Elliptic Curve Cryptography and
Zero Knowledge Proof
Nimish Joseph
AGENDA
•
•
•
•
•
•

Mathematical Foundations
Public Key Cryptography
Elliptic Curve
Elliptic Curve Cryptography
Elliptic Curve over Prime Fields
Zero Knowledge Proof

06-Nov-2013

ECC and Zero Knowledge Proof

2
Let’s Build the Foundation!
Mathematical Background for
Cryptography
• Modulo Arithmetic
d=n*q + r, 0 ≤r<n.
we say this as “d is equal to r modulo n”
r ≡ d (mod n)
5 ≡ 26 (mod 7)

06-Nov-2013

ECC and Zero Knowledge Proof

4
Group
• Basic algebraic structure
• A pair <G,*>, where G is a set and * is a binary
operation such that the following hold
Closure
Associativity
Identity Element
Inverse
< Zn, +n >
06-Nov-2013

ECC and Zero Knowledge Proof

5
Ring
A triplet < R, +, *>, where + and * are binary operations and R
is a set satisfying the following properties:
<R, +> is a commutative group
For all x, y, and z in R
x*y is also in R
x*(y*z)=(x*y)*z
x*(y+z)= (x*y)+(x*z )
< Zn, +n, *n>

06-Nov-2013

ECC and Zero Knowledge Proof

6
Fields
• <R, +, * > is a commutative ring with :
R has a multiplicative identity
Each element, x, in R (except for 0) has an
inverse element in R , denoted by x-1
<Zn, +n, *n > where n is prime.
06-Nov-2013

ECC and Zero Knowledge Proof

7
Cryptography - Basics
• Private Key Cryptography

• Public Key Cryptography

06-Nov-2013

ECC and Zero Knowledge Proof

8
Public-Key Cryptosystems

Authentication: Only A can
generate the encrypted message
06-Nov-2013

ECC and Zero Knowledge Proof

Secrecy: Only B can Decrypt
the message
9
Public-Key Cryptography

06-Nov-2013

ECC and Zero Knowledge Proof

10
Public-Key Cryptography

06-Nov-2013

ECC and Zero Knowledge Proof

11
RSA
•
•
•
•
•

Choose two large primes p and q
n=p*q
φ(n)= (p-1)*(q-1)
Choose e, such that gcd(e, φ(n)) = 1
Compute d, such that d = e-1mod φ(n)
C = Me mod n
M= Cd mod n

06-Nov-2013

ECC and Zero Knowledge Proof

12
Discrete Logarithmic Problem
y = gx mod p
Challenge :
Given y, g and p (g and p very large) it is not
VERY EASY(impossible) to calcuate x.

06-Nov-2013

ECC and Zero Knowledge Proof

13
Diffie-Hellman Key Exchange
ga mod p
gb mod p

K = (gb mod p)a = gab mod p

06-Nov-2013

K = (ga mod p)b = gab mod p

ECC and Zero Knowledge Proof

14
El Gamal Encryption
•
•
•
•

K=gamodp. (p,g,K) public and (a) private
Choose r such that gcd(r,p-1)=1
C1= gr mod p
C2= (m*Kr) mod p... m is the message
Sends(C1, C2)
• To Decrypt C1-a*C2 mod p =m

06-Nov-2013

ECC and Zero Knowledge Proof

15
Elliptic Curve Cryptography
Elliptic Curve Cryptography
• Elliptic Curve (EC) systems as applied to
cryptography were first proposed in 1985
independently by Neal Koblitz and Victor
Miller.
• The discrete logarithm problem on elliptic
curve groups is believed to be more difficult
than the corresponding problem in (the
multiplicative group of nonzero elements of)
the underlying finite field.
06-Nov-2013

ECC and Zero Knowledge Proof

17
What Is Elliptic Curve Cryptography
(ECC)?
• Elliptic curve cryptography [ECC] is a public-key
cryptosystem just like RSA, Rabin, and El Gamal.
• Every user has a public and a private key.
– Public key is used for encryption/signature verification.
– Private key is used for decryption/signature generation.

