Elementary Triangle Geometry

                 Mark Dabbs

      The Mathematical Association Conference
              University of York, U.K
                   Spring 2004




               Version 1.1 April 2004
               (www.mfdabbs.com)
2
3


Contents

    Motivating Problem.                                                             5
    §1: Basic Trigonometrical Formulae.                                            11
    §2: Further Trigonometrical Formulae.                                          13
    §3: Ratio Theorems.                                                            15
              Theorem (3.1).
              Theorem (3.2).
    §4: Basic Triangle Formulae.                                                   17
              Cosine Rule.
              Sine Rule and Cicumcircle.
              Tangent Rule.
    §5: Other Triangle Formulae.                                                   21
              Area Formulae in terms of a, b and c.
              Sin A, sin B and sin C in terms of a, b and c.
              Cos A, cos B and cos C in terms of a, b and c.
              Tan A, tan B and tan C in terms of a, b and c.
    §6: Associated Circles.                                                        25
              Incircle.
              Excircles.
              Heron’s Area Formula.
    §7: Further Triangle Formulae.                                                 33
           Tan ( 1 A ) , tan ( 1 B ) and tan ( 1 C )
                 2             2               2       in terms of a , b and c.
              Cos ( 1 A ) , cos ( 1 B ) and cos ( 1 C ) in terms of a , b and c.
                    2             2               2


              Sin ( 1 A ) , sin ( 1 B ) and sin ( 1 C ) in terms of a , b and c.
                    2             2               2


    §8: Further Triangle Relationships.                                            37
              Relationship between r and R.
              Relationships between rA , rB , rC and R.
              The distances AI , BI and CI .
              The distances AI A , BI B and CI C .
              The distances II A , II B and II C .

    §9: Further Triangle Centres.                                                  47
              The Orthocentre of any Triangle ABC .
              The Pedal Triangle of any Triangle ABC.
              The Circumcircle and the Pedal Triangle.
              The Excentric Triangle.
4


§10: Special Cevian Lengths.                                         55
       The Centroid and Medians of any Triangle.
       Cevians Bisecting Angles Internally.
       Cevians Bisecting Angles Externally.
       Apollonius’ Theorem.
       A Generalisation of Apollonius’ Theorem – Stewart’s Theorem
§11: Problems.                                                       63
Appendix: Concurrences of Straight Lines in a Triangle.              67
       Circumcentre.
       Incentre.
       Centroid.
       Orthocentre.
Bibliography.                                                        73
5


Motivating Problem

The motivation for this work came from an open question to a class to find the
area of a triangle whose base is known but whose perpendicular height is not
known.
                                                             B
A typical diagram is shown in Figure MP.1



                                                  a                h     c



                                                                   P
                          C                                                      A
                                                  x                    b-x
                                                         Figure MP.1

The area of the triangle, ∆ , is seen to be
                                 ∆ = 1 ( base ) ( ⊥ height )
                                     2
                                                                             (MP.1)
                                  ∆ = 1 bh,
                                      2

where b = AC and h = BP .

After some discussion, two methods were proposed

    o Method 1: Using Trigonometry
    o Method 2: Using Pythagoras

Method 1 is perhaps the more familiar and progresses thus:

In triangle BPC we have:
                                                 PB
                                        sin C =
                                                 BC
                                                 h
                                        sin C =
                                                 a
Therefore,                               h = a sin C                         (MP.2)

From (MP.1) and (MP.2) we have the general area formula

                                       ∆ = 1 ab sin C
                                           2                                 (MP.3)
6


Method 2 was somewhat more involved and led to quite a voyage of discovery!

Note the following Pythagorean relations within the two triangles CBP and ABP.

                                                       a 2 = x 2 + h2                            (MP.4)
                                                 c 2 = ( b − x ) + h2 .
                                                                  2
and                                                                                              (MP.5)

Eliminating h from (MP.4) and (MP.5) gives:

                                             a2 − x2 = c2 − (b − x )
                                                                           2



                                             a2 − c2 = x2 − (b − x ) .
                                                                           2
That is:

Thus, by the difference of two squares formula we have

                                    a 2 − c 2 = ( x − b − x )( x + b − x )

                                    a 2 − c 2 = ( x − b + x )( x + b − x )

                                    a 2 − c 2 = ( 2 x − b )( b )
Hence,
                                                        a2 + b2 − c2
                                                     x=              .                           (MP.6)
                                                             2b

Substituting (MP.6) into (MP.4) gives
                                                                               2
                                                 a2 + b2 − c2 
                                         h = a −
                                             2        2
                                                                .
                                                      2b      
That is
                                                 4 a 2b 2 − ( a 2 + b 2 − c 2 )
                                                                                   2

                                        h =
                                         2
                                                                                                 (MP.7)
                                                               4b 2

Once again, by the difference of two squares formula we have the alternative form
of (MP.7):


                   h   2
                           =
                             ( 2ab − a           2
                                                                 )(
                                                     + b2 − c 2 2ab + a 2 + b 2 − c 2   ),
                                                              4b   2




                           =
                             ( 2ab − a           2
                                                     − b 2 + c 2 )( 2ab + a 2 + b2 − c 2 )
                                                                                             ,
                                                              4b 2


                           =
                               (c   2
                                        − a 2 + 2ab − b 2 )( a 2 + 2ab + b2 − c 2 )
                                                                                             ,
                                                              4b 2
7


That is:

                     h   2
                             =
                               (c   2
                                        − a 2 − 2ab + b2           )( a   2
                                                                              + 2ab + b 2 − c 2       ),
                                                               4b    2




which, on factorising gives:


                               h   2
                                        =
                                          (c   2
                                                   − (a − b)
                                                               2
                                                                   ) (( a + b)    2
                                                                                      − c2   ).
                                                               4b    2




Therefore, on using the difference of two squares formula again we have:


                    h2 =
                              ( c − a − b )( c + a − b )( a + b − c )( a + b + c )
                                                               4b 2

                             ( c − a + b )( c + a − b )( a + b − c )( a + b + c )
                   h2 =                                                                                    .   (MP.8)
                                                               4b 2

Now it’s time to ask which of the four factors in the numerator “looks” the “nicest”
and hope that the answer to come back is the fourth or last one of ( a + b + c ) !
Having established this, the suggestion is then made that it is a pity that the other
three factors do not have this same elegant symmetry and once agreed that we
ought to insist that such symmetry exist in these other three factors.
It is eventually determined that a suitable “trick” is to rewrite them in the
following manner:
                             ( c − a + b ) ≡ ( a + b + c − 2a )
                                        ( c + a − b ) ≡ ( a + b + c − 2b )                                     (MP.9)

                                        ( a + b − c ) ≡ ( a + b + c − 2c )

Realising that ( a + b + c ) is just the perimeter of the original triangle ABC, say p
gives (MP.8) as:
                                  ( p − 2a )( p − 2b )( p − 2c )( p )
                            h2 =                                      .         (MP.10)
                                                 4b 2

However, if we then let the new variable, s, be defined as the semi-perimeter then
(MP.10) is re-written

                                        ( 2s − 2a )( 2s − 2b )( 2s − 2c )( 2s )
                             h2 =                                                                 .
                                                               4b 2
8


This is then easily factorised to give:

                                   16 ( s − a )( s − b )( s − c )( s )
                            h2 =
                                                  4b 2
or
                                    4s ( s − a )( s − b )( s − c )
                             h2 =                                  .
                                                 b2

                                   2 s ( s − a )( s − b )( s − c )
Hence,                       h=                                           (MP.11)
                                                    b

Finally then, substituting (MP.11) back into (MP.1) gives

                                  2 s ( s − a )( s − b )( s − c ) 
                         ∆ = 1 b×                                 
                             2
                                                b                 
                                                                  
or
                              ∆ = s ( s − a )( s − b )( s − c )           (MP.12)

Which is the familiar result of Heron of Alexandria (First Century A.D)
9




“What a marvel that so simple a figure as the triangle is so
           inexhaustible in its properties!”

                     (A. L. Crelle, 1821)
10
11


§1: Basic Trigonometrical Formulae

                          sin θ
                                = tan θ                    (1.1)
                          cos θ

                       sin 2 θ + cos 2 θ = 1               (1.2)



          θ      0       30           45        60    90
                          1             2         3
         sin θ    0                                   1
                          2            2         2
                                                           (1.3)
                            3           2        1
         cos θ    1                                   0
                           2           2         2
                           1
         tan θ    0                    1         3    ∞
                            3

                                     1
                         cosec θ =
                                   sin θ
                                     1
                           sec θ =                         (1.4)
                                   cos θ
                                     1
                           cot θ =
                                   tan θ

                       tan 2 θ + 1 = sec 2 θ               (1.5)

                      1 + cot 2 θ = cosec 2 θ              (1.6)
12
13


§2: Further Trigonometrical Formulae


                        sin ( A + B ) = sin A cos B + cos A sin B              (2.1)

                        sin ( A − B ) = sin A cos B − cos A sin B              (2.2)

                        cos ( A + B ) = cos A cos B − sin A sin B              (2.3)

                        cos ( A − B ) = cos A cos B + sin A sin B              (2.4)

                                                     tan A + tan B
                             tan ( A + B ) =                                   (2.5)
                                                    1 − tan A tan B

                                                     tan A − tan B
                             tan ( A − B ) =                                   (2.6)
                                                    1 + tan A tan B

                                              P+Q       P−Q 
                      sin P + sin Q = 2 sin 
                                                  cos                      (2.7)
                                             2         2 

                                              P +Q   P −Q 
                      sin P − sin Q = 2 cos 
                                                   sin                     (2.8)
                                             2   2 

                                              P+Q      P−Q 
                      cos P + cos Q = 2 cos 
                                                 cos                       (2.9)
                                             2        2 

                                               P +Q   P −Q 
                     cos P − cos Q = − 2 sin 
                                                    sin                   (2.10)
                                              2   2 

                                   sin ( 2 A ) = 2sin A cos A                 (2.11)

                cos ( 2 A ) = cos2 A − sin 2 A = 2cos2 A − 1 = 1 − 2sin 2 A   (2.12)

                                   sin 2 A =   1
                                               2   (1 − cos ( 2 A) )          (2.13)

                                   cos 2 A =   1
                                               2   (1 + cos ( 2 A) )          (2.14)

Notice further, if we define t = tan 1 θ then it can be shown that
                                     2



                          2t                 1 − t2               2t
                sin θ =        ,      cosθ =        and tan θ =        .      (2.15)
                        1 + t2               1+ t 2
                                                                1 − t2
14
15


§3: Ratio Theorems

Theorem (3.1)

                   p a     λ p + µ q λ a + µb
 If we have that    = then          =         , for any numbers λ , µ , m and n.
                   q b     mp + nq ma + nb



Proof:
                                           p a
Let                                          = ≡t
                                           q b
⇒                                       p = qt , a = bt .

                          λ p + µq       λ ( qt ) + µ q       λt + µ
Therefore,                           =                    =
                          mp + nq         m ( qt ) + nq       mt + n
and
                         λ a + µb       λ ( bt ) + µ q       λt + µ
                                    =                    =             □
                         ma + nb        m ( bt ) + nq        mt + n



Theorem (3.2)

                   p a     λ p + µa p a
 If we have that    = then         = = , for any numbers λ and µ .
                   q b     λ q + µb q b


Proof:
                                           p a
Let                                          = ≡t
                                           q b
⇒                                       p = qt , a = bt .

