functions, making them understand and apply the principles of lean in their
own operations makes it easy for them to provide efficient service to the main value-creating
processes.
In addition, spreading the initiative into other functions removes the silo mentality and encourages
horizontal cooperation within the workforce. The organization will also benefit by having a larger
pool of workers who understand the principles of TPM and can easily be called upon to play a
positive role in its implementation.
The TPM principles can also be applied as stand-alone techniques to improve the efficiency of these
supportive functions. For example, if the administrative functions are able to improve their order
processing procedures, then material will get to the shop-floor in a flawless manner which will have a
positive effect on the workflow.If suppliers are paid on time, they will have the ability to provide the
services that they have been contracted to give without any problem.As we conclude with this pillar, it
is important to note that each has its role in the greater scheme of things and should be employed at
the appropriate time.
While each TPM pillar has can be applied as a stand-alone component, the aim should be to
sequentially implement each of the pillars so as to have get the full benefits of a complete system.
MANAGEMENT INFORMATION SYSTEM
Definition: It refers to the processing of information through computers and other intelligent devices to
manage and support managerial decisions within an organization.
Management Information Systems (MIS) is the study of people, technology, organizations, and the
relationships among them. MIS professionals help firms realize maximum benefit from investment in
personnel, equipment, and business processes. MIS is a people-oriented field with an emphasis on
service through technology. If you have an interest in technology and have the desire to use technology
to improve people‘s lives, a degree in MIS may be for you.
An automated system designed to provide progress and status information to management as an aid to
decision making.
MIS stands for management information system. Business managers at all levels of an organization,
from assistant managers to executives, rely on reports generated from these systems to help them
evaluate their business' daily activities or problems that arise, make decisions, and track progress.
Management Information System, commonly referred to as MIS is a phrase consisting of three words:
management, information and systems. Looking at these three words, it‘s easy to define Management
Information Systems as systems that provide information to management.
That is the simple definition of MIS that generally sums up what a Management Information System is,
and what it should do. However, its role and impact on the smooth operation of a company can never
be overemphasized. That is the reason why every successful company makes use of these systems in
one way or another.
The reason why Management Information Systems are very important in the day to day operation of
companies is because these systems work with people, organizations, technology and relationships
among the people and organizations affecting the company.
MIS Importance:
Management Information System is formal method of collecting information in summarized form. It is
network established within an organization to provide information to managers. It provides systematic
and analytical information necessary to all level of managers. It helps managers to take right decision
at the right time. Importance of MIS is described as follows;
1. Management Information System is always management oriented and keeps in view every level of
management and gets the desired information.
2. Integrated – refers to how different components (sub systems) are actually tied up together. eg:
different departments of organization linked together.
3. Useful for planning – as every organization makes log-term and short-term plans with the help of
information like sales & production, capital investments, stocks etc management can easily plan..
4. Effective Management Information System helps the management to know deviations of actual
performance from pre-set targets and control things.
5. It‘s important for increasing efficiency.
6. MIS provides updated results of various departments to management.
7. MIS is highly computerized so it provides accurate results.
8. MIS adds to the intelligence, alertness, awareness of managers by providing them information in the
form of progress and review reports of an ongoing activity.
9. Helps managers in decision- making.
To gain the maximum benefits from your company's information system, you have to exploit all its
capacities. Information systems gain their importance by processing the data from company inputs to
generate information that is useful for managing your operations. To increase the information system's
effectiveness, you can either add more data to make the information more accurate or use the
information in new ways.
Management Information Systems (MIS) not only include software systems, but the entire set of
business processes and resources that are used to pull together information from functional or tactical
systems. Data is then presented in a user-friendly and timely manner so that mid and upper-level
managers can use it to take the right actions. The entire system is designed so that the company will
meet its strategic and tactical goals.
Nature and Scope of MIS:
The concept of MIS is interdisciplinary in nature, i.e. it has borrowed its concepts from a large number
of disciplines like Accounting, Computers, Organizations, Management, Operations Research and
Behavioural Sciences, etc .MIS is neither a pure science nor an art; it is recognized as a combination of
both. An information system is a logical system, which is concerned with ‗how‘ something is being
accomplished and thus may be differentiated from physical system, which is the process itself and is
concerned with the content or ‗what‘ is going on.MIS ,in fact encompasses both physical and
information systems. There has been a lot of debate on the issue whether MIS is more management –
oriented or computer –oriented. Though there are advocates of both sides, MIS should be considered
more of a management subject than of computers because of the simple logic that computers are just
tool in the hands of managers. Computers are used for their characteristics like accuracy, speed and
capacity to handle large amount of data. Nowadays MIS finds application in all functional areas of
every type of business organizations at all levels. MIS caters to information needs of managers in an
organization, thus its scope lies in structured as well as unstructured type of information which could
be gathered from internal as well as external sources of the organization. Further, with the advent of
communication technology, the scope of MIS has increased manifold.
Structure of MIS:
Structure of MIS may be understood by looking at the physical components of the information system
in an organization. The physical components of an organizational information system may be
hardware, software, database, manual procedures and operating persons. A brief description of these
components has been outlined in the following paragraphs:
 Hardware
Hardware refers to the physical data processing equipment and peripheral devices, For example, CPU,
monitor, keyboard, printer, drives, tapes, communication devices, etc.
 Software
Software is a broad term given to the instructions or programs that direct the operating of the
hardware. Software could be of two types, i.e. system software and application software.
 Database
The database consists of all data utilized by application software. Data is stored in files.
 Procedures
Formal operating procedures, which are required to operate a system, such as manuals, are also regarded
as physical elements.
 Operating Personnel
Personnel like Computer Operators, Computer Programmers, System Analysts, System Managers, etc.,
are the operating people of the information systems.
 Input and Output
Various physical inputs and outputs from the information system, existing in forms like printout, reports
etc
MIS - Classification of Information:
Information can be classified in a number of ways:
1. Classification by Characteristic
Based on Anthony's classification of Management, information used in business for decision making is
generally categorized into three types:
 Strategic Information: Strategic information is concerned with long term policy decisions that
defines the objectives of a business and checks how well these objectives are met. For example,
acquiring a new plant, a new product, diversification of business etc, comes under strategic
information.
 Tactical Information: Tactical information is concerned with the information needed for
exercising control over business resources, like budgeting, quality control, service level,
inventory level, productivity level etc.
 Operational Information: Operational information is concerned with plant/business level
information and is used to ensure proper conduction of specific operational tasks as
planned/intended. Various operator specific, machine specific and shift specific jobs for
quality control checks comes under this category
2. Classification by Application
In terms of applications, information can be categorized as:
 Planning Information:
These are the information needed for establishing standard norms and specifications in an
organization. This information is used in strategic, tactical, and operation planning of any
activity. Examples of such information are time standards, design standards.
 Control Information:
This information is needed for establishing control over all business activities through feedback
mechanism. This information is used for controlling attainment, nature and utilization of
important processes in a system. When such information reflects a deviation from the
established standards, the system should induce a decision or an action leading to control.
 Knowledge Information:
Knowledge is defined as "information about information" Knowledge information is acquired
through experience and learning, and collected from archival data and research studies.
 Organizational Information:
Organizational information deals with an organization' environment, culture in the light of its
objectives. Karl Weick's Organizational Information Theory emphasizes that an organization
reduces its equivocality or uncertainty by collecting, managing and using these information
prudently. This information is used by everybody in the organization; examples of such
information are employee and payroll information.
 Functional/Operational Information:
This is operation specific information. For example, daily schedules in a manufacturing plant
that refers to the detailed assignment of jobs to machines or machines to operators. In a service
oriented business, it would be the duty roster of various personnel. This information is mostly
internal to the organization.
 Database Information:
Database information construes large quantities of information that has multiple usage and
application. Such information is stored, retrieved and managed to create databases. For
example, material specification or supplier information is stored for multiple users
Information and Systems Concept:
An information system (IS) is an organized system for the collection, organization, storage and
communication of information. More specifically, it is the study of complementary networks that people
and organizations use to collect, filters, and process, create and distribute data.
The concept that information is the message has different meanings in different contexts. Thus the
concept of information becomes closely related to notions of constraint, communication, control, data,
form, education, knowledge, meaning, understanding, mental stimuli, pattern, perception,
representation, and entropy
Types of Information Systems:
1. TPS Transaction Processing System
2. MIS Management Information System
3. DSS Decision Support system
4. ESS Executive Support System
5. OAS Office Automation System
1. TPS are used primarily for structured operational, and to a lesser degree, management control
applications.
2. MIS are used for semi--structured, management control applications. It also overlaps into the
operational and strategic planning realms as well.
3. DSS are used primarily for unstructured decision-making whether that occurs at the operational,
management and strategic planning levels.
4. ESS is used primarily for structured management and strategic planning applications.
5. OAS are used as a facilitator of office correspondence and communication, underlies all of this
activity
7
An Overview of Enterprise Resource
Planning (ERP)
Learning Objectives:
♦ To have an idea about ERP;
♦ To know about Business Process Re-Engineering;
♦ To discuss the process of ERP implementation; and
♦ To understand the related issues with ERP.
7.0 Introduction
In today’s fiercely competitive business environment, there has to be much greater interaction
between the customers and manufacturers. This means, in order to produce goods tailored to
customer requirements and provide faster deliveries, the enterprise must be closely linked to
both suppliers and customers. In order to achieve this improved delivery performance,
decreased lead times within the enterprise and improved efficiency and effectiveness,
manufacturers need to have efficient planning and control systems that enable very good
synchronization and planning in all the processes of the organization.
Also, it requires a strong integration across the value chain. Hence, there is a need for a
standard software package, which equips the enterprise with the necessary capabilities to
integrate and synchronize the isolated functions into streamlined business processes in order
to gain a competitive edge in the volatile business environment. Most organisations across the
world have realised that in a rapidly changing environment, it is impossible to create and
maintain a custom-designed software package, which will cater to all their requirements, and
be up-to-date. Realising the requirement of user organisations, some of the leading software
companies have designed Enterprise Resource Planning software, which offers an integrated
software solution to all the functions of an organisation.
Enterprise Resource Planning (ERP) is the latest high-end solution, information technology
has lent to business applications. The ERP solutions seek to streamline and integrate
operation processes and information flows in the company to synergise the resources of an
organisation namely men, material, money and machine through information. Initially
implementation of an ERP package was possible only for large multi nationals and
infrastructure companies due to high cost. Today, many companies in India have gone in for
implementation of ERP. It is expected that in the near future, 60 per cent of the companies will
© The Institute of Chartered Accountants of India
7.2 Information Systems Control and Audit
be implementing one or the other ERP packages since this will become a must for gaining
competitive advantage.
7.1 ERP-Definition
An Enterprise resource planning system is a fully integrated business management system
covering functional areas of an enterprise like Logistics, Production, Finance, Accounting and
Human Resources. It organizes and integrates operation processes and information flows to
make optimum use of resources such as men, material, money and machine. ERP is a global,
tightly integrated closed loop business solution package and is multifaceted.
In simple words, Enterprise resource planning promises one database, one application, and
one user interface for the entire enterprise, where once disparate systems ruled
manufacturing, distribution, finance and sales. Taking information from every function it is a
tool that assists employees and managers plan, monitor and control the entire business. A
modern ERP system enhances a manufacturer ability to accurately schedule production, fully
utilize capacity, reduce inventory, and meet promised shipping dates.
A general model of ERP is shown in Fig. 1.
Fig 7.1.1 : General Model of ERP
CENTRAL DATABASE
Cross Functionalities
* Organisation
ofmaterials
*
*
*
*
*
*
*
*
*
*
*
*
*
*
*
*
*
*
*
*
Payroll/Employee
Job/projectManagement
CostAccounting
Accountsreceivable
Accountspayable
Generalledger
Fixedassets
Budgetary
Inventory
Logistics/Distribution
Multi-platform
Multi-facility
Multi-mode
manufacturing
Multicurrency
Multilingual
Imaging
Databasecreation
Electronic mail
Workflow Automation
Electronic Data
Interchange
3.BusinessPlanningResources
Facilities Maintenance, Plan-
ning & implementation
4. Operational Planning &
Execution–resources
*
*
*
*
*
*
*
*
*
*
*
Intelligentresourceplanning
HumanResourcePlanning
QualityManagement
Recruitment
Payroll
Job evaluation and Perfor-
mance appraisal
CostingandBudgeting
Qualitycontroland planning
Maintenance Engineering &
Scheduling
FixedAssets
Resource MIS
1.BusinessPlanning– Materials
2.OperationPlanning& Execution
– Materials
*
*
*
*
*
*
*
*
*
*
*
*
*
*
*
*
Newproduct
Existing product
BillofMaterial
ProductPricing
Long term forecasting
Capacityplanning
EngineeringChangeManagement
Ordermanagement
Distributionmanagement
Inventory
Orderprocessing
Suppliermanagement
Inventory /warehouse
Management
Forecasting
DistributionManagement
Scheduling
© The Institute of Chartered Accountants of India
An Overview of Enterprise Resource Planning (ERP) 7.3
7.1.1 Evolution of ERP : In the ever-growing business environment, the following demands
are placed on the industry:
• Aggressive cost control initiatives
• Need to analyse costs/revenues on a product or customer basis
• Flexibility to respond to changing business requirements
• More informed management decision making
• Changes in ways of doing business.
The difficulty in getting accurate data, timely information and proper interface of complex
business functions have been identified as the hurdles in the growth of any business. Time
and again, depending on the velocity of the growing business needs, one or the other
applications and planning systems have been introduced into the business world for crossing
these hurdles and achieving growth. They are:
• Management Information Systems (MIS)
• Integrated Information Systems (IIS)
• Executive Information Systems (EIS)
• Corporate Information Systems (CIS)
• Enterprise Wide Systems (EWS)
• Material Resource Planning (MRP)
• Manufacturing Resource Planning (MRP II)
• Money Resource Planning (MRP III)
ERP has evolved from the system known as MRPII (Manufacturing Requirement planning)
system with the integration of information between Vendor, Customer and Manufacturer using
networks such as LAN, WAN and INTERNET etc.
MRPII system again evolved from MRP (Material Requirement Planning) system. MRP is a
technique that explodes the end product demands obtained from Master Production Schedule
(MPS) for the given product structure which is taken from Bill of Material (BOM) into a
schedule of planned orders considering the inventory in hand. MRP system processes this
data and provides valuable guidelines to the scheduler in the form of work orders to plan the
Production Schedule. The net requirements for each item are computed and replenishment
orders are created and planned for release.
MRP system provides reports such as MRP reports, Planned Order releases for Purchase
orders, Work Orders, Reschedule open orders report, Firm planned reports, Shortages report
etc. MRP is considered as an important planning and manufacturing control activity for
materials.
MRPII is a method for planning of all the resources of the manufacturing company. It involves
all operational and financial planning and has simulation capabilities to answer ‘WHAT IF’
questions. It links different functional areas like Business Planning, Production Planning, MPS,
© The Institute of Chartered Accountants of India
7.4 Information Systems Control and Audit
MRP, Capacity Requirement Planning and Execution system for capacity and priority. Output
from these systems is integrated with Financial Reports such as Business Plan, Purchase,
Shipping, Budget, and Inventory for production etc.
MRPII has a number of drawbacks. The main problem is that it has not been able to effectively
integrate the different functional areas to share the resources effectively.
ERP as the name indicates is the integration of Enterprise Resources.
The ERP package works on the fundamental premise that the whole being greater than the
sum of its parts. It provides an integrated information storehouse where information needs to
be stored only once and can be further processed and reported to anyone in the value chain.
The traditional application systems, which the organizations generally employ, treat each
transaction separately. They are built around the strong boundaries of specific functions that a
specific application is meant to cater. For an ERP, it stops treating these transactions
separately as stand-alone activities and considers them to be the part of the inter-linked
processes that make up the business.
Almost all the typical application systems are nothing but the data manipulation tools. They
store data, process them and present them in the appropriate form whenever requested by the
user. In this process, the only problem is that there is no link between the application systems
being used by different departments. An ERP system also does the same thing, but in a
different manner.
There are hundreds of such data tables, which store data generated as a result of diverse
transactions, but they are not confined to any departmental or functional boundaries, but
rather integrated to be used by multiple users, for multiple purposes and at multiple places.
7.1.2 Enabling Technologies : It is not possible to think of an ERP system without
sophisticated information technology infrastructure. It is said that, the earlier ERP systems
were built only to work with huge mainframe computers. The new era of PC, advent of client
server technology and scalable Relational Database Management Systems (RDBMS), all have
contributed for the ease of deployment of ERP systems. Most of the ERP systems exploit the
power of Three Tier Client Server Architecture. In a client server environment, the server
stores the data, maintaining its integrity and consistency and processes the requests of the
user from the client desktops. The load of data processing and application logic is divided
between the server and the client. The three-tier architecture adds a middle stratum,
embodying all application logic and the business rules that are not part of the application,
enforcing appropriate validation checks.
It is assumed that the companies implementing ERP solutions have multiple locations of
operation and control. Hence, the online data transfer has to be done across locations. To
facilitate these transactions, the other important enabling technologies for ERP systems are
Workflow, Work group, Group Ware, Electronic Data Interchange (EDI), Internet, Intranet,
Data warehousing, etc.
7.1.3 ERP Characteristics : An ERP system is not only the integration of various
organization processes. Any system has to possess few key characteristics to qualify for a
true ERP solution. These features are:
© The Institute of Chartered Accountants of India
An Overview of Enterprise Resource Planning (ERP) 7.5
Flexibility : An ERP system should be flexible to respond to the changing needs of an
enterprise. The client server technology enables ERP to run across various database back
ends through Open Database Connectivity (ODBC).
Modular & Open : ERP system has to have open system architecture. This means that any
module can be interfaced or detached whenever required without affecting the other modules.
It should support multiple hardware platforms for the companies having heterogeneous
collection of systems. It must support some third party add-ons also.
Comprehensive : It should be able to support variety of organizational functions and must be
suitable for a wide range of business organizations.
Beyond The Company : It should not be confined to the organizational boundaries, rather
support the on-line connectivity to the other business entities of the organization.
Best Business Practices : It must have a collection of the best business processes
applicable worldwide. An ERP package imposes its own logic on a company’s strategy, culture
and organisation.
7.1.4 Features of ERP : Some of the major features of ERP and what ERP can do for the
business system are :
• ERP provides multi-platform, multi-facility, multi-mode manufacturing, multi-currency,
multi-lingual facilities.
• It supports strategic and business planning activities, operational planning and execution
activities, creation of Materials and Resources. All these functions are effectively
integrated for flow and update of information immediately upon entry of any information.
• Has end to end Supply Chain Management to optimize the overall Demand and Supply
Data.
• ERP facilitates company-wide Integrated Information System covering all functional
areas like manufacturing, selling and distribution, payables, receivables, inventory,
accounts, human resources, purchases etc.
• ERP performs core activities and increases customer service, thereby augmenting the
corporate image.
• ERP bridges the information gap across organisations.
• ERP provides complete integration of systems not only across departments but also
across companies under the same management.
• ERP is the solution for better project management.
• ERP allows automatic introduction of the latest technologies like Electronic Fund
Transfer (EFT), Electronic Data Interchange (EDI), Internet, Intranet, Video conferencing,
E-Commerce etc.
• ERP eliminates most business problems like material shortages, productivity
enhancements, customer service, cash management, inventory problems, quality
problems, prompt delivery etc.
© The Institute of Chartered Accountants of India
7.6 Information Systems Control and Audit
• ERP provides intelligent business tools like decision support system, Executive
information system, Data mining and easy working systems to enable better decisions.
7.1.5 Why Companies Undertake ERP
• Integrate financial information : As the CEO tries to understand the company’s overall
performance, he may find many different versions of the truth. Finance has its own set of
revenue numbers, sales has another version, and the different business units may each
have their own version of how much they contributed to revenue. ERP creates a single
version of the truth that cannot be questioned because everyone is using the same system.
• Integrate customer order information : ERP systems can become the place where the
customer order lives from the time a customer service representative receives it until the
loading dock ships the merchandise and finance sends an invoice. By having this
information in one software system, rather than scattered among many different systems
that can’t communicate with one another, companies can keep track of orders more
easily, and coordinate manufacturing, inventory and shipping among many different
locations simultaneously.
• Standardise and speed up manufacturing processes : Manufacturing companies -
especially those with an appetite for mergers and acquisitions—often find that multiple
business units across the company make the same transaction/ recording/ report using
different methods and computer systems. ERP systems come with standard methods for
automating some of the steps of a manufacturing process. Standardising those
processes and using a single, integrated computer system can save time, increase
productivity and reduce headcount.
• Reduce inventory : ERP helps the manufacturing process flow more smoothly, and it
improves visibility of the order fulfilment process inside the company. That can lead to
reduced inventories of the materials used to make products (work-in-progress inventory),
and it can help users better plan deliveries to customers, reducing the finished good
inventory at the warehouses and shipping docks. To really improve the flow of your
supply chain, you need supply chain software, but ERP helps too.
• Standardise HR information : Especially in companies with multiple business units, HR
may not have a unified, simple method for tracking employees’ time and communicating
with them about benefits and services. ERP can fix that.
7.1.6 Benefits of ERP : The benefits accruing to any business enterprise by implementing an
ERP package are unlimited. According to companies like Nike, DHL, Tektronix, Fujitsu,
Millipore, and Sun Microsystems, the following are some of the benefits they achieved by
implementing the ERP packages :
• Gives Accounts Payable personnel increased control of invoicing and payment
processing and thereby boosting their productivity and eliminating their reliance on
computer personnel for these operations.
• Reduce paper documents by providing on-line formats for quickly entering and retrieving
information.
© The Institute of Chartered Accountants of India
An Overview of Enterprise Resource Planning (ERP) 7.7
• Improves timeliness of information by permitting posting daily instead of monthly.
• Greater accuracy of information with detailed content, better presentation, satisfactory for
the auditors.
• Improved cost control.
• Faster response and follow-.up on customers.
• More efficient cash collection, say, material reduction in delay in payments by customers.
• Better monitoring and quicker resolution of queries.
• Enables quick response to change in business operations and market conditions.
• Helps to achieve competitive advantage by improving its business process.
• Improves supply-demand linkage with remote locations and branches in different
countries.
• Provides a unified customer database usable by all applications.
• Improves International operations by supporting a variety of tax structures, invoicing
schemes, multiple currencies, multiple period accounting and languages.
• Improves information access and management throughout the enterprise.
• Provides solution for problems like Y2K and Single Monetary Unit (SMU) or Euro
Currency.
7.2 Business Process Reengineering (BPR)
ERP is a result of a modern Enterprise’s concept of how the Information System is to be
configured to the challenging environments of new business opportunities. However merely
putting in place an information system is not enough. Every company that intends to
implement ERP has to reengineer its processes in one form or the other. This process is
known as Business Process Reengineering (BPR).
Table 1 : Some Typical processes with descriptions
Process Description
Forecasting Shows sales, Fund Flows etc over a long period of time say next
two years
Fund management The necessity of funds and the way to raise these funds.
Uncertainty and Risk factors to be considered. Simulation with
`What if” type analysis
Price Planning Determines the price at which products are offered. Involves
application of technology to pricing support such as commercial
database services. Also feedback and sensitivity analysis
Budget Allocation Using computerised algorithms to estimate desirable mix of funds
allocated to various functions.
© The Institute of Chartered Accountants of India
7.8 Information Systems Control and Audit
Material requirement
planning
Process of making new products from raw materials and include
production scheduling, requirement planning. Also activities for
monitoring and planning of actual production.
Quality control Takes care of activities to ensure that the products are of desired
quality.
7.2.1 What is BPR?
The most accepted and formal definition for BPR, given by Hammer and Champhy is
reproduced here: “ BPR is the fundamental rethinking and radical redesign of processes to
achieve dramatic improvement, in critical, contemporary measures of performance such as
cost, quality, service and speed,” This has a few important key words, which need clear
understanding. Here, dramatic achievement means to achieve 80% or 90% reduction (in say,
delivery time, work in progress or rejection rate) and not just 5%, 10% reduction. This is
possible only by making major improvements and breakthroughs, and not small incremental
changes (like those in Total Quality Management (TQM) or suggestion schemes).
Radical redesign means BPR is reinventing and not enhancing or improving. In a nutshell, a
“cleansiate approach” of BPR says that “Whatever you were doing in the past is all wrong”, do
not get biased by it or reassemble you new system to redesign it afresh. Fundamental
rethinking means asking the question “why do you do what you do”, thereby eliminating
business process altogether if it does not add any value to the customer. There is no point in
simplifying or automating a business process which does not add any value to the customer. A
class example is that of asking for an invoice from the supplier for payment when the company
has already received and accepted a particular quantity of materials physically and at an
agreed price. Receiving, processing, and filing of invoices add no value to customer and
makes only the supplier unhappy for delayed payments. Thus, BPR aims at major
transformation of the business processes to achieve Dramatic improvement. Here, the
business objectives of the Enterprise (e.g., profits, customer-satisfaction through optimal cost,
quality, deliveries etc.) are achieved by “transformation” of the business processes which may,
or may not, require the use of Information Technology (IT).
7.2.2 Business Engineering : Business Engineering has come out of merging of two
concepts namely Information Technology and Business Process Reengineering.
Business Engineering is the rethinking of Business Processes to improve speed, quality and output
of materials or services. The emphasis of business engineering is the concept of Process Oriented
Business Solutions enhanced by the Client-Server computing in Information Technology. The main
point in business engineering is the efficient redesigning of company’s value added chains. Value
added chains are a series of connected steps running through a business which when efficiently
completed add value to enterprise and customers. Information technology helps to develop
business models, which assist in redesigning of business processes.
Business Engineering is the method of development of business processes according to
changing requirements.
© The Institute of Chartered Accountants of India
An Overview of Enterprise Resource Planning (ERP) 7.9
7.2.3 Business Management : ERP merges very well with common business management
issues like Business Process Reengineering, total quality management, mass customisation,
service orientation, and virtual corporation etc. The basic objective of implementing an ERP
program is to put in place the applications and infrastructure architecture that effectively and
completely support the Enterprise’s business plan and business processes. When an
enterprise does not have optimized business processes, the ERP implementation needs a
process reengineering which enable to capture knowledge of the experts into the system thus
gaining considerable benefits in productivity.
The first step in implementation of ERP is the development of a Business process model
showing business process as one large system and the interconnection and sequence of
business subsystems or processes that drive it.
7.2.4 Business Modelling : The approach of ERP implementation is carried out using MIS
planning. First of all, a model consisting of core business processes or activities of the
business is to be developed. This is the diagrammatic representation of Business as a large
system with interconnection of subsystems or processes that it comprises of. A typical layout
is shown in Figure 2. The planning to arrive at the process is from top down whereas the MIS
implementation is done from bottom up.
We can model Business as a system making the processes managing their facilities and material
as their resources. Information is treated as a vital resource managing other resources.
Fig 7.2 : SAP Modules
The Data model consists of two elements.
1. A diagram describing various Business processes and their interactions.
2. An underlying Data Model.
SAP
R/3 System
Client Server Architecture
AGAP/7 Programming
Language
Q
M
P
M
H
R
Q
u
a
l
i
t
y
P
l
a
n
t
H
u
m
a
n
M
a
n
a
g
e
m
e
n
t
M
a
n
a
g
e
m
e
n
t
R
e
s
o
u
r
c
e
s
PP
M
M
SD
Production
M
aterials
Sales
Planning
M
anagem
ent
D
istribution
F
I
C
O
A
M
F
i
n
a
n
c
i
a
l
C
o
n
t
r
o
l
l
i
n
g
F
i
x
e
d
A
s
s
e
t
s
A
c
c
o
u
n
t
i
n
g
M
g
t
Features
z
z
z
z
z
z
z
Business Processes
Comprehensive
functionality
Designed for all types of
business
Multi-national
Business engineering
Client server architecture
Open System
I
S
W
F
P
S
I
n
d
u
s
t
r
y
W
o
r
k
P
r
o
j
e
c
t
S
o
l
u
t
i
o
n
f
l
o
w
s
y
s
t
e
m
© The Institute of Chartered Accountants of India
7.10 Information Systems Control and Audit
The Reference model can be used by various companies to list their processes and data
entities and if required can be subsequently modified to suit specific nature of requirements.
Some typical examples are shown in table 2.
Table 2 : List of some of the entities forming a data model
Entity Description
External Data Entities outside the firm that interact with it such as
customers, suppliers, competitors and distributors. Also
includes predictive data regarding economy and future
events in external environment.
Internal Data Data generated from the firm’s transaction processing
system, internal forecasts or parameters monitored .
Funding Data Includes information on specific sources of funds as well as
availability terms and conditions etc.
Marketing Research Data Mainly consumer related data that can be used to support
marketing decisions and result of surveys.
Production Data Shop floor data on production processes including
standards and actual of time and material resources
concerned.
Inventory data Includes inventories of raw materials goods in progress and
finished goods.
Personnel data Mostly includes profiles of employees, their skill levels,
experience and past performance on various assignments.
Sales forecast Product-wise and period-wise forecast for various products
sold by the company.
Payroll data Data about salaries, tax deductions, statutory forms and
other deductions
General Ledger Integrated transaction data from pay roll and account
receivable. It is the basis for budgeting and planning data.
The general principles of Business Process Analysis and classification and methodology of
looking at a Business Information system to support a series of interlocking subsystems are
universally applicable.
7.2.5 Business modeling in practice : Most of the ERP packages available today enable
flow charting business processes using standard flow chart symbols. By connecting symbols
used for users, events, tasks/functions, and other organizational information, complex
business information can be analysed .For example SAP which is a popular ERP package
uses event driven process chain (EPC) methodology to model Business Process. All ERP
packages provide standard template for each of the processes so that actual processes can
be compared and deviations analysed. With the help of the business model, it is possible to
check as to how well the model fits into the application so that the degree of suitability of the
© The Institute of Chartered Accountants of India
An Overview of Enterprise Resource Planning (ERP) 7.11
ERP package can be assessed. Business Modeling is the basis by which one can select and
implement a suitable ERP package.
7.3 ERP Implementation
ERP implementation is a special event in an organisation. It brings together in one platform,
different business functions, different personalities, procedures, ideologies and philosophies
with an aim to pool knowledge base to effectively integrate and bring worthwhile and beneficial
changes throughout the organization. Implementation of ERP is a risky effort since it involves
considerable amount of time, efforts and valuable resources. Even with all these, the success
of an implementation is not guaranteed.
The success of an implementation mainly depends on how closely the implementation consultants,
users and vendors work together to achieve the overall objectives of the organisation. The
implementation consultants have to understand the needs of the users, understand the prevailing
business realties and design the business solutions keeping in mind all these factors. It is the users
who will be driving the implementation and therefore their active involvement at all stages of
implementation is vital for the overall success of implementation.
An ERP package after implementation is expected to improve the flow of information and
formalize and standardize all the business processes and workflow that exist in an enterprise.
However the workload of users may not decrease. It is worthwhile to remember that ERP is an
enabling tool, which makes one do his work better, which naturally need additional efforts.
During the course of implementation the standard package may undergo changes which may
be a simple one or a major ‘functionality’ change. Implementing such changes is known as
Customization. The contents of the package are known as modules and the modules are
further divided into Components. However, it is always better to satisfy user requirements and
overall objectives within the available framework of the existing package because any change
in any functional module will have an adverse impact on the functioning of the other modules
of the package. Maximum benefit will be available only when the standard package is
implemented in totality with an aim for optimised use.
The roles and responsibilities of the employees have to be clearly identified, understood and
configured in the system. The employees will have to accept new processes and procedures
laid down in the ERP system. At the same time these processes and procedures have to be
simple and user friendly.
The ability of the ERP package to manage and support dynamically changing business
processes is a critical requirement for the organisation and therefore the package should be
expandable and adaptable to meet these changes.
A well managed and implemented ERP package can give a 200 percent return on investment
where as a poorly implemented one can yield a return on investment as low as 25 percent.
7.3.1 Key Planning and Implementation decisions
This discussion looks at a number of the key decisions that need to be made when
considering an enterprise integration effort.
© The Institute of Chartered Accountants of India
An Overview of Enterprise Resource Planning (ERP) 7.21
management resolve to insist on implementation of the system. Even with all the preparations
during the implementation, during post-implementation there will be need for course correction
many times. It may be because of the following reasons :
• A change in the business environment requires a change in the CSFs, resulting in a new
or changed set of KPIs necessitating reconfiguration.
• A review indicates a need for change in some process.
• Vision changes in the ERP and improvements in hardware and communication
technology necessitate changes.
• New additions to the business require extra functionality.
The international trend is to outsource the activity of maintenance and upgradation to enable
the company to concentrate on its core business activity. Correcting its course can be done by
going in for an ERP audit, which is an emerging trend. This audit could be general in nature or
very specific. One of the specialized areas is to evaluate the security, authorization and
controls. An audit could be triggered either by a perceived inadequacy in terms of return on
investment or by a simple desire to improve existing systems.
To conclude, investment in an ERP system is substantial for any organization. While
implementation itself is a challenge, the ultimate test is in proper usage. This can be ensured
by integrating the business objectives with the ERP functionality during the implementation
stage. The limitations of an ERP must also be recognized to get the right expectation. A
periodic independent audit would be a proper mechanism for an organization to ensure that it
gets the best return on investment.
7.8 Sample List of ERP Vendors
This is only a sample listing of ERP Vendors. It may not be comprehensive.
Baan (The Baan Company) : In 1994, a Boeing order catapulted Baan into the global ERP
vendor league. Baan has held and built on this position with other major orders and a strategy
for simultaneously addressing manufacturers from the largest global player to the smallest
ERP user. Baan has a sound technology base and a broad functional scope. It offers credible
tools for business process analysis linked to implementation of its software, and is launching
workflow capabilities to build on this.
Business Planning and Control System (BPCS) : BPCS remains the market-leading
manufacturing ERP solution in terms of sites. SSA only targets manufacturing companies. It
offers good functionality for process, discrete and Kanban manufacturing, but not for project
management. It lags in the areas of process-oriented implementation tools and workflow.
Some users are concerned by SSA’s stated objective of being the object oriented technology
leader. SSA has made mistakes, its developments have not run to schedule and it has
incurred enormous losses. However, there are signs that it has turned the corner.
