Embed presentation
Download as PDF, PPTX

























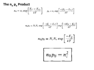
The document discusses the concepts of equilibrium distribution of electrons and holes in semiconductors, including the derivation of the no and po equations. It covers key topics such as intrinsic carrier concentration, dopant atoms, and statistics of donors and acceptors. Additionally, it explores the positioning of the Fermi energy level in compensated semiconductors.
