• Elliptic curves are used as an extension to other
current cryptosystems.
06-Nov-2013

ECC and Zero Knowledge Proof

18
Using Elliptic Curves In Cryptography
• The central part of any cryptosystem involving elliptic
curves is the elliptic group.
• All public-key cryptosystems have some underlying
mathematical operation.
– RSA has exponentiation (raising the message or ciphertext
to the public or private values)
– ECC has point multiplication (repeated addition of two
points).
06-Nov-2013

ECC and Zero Knowledge Proof

19
General form of a EC
• An elliptic curve is a plane curve defined by an
equation of the form

y  x  ax  b
2

3

Examples

06-Nov-2013

ECC and Zero Knowledge Proof

20
EC as a group
An Elliptic Curve is a curve given by an equation
y2 = f(x)

Where f(x) is a square-free (no double roots) cubic or a quartic polynomial

y2 = x3 + ax + b
4a3 + 27b2 ≠ 0

EC(-3,2)

So y2 = x3 is not an elliptic curve, but y2 = x3-1 is

06-Nov-2013

ECC and Zero Knowledge Proof

21
Elliptical Curve as a Group - Properties
• P + Q = Q + P (commutativity)
• (P + Q) + R = P + (Q + R) (associativity)

• P + O = O + P = P (existence of an identity element)
• there exists ( − P) such that − P + P = P + ( − P)
= O (existence of inverses)

06-Nov-2013

ECC and Zero Knowledge Proof

22
Elliptic Curve Picture
y

• Consider elliptic curve
E: y 2 = x 3 - x + 1
P2

P1

x

R

06-Nov-2013

• If P 1 and P 2 are on E , we can
define
R = P1 + P2
as shown in picture
• Addition is all we need

ECC and Zero Knowledge Proof

23
Case 1 : R’ ≠P1, R’≠ P2, R’≠ 0
•
•
•
•
•
•
•

P1+P2 = -R’ = R
R = (x3,y3)
Let y=mx+c
m= (y2-y1)/(x2-x1)
y2 = (mx+c)2 = m2x2+2mxc+c2
x3+ax+b = m2x2+2mxc+c2
x3 - m2x2 + (a-2mc)x + (b- c2 ) = 0

06-Nov-2013

ECC and Zero Knowledge Proof

24
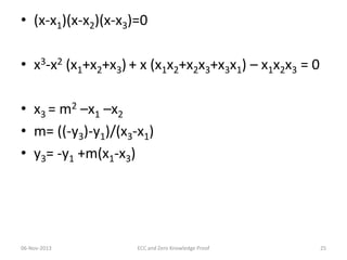
• (x-x1)(x-x2)(x-x3)=0
• x3-x2 (x1+x2+x3) + x (x1x2+x2x3+x3x1) – x1x2x3 = 0
• x3 = m2 –x1 –x2
• m= ((-y3)-y1)/(x3-x1)
• y3= -y1 +m(x1-x3)

06-Nov-2013

ECC and Zero Knowledge Proof

25
Case 2 : P1= -P2 or R’ = 0

P1

P2

06-Nov-2013

ECC and Zero Knowledge Proof

26
Case 3: R’=P1 or R’=P2
Tangent Line to EC at P2

R
P1

P2

06-Nov-2013

ECC and Zero Knowledge Proof

27
Case 4 : Doubling of Point P
Tangent Line to EC at P

R

P

2*P
06-Nov-2013

ECC and Zero Knowledge Proof

28
P1=P2
•
•
•
•
•

2y * dy/dx =3x2 + a
Slope of the tangent m = dy/dx = (3x2 + a)/2y
At (x1,y1) = (3x12 + a)/2y1
x3 = m2 –2x1
y3= -y1 +m(x1-x3)

06-Nov-2013

ECC and Zero Knowledge Proof

29
Work Out !
• EC(-1,1).
A(1,-1) B( 1/4, 7/8). A+B = ?
• m = (-1-7/8)/(1-1/4) = -5/2
• x3 = (-5/2)2 -1 -1/4 =5
• y3 = -(-1)+(-5)/2*(1-5) = 11
(5,11)

06-Nov-2013

ECC and Zero Knowledge Proof

30
Elliptic Curve over Prime Fields
• Points on the curve y2 =x3 +2x +4
0
(0,2) (0,11)
(2,4) (2,9)
(5,3) (5,10)
(7,6) (7,7)
(8,5) (8,8)
(9,6) (9,7)
(10,6) (10,7)
(12,1) (12,11)

06-Nov-2013

ECC and Zero Knowledge Proof

31
Hasse’s Theorem
p +1 -2√p ≤ #EC(Fp) ≤ p+1+2√p
Establishes the tight bounds on the number of
points on the EC

06-Nov-2013

ECC and Zero Knowledge Proof

32
Work Out!
• EC(2,4) over F13
• A = (2,4) B = (8,5) . Compute A+B
m = (5-4)/(8-2) mod 13 =11
x3 = (112 -2 -8) mod 13 = 7
y3 = (-4 +11*(2-7)) mod 13 = 6
A+B =(7,6)
• Compute 2A = (8,5)
06-Nov-2013