Mapics XA (Marcam Corporation) : Mapics has been around for a long time, and many view
it as a dated, legacy application. Mapics is a suite of 40 modules with 'good enough'
© The Institute of Chartered Accountants of India
7.22 Information Systems Control and Audit
functionality. Many users report that Mapics now offers more functionality than they need. It
offers robustness, easy implementation and reasonable value for money.
MFG/Pro (QAD) : QAD's strength is in repetitive manufacturing. Originally designed to meet
the MRP II criteria published by Oliver Wight, MFG/Pro's reputation includes reliable
manufacturing functionality and straightforward implementations.
Oracle Applications (Oracle) : Oracle's Manufacturing Applications will tempt IT
departments, with its vision of Internet-enabled, network-centric computing. As a one-stop
shop, it offers the database, tools, implementation, applications and Unix operating systems
running on a wide choice of hardware. Oracle has invested heavily to enhance functionality
but production managers should still check that it delivers all the functionality they want.
Prism (Marcam Corporation) : Prism is a specialist process manufacturing solution for the
AS/400. Its production model, which is akin to a flowchart, handles process industry
problems elegantly. Although out dated, it does the job.
R/3 (SAP): In five years, R/3 is the market leader in new sales. Its philosophy of matching
business processes to modules is excellent. It offers a wide range of functions and its major
shortcomings are yet to be identified. However, it remains complex, because it offers much;
few people know how to get the best from it. R/3 will be around for a long time; few people get
fired for buying it.
System 21 (JBA) : JBA develops and implements System 21. Its software license revenues
are small compared to those of other major ERP vendors. Nevertheless, it is a world player. It
does not offer leading-edge technology, but does offer a rugged, reliable manufacturing
solution.
7.9 ERP Software Package (SAP)
SAP AG has developed an ERP package called SAP. It will be worthwhile to look into this
package in detail because SAP looked at the entire business as a single entity when
developing this software. Therefore, it is a unique system that supports nearly all areas of
business on a global scale.
SAP has a number of Application Modules in the package. Some of these modules are shown
in figure 2 given earlier.
1. Financials.
2. Controlling
3. Investment Management
4. Treasury
5. Integrated Enterprise Management
6. Sales and Distribution.
7. Production Planning and Control.
8. Materials Management
© The Institute of Chartered Accountants of India
An Overview of Enterprise Resource Planning (ERP) 7.39
7.10 Case Study
7.10.1 Videocon Group
Getting into the groove : Consolidation of information flowing in from a multi-branch factory
and multi operation was the main driver behind the Videocon Group’s decision to implement
an Enterprise Resource Planning (ERP) package.
“For a multi-manufacturing, multi-branch company like ours, the one major essential was
centralized and consolidated information that is available in a uniform manner across various
levels in the organisation,” says Pradip Kumar N Dhoot, President, Videocon International, the
flagship company of the group.
“The factories were already working on legacy systems using an Intranet and collating
information. But each factory and branch would use different software, varied platforms, which
did not speak to each other. This not only resulted in huge inflow of data which could not be
consolidated for analysis but also duplication of data,” Videocon is a $ 1-billion company. Even
one per cent change in any data entry or analysis translates into millions and can sometimes
wipe out the profits of the organisation. So they needed a system that would help them to be
responsive and act fast.
Further, at some stage they wanted to share a common platform with their dealers so that they
could access the company servers and database, get updates on issues relating specifically to
them as well as the company on the whole.
The mandate : It was in 1998 that Videocon began evaluating ERP packages and roped in the
Pune-based Ygyan Consulting to help select and implement an appropriate package. In
August 1998, based on Ygyan’s recommendations, SAP’s ERP package was finally selected.
The issues that needed to be addressed included:
• Better inventory management and control.
• Improved financial reporting and control.
• Automation of certain tasks that were performed manually to increase productivity.
• Improved production planning.
• Better information on stocks at various locations.
• Using an integrated system as opposed to disparate systems at different locations,
thereby eliminating errors of duplicate entries.
• More accurate costing of products.
• Better credit control.
• Improved cash flow planning.
• Automatic quality-control and tracking.
• Better after-sales-service.
• Better information and reporting to top management.
© The Institute of Chartered Accountants of India
7.40 Information Systems Control and Audit
Going about the implementation : For the implementation, Ygyan first tied up with Siemens
Information systems Ltd. (SISL) for a pilot project at the first site – Videocon Appliances Ltd.
The modules implemented were finance and Control, Materials Management, Sales and
Distribution, Production Planning and Quality Management.
Videocon International was next in line. The scope of the project included all modules
mentioned above in addition to a Plant Maintenance module. The implementation was divided
into two phases where the four factories went first, followed by marketing operations across
the country. The factories are located in Aurangabad, Bharuch, Gandhinagar and Bhalgaon.
Factories (parent units) went live first, within a year, and have been live for the past two years.
They decided to go with the factories first because they are situated close to each other,
compared to the branches, which are scattered across the country.
During the implementation, connectivity was a problem. So Ygyan suggested a mix of leased
lines, ISDN, VSATs and Internet connectivity to optimise the costs while ensuring enough
speed for users connecting from remote locations.
The entire process took eight months, right from drawing up the blue prints, consulting,
customising and training core teams. The Group almost invested in excess of Rs.25 crore for
the implementation, including the ERP package, hardware, connectivity etc., excluding the
maintenance charges.
The biggest question that they had to ask themselves was whether or not they wanted
transparency. That’s the first thing that comes to light once ERP is in place since ERP
involves a top downward approach – from a sales person to the top management, everybody
is accountable.
The most important issue in the implementation of any technology is the attitude of the employees,
it has to change – from working for oneself to working as a whole for the organisation. Employees
too had their own fears and apprehensions about the system. A strong fear was that of
retrenchment as a result of the implementation. However, the company held adequate training
workshops at central and state level. In the factories, various processes were documented using
print and audio / video to facilitate training on new employees.”
On the whole, employee reaction was positive as people were already using computers and
an Intranet to send information. The initial apprehension fell through once people started using
the system.
Lessons to learn : There were a few areas in which they did face problems with the package,
as it does not have modules specific to Indian requirements such as taxes, Letter of Credits
(LCs), import clearance and product evolution. In fact, a product evolution module is very
essential for a consumer durable company, as it is needed to develop products according to
market feedback. For a durable company, a new development would cost crores and be
spread across 18 months or so. A product evolution module can be of great help in this
scenario, the company management feels.
Looking ahead : It was reported in October, 2001, that Ygyan is now in the process of rolling
out SAP in all other group companies, one at a time. The company managers are also working
© The Institute of Chartered Accountants of India
An Overview of Enterprise Resource Planning (ERP) 7.41
with them in other IT initiatives, including e-business and Internet-based customer relationship
management systems.
The next step will be to see how system can be extended to include the partners and dealers.
But that will start only after six-eight months once the employees get completely comfortable
with the system. CRM is another area that the company is interested in.
7.10.2 Case Study/Telecom
Company : AirTouch Cellular
Industry : Telecom
Solution Area : Financials
AirTouch Cellular is a subsidiary of AirTouch Communications, a global wireless
communications company serving 6.7 million customers worldwide in the areas of cellular,
paging, personal communications services (PCS) and Globalstar satellite system markets.
Problem : AirTouch’s financial analysts, located in different functional groups in five geographic
regions, were missing access to the same data, as well as timely access to information. Dated
budget and actual numbers for each business unit resided in seven different systems, separating
critical components of the Profit and Loss A/c and inhibiting analysts’ ability to assess results. To
further complicate matters, analysts in the field could not go to one universal place to retrieve the
data themselves - they relied on the home office to deliver it.
The company wanted to set some critical financial objectives to help it remain competitive and
increase market share.
AirTouch chose Oracle Corporation’s online analytical processing (OLAP) tools to better
control costs, analyze performance, evaluate opportunities, and formulate future direction. And
to improve the basis for making decisions quickly and accurately with real-time, consistent
data; to improve cost control, and to simplify and shorten the budgeting process.
Implementation : AirTouch Cellular looked at two other vendors before choosing Oracle, but
neither could provide users with the hands-on ability to consolidate budgets, include actuals in
the process, or do what-if scenarios online. AirTouch Cellular’s parent company also had a
proven, successful track record with other Oracle applications and a corporate initiative to
make Oracle the vendor of choice.
Oracle provided on-site expertise in the product, the concept, and the business to create a
user-friendly system. The project came in on time and within budget, with very few post-
implementation issues. Completing the entire implementation in eight months was quite a feat,
given the many changes that occurred in that time frame, according to the company. Not only
did the company convert to a new system, it completely overhauled the budget process and
the P&L reporting format-amid departmental and company reorganizations.
Benefits : It resulted into more than $8 million in hard and soft dollar savings. Also, it reduced
the length of the budgeting cycle and the number of people involve in the process, keeping the
company financially competitive in a growing market. The system now provides online, real-
time access to information.
© The Institute of Chartered Accountants of India
7.42 Information Systems Control and Audit
Now, analysts can individually access the same data warehouse for current, real-time
information for their analyses. This means the vice presidents from each business unit in the
division now have the data they need-budget or actual-on a timely basis. Thus enabling
business units to make better, faster business decisions based on more accurate information.
Their increased understanding of the data helps them run their slices of the business more
effectively, because they can now make real-time, online decisions that help them stay on
budget or shift business direction.
© The Institute of Chartered Accountants of India
Industry 4.0: Basic Understanding and Readiness of India
Mankind has witnessed 3 industrial revolution between 17th to 20th century starting
from first revolution in which machine operation from steam engine in power loom
industry. Subsequently mankind has invented electricity which has changed the way of
life and gave birth to assembly lines and mass production concept and give momentum
to industrialization worldwide. However, all operations of assembly lines and industry
were still totally dependent on manpower and labours which may cause dependence
and some errors as well depending on variation in skills of one labour to another. In this
time, technology has increased its importance and with invention of computers and
robotics, conventional manpower has been replaced with robotics. Further,
synchronization of operation with computer to do repetitive task without errors and
better speed. It gave birth to 3rd revolution in Industrialization.
Now, we are fortunate enough to witness the 4th phase of industrialization which is
renowned as “Industry 4.0” particularly term given by Germany and same can be
referred as “Internet of Things (IoT) by many English-speaking countries including
USA. Industry 4.0 is all about optimization of smart, flexible supply chains, factories
and distribution models where machines capture and convey more data via machine-to-
machine communications and to human operators. Industry 4.0 aims at enabling
businesses to make quicker, smarter decisions, all while minimizing costs and
minimum human interventions. Timeline of industrialization evolution is given below.
Year - 1780
1. Mechanization steam
engines. Water/ steam
power. i.e. Textile
Industries, Machine
Tools, Steam Factories
Year 1870
2. Technological
Electrification and Mass
Production. i.e. First
Assmebly Line in
slaughterhouses
Year 1969
3. Computers/ Internet/
PLC/ Robotics.
Automation of
Electronics and Digital
machines i.e. Robotic
handling system
Present Time
4. Convergence IT/
Autonomus machine
advanced
robotics/Cloud/Smart
Factory/Machine
Learning and AI.
Ref: What is Industry 4.0 and is India prepared for the change?
Following are the three key trends in Industry 4.0 that are changing the way of life for
industrial companies and their employees today are
1) Digitize: Production processes in all sectors from high tech to industrial
equipment are being transformed today through digital technologies.
2) Industrialize: Companies are already integrating these technologies to improve
and evolve.
3) Optimize: State of the art manufacturers identify that enhancing the
manufacturing process for even the simplest of the products presents new
opportunities for growth.
India is on the verge of start its journey of becoming economic, industrial and defense
superpower in next 3 decades looking to its current growth trajectory of continuous
GDP growth at around 7.0% plus annually and vision of “Digital India”, “Make in
India” and “Smart Cities” projects. For this vision, Indian industry need to understand
the importance of “Industry 4.0” and make themselves equip and gear up for 4th
industrial revolution. In this dream of India, Supply Chain Industry will play crucial
role. Before analyzing the “Readiness for Industry 4.0 - 6-dimensional model”, we first
understand 9 major technological components which foundation stones of Industry 4.0
are.
1) Huge Data Quantum: System gathers too much data makes it difficult to identify
the relevant information and trends that can lead to some intelligent analysis. In
this juncture, huge data analysis techniques come into picture. They make it
possible to identify the performance of an individual component and its
operating restrictions in order to prevent future production issues and take
preventative action.
2) Cloud computing: The industry has seen a large shift in utilizing cloud solutions
and the cloud is being used for applications such as remote services and
performance benchmarking and its role in other business areas will continue to
expand. With continuous advancements in technology, machine data and
functionality will only continue to shift towards cloud solutions. The cloud
allows for a much faster roll out of updates, performance models, and delivery
options than standalone systems.
3) Internet of things (IoT): The IoT is a key functionality in Industry 4.0 driven
solutions. IoT is a system of interrelated computing devices, mechanical and
digital machines, objects and people that are provided with unique identifiers
and the ability to transfer data over a
network without requiring human-to-human or human-to-computer interaction.
For instance, smart watches in the market have turned our wrists into
smartphone holsters by enabling text messaging, phone calls, and more. Devices
such as Fitbit and Jawbone have helped revolutionize the fitness world. With the
proper connections and data, the IoT can solve traffic congestion issues, reduce
noise and pollution.
4) Simulation: The simulations of systems allow assessment of various scenarios.
Once the scenarios are assessed, cost effective solutions can be developed, tested
and implemented much quicker leading to reduced cost and time to market.
5) Autonomous robots: They are used to automate production methods across the
various sectors and are powered by the concept of Internet of Things (IoT). This
connects devices and computer machines to communicate with each other.
Materials can be transported across the factory floor via autonomous mobile
robots (AMRs), avoiding obstacles, coordinating with fleet mates, and
identifying where pickups and drop offs are needed in real-time. By connecting
to a central server or database, the actions of robots can be coordinated and
automated to a greater extent than ever before. They can complete tasks
intelligently, with minimal human input. i.e. ASRS stacker cranes, shutter cars
etc.
6) Augmented reality (AR) Augmented reality grows in use by providing real-time
information in an effective manner to allow humans to better integrate and
interact with electronic systems. Examples can include the transmission of
information on repairs for a part that can be viewed through different devices or
the training of personnel using simulations and 3D views of the facility or
equipment.
7) Cyber security: The security of information becomes paramount as we move
away from closed systems towards increased connectivity from the IoT and
cloud. Security and reliability enable the successful implementation of a truly
modern and digitized production workflow, leveraging all of the benefits of a
connected environment.
8) System Integration: Mostly systems are highly automated within their own
operations and struggle to communicate with other systems. Standards and open
architecture support the easy transfer of information both to the business and to
the customer/end user. This can involve defining common languages for data
exchange such as JDF for job information.
9) Additive manufacturing: This continues to become increasingly important for
small-batch applications or for the production of individual parts or personalized
products. This will be used either directly with the customer or by suppliers to
improve designs with increased performance, flexibility, and cost effectiveness.
Readiness: Industry 4.0
It is necessary to assess the Industry 4.0 readiness of industrial enterprises as
manufacturing sector is currently facing substantial challenges. These challenges are in
regard to disruptive concepts such as the IoT, cyber physical systems or cloud-based
manufacturing. Subsequently, increasing complexity on all firm levels creates
uncertainty about respective organizational and technological capabilities and adequate
strategies to develop them. A Foundation for mechanical engineering, plant
engineering, and information technology of German Engineering Federation (VDMA)
has coined a six-dimensional model to assess the readiness of the enterprises, wherein
VDMA experts and some industry representatives served in an advisory capacity in the
development of the study.
The potential, especially for Germany s mechanical engineering industry and plant
engineering sector, is indeed great, both for providers and for users of technologies
across the spectrum of Industry 4.0. But there are still many unresolved questions,
uncertainties, and challenges. The readiness study seeks to address this need and offer
insight. It also highlights the challenging milestones that many companies must still
pass on the road to Industry 4.0 readiness.
Six-Dimensional Model
As per the current understanding of Industry 4.0 the readiness of the enterprises can be
assessed on the below mentioned six dimensions:
INDUSTRY 4.0 - Six-Dimensional Model
Operational Excellence
● Enhanced efficiency through
greater automation
● Product Customization at the cost
of mass produced products.
Enhanced Services
● Higher revenues from digitally
refined products
● Access to new markets
Physical Elements Virtual Elements
Smart Factory
● Digital Modeling
● Equipment Infrastructure
● Data Usage
● IT Systems
Strategy and organization
● Strategy
● Investments
● Innovation Management
Smart Product
● ICT add-on functionalities
● Data Analytics in usage phase
Smart Operations
● Cloud usage
● IT security
● Autonomous Processes
● Information sharing
Employees
● Skill acquisition
● Employee Skill Sets
Data driven services
● Services
● Shares of revenue
● Shares of Data used
Based on above six dimensional models, India‟s rank on the Network Readiness Index
in 2013 was 61. In 2016, India ranked 91 out of 139 countries. At 91, India was ahead of
Pakistan (110) and Bangladesh (112), but behind Sri Lanka (63), Malaysia (31), and
China (59). Singapore topped the rankings for second year in a row. The US was placed
at 5th position.
India’s Position:
• According to Indian Brand Equity Foundation (IBEF), the Government of India has
set an ambitious target of increasing the contribution of manufacturing output to 25
percent of Gross Domestic Product (GDP) by 2025, from 16 percent currently.
• IoT, being one of the most important aspects of Industry 4.0 for India, is expected to
capture close to 20 percent share in global IoT market in the next five years. According
to IBEF forecast, the IoT market in India is projected to grow at a CAGR of more than 28
percent during 2015-2020.
• Government of India has taken initiatives such as Green Corridors and „Make in
India‟
Today, in an Industry 4.0 factory, machines are connected as a collaborative
community. Such evolution requires the utilization of advance prediction tools, so that
data can be systematically processed into information to explain uncertainties, and
thereby make more “informed” decisions.
Industry 4.0 is expected to be a huge boon to companies that fully understand what it
means for them. Change of this nature will transcend company‟s boundaries where
they operate. The focus in the forthcoming segment will be laid on the importance of
the fourth industrial revolution on the Indian economy, the major steps taken by the
OEMs, government and the customers to adapt the new trend and recent technological
developments.
Is India ready to jump into Industry 4.0?
According to International Yearbook of Industrial Statistics 2016- published by United
Nations Industrial Development Organization (UNIDO) with its ranking going up by
three places, India has now been ranked sixth among the world‟s 10 largest
manufacturing countries. India is no exception to this global trend and is steadily
increasing its share of Global Manufacturing GDP. All leading countries are embarking
on major initiatives to promote manufacturing by adopting the advancements in
Internet and Information Technology arenas. German government announced
“Industry 4.0” while governments in China and India have their own focused
programs, “Made in China 2025” and “Make in India” respectively.
Idea is to encourage multinational, as well as national companies to manufacture their
products in India. With a plethora of crippling regulations and under-developed
infrastructure, the Government is focusing more on enabling policies and improving
infrastructure for certain key sectors.
According to IBEF, the Government of India has set an ambitious target of increasing
the contribution of manufacturing output to 25 percent of Gross Domestic Product
(GDP) by 2025, from 16 percent currently. There is no escape from integrating principles
of Industry 4.0 with the “Make in India” initiative, if Indian Manufacturing has to win
against global competition. India has a unique opportunity to innovatively pave its own
road to Smart Manufacturing. Industry 4.0 is expected to transform manufacturing in
India by bringing operational efficiencies to manufacturing industries like automotive,
electrical and electronics.
The major area of focus shall be the technological advancement across various
industries. IIOT (Industrial Internet of Things), 3DP (3-dimensional printing) 3D
sensors, social software, augmented reality, location awareness is considered to user in
the next era of smart production. These automation technologies collectively are
moving the manufacturing industry towards the next phase of technological
advancement.
Industry 4.0 is a holistic automation, business information, and manufacturing
execution architecture to improve industry with the integration of all aspects of
production and commerce across company boundaries for greater efficiency.
Internet of Things, being one of the most important aspects of Industry 4.0 for India is
expected to capture close to 20 per cent share in global Internet of Things (IoT) market
in the next five years. The global market is expected to touch US $ 300 bn by 2020.
Major Indian states are taking initiatives to adapt to Industry 4.0. Andhra Pradesh has
taken an initiative to capitalize on the IoT potential in the country. The state
government has approved the first-of-its-kind IoT policy with an aim to turn the state
into an IoT hub by 2020 and tap close to 10 per cent market share in the country.
The Indian government has created Green Energy Corridors to bring in more renewable
energies, to make smart grids that will support the variable input of renewable energies
and create storage. India has committed over US$ 1 bn in this initiative and has started
projects in many states, such
as Andhra Pradesh, Rajasthan, Tamil Nadu, Gujarat and Himachal Pradesh.
India‟s first smart factory, moving from automation to autonomy, where machines
speak with each other, is being set up in Bengaluru. It is making progress at the Indian
Institute of Science‟s (IISc) Centre for Product Design and Manufacturing (CPDM) with
an investment from The Boeing Company. A smart factory, armed with data exchange
in manufacturing and the Internet of Things (IoT) is the future and experts are calling it
revolution Industry 4.0. Reports peg the smart factory industry to touch US$ 215 bn by
2025 and all major economies are likely to accept it.
Various Indian companies are increasing their focus and partnering with other
companies for developing new IoT and M2M solutions, the Digital India initiative from
the Government of India is expected to enhance the focus on IoT in tackling the
domestic challenges.
India’s competitive landscape
The manufacturing landscape is changing. Countries are constantly being challenged on
technical capabilities and manufacturing value adds. Specifically, India faces
competition from China and Europe and there is a risk of her being crowded out by the
increasing technical capabilities of these regions as they are focusing on medium-value
segment where India has always been prominently operating. Historically, China has
focused on the low technology-low manufacturing value add space while Europe has
focused on high technology – high value add segment. India‟s manufacturing zone of
comfort has been in the middle, both on the technology and value add axis.
Now, a significant push from China to move up from the low technology – low value
add zone and expand into the medium technology zone has been noted, thereby
expanding the market for Chinese companies. Concurrently, there is a push from
Europe to move down from the high technology – high value add zone and expand into
the medium technology zone thereby expanding the market for European companies.
India’s strengths over others:
• A growing working population and an expanding middle-class are expected to
remain key demand drivers.
• India has the world‟s 12th largest number of high-net- worth individuals, with a
growth of 20.8%, the highest among the top 12 countries
• Disposable incomes in the rural Agri-sector shows increasing trends
• There is a presence of a large pool of skilled and semi-skilled workers and a strong
educational system
• Favourable government policies like GST, the constitution of NEMMP (National
Electric Mobility Mission Plan 2020), FAME (Faster Adoption and Manufacturing of
Hybrid land Electric Vehicle) are advantageous for the sector.
Conclusions
Industry 4.0 will revolutionize manufacturing around the globe, as did the first three
industrial revolutions. With global supply chains and highly interactive markets, this
revolution will be vastly different from the previous ones: being much faster and
generating results that were heretofore unexpected. It will highlight the fact that small
changes in one area of the manufacturing ecosystem will create significant ripples
throughout the ecosystem, due to connectivity throughout the supply chain and the
speed at which information propagates. Furthermore, Industry 4.0 will enable
information to flow not only from manufacturer to product, but between producers,
products and, most importantly, customers. The ability to embrace Industry 4.0 and use
the opportunities that will rapidly (and, in many instances, unexpectedly) present
themselves will be a key to success in the new global market. Enabling that innovation
to proceed from a concept to a mass-produced product will be critical for success; and
ensuring a talent pool in the manufacturing workforce that can move those innovations
rapidly forward will be equally important.
India has a number of programs to enable innovation and ensure the talent pipeline for
manufacturing. Some are well established, and others are quite new and very
innovative. It is clear that Industry 4.0 presents tremendous opportunities, and this fact
highlights the need for a highly trained and flexible workforce and production capacity
that can answer the needs of tomorrow as well as those of today.
India stands ready for that future: not only to participate, but also to lead!
Bibliography:
 India‟s Readiness for Industry 4.0 by Grant Thornton & CII
 What is Industry 4.0 and is India prepared for the change? -Blog
 IMPULS Foundation of VDMA, Industry 4.0 Readiness
 Industry 4.0 and Supply chain sustainability framework and future reassert
directions – Surajit Bag (Dept of Procurement, South Africa)
 What does Industry 4.0 Revolutions mean for Indian Manufacturing Industry –
Technology Trends
 The World Economic Forum
 The Economic Times
 Supply Chain Digital
 Theme Paper – Industry 4.0, Leapfrog opportunity for India – For Productivity
Week by National Productivity Council
Author: Chirag Kalaria, Purchase Professional, AMUL (GCMMF)

GE3792-INDUSTRIAL MANAGEMENT ALL UNITS LECTURE NOTES

  • 1.
    GE3792 INDUSTRIAL MANAGEMENT FINAL YEAR VIISEMESTER DEPARTMENT OF MECHANICAL ENGINEERING UNIT WISE LECTURE NOTES Prepared by Mr.K.BALAMANIKANDASUTHAN Assistant Professor Mechanical Engineering Department
  • 2.
    UNIT – IINTRODUCTION TO MANAGEMENT 9 Management: Introduction; Definition and Functions – Approaches to the study of Management – Mintzberg’s Ten Managerial Roles – Principles of Taylor; Fayol; Weber; Parker – Forms of Organization: Sole Proprietorship; Partnership; Company (Private and Public); Cooperative – Public Sector Vs Private Sector Organization – Business Environment: Economic; Social; Political; Legal – Trade Union: Definition; Functions; Merits & Demerits. Management: Introduction Every human being has several needs & desires which can be satisfied only by working & living together in organized groups & institutions. In this way the people satisfy their economic & social needs. As a result there are several types of groups e.g. Family, school, government and business firm etc. Such groups achieve their goals by working in controlled & coordinated manner. Management involves coordinating and overseeing the most activities of others so that their activities are completed effectively & efficiently. The 21st century economy has become knowledge based and is performance driven. It is driven by innovations & technology & organizations have to transform themselves to serve new customer expectations. The manager of today must integrate management skills with new approaches that emphasize the human touch, enhance flexibility & involves employees. Management is needed in all types of organization, at all levels of organization, in all organization work areas throughout the world Importance of Management The efficient management of human & material resources is essential for achievement of objectives of any organization. The success of any business lies in the quality of management. The significance of management will be more clear through the following points :- 1. Determination of objectives – Management helps in determining the objective of the organization. No organization can succeed in its operations unless its objectives are identified & well defined. These objectives have to be communicated to all the people working in the organization. 2. Achievement of the objectives – Management plays a vital role in accomplishment of organizational objectives & goals. The coordination & integration of material & human resources helps in achieving the pre-determined goals effectively & efficiently. 3. Efficient use of resources – An efficient management can lead a business towards growth & prosperity. Management reduces wastage of human, material & financial resources through proper planning & control. 4. Encourages innovation – Management encourage innovation in the organization. Innovation brings new ideas, new methods, new products & makes the organization more competitive. 5. Personal objectives – Personal objectives are concerned with satisfaction of financial & social needs of the employees. Through motivation & direction management helps the individuals to achieve their personal goals while working towards organizational objectives. 6. Economic development – Management helps in development of the society by producing good quality products, creating employment opportunities & adopting new technology. 7. Creates dynamic organization – Management helps the employees to overcome their resistance to change & adopt as per changing situation to ensure its survival & growth.
  • 3.
    Definitions According To HaroldKoontz "Management is the art of getting things done through others and with formally organised groups." According to George R. Terry ''Management Is a distinct process consisting of planning, organising, actuating and controlling; utilising in each both science and art, and followed in order to accomplish pre-determined objectives." According to Massie & Douglas “Management is the process by which co-operative group directs actions towards common goals." Functions of Management According to functions approach managers perform certain activities to effectively & efficiently coordinate the work of others. They are classified as – 1. Planning – It involves defining jobs, establishing strategies for achieving those goals & developing plans to integrate & coordinate activities. 2. Organising – Involves arranging & structuring work to accomplish the organizationgoals. 3. Staffing – Involves manning the organization structure through proper & effectiveselection. 4. Directing – Involves influencing, guiding supervising & motivating the subordinate. 5. Controlling – Involves monitoring, comparing & correcting work performance. Approaches to the study of Management
  • 4.
    1. Systems Approach: During the 1960s, researchers began to analyse organizations from a systems perspective based on the physical sciences. The systems approach to management propounds that organizations are not self-contained, but they rely on and are affected by factors in their external environment. A system is a set of interrelated and interdependent parts arranged in a manner that produces a unified whole. The two basic types of systems are open system and closed system. A closed system is not influenced by and does not interact with its environment. An open system interacts with its environment. Using the systems approach, managers envision an organization as a body with many interdependent parts, each of which is important for the well-being of the entire organization. Managers coordinate the work activities of various parts of the organization, realizing that decisions and actions taken in one organizational area will affect other areas. 2. Contingency Approach The contingency approach to the management proposes that different organizations require different ways of managing. The contingency approach subscribes to view that the organization recognizes and responds to situational variables as they arise. The contingency approach to management assumes that there is no universal answer to all the questions related to the management because organizations, people and situations vary and change over time. Thus, the right thing to do depends on a complex variety of critical environmental and internal contingencies. 3. Behavioural Approach Organizational behaviour (OB) is the field of study that is concerned with the actions (behaviours) of people at work. The OB research has contributed much of what we know about human resources management and contemporary views of motivation, leadership, trust, teamwork and conflict management. The early advocates of the organizational behaviour approach were Robert Owen, Hugo Munsterberg, Mary Parker Follett and Chester Barnard. Their ideas served as the foundation for employee selection procedures, motivation programmes, work teams and organization–environment management techniques. Hawthorne Studies The Hawthorne studies (also referred to as the observer effect) were the most important contribution to the development of OB. This series of experiments were conducted from 1924 to the early 1930s at western Electric company’s Hawthorne works in Cicero, Illinois, USA. Initially, these were devised as a scientific management experiment to assess the impact of changes in various physical environment variables such as illumination of light on the employee productivity. After Harvard professor Elton Mayo and his associates joined the Hawthorne studies 436 Industrial Engineering and Management as consultants, other experiments were included to look at redesigning jobs, make changes in workday and workweek length, introduce rest periods and introduce individual versus group wage plans. It was observed that there is no effect of change in illumination of light on worker’s productivity, significantly. The main factors of consistant productivity was manager’s attention towards the workers. The researchers concluded that social norms or group standards were key determinants of individual work behaviour. Although criticized on procedures, analyses of findings and conclusions, the Hawthorne studies stimulated interest in the human behaviour in organizational settings. In the present context, the behavioural approach assists managers in designing jobs that motivate workers, in working with employee teams and in facilitating the flow of communication within organizations.
  • 5.
    4. Quantitative Approach Thequantitative approach to management, also known as operations research or decision science, uses quantitative techniques to improve decision-making. This approach includes application of statistics, optimization models, information models and computer simulations. The quantitative approach originated during World War II, as mathematical and statistical solutions to military problems were developed for wartime use. Today, the quantitative approach has contributed most directly to managerial decision-making, particularly in planning and controlling. The availability of sophisticated computer software programs has made the use of quantitative techniques quite feasible for managers. Mintzberg’s Ten Managerial Roles : Henry Mintzberg identified ten different roles, separated into three categories. The categories he defined are as follows Interpersonal Role Managers are expected to coordinate and interact with employees and provide direction to the organization. Here comes into play their interpersonal role. Three parts of the manager’s interpersonal role are as follows: 1. Figurehead role: It symbolizes the organization and what it is trying to achieve. 2. Leader role: The manager is expected to train, counsel, mentor and encourage high employee performance. 3. Liaison role: The manager should coordinate with and link people inside and outside the organization to help achieve organizational goals. Informational Role This role is associated with the tasks needed to obtain and transmit information for management of the organization. Three parts of the informational role are as follows: 1. Monitor role: Analysing information from both the internal and external environments. 2. Disseminator role: Transmitting information to influence attitudes and behaviour of employees. 3. Spokesperson role: Using information to positively influence the way people in and out of the organization would respond to it. Decisional Role
  • 6.
    The decisional roleis associated with the methods managers use to plan strategy and utilize resources to achieve organizational goals. Four parts of the decisional role are as follows: 1. Entrepreneur role: Deciding upon new projects or programs to initiate and invest. 2. Disturbance handler role: Assuming responsibility for handling an unexpected event or crisis. 3. Resource allocator role: Assigning resources between functions and divisions, setting budgets of lower-level managers. 4. Negotiator role: Seeking to negotiate solutions between other managers, unions, customers or shareholders. Principles of Taylor
  • 9.
    Henri Fayol’s 14Principles of Management Henri Fayol, a French mining engineer, developed 14 principles of management based on his management experiences. These principles are described as follows 1. Division of work: Division of work and specialization improves the productivity with the same effort. 2. Authority and responsibility: Authority is the right to give orders and the power to exact obedience. Authority creates responsibility for getting the work completed. 3. Discipline: Obedience, respect and proper behaviour within an organization are absolutely essential. 4. Unity of command: An employee should receive orders from only one superior. 5. Unity of direction: Organizational activities must have one central authority and one plan of action. 6. Subordination of individual interest to general interest: The interests of one employee or group of employees are subordinate to the interests and goals of the organization. 7. Remuneration of personnel: Salaries – the price of services rendered by employees – should be fair and should provide satisfaction to both the employee and the employer. 8. Centralization: The objective of centralization is the best utilization of personnel. The degree of centralization varies according to the dynamics of each organization. 9. Scalar chain: A chain of authority, that is, scalar chain, exists from the highest organizational authority to the lowest ranks. 10. Order: An organizational order for materials and personnel is essential. Right materials and right employees are necessary for each organizational function and activity. 11. Equity: In organizations, equity is a combination of kindliness and justice. Both equity and equality of treatment should be considered when dealing with employees. 12. Stability of tenure of personnel: To attain the maximum productivity of personnel, a stable workforce is needed. 13. Initiative: Thinking out a plan and ensuring its success is an extremely strong motivator. Zeal, energy and initiative are desired at all levels of the organizational ladder. 14. Esprit de corps: Teamwork is fundamentally important for an organization. Work teams and extensive face-to-face verbal communication encourage teamwork. Max Weber’s Bureaucracy In the late 1800s, Max Weber disliked that many European organizations were being managed on a personal family basis and that employees were loyal to individual supervisors rather than the organization. He believed that organizations should be managed impersonally and that a formal organizational structure, where specific rules were followed, was important. Max Weber gave the theory of bureaucracy that is explained below.