                λ p + µ a λ ( qt ) + µ ( bt ) t ( λ q + µ b )     p a
Therefore,               =                   =                =t ≡ ≡  □
                λ q + µb      λ q + µb         ( λ q + µb )       q b
16
17

                                                                      B
§4: Basic Triangle Formulae

Cosine Rule
                                            c                       h            a



                     A                                                                   C
                                                        b
                                            x                                y
                                                                                     Figure 4.1
                                            x                  y
Notice that:                       cos A = ,          cos C =
                                            c                 a
Therefore,                        x = c cos A,        y = a cos C

Hence                           b = x + y ≡ c cos A + a cos C

Using symmetry we interchange the variables to yield the complete set of results
thus:           a
                            a = b cos C + c cos B
                            b = c cos A + a cos C                            (4.1)
            c         b
                            c = a cos B + b cos A

The formulae of (4.1) are known as the Projection Formulae.
If we now multiply the equations of (4.1) by a, b and c, respectively, we have:

                                  a 2 = ab cos C + ac cos B                                   (4.2)

                                  b2 = bc cos A + ab cos C                                    (4.3)

                                  c 2 = ac cos B + bc cos A                                   (4.4)

Now construct (4.3) + (4.4) - (4.2) to give:

                                  b2 + c 2 − a 2 = 2bc cos A
Therefore,
                                  a 2 = b2 + c 2 − 2bc cos A                                  (4.5)

Equation (4.5) is known as the Cosine Rule for triangles.
Symmetry yields the other forms:

               b2 = c 2 + a 2 − 2ca cos B       and         c 2 = a 2 + b2 − 2ab cos C
18


Sine Rule

Also from Figure 4.1 we have the further set of relations:
                                     h              h
                              sin A = , sin C =
                                     c             a
Therefore,                h = c sin A or h = a sin C
Hence,                          c sin A = a sin C ≡ h
                                   sin A sin C
Therefore,                              =
                                     a     c
However, the initial orientation of the triangle ABC was arbitrary

                                sin A sin B sin C
⇒                                    =     =                                 (4.6)
                                  a     b     c

Equation (4.6) is known as the Sine Rule for triangles.

The Sine Rule can be extended by considering a circle through the apexes of the
triangle ABC (known as the Circumcircle of the triangle ABC)

                            B                                    B


                                    P
                                               A

                                                                                  C
                   O                                            O


    A                              C                                         P


               Figure 4.2                                    Figure 4.3

In both Figure 4.2 and 4.3 the red lines AP and PC have been added to the
original Circumcircle problem. In both cases the line segment AP is draw so as to
pass through the centre of the Circumcircle and is therefore a diameter.
⇒      ACP is a Right-Angle in both figures (Angle in a Semi-Circle is a right-
angle).

Further, APC = ABC since angles subtended by a single chord in the same
segment of a circle are equal (Euclid Book III Prop. 21).
                                                              AC   b
Therefore, from Figure 4.2 we have: sin ( APC ) ≡ sin ( B ) =    ≡
                                                              AP 2 R
where R is the radius of the Circumcircle of triangle ABC.
19


From Figure 4.3                     APC = 180 − B                   (Cyclic Quadrilateral)

Therefore,                sin (    APC ) = sin (180 − B ) ≡ sin B

Hence, as for Figure 4.2 we have
                                         b    sin B 1
                              sin B =      or      =
                                        2R      b    2R
Therefore, from (4.6) we have:

                                  sin A sin B sin C    1
                                       =     =      =                                (4.7)
                                    a     b     c     2R




Tangent Rule

                                         b sin B
From (4.7) we have that                   =
                                         c sin C

Using Theorem (3.1) with λ ≡ m ≡ n = 1 and µ = −1 this relation can be written

                          (1) b + ( −1) c (1) sin B + ( −1) sin C
                                         =
                           (1) b + (1) c   (1) sin B + (1) sin C

                                    b − c sin B − sin C
That is                                  =
                                    b + c sin B + sin C

Using (2.8) and (2.7) this can be rewritten as

                                         B +C   B −C 
                                 2 cos 
                                              sin        
                          b−c           2   2 ,
                               =
                          b + c 2 sin  B + C  cos  B − C 
                                                         
                                       2           2 

                                       B −C 
                                 sin 
                                           
                          b−c         2 ×         1
                               =                            ,
                          b + c cos  B − C  sin  B + C 
                                                       
                                      2          2 
                                                    B+C 
                                              cos 
                                                         
                                                   2 
                                       B−C 
                                 tan 
                                           
                          b−c         2 .
                               =
                          b + c tan  B + C 
                                           
                                      2 
20

                                                 b−c
That is                      tan 1 ( B − C ) =       tan 1 ( B + C )              (4.8)
                                                 b+c
                                 2                       2




However,             A + B + C = 180       ⇒          1
                                                      2   ( B + C ) = 90 − 1 A
                                                                           2      (4.9)

From (4.9) we see that
                              tan 1 ( B + C ) = tan ( 90 − 1 A )
                                  2                        2

                                                tan(90 ) − tan 1 A
                                             =                 2

                                               1 + tan(90 ) tan 1 A
                                                                 2

                                                       tan 2 A
                                                           1
                                                  1−
                                                      tan(90 )
                                             =
                                                    1
                                                         + tan 1 A
                                                               2
                                               tan(90 )
                                                  1− 0
                                             =
                                               0 + tan 1 A
                                                       2

                           ∴ tan 1 ( B + C ) = cot 1 A
                                 2                 2



Hence (4.8) can be written in its alternative form

                                                      b−c
                                tan 1 ( B − C ) =         cot 1 A                (4.10)
                                                      b+c
                                    2                         2




Equation (4.10) is known as the Tangent Rule for triangles.

Symmetry yields the other forms:
                                                      c−a
                 a
                                tan 1 ( C − A ) =         cot 1 B
                                                      c+a
                                    2                         2



            c          b                              a−b
                                tan 1 ( A − B ) =         cot 1 C
                                                      a+b
                                    2                         2
21


    §5: Other Triangle Formulae
                                                                               B
    Area Formulae in terms of a, b and c.


                                                              c                h           a



                                     A                                                              C
                                                                    b
                                                                                   Figure 5.1
    The area of triangle ABC is found from
                                                                         h
                                           ∆ = 1 bh, where sin C =
                                               2                           ,
                                                                         a
                                              = 1 b ( a sin C )
                                                2



    Hence,                                 ∆ = 1 ab sin C
                                               2                                                (5.1)
                                                                               a


    By symmetry,              ∆ = 1 ab sin C = 1 bc sin A = 1 ca sin B
                                  2            2            2
                                                                           c           b

                                                          c
    From (4.7) we have that                  sin C =
                                                         2R

                                                       c 
    Therefore, (5.1) becomes               ∆ = 1 ab 
                                               2        
                                                     2R 

                                                     abc
    That is:                                  ∆=                                                (5.2)
                                                     4R

                                                     abc
    or                                        R=         .
                                                     4∆

                                                    a sin B
    Also, from (4.7) we have that            b=
                                                     sin A
    Therefore, (5.1) now becomes:
                                                  a sin B 
                                         ∆ = 1 a
                                             2            sin C
                                                 sin A 

                                                    sin B sin C
    That is:                             ∆ = 1 a2
                                             2
                                                       sin A
    Hence,
         a
                              sin B sin C 1 2 sin C sin A 1 2 sin A sin B
                   ∆ = 1 a2
                       2                 = 2b            = 2c                                   (5.3)
c              b
                                 sin A           sin B           sin C
22


Sin A in terms of a, b and c, etc.

From (1.2)
                                   sin 2 A = 1 − cos 2 A
                                           = (1) − ( cos A )
                                                  2            2


                                           = (1 − cos A )(1 + cos A )
Therefore, from (4.5) this becomes

                   b2 + c 2 − a 2   b2 + c 2 − a 2 
        sin 2 A =  1 −                1 +                 
                           2bc                 2bc        
                                                          
                   2bc − b 2 + c 2 − a 2   2bc + b 2 + c 2 − a 2
                                                                
                =                                            
                          2bc                     2bc        
                                                             
                   2bc − b 2 − c 2 + a 2   2bc + b 2 + c 2 − a 2
                                                                
                =                                            
                          2bc                     2bc        
                  a − b + 2bc − c   b + 2bc + c − a 
                    2   2            2      2           2     2
                =                                            
                         2bc                     2bc         
                  a − (b − c )   (b + c ) − a 
                    2          2            2     2
                =                                 
                     2bc               2bc        
                                                  
                    1
                           (                 )(
                = 2 2 a2 − (b − c ) (b + c ) − a2
                 4b c
                                       2          2
                                                               )
                    1
                = 2 2 ( a − b + c )( a + b − c )( b + c − a )( b + c + a )
                 4b c
                    1
                = 2 2 ( a + b + c − 2b )( a + b + c − 2c )( b + c + a − 2a )( b + c + a )
                 4b c

Now let s = 1 ( a + b + c ) , the Semi-perimeter, then we have
            2



                                   1
                       sin 2 A =          ( 2s − 2b )( 2 s − 2c )( 2s − 2a )( 2s )
                                 4b 2 c 2
                                   1
                                = 2 2 16 ( s − b )( s − c )( s − a )( s )
                                 4b c
Hence
                                            4
                               sin 2 A =      s ( s − a )( s − b )( s − c )
                                           bc
                                            2 2




Therefore,
                                        2
                 a
                               sin A =    s ( s − a )( s − b )( s − c )
                                       bc
                                        2
                               sin B =    s ( s − a )( s − b )( s − c )                     (5.4)
           c           b               ca
                                        2
                               sin C =    s ( s − a )( s − b )( s − c )
                                       ab
23


    Notice further that these three identities from (5.4) could be written

                                      2a
                              sin A =     s ( s − a )( s − b )( s − c ) ≡ 2aK
                                      abc
                                      2b
                              sin B =     s ( s − a )( s − b )( s − c ) ≡ 2bK                 (5.5)
                                      abc
                                      2c
                              sin C =     s ( s − a )( s − b )( s − c ) ≡ 2cK
                                      abc

    From which, the Sine Rule can be deduced, since

                                    sin A sin B sin C
                                                      ≡ 2K  ≡
                                                               1 
                                         =     =                
                                      a     b     c         2R 

    Moreover, from (5.1) and (5.4) we have that

                                                       2
                         ∆ = 1 ab × sin C ≡ 1 ab ×
                             2              2             s ( s − a )( s − b )( s − c )
                                                       ab
    Hence
                                        ∆ = s ( s − a )( s − b )( s − c )                     (5.6)

    This is the triangle area formula met previously in (MP.7): Heron’s Formula.
    We can now use the notation of (5.6) or more simply the form of (5.1) to write:

    Sin A, sin B, sin C in terms of a, b and c.
                     a

                                             2∆           2∆           2∆
                                   sin A =      , sin B =    , sin C =                        (5.7)
                c         b                  bc           ca           ab


    Cos A, cos B, cos C in terms of a, b and c.

    From (4.5) we simply rearrange to yield
       a

                              b2 + c2 − a 2           c2 + a 2 − b2           a 2 + b2 − c2
                    cos A =                 , cos B =               , cos C =                 (5.8)
c           b                     2bc                     2ca                      2ab


    Tan A, tan B, tan C in terms of a, b and c.

    From (1.1), (5.5) and (5.8) we have
       a

                                 4∆                 4∆                 4∆
                    tan A =             , tan B = 2        , tan C = 2                        (5.9)
c           b                 b +c −a
                               2  2   2
                                                 c +a −b
                                                     2   2
                                                                    a + b2 − c2
24
25


§6: Associated Circles
                                                                                  A
Incircle

Let I be the Incentre of the                                        F
                                                                                        E
triangle ABC, obtained by
bisecting the interior angles of
the triangle ABC. Then                                                        I
 ID = IE = IF ≡ r , where r is the
radius of the incircle.
( ID, IE and IF are the ⊥ 's .                                                                      C
                                         B                                        D
from I to the respective sides)
                                                                                      Figure 6.1

We have that
           Area of triangle ABC = Areas of triangles ( BIC + CIA + AIB )
                                 ∆ = 1 ar + 1 br + 1 cr
                                     2      2      2

                                 ∆ = 1 r (a + b + c)
                                     2


Hence for s, the semi perimeter
                                                 ∆ = rs                                     (6.1)

                                                      ∆
or                                               r=                                         (6.2)
                                                      s

Now, let
                            AE = AF ≡ x  Tangents to a circle from
                                        
                            BD = BF ≡ y  a single point have equal
                                        
                            CD = CE = z  lengths

⇒                     x+ y+ y+z+z+x= p                        ( perimeter )
Hence
                                  x+ y+z =s                   ( semi perimeter )

But                              BD + DC = y + z ≡ a
⇒                                     x+a=s

Hence                                        x = s−a.