ECC and Zero Knowledge Proof

33
ECs Over Binary Fields
• y2+xy =x3 +ax2 +b, b!=0
• A=(x,y) : -A = (x,x+y)
• For adding two points
m= (y2+y1)/(x2+x1)
x3 = m2+m +x1 +x2 + a
y3 = m(x1+x3) +x3 +y1

• Point doubling
m = x1 +(y1/x1)
x3 = m2+m+a
y3 = x12 +(m+1)*x3
06-Nov-2013

ECC and Zero Knowledge Proof

34
Discrete Logarithm Problem on
Elliptic Curves
• The problem of computing k given the EC
parameters, G and kG, is called the discrete
log problem for points on an elliptic curve.
• This problem is known to be infeasible in EC
groups beyond 2120 elements

06-Nov-2013

ECC and Zero Knowledge Proof

35
Computing kG
• kG = G + G + ...+ G k times
• To compute 168G , compute the series obtained
by doubling the point,
2G, 4G, 8G, 16G, 32G,...

• Now 168 = 10101000 in binary
168G = 128G+32G+8G
O(log k)
06-Nov-2013

ECC and Zero Knowledge Proof

36
Diffie-Hellman Modified
• Select <p,a,b,G,n,h>
• Alice chooses x and send xG
• Bob chooses y and send yG

• Alice on receipt compute x(yG) =xyG
• Bob on receipt compute y(xG) = xyG
06-Nov-2013

ECC and Zero Knowledge Proof

37
El Gamal Modified
•
•
•
•
•
•

k= aG
Choose r; Compute rG
Compute m + rk
Send <rG, m + rk>
To decrypt a(rG) = rk
m + rk – rk = m

06-Nov-2013

ECC and Zero Knowledge Proof

38
Comparison of key sizes for same
level of security
ECC

RSA

• 110

• 512

• 163

• 1024

• 256

• 3072

• 384

• 7680

• 512

• 15360

06-Nov-2013

ECC and Zero Knowledge Proof

39
RSA vs ECC Timings
• To encrypt ECC takes nearly 10 times of that
of RSA upto a key size of 384(ECC) and
7680(RSA).
• For Decryption RSA takes more time for a key
size higher than 1024 when compared to ECC
(163)

06-Nov-2013

ECC and Zero Knowledge Proof

40
Applications of ECC
• Many devices are small and have limited storage and
computational power
• Where can we apply ECC?
–
–
–
–

Wireless communication devices
Smart cards
Web servers that need to handle many encryption sessions
Any application where security is needed but lacks the
power, storage and computational power that is
necessary for our current cryptosystems

06-Nov-2013

ECC and Zero Knowledge Proof

41
A Conference on ECC
• ECC 2013:
https://www.cosic.esat.kuleuven.be/ecc2013

06-Nov-2013

ECC and Zero Knowledge Proof

42
Zero Knowledge Proof
Zero Knowledge Proofs (ZKP)
• Goldwasser, Micali, and Rackoff, 1985.
• ZKP instance of Interactive Proof System
• Interactive Proof Systems
– Challenge-Response Authentication
– Prover and Verifier
– Verifier Accepts or Rejects the Prover

06-Nov-2013

ECC and Zero Knowledge Proof

44
ZKP
• Zero knowledge Transfer between the Prover and
the Verifier
• The verifier accepts or rejects the proof after
multiple challenges and responses
• Probabilistic Proof Protocol
• Overcomes Problems with Password Based
Authentication

06-Nov-2013

ECC and Zero Knowledge Proof

45
Zero Knowledge Proofs
•
•
•
•
•
•

Introduction
Properties of ZKP
Advantages of ZKP
Examples
Fiat-Shamir Identification Protocol
Real-Time Applications

06-Nov-2013

ECC and Zero Knowledge Proof

46
Zero Knowledge Proofs

(ZKP)

• Goldwasser, Micali, and Rackoff, 1985.
• ZKP instance of Interactive Proof System
• Interactive Proof Systems
– Challenge-Response Authentication
– Prover and Verifier
– Verifier Accepts or Rejects the Prover

06-Nov-2013

ECC and Zero Knowledge Proof

47
Properties of ZKP
• Completeness
– Succeeds with high probability for a true assertion
given an honest verifier and an honest prover.
• Soundness
– Fails for any other false assertion, given a
dishonest prover and an honest verifier
• Zero Knowledge
06-Nov-2013