  • 10.
    Characteristics of Bureaucracy 1.A well-defined hierarchy: All positions within a bureaucracy are structured in a way that permits the higher positions to supervise and control the lower positions. There should be a clear chain of command, control and order throughout the organization. 2. Division of labour and specialization: All responsibilities, specialties and expertise should be divided among the employees. One should not be a jack of all trades. 3. Rules and regulations: There should be a practice to follow standard rules and regulations in the whole organization. 4. Impersonal relationships between managers and employees: Managers should maintain an impersonal relationship with employees so that favouritism and personal prejudice do not influence their decisions. 5. Competence: Competence of the employees should be the basis for all decisions made in hiring, job assignments and promotions to foster an ability and merit as the primary characteristics of a bureaucratic organization, not the relationship or acquaintance with the employees. 6. Records: A bureaucracy needs to maintain records of all its activities. Mary Parker Follett Mary Parker Follett focused her efforts on ethics, power and leadership. She encouraged employee involvement or participation in decision-making process. She stressed the importance of men rather than methods, a concept developed in scientific management before her time. As a result, she was a pioneer but was often not taken seriously by management scholars of her time. But, times change and her innovative ideas from the past suddenly take on new meanings. These innovative ideas are related to reciprocal relationships in understanding the dynamic aspects of the individual in relationship to others, the principle of integration and power sharing among the people. Her ideas on negotiation, power and employee participation were influential in the development of organizational studies. Organization : A firm or Organization is a group of people located in any premises or area, who do work and transform raw materials into goods and services with the help of tools and sell them. The firm may be industrial, commercial or financial. Firm’s size and characteristics depend on the type of ownerships. In this chapter, we will discuss about the type of a firm’s or business ownership and different structures of an organization. Some major types of firm’s ownerships are sole partnership, general partnership, limited partnership, limited liability partnership, corporation, joint stock company (private and public company), cooperative society, etc. Forms of Organization Sole Proprietorship A sole proprietorship is the simplest form of business ownership. It is owned by a single person.The owner enjoys alone with the business’s profits and losses. There is no liability protection for the owner. The owner is liable to pay all the debts. If the individual is sued and loses, the business and personal property may be seized to pay obligations. Characteristics of sole partnership are enumerated as follows: 1. Sole proprietorships do not have perpetuity. 2. The proprietor may sell or quit the business. 3. The business does not need to be registered with the state. 4. The trademarks can be registered with the Secretary of State’s office if desired. . A federal employer’s identification number is not required as long as there are no employees. 6. The business income is taxed at the sole proprietor’s individual tax rate.
  • 11.
    Advantages 1. It iseasy to start the business. 2. No documents are required to file with the state. . There is only one level of taxation. 4. Decision-making is easy. 5. One can discontinue his/her business at his/her will. Disadvantages 1. No tax breaks are provided for company benefits. 2. The owner is liable for all debts incurred, i.e. unlimited liability. 3. The amount of capital investment one can raise is limited. Partnership General Partnership A general partnership is formed by two or more persons. Similar to a sole proprietorship, the partners are not separate from the business. Unless agreements/provisions have been established, each individual is responsible for all of the partnership’s debt. Also, each partner can incur debt on behalf of the business unless other provisions have been made. Each partner shares in the losses and profits of the business. Partnerships do not have perpetuity. When a partner leaves or dies, the business ends. As with a sole proprietorship, the general partnership does not need to be registered with the Secretary of State’s office. The partnership does need a Federal Employer’s Identification Number even if there are no employees. Characteristics of a general partnership are very similar to sole partnership. Advantages of General Partnership (a) It is relatively easy to create. (b) Only one level of taxation is subjected. Disadvantages of General Partnership (a) There are no tax breaks for company benefits similar to sole partnership. (b) Each partner is liable for debts incurred. (c) In case of death or quit, business may end. Limited Partnership One main difference between the general partnership and a limited partnership is that the limited partners’ risk is reduced to the amount contributed to the partnership. The general partnership does not need any special registration, but a limited partnership certificate needs to be filed with the Secretary of State’s office. Tax reporting and payment is carried out the same way as a general partnership. There are certain advantages and disadvantages of limited partnership as discussed below: Advantages of Limited Partnership 1. There is limited risk to some partners. 2. It is relatively easier to create. 3. One level of taxation is possible. Disadvantages of Limited Partnership 1. There is liability for debts incurred by partners. 2. The business owners are taxed as corporations under certain circumstances. 3. There are no tax breaks for company benefits. 4. There is no perpetuity of business.
  • 12.
    Limited Liability Partnership Limitedliability partnerships are similar to other partnerships except that the partners have limited personal liability due to negligence, malpractice and conduct of partners not under immediate and direct control of a partner. The partnership is not free from liability due to debts or acts of partners under direct control of a partner. A limited liability partnership is designed to help the professionals who operate as a partnership and desire the limited liability protection afforded. Limited Liability Company (LLC): Features: Ownership: LLCs blend features of partnerships and corporations, offering limited liability to owners (members) while maintaining pass-through taxation. Limited Liability: Members have limited liability, protecting personal assets from business debts and obligations. Flexible Structure: LLCs have flexible management structure and profit distribution among members. Taxation: Profits pass through to members' personal income tax returns. Advantages: 1. Limited Liability: Members are shielded from personal liability for business debts and lawsuits. 2. Tax Flexibility: LLCs can choose taxation as a sole proprietorship, partnership, S corporation, or C corporation. 3. Flexible Management: Less stringent management requirements, offering operational flexibility. 4. Pass-Through Taxation: Avoids double taxation; profits are taxed only at the individual level. Disadvantages: 1. Complexity: An LLC may involve more paperwork and formalities than sole proprietorships or partnerships. 2. State Laws: Compliance with state-specific regulations and requirements. 3. Investor Restrictions: May face limitations in attracting investors due to ownership and management structures. 4. Perpetual Succession Uncertainty: LLCs' continuity may be uncertain due to member changes or dissolution.
  • 13.
    Cooperative Society A businessformed by a group of people to obtain services or products more effectively and economically than they could get individually is called a cooperative and jointly known as cooperative society. Members of the cooperative own finance and operate the business for mutual benefit. Cooperative society may be following types: consumer’s cooperative society, producer’s cooperative society, cooperative marketing society, cooperative credit society, cooperative farming society and housing cooperative society. Characteristics of cooperative societies: 1. In cooperatives, net income paid to owners is taxed as personal income. 2. Ownership benefits can be distributed in proportion to use. 3. Control is democratic with one vote per patron. 4. There is limited return on equity capital. 5. All income is distributed to members on a participation basis. 6. Cooperative organizations do not come under state or federal income tax liability. 7. Like a sole proprietorship, partnership, or corporation, a cooperative must operate as a business with complete planning, management, and written policies. Advantages of Cooperative Societies 1. There is requirement of smaller-than-usual capital investment. 2. Authority is divided among the members or owners. 3. There are possible difficulties in cancelling the membership. 4. There is an economical purchasing of supplies due to economy of scale. 5. Expenses are shared by all the members of trade shows/exhibits. Disadvantages of Cooperative Societies 1. There may be some losses of independence. 2. Working capital is less than the required. 3. Decision-making is complex in comparison to sole partnership. 4. Quality control may become difficult. Public Sector Vs Private Sector Organization (i) Private limited company: This type company can be formed by two or more persons. The maximum number of member ship is limited to 50. In this transfer of shares is limited to members only. The government also does not interfere in the working of the company. (ii) Public Limited Company: Its is one whose membership is open to general public. The minimum number required to form such company is seven, but there is no upper limit. Such company’s can advertise to offer its share to genera public through a prospectus. These public limited companies are subjected to greater control & supervision of control. Merits:  The liability being limited the shareholder bear no Rick& therefore more as make persons are encouraged to invest capital.  Because of large numbers of investors, the risk of loss is divided.  Joint stock companies are not affected by the death or the retirement of the shareholders. Disadvantages:  It is difficult to preserve secrecy in these companies.  It requires a large number of legal formalities to be observed.  Lack of personal interest. Public Corporations: A public corporation is wholly owned by the Government centre to state. It is established usually by a Special Act of the parliament. Special statute also prescribes its management pattern power duties & jurisdictions. Though the total capital is provided by the Government, they have
  • 14.
    separate entity &enjoy independence in matters related to appointments, promotions etc. Merits:  These are expected to provide better working conditions to the employees & supported to be better managed.  Quick decisions can be possible, because of absence of bureaucratic control.  More Hexibility as compared to departmental organization.  Since the management is in the hands of experienced & capable directors & managers, these ate managed more efficiently than that of government departments. Demerits:  Any alteration in the power & Constitution of Corporation requires an amendment in the particular Act, which is difficult & time consuming.  Public Corporations possess monopoly & in the absence of competition, these are not interested in adopting new techniques & in making improvement in their working. Government Companies: A state enterprise can also be organized in the form of a Joint stock company; A government company is any company in which of the share capital is held by the central government or partly by central government & party by one to more state governments. It is managed b the elected board of directors which may include private individuals. These are accountable for its working to the concerned ministry or department & its annual report is required to be placed ever year on the table of the parliament or state legislatures along with the comments of the government to concerned department. Merits:  It is easy to form.  The directors of a government company are free to take decisions & are not bound by certain rigid rules & regulations. Demerits:  Misuse of excessive freedom cannot be ruled out.  The directors are appointed by the government so they spend more time in pleasing their political masters & top government officials, which results in inefficient management. Business environment : Dimensions of or the agents forming the business environment involve economic, social, legal, technological and political circumstances which are contemplated properly for decision-making and enhancing the achievement of the trading concern. In distinction to the precise environment, these aspects manifest the prevailing environment, which often affects many companies at the same time. However, the administration of every business can profit from being informed of these dimensions rather than being unbiased in them. A concise argument of the multiple factors comprising the global environment of the company is provided below: (A) Legal Environment  It includes various laws passed by the government, administrative orders issued by government authorities, court judgments as well as decisions rendered by the central, state or local governments.  Understanding of legal knowledge is a pre-requisite for the smooth functioning of business and industry.  Understanding the legal environment by business houses help them not to fall in a legal tangle.  The legal environment includes various laws like Companies Act 2013, Consumer Protection Act 1986, Policies relating to licensing & approvals, Policies related to foreign trade etc. Example: Labour laws followed by companies help them to keep away from penalties.
  • 15.
    (B) Political Environment It means that the actions were taken by the government, which potentially affect the routine activities of any business or company on a domestic or at the global level.  The success of business and industry depends upon the government’s attitude towards the business and industry, Stability of Government, Peace in the country. Example: Political stability and central government’s attitudes towards business, industry and employment, has attracted many national and international business entrepreneurs to invest in India. (C) Economic Environment  The economic environment consists of an economic system, economic policies and economic conditions prevailing in a country.  Interest Rates, Taxes, Inflation, Stock Market Indices, Value of Rupee, Personal Disposable Income, Unemployment rate etc. are the factors which affect the economic environment. Example: A rise in the disposable income of people due to a decrease in tax rates in a country creates more demand for products. (D) Social Environment  Social Environment consists of social forces like traditions, values, social trends, level of education, the standard of living etc. All these forces have a vast impact on business.  Tradition: It refers to social practices that have lasted for decades, such as Ugadi, Deepavali, Id, Christmas,etc.,  Impact: More demand during festivals provides opportunities for various businesses.  Values: It refers to moral principles prevailing in the society, such as Freedom of choice in the market, Social Justice, Equality of opportunity, Non-discriminatory practices etc.  Impact: The organisations that believe in values maintain a good reputation in society and find ease in selling their products.  Social Trends: It refers to a general change or development in the society, such as health and fitness trend among urban dwellers.  Impact: Health and fitness trend has created demand for gyms, mineral water etc. (E) Technological Environment  It consists of scientific improvements and innovations which provide new ways of producing goods, rendering services, new methods and techniques to operate a business.  It is very important for a firm to understand the level of scientific achievements of a particular economy before introducing its products.  Technological compatibility of products also drives the demand for manufactured products by a company. Example: E-commerce has changed the scenario of doing the business, buying goods and availing services at the click of a mouse or through mobile, Digital India initiative by the government and move towards a paperless society.
  • 16.
    Trade union A tradeunion is an organisation made up of members (a membership-based organisation) and its membership must be made up mainly of workers. One of a trade union's main aims is to protect and advance the interests of its members in the workplace. Most trade unions are independent of any employer. However, trade unions try to develop close working relationships with employers. This can sometimes take the form of a partnership agreement between the employer and the trade union which identifies their common interests and objectives. Definition Of Trade Unions Trade unions are collective bodies that represent workers in negotiations with employers. Their main purpose is to safeguard the rights of employees and improve their working conditions. By providing a unified voice, trade unions empower workers to negotiate fair wages and benefits. They act as intermediaries between employees and employers, advocating for the interests of the workforce as a whole.
  • 17.
    Trade unions functionsare ,  To negotiate agreements with employers on pay and conditions  To discuss major changes to the workplace such as large scale redundancy  To discuss members' concerns with employers  To accompany members in disciplinary and grievance meetings  To provide members with legal and financial advice  To provide education facilities and certain consumer benefits such as discounted insurance
  • 18.
    UNIT – IIFUNCTIONS OF MANAGEMENT - I 9 Planning: Characteristics; Nature; Importance; Steps; Limitation; Planning Premises; Strategic Planning; Vision & Mission statement in Planning– Organizing: Organizing Theory; Principles; Types; Departmentalization; Centralization and Decentralization; Authority & Responsibility – Staffing: Systems Approach; Recruiting and Selection Process; Human Resource Development (HRD) Concept and Design. INTRODUCTION TO PLANNING Every business enterprise has its own predetermined objectives to be achieved. In order to achieve the objectives in the best possible manner, it requires a lot of mental exercise based upon imagination, foresight and judgment for deciding the tasks to be undertaken and techniques to be adopted. No doubt the success lies in the effective and sound planning, which undoubtedly determines the future course of action. Planning is the beginning of the process of management. A manager must plan before he can possibly organize, staff, direct or control. Because planning sets all other functions into action, it can be seen as the most basic function of management. Without planning other functions becomes merely an activity, producing nothing but disorder. All planning involves anticipation of the future course of events and therefore bears an element of uncertainty in respect of its success. Planning is concerned with the determination of the objectives to be achieved and course of action to be followed to achieve them. Before any operative action takes place it is necessary to decide what, where, when and who shall do the things. Decision-making is also an important element of planning. Planning determines both long-term and short- term objectives and also of the individual departments as well as the entire organisation. In fact there is an element of planning in every human activity, but in business there is greater need for planning. Planning thereby is to decide the future course of action and therefore it is an intellectual process which requires a manager to think before acting. It is thinking in advance. The managers of an organization are able to decide what is to be done, when it is to be done and who is to do it only through proper planning. Planning hence is considered to be the first managerial function to be performed in the process of management DEFINITIONS OF PLANNING According to Theo Haimann, ―Planning is deciding in advance what is to be done. When a manager plans, he projects a course of action for the future, attempting to achieve a consistent, coordinated structure of operations aimed at the desired results.‖ According to Louis AAllen, "Planning involves the development of forecasts, objectives, policies, programmes, procedures, schedules and budgets". According to Koontz and O’Donnell, ―Planning is deciding in advance what to do, how to do, when to do it and who is to do it, planning bridges the gap from where we are, to where we want to go. It makes it possible for things to occur which would not otherwise happen‖. NATURE OF PLANNING Thenatureofplanningcanbesummarizedasfollows: 1. Intellectual Process Planning is an intellectual process. That is it is a mental exercise. It requires thinking reflection, analysis of information and judgment. A good plan is based upon collection, study and analysis of the requisite facts, evaluating alternativecombinationoffactors and deciding themost appropriate lines ofaction, dependingupon the abilityandintelligenceofmanagement.
  • 19.
    Furtherdecisionscannotbemadeon guess work.A mental exercise is required to foresee the pros and cons of various alternatives. The selection of best alternative from the available ones will require deep thinking. According to Koontz and O‘Donnell, planning is an intellectual process involving mental exercise, foreseeingfuture developments,makingforecastsandthedeterminationofthebestcourseofaction. 2. Primary Function Planning is the beginning ofthe process ofmanagement.A manager must planbefore she/he can possibly organize, staff, direct or control. Because planning setsall others into action, it can be seen as the most basic function of management.Without proper planning other activities becomemeaningless activity, producingnothingbut chaos. It is a primary requisite to the managerial functions of organizing,staffing, directing, motivating, co-ordinating, communicating and controlling. A manager must do planning before she/he can undertake the other managerialfunctions. In short planning sets allother functions into action. Without planning,other functionswill becomemereactivitiesproducingnothing. 3. Focus on objectives Planning is linked with certain goals or objectives. A plan starts with the settingof objectives, and then, develops policies, procedures, strategies, etc. to achieve the objectives. Planning has no meaning, if it does fix up objectives. If planning isnot related to goals or objectives, it becomes an empty mental exercise or mereday- dreaming. An organizationemploys a number ofpersons. Each one ofthemhas differentpersonalityand attitude. There will be difference of opinion about the objectives of the enterprise and the methods to achieve them. Planning focuses attention onsettinguporganizationalobjectivesandsuggestswaysto achievethem. 4. Pervasive Planning pervades all levels of management. That is, planning is done at all levels of the management. In other words, every manager, whether he is at the top, in the middle or at the bottom of the organizational structure, plans. Of course, the depth of planning differs from one management level to other. Top management is concerned with wide long-range strategic planning, while management at lower levels is concerned with operational short-range planning. Planning is essential for every sort of business activities. Every department whether, purchase, sales, accounts, auditing, marketing etc. needs systematic planning. Co-ordination of different departmental plans and direction of their integrated energies towards the desired goal of the business depend on planning. Effective organization, staffing, direction and controlling are needed for planning. Planning in this way is all-embracing. 5. Decision-Making Planning is essentially a decision making process, since it involves carefulanalysisofvariousalternative courses ofactionand choosing the best. Inthe wordsofR. N Farmer and B. M Richman, ―Planning is essentiallydecision- making onceit involveschoosingfromamongthe alternatives‖. Decision- making isanintegralpart ofplanning. It is defined asthe process ofchoosingamongalternatives.Obviously,decision-makingwilloccurat manypointsin the planning process. The success of an organization depends to a great extent on the type ofdecisions that are made at the various level of an organization. Decision-makinginvolves making a choice fromvarious levelof an organization. Decision –makinginvolves making achoice fromvarious available alternativesafter evaluating each of these. Planning targets, objectives and course of action provide managers withguidelines and criteria against which to evaluate alternatives and choose thosewhicharemostsuitable,thusplanningguidesdecision-making. 6. Integrated It involves not only the determination of objectives but the formulation of sound policies, programmes, procedures and strategies for the accomplishment ofthese objectives. It is the first of managerial functions and facilitates other functions like organizing, staffing etc. It indicates that it facilitates and integrates all other functionsofmanagement 7. Selective Planningisaselective process. That is,it involves theselectionofbest courseof actionafter a carefulanalysis of the variousalternativecoursesofaction.
  • 20.
    8. Continuous Planning isa never-ending activity of a manager. Planning is always tentative and subject to revision and amendment as new facts become known. Even inexecution of planning there may be a change in settings and conditions necessitatingmodification on a some what continual basis. Generally managers have the practiceof re examining a plan and modifying them, if necessary, in view of the newsituations. Inthisway, it willbepossibleto heed to newsituations and overcomeproblems.Planningisnecessaryforsituations whenthingsaregoingwellaswellaswhentroublesarefaced.Alltypesofsituationsrequirecontinuousplanning. 9. Inseparable Planning and control are inseparable, which means that they are Siamesetwins of management. Unplanned action cannot be controlled, for controlinvolveskeeping activities in course by correcting deviations from plans. And any attemptto control without plans should be meaningless. In short, planning without controlis fruitless exercise,andcontrolwithoutplanningisimpossibility. 10. Future Oriented Planning is future oriented. Its essence is looking ahead. It‘s undertaken tohandle future events effectively and achieve some objectives in future.No doubt, we always plan for future. We anticipate future requirements and availability of resources. While determining the future demands, we have to takeinto considerationthe existing and prospective resources of the business and fiscal,monetary and industrial policy of the government. Plans are alwaysput to practicein future. It is onlya setting, thinking and arrangement in advance for the future.Planning inthiswayislookingahead. 11. Action Oriented Planning is action-oriented. That is, planning should be undertaken in the light of organizational preferences. The course of action determined must be realistic. That is, it should be neither impossible nor too easy to achieve. 12. Inter-Dependent Planning is an inter-dependent process. It requires the cooperation of various sections and sub-sections of the organization. 13. Participative Planning involves the participation of all the managers as well as the subordinates. In the words of Koontz and O‘ Donnell, ―plans must be formulated in an atmosphere of the participation and high degree of concurrence IMPORTANCE OF PLANNING ThesignificanceorimportanceofPlanningcanbesummarisedasfollows: 1) Planning offsets future uncertainty and change A business concern has to work in an environment which is uncertain andever-changing. Planning helps the manager in carving out the organization thanwould bepresent without planning. Proper planningbrings withit a higher degree of certainty and order in the organization; it helps the organization in foreseeing the risks and uncertainties in the future and in advance in the best possible way and inpreparing the plan on the basis of decisions in the past and present. This willreducetheuncertaintiesandrisksresultingfromthe futurechanges.In short,planninghelpstoreduceuncertaintiesandchangesinfuture. 2) Facilitates unity of direction and coordination Planning facilitates coordination through its well defined objectives, wellpublicized policies, programmes and procedures. Planning facilitates the coordinationofalltheinter-connectedactivitiesandavoidsduplication ofactivitiesand delays in the executionof activities. In the words of Koontzand O‘ Donnell,―Plans are selected courses along with the management desires to co-ordinategroup action, towards the common goals of the organization.‖
  • 21.
    3) Facilitates Control Planningfacilitates control. Planning determines in advance the work to bedone, the person responsible for doing it., the time to be taken to do the work andthe costs to be incurred. This makes it easy to compare the actual performance with the planned performance. In case there are deviations, corrective actionsaretakentoremovethedeviations.Thusplanningfacilitatescontrol. 4) Management by objectives It facilitates Management byobjectives. That is, it makes the managementformulate theobjectives ofthe organizationinclear-cut terms andtake the rightcourseofactionto realizespecificobjectives. 5) Focuses attention on Organizational goals and facilitates management by objectives An organization has definite goals or objectives, and all the activities of theorganization are directed towards the achievement of those objectives. Planningmakes the organization objectives more concrete and clear, and makes every levelof the people of the organizationhave a clear idea of the objectives of the organizationobjectives to be achieved. It also determines the methods to be adopted in orderto achieve theorganization‘sobjectives. 6) Improves Adaptability Planning helps adaptability i.e. planning helps the organization in coping with the changing business environment. The anticipation of future events and changingconditions, implied in planning, prepares the organizationtomeetthemeffectively 7) Improves Competitive Strength Planning improves the competitive strengths of the firm by anticipating thetechnological changes and tastes and preferences of the people for discoveringnew opportunities for expansion and providing for changes in work methods, improvement in quality of products, etc. enterprises which adopt planning willhaveacompetitiveedgeoverenterpriseswhichdonot have planning 8) Improves motivation Planning improves motivation. Planning ensures the participationof allmanagersin the determination of the goals, policies, programmes etc. of the organization;this improves the motivation and morale of the managers. Again, when there isgood planning, the workers in the organization know clearly what is expected of them. Thisimprovesthemotivationandmoraleamongworkers 9) Encourages Innovation and Creativity Planning promotes or encourages innovation and creativity on the part ofmanagers, in the sense that many new ideas come to the minds of managers duringplanning, which is basicallya deciding function of management 10) Facilitates Delegation This means that not only managers but also their subordinates take part inplanning.Theinvolvement of subordinatesinplanningnecessarily requiresdelegationofauthoritytothemforgettingthethingsdone LIMITATIONS OF PLANNING 1. Internal Limitations There are several limitations of planning. Some of them are inherit in the process of planning like rigidity and other arise due to shortcoming of the techniquesof planning and in the plannersthemselves.
  • 22.
    a) Rigidity i) Planninghastendencytomakeadministrationinflexible. ii)Planning implies prior determination of policies, procedures and programmes and a strict adherence to themin allcircumstances. iii)Thereisno scopeforindividualfreedom. iv)The development of employees is highly doubted because of whichmanagement might havefacedlot ofdifficultiesinfuture. v) Planning therefore introduces inelasticity and discourages individual initiative and experimentation. b) Misdirected Planning i) Planningmaybeusedtoserveindividualinterestsratherthantheinterest oftheenterprise. ii) Attempts can be made to influence setting of objectives, formulation of plans and programmes to suit one‘s own requirement rather than that of wholeorganization. iii)Machinery of planning can never be freed of bias. Every planner has hisown likes, dislikes, preferences,attitudesandinterestswhichisreflectedinplanning c) Time consuming i) Planning is a time consuming process because it involves collection ofinformation, it‘s analysis and interpretation thereof.This entireprocess takes alotoftime speciallywhere there are anumberofalternatives available. ii) Therefore planning is not suitable during emergency or crisis when quick decisions are required. d) Probability in planning i) Planningis based onforecastswhicharemere estimatesabout future. ii) These estimatesmayproveto beinexact dueto theuncertaintyoffuture. iii)Anychangeintheanticipatedsituationmayrenderplans ineffective. iv)Plans do not always reflect real situations in spite of the sophisticated techniques of forecastingbecause future isunpredictable. v) Thus, excessivereliance onplans mayproveto be fatal. e) False sense of security i) Elaborate planning may create a false sense of security to the effect that everything is takenfor granted. ii) Managers assumethat as longastheywork as perplans,it issatisfactory. ii) Thereforetheyfailto take uptimelyactions and anopportunityislost. iii)Employeesaremoreconcernedaboutfulfilmentofplanperformanceratherthan anykind ofchange.
  • 23.
    f) Expensive Collection,analysisandevaluationofdifferent information,factsandalternativesinvolves a lot of expense in termsoftime, effort andmoney. 2. External Limitations of Planning i) PoliticalClimate- Change of government from Congress to some otherpoliticalparty, etc. ii) Labour Union-Strikes, lockouts,agitations. iii) Technological changes- Modern techniques and equipments,computerization. iv) Policies ofcompetitors- E.g. Policies ofCocaCola and Pepsi. v) NaturalCalamities-Earthquakes andfloods. vi) Changes in demand and prices- Change in fashion, change in tastes, changein income level, demand falls, pricefalls, etc. PLANNING PREMISES Planning premises means systemic and logical estimate for the future factors affecting planning. According to Dr.G.R.Terry ,‖planning premise are the assumptions providing a background against which the estimated events affecting the planning will take place‖. Types of Planning Premises are briefly explained as follows:- 1. Internal and External Premises Internal Premises come from the business itself. It includes skills of the workers, capital investment policies, philosophy of management, sales forecasts, etc. External Premises come from the external environment. That is, economic, social, political, cultural and technological environment. External premises cannot be controlled by the business. 2. Controllable, Semi-controllable and Uncontrollable Premises Controllable Premises are those which are fully controlled by the management. They include factors like materials, machines and money. Semi-controllable Premises are partly controllable. They include marketing strategy. Uncontrollable Premises are those over which the management has absolutely no control. They include weather conditions, consumers' behaviour, government policy, natural calamities, wars, etc. 3. Tangible and Intangible Premises Tangible Premises can be measured in quantitative terms. They include units of production and sale, money, time, hours of work, etc. Intangible Premises cannot be measured in quantitative terms. They include goodwill of the business, employee's morale, employee's attitude and public relations. 4. Constant and Variable Premises Constant Premises do not change. They remain the same, even if there is a change in the course of action. They include men, money and machines. Variable Premises are subject to change. They change according to the course of action. They include union-management relations.
  • 24.
    STRATEGIC PLANNING Strategic planningis the process of documenting and establishing a direction of your small business— by assessing both where you are and where you're going. The strategic plan gives you a place to record your mission, vision, and values, as well as your long-term goals and the action plans you'll use to reach them. Strategic planning is a systematic process that helps you set an ambition for your business' future and determine how best to achieve it. Its primary purpose is to connect three key areas: your mission - defining your business' purpose. Strategic planning is important because it influences the attractiveness of the business to investors. The attractiveness of the business to potential investors means the ability of the organization to access financial resources that it could use for its continued growth and development. Strategic planning is the art of creating specific business strategies, implementing them, and evaluating the results of executing the plan, in regard to a company‘s overall long-term goals or desires. It is a concept that focuses on integrating various departments (such as accounting and finance, marketing, and human resources) within a company to accomplish its strategic goals. The term strategic planning is essentially synonymous with strategic management. Characteristics of Strategic Planning  Strategic Planning is an analytical process which formulates strategic and operational plans for the organization. The implementation of strategic plans is possible through projects, whereas various units or divisions of the firm implement operational plans.  It performs SWOT Analysis, i.e. during the planning process, the firm‘s strengths, weaknesses, opportunities and threats are taken into consideration.  It is a forward-looking activity wherein the future opportunities and threats are ascertained while considering its profitability, market share, product and competition.  It presupposes that a firm should always be ready to adapt itself according to the dynamic business environment. For this purpose alternative strategies are developed for different circumstances, i.e. from best to worst, for the future  It can be done for the entire organization or to a specific business unit.  It is helpful in selecting the best strategy, among the various strategies taking into account the firm‘s interest, personal values and corporate social responsibility.  It acts as a guide to the executive to reduce the risk involved in the business and also to take the best possible advantage of the opportunities. So, in this way, it contributes to the success of the enterprise.
  • 25.
     Strategic Planningis a logical effort, that envisions the desired future, by producing various alternative actions and decisions, to formulate an effective strategy, that brings success to the organisation. It helps in analysing and adjusting the organisation‘s efforts as a whole, according to the changing businessenvironment. Strategic Planning Stages 1. Generation of Strategic Alternatives: In this step, the firm seeks a number of strategic alternatives in the light of the firm‘s business, industry and competition. These strategies may be acquisition and expansion, focusing on core competencies, increase in the market share, etc. 2. Assessment of Strategic Alternatives: At this stage, the firm observes various strategies, on the basis of the benefits. It questions: • Will it improve the firm‘s position or market share? • Will it increase existing strengths? • Will it bring new opportunities? • Will it maximise shareholder‘s wealth? 3. Selection of Strategy: The optimum strategy is selected at this stage, among various alternative strategies. Both internal and external analysis of the firm is performed during the exercise; wherein internal analysis entails an evaluation of financial performance, operational limitations, current market position/share corporate culture, strengths and weaknesses. On the other hand, external analysis concentrates on the analysis of competition, trends, changing business environment, opportunities and threats, latest technology and so forth. Vision & Mission statement in Planning From the perspective of an organization, the problem may be that you are not focusing on what you want to achieve and how you will achieve it. Below are a series of steps or statements of how to give your organization direction. The first is a statement of vision. It provides a destination for the organization. Next is a statement of mission. This is a guiding light of how to get to the destination. These are critical statements for the organization and the individuals who run the organization. Vision – Big picture of what you want to achieve. Mission – General statement of how you will achieve the vision. A companion statement often created with the vision and mission is a statement of core values. Core Values – How you will behave during the process. Once you have identified what your organization wants to achieve (vision) and generally how the vision will be achieved (mission), the next step is to develop a series of statements specifying how the mission will be utilized to achieve the vision: Strategies – Strategies are one or more ways to use the mission statement in order to achieve the vision statement. Although an organization will have just one vision statement and one mission statement, it may have several strategies. Goals – These are general statements of what needs to be accomplished to implement a strategy. Objectives – Objectives provide specific milestones with a specific timeline for achieving a goal. Action Plans – These are specific implementation plans of how you will achieve an objective. A more in-depth discussion of these statements is presented below. Statements for an example business are provided for clarification. Vision Statement – A mental picture of what you want to accomplish or achieve. For example, your
  • 26.
    vision may bea successful winery business or an economically active community. Vision of an Example Business – A successful family dairy business. Mission Statement – A general statement of how the vision will be achieved. The mission statement is an action statement that usually begins with the word "to". Mission of an Example Business – To provide unique and high quality dairy products to local consumers. Core Values– Core values define the organization in terms of the principles and values the leaders will follow in carrying out the activities of the organization. Core Values of the Example Business: Focus on new and innovative business ideas,Practice high ethical standards. Respect and protect the environment. Meet the changing needs and desires of clients and consumers. Statements of vision and mission are important so that everyone involved in the organization, including outside stakeholders, understand what the organization will accomplish and how it will be accomplished. In essence this means "keeping everyone on the same page" so they are all "pulling in the same direction". There is a close relationship between the vision and mission. As the vision statement is a static mental picture of what you want to achieve, the mission statement is a dynamic process of how the vision will be accomplished. To create successful statements, you should keep the following concepts in mind. ORGANIZING Organizing is a process of integrating, coordinating and mobilizing the activities of members of a group for seeking common goals. Organisation is the process of establishing relationship among the members of the enterprise. The relationships are created in terms of authority and responsibility. To organise is to harmonise,coordinate or arrange in a logical and orderly manner. Each member in the organisation is assigned a specific responsibility or duty to perform and is granted the corresponding authority to perform his duty. DEFINITIONS OF ORGANISING According to Koontz and O‘Donnell, ―Organizing involves the establishment of an internal structure of roles, by identifying and listing the activities required to achieve the purpose of enterprise, the grouping of these activities, the assignment of such group of activities to manager, the delegation of authority to carry out and provision for coordination of authority relationship horizontally and vertically in the organization structure‖. According to Theo Haimann, "Organising is the process of defining and grouping the activities of the enterprise and establishing the authority relationships among them. In performing the organising function, the manager defines, department alises and assigns activities so that they can be most effectively executed." According to Urwick, ―Organizing is a process of dividing up of activities which are necessary to any purpose and arranging them in group which are assigned to individuals‖.