Therefore, we can show:              a
                                                          x=s−a
                                                          y = s−b                           (6.3)
                             c               b
                                                          z = s−c
26

                                                                                                   A
    From triangle ABC we see that
                                                                                       s-a             s-a
                                      IF   r
                      tan ( 1 A ) =      =
                                      FA s − a
                            2


                                                                                       F
    Similarly                                                                                           E
                                     r
       a
                      tan ( 1 A ) =                                    s-b                                          s-c
                                    s−a
                            2
                                                                                             I
                                     r
                      tan ( 1 B ) =               (6.4)
                                    s−b
                            2
c             b
                                                                                             D                            C
                                     r
                      tan ( 1 C ) =                                                                         s-c
                                    s−c               B                          s-b
                            2


                                                                                                       Figure 6.2

    Moreover, from triangles AIE, BIF and CID we have


                                       AE = AF ≡ s − a = r cot ( 1 A )
                        a
                                                                 2

                                       BD = BF ≡ s − b = r cot ( 1 B )
                                                                 2                                          (6.5)
                  c           b
                                       CD = CE ≡ s − c = r cot ( 1 C )
                                                                 2




    Therefore, as a = BD + DC then

                                      a = r cot ( 1 B ) + r cot ( 1 C )
                                                  2               2

                                        = r ( cot ( 1 B ) + cot ( 1 C ) )
                                                    2             2

                                            cos ( 1 B ) cos ( 1 C ) 
                                        = r
                                            sin ( 1 B ) + sin ( 1 C ) 
                                                   2               2
                                                                        
                                                  2               2    
                                            cos ( 1 B ) sin ( 1 C ) + sin ( 1 B ) cos ( 1 C ) 
                                        = r
                                           
                                                   2           2              2          2
                                                                                               
                                                                                               
                                                         sin ( 1 B ) sin ( 1 C )
                                                                 2          2                  
                                             sin ( 1 B + 1 C )
                                        =r         2       2

                                           sin ( 2 B ) sin ( 1 C )
                                                 1
                                                             2



    But A + B + C = 180 and therefore,               1
                                                     2   B + 1 C = 90 − 1 A , giving
                                                             2          2



                                                    sin ( 90 − 1 A )
                                           a=r
                                                               2

                                                  sin ( 1 B ) sin ( 1 C )
                                                        2           2

    That is
                                                         cos ( 1 A )
                                           a=r                 2
                                                                             .
                                                  sin ( 1 B ) sin ( 1 C )
                                                        2           2

    Hence
                                                  sin ( 1 B ) sin ( 1 C )
                                           r=a          2           2
                                                                                                            (6.6)
                                                         cos ( 1 A )
                                                               2
27



Together, we have
                                           sin ( 1 B ) sin ( 1 C )
                                  r=a            2           2

                a                               cos ( 1 A )
                                                      2

                                           sin ( 1 C ) sin ( 1 A )
                                  r =b           2           2
                                                                                     (6.7)
           c           b                        cos ( 1 B )
                                                      2

                                           sin ( 1 A ) sin ( 1 B )
                                  r =c           2           2

                                                cos ( 1 C )
                                                      2

From (4.7) we have
                                           sin A 1
                                                =    , etc, where R is the Circumcircle.
                                             a    2R
or
                                          a = 2 R sin A , etc

Thus (6.6) becomes
                                                sin ( 1 B ) sin ( 1 C )
                             r = 2 R sin A ⋅          2           2

                                                       cos ( 1 A )
                                                             2

Using (2.11) gives
                                                           sin ( 1 B ) sin ( 1 C )
                     r = 2 R × 2sin ( A ) cos ( A ) ⋅
                                      1            1             2           2

                                                                cos ( 1 A )
                                      2            2
                                                                      2

Hence
                            r = 4 R sin ( 1 A ) sin ( 1 B ) sin ( 1 C )
                                          2           2           2                  (6.8)
28


Excircles
                                                           A

Let I A be the centre of a circle, opposite
angle A, of radius rA obtained by bisecting
the angles B and C externally and A
internally.                                                                   I


We have that:                                                   B         D       A'   D'    C

Area of triangle ABC =                                                                             E'

          Areas of triangles ( AI A B + CI A A − BI AC )


That is
                                                                                        IA
                ∆ = 1 crA + 1 brA − 1 arA
                    2       2       2
                                                                     F'
                      = 1 rA ( c + b − a )
                        2

                      = 1 rA ( a + b + c − 2a )
                        2


                                                                                                 Figure 6.3
Hence for s, the semi perimeter
                                                  ∆ = rA ( s − a )                                      (6.9)
Similarly, we have
                                                          ∆
                                                    rA =
                          a                              s−a
                                                          ∆
                                                    rB =                                            (6.10)
                  c              b
                                                         s−b
                                                          ∆
                                                    rC =
                                                         s−c

Notice further that A, I and I A are collinear as both AI and AI A lie on the bisector
line of angle A

Now let
                                      AE ' = AF ' ≡ x A  Tangents to a circle from
                                                        
                                      BD ' = BF ' ≡ y A  a single point have equal
                                                        
                                      CD ' = CE ' = z A  lengths

Then                                 AF '+ AE ' = AB + BF '+ AC + CE '

                                             2 xA = c + y A + b + z A
⇒
                                                  = b + c + ( yA + z A )

but                                   y A + z A = BD '+ D ' C ≡ BC = a .
29


Therefore:
                                          2 xA = a + b + c
                                           xA = 1 ( a + b + c )
                                                2

Hence
                                           xA = s         ( semi perimeter )              (6.11)
                                                             A
In a similar manner
       a


                       xB = s   and     xC = s
 c           b


The three distances x A = s, xB = s and xC = s
are displayed below                                                        D   A'
                                                                      B             D'     C
                                                                                                   E'




                                A

                                                                                    IA
                                                                      F'
                  IC




                                    B                             C
                                                                                         Figure 6.4
Figure 6.5




                                                                          IB




                        A




     Figure 6.6
                            B                       C
30


Notice also from triangle AI A F ' and from (6.11) that

                                                           I A F ' rA
                                           tan ( 1 A ) =
                                                 2                =
                                                           AF ' s
⇒
                                              rA = s tan ( 1 A ) .
                                                           2

Similarly
                        a
                                               rA = s tan ( 1 A )
                                                            2

                                               rB = s tan ( 1 B )
                                                            2                 (6.12)
                c               b
                                               rC = s tan ( 1 C )
                                                            2



Therefore, we can further show that
                    a           AE ' = AF ' ≡ s = rA cot ( 1 A ) ,
                                                           2

                                               s = rB cot ( 1 B ) ,
                                                            2                 (6.13)
                                               s = rC cot ( 1 C ) .
            c               b
                                                            2



Moreover, since                       BF ' = BD ' = AF '− AB = s − c
and                                   CE ' = CD ' = AE '− AC = s − b
then
                                          DD ' = CD ' ∼ CD
                                                = ( s − b) ∼ ( s − c)
                                                =b∼c
Where D is the point of tangency of the incircle with side a, D ' is the point of
tangency of the excircle with side a, and where the symbol ∼ is the positive
difference between its two arguments. Namely:

                                            DD ' = b ∼ c ≡ b − c              (6.14)

Further, as BD ' = CD = s − c it follows that A ' is the midpoint of DD ' where A '
is also the midpoint of BC.
31


Heron’s Area Formula




                                                               IA

                     C

                             D


                         I
                                             D'


           A
                                                       B
                                                                     Figure 6.7


As BI and BI A bisect the angle B both internally and externally, it follows that
  IBI A = 90 . Moreover, since IDB and I A D ' B are also right angles then this
implies that triangles BID and BI A D ' are similar.
Namely:
                       Triangles     BID ≅ I A BD '
                                       BI    ID   BD
Thus                                       =    =
                                      I A B BD ' I A D '
                                       BI    r     s −b
that is:                                  =      =
                                      I AB s − c     rA
Therefore:                           r ⋅ rA = ( s − b )( s − c )                  (6.15)

On using (6.2) and (6.10) this becomes
                                   ∆ ∆
                                    ⋅    = ( s − b )( s − c )
                                   s s−a
Hence                            ∆ = s ( s − a )( s − b )( s − c )                (6.16)

Which is the form of the area of triangle ABC as met previously in (MP.7) and
(5.6)
32
33


§7: Further Triangle Formulae


                                             Y

                                                                                  IA


                                   C




                                       I




                   A                    D                                   B    X
                                                                                     Figure 7.1


Tan ( 1 A ) , tan ( 1 B ) and tan ( 1 C ) in terms of a , b and c.
      2             2               2



                                                           ID   r
From Figure 7.1 we have                    tan ( 1 A ) =      ≡
                                                           AD s − a
                                                 2


On using (6.15) this becomes
                                  ( s − b )( s − c ) 
                                                     
                   tan ( 1 A ) = 
                                           rA          = ( s − b )( s − c )
                                         s−a                 rA ( s − a )
                         2


On using (6.9) we have
                                   ( s − b )( s − c ) ( s − b )( s − c )
                    tan ( 1 A ) =                      =
                           2
                                       ∆                         ∆
                                             ( s − a)
                                   (s − a)
                                            ( s − b )( s − c )         ( s − b )( s − c )
Hence:             tan ( 1 A ) =                                     =
                                       s ( s − a )( s − b )( s − c )       s (s − a)
                         2




Similarly,
                                                           ( s − b )( s − c )
                                       tan ( 1 A ) =
                                                               s(s − a)
                                             2
               a

                                                           ( s − c )( s − a )
                                       tan ( 1 B ) =                                              (7.1)
                                                               s ( s − b)
                                             2
          c            b

                                                           ( s − a )( s − b )
                                       tan ( 1 C ) =
                                                               s (s − c)
                                             2
34