ECC and Zero Knowledge Proof

48
Advantages of ZKP
•
•
•
•

As name Suggests – Zero Knowledge Transfer
Computational Efficiency – No Encryption
No Degradation of the protocol
Based on problems like discrete logarithms and
integer factorization

06-Nov-2013

ECC and Zero Knowledge Proof

49
Classic Example
• Ali Baba’s Cave
Alice has to convince Bob She knows the secret to
open the cave door without telling the secret

(source: http://www.rsasecurity.com/rsalabs/faq/2-1-8.html)

06-Nov-2013

ECC and Zero Knowledge Proof

50
Fiat-Shamir Identification Protocol
• 3 Message Protocol
• Alice A, the Prover and Bob B, the Verifier
A random modulus n, product of two large prime numbers p
and q generated by a trusted party and made public
• Prover chooses secret s relatively prime to n
• prover computes v = s2 mod n, where v is the public key
A  B
A  B
A  B

06-Nov-2013

: x = r2 mod n
: e  { 0,1}
: y = r * se mod n. Is y2 = x * ve ?

ECC and Zero Knowledge Proof

51
Fiat-Shamir Identification Protocol (contd)
• Alice chooses a random number r (1  r  n-1)
• Sends to Bob x = r2 mod n – commitment
• Bob randomly sends either a 0 or a 1 ( e  { 0,1}) as
his challenge
• Depending on the challenge from Bob, Alice
computes the response as y = r if e = 0 or otherwise y
= r*s mod n
• Bob accepts the response upon checking y2  x * ve
mod n

06-Nov-2013

ECC and Zero Knowledge Proof

52
Fiat-Shamir Identification Protocol (contd)
• After many iterations, with a very high probability Bob can verify
Alice’s identity
• Alice’s response does not reveal the secret s (with y = r or y = r* s mod
n)
• An intruder can prove Alice’s identity without knowing the secret, if
he knows Bob’s challenge in advance:
– Generate random r
– If expected challenge is 1, send x = r2/v mod n as commitment,
and y = r as response
– If expected challenge is 0, send x = r mod n as commitment
• Probability that any Intruder impersonating the prover can send the
right response is only ½
• Probability reduced as iterations are increased
• Important - Alice should not repeat r
06-Nov-2013

ECC and Zero Knowledge Proof

53
Applications
• Watermark Verification
– Show the presence of watermark without
revealing information about it
– prevents from removing the watermark and
reselling multiple duplicate copies
• Others – e-voting, e-cash etc.

06-Nov-2013

ECC and Zero Knowledge Proof

54
References
• Network Security and Cryptography, Bernard Menezes
• I. Blake, G. Seroussi, and N. Smart, Elliptic Curves in Cryptography, London
Mathematical Society 265, Cambridge University Press, 1999
• Overview of Zero-Knowledge Protocols, Jeffrey Knapp
• http://en.wikipedia.org/wiki/Elliptic_curve_cryptography as on November
4, 2013
• Koblitz, N. (1987). "Elliptic curve cryptosystems". Mathematics of
Computation 48 (177): 203–209. JSTOR 2007884
• Menezes, A.; Okamoto, T.; Vanstone, S. A. (1993). "Reducing elliptic curve
logarithms to logarithms in a finite field". IEEE Transactions on Information
Theory 39
• K. Malhotra, S. Gardner, and R. Patz, Implementation of Elliptic-Curve
Cryptography on Mobile Healthcare Devices, Networking, Sensing and
Control, 2007 IEEE International Conference on, London, 15–17 April 2007
Page(s):239–244

06-Nov-2013

ECC and Zero Knowledge Proof

55
References
• D. Hankerson, A. Menezes, and S.A. Vanstone, Guide to Elliptic Curve
Cryptography, Springer-Verlag, 2004
• http://en.wikipedia.org/wiki/Zero-knowledge_proof as on November 4,
2013
• Stinson, Douglas Robert (2006), Cryptography: Theory and Practice (3rd
ed.), London: CRC Press, ISBN 978-1-58488-508-5
• Agrawal, Manindra; Kayal, Neeraj; Saxena, Nitin (2004). "PRIMES is in P".
Annals of Mathematics 160 (2): 781–793.
• Theory of Computing Course, Cornell University 2009, Zero knowledge
proofs
• A Survey of Zero-Knowledge Proofs with Applications to Cryptography,
Austin Mohr Southern Illinois University at Carbondale

