Embed presentation
Downloaded 201 times





















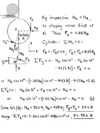
This document contains multiple physics problems related to forces, friction, and equilibrium. It asks the reader to calculate forces required to initiate movement given masses and friction coefficients, determine ranges of mass where systems are in equilibrium, find maximum thicknesses before slipping occurs, and compute moments and forces for various objects in contact based on specifications provided.




