Cos ( 1 A ) , cos ( 1 B ) and cos ( 1 C ) in terms of a , b and c.
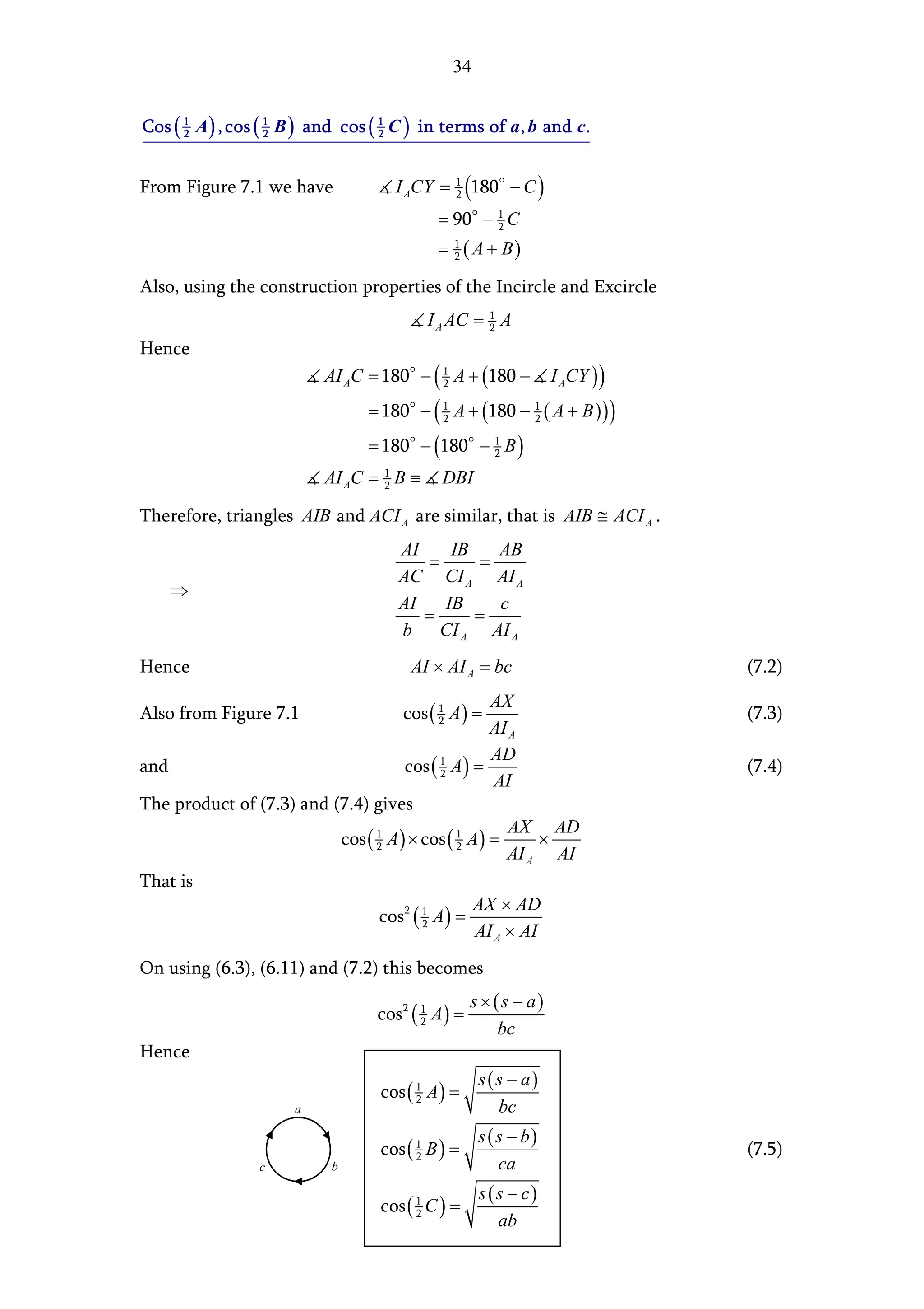
      2             2               2




From Figure 7.1 we have              I ACY =   1
                                               2    (180   − C)
                                            = 90 − 1 C
                                                   2

                                            = 1 ( A + B)
                                              2


Also, using the construction properties of the Incircle and Excircle
                                          I A AC = 1 A
                                                   2

Hence
                          AI AC = 180 − ( 1 A + (180 −
                                          2                       I ACY ) )
                                 = 180 − ( 1 A + (180 − 1 ( A + B ) ) )
                                           2            2

                                 = 180 − (180 − 1 B )
                                                2

                          AI AC = 1 B ≡
                                  2          DBI

Therefore, triangles AIB and ACI A are similar, that is AIB ≅ ACI A .
                                     AI     IB    AB
                                         =      =
                                     AC CI A AI A
    ⇒
                                     AI    IB     c
                                        =      =
                                     b CI A AI A
Hence                                   AI × AI A = bc                        (7.2)
                                                    AX
Also from Figure 7.1                  cos ( 1 A ) =
                                            2                                 (7.3)
                                                    AI A
                                                    AD
and                                  cos ( 1 A ) =
                                           2                                  (7.4)
                                                    AI
The product of (7.3) and (7.4) gives
                                                      AX AD
                          cos ( 1 A ) × cos ( 1 A ) =
                                2             2            ×
                                                      AI A AI
That is
                                                 AX × AD
                                 cos2 ( 1 A ) =
                                                 AI A × AI
                                        2



On using (6.3), (6.11) and (7.2) this becomes
                                                    s × (s − a)
                                  cos 2 ( 1 A ) =
                                          2
                                                         bc
Hence
                                                     s(s − a)
                                   cos ( 1 A ) =
                                         2
                      a                                bc
                                                     s ( s − b)
                                   cos ( 1 B ) =
                                         2                                    (7.5)
                 c         b                             ca
                                                     s (s − c)
                                   cos ( 1 C ) =
                                         2
                                                        ab
35


Sin ( 1 A ) , sin ( 1 B ) and sin ( 1 C ) in terms of a, b and c.
      2             2               2



Using (1.1), (7.1) and (7.5) we have that
                              sin ( 1 A ) = tan ( 1 A ) cos ( 1 A )
                                    2             2           2

Hence
                                           ( s − b )( s − c )   s(s − a)
                           sin ( 1 A ) =                      ×
                                               s(s − a)
                                 2
                                                                  bc
Giving
                                                  ( s − b )( s − c )
                                  sin ( 1 A ) =
                                        2
                a                                        bc
                                                  ( s − c )( s − a )
                                  sin ( 1 B ) =
                                        2                                           (7.6)
          c           b                                  ca
                                                  ( s − a )( s − b )
                                  sin ( 1 C ) =
                                        2
                                                         ab

Notice that in each of the above three subsections the negative root is rejected if the
angles, A, B and C are those of a triangle.
36
37


§8: Further Triangle Relationships

Relationship between r and R                                                                                     A


Note that
      BIC = 180 − 1 B − 1 C
                  2     2
                                                                                                     I

             = 180 − 1 ( B + C )
                     2                                                                                       r

             = 180 − 1 (180 − A )
                     2                           B                                                                                C
                                                                                                         D
             = 90 + A1
                     2                                                                                               Figure 8.1
                                                          ID r
and that                                    sin ( 1 B ) =
                                                  2         ≡
                                                          IB IB
Hence,                                          r = IB sin ( 1 B )
                                                             2                                                             (8.1)

Using the Sine Rule of (4.6) we have that
                              sin ( 1 C )       sin ( 90 + 1 A )               sin ( 1 B )
                                            =                          =
                                    2                      2                         2
                                                                                             ,
                                  IB                    BC                        IC
and from the first two of these fractions we have
                                            sin ( 1 C ) cos ( 1 A )
                                                  2
                                                       =      2
                                                                    .
                                               IB         BC
                                                     BC sin ( 1 C )
Therefore:                                   IB =             2
                                                                           ,
                                                       cos ( 1 A )
                                                             2


                                                       a sin ( 1 C )
that is                                         IB =           2
                                                                       .                                                   (8.2)
                                                       cos ( 1 A )
                                                             2


Substituting (8.2) into (8.1) gives
                                            a sin ( 1 C ) 
                                       r = cos ( 1 A )  sin ( 2 B )
                                                     2            1
                                                           
                                                   2      
                                           a sin ( 2 C ) sin ( 1 B )
                                                   1
                                         =                     2

                                                 cos ( 2 A )
                                                        1



                                                                                       2 R sin A sin ( 1 B ) sin ( 1 C )
Using (4.7) a can be written as: a = 2 R sin A, giving r =                                             2           2
                                                                                                                                  .
                                                                                                     cos ( 1 A )
                                                                                                           2


Using (2.11) gives
                              2 R × 2sin ( 1 A ) cos ( 1 A ) sin ( 1 B ) sin ( 1 C )
                         r=                2           2           2           2
                                                                                                 .
                                                       cos ( 1 A )
                                                             2



Hence:                             r = 4 R sin ( 1 A ) sin ( 1 B ) sin ( 1 C )
                                                 2           2           2                                                 (8.3)

as met previously in (6.8).
38


Relationships between rA , rB , rC and R.

From Figure 8.2 we see that
                                                                                           C
                                  I AD '   r
           sin ( I A BD ') =             ≡ A
                                   I AB I AB                                          D'
                                                                                                    IA
                                                                                               rA

that is    rA = I A B sin ( 90 − 1 B )
                                 2


(8.4)      rA = I A B cos ( 1 B )
                            2

                                         A                                       B
                                                                                                         Figure 8.2
Using the Sine Rule of (4.6) we have that
                      sin ( 90 − 1 C )             sin ( 90 − 1 A )         sin ( 90 − 1 B )
                                               =                        =
                                 2                            2                        2

                              I AB                        BC                     I AC
and from the first two of these fractions we have
                                              cos ( 1 C ) cos ( 1 A )
                                                    2
                                                         =      2

                                                I AB        BC
                                                       BC cos ( 1 C )
Therefore,                                    I AB =            2
                                                                            .
                                                          cos ( 1 A )
                                                                2


                                                         a cos ( 1 C )
that is,                                        I AB =           2
                                                                                                           (8.5)
                                                          cos ( 1 A )
                                                                2

Substituting (8.5) into (8.4) gives

                                           a cos ( 1 C ) 
                                           cos ( 1 A )  cos ( 2 B )
                                     rA =           2           1
                                                          
                                                  2      
                                          a cos ( 1 C ) cos ( 1 B )
                                        =         2           2

                                                cos ( 2 A )
                                                       1



Using (4.7) a can be written as:                   a = 2 R sin A ,
                                             2 R sin A cos ( 1 C ) cos ( 1 B )
giving                             rA =                      2           2
                                                                                  .
                                                         cos ( 1 A )
                                                               2


Using (2.11) gives
                              2 R × 2sin ( 1 A ) cos ( 1 A ) cos ( 1 C ) cos ( 1 B )
                       rA =                2           2           2           2
                                                                                               .
                                                         cos ( 1 A )
                                                               2



Hence:                        a                  rA = 4 R sin ( 1 A ) cos ( 1 B ) cos ( 1 C ) ,
                                                                2           2           2


and similarly                                    rB = 4 R cos ( 1 A ) sin ( 1 B ) cos ( 1 C ) ,
                                                                2           2           2                  (8.6)
                       c             b

                                                 rC = 4 R cos ( 1 A ) cos ( 1 B ) sin ( 1 C ) .
                                                                2           2           2
39


The distances AI , BI and CI .


From Figure 8.3 notice that                                          C


                          ID                                                     IA
          sin ( 1 A ) =
                2                                                    I
                          IA


                                   A                                 D       B   X
Therefore,                                                                            Figure 8.3

                          a
                                          AI = r cosec ( 1 A )
                                                         2

                                        BI = r cosec ( 1 B )
                                                       2                                   (8.7)
                   c           b
                                        CI = r cosec ( 1 C )
                                                       2



If we just consider the triangle AI A X for the present and determine some of its
angles from Figure 8.4                                                                                 IA
we find that:

Clearly       AIB = 180 − 1 ( A + B )
                          2
                                                                         I
and so on using the Sine Rule of (4.6)
we have from triangle AIB

                                   A                                     D            B                X
    sin ( B ) sin ( AIB ) sin ( A )
          1                               1
          2
             =           =                2                                               Figure 8.4
       AI          AB        BI
Considering just the first two fractions here gives
                                                   AB sin ( 1 B )
                                        AI =                2

                                                   sin (    AIB )
Therefore
                                                     c sin ( 1 B )
                                   AI =                      2

                                          sin (180 − 1 ( A + B ) )
                                                     2

That is on using (2.2):
                                                     c sin ( 1 B )
                                       AI =                  2

                                                  sin ( 1 ( A + B ) )
                                                        2

                                                     c sin ( 1 B )
                                              =              2

                                                  sin ( 90 − 1 C )
                                                             2

                                                  c sin ( 1 B )
                                              =           2

                                                  cos ( 1 C )
                                                        2


But on using (4.7) c can be written as: c = 2 R sin C , giving
40


                                           2 R sin C sin ( 1 B )
                                    AI =                   2

                                                   cos ( 1 C )
                                                         2

                                           2 R × 2sin ( 1 C ) cos ( 1 C ) sin ( 1 B )
Using (2.11) gives                 AI =                 2           2           2

                                                             cos ( 1 C )
                                                                   2


Hence
                                  AI = 4 R sin ( 1 B ) sin ( 1 C )
                     a
                                                 2           2