  • 27.
    a) Determination ofObjectives: It is the first step in building up an organization. Organization is always related to certain objectives. Therefore, it is essential for the management to identify the objectives before starting any activity. Organization structure is built on the basis of the objectives of the enterprise. This step helps the management not only in framing the organization structure but also in achieving the enterprise objectives with minimum cost and efforts. Determination of objectives will consistin deciding as to why the proposed organization is to be set up and, therefore, what will be the nature of the work to be accomplished through the organization. b) Enumeration of Objectives: If the members of the group are to pool their efforts effectively, there must be proper division of the major activities. The first step in organizing group effort is the division of the total job into essential activities. Each job should be properly classified and grouped.
  • 28.
    This will enablethe people to know what is expected of them as members of the group and will help in avoiding duplication of efforts. For example, the work of an industrial concern may be divided into the following major functions – production, financing, personnel, sales, purchase, etc. c) Classification of Activities: The next step will be to classify activities according to similarities and common purposesand functions and taking the human and material resources into account. Then, closely related and similar activities are grouped into divisions and departments and the departmental activities are further divided into sections. d) Assignment of Duties: Here, specific job assignments are made to different subordinates for ensuring a certainty of work performance. Each individual should be given a specific job to do according to his ability and made responsible for that. He should also be given the adequate authority to do thejob assigned to him. e) Delegation of Authority: Everybody should clearly know to whom he is accountable; corresponding to the responsibility, authority is delegated to the subordinates for enabling them to show work performance. This will help in the smooth working of the enterprise by facilitating delegation of responsibility and authority. Principles of organization or Requisites of an Ideal and Sound Organization: 1. Principle of unity of objectives: All activities in an organization should aim at achieving common goals. All departmental goals must be clearly defined and should aim at achieving the overall goal of organization. Also, efforts must be made to synchronize the individual goals with organizational goals. 2. Principle of specialization: Sound and effective organization rests on specialization. When an employee takes special type of knowledge and skill in any area, it is known as specialization. By dividing the work into small tasks, each employee is required to perform a task repeatedly. In this way, he becomes an expert in his area and benefits the organization by specializing in it. 3. Principle of coordination: Organization establishes coordination. Coordination is obtained by group efforts with clearly defined roles that emphasize on unity of action. 4. Principle of parity of authority and responsibility: Authority is the power or right to give orders, make decisions, and enforce obedience . Responsibility is the obligation to perform the duties assigned. There should a balance between them otherwise more authority than required will lead to abuse of authority. Similarly, without adequate authority, responsibility cannot be fulfilled effectively as the employee will not be having powers to make decisions and enforce his orders.
  • 29.
    5. Principle ofdelegation: Process of transferring authority and creation of responsibility between superior and subordinates to accomplish a certain task is called delegation of authority. A superior can delegate authority but not responsibility. Responsibility is absolute. The ultimate responsibility vests with him only. He would be answerable to his superior for non performance of work by his subordinates. Also, the principle of parity of authority and responsibility should not be disobeyed in delegation as well. 6. Scalar Principle: Under this principle all the people working in the organization should be bound with one another from top to bottom in a vertical chain. For example, Board of Directors > General Manager > Departmental Manager > Supervisor > Foreman > Workers. 7. Principle of unity of command: Subordinates should receive orders from single superior at a time and all subordinates should be accountable to that superior only. More superiors leads to confusion, delay and shirking of work. 8. Principle of span of control: Span of control refers to the number of employees under the direct supervision of the superior. Larger span of control is more difficult to supervise and coordinate. However, it depends upon a number of factors like the ability of the superior and nature of his work etc. Span of control determines the number of levels in the organisation. 9. Principle of flexibility: Organizational structure must be flexible considering the environmental dynamism. Sometimes, change may need to be incorporated in the organization structure due to changes in the environmental factors and in that condition, organization structure should have capability to permit the change. 10. Principle of simplicity: This principle emphasizes the simplicity of organizational structure. The structure of organization should be simple with minimum number of levels so that its employee can understand duties and authority easily. Also, simple structure is cost effective and easy to understand. ORGANIZATIONAL TYPES ฀ The formal framework, by which job tasks are divided, grouped and coordinated. Formal and Informal Organization Formal Organization ฀ The intentional structure of roles in a formally organized enterprise. ฀ According to Classical Theorists, formal organization is built on fourpillars: o Division of labour o Scalar and functional processes o Structure o Span of Control Characteristics ฀ Organization structure is designed by the top management to fulfill certain requirements –performance of necessary activities thereby achieving organizational goals. ฀ Organization structure is based on the principles of division of labour and efficiency inoperations. ฀ Organization concentrates more on the performance of jobs and not on the individualsperforming the jobs
  • 30.
    ฀ The authorityand responsibility assigned to each job have to be adhered to by the job holders. Based on the concept of authority and responsibility people are placed in hierarchyand their status is determined accordingly. ฀ Coordination among members and their control are well specified through processes,procedures, rules, etc. Informal Organization ฀ A network of interpersonal relationships that arise when people associate with one another. Characteristics ฀ Informal organization is a natural outcome at the workplace. It is not designed and planned.
  • 31.
    Disadvantages ฀ It isautocrative and dictorial in nature ฀ Line organization is not suitable for large scale enterprise where high level of specializationis required. ฀ Specialized variety of job is difficult to supervise by a supervisor ฀ Limited opportunities for the members to acquire experience of the other functions of theenterprise. ฀ The head of each department is afforded total control of his workforce and to this extent theeffectiveness of his department depends upon his capabilities. Line and Staff Organization ฀ In line and staff organization, the line executives are responsible for maintaining discipline,production and the staff division is responsible for research, planning, scheduling, establishing standards and recording of performance. ฀ The line managers are supplied with services of staff for the basic functions likeproduction, marketing, finance, accounting, personnel, R&D, etc. ฀ The line managers are decision takers, taking decisions with the help of staff experts. ฀ Staff experts can suggest their recommendations to the line managers ฀ The implementation is the responsibility of line managers. Hence, the staff experts are called as „thinkers‟ while the line managers are called as „doers‟.
  • 32.
    Advantages ฀ Operational efficiencyis increased ฀ Offer greater flexibility ฀ Wastage of raw material, machine hours are reduced considerably. ฀ Discipline and stability can be achieved ฀ Better chances of advancement for both line and staff managers ฀ Services of staff executives can be used to train line executives Disadvantages ฀ Possibility of misunderstanding between line and staff employees if functions are notdefined clearly ฀ Line executives depend too much on staff executives, in such conditions line executivemay lose their initiative and creativity ฀ Line manager‟s approach to the problem is practical while the staff management approachbeing experts in their field is theoretical. ฀ Informal organization is created on the basis of some similarity among its members. The bases of similarity may be age, gender, place of origin, caste, religion, personality characteristics, likings/disliking, etc. ฀ Membership in an informal organization is voluntary. A person may become member of several informal organizations at the same time. ฀ Behavior of members of the informal organization is coordinated and controlled by group norms and not by the norms of the formal organization. Comparison of Formal and Informal Organization Basis of Comparison Formal Organization Informal Organization Formation Planned and deliberate Spontaneous Purpose Well-set goals Social interaction Structure Well structured Unstructured Nature Official Unofficial Focus Positions Persons Leadership Superior Anyone Source of Power Delegated Given by group Guidelines for behaviour Rules and Procedures Group norms Sources of control Reward/Punishment Sanctions
  • 33.
    LINE AND STAFFAUTHORITY Authority and Power Power: The ability of individuals or groups to induce or influence the beliefs or actions of otherpersons or groups. Authority: The right in a position to exercise discretion in making decisions affecting others Line/Staff Concepts Line Authority: The relationship in which a superior exercises direct supervision over asubordinate. Scalar Principle: The clearer the line of authority, the clearer will be the responsibility fordecision making and the more effective will be organizational communication. Staff Relationship: The nature of staff relationship is advisory. The function of people in a pure staff capacity is to investigate, research and give advice to linemanagers. Functional Authority The right delegated to an individual or a department to control specified processes, practices,policies or other matters relating to activities undertaken by persons in other departments. Line Organization/Scaler Organization ฀ Line organization structure is based on scaler or hierarchical principles ie., relativeauthority and responsibility. ฀ Everyone has a well-defined manager and there is clear definition of the routes of authorityand communication ฀ The top-level management takes the major decisions and passes it to middle-levelsubordinates who implement them. ฀ The middle-level management identifies the job and assigns the responsibility to differentpeople according to their functions and ability. ฀ Easy to establish and operate ฀ It is economical and easy to understand ฀ No confusion as authority and responsibilities of each employee are clearly defined. ฀ Discipline and loyalty is ensured due to unified command ฀ Line organization promotes staff discipline more easily than other forms Disadvantages ฀ It is autocrative and dictorial in nature ฀ Line organization is not suitable for large scale enterprise where high level of specializationis required. ฀ Specialized variety of job is difficult to supervise by a supervisor ฀ Limited opportunities for the members to acquire experience of the other functions of theenterprise. ฀ The head of each department is afforded total control of his workforce and to this extent theeffectiveness of his department depends upon his capabilities. Line and Staff Organization ฀ In line and staff organization, the line executives are responsible for maintaining discipline,production and the staff division is responsible for research, planning, scheduling, establishing standards and recording of performance. ฀ The line managers are supplied with services of staff for the basic functions likeproduction, marketing, finance, accounting, personnel, R&D, etc. ฀ The line managers are decision takers, taking decisions with the help of staff experts. ฀ Staff experts can suggest their recommendations to the line managers ฀ The implementation is the responsibility of line managers. Hence, the staff experts are called as „thinkers‟ while the line managers are called as „doers‟.
  • 34.
    Advantages ฀ Operational efficiencyis increased ฀ Offer greater flexibility ฀ Wastage of raw material, machine hours are reduced considerably. ฀ Discipline and stability can be achieved ฀ Better chances of advancement for both line and staff managers ฀ Services of staff executives can be used to train line executives Disadvantages ฀ Possibility of misunderstanding between line and staff employees if functions are notdefined clearly ฀ Line executives depend too much on staff executives, in such conditions line executivemay lose their initiative and creativity ฀ Line manager‟s approach to the problem is practical while the staff management approachbeing experts in their field is theoretical. DEPARTMENTATION The basis by which jobs are grouped together. Forms (or) Types ฀ Departmentation by Enterprise Function ฀ Departmentation by Territory or Geography ฀ Departmentation by Customer Group ฀ Departmentation by Product ฀ Departmentation by Process Departmentation by Enterprise Function Grouping of activities according to the functions of an enterprise such as production, sales and financing. Advantages ฀ Efficiencies from putting together similar specialities and people with common skills,knowledge and orientations ฀ Coordination within functional area ฀ In-depth specialization Disadvantages ฀ Poor communication across functional areas ฀ Limited view of organizational goals
  • 35.
    Departmentaion by Geographyor Territory Grouping of activities by area or territory is common in enterprises operating over widegeographic areas. Groups jobs on the basis of territory or geography. Advantages ฀ More effective and efficient handling of specificregional issues that arise฀ ฀ Serve needs of unique geographic markets better฀ Disadvantages ฀ Duplication of functions ฀ Can feel isolated from other organizational areas Departmentation by Customer Group ฀ Grouping of activities that reflectsa primary interest in customers ฀ Groups jobs on the basis of common customers Disadvantages  Duplication of functions  Limited view of organizational goals.  Departmentation by product  Grouping of activities according to products or product lines, especially in multiline, largeenterprises  Groups jobs by product line.
  • 36.
    Advantages  Allows specializationin particular products and services  Managers can become experts in their industry  Closer to customers Disadvantages  Duplication of functions  Limited view of organizational goals Departmentation by Process  Group jobs on the basis of product or customer flow Advantage: More efficient flow of work activities Disadvantage: Can only be used with certain types of products. Matrix Departmentation The combining of functional and project or product patterns of departmentation in the sameorganization
  • 37.
    Advantages • Efficiently managelarge, complex tasks • Effectively carry out large, complex tasks Disadvantages • Requires high levels of coordination • Conflict between bosses • Requires high levels of management skills Centralization The degree to which decision making is concentrated at a single point in the organization Advantages of Centralization o Provide Power and prestige for manager o Promote uniformity of policies, practices and decisions o Minimal extensive controlling procedures and practices o Minimize duplication of function Disadvantages of Centralization • Neglected functions for mid. Level, and less motivated beside personnel. Decentralization The degree to which lower-level employees provide input or actually make decisions. Advantages of Decentralization • Raise morale and promote interpersonal relationships • Relieve from the daily administration • Bring decision-making close to action • Develop Second-line managers • Promote employee‟s enthusiasm and coordination • Facilitate actions by lower-level managers Disadvantages of Decentralization • Top-level administration may feel it would decrease their status • Managers may not permit full and maximum utilization of highly qualified personnel • Increased costs. It requires more managers and large staff • It may lead to overlapping and duplication of effort DELEGATION OF AUTHORITY A manager alone cannot perform all the tasks assigned to him. In order to meet the targets, the manager should delegate authority. Delegation of Authority means division of authority and powers downwards to the subordinate. Delegation is about entrusting someone else to do parts of your job. Delegation of authority can be defined as subdivision and sub-allocation of powers to the subordinates in order to achieve effective results. Delegation is the assignment of authority to another person (normally from a manager to a subordinate) to carry out specific activities. It is the process of distributing and entrusting work to another person. Delegation is one of the core concepts of management leadership.
  • 38.
    Delegation means devolutionof authority on subordinates to make them to perform the assigned duties or tasks. It is that part of the process of organization by which managers make it possible for others to share the work of accomplishing organizational objectives. Delegation consists of granting authority or the right to decision-making in certain defined areas and charging the subordinate with responsibility for carrying through the assigned tasks. Delegation refers to the assignment of work to others and confer them the requisite authority to accomplish the job assigned. Through delegation, a manager is able to divide the work and allocate it to the subordinates. This helps in reducing his work load so that he can work on important areas such as - planning, business analysis etc. Through delegating powers, the subordinates get a feeling of importance. Elements of Delegation 1. Authority - in context of a business organization, authority can be defined as the power and right of a person to use and allocate the resources efficiently, to take decisions and to give orders so as to achieve the organizational objectives. Authority must be well- defined. All people who have the authority should know what is the scope of their authority is and they shouldn‘t misutilize it. Authority is the right to give commands, orders and get the things done. The top level management has greatest authority. Authority always flows from top to bottom. It explains how a superior gets work done from his subordinate by clearly explaining what is expected of him and how he should go about it. Authority should be accompanied with an equal amount of responsibility. Delegating the authority to someone else doesn‘t imply escaping from accountability. Accountability still rest with the person having the utmost authority. According to the above diagram, the Managing Director has got the highest level of authority. This authority is shared by the Marketing Manager who shares his authority with the Sales Manager. From this chain of hierarchy, the official chain of communication becomes clear which is helpful in achievement of results and which provides stability to a concern. This scalar chain of command always flow from top to bottom and it defines the authority positions of different managers at different levels. 3. Responsibility - is the duty of the person to complete the task assigned to him. A person who is given the responsibility should ensure that he accomplishes the tasks assigned to him. If the tasks for which he was held responsible are not completed, then he should not give explanations or excuses. Responsibility without adequate authority leads to discontent and dissatisfaction among the person. Responsibility flows from bottom to top. The middle level and lower level management holds more responsibility. The person held responsible for a job is answerable for it. If he performs the tasks assigned as expected, he is bound for praises. While if he doesn‘t accomplish tasks assigned as expected, then also he is answerable for that.
  • 39.
    Staffing : The mainpurpose of staffing is to put right man on right job. According to Kootz & O‘Donell, ―Managerial function of staffing involves manning the organization structure through proper and effective selection, appraisal & development of personnel to fill the roles designed un the structure‖. Staffing involves: ฀ Manpower Planning (estimating man power in terms of searching, choose the person and giving the right place). ฀ Recruitment, Selection & Placement. ฀ Training & Development. ฀ Remuneration. ฀ Performance Appraisal. ฀ Promotions & Transfer. Manpower Planning Manpower Planning which is also called as Human Resource Planning consists of putting right number of people, right kind of people at the right place, right time, doing the right things for which they are suited for the achievement of goals of the organization. Recruitment Recruitment is the process of finding and attempting to attract job candidates who are capable of effectively filling job vacancies.Job descriptions and job specifications are important in the recruiting process because theyspecify the nature of the job and the qualifications required of job candidates. Selection Selecting a suitable candidate can be the biggest challenge for any organization. The success of an organization largely depends on its staff. Selection of the right candidate builds the foundation of any organization's success and helps in reducing turnovers. Training and Development Training and Development is a planned effort to facilitate employee learning of job- related behaviors in order to improve employee performance. Systems Approach: In the 1960, an approach to management appeared which tried to unify the prior schools of thought. This approach is commonly known as ‗Systems Approach‘. Its early contributors include Ludwing Von Bertalanffy, Lawrence J. Henderson, W.G. Scott, Deniel Katz, Robert L. Kahn, W. Buckley and J.D. Thompson. They viewed organization as an organic and open system, which is composed of interacting and interdependent parts, called subsystems. The system approach is to look upon management as a system or as ―an organised whole‖ made up of subsystems integrated into a unity or orderly totality. System
  • 40.
    approach is basedon the generalization that everything is inter-related and inter-dependent. A system is composed of related and dependent element which, when in interaction, forms a unitary whole. A system is simply an assemblage or combination of things or parts forming a complex whole. One of its most important characteristic is that it is composed of hierarchy of sub-systems. That is the parts forming the major systems and so on. For example, the world can be considered to be a system in which various national economies are sub-systems. In turn, each national economy is composed of its various industries, each industry is composed of firms; and of course, a firm can be considered a system composed of sub-systems such as production, marketing, finance, accounting and so on. The basic features of systems approach are as under: (i) A system consists of interacting elements. It is set of inter related and interdependent parts arranged in a manner that produces a unified whole. (ii) The various sub-systems should be studied in their inter- relationships rather, than in isolation from each other. (iii) An organisational system has a boundary that determines which parts are internal and which are external. (iv) A system does not exist in a vaccum. It receives information, material and energy from other systems as inputs. These inputs undergo a transformation process within the system and leave the system as output to other systems. (v) An organisation is a dynamic system as it is responsive to its environment. It is vulnerable to change in its environment. In the systems approach, attention is paid towards the overall effectiveness of the system rather than the effectiveness of the sub-systems. The interdependence of the sub-systems is taken into account. The idea of systems can be applied at an organizational level. In applying system concepts, organizations are taken into account and not only the objectives and performances of different departments (sub-systems). The systems approach is considered both general and specialized systems. The general systems approach to management is mainly concerned with formal organizations and the concepts are relating to technique of sociology, psychology and philosophy. The specific management system includes the analysis of organisational structure, information, planning and control mechanism and job design, etc. As discussed earlier, system approach has immense possibilities, ―A system view point may provide the impetus to unify management theory. By definitions, it could treat the various approaches such as the process of quantitative and behavioural ones as sub-systems in an overall theory of management. Thus, the systems approach may succeed where the process approach has failed to lead management out of the theory of jungle. ‖ Systems theory is useful to management because it aims at achieving the objectives and it views organization as an open system. Chester Barnard was the first person to utilise the systems approach in the field of management. He feels that the executive must steer through by keeping a balance between conflicting forces and events. A high order of responsible leadership makes the executives effective. H. Simon viewed organization as a complex system of decision making process. Evaluation of System Approach: The systems approach assists in studying the functions of complex organisations and has been utilised as the base for the new kinds of organisations like project management organisation. It is possible to bring out the inter-relations in various functions like planning, organising, directing and controlling. This approach has an edge over the other approaches because it is very close to reality. This approach is called abstract and vague. It cannot be easily applied to large and complex organisations. Moreover, it does not provide any tool and technique for managers.
  • 41.
    RECRUITMENT The process oflocating, identifying and attracting capable applicants Recruiting Sources The source used is influenced by three factors  The local labour market  The type or level of position  The size of the organization Recruitment Process The recruitment process consists of the following steps • Identification of vacancy • Preparation of job description and job specification • Selection of sources • Advertising the vacancy • Managing the response a) Identification of vacancy: The recruitment process begins with the human resource department receiving requisitions for recruitment from any department of the company. These contain:  Posts to be filled  Number of persons  Duties to be performed  Qualifications required b) Preparation of job description and job specification: A job description is a list of the general tasks, or functions, and responsibilities of a position. It may often include to whom the position reports, specifications such as the qualifications or skills needed by the person in the job, or a salary range. A job specification describes the knowledge, skills, education, experience, and abilities you believe are essential to performing a particular job c)Selection of sources: Every organization has the option of choosing the candidates for its recruitment processes from two kinds of sources: internal and external sources. The sources within the organization itself (like transfer of employees from one department to other, promotions) to fill a position are known as the internal sources of recruitment. Recruitment candidates from all the other sources (like outsourcing agencies etc.) are known as the external sources of the recruitment d)Advertising the vacancy: After choosing the appropriate sources, the vacancy is communicated to the candidates by means of a suitable media such as television, radio, newspaper, internet, direct mail etc. e)Managing the response: After receiving an adequate number of responses from job seekers, the sieving process of the resumes begins. This is a very essential step of the recruitment selection process, because selecting the correct resumes that match the job profile, is very important. Naturally, it has to be done rather competently by a person who understands all the responsibilities associated with the designation in its entirety. Candidates with the given skill set are then chosen and further called for interview. Also, the applications of candidates that do not match the present nature of the position but may be considered for future requirements are filed separately and preserved.
  • 42.
    SELECTION PROCESS Selecting asuitable candidate can be the biggest challenge for any organisation. The success of an organization largely depends on its staff. Selection of the right candidate builds thefoundation of any organization's success and helps in reducing turnovers. Though there is no fool proof selection procedure that will ensure low turnover and high profits,the following steps generally make up the selection process Initial Screening This is generally the starting point of any employee selection process. Initial Screening eliminates unqualified applicants and helps save time. Applications received from various sources are scrutinized and irrelevant ones are discarded. Preliminary Interview It is used to eliminate those candidates who do not meet the minimum eligibility criteria laid down by the organization. The skills, academic and family background, competencies andinterests of the candidate are examined during preliminary interview. Preliminary interviews are less formalized and planned than the final interviews. The candidates are given a brief up about the company and the job profile; and it is also examined how much the candidate knows aboutthe company. Preliminary interviews are also called screening interviews. Filling Application Form An candidate who passes the preliminary interview and is found to be eligible for the job is asked to fill in a formal application form. Such a form is designed in a way that it records the personal as well professional details of the candidates such as age, qualifications, reason for leaving previous job, experience, etc. Personal Interview Most employers believe that the personal interview is very important. It helps them in obtaining more information about the prospective employee. It also helps them in interacting with the candidate and
  • 43.
    judging his communicationabilities, his ease of handling pressure etc. In some Companies, the selection process comprises only of the Interview. References check Most application forms include a section that requires prospective candidates to put down names of a few references. References can be classified into - former employer, former customers, business references, reputable persons. Such references are contacted to get a feedback on the person in question including his behaviour, skills, conduct etc. Background Verification A background check is a review of a person's commercial, criminal and (occasionally) financial records. Employers often perform background checks on employers or candidates for employment to confirm information given in a job application, verify a person's identity, or ensure that the individual does not have a history of criminal activity, etc., that could be an issue upon employment. Final Interview Final interview is a process in which a potential employee is evaluated by an employer for prospective employment in their organization. During this process, the employer hopes to determine whether or not the applicant is suitable for the job. Different types of tests are conducted to evaluate the capabilities of an applicant, his behaviour, special qualities etc. Separate tests are conducted for various types of jobs ฀ Intelligence Tests ฀ Proficiency and Aptitude Tests ฀ Vocational Tests ฀ Personality Tests Physical Examination If all goes well, then at this stage, a physical examination is conducted to make sure that the candidate has sound health and does not suffer from any serious ailment. Job Offer A candidate who clears all the steps is finally considered right for a particular job and is presented with the job offer. An applicant can be dropped at any given stage if considered unfit for the job. Human Resource Development (HRD) Concept and Design Definitions of HRD Various scholars have defined the term ―Human Resource Development‖ based on their perspective. Important definitions of HRD are as follows: ฀ Leonard Nadler defined, ―Human Resource Development is a series of organized activities, conducted within a specialized time and designed to produce behavioral change.‖ ฀ As per M. M. Khan, ―Human Resource Development is the across of increasing knowledge, capabilities and positive work attitudes of all people working at all levels in a business undertaking.‖ The concept of the Human Resource Department HRD is an organizational context which is a process through which required help is provided to the employees of an organization in a continuous and well-planned manner to: ฀ Obtain or boost capabilities needed to perform several functionsattached to their present or desired future roles;
  • 44.
    ฀ Enhance theirgeneral abilities as individuals and discover as well as explore their inner potentials for organizational purposes and employee‘s development; and ฀ Develop a culture in an organization under which a strong relationship between the employee- employer is established and all the members work in a team and give professional well-being and motivation among employees. HRD is a whole process and not a blend of mechanisms and techniques. All the mechanisms and techniques such as performance appraisal, counseling, training, and organizational development interventions are used to facilitate and promote the process in a continuous manner. The process is limitless and there is a need to examine the mechanism periodically and to sort out the issues attached to hinder the process. The process of HRD facilitates the organization and allocates organizational resources for the motives as well as evaluating the HRD philosophy. Human Resource Development (HRD) Design : Designing a robust Human Resource Development (HRD) system requires a strategic approach that aligns with organizational objectives, caters to individual needs, and fosters a culture of continuous learning. Here‘s a step-by-step guide to crafting an effective HRD system blueprint. Step 1: Assess Organizational Needs Start by conducting a thorough needs assessment. Identify skill gaps, performance deficiencies, and areas where employee development can directly contribute to achieving organizational goals. Step 2: Define Objectives and Goals Clearly outline the objectives and goals of your HRD system. Are you aiming to enhance specific skills, foster leadership, or improve overall performance? Define these goals to guide your design process. Step 3: Tailor Learning Paths Design customized learning paths that address the identified needs. Consider various formats – workshops, e-learning, mentoring, etc. – and ensure they align with different learning styles and preferences. Step 4: Incorporate Technology Leverage technology to enhance learning experiences. Consider digital platforms, e-learning tools, and data analytics to personalize development paths and track progress effectively. Step 5: Develop Performance Management Strategies Integrate performance management strategies that tie individual growth to organizational objectives. Set clear goals, provide regular feedback, and establish metrics to evaluate progress. Step 6: Promote Leadership Development Incorporate a strong leadership development component. Identify high-potential employees, provide leadership training, and create opportunities for mentorship and practical leadership experience.
  • 45.
    Step 7: PrioritizeCareer Development Design career development paths that empower employees to envision their growth within the organization. Include opportunities for skill enhancement, lateral movement, and upward mobility. Step 8: Implement Diversity and Inclusion Initiatives Ensure that your HRD system embraces diversity and inclusion. Design learning paths and programs that resonate with employees from diverse backgrounds and perspectives. Step 9: Create Measurement and Evaluation Metrics Define measurement and evaluation metrics to assess the effectiveness of your HRD system. Regularly gather feedback, track progress, and make necessary adjustments based on outcomes. Step 10: Foster a Learning Culture Embed a learning culture into your HRD system. Encourage employees to proactively seek growth opportunities, share knowledge, and collaborate for mutual development.
  • 46.
    UNIT – IIIFUNCTIONS OF MANAGEMENT - II 9 Directing (Leading): Leadership Traits; Style; Morale; Managerial Grids (Blake-Mounton, Reddin) – Communication: Purpose; Model; Barriers – Controlling: Process; Types; Levels; Guidelines; Audit (External, Internal, Merits); Preventive Control – Decision Making: Elements; Characteristics; Nature; Process; Classifications Directing (Leading): Directing is said to be a process in which the managers instruct, guide and oversee the performance of the workers to achieve predetermined goals. Directing is said to be the heart of management process. Planning, organizing, staffing have got no importance if direction function does not take place. According to Human, “Directing consists of process or technique by which instruction can be issued and operations can be carried out as originally planned” Therefore, Directing is the function of guiding, inspiring, overseeing and instructing people towards accomplishment of organizational goals. PRINCIPLES OF EFFECTIVE DIRECTION Effective direction leads to greater contribution of subordinates to organization goals. The directing function of management can be effective only when certain well accepted principles are followed. The following are the basic principles of effective direction: I) Harmony of Objectives: It is an essential function of management to make the people realize the objectives of the group and direct their efforts towards the achievement of their objectives. The interest of the group must always prevail over individual interest. Effective direction fosters the sense of belongingness among all subordinates in such a way that they always identify themselves with the enterprise and tune their goals with those of the enterprise. II)Unity of Command: This principle states that one person should receive orders from only one superior, in other words, one person should be accountable to only one boss. If one person is under more than one boss then there can be contradictory orders and the subordinate fails to understand whose order to be followed. In the absence of unity of command, the authority is undermined, discipline weakened, loyalty divided and confusion and delays are caused. III) Unity of Direction: To have effective direction, there should be one head and one plan for a group of activities having the same objectives. In other words, each group of activities having the same objectives must have one plan of action and must be under the control of one supervisor. IV) Direct Supervision: The directing function of management becomes more effective if the superior maintains direct personal contact with his subordinates.Direct supervision infuses a sense of participation among subordinates that encourages them to put in their best to achieve the organizational goals and develop all effective system of feed-back. V)Participative or Democratic Management: The function of directing becomes more effective if participative or democratic style of management is followed. According to this principle, the superior must act .according to the mutual consent and the decisions reached after consulting the subordinates. It provides necessary motivation to the workers by ensuring their participation and acceptance of work methods. VI) Effective Communication: To have effective direction, it is very essential to have an effective communication system which provides for free flow of ideas, information, suggestions, complaints and grievances.
  • 47.
    VII) Follow-Up: Inorder to make direction effective, a manager has to continuously direct, guide, motivation and lead his subordinates. A manager has not only to issue order and instructions but also to follow-up the performance so as to ensure that work is being performed as desired. He should intelligently oversee his subordinates at work and correct them whenever they go wrong. Leadership Traits :
  • 48.
    Leadership Styles 1. TheManager makes decision and announces it: It is an extreme form of autocratic leadership whereby decisions are made by the boss who identifies the problem, considers alternative solutions, selects one of them and then reports his decision to his subordinates for implementation. 2. The Manager sells his decisions: It is a slightly improved form of leadership wherein the manager takes the additional step of persuading the subordinates to accept his decision. 3. The Manager presents his ideas and invites questions: There is greater involvement of the employees in this pattern. The boss arrives at the decision, but provides a full opportunity to his subordinates to get fuller explanation of his thinking and intentions. 4. The manager presents a tentative decision subject to change: Herein the decision is tentatively taken by the manager but he is amenable to change and influence from the employees. 5. The manager may present the problem, get the suggestions and then take is own decision: Herein sufficient opportunity is given to the employees to make suggestions that are coolly considered by the Manager. 6. The Manager may define the limits and request the group to make a decision: A manager of this style of management lets the group have the right to make the decision. The subordinates are able to take the decision to the limits defined by the manager. 7. The Manager may permit full involvement of the subordinates in the decision-making process: It is often designated as 'Democratic' leadership. Leadership style refers to the behaviour pattern adopted by a leader to influence the behaviour of his subordinates for attaining the organizational goals. As different leadership styles have their own merits and demerits, it is difficult to prefer one leadership styles to another. The selection of a leadership style will depend on the consideration of a number of factors. Tannenbaum and Schmidt have pointed out the important factors that affect the choice of a style of leadership. They are:- Forces in the manager i.e., the manager's personality, experience and value system. Forces in the subordinates i.e., the subordinates readiness for making decisions, knowledge, interest, need for independence etc. Forces in the situation i.e., complexity of the problem, pressure of time etc.
  • 51.
    COMMUNICATION Communication is theexchange of messages between people for the purpose of achieving common meanings. Unless common meanings are shared, managers find it extremely difficult to influence others. Whenever group of people interact, communication takes place. Communication is the exchange of information using a shared set of symbols. It is the process that links group members and enables them to coordinate their activities. Therefore, when managers foster effective communication, they strengthen the connections between employees and build cooperation. Communication also functions to build and reinforce interdependence between various parts of the organization. As a linking mechanism among the different organizational subsystems, communication is a central feature of the structure of groups and organizations. It helps to coordinate tasks and activities within and between organizations.
  • 52.
    DEFINITION According to Koontzand O'Donnell, "Communication, is an intercourse by words, letters symbols or messages, and is a way that the organization members shares meaning and understanding with another". THE COMMUNICATION PROCESS Communication is important in building and sustaining human relationships at work. Communication can be thought of as a process or flow. Before communication can take place, a purpose, expressed as a message to be conveyed is needed. It passes between the sender and the receiver. The result is transference of meaning from one person to another. The figure below depicts the communication process. This model is made up of seven parts: Source, (2) Encoding, (3) Message, (4) Channel, (5) Decoding, (6) Receiver, and (7) Feedback. a) Source: The source initiates a message. This is the origin of the communication and can be an individual, group or inanimate object. The effectiveness of a communication depends to a considerable degree on the characteristics of the source. The person who initiates the communication process is known as sender, source or communicator. In an organization, the sender will be a person who has a need or desire to send a message to others. The sender has some information which he wants to communicate to some other person to achieve some purpose. By initiating the message, the sender attempts to achieve understanding and change in the behaviour of the receiver. b) Encoding: Once the source has decided what message to communicate, the content of the message must be put in a form the receiver can understand. As the background for encoding information, the sender uses his or her own frame of reference. It includes the individual's view of the organization or situation as a function of personal education, interpersonal relationships, attitudes, knowledge and experience. Three conditions are necessary for successful encoding the message. Skill: Successful communicating depends on the skill you posses. Without the requisite skills, the message of the communicator will not reach the requisite skills; the message of the communicator will not reach the receiver in the desired form. One's total communicative success includes speaking, reading, listening and reasoning skills. Attitudes: Our attitudes influence our behaviour. We hold predisposed ideas on a number of topics and our communications are affected by these attitudes.
  • 53.