06-Nov-2013

ECC and Zero Knowledge Proof

56
THANK YOU!!

~Nimish Joseph
Q&A

Elliptic curve cryptography and zero knowledge proof

  • 1.
    Elliptic Curve Cryptographyand Zero Knowledge Proof Nimish Joseph
  • 2.
    AGENDA • • • • • • Mathematical Foundations Public KeyCryptography Elliptic Curve Elliptic Curve Cryptography Elliptic Curve over Prime Fields Zero Knowledge Proof 06-Nov-2013 ECC and Zero Knowledge Proof 2
  • 3.
    Let’s Build theFoundation!
  • 4.
    Mathematical Background for Cryptography •Modulo Arithmetic d=n*q + r, 0 ≤r<n. we say this as “d is equal to r modulo n” r ≡ d (mod n) 5 ≡ 26 (mod 7) 06-Nov-2013 ECC and Zero Knowledge Proof 4
  • 5.
    Group • Basic algebraicstructure • A pair <G,*>, where G is a set and * is a binary operation such that the following hold Closure Associativity Identity Element Inverse < Zn, +n > 06-Nov-2013 ECC and Zero Knowledge Proof 5
  • 6.
    Ring A triplet <R, +, *>, where + and * are binary operations and R is a set satisfying the following properties: <R, +> is a commutative group For all x, y, and z in R x*y is also in R x*(y*z)=(x*y)*z x*(y+z)= (x*y)+(x*z ) < Zn, +n, *n> 06-Nov-2013 ECC and Zero Knowledge Proof 6
  • 7.
    Fields • <R, +,* > is a commutative ring with : R has a multiplicative identity Each element, x, in R (except for 0) has an inverse element in R , denoted by x-1 <Zn, +n, *n > where n is prime. 06-Nov-2013 ECC and Zero Knowledge Proof 7
  • 8.
    Cryptography - Basics •Private Key Cryptography • Public Key Cryptography 06-Nov-2013 ECC and Zero Knowledge Proof 8
  • 9.
    Public-Key Cryptosystems Authentication: OnlyA can generate the encrypted message 06-Nov-2013 ECC and Zero Knowledge Proof Secrecy: Only B can Decrypt the message 9
  • 10.
  • 11.
  • 12.
    RSA • • • • • Choose two largeprimes p and q n=p*q φ(n)= (p-1)*(q-1) Choose e, such that gcd(e, φ(n)) = 1 Compute d, such that d = e-1mod φ(n) C = Me mod n M= Cd mod n 06-Nov-2013 ECC and Zero Knowledge Proof 12
  • 13.
    Discrete Logarithmic Problem y= gx mod p Challenge : Given y, g and p (g and p very large) it is not VERY EASY(impossible) to calcuate x. 06-Nov-2013 ECC and Zero Knowledge Proof 13
  • 14.
    Diffie-Hellman Key Exchange gamod p gb mod p K = (gb mod p)a = gab mod p 06-Nov-2013 K = (ga mod p)b = gab mod p ECC and Zero Knowledge Proof 14
  • 15.
    El Gamal Encryption • • • • K=gamodp.(p,g,K) public and (a) private Choose r such that gcd(r,p-1)=1 C1= gr mod p C2= (m*Kr) mod p... m is the message Sends(C1, C2) • To Decrypt C1-a*C2 mod p =m 06-Nov-2013 ECC and Zero Knowledge Proof 15
  • 16.
  • 17.
    Elliptic Curve Cryptography •Elliptic Curve (EC) systems as applied to cryptography were first proposed in 1985 independently by Neal Koblitz and Victor Miller. • The discrete logarithm problem on elliptic curve groups is believed to be more difficult than the corresponding problem in (the multiplicative group of nonzero elements of) the underlying finite field. 06-Nov-2013 ECC and Zero Knowledge Proof 17
  • 18.
    What Is EllipticCurve Cryptography (ECC)? • Elliptic curve cryptography [ECC] is a public-key cryptosystem just like RSA, Rabin, and El Gamal. • Every user has a public and a private key. – Public key is used for encryption/signature verification. – Private key is used for decryption/signature generation. • Elliptic curves are used as an extension to other current cryptosystems. 06-Nov-2013 ECC and Zero Knowledge Proof 18
  • 19.