                                  BI = 4 R sin ( 1 C ) sin ( 1 A )
                                                 2           2                                     (8.8)
              c            b
                                  CI = 4 R sin ( 1 A ) sin ( 1 B )
                                                 2           2



which give an alternative form of (8.7). Further, from (8.7), as it is somewhat
                                                       r
easier we may proceed       AI = r cosec ( 1 A ) =
                                                   sin ( 1 A )
                                           2
                                                         2

Thus, from (7.6) we have
                                                   r                        r bc
                                 AI =                            =
                                          ( s − b )( s − c )           ( s − b )( s − c )
                                                   bc

                                              r s ( s − a ) bc
                                    ≡
                                          s ( s − a )( s − b )( s − c )


                                        r s ( s − a ) bc             s ( s − a ) bc
Using (5.6) and (6.1)            AI =                        ≡                        .
                                                ∆                           s

                                          ( s − a ) bc                 (s − a)
Hence,                          AI =                        = bc
                     a                         s                            s
                                          a ( s − b) c      ( s − b)
similarly                       BI =                   = ca                                        (8.9)
              c            b                    s               s
                                          ab ( s − c )      (s − c)
                                CI =                   = ab
                                               s               s

Note that the relations of (8.9) can be written

                         abc ( s − a )    (s − a)
              AI =                     ≡K         ,
                          s      a           a
                         abc ( s − b )    ( s − b)                                          abc
              BI =                     ≡K          ,                    where K =                 (8.10)
                          s      b            b                                              s
                         abc ( s − c )    (s − c)
              CI =                     ≡K         .
                          s      c           c

                                           (s − a)          ( s − b)            (s − c)
⇒                        AI : BI : CI =                 :               :                         (8.11)
                                               a                 b                c
41



The distances AI A , BI B and CI C .


                                                  C

                                                                                IA

                                                 I




                   A                            D                       B       X

                                                                                     Figure 8.5
From Figure 8.5 notice that
                                                             I AD
                                             sin ( 1 A ) =
                                                   2
                                                             IAA
Therefore,
                                         AI A = rA cosec ( 1 A )
                       a
                                                           2

                                        BI B = rB cosec ( 1 B )
                                                          2                                           (8.12)
               c            b
                                        CI C = rC cosec ( 1 C )
                                                          2


                                                                            C
 Notice also from Figure 8.6 that

                                                                                                           IA
                   θ + θ + φ + φ = 180
                            θ + φ = 90                              I
 Hence
                                IBI A = 90
 Also, since
                                                                D                         B
   θ = 1 B and φ = 1 (180 − B ) = 90 − 1 B
       2           2                   2
                                                                                               Figure 8.6


 then                  I I A B = 90 − 1 ( A + B )
                                      2

                                                                                                      IA




                                                       I




                                                                                              Figure 8.7
        A                                             D                              B
42


On using the Sine Rule of (4.6) we have from triangle ABI A

                         sin ( 90 + 1 B )        sin (     AI A B )        sin ( 1 A )
                                             =                        =
                                    2                                            2

                                AI A                      AB                  BI A

Considering just the first two fractions here gives

                                             AB sin ( 90 + 1 B )
                                    AI A =
                                                           2

                                                  sin (    AI A B )
Therefore
                                                   c cos ( 1 B )
                                   AI A =                  2

                                            sin ( 90 − 1 ( A + B ) )
                                                       2

That is on using (2.2):
                                                   c cos ( 1 B )
                                       AI A =              2

                                                 cos ( 1 ( A + B ) )
                                                       2

                                                   c cos ( 1 B )
                                             =             2

                                                 cos ( 90 − 1 C )
                                                            2

                                                 c cos ( 1 B )
                                             =           2

                                                  sin ( 1 C )
                                                        2



But on using (4.7) c can be written as: c = 2 R sin C
giving
                                     2 R sin C cos ( 1 B )
                              AI A =                  2

                                          sin ( 2 C )
                                                1


Using (2.11) gives
                                   2 R × 2sin ( 1 C ) cos ( 1 C ) cos ( 1 B )
                          AI A =                2           2           2

                                                     sin ( 1 C )
                                                           2




Hence                a                 AI A = 4 R cos ( 1 B ) cos ( 1 C )
                                                        2           2


and similarly                          BI B = 4 R cos ( 1 C ) cos ( 1 A )
                                                        2           2                    (8.13)
                c           b

                                       CI C = 4 R cos ( 1 A ) cos ( 1 B )
                                                        2           2




which give an alternative form of (8.12)
Further, from (8.12), as it is slightly easier we may proceed
                                                                      rA
                                AI A = rA cosec ( 1 A ) =
                                                                 sin ( 1 A )
                                                  2
                                                                       2
43


Thus, from (6.10) and (7.6) we have

                                                       ∆            1
                                         AI A =
                                                   ( s − a ) ( s − b )( s − c )
                                                                    bc
                                                     s ( s − a )( s − b )( s − c )             bc
                                               =
                                                                   (s − a)              ( s − b )( s − c )
                                                     bc s ( s − a )
                                               =
                                                         (s − a)
                                                        bc s
                                               =
                                                     (s − a)
                                                          bc
                                               =
                                                        (s − a)
                                                           s
Therefore:

                                                          bc
or                                       AI A =
                                                     (s − a)
                                                          s
                         a

                                                         ca
similarly                                BI B =                                                      (8.14)
                   c           b                    ( s − b)
                                                          s

                                                         ab
                                         CI C =
                                                    (s − c)
                                                          s

In a manner similar to the processes used to arrive at (8.11) we can also show that
                                           1                   1               1
                 AI A : BI B : CI C =               :                  :                             (8.15)
                                        a(s − a)          b( s − b)          c(s − c)

Further, if we take respective products of (8.9) and (8.14) then we quickly get the
very nice results:
                         a
                                        AI × AI A = bc
                                        BI × BI B = ca                                               (8.16)
                   c           b
                                        CI × CI C = ab
44


The distances II A , II B and II C .                                                            IA




                                                               I
                                                                                                Y




                              A                                D              B                X
                                                                                  Figure 8.8
Consider the similar triangles AID and II AY , we have
                                        AI    AD ID
                                            =   =
                                        II A DX I AY

That is
                              AI    (s − a)      r
                                  =         =
                              II A AX − AD I A X − YX

                                  AI     (s − a)        r
                                      =             =
                                  II A s − ( s − a ) rA − ID

                                    AI ( s − a )      r
Hence,                                   =       =                                     (8.17)
                                    II A   a       rA − r

From the first two fractions we have


                                                 a 
                                        II A = 
                                                   AI
                         a
                                               s−a

                                                  b 
similarly                               II B = 
                                                    BI                               (8.18)
                    c         b                 s−b

                                                 c 
                                        II C = 
                                                   CI
                                               s−c

Therefore, on using the values from the first forms in (8.10), the results in (8.18)
can be written in the manner
                                      a   abc ( s − a )
                             II A = 
                                       ×
                                    s−a   s      a

                                             abc   a
                                    II A =
                                              s (s − a)
Hence

              abc   a                     abc    b                  abc   c
     II A =              ,     II B =                 ,    II C =              .       (8.19)
               s (s − a)                   s ( s − b)                s (s − c)
45


Squaring the value of II A from (8.19) gives

                                                              abc   a 
                                             ( II A )
                                                        2
                                                            =            
                                                              s  (s − a) 

Therefore, from the last two fractions of (8.17) this becomes

                                                                   abc  rA − r 
                                             ( II A )           =
                                                        2
                                                                                                                   (8.20)
                                                                  s  r 

                                                                     abc
From (5.2) we have                                               ∆=
                                                                     4R
and from (6.1) that                                              ∆ = rs

                                                                         abc
Hence,                                                      4 Rr =                                                     (8.21)
                                                                          s

Therefore, from (8.20) and (8.21) we have that

         ( II A )       = 4 R ( rA − r ) ,     ( II B )         = 4 R ( rB − r ) ,    ( IIC )       = 4 R ( rC − r )
                    2                                       2                                   2
                                                                                                                       (8.22)

Moreover, using the half-angle formula in (7.5) we see that (8.19) can be
rearranged thus:
                                    a 2bc        bc            1           a
                        II A =              =a          =a            ≡
                                   s(s − a)    s(s − a)    s ( s − a ) cos ( 1 A )
                                                                             2

                                                               bc
Hence
                                      a                                  b                           c
                          II A =               ,    II B =                     ,     II C =                 .          (8.23)
                                   cos ( A )
                                        1
                                        2                          cos ( B )
                                                                          1
                                                                          2                   cos ( 1 C )
                                                                                                    2




Therefore, on using the results of (4.7), (8.23) can be rewritten in a further,
alternative form

               II A = 4 R sin ( 1 A ) ,
                                2                  II B = 4 R sin ( 1 B ) ,
                                                                    2                 II C = 4 R sin ( 1 C ) .
                                                                                                       2               (8.24)
46
47


§9: Further Triangle Centres

The Orthocentre of any Triangle ABC

The perpendiculars drawn from the vertices of a triangle ABC to the opposite
sides are concurrent at a point called the Orthocentre, H.             A


From Figure 9.1 let AD, BE and CF be the perpendiculars
                                                                            F
 on BC, CA and AB respectively, and H the Orthocentre;
then
               DH = BD tan ( HBD )
                                                                                               E
                                                                                      H

                         = AB cos B × tan ( 90 − C ) ,
                         = c cos B cot C

Using (4.7) c can be written as:                          B                           D                C
                                                                                          Figure 9.1
                     c = 2 R sin C ,
giving          DH = 2 R sin C cos B cot C

Hence                    a
                                          DH = 2 R cos B cos C    hA
                                          EH = 2 R cos C cos A hB                             (9.1)
                c                 b
                                          FH = 2 R cos A cos B    hC

                                          DA = AB sin B
Further,                                      = c sin B
                                              = 2 R sin C sin B
That is                   a
                                          DA = 2 R sin B sin C
                                          EB = 2 R sin C sin A                                (9.2)
                 c                b
                                          FC = 2 R sin A sin B
Therefore, from (9.2) and (9.1) we have that
                                             HA = DA − DH
                                                = 2 R sin B sin C − 2 R cos B cos C
Using (2.3) this becomes
                                             HA = −2 R cos ( B + C )
                                                 = −2 R cos (180 − A )
Hence:
                              a
                                            HA = 2 R cos A
                                            HB = 2 R cos B                                    (9.3)
                     c                b
                                            HC = 2 R cos C
48



Notice that
                                      HA2 = ( 2 R cos A )
                                                            2


                                           = 4 R 2 cos 2 A
                                           = 4 R 2 (1 − sin 2 A )
                                           = 4 R 2 − 4 R 2 sin 2 A
                                           = 4 R 2 − ( 2 R sin A )
                                                                     2




Using (4.7) a can be written as:        a = 2 R sin A ,

giving                                HA2 = 4 R 2 − a 2

Hence, we have the alternative forms of (9.3) as

                        a
                                      HA = 4 R 2 − a 2
                                      HB = 4 R 2 − b2                                (9.4)
                   c           b
                                     HC = 4 R 2 − c 2

Exercise: Establish (9.1) to (9.4) for an obtuse-angled triangle

Again using Figure 9.1, note the following simply found forms of hA , hB and hC .