    Knowledge: We cannotcommunicate what we don't know. The amount of knowledge the source holds about his or her subject will affect the message he or she seeks to transfer. The Message: The message is the actual physical product from the source encoding. The message contains the thoughts and feelings that the communicator intends to evoke in the receiver. The message has two primary components:- The Content: The thought or conceptual component of the message is contained in thewords, ideas, symbols and concepts chosen to relay the message. The Affect: The feeling or emotional component of the message is contained in the intensity, force, demeanour (conduct or behaviour), and sometimes the gestures of the communicator. c)The Channel: The actual means by which the message is transmitted to the receiver (Visual, auditory, written or some combination of these three) is called the channel. The channel is the medium through which message travels. The channel is the observable carrier of the message. Communication in which the sender's voice is used as the channel is called oral communication. When the channel involves written language, the sender is using written communication. The sender's choice of a channel conveys additional information beyond that contained in themessage itself. For example, documenting an employee's poor performance in writing conveys that the manager has taken the problem seriously. d) Decoding: Decoding means interpreting what the message means. The extent to which the decoding by the receiver depends heavily on the individual characteristics of the sender and receiver. The greater the similarity in the background or status factors of the communicators, the greater the probability that a messagezwill be perceived accurately. Most messages can be decoded in more than one way. Receiving and decoding a message are a type of perception. The decoding process is therefore subject to the perception biases. e) The Receiver: The receiver is the object to whom the message is directed. Receiving the message means one or more of the receiver's senses register the message - for example, hearing the sound of a supplier's voice over the telephone or seeing the boss give a thumbs-up signal. Like the sender, the receiver is subject to many influences that can affect the understanding of the message. Most important, the receiver will perceive a communication in a manner that is consistent with previous experiences. Communications that are not consistent with expectations is likely to be rejected. h) Feedback: The final link in the communication process is a feedback loop. Feedback, in effect, is communication travelling in the opposite direction. If the sender pays attention to the feedback and interprets it accurately, the feedback can help the sender learn whether the original communication was decoded accurately. Without feedback, one-way communication occurs between managers and their employees. Faced with differences in their power, lack of time, and a desire to save face by not passing on negative information, employees may be discouraged from providing the necessary feedback to their managers.
  • 54.
    BARRIERS TO EFFECTIVECOMMUNICATION Barriers to communication are factors that block or significantly distort successful communication. Effective managerial communication skills helps overcome some, but not all, barriers to communication in organizations. The more prominent barriers to effective communication which every manager should be aware of is given below: a) Filtering: Filtering refers to a sender manipulating information so it will be seen more favourably by the receiver. The major determinant of filtering is the number of levels in an organization's structure. The more vertical levels in the organization's hierarchy, the more opportunities for filtering. Sometimes the information is filtered by the sender himself. If the sender is hiding some meaning and disclosing in such a fashion as appealing to the receiver, then he is "filtering" the message deliberately. A manager in the process of altering communication in his favour is attempting to filter the information. b) Selective Perception Selective perception means seeing what one wants to see. The receiver, in the communication process, generally resorts to selective perception i.e., he selectively perceives the message based on the organizational requirements, the needs and characteristics, background of the employees etc. Perceptual distortion is one of the distressing barriers to the effective communication. People interpret what they see and call it a reality. In our regular activities, we tend to see those things that please us and to reject or ignore unpleasant things. Selective perception allows us to keep out dissonance (the existence of conflicting elements in our perceptual set) at a tolerable level. If we encounter something that does not fit out current image of reality, we structure the situation to minimize our dissonance. Thus, we manage to overlook many stimuli from the environment that do not fit into out current perception of the world. This process has significant implications for managerial activities. For example, the employment interviewer who expects a female job applicant to put her family ahead of her career is likely to see that in female applicants, regardless of whether the applicants feel that way or not. c) Emotions: How the receiver feels at the time of receipt of information influences effectively how he interprets the information. For example, if the receiver feels that the communicator is in a jovial mood, he interprets that the information being sent by the communicator to be good and interesting. Extreme emotions and jubilation or depression are quite likely to hinder the effectiveness of communication. A person's ability to encode a message can become impaired when the person is feeling strong emotions. For example, when you are angry, it is harder to consider the other person's viewpoint and to choose words carefully. The angrier you are, the harder this task becomes. Extreme emotions – such as jubilation or depression - are most likely to hinder effective communication. In such instances, we are most prone to disregard our rational and objective thinking processes and substitute emotional judgments. d) Language: Communicated message must be understandable to the receiver. Words mean different things to different people. Language reflects not only the personality of the individual but also the culture of society in which the individual is living. In organizations, people from different regions, different backgrounds, and speak different languages. People will have different academic backgrounds, different intellectual facilities, and hence the jargon they use varies. Often, communication gap arises because the language the sender is using may beincomprehensible, vague and indigestible. Language is a central element in communication. It may pose a barrier if its use obscures meaning and distorts intent. Words mean different things
  • 55.
    to different people.Age, education and cultural background are three of the more obvious variables that influence the language a person uses and the definitions he or she gives to words. Therefore, use simple, direct, declarative language.Speak in brief sentences and use terms or words you have heard from you audience. As much as possible, speak in the language of the listener. Do not use jargon or technical language except with those who clearly understand it. e) Stereotyping: Stereotyping is the application of selective perception. When we have preconceived ideas about other people and refuse to discriminate between individual behaviours, we are applying selective perception to our relationship with other people. Stereotyping is a barrier to communications because those who stereotype others use selective perception in their communication and tend to hear only those things that confirm their stereotyped images. Consequently, stereotypes become more deeply ingrained as we find more "evidence" to confirm our original opinion. Stereotyping has a convenience function in our interpersonal relations. Since people are all different, ideally we should react and interact with each person differently. To do this, however, requires considerable psychological effort. It is much easier to categorize (stereotype) people so that we can interact with them as members of a particular category. Since the number of categories is small, we end up treating many people the same even though they are quite different. Our communications, then, may be directed at an individual as a member of a category at the sacrifice of the more effective communication on a personal level. f) Status Difference: The organizational hierarchy pose another barrier to communication within organization, especially when the communication is between employee and manager. This is so because the employee is dependent on the manager as the primary link to the organization and hence more likely to distort upward communication than either horizontal or downward communication. Effective supervisory skills make the supervisor more approachable and help reduce the risk of problems related to status differences. In addition, when employees feel secure, they are more likely to be straightforward in upward communication. g) Use of Conflicting Signals: A sender is using conflicting signals when he or she sends inconsistent messages. A vertical message might conflict with a nonverbal one. For example, if a manager says to his employees, "If you have a problem, just come to me. My door is always open", but he looks annoyed whenever an employee knocks on his door". Then we say the manager is sending conflicting messages. When signals conflict, the receivers of the message have to decide which, if any, to believe. h) Reluctance to Communicate: For a variety of reasons, managers are sometimes reluctant to transmit messages. The reasons could be:- They may doubt their ability to do so. They may dislike or be weary of writing or talking to others. They may hesitate to deliver bad news because they do not want to face a negative reaction. When someone gives in to these feelings, they become a barrier to effective communications.
  • 56.
    i) Projection: Projection hastwo meanings. Projecting one's own motives into others behavior. For example, managers who are motivated by money may assume their subordinates are also motivated by it. If the subordinate's prime motive is something other than money, serious problems may arise.The use of defense mechanism to avoid placing blame on oneself. As a defense mechanism, the projection phenomenon operates to protect the ego from unpleasant communications. Frequently, individuals who have a particular fault will see the same fault in others, making their own fault seem not so serious. j) The "Halo Effect": The term "halo effect" refers to the process of forming opinions based on one element from a group of elements and generalizing that perception to all other elements. For example, in an organization, a good attendance record may cause positive judgments about productivity, attitude, or quality of work. In performance evaluation system, the halo effect refers to the practice of singling out one trait of an employee (either good or bad) and using this as a basis for judgments of the total employee CONTROLLING : DEFINITION Control is the process through which managers assure that actual activities conform to planned activities. In the words of Koontz and O'Donnell - "Managerial control implies measurement of accomplishment against the standard and the correction of deviations to assure attainment of objectives according to plans. Examples for the standards Profitability standards: In general, these standards indicate how much the company would like to make as profit over a given time period- that is, its return on investment. Market position standards: These standards indicate the share of total sales in a particular market that the company would like to have relative to its competitors. Productivity standards: How much that various segments of the organization should produce is the focus of these standards. Product leadership standards: These indicate what must be done to attain such a position.
  • 57.
    Employee attitude standards:These standards indicate what types of attitudes the company managers should strive to indicate in the company’s employees. Social responsibility standards: Such as making contribution to the society.Standards reflecting the relative balance between short and long range goals. Measurement of Performance: The measurement of performance against standards should be on a forward looking basis so that deviations may be detected in advance by appropriate actions. The degree of difficulty in measuring various types of organizational performance, of course, is determined primarily by the activity being measured. For example, it is far more difficult to measure the performance of highway maintenance worker than to measure the performance of a student enrolled in a college level management course. c) Comparing Measured Performance to Stated Standards: When managers have taken a measure of organizational performance, their next step in controlling is to compare this measure against some standard. A standard is the level of activity established to serve as a model for evaluating organizational performance. The performance evaluated can be for the organization as a whole or for some individuals working within the organization. In essence, standards are the yardsticks that determine whether organizational performance is adequate or inadequate d) Taking Corrective Actions: After actual performance has been measured compared with established performance standards, the next step in the controlling process is to take corrective action, if necessary. Corrective action is managerial activity aimed at bringing organizational performance up to the level of performance standards. In other words, corrective action focuses on correcting organizational mistakes that hinder organizational performance. Before taking any corrective action, however, managers should make sure that the standards they are using were properly established and that their measurements of organizational performance are valid and reliable.At first glance, it seems a fairly simple proposition that managers should take corrective action to eliminate problems - the factors within an organization that are barriers to organizational goal attainment. In practice, however, it is often difficult to pinpoint the problem causing some undesirable organizational effect TYPES OF CONTROL SYSTEMS The control systems can be classified into three types namely feed forward, concurrent and feedback control systems.
  • 58.
    Feed forward controls:They are preventive controls that try to anticipate problems and take corrective action before they occur. Example – a team leader checks the quality, completeness and reliability of their tools prior to going to the site. Concurrent controls: They (sometimes called screening controls) occur while an activity is taking place. Example – the team leader checks the quality or performance of his members while performing. Feedback controls: They measure activities that have already been completed. Thus corrections can take place after performance is over. Example – feedback from facilities engineers regarding the completed job. Guidelines for Control : The requirements for effective control are a) Control should be tailored to plans and positions This means that, all control techniques and systems should reflect the plans they are designed to follow. This is because every plan and every kind and phase of an operation has its unique characteristics. b) Control must be tailored to individual managers and their responsibilities This means that controls must be tailored to the personality of individual managers. This because control systems and inforation are intended to help individual managers carry out their function of control. If they are not of a type that a manager can or will understand, they will not be useful. c) Control should point up exceptions as critical points This is because by concentration on exceptions from planned performance, controls based on the time honored exception principle allow managers to detect those places where their attention is required and should be given. However, it is not enough to look at exceptions, because some deviations from standards have little meaning and others have a great deal of significance. d) Control should be objective This is because when controls are subjective, a manager’s personality may influence judgments of performance inaccuracy. Objective standards can be quantitative such as costs or man hours per unit or date of job completion. They can also be qualitative in the case of training programs that have specific characteristics or are designed to accomplish a specific kind of upgrading of the quality of personnel. e) Control should be flexible This means that controls should remain workable in the case of changed plans, unforeseen circumstances, or outsight failures. Much flexibility in control can be provided by having alternative plans for various probable situations. f) Control should be economical This means that control must worth their cost. Although this requirement is simple, its practice is often complex. This is because a manager may find it difficult to know what a particular system is worth, or to know what it costs. g) Control should lead to corrective actions This is because a control system will be of little benefit if it does not lead to corrective action, control is justified only if the indicated or experienced deviations from plans are corrected through appropriate planning, organizing, directing, and leading.
  • 59.
    PREVENTIVE CONTROL Preventive controlare based on the philosophy of preventing undesirable deviations from occuring by developing and maintaining a highly qualified managerial staff. Assumption : ndamentals can be evaluated. Advantages : Thus control is a very important process through which managers ensure that actual activities confirm to planned activities. It is mainly used to measure progress, to uncover deviations and to indicate corrective action. DECISION MAKING The word decision has been derived from the Latin word "decidere" which means "cutting off". Thus, decision involves cutting off of alternatives between those that are desirable and those that are not desirable. In the words of George R. Terry, "Decision-making is the selection based on some criteria from two or more possible alternatives". Characteristics of Decision Making Decision making implies that there are various alternatives and the most desirable alternative is chosen to solve the problem or to arrive at expected results. The decision-maker has freedom to choose an alternative. Decision-making may not be completely rational but may be judgemental and emotional. Decision-making is goal-oriented. Decision-making is a mental or intellectual process because the final decision is made by the decision- maker. A decision may be expressed in words or may be implied from behaviour. Choosing from among the alternative courses of operation implies uncertainty about the final result of each possible course of operation. Decision making is rational. It is taken only after a thorough analysis and reasoning and weighing the consequences of the various alternatives.
  • 60.
    ELEMENTS OF DECISIONMAKING : I came across a decision-making process by Dr Pam Brown which presents 7 practical elements to making a good decision quickly and confidently. The 7 Elements are: 1. Outline the goal and outcome 2. Gather data to support the decision-making process 3. Develop alternatives 4. List the pros and cons of each alternative 5. Make the decision 6. Immediately take action 7. Learn from and reflect on the decision making Let’s explore each of these a little Outline the goal and outcome Don’t try and make decisions on the hoof. It is important to outline what you are trying to achieve from this decision and before making any decision we need to outline what we are trying to achieve and what the likely outcome will be. Get clear on exactly what it is you are trying to achieve and what is the most likely outcome of this decision. The more clarity you can add to your goal and outcome at this point the better your choice will be at the end of the process. Gather data to support the decision-making process To make a good decision, you must gather data which allows you to make a good decision. Gathering data preferably from more than one information source will let you to make good choices and to speed up the decision-making process. We all now have the most fantastic tool available for gathering information, the internet. Be careful though when gathering data that you don’t get paralysed by analysis. Gather relevant data and collect enough data to aid the decision-making process. Develop Alternatives Making good decisions seldom happens if you only consider one option. Utilising your goal, outcome and the data you have gathered, list the alternatives that spring to mind immediately. Explore these a little further and determine whether any other options are appropriate. When you have a list of possible alternatives, then narrow your decision-making process down to a manageable number of alternatives. There is no definitive number of alternatives that you should consider but narrowing your search to 3 good options will allow you to get to a decision quicker and with more confidence.
  • 61.
    List the Prosand Cons of Each Now that you have a manageable number of alternatives you can start to list the pros and cons of each. A simple way to do this is to take a sheet of paper divide it down the middle, one sheet for each option and list as many pros and cons as you can think of for each. Doing so will assist you in the next part of the process as you can lay each piece of paper beside the other and quickly review the pros and cons of each. Make the Decision Now you have the alternatives and a list of the pros and cons you need to evaluate each and decide which option most closely meets your goal and desired outcome. It is possible that each alternative goes some way to achieving your goal and desired outcome and this is where your list of pros and cons comes into its own as it will allow you to objectively make an informed decision knowing not only the good points of the decision but also the likely downsides. Your tolerance to risk will also play a factor in this part of the process. If you have a high tolerance for risk, you may select an option which has the biggest pro but also the most significant risk. An alternative with high risk may still be the best alternative for you. This part of the process allows you to make an informed decision. Immediately Take Action Once you have decided which alternative best meets your goal and desired outcome, then you need to take action immediately to implement your decision. Taking action immediately helps you to avoid procrastination and from going through a constant process of analysis of the options or going back to earlier points of the process of gathering more information. Taking action is an essential part of the decision-making process and when action is taken the decision is reinforced in your mind and helps remove doubt. Learn and Reflect on the Decision Making Not every decision you make will turn out exactly as you thought it would. There is risk in making decisions, but there is also learning. Evaluate the outcome of each decision against your original goal and review what worked well, what didn’t work so well and let this feedback assist you in making future decisions. The more decisions you make, the more feedback and learning you have to make even better decisions in future. If you struggle to make decisions utilising the process above will assist you in making good decisions with confidence.
  • 62.
    DECISION MAKING PROCESSOR ELEMENTS OF DECISION MAKING The decision making process is presented in the figure below: Specific Objective: The need for decision making arises in order to achieve certain specific objectives. The starting point in any analysis of decision making involves the determination of whether a decision needs to be made. Problem Identification: A problem is a felt need, a question which needs a solution. In the words of Joseph L Massie "A good decision is dependent upon the recognition of the right problem". The objective of problem identification is that if the problem is precisely and specifically identifies, it will provide a clue in finding a possible solution. A problem can be identified clearly, if managers go through diagnosis and analysis of the problem. Diagnosis: Diagnosis is the process of identifying a problem from its signs and symptoms. A symptom is a condition or set of conditions that indicates the existence of a problem. Diagnosing the real problem implies knowing the gap between what is and what ought to be, identifying the reasons for the gap and understanding the problem in relation to higher objectives of the organization. Analysis: Diagnosis gives rise to analysis. Analysis of a problem requires: Who would make decision? What information would be needed? From where the information is available? Search for Alternatives: A problem can be solved in several ways; however, all the ways cannot be equally satisfying. Therefore, the decision maker must try to find out the various alternatives available in order to get the most satisfactory result of a decision. A decision maker can use several sources for identifying alternatives: His own past experiences Practices followed by others and Using creative techniques. Evaluation of Alternatives: After the various alternatives are identified, the next step is to evaluate them and select the one that will meet the choice criteria. /the decision maker must check proposed alternatives against limits, and if an alternative does not meet them, he can discard it. Having narrowed down the alternatives which require serious consideration, the decision maker will go for evaluating how each alternative may contribute towards the objective supposed to be achieved by implementing the decision.
  • 63.
    Choice of Alternative: Theevaluation of various alternatives presents a clear picture as to how each one of them contribute to the objectives under question. A comparison is made among the likely outcomes of various alternatives and the best one is chosen. Action: Once the alternative is selected, it is put into action. The actual process of decision making ends with the choice of an alternative through which the objectives can be achieved. Results: When the decision is put into action, it brings certain results. These results must correspond with objectives, the starting point of decision process, if good decision has been made and implemented properly. Thus, results provide indication whether decision making and its implementation is proper. Characteristics of Effective Decisions An effective decision is one which should contain three aspects. These aspects are given below: Action Orientation: controllable aspects implementation. Decisions are action-oriented and are directed towards relevant and of the environment. Decisions should ultimately find their utility in Goal Direction: Decision making should be goal-directed to enable the organization to meet its objectives. Effective in Implementation: Decision making should take into account all the possible factors not only in terms of external context but also in internal context so that a decision can be implemented properly. NATURE OF DECISION MAKING The conditions for making decisions can be divided into three types. Namely a) Certainty, b) Uncertainty and c) Risk Virtually all decisions are made in an environment to at least some uncertainty However; the degree will vary from relative certainty to great uncertainty. There are certain risks involved in making decisions. a) Certainty: In a situation involving certainty, people are reasonably sure about what will happen when they make a decision. The information is available and is considered to be reliable, and the cause and effect relationships are known. b) Uncertainty In a situation of uncertainty, on the other hand, people have only a meager database, they do not know whether or not the data are reliable, and they are very unsure about whether or not the situation may change. Moreover, they cannot evaluate the interactions of the different variables. For example, a corporation that decides to expand its Operation to an unfamiliar country may know little about the country, culture, laws, economic environment, and politics. The political situation may be volatile that even experts cannot predict a possible change in government.
  • 64.
    c) Risk In asituation with risks, factual information may exist, but it may be incomplete. To improve decision making One may estimate the objective probability of an outcome by using, for example, mathematical models On the other hand, subjective probability, based on judgment and experience may be used All intelligent decision makers dealing with uncertainty like to know the degree and nature of the risk they are taking in choosing a course of action. One of the deficiencies in using the traditional approaches of operations research for problem solving is that many of the data used in model are merely estimates and others are based on probabilities. The ordinary practice is to have staff specialists conic up with best estimates. Virtually every decision is based on the interaction of a number of important variables, many of which has e an element of uncertainty but, perhaps, a fairly high degree of probability. Thus, the wisdom of launching a new product might depend on a number of critical variables: the cost of introducing the product, the cost of producing it, the capital investment that will he required, the price that can be set for the product, the size of the potential market, and the share of the total market that it will represent CLASSIFICATIONS OF DECISIONS Programmed and Non-Programmed Decisions: Herbert Simon has grouped organizational decisions into two categories based on the procedure followed. They are: Programmed decisions: Programmed decisions are routine and repetitive and are made within the framework of organizational policies and rules. These policies and rules are established well in advance to solve recurring problems in the organization. Programmed decisions have short-run impact. They are, generally, taken at the lower level of management. Non-Programmed Decisions: Non-programmed decisions are decisions taken to meet non-repetitive problems. Non-programmed decisions are relevant for solving unique/ unusual problems in which various alternatives cannot be decided in advance. A common feature of non-programmed decisions is that they are novel and non- recurring and therefore, readymade solutions are not available. Since these decisions are of high importance and have long-term consequences, they are made by top level management. Strategic and Tactical Decisions: Organizational decisions may also be classified as strategic or tactical. Strategic Decisions: Basic decisions or strategic decisions are decisions which are of crucial importance. Strategic decisions a major choice of actions concerning allocation of resources and contribution to the achievement of organizational objectives. Decisions like plant location, product diversification, entering into new markets, selection of channels of distribution, capital expenditure etc are examples of basic or strategic decisions.
  • 65.
    Tactical Decisions: Routine decisionsor tactical decisions are decisions which are routine and repetitive. They are derived out of strategic decisions. The various features of a tactical decision are as follows: Tactical decision relates to day-to-day operation of the organization and has to be taken very frequently. Tactical decision is mostly a programmed one. Therefore, the decision can be made within the context of these variables.The outcome of tactical decision is of short-term nature and affects a narrow part of the organization.The authority for making tactical decisions can be delegated to lower level managers because: first, the impact of tactical decision is narrow and of short term nature and Second, by delegating authority for such decisions to lower-level managers, higher level managers are free to devote more time on strategic decisions Management Audit A management audit is an independent and systematic analysis and evaluation of a company’s overall activities and performances. It is a valuable tool used to determine the efficiency, functions, accomplishments and achievements of the company. The primary objective of the management audit is to identify errors in management activities and suggest possible changes. It guides the management to manage the operations most effectively and productively. In other words, a management audit is involved in the evaluation and assessment of the management system and information in the various departments or the entire company. Its reach has been extended to review system and subsystem, authorisation, procedure, accountability, quality of data generated, quality of personnel, etc., The Scope of Management Audit: A management audit is vast as compared to a financial review because it not only evaluates finance but also other features of a company. It has an efficiency for assessing management from top to lower level. Few main scopes of management audit are described below:  Calculate the Effectiveness of the Management- It audits the entire level of management of a company.  Execution of Principals and Policies- It reviews whether the policies and the principles deployed by the company is effective and successful.  Locate and Examine the Differences-It helps to identify the differences in productivity and if the pattern set by the company is not fulfilled.  Suggest for Improvement- The management audit suggests improvement in areas, e.g. purchase, sale, finance, administration, human resources, etc.,
  • 67.
    Advantages of internalaudit :  Continuous evaluation of processes and operations  Minimizing risk of fraud and errors Advantages of external audit :  Impartial analysis of financial statements  Unbiased picture of the company's financial position  Quicker identification of problem areas  Validation or invalidation of internal audit concerns Advantages of external audit over internal audit :  External auditors are more impartial.  They have no other job outside of conducting the audit.  They provide quicker identification of possible problem areas.  They validate or invalidate concerns raised during internal audit.  External auditors can leverage internal audit's understanding of the organization's risk and control environment.
  • 68.
    UNIT – IVORGANIZATION THEORY 9 Organizational Conflict: Positive Aspects; Individual; Role; Interpersonal; Intra Group; Inter Group; Conflict Management – Maslow’s hierarchy of needs theory; Herzberg’s motivation, hygiene theory; McClelland’s three needs motivation theory; Vroom’s valence-expectancy theory – Change Management: Concept of Change; Lewin’s Process of Change Model; Sources of Resistance; Overcoming Resistance; Guidelines to managing Conflict Positive Aspects : A positive conflict is a conflict that resolves productively and constructively. Positive conflict management can help companies navigate workplace conflict. When there is a disagreement, instead of one side winning and another losing, both sides can come to a greater understanding with a net positive outcome for the organization. Positive conflicts can prompt employees to think differently about issues, ultimately improving workflow and workplace practices. Benefits of Positive Conflict When a company implements a positive conflict resolution approach, it can expect to see improvement in the overall business performance and the satisfaction of team members. Consider the following workplace benefits: 1. Efficiency: It can require a lot of effort to turn a negative conflict positive, but the overall effect of positive conflict management can save time and energy in the long run. Positive conflict resolution seeks real, lasting solutions to conflict, rather than letting resentments or misunderstandings persist. 2. Trust: When employees know their voices are heard, they are more likely to feel more secure about their role in the organization. This can, in turn, foster more creative thinking, productive brainstorming, clear communication, and a greater sense of well-being in the workplace.
  • 69.
    3. Emotional intelligence:Positive conflict management can help all team members develop emotional intelligence. This can have an overall effect on the company culture, attracting and retaining top talent. 4. Alignment: When a win-win approach is taken to workplace conflict, the company offers better opportunities for widespread alignment over common goals and plans for implementation. The more common ground there is in a work environment, the better its chances are of success in the marketplace. Individual : Attitudes: Differences in attitudes among employees can lead to conflict. For example, if one person strongly believes in a particular approach while another disagrees, conflict may arise. Beliefs: Differing beliefs about work processes, values, or goals can create tension within an organization. Personality Orientation: Individuals have unique personality traits, communication styles, and ways of approaching tasks. When these clash, conflict can occur. Human Frailties: Imperfections, biases, and emotional vulnerabilities in individuals contribute to conflict. These might include ego, insecurities, or personal biases1. Inter-Individual Factors: Norm Violations: Conflict arises when someone breaches organizational norms or policies. For instance, a manager ignoring established procedures could cause friction among team members. Levels and Types of Conflict Fig 1 Different level of conflict
  • 70.
    In addition todifferent views of conflict, there exist several different levels of conflict. By level of conflict, we are referring to the number of individuals involved in the conflict. That is, is the conflict within just one person, between two people, between two or more groups, or between two or more organizations? Both the causes of a conflict and the most effective means to resolve it can be affected by level. Four levels can be identified: within an individual (intrapersonal conflict), between two parties (interpersonal conflict), between groups (intergroup conflict), and between organizations (interorganizational conflict). Intrapersonal Conflict Intrapersonal conflict arises within a person. In the workplace, this is often the result of competing motivations or roles. We often hear about someone who has an approach-avoidance conflict; that is, they are both attracted to and repelled by the same object. Similarly, a person can be attracted to two equally appealing alternatives, such as two good job offers (approach-approach conflict) or repelled by two equally unpleasant alternatives, such as the threat of being fired if one fails to identify a coworker guilty of breaking company rules (avoidance-avoidance conflict). Intrapersonal conflict can arise because of differences in roles. A role conflict occurs when there are competing demands on our time, energy, and other resources. For example, a conflict may arise if you’re the head of one team but also a member of another team. We can also have conflict between our roles at work and those roles that we hold in our personal lives. Another type of intrapersonal conflict involves role ambiguity. Perhaps you’ve been given the task of finding a trainer for a company’s business writing training program. You may feel unsure about what kind of person to hire—a well-known but expensive trainer or a local, unknown but low-priced trainer. If you haven’t been given guidelines about what’s expected, you may be wrestling with several options. Interpersonal Conflict Interpersonal conflict is among individuals such as coworkers, a manager and an employee, or CEOs and their staff. Many companies suffer because of interpersonal conflicts as it results in loss of productivity and employee turnover. According to one estimate, 31.9 percent of CEOs resigned from their jobs because they had conflict with the board of directors (Whitehouse, 2008). Such conflicts often tend to get highly personal because only two parties are involved and each person embodies the opposing position in the conflict. Hence, it is sometimes difficult to distinguish between the opponent’s position and the person. Keeping conflicts centered around ideas rather than individual differences is important in avoiding a conflict escalation. Throughout the book, we will learn more about strategies for dealing with interpersonal conflicts. Intergroup Conflict Intergroup conflict is conflict that takes place among different groups and often involves disagreement over goals, values, or resources. Types of groups may include different departments, employee unions, or management in a company or competing companies that supply the same customers. Departments may conflict over budget allocations, unions and management may disagree over work rules, and suppliers may conflict with each other on the quality of parts.
  • 71.
    Merging two groupstogether can lead to friction between the groups—especially if there are scarce resources to be divided among the group. For example, in what has been called “the most difficult and hard-fought labor issue in an airline merger,” Canadian Air and Air Canada pilots were locked into years of personal and legal conflict when the two airlines’ seniority lists were combined following the merger (Stoykewch, 2003). Seniority is a valuable and scarce resource for pilots, because it helps to determine who flies the newest and biggest planes, who receives the best flight routes, and who is paid the most. In response to the loss of seniority, former Canadian Air pilots picketed at shareholder meetings, threatened to call in sick, and had ongoing conflicts with pilots from Air Canada. The history of past conflicts among organizations and employees makes new deals challenging. Intergroup conflict can be the most complicated form of conflict because of the number of individuals involved. Coalitions can form and result in an “us-against-them” mentality. Here, too, is an opportunity for groups to form insulated ways of thinking and problems solving, thus allowing groupthink to develop and thrive. Inter organizational Conflict Finally, we can see inter organizational conflict in disputes between two companies in the same industry (for example, a disagreement between computer manufactures over computer standards), between two companies in different industries or economic sectors (for example, a conflict between real estate interests and environmentalists over land use planning), and even between two or more countries (for example, a trade dispute between the United States and Russia). In each case, both parties inevitably feel the pursuit of their goals is being frustrated by the other party. Types of Conflict If we are to try to understand conflict, we need to know what type of conflict is present. At least four types of conflict can be identified: Goal conflict can occur when one person or group desires a different outcome than others do. This is simply a clash over whose goals are going to be pursued. Cognitive conflict can result when one person or group holds ideas or opinions that are inconsistent with those of others. Often cognitive conflicts are rooted in differences in attitudes, beliefs, values, and worldviews, and ideas maybe tied to deeply held culture, politics, and religion. This type of conflict emerges when one person’s or group’s feelings or emotions (attitudes) are incompatible with those of others. Affective conflict is seen in situations where two individuals simply don’t get along with each other. Behavioral conflict exists when one person or group does something (i.e., behaves in a certain way) that is unacceptable to others. Dressing for work in a way that “offends” others and using profane language are examples of behavioral conflict. Each of these types of conflict is usually triggered by different factors, and each can lead to very different responses by the individual or group. It is important to note that there are many types of conflict and that not all researchers use this same four-type classification. For example, Dr. Amy Gallo (2015) has characterized conflict as being rooted in relationships, tasks (what to do), process (how to do things), or status. Regardless, when we find ourselves in a conflict situation, it can be helpful to try and take a step back and identify what type of conflict it is. It can also be helpful to acknowledge that what may look like a goal conflict may actually also have components of affective or cognitive conflict.
  • 72.
    Conflict Management Negotiating conflictpositively takes some practice, but the benefits to the overall business, and the team members, are worth the effort. Follow these steps to develop a positive conflict resolution strategy: 1. Listen first. Always enter a conflict resolution session looking to first hear your adversary out. It’s important to have strong active listening skills and stay engaged with other disputants so that everyone feels heard. By entering with a listen-first mentality, you may realize that some of your preconceptions about what the other person wants may, in fact, be wrong. 2. Use “I” statements. When you keep your assertions and observations in the first person, you avoid pointing fingers and don’t presume to speak for anyone else. Using “I” statements can help prevent someone on the other side of an issue from feeling that they are being treated in a dishonest or disrespectful way. 3. Look for the root cause. Finding the causes of conflict requires you to trace the dispute back to the root of the problem. As best you can, build a timeline with disputants to see if you can work your way back towards the origin of a conflict. Isolating the cause of a dispute can often simplify the resolution process. 4. Agree on facts. It’s important to establish ground rules and build consensus by agreeing on the basic facts of a conflict. If you can be methodical about agreeing to the basic components of a conflict, working toward a mutual solution is a much easier process. 5. Offer compliments. It may seem counterintuitive in the moment, but offering compliments can help defuse a tense situation and also increase your leverage during the resolution of conflict. Praising an adversary, such as noting the positive aspects of their case, can help build trust that you can work toward a mutually beneficial resolution. 6. Try to find a compromise. Work toward a win-win solution where both parties feel heard. An acceptable, positive conflict solution often requires both disputants to compromise and offer concessions to each other. Remember that workplace conflicts are not a zero-sum game and that win-win resolutions are almost always possible.
  • 73.
    Maslow’s hierarchy ofneeds theory Abraham Maslow, an eminent US psychologist, has classified human needs in a logical convenient way that has an important implication for managers making his theory the most popular amongst the managers. In this theory, he has pointed out and explained how needs influence human behaviour. Maslow viewed human motivation as a hierarchy of five needs ranging from most basic physiological needs to the highest needs for self-actualisation. Fig 2 Maslow’s Need Hierarchy Physiological needs: These comprise the basic components: food, shelter, and clothing. These needs are most powerful motivators, as no individual can survive without them. Physiological needs must be satisfied to somelevel or these should be partially satisfied, before the individual moves to satisfy other higher category needs. Maslow observed that man lives by bread alone, when there is no bread. Safety needs: Once level one has been accomplished and the physiological needs satisfied, one feels concerned about safety from future uncertainty, enemies and other threats. These are essentially needs of self-preservation. At this stage, an individual begins to think for future and makes efforts to provide for rainy days. It is concluded by Maslow that, employees need sufficient wage to feed, to take shelter, to protect them and their families and a safe working environment before attempting to satisfy other needs of the higher order. Social needs: Maslow focuses next on satisfying needs of love and affection, which are known as social needs. Social needs include the need to love and be loved and the need to belong and be identified with a group.Although not written as pre-requisite it is an essential need. Family life invariably affects work environment. As for the first two levels of need, relative satisfaction of social needs gives rise to next higher-level need. Esteem needs: Employees in the organisation who perceive themselves as worthwhile are said to possess esteem needs. Self-respect is a key to such needs. Much of our self-respect stems from acceptance in society and commanding the respect of fellow members within society. .Esteem needs include need for self-respect and appreciation from others, status and prestige in the society etc. Self-actualization needs: At the top of Maslow‟s hierarchy of needs, there lies the need of self- actualisation. It is an open-ended need, because it relates to the need to become more and more what one is to become everything that one is capable of becoming. It includes need for realisation one‟s full potentials of development, maturity and autonomy. On the relative satisfaction of this need, an individual becomes growth-oriented. Self directed, detached and creative but in organisation he hardly achieves self realisation.