    Using Elliptic CurvesIn Cryptography • The central part of any cryptosystem involving elliptic curves is the elliptic group. • All public-key cryptosystems have some underlying mathematical operation. – RSA has exponentiation (raising the message or ciphertext to the public or private values) – ECC has point multiplication (repeated addition of two points). 06-Nov-2013 ECC and Zero Knowledge Proof 19
  • 20.
    General form ofa EC • An elliptic curve is a plane curve defined by an equation of the form y  x  ax  b 2 3 Examples 06-Nov-2013 ECC and Zero Knowledge Proof 20
  • 21.
    EC as agroup An Elliptic Curve is a curve given by an equation y2 = f(x) Where f(x) is a square-free (no double roots) cubic or a quartic polynomial y2 = x3 + ax + b 4a3 + 27b2 ≠ 0 EC(-3,2) So y2 = x3 is not an elliptic curve, but y2 = x3-1 is 06-Nov-2013 ECC and Zero Knowledge Proof 21
  • 22.
    Elliptical Curve asa Group - Properties • P + Q = Q + P (commutativity) • (P + Q) + R = P + (Q + R) (associativity) • P + O = O + P = P (existence of an identity element) • there exists ( − P) such that − P + P = P + ( − P) = O (existence of inverses) 06-Nov-2013 ECC and Zero Knowledge Proof 22
  • 23.
    Elliptic Curve Picture y •Consider elliptic curve E: y 2 = x 3 - x + 1 P2 P1 x R 06-Nov-2013 • If P 1 and P 2 are on E , we can define R = P1 + P2 as shown in picture • Addition is all we need ECC and Zero Knowledge Proof 23
  • 24.
    Case 1 :R’ ≠P1, R’≠ P2, R’≠ 0 • • • • • • • P1+P2 = -R’ = R R = (x3,y3) Let y=mx+c m= (y2-y1)/(x2-x1) y2 = (mx+c)2 = m2x2+2mxc+c2 x3+ax+b = m2x2+2mxc+c2 x3 - m2x2 + (a-2mc)x + (b- c2 ) = 0 06-Nov-2013 ECC and Zero Knowledge Proof 24
  • 25.
    • (x-x1)(x-x2)(x-x3)=0 • x3-x2(x1+x2+x3) + x (x1x2+x2x3+x3x1) – x1x2x3 = 0 • x3 = m2 –x1 –x2 • m= ((-y3)-y1)/(x3-x1) • y3= -y1 +m(x1-x3) 06-Nov-2013 ECC and Zero Knowledge Proof 25
  • 26.
    Case 2 :P1= -P2 or R’ = 0 P1 P2 06-Nov-2013 ECC and Zero Knowledge Proof 26
  • 27.
    Case 3: R’=P1or R’=P2 Tangent Line to EC at P2 R P1 P2 06-Nov-2013 ECC and Zero Knowledge Proof 27
  • 28.
    Case 4 :Doubling of Point P Tangent Line to EC at P R P 2*P 06-Nov-2013 ECC and Zero Knowledge Proof 28
  • 29.
    P1=P2 • • • • • 2y * dy/dx=3x2 + a Slope of the tangent m = dy/dx = (3x2 + a)/2y At (x1,y1) = (3x12 + a)/2y1 x3 = m2 –2x1 y3= -y1 +m(x1-x3) 06-Nov-2013 ECC and Zero Knowledge Proof 29
  • 30.
    Work Out ! •EC(-1,1). A(1,-1) B( 1/4, 7/8). A+B = ? • m = (-1-7/8)/(1-1/4) = -5/2 • x3 = (-5/2)2 -1 -1/4 =5 • y3 = -(-1)+(-5)/2*(1-5) = 11 (5,11) 06-Nov-2013 ECC and Zero Knowledge Proof 30
  • 31.
    Elliptic Curve overPrime Fields • Points on the curve y2 =x3 +2x +4 0 (0,2) (0,11) (2,4) (2,9) (5,3) (5,10) (7,6) (7,7) (8,5) (8,8) (9,6) (9,7) (10,6) (10,7) (12,1) (12,11) 06-Nov-2013 ECC and Zero Knowledge Proof 31
  • 32.
    Hasse’s Theorem p +1-2√p ≤ #EC(Fp) ≤ p+1+2√p Establishes the tight bounds on the number of points on the EC 06-Nov-2013 ECC and Zero Knowledge Proof 32
  • 33.
    Work Out! • EC(2,4)over F13 • A = (2,4) B = (8,5) . Compute A+B m = (5-4)/(8-2) mod 13 =11 x3 = (112 -2 -8) mod 13 = 7 y3 = (-4 +11*(2-7)) mod 13 = 6 A+B =(7,6) • Compute 2A = (8,5) 06-Nov-2013 ECC and Zero Knowledge Proof 33
  • 34.
    ECs Over BinaryFields • y2+xy =x3 +ax2 +b, b!=0 • A=(x,y) : -A = (x,x+y) • For adding two points m= (y2+y1)/(x2+x1) x3 = m2+m +x1 +x2 + a y3 = m(x1+x3) +x3 +y1 • Point doubling m = x1 +(y1/x1) x3 = m2+m+a y3 = x12 +(m+1)*x3 06-Nov-2013 ECC and Zero Knowledge Proof 34
  • 35.
    Discrete Logarithm Problemon Elliptic Curves • The problem of computing k given the EC parameters, G and kG, is called the discrete log problem for points on an elliptic curve. • This problem is known to be infeasible in EC groups beyond 2120 elements 06-Nov-2013 ECC and Zero Knowledge Proof 35