                            Area of triangle ABC = 1 BC × AD
                                                   2

                                                     = 1 a × hA
                                                       2
                                                                             a
Therefore,
                              2∆                      2∆        2∆
                       hA =      , and similarly hB =    , hC =    .
                               a                       b         c       c       b
49


The Pedal Triangle of any Triangle ABC

By joining the feet of the perpendiculars from the vertices to the opposite sides, a
new triangle is formed called the Pedal triangle.
We use Figure 9.2 and call the triangle DEF the pedal triangle of triangle ABC .
                                                                          A

Now, since      BFH =    BDH = 90 then the quadrilateral
BFHD is cyclic. Considering the right-angled
                                                                 F
triangle AEB we have that
        ABE ≡      FBH = 180 − 90 − A                                              E
                                                                          H
                        = 90 − A

Next, consider the chord FH of
the circle through BFHD.
We have, using angles in the same       B                                 D                    C
                                                                              Figure 9.2
segment, that:

        FDH =       FBH = 90 − A

Similarly, since    CEH =    CDH = 90 , then the quadrilateral BHEC is also cyclic
Therefore, from Figure 9.3 we see that from the right-angled triangle AFC that
                             ACF ≡    ECH = 180 − 90 − A
                                                = 90 − A

Next, consider the chord EH of the circle through CDHE. We have, using angles
in same segment that:
                             ECH = EDH = 90 − A
                                                                              A

Thus we have shown that HD bisects          EDF .
Similarly, HE bisects     FED and HF bisects         DFE .
                                                                     F


⇒ The orthocentre, H, of triangle ABC is the                                           E
  incentre of its associated pedal triangle.                                  H


Moreover,
                   EDF = 180 − 2 A;
(9.5)              FED = 180 − 2 B;         B                                 D                    C
                                                             Figure 9.3
                   DFE = 180 − 2C .

Further, since BC, CA and AB are perpendicular to HD, HE and HF respectively,
the sides of the fundamental triangle ABC are therefore the external bisectors of
the angles of the pedal triangle.

⇒                  A, B and C are the excentres of the triangle DEF.                   (9.6)
50



                                                                A

                                                       F


                                                                H    E




                                    B                          D         C




                                                           Figure 9.4
We also have
                                    CDE =        BDF = A
                                    AEF =        CED = B
                                    BFD =        AFE = C

Hence, from using the Sine Rule (4.6) in the triangle AFE we have:

                         sin A sin ( FEA ) sin ( EFA )
                              =           =
                          EF        FA          EA

The first two fractions lead to
                                    sin A      sin B
                                          =
                                     EF     AC cos A
                                    sin A sin B
                                          =
                                     EF     b cos A
Hence
                               b sin A cos A     b
                        EF =                 =       × sin A cos A
                                   sin B       sin B
Therefore, from (4.7)
                                  EF = 2 R × sin A cos A                        (9.7)

Therefore, using either (2.11) or (4.7), equation (9.7) can now be written in either
of two forms
                    a
                                EF = R sin ( 2 A ) or EF = a cos A
                                  FD = R sin ( 2 B ) or EF = b cos B            (9.8)
                c        b
                                  DE = R sin ( 2C ) or DE = c cos C
51


The Circumcircle and the Pedal Triangle.

Let R ' be the radius of the circle circumscribing the pedal triangle DEF
(Figure 9.2). Then, by the Sine Rule (4.7)
                                  EF = 2 R 'sin ( FDE )
Therefore, by (9.8) and (9.5) we have
                           R sin ( 2 A ) = 2 R 'sin (180 − 2 A )

that is                    R sin ( 2 A ) = 2 R 'sin ( 2 A ) , by (2.2)

Hence;                                   R' = 1 R
                                              2                                  (9.9)

That is, the radius of the circumcircle of the fundamental triangle ABC is twice
the radius of the circumcircle of the pedal triangle of the fundamental triangle
ABC
(Note: The Circumcircle of the pedal triangle of the fundamental triangle ABC is
actually the Nine Point Circle of the fundamental triangle ABC)

The Excentric Triangle.

Returning briefly to the work of §8, which dealt with the Excircles of the
fundamental triangle ABC having centres I A , I B and I C and associated radii
rA , rB and rC , we make the following comparisons between these and those of the
pedal triangle as discussed above.




                             IC
                                                      A
                                                                     IB



                                                  I

                                     B                       C




                                                 IA

                                                                          X




              Figure 9.5
52


Recall from the construction of Incircle and Excircle that IC bisects                            ACB and
I AC bisects the angle             BCX .
Therefore,
                                       ICI A =             ICB +       I ACB
                                               =   1
                                                   2        ACB + 1
                                                                  2       XCB
                                               =   1
                                                   2   (     ACB +        XCB )
                                               =   1
                                                   2   (180 ) = 90
Similarly,      ICI B is also a right angle.


Hence,                  I ACI B is a straight line to which IC is perpendicular
                        I B AI C is a straight line to which IA is perpendicular                             (9.10)
                        I C BI A is a straight line to which IB is perpendicular

Also, since AI and AI A both bisect the                      BAC , the three points A, I and I A all lie
on the same straight line. Similarly, B I I B and C I I C are also straight lines.

Hence, I A I B I C is a triangle, which is such that A, B and C are the feet of the
perpendiculars drawn from its vertices upon the opposite sides, and such that I is
the intersection of these perpendiculars. That is, triangle ABC is the pedal
triangle and I is the Orthocentre of the Excentric triangle I A I B I C .
                                                                                                             A

We also note from Figure 9.6 that
             I A BC =   1
                        2   (180   − B ) and           I ACB =     1
                                                                   2   (180    − C)
                                                                                                         I
Therefore,
         BI AC = 180 − ( 90 − 1 B ) − ( 90 − 1 C )
                              2              2                                          B                        C

                   = (B + C)
                        1
                        2

                   = 90 − 1 A
                          2


But as BICI A is a cyclic quadrilateral, then
                                                                                            IA
                   BIC = 90 + 1 A                                                                    Figure 9.6
                              2

Similarly,
  CI B A = 90 − 1 B,
                2                   AI C B = 90 − 1 C ,
                                                  2

    CIA = 90 + 1 B,
               2                     AIB = 90 + 1 C .
                                                2
                                                                                                 O
                                                                                                         I

Thus, triangles I A BC , I BCA, I C AB are similar,
                                                                                        B                        C
each with angles 90 − 1 A, 90 − 1 B, 90 − 1 C .
                      2         2         2                                    (9.11)
                                                                                                     X
From Figure 9.7, let X be the intersection of the
angle bisector through A, I and I A and the
circumcircle of triangle ABC.                                                               IA   Figure 9.7
53


Therefore, BX = XC as                BAX =           CAX . Moreover,             BAX ≡          BCX = 1 A ,
                                                                                                      2

(from chord BX).
Therefore,                                     XCI = 1 ( A + C )
                                                     2


but     XIC = 1 ( A + C ) when taken as the exterior angle to triangle AIC .
              2


Hence,                                               XC = XI

We also have            XCI A = 1 B as
                                2             ICI A = 90 , and               ACX ≡       ABC = B , (from
chord AC ). Therefore,
                                      XI AC = 1 B , ⇒
                                              2                    XC = X I A

Thus                                 XB = XC = X I = X I A = 1 II A .
                                                             2


Moreover, as I A BIC is a cyclic quadrilateral on II A as diameter, the
circumference of the triangle I A BC passes through I.
Similarly, the circumcircles of the triangles I BCA and I C AB also pass through I.
In the triangle BI AC , using the Sine Rule from (4.7), we have that

                    sin ( BI AC )    1
                                  =     , where II A ≡ 2 × radius of                       I A BIC
                         BC         IIA

                                                              a
Therefore, from (9.11)                      II A =
                                                      sin ( 90 − 1 A )
                                                                 2

             a
Hence
                                        a                           b                                c
                            II A =               ,      II B =               ,    II C =                     ,   (9.12)
        c           b                cos ( A )
                                          1
                                          2                      cos ( B )
                                                                     1
                                                                     2                     cos ( 1 C )
                                                                                                 2



as met previously in (8.23)

Consider now the Figure 9.8                                              ( 90    − 1 B ) + B = 90 + 1 B
                                                                                   2                2

Using (9.11) we see that BI C I BC
is a cyclic quadrilateral since                           IC
      I C BC +   CI B I C
                                                                                                A
            = ( 90 + 1 B ) + ( 90 − 1 B )
                     2              2
                                                                                                                  IB
            = 180
                                                                                            I
Moreover, as IB ⊥ I C I A then I C I A
is a diameter of the BIC I B C                                           B                               C
Therefore, in the triangle BI C C ,
using the Sine Rule from (4.7),
                                                                                                         90 − 1 B
                        sin ( BI C C )     1                                     IA
                                                                                                              2
we have that:                          =        .
                             BC          I B IC                                       Figure 9.8
54


But     BI C C = 90 − 1 A from (9.11), and I ACI = 90 from (9.10) ⇒
                      2                                                                             BI C C = 1 A .
                                                                                                             2


Therefore, we have
                                              sin ( 1 A )      1
                                                    2
                                                          =
                                                  a         I B IC
Hence
                                                               c
                                               I AIB =                  ,
                            a                             sin ( 1 C )
                                                                2

                                                               a
                                               I B IC =                 ,                                  (9.12)
                    c              b                      sin ( 1 A )
                                                                2

                                                               b
                                               IC I A =                 .
                                                          sin ( 1 B )
                                                                2



On using (4.7) these relations can easily be shown to take the alternative forms:

            I A I B = 4 R cos ( 1 C ) ,
                                2            I B I C = 4 R cos ( 1 A ) ,
                                                                 2          I C I A = 4 R cos ( 1 B ) .
                                                                                                2          (9.13)



From the Excentric triangle I A I B I C we have the simple area calculation:

               Area I A I B I C =      ( I C I A ) ( I A I B ) sin ( I C I A I B )
                                       1
                                       2

                                   = 1 ( 4 R cos ( 1 A ) ) ( 4 R cos ( 1 C ) ) sin ( 90
                                     2                 2                   2              − 1 A)
                                                                                            2

Hence
                          Area I A I B I C = 8 R 2 cos ( 1 A ) cos ( 1 B ) cos ( 1 C )
                                                         2           2           2                         (9.14)

Notice that on using (7.5) we can rewrite (9.14) as

                                                    s ( s − a) s ( s − b) s ( s − c)
                        Area I A I B I C = 8 R 2
                                                        bc         ca         ab
                                                    s 3 ( s − a )( s − b )( s − c )
                                           = 8 R2
                                                               a 2b 2 c 2
                                             8R2s
                                           =      ∆
                                              abc
                                                  4R
                                           = 2R ×      × s∆
                                                  abc
                                                     1
                                           = 2R ×         × s∆
                                                   abc 
                                                       
                                                   4R 
                                                  1
                                           = 2 R × × s∆ ,     from (5.2)
                                                  ∆
Hence
                                             Area I A I B I C = 2 Rs                                       (9.15)
55


§10: Special Cevian Lengths

A Cevian is the name given to any line from a triangle vertex to its opposite side

The Centroid and Medians of any Triangle.                                           A


In Figure 10.1 the points D, E and F are midpoints of
the respective sides opposite the apexes A, B and C.
                                                                       F                  E
The lines AD, BE and CF are called the Medians                                 G
of the triangle ABC, usually denoted
    AD = mA , BE = mB , CF = mC .
                                                              B            D                     C
From page 3 of the Appendix we have
                                                                               Figure 10.1
proved the following results:
                         AG = 3 AD, BG = 3 BE , CG = 3 CF .
                              2          2           2



The point G is called the Centroid of the triangle ABC.