  • 74.
    However, the creativityof an individual in producing new and practical ideas, in bringing about productivity and innovation and in reducing cost that might satisfy some of the needs of self- actualisation Herzberg’s motivation,hygiene theory Herzberg's Two-Factor Theory is the brainchild of Frederick Herzberg. This is a type of motivation theory based on content motivation. It is a theory which motivates individual by means of finding and satisfying of individual requirements, desires and further works to satisfy individual expectations. According to Frederick Herzberg, who studied clinical psychology in Pittsburgh,believed that the theory is related to work which motivates several employees. The theory was published under Motivation to Work during the year 1959. Fig 3 Herzberg’s motivation,hygiene theory This theory is based upon notion that motivation can be split into hygiene factors and motivation factors. He concluded that there were two types of motivation: Hygiene factor shows dissatisfaction level which is the real creators of job satisfaction which covers Supervision
  • 75.
    Motivation Factors willcover motivation aspect in case of Job which includes: Such factors are basically the requirements that will avoid nasty goings-on and uneasiness while motivational scale is the requirement for personal development. McClelland’s Theory of Need or Achievement Motivation Theory This theory has a specific reference to industrial organisation, as the achievement motive has to do a lot with the success and failure of these organisations. David McClelland and his associates like John Atkinson and others in Harvard University, USA, have d veloped this theory of motivation. The main fundamentals of this theory are need for achievement, power and affiliation. This theory assumes that some people are much more achievement-oriented and open minded than others. Therefore, they get job satisfaction and derive special kind of pleasure in achieving an objective successfully or performing challenging job rather than receiving monetary and other rewards. The balance between these drives varies from individual to individual. For example, one individual might have a strong need of affiliation while another might have a strong need for achievement. The blend of both makes for a successful organisation. The people with a high need of achievement would like to take responsibility for solving problems, so they tend to set moderately difficult targets for themselves and take calculated risks to meet these targets. Achievement-oriented individuals seek satisfaction in doing things better and in assuming important personal responsibility for solving the problems but thepeople with low achievement needs tend to perform either poorly or average in thesame situation.
  • 76.
    Fig 4 McClelland’sTheory Similar to the need to achieve is the need for authority or the desire todominate people and events which is considered one of the important motivational factors. Such individuals, if given a position marked by higher authority and power, tend to perform better as compared to other positions having less power. Similarly, some other individual may derive satisfaction from better friendly interpersonal relations in work setting. They can be motivated by providing atmosphere of support and friendship and social affiliation. This need is more like a social need, which has been described earlier. Vroom’s valence Theory :
  • 78.
    CONCEPT OF CHANGEAND CHANGE MANAGEMENT Change is defined as “to make or become different, give or begin to have a different form.” ‘Change’ also means dissatisfaction with the old and belief in the new. Change underlies a qualitatively different way of perceiving, thinking, behaving and to improve over the past and present. In this way, change is the process of moving from current state to future state and in between come the transition state which creates stress and anxiety. When we say change management, we mean making changes in a planned and systematic fashion. In another way, change management is a systematic approach in dealing with the change, both from the perspective of an organisation as well as on the individual level. In Change management process the changes of a system are implemented in a controlled manner by following a pre-defined framework/model, to some extent with reasonable modifications. Change management means to plan, initiate, realise, control and then finally stabilise the change processes on both corporate and personnel level. Change management plays an important role in any organisation since the task of managing change is not an easy one. Change management can ensure standardised methods, processes and procedures that are useful for all changes. It is also useful for efficient and prompt handling of all changes and to maintain a proper balance between the need for change and the potential detrimental impact of changes. The main objective of change management is to reduce the probability of change implementation failure; reduce resistance to change and to get maximum benefit from the implementation. A very useful framework to perceive change process is the problem solving. Managing change is seen as a matter of moving from one state to another specifically from the problem state to the solution state. Change management can be referred from two perspectives: • Organisational change management • Individual change management Organisational change management is the management of change from theperspective of a manager or the top leadership. It takes into account both the processes and the tools that managers use to make changes at an organisational Change Management level. It focuses on change management practices and skills as well as strategies,plans and training programs. It is related with one to many (one manager dealingwith the whole organisation collectively). The emphasis is laid on communication,training and the overall culture or value system of the organisation. Individual change management is the process of helping employees to understand them where they are in the change process and managing that change effectively. This change management is related with bottom level that means employees. It is related with one-on-one (each individual is given emphasisbecause they are the one who bring change). The focus for individual change management is on the tools and techniques to enrich employees through the transition.
  • 79.
    Libraries must changeto survive. The amount, diversity and speed of information available today have forced libraries to change the mode of their services and operations for the benefit of the users. Librarians must analyse their own contexts for change, to monitor external trends as contexts for change and planning to position their own libraries in new contexts and to learn to manage change to move from present into future. The fifth law of library science “Library is a growing organism” is also related with the change because growth always implies change and this change is a challenge to both the libraries and the librarians. They must establish their strategies and select roles. The role of libraries has gradually changed from the traditional storehouse of information to access providers. Libraries like other organisations must respond proactively to their changing environment FORCES OF CHANGE External Forces External forces for the change originate outside the organisation and it might have a global effect. These are also called environmental forces that are beyond the management’s control. External forces such as demographic characteristics,economic factors, technological advancements, market changes and socio- political pressures are affecting the operating environment in organisations. Demographic changes are related with the diversity in workforce. It is a well-known fact that globalised economy has created increased threats and opportunities, forcing organisations to make drastic improvements not only to gain competitive advantages but many times to survive. Rapid technological innovation is another force for change in organisations and those fail to keep pace with will be bound to lag behind. Market changes such as competitors introduce several new things like new products, reduce prices or augment customer services. At the same time, changes occur in customer tastes, interests and income. Some changes are created by social and political events. Political events may create substantial change. But it is difficult for organisations to predict such changes. Thus managers are required to adjust their managerial style or approach to fit within these changes Internal Forces These forces originate from inside the organisation and are under the control of the organisation. These forces come from human problems and managerial behaviour and decisions. Generally problems related with the human behaviour are about how they are treated at their workplace. No organisation can progress without the commitment and dedication of its employees. Dissatisfaction among employees regarding the working conditions as well as individual and organisational needs may lead to conflict between management and their employees. Excessive interpersonal conflict is often a clear sign that change is needed. Unusual or high levels of absenteeism and turnover also represent the forces for change. How an organisation decides to motivate, communicate and integrate change into the work force will determine the magnitude of its success Lewin’s Process of Change Model Lewin proposed that the behavior of any individual in response to a proposed change is a function of group behavior. Any interaction or force affecting the group structure also affects the individual’s behavior and capacity to change. Therefore, the group environment, or ‘field’, must be considered in the change process. The 3 Stage Model of Change describes status-quo as the present situation, but a change process—a proposed change—should then evolve into a future desired state. To understand group behavior, and hence the behavior of individual group members during the change process, we must evaluate the totality and complexity of the field. This is also known as Field Theory, which is widely used to develop change models including Lewin’s 3 Stage Mode
  • 80.
    The 3 Stagesof Change Let’s look at how Lewin’s three-step model describes the nature of change, its implementation, and common challenges: Fig 5 Lewin’s three-step model Step 1: Unfreeze Lewin identifies human behavior, with respect to change, as a quasi-stationary equilibrium state. This state is a mindset, a mental and physical capacity that can be almost absolutely reached, but it is initially situated so that the mind can evolve without actually attaining that capacity. For example, a contagious disease can spread rapidly in a population and resist initial measures to contain the escalation.Eventually, throughmedical advancement, the disease can be treated and virtually disappear from the population Lewin argues that change follows similar resistance, but group forces (the field) prevent individuals from embracing this change. Therefore, we must agitate the equilibrium state in order to instigate a behavior that is open to change. Lewin suggests that an emotional stir-up may disturb the group dynamics and forces associated with self-righteousness among the individual group members. Certainly, there are a variety of ways to shake up the present status-quo, and you’ll want to consider whether you need change in an individual or, as in a company, amongst a group of people. Let’s consider the process of preparing a meal. The first change, before anything else can happen, is to “unfreeze” foods—preparing them for change, whether they’re frozen and require thawing, or raw food
  • 81.
    requiring washing. Lewin’s3 Step Model believes that human change follows a similar philosophy, so you must first unfreeze the status-quo before you may implement organizational change. Though not formally part of Lewin’s model, actions within this Unfreeze stage may include: Determining what needs to change Survey your company. Understand why change is necessary. Ensuring support from management and the C-suite. Talk with stakeholders to obtain support. Frame your issue as one that positively impacts the entire company. Creating the need for change. Market a compelling message about why change is best. Communicate the change using your long-term vision. Step 2: Change Once you’ve “unfrozen” the status quo, you may begin to implement your change. Organizational change in particular is notoriously complex, so executing a well-planned change process does not guarantee predictable results. Therefore, you must prepare a variety of change options, from the planned change process to trial-and-error. With each attempt at change, examine what worked, what didn’t, what parts were resistant, etc. During this evaluation process, there are two important drivers of successful and long-term effectiveness of the change implementation process: information flow and leadership. Information flow refers to sharing information across multiple levels of the organizational hierarchy, making available a variety of skills and expertise, and coordinating problem solving across the company. Leadership is defined as the influence of certain individuals in the group to achieve common goals. A well-planned change process requires defining a vision and motivation. The iterative approach is also necessary to sustain a change. According to Lewin, a change left without adequate reinforcement may be short-lived and therefore fail to meet the objectives of a change process. During the Change phase, companies should: Communicate widely and clearly about the planned implementation, benefits, and who is affected. Answer questions, clarify misunderstandings, and dispel rumors. Promote and empower action. Encourage employees to get involved proactively with the change, and support managers in providing daily and weekly direction to staff. Involve others as much as possible. These easy wins can accumulate into larger wins, and working with more people can help you navigate various stakeholders. Step 3: Refreeze The purpose of the final step—refreezing—is to sustain the change you’ve enacted. The goal is for the people involved to consider this new state as the new status-quo, so they no longer resist forces that are trying to implement the change. The group norms, activities, strategies, and processes are transformed per the new state. Without appropriate steps that sustain and reinforce the change, the previously dominant behaviour tends to reassert itself. You’ll need to consider both formal and informal mechanisms to implement and freeze these new changes.
  • 82.
    Consider one ormore steps or actions that can be strong enough to counter the cumulative effect of all resistive forces to the change—these stronger steps help ensure the new change will prevail and become “the new normal”. In the Refreeze phase, companies should do the following Tie the new changes into the culture by identifying change supports and change barriers. Develop and promote ways to sustain the change long-term. Consider: Ensuring leadership and management support and adapting organizational structure when necessary. Establishing feedback processes. Creating a rewards system. Offer training, support, and communication for both the short- and long-term. Promote both formal and informal methods, and remember the various ways that employees learn. Sources of Resistance : The reasons of employee’s resistance to change are as follows: i) Lack of Understanding The Employees do not understand why the change is happening when they don’t have sufficient knowledge about the change. Some communication problems are often related with this aspect of change. Without understanding the reason behind the change, it becomes quite difficult for people to accept change. ii) Fear of unknown and failure Employees resist change because they have to learn something new. They fear the unknown and about their ability to adapt it. People are always suspicious about the unfamiliar thing; they are concerned about how to get from the old to new, because it involves learning something new with risk of failure. They are very much satisfied with the status quo and try to maintain it. iii) Lack of competency Sometimes employees resist change because they don’t have required competencies as needed when and after the change is implemented. They don’t want to show their weaknesses that’s why they resist change. Sometimes they presume that their lack of competency may cost them their job. iv) Employees feel overloaded Sometimes the employees do not have sufficient time to engage with the change. They are not in the position to handle two things simultaneously i.e. handle change and carry their current responsibilities. v) Genuine objections Employees also resist change because they don’t share the value driving the change. They genuinely believe it is wrong to initiate change in the organisation and resist saving the organisation. They have genuine objections.
  • 83.
    Apart from thesethere are four categories of different causes of resistance. They are; • Psychological Employee’s negative perception, frustration, anxiety, and preference towards status quo, cognitive comfort, fear, past failure, cynicism or mistrust in top management/owner • Materialistic Loss of pay, comfort, status, and threat to job security • Employees concern for firm Faults & weaknesses in change program i.e. change is not good for the firm or employees and management has difference/conflict of perceptions about change program and its effects Overcoming Resistance i) Education and Communication This approach is used, when resistance is the result of the lack of information or inaccurate information and analysis. In this case it is better to educate and communicate people who are going to be affected by the change. This helps employees to see the change effort in new light and not to entertain rumors about the change in the organisation. ii) Participation and Involvement This approach is useful when the changing authority does not have full information about the change. In this case it is better to involve the employees in the change process as it lowers the chances of resistance to change. iii) Facilitation and Support Sometimes people resist due to some adjustment problems like fear from the anticipated change. In these situations it is advised to the managers to support the staff fully and force them into the new situation so that they can understand that it is not as difficult as they presume. The support of the management helps employees to overcome their fear and anxiety. There must be provision for counseling, coaching and special training for the employees to handle the change effectively. iv) Negotiation and Agreement This method is useful when people fear of losing something due to change. In such conditions the manager offers some incentives to them. For this purpose the manager negotiates with the employees not to resist change. v) Manipulation and Co-option As Kotter and Schlesinger suggests that when any other approach does not work, an effective manipulation technique like co-opting those who resist. Co-option involves the patronising gesture in bringing a person into a change management-planning group only for the sake of appearances rather than their substantive contribution. As involvement of the leaders of the resisting group have only symbolic role to be played in decision-making process.vi) Explicit and Implicit Coercion .This approach is used when it is essential to implement the change speedily.
  • 84.
    In such caseschange is forced upon the employees by making clear that Change Management resisting change may lead to losing jobs, firing, transferring or not promoting employees. These six approaches help in identifying the types of resistances to change and how to overcome them. Sometimes the combination of these approaches is used to tackle with resistance. John Kotter has mentioned eight reasons for the failure of the change processes. These are: • Allowing too much complexity • Failing to build a substantial coalition • Not understanding the need for a clear vision • Failing to clearly communicate the vision • Permitting roadblocks against the vision • Not planning and getting short-term wins • Declaring victory too soon • Not anchoring changes in the corporate culture.
  • 85.
    Guidelines to manageConflict : Fig 6 Managing Conflict Guidelines 1. Accommodating An accommodating mode of conflict management tends to be high in cooperation but low in assertiveness. When you use this style, you resolve the disagreement by sacrificing your own needs and desires for those of the other party. This management style might benefit your work when conflicts are trivial and you need to move on quickly. At home, this style works when your relationship with your roommate, partner, or child is more important than being right. Although accommodation might be optimal for some conflicts, others require a more assertive style. 2. Avoiding When avoiding, you try to dodge or bypass a conflict. This style of managing conflicts is low in assertiveness and cooperativeness. Avoidance is unproductive for handling most disputes because it may leave the other party feeling like you don't care. Also, if left unresolved, some conflicts become much more troublesome. However, an avoiding management style works in situations where: You need time to think through a disagreement.You have more pressing problems to deal with first.The risks of confronting a problem outweigh the benefits.
  • 86.
    3. Collaborating A collaboratingconflict management style demands a high level of cooperation from all parties involved. Individuals in a dispute come together to find a respectful resolution that benefits everyone. Collaborating works best if you have plenty of time and are on the same power level as the other parties involved. If not, you may be better off choosing another style. 4. Competing When you use a competitive conflict management style (sometimes called 'forcing'), you put your own needs and desires over those of others. This style is high in assertiveness and low in cooperation. In other words, it's the opposite of accommodating. While you might think this style would never be acceptable, it's sometimes needed when you are in a higher position of power than other parties and need to resolve a dispute quickly. 5. Compromising Compromising demands moderate assertiveness and cooperation from all parties involved. With this type of resolution, everyone gets something they want or need. This style of managing conflict works well when time is limited. Because of time constraints, compromising isn't always as creative as collaborating, and some parties may come away less satisfied than others.
  • 87.
    UNIT – VPRODUCTIVITY AND MODERN TOPICS 9 Productivity: Concept; Measurements; Affecting Factors; Methods to Improve – Modern Topics (concept, feature/characteristics, procedure, merits and demerits): Business Process Reengineering (BPR); Benchmarking; SWOT/SWOC Analysis; Total Productive Maintenance; Enterprise Resource Planning (ERP); Management of Information Systems (MIS), Industry 4.0. Productivity Productivity is probably one of the most common, and at the same time one of the vaguest concepts in the linguistics of Business and Management. Like the concept of quality, we think we know it intuitively, yet we soon discover that numerous difficulties are inherent in the precise conceptual definition of productivity, let alone its empirical measurement. The term "productivity" is usually operationalized in terms of ratios of outputs to inputs, defined in physical terms or the equivalent. The productivity analysis is intended to shed light upon the efficiency of the production process in the firm. To this end, quantities of outputs and inputs (e.g., volumes of goods or services for outputs, manhours for labor inputs, and machine hours for capital inputs) for proxies thereof are measured rather than their nominal monetary values. Productivity analysis of a purposeful productive system comprised of more than one distinct activity usually envisions the production process as a "black box" -inputs flowing in, outputs flowing out. It concentrates on levels and variations in input-output relationships to gain some insights about the overall efficiency of this production process. Tasks of a management oriented productivity analysis thus include the proper specification and measurement of output-input ratios, the identification of some of the basic factors affecting these productivity variations, and the assessment of their relative contribution to productivity performance. Concept of productivity The concept of productivity can be applicable to any economy, small, medium and large business, government and individuals. Productivity aims at the maximum utilization of resources for yielding as many goods and services as possible, desired by consumers at lowest possible cost. Productivity is the ratio of output in a period of time to the input in the same period time. Productivity can measured with the help of following formula:
  • 88.
    Productivity can thusbe measured as: “Productivity is the quantitative relation between; what a firm produces and what a firm uses as a resource to produce output, i.e. arithmetic ratio of amount produced (output) to the amount of resources (input)”. “Productivity is an aggregate measure of the efficiency of production; it is the ratio of output to inputs i.e. capital, labor, land, energy and materials”. “Productivity refers to the efficiency of the production system and an indicator to; how well the factors of production (land, capital, labor and energy) are utilized”. Productivity is the ratio between output of wealth and input of resources used in production processes. Output means the quantity of products produced and the inputs are the various resources used in the production. The resources used may be land, building, equipment, machinery, materials, labour etc. Productivity can be increased by the following ways: 1. Increasing the output using the same input. 2. Reducing the input by maintaining the output as constant. 3. Increasing the output to a maximum extent with a smaller increase in input. Productivity is the outcome of several factors. These factors are so interrelated that it is difficult to identify the effect of any one factor on productivity. Measurements of productivity Productivity of each resource can be measured separately. Such measurement gives single factor productivity. The method of calculating productivity considering more than one resource is called multi-factor productivity approach to measuring productivity. Total productivity (total productivity index) refers to the productivity of all resources put together. So productivity of all resources put together gives total productivity. There are broadly three types of productivity measurements and these are explained below: 1. Single-Factor Productivity Measurement. 2. Multi-Factor Productivity Measurement. 3. Total (Composite) Factor Productivity Measures. 4. Total Productivity Model.
  • 89.
    1. Single-Factor ProductivityMeasurement: Single-Factor Productivity is a measure of output against specific input. Partial productivity is concerned with efficiency of one class of input. Its significance lies in its focus on utilization of one resource. Labor productivity is a single factor productivity measure. It is the ratio of output to labor input (units of output per labor hour). Material productivity is the ratio of output to materials input. Machine productivity is the ratio of machine units of output per machine hour, output per unit machine. Capital productivity is the ratio of output to capital input and it is measured in Rupees. Energy Productivity is units of output per kilowatt-hour (Rupee value of output per kilowatt- hour). Advantages of Single-Factor Productivity: i. Ease in obtaining relevant data and easy to comprehend. ii. Acts as a good diagnostic measure to identify areas of improvement by evaluating inputs separately across the output. iii. Ease in comparing with other businesses in the industry. Disadvantages of Single-Factor Productivity: i. Does not reflect the overall performance of the business. ii. Misinterpreted as technical change or efficiency/effectiveness of labor. iii. Management may identify wrong areas of improvements if the focus areas of a business are not examined accurately. 2. Multi-Factor Productivity Measurement: The concept of multi-factor productivity was developed by Scott D. Sink, multi-factor productivity measurement model considered labour, material and energy as major inputs. Capital was deliberately left out as it is most difficult to estimate how much capital is being consumed per unit/ time. The concept of depreciation used by accountants make it further difficult to estimate actual capital being consumed. Multi-factor productivity is ratio of output to a group of inputs such as; labor, energy and material. Multi-factor productivity is an index of output obtained from more than one of the resources (inputs) used in production. It is the ratio of net output to the sum of associated labor and other factor inputs.
  • 90.
    Advantages of Multi-FactorProductivity: i. Considers intermediate inputs of a business. ii. Measures technical change in an industry. Disadvantages of Multi-Factor Productivity iii. Difficulty in obtaining all the inputs. iv. Difficulty in communicating inter-industry linkages and aggregation. 3. Total (Composite) Factor Productivity Measures: The Total Factor Productivity model developed by John W. Kendrick in 1951, he has taken only labour and capital as only two input factors. In an effort to improve productivity of labour, company may install more machinery and then productivity of labour will go up bringing down the capital productivity. Therefore, labour and capital are considered to be the most significant in contribution in the process of production. Advantages of Total Factor Productivity: i. Ease in obtaining data and to understand. ii. Ease in understanding. iii. Ease of aggregation across industries. Disadvantages of Total Factor Productivity: i. Not a good measure for technological change. ii. Other inputs are ignored. iii. Net output does not reflect the efficiency of production system in a proper way.
  • 91.
    4. Total ProductivityModel: Total Productivity Model was developed by David J. Sumanth in 1979 considered five items as inputs. These are human, material, capital, energy and other expenses. This model can be applied in any manufacturing or service organization. Total Tangible Output = Value of finished units produced + Partial units produced + Dividends from securities + Interests from bonds + other incomes. Total Tangible Inputs = Value of human inputs + Capital inputs + Materials purchased + Energy inputs + other expenses (taxes, transport & office expenses etc.). Advantages of Total Productivity: i. All quantifiable inputs are considered. ii. Sensitivity analysis can be done. iii. Provides both firm level and operational unit level productivity. Disadvantages of Total Productivity: i. Data is difficult to compute. ii. Does not consider intangible factors of input and output. Constraints in measuring productivity are discussed below: 1. Changing Price of Inputs and Outputs: There is a continuous change in the price of inputs and outputs, quality of raw-materials, machines and tools, quality of labor, etc. All this creates difficulties in measuring productivity. 2. Intangible Output of Service Sector: It is very difficult to measure the productivity of service sectors e.g. banking, insurance, education, etc. This is because the output of the service sector is intangible. 3. Difficulty in Measuring Output: The output of an industry may be measured in terms of volume (units) or value (Rupee). It is very difficult to combine both these factors. If the output is homogeneous, then the productivity can be measured in terms of volume. If the output is not homogeneous, then the productivity can be measured in terms of rupee.
  • 92.
    4. Difficulty inMeasuring Inputs: Most industries do not have proper records of the inputs of land, labor, capital and machines. Even if such records are available, it is very difficult to calculate the exact number of man hours worked i.e. the input of labor. 5. Factorial Productivity: Factorial productivity means to calculate the productivity of different factors of production separately. Some management experts say that a single factor of production cannot produce anything by itself. Therefore, it has no productivity. Therefore, according to these management experts, the concept of factorial productivity is meaningless. 6. Difficulty in Measuring Man-Hours: It is difficult to find out the exact number of productive man-hours. This is because wages paid to the employees also includes the cost of idle time. The productivity improvement models are discussed in detail below: Model # 1. Material Based Measures: This method includes material planning and control (MPC), purchasing, logistics, material storage and retrieval, source selection and procurement of quality material, waste elimination. It encompasses the following methods: i. Material planning and control. ii. Material storage and retrieval. iii. Source selection and procurement of quality material. iv. Waste elimination. v. Recycling and reuse of waste materials. vi. Purchasing logistics. Model # 2. Process or Task Based Measures: Process based productivity is based on management style, communication in the organization, work culture, motivation, promotion group activities. Process based techniques include improvements in doing work like; process design and human factor engineering, to increase productivity; there are two main techniques (method Study and work measurement) of simplifying any task- (a) Method Engineering is the systematic recording and critical examination of the present and the proposed way of doing work as a means of developing better economical, easier and efficient way of doing work and implementing it. (b) Work Measurement is an application of technique designed to establish and time required by qualified worker to carry out specified tasks at defined level of performance. In short, measurement of time to do work.
  • 93.
    Model # 3.Technology Based Measures: This included use of advanced and updated technology to increase productivity. It consist CAD/CAM/CIMS, Robotics, Laser technology, Modern maintenance technology, Energy technology, Flexible manufacturing system (FMS). (a) Computer Aided Design (CAD): CAD refers to design of products, processes or systems with the help of computers. The impact of CAD on human productivity is significant. Speed of evaluation of alternative designs, Minimization of risk of functioning, and Error reductions are the advantages of CAD. (b) Computer Added Machining (CAM): CAM is very much useful to design and control the manufacturing. It helps to achieve the effectiveness in production system by line balancing. CAM helps in production planning and control (PPC), capacity requirements planning (CRP), manufacturing resources planning (MRP-II) and materials requirement planning (MRP) and automated inspection. (c) Computer Integrated Manufacturing (CIMS): Computer integrated manufacturing is characterized by automatic line balancing, machine loading (scheduling and sequencing), automatic inventory control and inspection. It includes robotics, modern maintenance techniques, energy technology, Flexible Manufacturing System (FMS). Model # 4. Product Based Measures: Productivity can be improved by improving product design, by improving the quality of parts of product. Productivity can be improved by taking following action regarding product: i. Value analysis and value engineering. ii. Product diversification. iii. Standardization and simplification. iv. Reliability engineering. v. Product mix and promotion. Affecting Factors These factors may broadly be divided as follows: 1. Human: Human nature and human behaviour are the most significant determinants of productivity. Human factors may further be classified into two categories as given below:
  • 94.
    (a) Ability towork – Productivity of an organization depends upon the competence and calibre of its people—both workers and managers. Ability to work is governed by education, training, experience, aptitude, etc. of the employees. (b) Willingness to work – Motivation and morale of people is the second important group of human factors that determine productivity. Wage incentive schemes, labour participation in management, communication system, informal group relations, promotion policy, union management relations, quality of leadership, etc., are the main factors governing employees’ willingness to work. Working conditions like working hours, sanitation, ventilation, schools, clubs, libraries, subsidized canteen, company transport, etc., also influence the motivation and morale of employees. 2. Technological: Technological factors exercise significant influence on the level of productivity. The main technological factors are as follows: (a) Size and capacity of plant (b) Product design and standardization (c) Timely supply of materials and fuel (d) Rationalization and automation measures (e) Repairs and maintenance (f) Production planning and control (g) Plant layout and location (h) Materials handling system (i) Inspection and quality control (j) Machinery and equipment used (k) Research and development (l) Inventory control (m) Reduction and utilization of waste and scrap, etc. 3. Managerial: The competence and attitudes of managers have an important bearing on productivity. In many organizations, productivity is low despite latest technology and trained manpower. This is due to inefficient and indifferent management. Competent and dedicated managers can obtain extraordinary results from ordinary people. Job performance of employees depends on their ability and willingness to work. Management is the catalyst to create both. Advanced technology requires knowledge workers who in turn work productively under professionally qualified managers. No ideology can win a greater output with less effort. It is only through sound management that optimum utilization of human and technical resources can be secured. 4. Natural: Natural factors such as physical, geological, geographical and climatic conditions exert considerable influence on productivity, particularly in extractive industries. For example, productivity of labour in
  • 95.
    extreme climates (toocold or too hot) tends to be comparatively low. Natural resources like water, fuel and minerals influence productivity. 5. Sociological: Social customs, traditions and institutions influence attitudes towards work and job. For instance, bias on the basis of caste, religion, etc., inhibited the growth of modern industry in some countries. The joint family system affected incentive to work hard in India. Close ties with land and native place hampered stability and discipline among industrial labour. 6. Political: Law and order, stability of Government, harmony between States, etc. are essential for high productivity in industries. Taxation policies of the Government influence willingness to work, capital formation, modernization and expansion of plants, etc. Industrial policy affects the size, and capacity of plants. Tariff policies influence competition. Elimination of sick and inefficient units helps to improve productivity. 7. Economic: Size of the market, banking and credit facilities, transport and communication systems, etc. are important factors influencing productivity.Productivity is an economics term which refers to the ratio of product to what is required to produce the product. Productivity is outcome of several interrelated factors. All the factors which are related to input and output components of a production process are likely to affect productivity.So, there are many factors which can influence productivity; such as internal and external. Knowing the internal and external factors that affect productivity of an Industrial organization; give industrial engineers; the intelligence, they needs to sort out the low performance of resources and make strategic plans for the future. Some of the Other Factors The factors influencing productivity can be classified broadly into two categories: (A) Controllable Factors. (B) Uncontrollable Factor. (A) Controllable Factors: Controllable Factors are considered as internal factors. These are the factors which are in control of industrial organization. Controllable factors are: 1. Material and Power: Improved quality of raw materials and increased use of power have a favorable effect on productivity. An effort to reduce materials and energy consumption brings about considerable improvement in productivity. It consist: i. Selection of quality material and right material. ii. Control of wastage and scrap. iii. Effective stock control.
  • 96.
    iv. Development ofsources of supply. v. Optimum energy utilization and energy savings. 2. Machinery and Plant Layout: The size of the plant and the capacity utilization has direct bearing on productivity. Production below or above the optimum level will be uneconomical and will tend towards lower level of productivity. The arrangement of machines and position in the plant and the setup of the wore-bench of an individual worked will determine how economically and efficiently production will be ferried out. 3. Human Factors: Human nature and human behavior are the most significant determinants of productivity. Human factors include both their ability as well as their willingness. i. Ability to Work: Ability to work is governed by education, training, experience and aptitude of the employees. Productivity of an organization depends upon the competence and caliber of its people (both workers and managers). ii. Willingness to Work: Motivation and morale of people are very important factors that determine productivity. These are affected by wage incentive schemes, labour participation in management, communication systems, informal group relations, promotion policy, union Management relations, quality of leadership, working hours, sanitation, ventilation, subsidized canteen and company transport etc. 4. Organization and Managerial Factors: Organization factor include various steps taken by the organization towards maintaining better industrial relations such as delegation and decentralization of authority. These factors also influence motivation likewise the existence of group, with higher productivity as their goal is likely to contribute to the organization objectives. The competence and attitudes of managers have an important bearing on productivity. Competent and dedicated managers can obtain extraordinary results from ordinary people. Job performance of employees depends on their ability and willingness to work. 5. Technological Factors: Technological factors exert significant influence on the level of productivity. These include the following: i. Size and capacity of plant ii. Product design and standardization iii. Production planning and control iv. Plant layout and location v. Materials handling system vi. Inspection and quality control vii. Machinery and equipment used
  • 97.
    viii. Research anddevelopment (B) Uncontrollable Factors: Uncontrollable factors are known as external factors and these factors are beyond the control of the individual industrial organization. Uncontrollable factors are: 1. Economic Political and Social Changes: There are economic, social and political factor that affects the productivity. i. Economic Factors like Size of the market, banking and credit facilities, transport and communication systems, etc. is important factors influencing productivity. ii. Political Factors like Law and order, stability of government, harmony between states etc. are essential for high productivity in industries Taxation policies of the government influence willingness to work, capital formation, modernization and expansion of plants etc. Industrial policy affects the size, and capacity of plants. Elimination of sick and inefficient units also helps to improve productivity. iii. Social Factors like Social customs, traditions and institutions influence attitudes towards work and job. For instance, bias on the basis of caste, religion, etc., inhibited the growth of modern industry in some countries. The joint family system affected incentive to work hard in India. Close ties with land and native place hampered stability and discipline among industrial labour. 2. Natural Resources: Natural factors such as physical, geographical and climate conditions exert considerable influence on productivity, particularly in extreme climates (too cold or too hot) tends to be comparatively low. Natural resources like water, fuel and minerals influence productivity. 3. Government Factor: Government policies and programs are significant to productivity practices of government agencies, transport and communication power, and fiscal policies (interest rates, taxes) influence productivity to the greater extent.
  • 98.
    Benchmarking Benchmarking, is atool of strategic management, that allows the organization to set goals and measure productivity, on the basis of the best industry practices. It is a practice in which quality level is used as a point of reference to evaluate things by making a comparison Types of Benchmarking There are two types of Benchmarking, discussed as under: Internal Benchmarking: When measurement and comparison of key operations between teams, groups and individuals are made within the organization, the benchmarking is said to be internal. External Benchmarking: When measurement and comparison of key operations are made with the competitors, then, it is called as external benchmarking. Further, the process is sub-classified as: Process Benchmarking Performance Benchmarking Strategic Benchmarking
  • 99.
    Application of Benchmarking Theprocess entails looking outside the organization to study what others do to achieve their performance level and also the processes they use. So, the approach helps in determining the processes behind the exceptional performance. It can be applied in the following areas: Human Resource Management Product Development Product Distribution Maintenance Operations Plant utilisation levels Customer Services Process of Benchmarking  Identifying the need for Benchmarking  Understanding the existing process and practices  Obtaining support and approval from the top management.  Identifying best practices.  Making a comparison between the firm’s processes and performance with those of rivals.  Preparation of report, regarding the differences in standard and actual results.  Implementing steps necessary for filling gaps in performance.  Evaluation and review Benchmarking does not provide a solution to all the problems rather it analyses the situations and processes and helps in improving the performance. It is a continuous improvement process. Hence, the benchmarking exercises are applied appropriately and performed regularly, so as to gain competitive advantage and also refining performance in the major areas of business. In this process, a firm’s major operations are measured and compared with the rivals and acknowledged leaders of the industry.
  • 100.