  • 36.
    Computing kG • kG= G + G + ...+ G k times • To compute 168G , compute the series obtained by doubling the point, 2G, 4G, 8G, 16G, 32G,... • Now 168 = 10101000 in binary 168G = 128G+32G+8G O(log k) 06-Nov-2013 ECC and Zero Knowledge Proof 36
  • 37.
    Diffie-Hellman Modified • Select<p,a,b,G,n,h> • Alice chooses x and send xG • Bob chooses y and send yG • Alice on receipt compute x(yG) =xyG • Bob on receipt compute y(xG) = xyG 06-Nov-2013 ECC and Zero Knowledge Proof 37
  • 38.
    El Gamal Modified • • • • • • k=aG Choose r; Compute rG Compute m + rk Send <rG, m + rk> To decrypt a(rG) = rk m + rk – rk = m 06-Nov-2013 ECC and Zero Knowledge Proof 38
  • 39.
    Comparison of keysizes for same level of security ECC RSA • 110 • 512 • 163 • 1024 • 256 • 3072 • 384 • 7680 • 512 • 15360 06-Nov-2013 ECC and Zero Knowledge Proof 39
  • 40.
    RSA vs ECCTimings • To encrypt ECC takes nearly 10 times of that of RSA upto a key size of 384(ECC) and 7680(RSA). • For Decryption RSA takes more time for a key size higher than 1024 when compared to ECC (163) 06-Nov-2013 ECC and Zero Knowledge Proof 40
  • 41.
    Applications of ECC •Many devices are small and have limited storage and computational power • Where can we apply ECC? – – – – Wireless communication devices Smart cards Web servers that need to handle many encryption sessions Any application where security is needed but lacks the power, storage and computational power that is necessary for our current cryptosystems 06-Nov-2013 ECC and Zero Knowledge Proof 41
  • 42.
    A Conference onECC • ECC 2013: https://www.cosic.esat.kuleuven.be/ecc2013 06-Nov-2013 ECC and Zero Knowledge Proof 42
  • 43.
  • 44.
    Zero Knowledge Proofs(ZKP) • Goldwasser, Micali, and Rackoff, 1985. • ZKP instance of Interactive Proof System • Interactive Proof Systems – Challenge-Response Authentication – Prover and Verifier – Verifier Accepts or Rejects the Prover 06-Nov-2013 ECC and Zero Knowledge Proof 44
  • 45.
    ZKP • Zero knowledgeTransfer between the Prover and the Verifier • The verifier accepts or rejects the proof after multiple challenges and responses • Probabilistic Proof Protocol • Overcomes Problems with Password Based Authentication 06-Nov-2013 ECC and Zero Knowledge Proof 45
  • 46.
    Zero Knowledge Proofs • • • • • • Introduction Propertiesof ZKP Advantages of ZKP Examples Fiat-Shamir Identification Protocol Real-Time Applications 06-Nov-2013 ECC and Zero Knowledge Proof 46
  • 47.
    Zero Knowledge Proofs (ZKP) •Goldwasser, Micali, and Rackoff, 1985. • ZKP instance of Interactive Proof System • Interactive Proof Systems – Challenge-Response Authentication – Prover and Verifier – Verifier Accepts or Rejects the Prover 06-Nov-2013 ECC and Zero Knowledge Proof 47
  • 48.
    Properties of ZKP •Completeness – Succeeds with high probability for a true assertion given an honest verifier and an honest prover. • Soundness – Fails for any other false assertion, given a dishonest prover and an honest verifier • Zero Knowledge 06-Nov-2013 ECC and Zero Knowledge Proof 48
  • 49.
    Advantages of ZKP • • • • Asname Suggests – Zero Knowledge Transfer Computational Efficiency – No Encryption No Degradation of the protocol Based on problems like discrete logarithms and integer factorization 06-Nov-2013 ECC and Zero Knowledge Proof 49
  • 50.
    Classic Example • AliBaba’s Cave Alice has to convince Bob She knows the secret to open the cave door without telling the secret (source: http://www.rsasecurity.com/rsalabs/faq/2-1-8.html) 06-Nov-2013 ECC and Zero Knowledge Proof 50