From the Cosine Rule of (4.5) we have, from triangle ADC, in Figure 9.10
that
                          ( AD )2 = ( AC )2 + ( CD )2 − 2 ( AC )( CD ) cos C .
                                                 2
                                             a            a
That is                         mA = b 2 +   − 2 ( b )   cos C .
                                 2
                                                        
                                           2           2
                                           a 2
Hence                           mA = b 2 +
                                 2
                                               − ab cos C .                             (10.1)
                                            4
However, a second application of the Cosine Rule in the whole triangle ABC gives

                                c 2 = b2 + a 2 − 2ba cos C .                            (10.2)
Hence, on equating (10.1) and (10.2) we find that
                                                         a2
                                   2m A − c 2 = b 2 −
                                      2

                                                         2
                                                         a2
Thus we have                       2m A = b 2 + c 2 −
                                      2

                     a                                   2
                                                b2
                                   2m = c + a −
                                      2
                                      B
                                            2        2
                                                                                        (10.3)
                c         b                     2
                                                c2
                                   2m = a + b −
                                      2
                                      C
                                            2        2

                                                2
56


On using the Cosine Rule once again the relations of (10.3) can be written:
                   a
                                    4 mA = b 2 + c 2 + 2bc cos A
                                        2


                                    4 mB = c 2 + a 2 + 2ca cos B
                                       2
                                                                                           (10.4)
             c             b
                                    4 mC = a 2 + b 2 + 2ab cos C
                                       2




Notice the simply determined relation derived from adding each of the results of
(10.3):
                         mA + mA + mA = 3 ( a 2 + b 2 + c 2 )
                           2    2    2
                                         4                                  (10.5)



In Figure 10.2 let         ADC = θ AC ; draw AL ⊥ BC , then                            A


                           DL BL − BD
            cot θ AC =           =
                           AL           AL                             c
                                                                                            b
                           c cos B − 2 a
                                       1
                       =                                           K              mA
                               c sin B                                        G
                           2 R sin C cos B − R sin A
                       =
                                  2 R sin C sin B              B                                C
                                                                              D        L
                           2sin C cos B − sin ( B + C )
                       =                                                          Figure 10.2
                                    2sin B sin C
                            sin ( C − B )
                       =
                           2sin B sin C
                       =   2 ( cot B − cot C )
                           1




That is
           2cot θ AC = cot B − cot C ≡ sin ( C − B ) cosec B cosec C

Also, as         θ AB = 180 − θ AC then

                                   cot θ AB = cot (180 − θ AC )
                                                      1
                                           =
                                               tan (180 − θ AC )
                                             1 + tan180 tan θ AC
                                           =
                                              tan180 − tan θ AC
                                                1+ 0
                                           =
                                             0 − tan θ AC
                                           = − cot θ AC
Hence
                  2cot θ AC = cot B − cot C ≡ sin ( C − B ) cosec B cosec C
                                                                                           (10.6)
                  2cot θ AB = cot C − cot B ≡ sin ( B − C ) cosec C cosec B
57


To find the angles which mA makes with AB, CA draw DK ⊥ AB and let
  DAB = α B and     DAC = α C ; then
                                         AK AB − KB         c   KB
                               cot α B =      =          =    −
                                         KD        KD      KD KD
                                            c
                                       =         − cot B
                                         a
                                           sin B
                                           2
                                            c      1
                                       = 2× ×           − cot B
                                            a sin B
                                            sin C       1
                                       = 2×        ×        − cot B
                                            sin A sin B
                                                sin C
                                       = 2×               − cot B
                                            sin A sin B
                                          sin ( A + B )
                                       =2               − cot B
                                          sin A sin B
                                       = 2cot B + 2cot A − cot B
Hence
                               cot α B = 2cot A + cot B
                                                                               (10.7)
                               cot α C = 2cot A + cot C

Similarly symmetric relations exist for the other median lines BE and CF .
Notice further, that on subtracting the results of (10.7) we have:
                           cot α B − cot α C = cot B − cot C                   (10.8)

Hence, from (10.8), the identities of (10.6) can be written:

                             2 cot θ AC = cot α B − cot α C
                                                                               (10.9)
                             2 cot θ AB = cot α C − cot α B



Cevians Bisecting Angles Internally

In Figure 10.3 the cevian AX bisects       A internally and divides the          A

base BC into portions x AB and x AC

By the Sine Rule in triangle AXB we have
                                                                      c              b
        sin ( A ) sin ( B ) sin ( AXB )
            1
            2
                 =         =                        (10.10)
           x AB     δA            c
                                                          B               X              C
and in triangle AXC we have
                                                                          Figure 10.3

                          sin ( 1 A ) sin ( C ) sin ( AXC )
                                2
                                     =         =                              (10.11)
                             x AC       δA            b
58


Noting that        sin (        AXC ) ≡ sin (180 −           AXB ) = sin (    AXB )

then we have on division of (10.11) and (10.10) that

                                                 x AB c
                                                     =                                             (10.12)
                                                 x AC b

Therefore, on using Theorem (3.2) we have
                   x AB x AC (1) x AB + (1) x AC x AB + x AC    a
                       =    =                   =            ≡
                    c    b     (1) b + (1) c        b+c        b+c
Hence
                                               ac                    ab
                                     x AB =       ,        x AC =                                  (10.13)
                                              b+c                   b+c


Also, if δ is the length of the cevian AX and ϕ AC =                      AXC , then we have

                       Area ∆ AXB + Area ∆ AXC = Area ∆ ABC

Therefore,                 1
                           2   c δ sin ( 1 A ) + 1 b δ sin ( 1 A ) = 1 b c sin A
                                         2       2           2       2


                                                b c  sin A
Giving                                  δA =          
                                                b + c  sin ( 1 A )
                                                               2

Hence
                                                2b c 
                                        δA =          cos ( 2 A )
                                                              1
                                                                                                   (10.14)
                                                b+c

which on using (7.5) becomes
                                               2
                                       δA =       s ( s − a ) bc                                   (10.15)
                                              b+c

Notice also that
                                                          A
                                     ϕ AC =      XAB + B ≡  +B
                                                          2                                        (10.16)
                                                          A
                                     ϕ AB =      XAC + C ≡ + C
                                                          2
                                                                                                      a

Clearly, the relationships of (10.12) to (10.16) can be re-written relative
to the other triangle apexes B and C by the usual symmetry rule                                c             b
59


Cevians Bisecting Angles Externally

In Figure 10.4 the cevian AX ′ bisects A externally and divides the
base BC extended, into portions x′ and x′
                                   AB    AC




                           A




           c                    b




 B                  X               C                                                       X'




By the Sine Rule in triangle ABX ′ we have                                               Figure 10.4

                         sin ( A + 90 − 1 A )                 sin ( B ) sin (ϕ ′ )
                                                          =            =
                                        2                                      A

                                        x′
                                         AB                     AX  ′       c
That is:
                           sin ( 90 + 1 A )               sin ( B ) sin (ϕ ′ )
                                                      =            =
                                      2                                    A
                                                                                                 (10.17)
                                        x′
                                         AB                 AX ′        c

By the Sine Rule in triangle ACX ′ we have

                        sin ( 90 − 1 A )          sin (180 − C )            sin (ϕ ′ )
                                              =                         =
                                   2                                               A

                                x′
                                 AC                           AX ′              b
That is:
                         sin ( 90 − 1 A )             sin ( A + B ) sin (ϕ ′ )
                                                  =                =
                                    2                                      A
                                                                                                 (10.18)
                                    x′
                                     AC                   AX ′          b
Thus (10.17) gives
                               cos ( 1 A ) sin ( A + B ) sin (ϕ ′ )
                                     2
                                          =             =       A
                                                                                                 (10.19)
                                 x′AC          AX ′          b
and (10.18) gives
                                 cos ( 1 A ) sin ( B ) sin (ϕ ′ )
                                       2
                                            =         =       A
                                                                                                 (10.20)
                                   x′ AB       AX ′        c
(10.19) ÷ (10.20) gives
                                               1       1
                                               ′ 
                                               x AC    b
                                                       =
                                               1  1
                                               ′  c
                                               x AB 
60


                                              x′    c
Hence                                          AB
                                                  =                                           (10.21)
                                              x′
                                               AC   b

which is a similar relation to (10.12)
Therefore, on using Theorem (3.2) once again we have
                     x′   x′    (1) x′AB + ( −1) x′AC x′AB − x′AC    a
                      AB
                         = AC =                      =            ≡
                      c    b      (1) c + ( −1) b        c−b        c−b
Hence
                                           ac                  ab
                                   x′ =
                                    AB        ,        x′ =
                                                        AC                                    (10.22)
                                          c−b                 c−b

Also, if δ A is the length of the cevian AX ′ and ϕ ′ =
           ′                                        A                AX ′C , then we have

                         Area ∆ ABX ′ − Area ∆ ACX ′ = Area ∆ ABC
              1
              2   c δ A sin ( A + 90 − 1 A ) + 1 b δ A sin ( 90 − 1 A ) = 1 b c sin A
                      ′                2       2
                                                     ′            2       2

Therefore,               δ A ( c sin ( 90 + 1 A ) + b sin ( 90 − 1 A ) ) = b c sin A
                           ′                2                    2

                                      δ A ( c cos ( 1 A ) + b cos ( 1 A ) ) = b c sin A
                                        ′           2               2


                                            b c  sin A
Giving                               δA = 
                                      ′            
                                            c − b  cos ( 1 A )
                                                           2

Hence
                                            2b c 
                                      ′
                                     δA =         sin ( 2 A )
                                                          1
                                                                                              (10.23)
                                            c−b

which on using (7.6) becomes
                                         2
                                  ′
                                 δA =       bc ( s − b )( s − c )                             (10.24)
                                        c−b

Notice also that
                                               A
                                           ϕ′ =
                                            A    + C − 90
                                               2                                              (10.25)
                                               A
                                    180 − ϕ ′ = + B + 90
                                            A
                                               2
                                                                                                 a

Clearly, the relationships of (10.21) to (10.25) can be re-written relative
to the other triangle apexes B and C by the usual symmetry rule                           c             b


One further observation is that
                                                        ab   ab
                                X X ′ = x AC + x′ =
                                                AC         +
                                                       b+c c−b
                                                    2abc
Hence                                     XX′ =                                               (10.26)
                                                   c 2 − b2
61

                                                                                               A
Apollonius’ Theorem

In Figure 10.5 the point D bisects the base BC
of the triangle ABC.
Apollonius’ Theorem states that:

      ( AB )2 + ( AC )2 = 2 ( AD )2 + 2 ( BD )2                 B               D                     C

Proof:       Let     ADB = θ ; therefore          ADC = 180 − θ .                       Figure 10.5

Therefore, using the Cosine Rule gives

                         ( AB )2 = ( AD )2 + ( DB )2 − 2 ( AD )( DB ) cos θ                    (10.27)

                    ( AC )2 = ( AD )2 + ( DC )2 − 2 ( AD )( DC ) cos (180 − θ )

That is                 ( AC )2 = ( AD )2 + ( DC )2 − 2 ( AD )( DC ) cos (θ )                  (10.28)

Therefore, by the addition of (10.27) and (10.28), and since BD = DC we have:

                              ( AB )2 + ( AC )2 = 2 ( AD )2 + 2 ( BD )2

A Generalisation of Apollonius’ Theorem – Stewart’s Theorem
                                                                                               A

In Figure 10.6 the base BC of the triangle ABC has been
divided in the ratio
              BD : DC = m : n                     (10.29)
by the foot D of the general cevian AD
                                                                B                          D          C
                                                                                          Figure 10.6
Further, we have on multiplication of (10.27) by n and (10.28)
by m to give
                n ( AB ) = n ( AD ) + n ( DB ) − 2n ( AD )( DB ) cos θ
                        2          2          2
                                                                                               (10.30)
and
                   m ( AC ) = m ( AD ) + m ( DC ) + 2m ( AD )( DC ) cos (θ )
                              2             2           2
                                                                                               (10.31)

From (10.29), (10.31) can be written

                   m ( AC ) = m ( AD ) + m ( DC ) + 2n ( AD )( BD ) cos (θ )
                              2             2           2
                                                                                               (10.32)

Hence, adding (10.30) and (10.32) gives us the general form

                   n ( AB ) + m ( AC ) = ( m + n )( AD ) + n ( BD ) + m ( DC )
                          2             2                   2             2         2
                                                                                               (10.33)

which reduces to Apollonius’ form for m = n , that is for D being the midpoint of
BC.
62


This is perhaps most easily remembered by first re-labelling
the Figure 10.5 in the following manner.                     a                                      d       b