    SWOT/SWOC Analysis Use SWOCanalysis whenever you have a business idea as a great cost-effective way to reduce challenges and deter failure of a business venture or product. SWOC analysis is a strategic planning method used to research external and internal factors which affect company success and growth. Firms use SWOC analysis to determine the strengths, weaknesses, opportunities, and challenges of their firm, products, and competition. SWOC analysis is relevant to SWOT analysis. SWOT examines strengths, weaknesses, and opportunities. But it focuses on threats rather than challenges. The two are similar but they do have their differences, which is why firms may choose to use SWOC or SWOT. Strengths Strengths are features which benefit the company, such as product sales. For example, sales of Product X is growing 3% each month. But Product Z is seeing a 3% monthly decline. In this case, Product X, which brings in more revenue, is where the firm should focus their efforts to continue profit growth. Strengths can also be more abstract. If you’ve decided to build a product because you know you can offer it cheaper than your competitor, this is an overall strength of the company. Or if you have records of better customer service via positive reviews online, this is a strength you can use to your advantage. Strengths can be documented through statistics, customer service reviews, and surveys.
  • 101.
    Weaknesses The next stepis noticing weaknesses. Weaknesses cause a company to struggle. For example, if you’ve decided to target a younger audience but your packaging is still dedicated to senior citizens, the new consumer base will struggle to connect to the product. This will show in reports, and cause an internal struggle within the company Weaknesses need to be documented and acknowledged to handle them promptly before it spreads and leads to overall destruction. Opportunities Opportunities are often external. They provide ways for firms to grow successfully. For example, a digital marketing agency helps a client develop an effective email marketing strategy. The agency has been thinking of doing graphic design so they offer a reduced fee to re-do the existing client’s logo. This is an opportunity for the agency to develop a new section of their business without having to devise a marketing plan because they can reach out to existing clients. Being open to opportunities, knowing when to look for them, and how to act on them can boost a firm’s success. Documenting past opportunities can help create a plan on how to capitalize future opportunities. Challenges The final step in SWOC analysis is acknowledging challenges. This is how SWOC and SWOT analysis differ because SWOT analysis focuses on threats. Challenges are similar to threats but have the chance of being overcome. Threats have the potential to damage a firm, but challenges often already exist and need to be handled appropriately. This step is crucial. If you’ve already examined the strengths, weaknesses, and opportunities but skip assessing challenges, you may be on the path to failure. Challenges can greatly undermine any progress you’ve made, so by ignoring this step, you’ve opened yourself up to potential failure. When to use SWOC analysis Use SWOC analysis whenever you have a business idea. Whether it’s starting a brand new business, a product, or a product upgrade. You can do SWOC analysis annually, quarterly, or monthly; it depends on what product or idea you’re using SWOC analysis for. But if you choose to do SWOC analysis, remember it’s a great cost-effective way to reduce challenges and deter failure of a business venture or product. TPM (Total Productive Maintenance) Getting operators involved in maintaining their own equipment, and emphasizing proactive and preventive maintenance will lay a foundation for improved production (fewer breakdowns, stops, and defects). What Is TPM? TPM (Total Productive Maintenance) is a holistic approach to equipment maintenance that strives to achieve perfect production:  No Breakdowns  No Small Stops or Slow Running  No Defects
  • 102.
    In addition itvalues a safe working environment:  No Accidents TPM emphasizes proactive and preventative maintenance to maximize the operational efficiency of equipment. It blurs the distinction between the roles of production and maintenance by placing a strong emphasis on empowering operators to help maintain their equipment. The implementation of a TPM program creates a shared responsibility for equipment that encourages greater involvement by plant floor workers. In the right environment this can be very effective in improving productivity (increasing up time, reducing cycle times, and eliminating defects). The 5S Foundation The goal of 5S is to create a work environment that is clean and well-organized. It consists of five elements: Sort: eliminate anything that is not truly needed in the work area Straighten: organize the remaining items Shine: clean and inspect the work area Standardize: create standards for performing the above three activities Sustain: ensure the standards are regularly applied It should be reasonably intuitive how 5S creates a foundation for well-running equipment. For example, in a clean and well-organized work environment, tools and parts are much easier to find, and it is much easier to spot emerging issues such as fluid leaks, material spills, metal shavings from unexpected wear, hairline cracks in mechanisms, etc TPM Pillar 1: Autonomous Maintenance (Jishu Hozen) Jishu Hozen or Autonomous Maintenance places the responsibility of basic maintenance activities on the hands of the operators and leaves the maintenance staff with more time to attend to more complex maintenance tasks.Maintenance activities that are carried out by shop floor workers include basic cleaning of machines, lubricating, oiling, and tightening of nuts and bolts, inspection, diagnosis of potential problems and other actions that increase the productive life of machines or equipment.
  • 103.
    By carrying outthese maintenance activities, the workers become more responsible towards their work and downtime is reduced because there is no need of waiting for maintenance staff as they can correct simple problems that may occur from time to time. Maintenance staff on the other hand will be more concerned with issues that require a higher technical ability such as replacement and servicing of internal parts. They will also carry out scheduled or planned maintenance which means production will not be interrupted unnecessarily. Autonomous maintenance has benefits to both the workers and the organization as a whole:  Operators become more responsible and concerned about the condition of equipment they use on a daily basis  Skill levels of workers increase as they gain an understanding of the general working of equipment thus achieving the multi-skilling objective of a lean organization  Machines operate at their optimal level because basic maintenance such as cleaning and lubrication is carried out more regularly  Problems are identified and corrected before they go out of control leading to major breakdown of equipment.  Engineering staff are freed-up to carry out higher-level maintenance activities on sensitive and critical equipment thus reducing the overall system downtime By carrying out the simple activities in this TPM pillar, capital investments are drastically reduced because the organization has reliable equipment and does not have to replace machines as often. This is because the lifespan of machines is drastically increased as forced deterioration is checked through constant monitoring and maintenance TPM Pillar 2: Planned Maintenance Planned maintenance is the scheduling of maintenance activities based on observed behaviour of machines such as failure rates and breakdowns. By scheduling these activities around such metrics, the cycle of breakdowns and failure is broken thus contributing to a longer service life of machines.Because there is a specific time for maintaining equipment, production is rarely interrupted as these activities are scheduled around the time when they are idle or are producing very little. In fact, production functions can build up some inventory to allow for the planned maintenance to be carried out as they have prior information of when these activities are scheduled.This is in contrast to reactive maintenance that waits for problems to occur which has a negative impact on productivity due to machine downtime. Production will never be sure when they will be able to get back to work because the problems are not clear and technicians will just be doing exploratory work to find causes. There are many obvious benefits of taking the planned maintenance approach as compared to being reactive when technical issues arise:  By constantly scheduling maintenance activities, the number of breakdowns gradually decrease and this then increases the capacity for productive activities  Production functions can continue with their activities uninterrupted because they know exactly when maintenance will take place.  Maintenance is done when the production floor is not very busy  Capital investments in machinery are reduced as the equipment is utilized to its fullest potential  Expensive machine parts do not have to be kept in inventory as there is better control of the various categories of parts.
  • 104.
    TPM Pillar 3:Quality Maintenance This TPM pillar addresses the issue of quality by ensuring equipment is able to detect and prevent errors during production. By detecting errors, processes become reliable enough to produce the right specification the first time.The quality aspect of maintenance is very important because it helps in preventing defects from moving down the value chain which only leads to a lot of rework. Using lean tools such autonomation (jidoka) and andon, machines detect and report any abnormal conditions, thereby releasing the operators from the tedious monitoring that is common in non-lean operations. The quality maintenance pillar of TPM also ingrains in the workforce the habit of finding the root cause of problems instead of rushing to solutions that are not permanent. This is done through tools such as 5 Whys root-cause-analysis and Ishakawa diagrams which are structured ways of getting to the real reasons why problems occur. Quality maintenance offers a number of advantages including:  Targeted improvement activities address quality issues that arise from time to time in the workplace by coming up with permanent countermeasures  Defects are minimized or completely eliminated  Cost of poor quality is reduced by getting quality right the first time. This happens because errors are caught before they move down the value stream which reduces the amount of rework that has to be done to correct them TPM Pillar 4: Focused Improvement (Kobetsu Kaizen) In this pillar, cross-functional teams are assembled with the main working on problematic equipment and coming up with improvement suggestions. The use of cross-functional teams is important so as to have a large and varied number of employees involved so as to bring in different experience as well as viewpoints to the table. These teams are better placed to come up with solutions to the issues that arise concerning crucial machines. The kaizen projects for maintenance also serve as training sessions on the total productive maintenance tool which results in the organization having a large pool of skilled personnel. Once a focussed improvement team for maintenance has been identified and trained, they choose at least one piece of equipment as a pilot for their activities. Problems relating to the equipment are identified and improvement goals set in a three to five day in-house kaizen event. During the events, the participants map the current state of affairs as a baseline performance measure on which they will compare any future performance after improvement. The teams work together to make sure that any solutions that they come up with are implemented and any follow-up activities are completed within the agreed timelines. The focussed improvement pillar of TPM is therefore advantageous as quick gains are made which helps in promoting the lean methodology to workers who may not have bought in to the program. The organization is able to build-up a large base of employees that are conversant with the right tools for solving problems and getting to the root cause.
  • 105.
    TPM Pillar 5:Early Equipment Maintenance The fifth TPM pillar of Early Management uses the experience gathered from previous maintenance improvement activities to ensure that new machinery reaches its optimal performance much early than usual. Working with a myriad of stake-holders including suppliers, the company is able to hit the ground running with highly reliable and productive equipment The productivity as well as output quality of the machines is also guaranteed from the very first day when the equipment is commissioned. Using the input from the people who use these machines on a daily basis, suppliers of the equipment can improve the maintainability and operability in the next iteration of their products. Among the factors that should be considered when designing new equipment include:  Ease of cleaning and inspection  Ease of lubrication  Accessibility of equipment parts  Improving operability of machines through ergonomically placing controls in such a way that they are comfortable to use by operators  Making it easier for changeover to take place through simplification of procedures or eliminating the unnecessary ones  Feedback mechanisms that prevent out-of-spec situations as well as clear indications of the correct specifications for quality products  Increased safety features Though the machines may be designed and manufactured with all the above considerations in mind, it is still possible that there will be bugs that will need to be removed before full commissioning. Early management is a system that addresses these concerns and uses input from the staff who will be using the equipment before installation. TPM Pillar 6: Education and Training This pillar is concerned with filling the knowledge gap that exists in an organization when it comes to total productive maintenance. Lack of knowledge in the tools can stand in the way of proper implementation leading to mediocre results at best and failure at worst. Without proper training, tools such as TPM can be misunderstood by the staff which can result in disastrous results for the company. Ensuring that employees are trained gives the organization a reliable pool of knowledgeable staff that can drive the initiative competently. TPM education and training pillar is a company-wide initiative that does not leave out any employee cadre. In fact, all levels in the organization – from the operators to senior managers – get involved in the TPM training as well projects. Through training, operators’ skills levels are raised to the point where they are able to carry-out basic maintenance activities that were previously the preserve of maintenance staff.
  • 106.
    The technical staffare then taught higher level skills such as preventive maintenance and analytical skills to help become more proactive to problem solving. At the managerial level, managers also learn the TPM skills so as to become competent mentors to their juniors as well as be involved in coaching programs. TPM Pillar 7: Health, Safety & Environment That workers must be able to perform their functions in a safe environment devoid of health risks cannot be gainsaid. The health, safety and environment pillar of total productive maintenance ensures that all workers are provided with an environment that is safe and that all conditions that are harmful to their well-being are eliminated. While the goal of any organization is to produce value for the customer in an efficient and productive manner, this should be done in a way that is does not put to risk the safety of workers. It is therefore important that any solutions which are put in place should consider the well-being of the worker above all else. When workers are in a safe environment, their attitude towards work changes dramatically with a resultant increase in important metrics such as productivity. This is because injuries or fatalities reduce when there is a concerted effort to make the workplace an accident-free environment. The cross-functional teams will work towards making machines safe to use by the operators by putting in place such features as guards, works standards, use of personal protective equipment and first-aid kits in the work-area. Each of these measures are aimed at improving the safety of the machines so as to have a more productive work-force. TPM Pillar 8: TPM in Office Functions Taking TPM to the administrative functions is the next logical step in the total productive maintenance program so as to have the whole organization speaking from the same page. As these are supportive functions, making them understand and apply the principles of lean in their own operations makes it easy for them to provide efficient service to the main value-creating processes. In addition, spreading the initiative into other functions removes the silo mentality and encourages horizontal cooperation within the workforce. The organization will also benefit by having a larger pool of workers who understand the principles of TPM and can easily be called upon to play a positive role in its implementation. The TPM principles can also be applied as stand-alone techniques to improve the efficiency of these supportive functions. For example, if the administrative functions are able to improve their order processing procedures, then material will get to the shop-floor in a flawless manner which will have a positive effect on the workflow.If suppliers are paid on time, they will have the ability to provide the services that they have been contracted to give without any problem.As we conclude with this pillar, it is important to note that each has its role in the greater scheme of things and should be employed at the appropriate time. While each TPM pillar has can be applied as a stand-alone component, the aim should be to sequentially implement each of the pillars so as to have get the full benefits of a complete system.
  • 108.
    MANAGEMENT INFORMATION SYSTEM Definition:It refers to the processing of information through computers and other intelligent devices to manage and support managerial decisions within an organization. Management Information Systems (MIS) is the study of people, technology, organizations, and the relationships among them. MIS professionals help firms realize maximum benefit from investment in personnel, equipment, and business processes. MIS is a people-oriented field with an emphasis on service through technology. If you have an interest in technology and have the desire to use technology to improve people‘s lives, a degree in MIS may be for you. An automated system designed to provide progress and status information to management as an aid to decision making. MIS stands for management information system. Business managers at all levels of an organization, from assistant managers to executives, rely on reports generated from these systems to help them evaluate their business' daily activities or problems that arise, make decisions, and track progress. Management Information System, commonly referred to as MIS is a phrase consisting of three words: management, information and systems. Looking at these three words, it‘s easy to define Management Information Systems as systems that provide information to management. That is the simple definition of MIS that generally sums up what a Management Information System is, and what it should do. However, its role and impact on the smooth operation of a company can never be overemphasized. That is the reason why every successful company makes use of these systems in one way or another. The reason why Management Information Systems are very important in the day to day operation of companies is because these systems work with people, organizations, technology and relationships among the people and organizations affecting the company. MIS Importance: Management Information System is formal method of collecting information in summarized form. It is network established within an organization to provide information to managers. It provides systematic and analytical information necessary to all level of managers. It helps managers to take right decision at the right time. Importance of MIS is described as follows; 1. Management Information System is always management oriented and keeps in view every level of management and gets the desired information. 2. Integrated – refers to how different components (sub systems) are actually tied up together. eg: different departments of organization linked together. 3. Useful for planning – as every organization makes log-term and short-term plans with the help of information like sales & production, capital investments, stocks etc management can easily plan.. 4. Effective Management Information System helps the management to know deviations of actual performance from pre-set targets and control things. 5. It‘s important for increasing efficiency. 6. MIS provides updated results of various departments to management. 7. MIS is highly computerized so it provides accurate results.
  • 109.
    8. MIS addsto the intelligence, alertness, awareness of managers by providing them information in the form of progress and review reports of an ongoing activity. 9. Helps managers in decision- making. To gain the maximum benefits from your company's information system, you have to exploit all its capacities. Information systems gain their importance by processing the data from company inputs to generate information that is useful for managing your operations. To increase the information system's effectiveness, you can either add more data to make the information more accurate or use the information in new ways. Management Information Systems (MIS) not only include software systems, but the entire set of business processes and resources that are used to pull together information from functional or tactical systems. Data is then presented in a user-friendly and timely manner so that mid and upper-level managers can use it to take the right actions. The entire system is designed so that the company will meet its strategic and tactical goals. Nature and Scope of MIS: The concept of MIS is interdisciplinary in nature, i.e. it has borrowed its concepts from a large number of disciplines like Accounting, Computers, Organizations, Management, Operations Research and Behavioural Sciences, etc .MIS is neither a pure science nor an art; it is recognized as a combination of both. An information system is a logical system, which is concerned with ‗how‘ something is being accomplished and thus may be differentiated from physical system, which is the process itself and is concerned with the content or ‗what‘ is going on.MIS ,in fact encompasses both physical and information systems. There has been a lot of debate on the issue whether MIS is more management – oriented or computer –oriented. Though there are advocates of both sides, MIS should be considered more of a management subject than of computers because of the simple logic that computers are just tool in the hands of managers. Computers are used for their characteristics like accuracy, speed and capacity to handle large amount of data. Nowadays MIS finds application in all functional areas of every type of business organizations at all levels. MIS caters to information needs of managers in an organization, thus its scope lies in structured as well as unstructured type of information which could be gathered from internal as well as external sources of the organization. Further, with the advent of communication technology, the scope of MIS has increased manifold.
  • 110.
    Structure of MIS: Structureof MIS may be understood by looking at the physical components of the information system in an organization. The physical components of an organizational information system may be hardware, software, database, manual procedures and operating persons. A brief description of these components has been outlined in the following paragraphs:  Hardware Hardware refers to the physical data processing equipment and peripheral devices, For example, CPU, monitor, keyboard, printer, drives, tapes, communication devices, etc.  Software Software is a broad term given to the instructions or programs that direct the operating of the hardware. Software could be of two types, i.e. system software and application software.  Database The database consists of all data utilized by application software. Data is stored in files.  Procedures Formal operating procedures, which are required to operate a system, such as manuals, are also regarded as physical elements.  Operating Personnel Personnel like Computer Operators, Computer Programmers, System Analysts, System Managers, etc., are the operating people of the information systems.  Input and Output Various physical inputs and outputs from the information system, existing in forms like printout, reports etc
  • 111.
    MIS - Classificationof Information: Information can be classified in a number of ways: 1. Classification by Characteristic Based on Anthony's classification of Management, information used in business for decision making is generally categorized into three types:  Strategic Information: Strategic information is concerned with long term policy decisions that defines the objectives of a business and checks how well these objectives are met. For example, acquiring a new plant, a new product, diversification of business etc, comes under strategic information.  Tactical Information: Tactical information is concerned with the information needed for exercising control over business resources, like budgeting, quality control, service level, inventory level, productivity level etc.  Operational Information: Operational information is concerned with plant/business level information and is used to ensure proper conduction of specific operational tasks as planned/intended. Various operator specific, machine specific and shift specific jobs for quality control checks comes under this category 2. Classification by Application In terms of applications, information can be categorized as:  Planning Information: These are the information needed for establishing standard norms and specifications in an organization. This information is used in strategic, tactical, and operation planning of any activity. Examples of such information are time standards, design standards.  Control Information: This information is needed for establishing control over all business activities through feedback mechanism. This information is used for controlling attainment, nature and utilization of important processes in a system. When such information reflects a deviation from the established standards, the system should induce a decision or an action leading to control.  Knowledge Information: Knowledge is defined as "information about information" Knowledge information is acquired through experience and learning, and collected from archival data and research studies.  Organizational Information: Organizational information deals with an organization' environment, culture in the light of its objectives. Karl Weick's Organizational Information Theory emphasizes that an organization reduces its equivocality or uncertainty by collecting, managing and using these information prudently. This information is used by everybody in the organization; examples of such information are employee and payroll information.  Functional/Operational Information: This is operation specific information. For example, daily schedules in a manufacturing plant that refers to the detailed assignment of jobs to machines or machines to operators. In a service oriented business, it would be the duty roster of various personnel. This information is mostly internal to the organization.  Database Information: Database information construes large quantities of information that has multiple usage and application. Such information is stored, retrieved and managed to create databases. For example, material specification or supplier information is stored for multiple users
  • 112.
    Information and SystemsConcept: An information system (IS) is an organized system for the collection, organization, storage and communication of information. More specifically, it is the study of complementary networks that people and organizations use to collect, filters, and process, create and distribute data. The concept that information is the message has different meanings in different contexts. Thus the concept of information becomes closely related to notions of constraint, communication, control, data, form, education, knowledge, meaning, understanding, mental stimuli, pattern, perception, representation, and entropy
  • 113.
    Types of InformationSystems: 1. TPS Transaction Processing System 2. MIS Management Information System 3. DSS Decision Support system 4. ESS Executive Support System 5. OAS Office Automation System 1. TPS are used primarily for structured operational, and to a lesser degree, management control applications. 2. MIS are used for semi--structured, management control applications. It also overlaps into the operational and strategic planning realms as well. 3. DSS are used primarily for unstructured decision-making whether that occurs at the operational, management and strategic planning levels. 4. ESS is used primarily for structured management and strategic planning applications. 5. OAS are used as a facilitator of office correspondence and communication, underlies all of this activity
  • 114.
    7 An Overview ofEnterprise Resource Planning (ERP) Learning Objectives: ♦ To have an idea about ERP; ♦ To know about Business Process Re-Engineering; ♦ To discuss the process of ERP implementation; and ♦ To understand the related issues with ERP. 7.0 Introduction In today’s fiercely competitive business environment, there has to be much greater interaction between the customers and manufacturers. This means, in order to produce goods tailored to customer requirements and provide faster deliveries, the enterprise must be closely linked to both suppliers and customers. In order to achieve this improved delivery performance, decreased lead times within the enterprise and improved efficiency and effectiveness, manufacturers need to have efficient planning and control systems that enable very good synchronization and planning in all the processes of the organization. Also, it requires a strong integration across the value chain. Hence, there is a need for a standard software package, which equips the enterprise with the necessary capabilities to integrate and synchronize the isolated functions into streamlined business processes in order to gain a competitive edge in the volatile business environment. Most organisations across the world have realised that in a rapidly changing environment, it is impossible to create and maintain a custom-designed software package, which will cater to all their requirements, and be up-to-date. Realising the requirement of user organisations, some of the leading software companies have designed Enterprise Resource Planning software, which offers an integrated software solution to all the functions of an organisation. Enterprise Resource Planning (ERP) is the latest high-end solution, information technology has lent to business applications. The ERP solutions seek to streamline and integrate operation processes and information flows in the company to synergise the resources of an organisation namely men, material, money and machine through information. Initially implementation of an ERP package was possible only for large multi nationals and infrastructure companies due to high cost. Today, many companies in India have gone in for implementation of ERP. It is expected that in the near future, 60 per cent of the companies will © The Institute of Chartered Accountants of India
  • 115.
    7.2 Information SystemsControl and Audit be implementing one or the other ERP packages since this will become a must for gaining competitive advantage. 7.1 ERP-Definition An Enterprise resource planning system is a fully integrated business management system covering functional areas of an enterprise like Logistics, Production, Finance, Accounting and Human Resources. It organizes and integrates operation processes and information flows to make optimum use of resources such as men, material, money and machine. ERP is a global, tightly integrated closed loop business solution package and is multifaceted. In simple words, Enterprise resource planning promises one database, one application, and one user interface for the entire enterprise, where once disparate systems ruled manufacturing, distribution, finance and sales. Taking information from every function it is a tool that assists employees and managers plan, monitor and control the entire business. A modern ERP system enhances a manufacturer ability to accurately schedule production, fully utilize capacity, reduce inventory, and meet promised shipping dates. A general model of ERP is shown in Fig. 1. Fig 7.1.1 : General Model of ERP CENTRAL DATABASE Cross Functionalities * Organisation ofmaterials * * * * * * * * * * * * * * * * * * * * Payroll/Employee Job/projectManagement CostAccounting Accountsreceivable Accountspayable Generalledger Fixedassets Budgetary Inventory Logistics/Distribution Multi-platform Multi-facility Multi-mode manufacturing Multicurrency Multilingual Imaging Databasecreation Electronic mail Workflow Automation Electronic Data Interchange 3.BusinessPlanningResources Facilities Maintenance, Plan- ning & implementation 4. Operational Planning & Execution–resources * * * * * * * * * * * Intelligentresourceplanning HumanResourcePlanning QualityManagement Recruitment Payroll Job evaluation and Perfor- mance appraisal CostingandBudgeting Qualitycontroland planning Maintenance Engineering & Scheduling FixedAssets Resource MIS 1.BusinessPlanning– Materials 2.OperationPlanning& Execution – Materials * * * * * * * * * * * * * * * * Newproduct Existing product BillofMaterial ProductPricing Long term forecasting Capacityplanning EngineeringChangeManagement Ordermanagement Distributionmanagement Inventory Orderprocessing Suppliermanagement Inventory /warehouse Management Forecasting DistributionManagement Scheduling © The Institute of Chartered Accountants of India
  • 116.
    An Overview ofEnterprise Resource Planning (ERP) 7.3 7.1.1 Evolution of ERP : In the ever-growing business environment, the following demands are placed on the industry: • Aggressive cost control initiatives • Need to analyse costs/revenues on a product or customer basis • Flexibility to respond to changing business requirements • More informed management decision making • Changes in ways of doing business. The difficulty in getting accurate data, timely information and proper interface of complex business functions have been identified as the hurdles in the growth of any business. Time and again, depending on the velocity of the growing business needs, one or the other applications and planning systems have been introduced into the business world for crossing these hurdles and achieving growth. They are: • Management Information Systems (MIS) • Integrated Information Systems (IIS) • Executive Information Systems (EIS) • Corporate Information Systems (CIS) • Enterprise Wide Systems (EWS) • Material Resource Planning (MRP) • Manufacturing Resource Planning (MRP II) • Money Resource Planning (MRP III) ERP has evolved from the system known as MRPII (Manufacturing Requirement planning) system with the integration of information between Vendor, Customer and Manufacturer using networks such as LAN, WAN and INTERNET etc. MRPII system again evolved from MRP (Material Requirement Planning) system. MRP is a technique that explodes the end product demands obtained from Master Production Schedule (MPS) for the given product structure which is taken from Bill of Material (BOM) into a schedule of planned orders considering the inventory in hand. MRP system processes this data and provides valuable guidelines to the scheduler in the form of work orders to plan the Production Schedule. The net requirements for each item are computed and replenishment orders are created and planned for release. MRP system provides reports such as MRP reports, Planned Order releases for Purchase orders, Work Orders, Reschedule open orders report, Firm planned reports, Shortages report etc. MRP is considered as an important planning and manufacturing control activity for materials. MRPII is a method for planning of all the resources of the manufacturing company. It involves all operational and financial planning and has simulation capabilities to answer ‘WHAT IF’ questions. It links different functional areas like Business Planning, Production Planning, MPS, © The Institute of Chartered Accountants of India
  • 117.
    7.4 Information SystemsControl and Audit MRP, Capacity Requirement Planning and Execution system for capacity and priority. Output from these systems is integrated with Financial Reports such as Business Plan, Purchase, Shipping, Budget, and Inventory for production etc. MRPII has a number of drawbacks. The main problem is that it has not been able to effectively integrate the different functional areas to share the resources effectively. ERP as the name indicates is the integration of Enterprise Resources. The ERP package works on the fundamental premise that the whole being greater than the sum of its parts. It provides an integrated information storehouse where information needs to be stored only once and can be further processed and reported to anyone in the value chain. The traditional application systems, which the organizations generally employ, treat each transaction separately. They are built around the strong boundaries of specific functions that a specific application is meant to cater. For an ERP, it stops treating these transactions separately as stand-alone activities and considers them to be the part of the inter-linked processes that make up the business. Almost all the typical application systems are nothing but the data manipulation tools. They store data, process them and present them in the appropriate form whenever requested by the user. In this process, the only problem is that there is no link between the application systems being used by different departments. An ERP system also does the same thing, but in a different manner. There are hundreds of such data tables, which store data generated as a result of diverse transactions, but they are not confined to any departmental or functional boundaries, but rather integrated to be used by multiple users, for multiple purposes and at multiple places. 7.1.2 Enabling Technologies : It is not possible to think of an ERP system without sophisticated information technology infrastructure. It is said that, the earlier ERP systems were built only to work with huge mainframe computers. The new era of PC, advent of client server technology and scalable Relational Database Management Systems (RDBMS), all have contributed for the ease of deployment of ERP systems. Most of the ERP systems exploit the power of Three Tier Client Server Architecture. In a client server environment, the server stores the data, maintaining its integrity and consistency and processes the requests of the user from the client desktops. The load of data processing and application logic is divided between the server and the client. The three-tier architecture adds a middle stratum, embodying all application logic and the business rules that are not part of the application, enforcing appropriate validation checks. It is assumed that the companies implementing ERP solutions have multiple locations of operation and control. Hence, the online data transfer has to be done across locations. To facilitate these transactions, the other important enabling technologies for ERP systems are Workflow, Work group, Group Ware, Electronic Data Interchange (EDI), Internet, Intranet, Data warehousing, etc. 7.1.3 ERP Characteristics : An ERP system is not only the integration of various organization processes. Any system has to possess few key characteristics to qualify for a true ERP solution. These features are: © The Institute of Chartered Accountants of India
  • 118.
    An Overview ofEnterprise Resource Planning (ERP) 7.5 Flexibility : An ERP system should be flexible to respond to the changing needs of an enterprise. The client server technology enables ERP to run across various database back ends through Open Database Connectivity (ODBC). Modular & Open : ERP system has to have open system architecture. This means that any module can be interfaced or detached whenever required without affecting the other modules. It should support multiple hardware platforms for the companies having heterogeneous collection of systems. It must support some third party add-ons also. Comprehensive : It should be able to support variety of organizational functions and must be suitable for a wide range of business organizations. Beyond The Company : It should not be confined to the organizational boundaries, rather support the on-line connectivity to the other business entities of the organization. Best Business Practices : It must have a collection of the best business processes applicable worldwide. An ERP package imposes its own logic on a company’s strategy, culture and organisation. 7.1.4 Features of ERP : Some of the major features of ERP and what ERP can do for the business system are : • ERP provides multi-platform, multi-facility, multi-mode manufacturing, multi-currency, multi-lingual facilities. • It supports strategic and business planning activities, operational planning and execution activities, creation of Materials and Resources. All these functions are effectively integrated for flow and update of information immediately upon entry of any information. • Has end to end Supply Chain Management to optimize the overall Demand and Supply Data. • ERP facilitates company-wide Integrated Information System covering all functional areas like manufacturing, selling and distribution, payables, receivables, inventory, accounts, human resources, purchases etc. • ERP performs core activities and increases customer service, thereby augmenting the corporate image. • ERP bridges the information gap across organisations. • ERP provides complete integration of systems not only across departments but also across companies under the same management. • ERP is the solution for better project management. • ERP allows automatic introduction of the latest technologies like Electronic Fund Transfer (EFT), Electronic Data Interchange (EDI), Internet, Intranet, Video conferencing, E-Commerce etc. • ERP eliminates most business problems like material shortages, productivity enhancements, customer service, cash management, inventory problems, quality problems, prompt delivery etc. © The Institute of Chartered Accountants of India
  • 119.
    7.6 Information SystemsControl and Audit • ERP provides intelligent business tools like decision support system, Executive information system, Data mining and easy working systems to enable better decisions. 7.1.5 Why Companies Undertake ERP • Integrate financial information : As the CEO tries to understand the company’s overall performance, he may find many different versions of the truth. Finance has its own set of revenue numbers, sales has another version, and the different business units may each have their own version of how much they contributed to revenue. ERP creates a single version of the truth that cannot be questioned because everyone is using the same system. • Integrate customer order information : ERP systems can become the place where the customer order lives from the time a customer service representative receives it until the loading dock ships the merchandise and finance sends an invoice. By having this information in one software system, rather than scattered among many different systems that can’t communicate with one another, companies can keep track of orders more easily, and coordinate manufacturing, inventory and shipping among many different locations simultaneously. • Standardise and speed up manufacturing processes : Manufacturing companies - especially those with an appetite for mergers and acquisitions—often find that multiple business units across the company make the same transaction/ recording/ report using different methods and computer systems. ERP systems come with standard methods for automating some of the steps of a manufacturing process. Standardising those processes and using a single, integrated computer system can save time, increase productivity and reduce headcount. • Reduce inventory : ERP helps the manufacturing process flow more smoothly, and it improves visibility of the order fulfilment process inside the company. That can lead to reduced inventories of the materials used to make products (work-in-progress inventory), and it can help users better plan deliveries to customers, reducing the finished good inventory at the warehouses and shipping docks. To really improve the flow of your supply chain, you need supply chain software, but ERP helps too. • Standardise HR information : Especially in companies with multiple business units, HR may not have a unified, simple method for tracking employees’ time and communicating with them about benefits and services. ERP can fix that. 7.1.6 Benefits of ERP : The benefits accruing to any business enterprise by implementing an ERP package are unlimited. According to companies like Nike, DHL, Tektronix, Fujitsu, Millipore, and Sun Microsystems, the following are some of the benefits they achieved by implementing the ERP packages : • Gives Accounts Payable personnel increased control of invoicing and payment processing and thereby boosting their productivity and eliminating their reliance on computer personnel for these operations. • Reduce paper documents by providing on-line formats for quickly entering and retrieving information. © The Institute of Chartered Accountants of India
  • 120.
    An Overview ofEnterprise Resource Planning (ERP) 7.7 • Improves timeliness of information by permitting posting daily instead of monthly. • Greater accuracy of information with detailed content, better presentation, satisfactory for the auditors. • Improved cost control. • Faster response and follow-.up on customers. • More efficient cash collection, say, material reduction in delay in payments by customers. • Better monitoring and quicker resolution of queries. • Enables quick response to change in business operations and market conditions. • Helps to achieve competitive advantage by improving its business process. • Improves supply-demand linkage with remote locations and branches in different countries. • Provides a unified customer database usable by all applications. • Improves International operations by supporting a variety of tax structures, invoicing schemes, multiple currencies, multiple period accounting and languages. • Improves information access and management throughout the enterprise. • Provides solution for problems like Y2K and Single Monetary Unit (SMU) or Euro Currency. 7.2 Business Process Reengineering (BPR) ERP is a result of a modern Enterprise’s concept of how the Information System is to be configured to the challenging environments of new business opportunities. However merely putting in place an information system is not enough. Every company that intends to implement ERP has to reengineer its processes in one form or the other. This process is known as Business Process Reengineering (BPR). Table 1 : Some Typical processes with descriptions Process Description Forecasting Shows sales, Fund Flows etc over a long period of time say next two years Fund management The necessity of funds and the way to raise these funds. Uncertainty and Risk factors to be considered. Simulation with `What if” type analysis Price Planning Determines the price at which products are offered. Involves application of technology to pricing support such as commercial database services. Also feedback and sensitivity analysis Budget Allocation Using computerised algorithms to estimate desirable mix of funds allocated to various functions. © The Institute of Chartered Accountants of India
  • 121.