  • 51.
    Fiat-Shamir Identification Protocol •3 Message Protocol • Alice A, the Prover and Bob B, the Verifier A random modulus n, product of two large prime numbers p and q generated by a trusted party and made public • Prover chooses secret s relatively prime to n • prover computes v = s2 mod n, where v is the public key A  B A  B A  B 06-Nov-2013 : x = r2 mod n : e  { 0,1} : y = r * se mod n. Is y2 = x * ve ? ECC and Zero Knowledge Proof 51
  • 52.
    Fiat-Shamir Identification Protocol(contd) • Alice chooses a random number r (1  r  n-1) • Sends to Bob x = r2 mod n – commitment • Bob randomly sends either a 0 or a 1 ( e  { 0,1}) as his challenge • Depending on the challenge from Bob, Alice computes the response as y = r if e = 0 or otherwise y = r*s mod n • Bob accepts the response upon checking y2  x * ve mod n 06-Nov-2013 ECC and Zero Knowledge Proof 52
  • 53.
    Fiat-Shamir Identification Protocol(contd) • After many iterations, with a very high probability Bob can verify Alice’s identity • Alice’s response does not reveal the secret s (with y = r or y = r* s mod n) • An intruder can prove Alice’s identity without knowing the secret, if he knows Bob’s challenge in advance: – Generate random r – If expected challenge is 1, send x = r2/v mod n as commitment, and y = r as response – If expected challenge is 0, send x = r mod n as commitment • Probability that any Intruder impersonating the prover can send the right response is only ½ • Probability reduced as iterations are increased • Important - Alice should not repeat r 06-Nov-2013 ECC and Zero Knowledge Proof 53
  • 54.
    Applications • Watermark Verification –Show the presence of watermark without revealing information about it – prevents from removing the watermark and reselling multiple duplicate copies • Others – e-voting, e-cash etc. 06-Nov-2013 ECC and Zero Knowledge Proof 54
  • 55.
    References • Network Securityand Cryptography, Bernard Menezes • I. Blake, G. Seroussi, and N. Smart, Elliptic Curves in Cryptography, London Mathematical Society 265, Cambridge University Press, 1999 • Overview of Zero-Knowledge Protocols, Jeffrey Knapp • http://en.wikipedia.org/wiki/Elliptic_curve_cryptography as on November 4, 2013 • Koblitz, N. (1987). "Elliptic curve cryptosystems". Mathematics of Computation 48 (177): 203–209. JSTOR 2007884 • Menezes, A.; Okamoto, T.; Vanstone, S. A. (1993). "Reducing elliptic curve logarithms to logarithms in a finite field". IEEE Transactions on Information Theory 39 • K. Malhotra, S. Gardner, and R. Patz, Implementation of Elliptic-Curve Cryptography on Mobile Healthcare Devices, Networking, Sensing and Control, 2007 IEEE International Conference on, London, 15–17 April 2007 Page(s):239–244 06-Nov-2013 ECC and Zero Knowledge Proof 55
  • 56.
    References • D. Hankerson,A. Menezes, and S.A. Vanstone, Guide to Elliptic Curve Cryptography, Springer-Verlag, 2004 • http://en.wikipedia.org/wiki/Zero-knowledge_proof as on November 4, 2013 • Stinson, Douglas Robert (2006), Cryptography: Theory and Practice (3rd ed.), London: CRC Press, ISBN 978-1-58488-508-5 • Agrawal, Manindra; Kayal, Neeraj; Saxena, Nitin (2004). "PRIMES is in P". Annals of Mathematics 160 (2): 781–793. • Theory of Computing Course, Cornell University 2009, Zero knowledge proofs • A Survey of Zero-Knowledge Proofs with Applications to Cryptography, Austin Mohr Southern Illinois University at Carbondale 06-Nov-2013 ECC and Zero Knowledge Proof 56
  • 57.
  • 58.