    7.8 Information SystemsControl and Audit Material requirement planning Process of making new products from raw materials and include production scheduling, requirement planning. Also activities for monitoring and planning of actual production. Quality control Takes care of activities to ensure that the products are of desired quality. 7.2.1 What is BPR? The most accepted and formal definition for BPR, given by Hammer and Champhy is reproduced here: “ BPR is the fundamental rethinking and radical redesign of processes to achieve dramatic improvement, in critical, contemporary measures of performance such as cost, quality, service and speed,” This has a few important key words, which need clear understanding. Here, dramatic achievement means to achieve 80% or 90% reduction (in say, delivery time, work in progress or rejection rate) and not just 5%, 10% reduction. This is possible only by making major improvements and breakthroughs, and not small incremental changes (like those in Total Quality Management (TQM) or suggestion schemes). Radical redesign means BPR is reinventing and not enhancing or improving. In a nutshell, a “cleansiate approach” of BPR says that “Whatever you were doing in the past is all wrong”, do not get biased by it or reassemble you new system to redesign it afresh. Fundamental rethinking means asking the question “why do you do what you do”, thereby eliminating business process altogether if it does not add any value to the customer. There is no point in simplifying or automating a business process which does not add any value to the customer. A class example is that of asking for an invoice from the supplier for payment when the company has already received and accepted a particular quantity of materials physically and at an agreed price. Receiving, processing, and filing of invoices add no value to customer and makes only the supplier unhappy for delayed payments. Thus, BPR aims at major transformation of the business processes to achieve Dramatic improvement. Here, the business objectives of the Enterprise (e.g., profits, customer-satisfaction through optimal cost, quality, deliveries etc.) are achieved by “transformation” of the business processes which may, or may not, require the use of Information Technology (IT). 7.2.2 Business Engineering : Business Engineering has come out of merging of two concepts namely Information Technology and Business Process Reengineering. Business Engineering is the rethinking of Business Processes to improve speed, quality and output of materials or services. The emphasis of business engineering is the concept of Process Oriented Business Solutions enhanced by the Client-Server computing in Information Technology. The main point in business engineering is the efficient redesigning of company’s value added chains. Value added chains are a series of connected steps running through a business which when efficiently completed add value to enterprise and customers. Information technology helps to develop business models, which assist in redesigning of business processes. Business Engineering is the method of development of business processes according to changing requirements. © The Institute of Chartered Accountants of India
  • 122.
    An Overview ofEnterprise Resource Planning (ERP) 7.9 7.2.3 Business Management : ERP merges very well with common business management issues like Business Process Reengineering, total quality management, mass customisation, service orientation, and virtual corporation etc. The basic objective of implementing an ERP program is to put in place the applications and infrastructure architecture that effectively and completely support the Enterprise’s business plan and business processes. When an enterprise does not have optimized business processes, the ERP implementation needs a process reengineering which enable to capture knowledge of the experts into the system thus gaining considerable benefits in productivity. The first step in implementation of ERP is the development of a Business process model showing business process as one large system and the interconnection and sequence of business subsystems or processes that drive it. 7.2.4 Business Modelling : The approach of ERP implementation is carried out using MIS planning. First of all, a model consisting of core business processes or activities of the business is to be developed. This is the diagrammatic representation of Business as a large system with interconnection of subsystems or processes that it comprises of. A typical layout is shown in Figure 2. The planning to arrive at the process is from top down whereas the MIS implementation is done from bottom up. We can model Business as a system making the processes managing their facilities and material as their resources. Information is treated as a vital resource managing other resources. Fig 7.2 : SAP Modules The Data model consists of two elements. 1. A diagram describing various Business processes and their interactions. 2. An underlying Data Model. SAP R/3 System Client Server Architecture AGAP/7 Programming Language Q M P M H R Q u a l i t y P l a n t H u m a n M a n a g e m e n t M a n a g e m e n t R e s o u r c e s PP M M SD Production M aterials Sales Planning M anagem ent D istribution F I C O A M F i n a n c i a l C o n t r o l l i n g F i x e d A s s e t s A c c o u n t i n g M g t Features z z z z z z z Business Processes Comprehensive functionality Designed for all types of business Multi-national Business engineering Client server architecture Open System I S W F P S I n d u s t r y W o r k P r o j e c t S o l u t i o n f l o w s y s t e m © The Institute of Chartered Accountants of India
  • 123.
    7.10 Information SystemsControl and Audit The Reference model can be used by various companies to list their processes and data entities and if required can be subsequently modified to suit specific nature of requirements. Some typical examples are shown in table 2. Table 2 : List of some of the entities forming a data model Entity Description External Data Entities outside the firm that interact with it such as customers, suppliers, competitors and distributors. Also includes predictive data regarding economy and future events in external environment. Internal Data Data generated from the firm’s transaction processing system, internal forecasts or parameters monitored . Funding Data Includes information on specific sources of funds as well as availability terms and conditions etc. Marketing Research Data Mainly consumer related data that can be used to support marketing decisions and result of surveys. Production Data Shop floor data on production processes including standards and actual of time and material resources concerned. Inventory data Includes inventories of raw materials goods in progress and finished goods. Personnel data Mostly includes profiles of employees, their skill levels, experience and past performance on various assignments. Sales forecast Product-wise and period-wise forecast for various products sold by the company. Payroll data Data about salaries, tax deductions, statutory forms and other deductions General Ledger Integrated transaction data from pay roll and account receivable. It is the basis for budgeting and planning data. The general principles of Business Process Analysis and classification and methodology of looking at a Business Information system to support a series of interlocking subsystems are universally applicable. 7.2.5 Business modeling in practice : Most of the ERP packages available today enable flow charting business processes using standard flow chart symbols. By connecting symbols used for users, events, tasks/functions, and other organizational information, complex business information can be analysed .For example SAP which is a popular ERP package uses event driven process chain (EPC) methodology to model Business Process. All ERP packages provide standard template for each of the processes so that actual processes can be compared and deviations analysed. With the help of the business model, it is possible to check as to how well the model fits into the application so that the degree of suitability of the © The Institute of Chartered Accountants of India
  • 124.
    An Overview ofEnterprise Resource Planning (ERP) 7.11 ERP package can be assessed. Business Modeling is the basis by which one can select and implement a suitable ERP package. 7.3 ERP Implementation ERP implementation is a special event in an organisation. It brings together in one platform, different business functions, different personalities, procedures, ideologies and philosophies with an aim to pool knowledge base to effectively integrate and bring worthwhile and beneficial changes throughout the organization. Implementation of ERP is a risky effort since it involves considerable amount of time, efforts and valuable resources. Even with all these, the success of an implementation is not guaranteed. The success of an implementation mainly depends on how closely the implementation consultants, users and vendors work together to achieve the overall objectives of the organisation. The implementation consultants have to understand the needs of the users, understand the prevailing business realties and design the business solutions keeping in mind all these factors. It is the users who will be driving the implementation and therefore their active involvement at all stages of implementation is vital for the overall success of implementation. An ERP package after implementation is expected to improve the flow of information and formalize and standardize all the business processes and workflow that exist in an enterprise. However the workload of users may not decrease. It is worthwhile to remember that ERP is an enabling tool, which makes one do his work better, which naturally need additional efforts. During the course of implementation the standard package may undergo changes which may be a simple one or a major ‘functionality’ change. Implementing such changes is known as Customization. The contents of the package are known as modules and the modules are further divided into Components. However, it is always better to satisfy user requirements and overall objectives within the available framework of the existing package because any change in any functional module will have an adverse impact on the functioning of the other modules of the package. Maximum benefit will be available only when the standard package is implemented in totality with an aim for optimised use. The roles and responsibilities of the employees have to be clearly identified, understood and configured in the system. The employees will have to accept new processes and procedures laid down in the ERP system. At the same time these processes and procedures have to be simple and user friendly. The ability of the ERP package to manage and support dynamically changing business processes is a critical requirement for the organisation and therefore the package should be expandable and adaptable to meet these changes. A well managed and implemented ERP package can give a 200 percent return on investment where as a poorly implemented one can yield a return on investment as low as 25 percent. 7.3.1 Key Planning and Implementation decisions This discussion looks at a number of the key decisions that need to be made when considering an enterprise integration effort. © The Institute of Chartered Accountants of India
  • 125.
    An Overview ofEnterprise Resource Planning (ERP) 7.21 management resolve to insist on implementation of the system. Even with all the preparations during the implementation, during post-implementation there will be need for course correction many times. It may be because of the following reasons : • A change in the business environment requires a change in the CSFs, resulting in a new or changed set of KPIs necessitating reconfiguration. • A review indicates a need for change in some process. • Vision changes in the ERP and improvements in hardware and communication technology necessitate changes. • New additions to the business require extra functionality. The international trend is to outsource the activity of maintenance and upgradation to enable the company to concentrate on its core business activity. Correcting its course can be done by going in for an ERP audit, which is an emerging trend. This audit could be general in nature or very specific. One of the specialized areas is to evaluate the security, authorization and controls. An audit could be triggered either by a perceived inadequacy in terms of return on investment or by a simple desire to improve existing systems. To conclude, investment in an ERP system is substantial for any organization. While implementation itself is a challenge, the ultimate test is in proper usage. This can be ensured by integrating the business objectives with the ERP functionality during the implementation stage. The limitations of an ERP must also be recognized to get the right expectation. A periodic independent audit would be a proper mechanism for an organization to ensure that it gets the best return on investment. 7.8 Sample List of ERP Vendors This is only a sample listing of ERP Vendors. It may not be comprehensive. Baan (The Baan Company) : In 1994, a Boeing order catapulted Baan into the global ERP vendor league. Baan has held and built on this position with other major orders and a strategy for simultaneously addressing manufacturers from the largest global player to the smallest ERP user. Baan has a sound technology base and a broad functional scope. It offers credible tools for business process analysis linked to implementation of its software, and is launching workflow capabilities to build on this. Business Planning and Control System (BPCS) : BPCS remains the market-leading manufacturing ERP solution in terms of sites. SSA only targets manufacturing companies. It offers good functionality for process, discrete and Kanban manufacturing, but not for project management. It lags in the areas of process-oriented implementation tools and workflow. Some users are concerned by SSA’s stated objective of being the object oriented technology leader. SSA has made mistakes, its developments have not run to schedule and it has incurred enormous losses. However, there are signs that it has turned the corner. Mapics XA (Marcam Corporation) : Mapics has been around for a long time, and many view it as a dated, legacy application. Mapics is a suite of 40 modules with 'good enough' © The Institute of Chartered Accountants of India
  • 126.
    7.22 Information SystemsControl and Audit functionality. Many users report that Mapics now offers more functionality than they need. It offers robustness, easy implementation and reasonable value for money. MFG/Pro (QAD) : QAD's strength is in repetitive manufacturing. Originally designed to meet the MRP II criteria published by Oliver Wight, MFG/Pro's reputation includes reliable manufacturing functionality and straightforward implementations. Oracle Applications (Oracle) : Oracle's Manufacturing Applications will tempt IT departments, with its vision of Internet-enabled, network-centric computing. As a one-stop shop, it offers the database, tools, implementation, applications and Unix operating systems running on a wide choice of hardware. Oracle has invested heavily to enhance functionality but production managers should still check that it delivers all the functionality they want. Prism (Marcam Corporation) : Prism is a specialist process manufacturing solution for the AS/400. Its production model, which is akin to a flowchart, handles process industry problems elegantly. Although out dated, it does the job. R/3 (SAP): In five years, R/3 is the market leader in new sales. Its philosophy of matching business processes to modules is excellent. It offers a wide range of functions and its major shortcomings are yet to be identified. However, it remains complex, because it offers much; few people know how to get the best from it. R/3 will be around for a long time; few people get fired for buying it. System 21 (JBA) : JBA develops and implements System 21. Its software license revenues are small compared to those of other major ERP vendors. Nevertheless, it is a world player. It does not offer leading-edge technology, but does offer a rugged, reliable manufacturing solution. 7.9 ERP Software Package (SAP) SAP AG has developed an ERP package called SAP. It will be worthwhile to look into this package in detail because SAP looked at the entire business as a single entity when developing this software. Therefore, it is a unique system that supports nearly all areas of business on a global scale. SAP has a number of Application Modules in the package. Some of these modules are shown in figure 2 given earlier. 1. Financials. 2. Controlling 3. Investment Management 4. Treasury 5. Integrated Enterprise Management 6. Sales and Distribution. 7. Production Planning and Control. 8. Materials Management © The Institute of Chartered Accountants of India
  • 127.
    An Overview ofEnterprise Resource Planning (ERP) 7.39 7.10 Case Study 7.10.1 Videocon Group Getting into the groove : Consolidation of information flowing in from a multi-branch factory and multi operation was the main driver behind the Videocon Group’s decision to implement an Enterprise Resource Planning (ERP) package. “For a multi-manufacturing, multi-branch company like ours, the one major essential was centralized and consolidated information that is available in a uniform manner across various levels in the organisation,” says Pradip Kumar N Dhoot, President, Videocon International, the flagship company of the group. “The factories were already working on legacy systems using an Intranet and collating information. But each factory and branch would use different software, varied platforms, which did not speak to each other. This not only resulted in huge inflow of data which could not be consolidated for analysis but also duplication of data,” Videocon is a $ 1-billion company. Even one per cent change in any data entry or analysis translates into millions and can sometimes wipe out the profits of the organisation. So they needed a system that would help them to be responsive and act fast. Further, at some stage they wanted to share a common platform with their dealers so that they could access the company servers and database, get updates on issues relating specifically to them as well as the company on the whole. The mandate : It was in 1998 that Videocon began evaluating ERP packages and roped in the Pune-based Ygyan Consulting to help select and implement an appropriate package. In August 1998, based on Ygyan’s recommendations, SAP’s ERP package was finally selected. The issues that needed to be addressed included: • Better inventory management and control. • Improved financial reporting and control. • Automation of certain tasks that were performed manually to increase productivity. • Improved production planning. • Better information on stocks at various locations. • Using an integrated system as opposed to disparate systems at different locations, thereby eliminating errors of duplicate entries. • More accurate costing of products. • Better credit control. • Improved cash flow planning. • Automatic quality-control and tracking. • Better after-sales-service. • Better information and reporting to top management. © The Institute of Chartered Accountants of India
  • 128.
    7.40 Information SystemsControl and Audit Going about the implementation : For the implementation, Ygyan first tied up with Siemens Information systems Ltd. (SISL) for a pilot project at the first site – Videocon Appliances Ltd. The modules implemented were finance and Control, Materials Management, Sales and Distribution, Production Planning and Quality Management. Videocon International was next in line. The scope of the project included all modules mentioned above in addition to a Plant Maintenance module. The implementation was divided into two phases where the four factories went first, followed by marketing operations across the country. The factories are located in Aurangabad, Bharuch, Gandhinagar and Bhalgaon. Factories (parent units) went live first, within a year, and have been live for the past two years. They decided to go with the factories first because they are situated close to each other, compared to the branches, which are scattered across the country. During the implementation, connectivity was a problem. So Ygyan suggested a mix of leased lines, ISDN, VSATs and Internet connectivity to optimise the costs while ensuring enough speed for users connecting from remote locations. The entire process took eight months, right from drawing up the blue prints, consulting, customising and training core teams. The Group almost invested in excess of Rs.25 crore for the implementation, including the ERP package, hardware, connectivity etc., excluding the maintenance charges. The biggest question that they had to ask themselves was whether or not they wanted transparency. That’s the first thing that comes to light once ERP is in place since ERP involves a top downward approach – from a sales person to the top management, everybody is accountable. The most important issue in the implementation of any technology is the attitude of the employees, it has to change – from working for oneself to working as a whole for the organisation. Employees too had their own fears and apprehensions about the system. A strong fear was that of retrenchment as a result of the implementation. However, the company held adequate training workshops at central and state level. In the factories, various processes were documented using print and audio / video to facilitate training on new employees.” On the whole, employee reaction was positive as people were already using computers and an Intranet to send information. The initial apprehension fell through once people started using the system. Lessons to learn : There were a few areas in which they did face problems with the package, as it does not have modules specific to Indian requirements such as taxes, Letter of Credits (LCs), import clearance and product evolution. In fact, a product evolution module is very essential for a consumer durable company, as it is needed to develop products according to market feedback. For a durable company, a new development would cost crores and be spread across 18 months or so. A product evolution module can be of great help in this scenario, the company management feels. Looking ahead : It was reported in October, 2001, that Ygyan is now in the process of rolling out SAP in all other group companies, one at a time. The company managers are also working © The Institute of Chartered Accountants of India
  • 129.
    An Overview ofEnterprise Resource Planning (ERP) 7.41 with them in other IT initiatives, including e-business and Internet-based customer relationship management systems. The next step will be to see how system can be extended to include the partners and dealers. But that will start only after six-eight months once the employees get completely comfortable with the system. CRM is another area that the company is interested in. 7.10.2 Case Study/Telecom Company : AirTouch Cellular Industry : Telecom Solution Area : Financials AirTouch Cellular is a subsidiary of AirTouch Communications, a global wireless communications company serving 6.7 million customers worldwide in the areas of cellular, paging, personal communications services (PCS) and Globalstar satellite system markets. Problem : AirTouch’s financial analysts, located in different functional groups in five geographic regions, were missing access to the same data, as well as timely access to information. Dated budget and actual numbers for each business unit resided in seven different systems, separating critical components of the Profit and Loss A/c and inhibiting analysts’ ability to assess results. To further complicate matters, analysts in the field could not go to one universal place to retrieve the data themselves - they relied on the home office to deliver it. The company wanted to set some critical financial objectives to help it remain competitive and increase market share. AirTouch chose Oracle Corporation’s online analytical processing (OLAP) tools to better control costs, analyze performance, evaluate opportunities, and formulate future direction. And to improve the basis for making decisions quickly and accurately with real-time, consistent data; to improve cost control, and to simplify and shorten the budgeting process. Implementation : AirTouch Cellular looked at two other vendors before choosing Oracle, but neither could provide users with the hands-on ability to consolidate budgets, include actuals in the process, or do what-if scenarios online. AirTouch Cellular’s parent company also had a proven, successful track record with other Oracle applications and a corporate initiative to make Oracle the vendor of choice. Oracle provided on-site expertise in the product, the concept, and the business to create a user-friendly system. The project came in on time and within budget, with very few post- implementation issues. Completing the entire implementation in eight months was quite a feat, given the many changes that occurred in that time frame, according to the company. Not only did the company convert to a new system, it completely overhauled the budget process and the P&L reporting format-amid departmental and company reorganizations. Benefits : It resulted into more than $8 million in hard and soft dollar savings. Also, it reduced the length of the budgeting cycle and the number of people involve in the process, keeping the company financially competitive in a growing market. The system now provides online, real- time access to information. © The Institute of Chartered Accountants of India
  • 130.
    7.42 Information SystemsControl and Audit Now, analysts can individually access the same data warehouse for current, real-time information for their analyses. This means the vice presidents from each business unit in the division now have the data they need-budget or actual-on a timely basis. Thus enabling business units to make better, faster business decisions based on more accurate information. Their increased understanding of the data helps them run their slices of the business more effectively, because they can now make real-time, online decisions that help them stay on budget or shift business direction. © The Institute of Chartered Accountants of India
  • 131.
    Industry 4.0: BasicUnderstanding and Readiness of India Mankind has witnessed 3 industrial revolution between 17th to 20th century starting from first revolution in which machine operation from steam engine in power loom industry. Subsequently mankind has invented electricity which has changed the way of life and gave birth to assembly lines and mass production concept and give momentum to industrialization worldwide. However, all operations of assembly lines and industry were still totally dependent on manpower and labours which may cause dependence and some errors as well depending on variation in skills of one labour to another. In this time, technology has increased its importance and with invention of computers and robotics, conventional manpower has been replaced with robotics. Further, synchronization of operation with computer to do repetitive task without errors and better speed. It gave birth to 3rd revolution in Industrialization. Now, we are fortunate enough to witness the 4th phase of industrialization which is renowned as “Industry 4.0” particularly term given by Germany and same can be referred as “Internet of Things (IoT) by many English-speaking countries including USA. Industry 4.0 is all about optimization of smart, flexible supply chains, factories and distribution models where machines capture and convey more data via machine-to- machine communications and to human operators. Industry 4.0 aims at enabling businesses to make quicker, smarter decisions, all while minimizing costs and minimum human interventions. Timeline of industrialization evolution is given below. Year - 1780 1. Mechanization steam engines. Water/ steam power. i.e. Textile Industries, Machine Tools, Steam Factories Year 1870 2. Technological Electrification and Mass Production. i.e. First Assmebly Line in slaughterhouses Year 1969 3. Computers/ Internet/ PLC/ Robotics. Automation of Electronics and Digital machines i.e. Robotic handling system Present Time 4. Convergence IT/ Autonomus machine advanced robotics/Cloud/Smart Factory/Machine Learning and AI.
  • 132.
    Ref: What isIndustry 4.0 and is India prepared for the change? Following are the three key trends in Industry 4.0 that are changing the way of life for industrial companies and their employees today are 1) Digitize: Production processes in all sectors from high tech to industrial equipment are being transformed today through digital technologies. 2) Industrialize: Companies are already integrating these technologies to improve and evolve. 3) Optimize: State of the art manufacturers identify that enhancing the manufacturing process for even the simplest of the products presents new opportunities for growth. India is on the verge of start its journey of becoming economic, industrial and defense superpower in next 3 decades looking to its current growth trajectory of continuous GDP growth at around 7.0% plus annually and vision of “Digital India”, “Make in India” and “Smart Cities” projects. For this vision, Indian industry need to understand the importance of “Industry 4.0” and make themselves equip and gear up for 4th industrial revolution. In this dream of India, Supply Chain Industry will play crucial role. Before analyzing the “Readiness for Industry 4.0 - 6-dimensional model”, we first understand 9 major technological components which foundation stones of Industry 4.0 are. 1) Huge Data Quantum: System gathers too much data makes it difficult to identify the relevant information and trends that can lead to some intelligent analysis. In this juncture, huge data analysis techniques come into picture. They make it possible to identify the performance of an individual component and its
  • 133.
    operating restrictions inorder to prevent future production issues and take preventative action. 2) Cloud computing: The industry has seen a large shift in utilizing cloud solutions and the cloud is being used for applications such as remote services and performance benchmarking and its role in other business areas will continue to expand. With continuous advancements in technology, machine data and functionality will only continue to shift towards cloud solutions. The cloud allows for a much faster roll out of updates, performance models, and delivery options than standalone systems. 3) Internet of things (IoT): The IoT is a key functionality in Industry 4.0 driven solutions. IoT is a system of interrelated computing devices, mechanical and digital machines, objects and people that are provided with unique identifiers and the ability to transfer data over a network without requiring human-to-human or human-to-computer interaction. For instance, smart watches in the market have turned our wrists into smartphone holsters by enabling text messaging, phone calls, and more. Devices such as Fitbit and Jawbone have helped revolutionize the fitness world. With the proper connections and data, the IoT can solve traffic congestion issues, reduce noise and pollution. 4) Simulation: The simulations of systems allow assessment of various scenarios. Once the scenarios are assessed, cost effective solutions can be developed, tested and implemented much quicker leading to reduced cost and time to market. 5) Autonomous robots: They are used to automate production methods across the various sectors and are powered by the concept of Internet of Things (IoT). This connects devices and computer machines to communicate with each other. Materials can be transported across the factory floor via autonomous mobile robots (AMRs), avoiding obstacles, coordinating with fleet mates, and identifying where pickups and drop offs are needed in real-time. By connecting to a central server or database, the actions of robots can be coordinated and automated to a greater extent than ever before. They can complete tasks intelligently, with minimal human input. i.e. ASRS stacker cranes, shutter cars etc. 6) Augmented reality (AR) Augmented reality grows in use by providing real-time information in an effective manner to allow humans to better integrate and interact with electronic systems. Examples can include the transmission of information on repairs for a part that can be viewed through different devices or the training of personnel using simulations and 3D views of the facility or equipment.
  • 134.
    7) Cyber security:The security of information becomes paramount as we move away from closed systems towards increased connectivity from the IoT and cloud. Security and reliability enable the successful implementation of a truly modern and digitized production workflow, leveraging all of the benefits of a connected environment. 8) System Integration: Mostly systems are highly automated within their own operations and struggle to communicate with other systems. Standards and open architecture support the easy transfer of information both to the business and to the customer/end user. This can involve defining common languages for data exchange such as JDF for job information. 9) Additive manufacturing: This continues to become increasingly important for small-batch applications or for the production of individual parts or personalized products. This will be used either directly with the customer or by suppliers to improve designs with increased performance, flexibility, and cost effectiveness. Readiness: Industry 4.0 It is necessary to assess the Industry 4.0 readiness of industrial enterprises as manufacturing sector is currently facing substantial challenges. These challenges are in regard to disruptive concepts such as the IoT, cyber physical systems or cloud-based manufacturing. Subsequently, increasing complexity on all firm levels creates uncertainty about respective organizational and technological capabilities and adequate strategies to develop them. A Foundation for mechanical engineering, plant engineering, and information technology of German Engineering Federation (VDMA) has coined a six-dimensional model to assess the readiness of the enterprises, wherein VDMA experts and some industry representatives served in an advisory capacity in the development of the study. The potential, especially for Germany s mechanical engineering industry and plant engineering sector, is indeed great, both for providers and for users of technologies across the spectrum of Industry 4.0. But there are still many unresolved questions, uncertainties, and challenges. The readiness study seeks to address this need and offer insight. It also highlights the challenging milestones that many companies must still pass on the road to Industry 4.0 readiness. Six-Dimensional Model As per the current understanding of Industry 4.0 the readiness of the enterprises can be assessed on the below mentioned six dimensions:
  • 135.
    INDUSTRY 4.0 -Six-Dimensional Model Operational Excellence ● Enhanced efficiency through greater automation ● Product Customization at the cost of mass produced products. Enhanced Services ● Higher revenues from digitally refined products ● Access to new markets Physical Elements Virtual Elements Smart Factory ● Digital Modeling ● Equipment Infrastructure ● Data Usage ● IT Systems Strategy and organization ● Strategy ● Investments ● Innovation Management Smart Product ● ICT add-on functionalities ● Data Analytics in usage phase Smart Operations ● Cloud usage ● IT security ● Autonomous Processes ● Information sharing Employees ● Skill acquisition ● Employee Skill Sets Data driven services ● Services ● Shares of revenue ● Shares of Data used Based on above six dimensional models, India‟s rank on the Network Readiness Index in 2013 was 61. In 2016, India ranked 91 out of 139 countries. At 91, India was ahead of Pakistan (110) and Bangladesh (112), but behind Sri Lanka (63), Malaysia (31), and China (59). Singapore topped the rankings for second year in a row. The US was placed at 5th position. India’s Position: • According to Indian Brand Equity Foundation (IBEF), the Government of India has set an ambitious target of increasing the contribution of manufacturing output to 25 percent of Gross Domestic Product (GDP) by 2025, from 16 percent currently. • IoT, being one of the most important aspects of Industry 4.0 for India, is expected to capture close to 20 percent share in global IoT market in the next five years. According
  • 136.
    to IBEF forecast,the IoT market in India is projected to grow at a CAGR of more than 28 percent during 2015-2020. • Government of India has taken initiatives such as Green Corridors and „Make in India‟ Today, in an Industry 4.0 factory, machines are connected as a collaborative community. Such evolution requires the utilization of advance prediction tools, so that data can be systematically processed into information to explain uncertainties, and thereby make more “informed” decisions. Industry 4.0 is expected to be a huge boon to companies that fully understand what it means for them. Change of this nature will transcend company‟s boundaries where they operate. The focus in the forthcoming segment will be laid on the importance of the fourth industrial revolution on the Indian economy, the major steps taken by the OEMs, government and the customers to adapt the new trend and recent technological developments. Is India ready to jump into Industry 4.0? According to International Yearbook of Industrial Statistics 2016- published by United Nations Industrial Development Organization (UNIDO) with its ranking going up by three places, India has now been ranked sixth among the world‟s 10 largest manufacturing countries. India is no exception to this global trend and is steadily increasing its share of Global Manufacturing GDP. All leading countries are embarking on major initiatives to promote manufacturing by adopting the advancements in Internet and Information Technology arenas. German government announced “Industry 4.0” while governments in China and India have their own focused programs, “Made in China 2025” and “Make in India” respectively. Idea is to encourage multinational, as well as national companies to manufacture their products in India. With a plethora of crippling regulations and under-developed infrastructure, the Government is focusing more on enabling policies and improving infrastructure for certain key sectors. According to IBEF, the Government of India has set an ambitious target of increasing the contribution of manufacturing output to 25 percent of Gross Domestic Product (GDP) by 2025, from 16 percent currently. There is no escape from integrating principles of Industry 4.0 with the “Make in India” initiative, if Indian Manufacturing has to win against global competition. India has a unique opportunity to innovatively pave its own road to Smart Manufacturing. Industry 4.0 is expected to transform manufacturing in India by bringing operational efficiencies to manufacturing industries like automotive, electrical and electronics.
  • 137.
    The major areaof focus shall be the technological advancement across various industries. IIOT (Industrial Internet of Things), 3DP (3-dimensional printing) 3D sensors, social software, augmented reality, location awareness is considered to user in the next era of smart production. These automation technologies collectively are moving the manufacturing industry towards the next phase of technological advancement. Industry 4.0 is a holistic automation, business information, and manufacturing execution architecture to improve industry with the integration of all aspects of production and commerce across company boundaries for greater efficiency. Internet of Things, being one of the most important aspects of Industry 4.0 for India is expected to capture close to 20 per cent share in global Internet of Things (IoT) market in the next five years. The global market is expected to touch US $ 300 bn by 2020. Major Indian states are taking initiatives to adapt to Industry 4.0. Andhra Pradesh has taken an initiative to capitalize on the IoT potential in the country. The state government has approved the first-of-its-kind IoT policy with an aim to turn the state into an IoT hub by 2020 and tap close to 10 per cent market share in the country. The Indian government has created Green Energy Corridors to bring in more renewable energies, to make smart grids that will support the variable input of renewable energies and create storage. India has committed over US$ 1 bn in this initiative and has started projects in many states, such as Andhra Pradesh, Rajasthan, Tamil Nadu, Gujarat and Himachal Pradesh. India‟s first smart factory, moving from automation to autonomy, where machines speak with each other, is being set up in Bengaluru. It is making progress at the Indian Institute of Science‟s (IISc) Centre for Product Design and Manufacturing (CPDM) with an investment from The Boeing Company. A smart factory, armed with data exchange in manufacturing and the Internet of Things (IoT) is the future and experts are calling it revolution Industry 4.0. Reports peg the smart factory industry to touch US$ 215 bn by 2025 and all major economies are likely to accept it. Various Indian companies are increasing their focus and partnering with other companies for developing new IoT and M2M solutions, the Digital India initiative from the Government of India is expected to enhance the focus on IoT in tackling the domestic challenges. India’s competitive landscape The manufacturing landscape is changing. Countries are constantly being challenged on technical capabilities and manufacturing value adds. Specifically, India faces
  • 138.
    competition from Chinaand Europe and there is a risk of her being crowded out by the increasing technical capabilities of these regions as they are focusing on medium-value segment where India has always been prominently operating. Historically, China has focused on the low technology-low manufacturing value add space while Europe has focused on high technology – high value add segment. India‟s manufacturing zone of comfort has been in the middle, both on the technology and value add axis. Now, a significant push from China to move up from the low technology – low value add zone and expand into the medium technology zone has been noted, thereby expanding the market for Chinese companies. Concurrently, there is a push from Europe to move down from the high technology – high value add zone and expand into the medium technology zone thereby expanding the market for European companies. India’s strengths over others: • A growing working population and an expanding middle-class are expected to remain key demand drivers. • India has the world‟s 12th largest number of high-net- worth individuals, with a growth of 20.8%, the highest among the top 12 countries • Disposable incomes in the rural Agri-sector shows increasing trends • There is a presence of a large pool of skilled and semi-skilled workers and a strong educational system • Favourable government policies like GST, the constitution of NEMMP (National Electric Mobility Mission Plan 2020), FAME (Faster Adoption and Manufacturing of Hybrid land Electric Vehicle) are advantageous for the sector. Conclusions Industry 4.0 will revolutionize manufacturing around the globe, as did the first three industrial revolutions. With global supply chains and highly interactive markets, this revolution will be vastly different from the previous ones: being much faster and generating results that were heretofore unexpected. It will highlight the fact that small changes in one area of the manufacturing ecosystem will create significant ripples throughout the ecosystem, due to connectivity throughout the supply chain and the speed at which information propagates. Furthermore, Industry 4.0 will enable information to flow not only from manufacturer to product, but between producers, products and, most importantly, customers. The ability to embrace Industry 4.0 and use the opportunities that will rapidly (and, in many instances, unexpectedly) present themselves will be a key to success in the new global market. Enabling that innovation to proceed from a concept to a mass-produced product will be critical for success; and ensuring a talent pool in the manufacturing workforce that can move those innovations rapidly forward will be equally important.
  • 139.
    India has anumber of programs to enable innovation and ensure the talent pipeline for manufacturing. Some are well established, and others are quite new and very innovative. It is clear that Industry 4.0 presents tremendous opportunities, and this fact highlights the need for a highly trained and flexible workforce and production capacity that can answer the needs of tomorrow as well as those of today. India stands ready for that future: not only to participate, but also to lead! Bibliography:  India‟s Readiness for Industry 4.0 by Grant Thornton & CII  What is Industry 4.0 and is India prepared for the change? -Blog  IMPULS Foundation of VDMA, Industry 4.0 Readiness  Industry 4.0 and Supply chain sustainability framework and future reassert directions – Surajit Bag (Dept of Procurement, South Africa)  What does Industry 4.0 Revolutions mean for Indian Manufacturing Industry – Technology Trends  The World Economic Forum  The Economic Times  Supply Chain Digital  Theme Paper – Industry 4.0, Leapfrog opportunity for India – For Productivity Week by National Productivity Council Author: Chirag Kalaria, Purchase Professional, AMUL (GCMMF)