Stewart’s Theorem can then be shown in a form
more easily recalled, namely:
                                                                                              c

                 a 2 n + b2 m = c ( d 2 + mn )
                                                                              m                         n
(10.34)                                                                                           Figure 10.7

In the same manner we can extend the results of (10.16) for a general cevian
rather than the angle bisector of that section.                           A

Consider Figure 10.8 in which we set BD : DC = m : n
That is                                                                               c                     b
             m BD BD × AD
               =      =
             n DC AD × DC

Therefore, on using the Sine Rule we have                              B              m            D    n       C
                                                                                                   Figure 10.8
m BD AD
 =  ×   =
               sin (α B )
                                ×
                                                       (
                                  sin 180 − (180 − θ AB ) − α C
                                                                ,
                                                                                          )
n AD DC sin (180 − α B − θ AB )            sin (α C )

              m sin (α B ) sin (θ AB − α C )
That is        =          ×
              n sin (α C ) sin (α B + θ AB )
                      sin (α B ) sin (θ AB ) cos (α C ) − cos (θ AB ) sin (α C )
                  =             ×
                      sin (α C ) sin (α B ) cos (θ AB ) + cos (α B ) sin (θ AB )

                  =
                      {sin (θ ) cos (α ) − cos (θ ) sin (α )} / sin (α )
                              AB          C            AB         C               C

                      {sin (α ) cos (θ ) + cos (α ) sin (θ )} / sin (α )
                              B          AB            B         AB               B

                      sin (θ AB ) cot (α C ) − cos (θ AB )
                  =
                      cos (θ AB ) + cot (α B ) sin (θ AB )

Hence,
      m cos (θ AB ) + m cot (α B ) sin (θ AB ) = n sin (θ AB ) cot (α C ) − n cos (θ AB )
                           ( m + n ) cos (θ AB ) = n sin (θ AB ) cot (α C ) − m cot (α B ) sin (θ AB ) ,

giving:                    ( m + n ) cot (θ AB ) = n cot (α C ) − m cot (α B )                          (10.35)

Similarly, using the identity cot (180 − ϕ ) ≡ − cot (ϕ ) gives

                           ( m + n ) cot (θ AC ) = m cot (α B ) − n cot (α C )                          (10.36)

Notice that (10.35) and (10.36) reduce to (10.9) for m = n , that is for D being the
midpoint of B.
63


§11: Problems

Problem 1. Prove:
                                   rA + rB + rC − r = 4 R

Problem 2. Prove:
                                     1 1 1 1
                                       + + =
                                     rA rB rC r

Problem 3. Prove:
                                     1 1   1 1
                                       + +   =
                                     hA hB hC r

Problem 4. Prove:
                                        rA rB rC = rs 2
                                        r rA rB rC = ∆ 2

Problem 5. Prove:
                         s = 4 R cos ( 1 A ) cos ( 1 B ) cos ( 1 C )
                                       2           2           2

                        ∆ = 4 Rr cos ( 1 A ) cos ( 1 B ) cos ( 1 C )
                                       2           2           2



Problem 6. Prove:
                     a cos A + b cos B + c cos C = 4 R sin A sin B sin C

Problem 7. Prove:
                                  rA rB + rB rC + rC rA = s 2

Problem 8. Prove:
                      1 1 1         1          abcs
                        + + −              = 2
                      rA rB rC rA + rB + rC ∆ ( 4 R + r )

Problem 9. Prove:
                        rB + rC = 4 R cos 2 ( 1 A ) ≡ a cot ( 1 A )
                                              2               2



Problem 10. Prove:
                     ( rA + rB ) ( rB + rC )( rC + rA ) = 4 R ( rArB + rB rC + rC rA )

Problem 11. Prove:
                            ( rA − r )( rB − r ) ( rC − r ) = 4 R r 2
64


Problem 12. Prove:
       1 1   1 1  1 1   1 1   1 1   1 1                               64 R 3   4R
       +   +  +  =  −   −   −                                        = 2 2 2 ≡ 2 2
       rA rB   rB rC  rC rA   r rA   r rB   r rC                      abc     r s

Problem 13. Prove:
                             1                         1                   1             1
                                         +                       +                   =
                     ( s − a ) ( s − b ) ( s − b )( s − c ) ( s − c )( s − a )           r2
Problem 14. Prove:
                            4b 2 c 2 = ( b2 + c 2 − a 2 ) + 16∆ 2
                                                             2




Problem 15. Prove:
                            4 ∆ = b 2 sin ( 2 A ) + a 2 sin ( 2 B )

Problem 16. Prove:
                          ∆ = s 2 tan ( 1 A ) tan ( 1 B ) tan ( 1 C )
                                        2           2           2



Problem 17. Prove:
                                 ∆ = 2 R 2 sin A sin B sin C

Problem 18. Prove:
                             ∆ = Rr ( sin A + sin B + sin C )

Problem 19. Prove:
                                       a 2 − b 2 sin A sin B
                                 ∆=             ⋅
                                           2      sin ( A − B )

Problem 20. Prove:
                     32∆ 3 = a 2b 2 c 2 ( sin ( 2 A ) + sin ( 2 B ) + sin ( 2C ) )

Problem 21. Prove:
                                        a 2 + b2 + c 2
                             4∆ =
                                  ( cot A + cot B + cot C )

Problem 22. Prove:
                                 rA ( rB + rC )            rA ( rB + rC )                rrA
                     a=                                =                  = ( rB + rC )
                            rA rB + rB rC + rC rA                 s                     rB rC

Problem 23. Prove:
                                    a 2 = ( rA − r ) ( rB + rC )
65


Problem 24. Prove:
                                                           rA
                              sin ( 1 A ) =
                                                ( rA + rB ) ( rA + rC )
                                    2




Problem 25. Prove:
                                         2rA rA rB + rB rC + rC rA
                              sin A =
                                           ( rA + rB ) ( rA + rC )

Problem 26. Prove:
                       rA rB rC = r 3 cot 2 ( 1 A ) cot 2 ( 1 B ) cot 2 ( 1 C )
                                              2             2             2



Problem 27. Prove:
                             1 1 1 1 a 2 + b2 + c2
                                + 2+ + =
                             r 2 rA rB2 rC2 ∆2

Problem 28. Prove:
                          r 2 + rA + rB2 + rC2 = 16 R 2 − a 2 − b 2 − c 2
                                 2




Problem 29. Prove:
                                         ab = rA rB + rrC

Problem 30. Prove:
                                     1  1 1     1
                                       + +   =
                                     ab bc ca 2 Rr

Problem 31. Prove:
                                    rA rB rC 1 1
                                      + +   = −
                                    bc ca ab r 2 R

Problem 32. Prove:
                                    b−c c −a a −b
                                        +    +    =0
                                     rA   rB   rC

Problem 33. Prove:
                       a ( rrA + rB rC ) = b ( rrB + rC rA ) = c ( rrC + rA rB )

Problem 34. Prove:
                     rA rB + rB rC + rC rA + rrA + rrB + rrC = ab + bc + ca

Problem 35. Prove:
                        ( I I A ) + ( I I B ) + ( I IC )       = 8 R ( 2R − r )
                                2           2              2
66


Problem 36. Prove:
                                  I I A ⋅ I I B ⋅ I I C = 16 R 2 r

Problem 37. Prove:
                                  ( I B IC )       = 4 R ( rB + rC )
                                               2




Problem 38. Prove:
                     ( I I A ) + ( I B IC )        = ( I I B ) + ( IC I A ) = ( I IC ) + ( I A I B )
                            2                 2              2            2           2                2




Problem 39. Prove:
                           I I A ⋅ I B IC I I B ⋅ IC I A I IC ⋅ I A I B
                                         =              =
                              sin A          sin B          sin C

Problem 40.

    a, b and c are the radii of three circles which touch one another externally
    and the tangents at their points of contact meet in a point; prove that the
    distance of this point from either of their points of contact is

                                                    abc
                                                   a+b+c
Appendix: Concurrences of Straight Lines in a Triangle
68
69


Circumcentre:


          The perpendiculars drawn to the sides of a triangle from their
                           midpoints are concurrent

Let X, Y and Z be the midpoints of the sides of the
                                                                           A
triangle ABC.

From Z and Y draw perpendiculars to AB, AC
meeting at O. Join OX.
                                                          Z                     Y
Thus, it is required to show that OX is
perpendicular to BC
                                                                    O
Join OA, OB, OC.
                                               B                X                     C
Proof:

Because YO bisects AC at right angles, it is therefore the locus of points that are
equidistant from A and C.
Therefore,                         OA = OC

Again, because ZO bisects AB at right angles, it is therefore the locus of points
that are equidistant from A and B.
Therefore,                         OA = OB

Hence:                               OB = OC

Therefore, O is on the locus line of points equidistant from B and C; that is

                            OX is perpendicular to BC

Hence, the perpendiculars from the midpoints of the sides of the triangle ABC
meet at O. □
70


Incentre:

                The bisectors of the angles of a triangle are concurrent

Bisect      ABC ,   BCA by straight lines that meet at O. Join AO.
                                                                           A
Thus, it is required to show that AO bisects       BAC .

From O draw OP, OQ, OR perpendicular to the                    R
sides of the triangle ABC.                                                     Q

Proof:                                                               O

Because BO bisects      BAC it is
therefore equivalent to the locus              B                       P           C
of points that are equidistant
from BA and BC.

Therefore,                             OP = OR

Similarly, CO is the locus of points that are equidistant from CB and CA.
Therefore                              OP = OQ

Hence                                  OR = OQ

Therefore, O is on the locus of points that are equidistant from AB and AC; that
is, OA is the bisector of the BAC.

Hence the bisectors of the three angles of the triangle ABC meet at O. □
71


Centroid:

                     The medians of a triangle are concurrent

Let BY and CZ be two of the medians of the triangle ABC, and let them intersect
at O. Join AO and produce it to meet BC in X.
                                                                             A
Thus, it is required to show that AX is the remaining median
of triangle ABC.

Through C draw CK, parallel to BY. Produce AX                Z                   Y
to meet CK at K. Join BK.

                                                                         O
Proof:

Because Y is the middle point of AC,          B                      X                  C
and YO is parallel to CK, therefore O
is the middle point of AK.
(By similar triangles ∆ AYO ≅ ∆ ACK )                            K


In the triangle ABK, since Z and O are the middle points of AB and AK we have
that ZO is parallel to BK, that is, OC is parallel to BK.

Therefore, the figure BKCO is a parallelogram. But the diagonals of a
parallelogram bisect one another; therefore X is the middle point of BC.

That is, AX is also a median of the triangle ABC.

Hence, the medians of triangle ABC meet at O. □
(O is usually referred to as the Centroid of the triangle)

Corollary:
The three medians of a triangle cut one another at a point of trisection, the greater
               segment in each being towards the angular point.


We have seen above that              AO = OK ,
and that                         OX is half of OK;
therefore                        OX is half of OA:
that is                       OX is one third of AX.
Similarly,                     OY is one third of BY,
and                           OZ is one third of CZ. □
72


Orthocentre:

           The perpendiculars drawn from the vertices of a triangle to the
                          opposite sides are concurrent

Let AD and BE be the perpendiculars drawn from A and B to their opposite
sides; and let them intersect at O. Join CO; and produce it to meet AB at F.

Thus, it is required to show that CF is perpendicular to AB.               A

Proof:
                                                                  F
Join DE.                                                                       E
Then, because     OEC and      ODC are both
right-angles, we have:                                                 O

         Points O,E,C,D are concyclic.
         (Opposite angles in a cyclic         B                           D        C
         quadrilateral sum to 180 )

                                                                               E
Therefore,           DEC =    DOC , in same segment,                  O
⇒                    DEC =    FOA , vertically opposite angles.

Similarly, as    AEB and     ADB are both right-angles, we
have:                                                                     D        C
         Points A,E,D,B are concyclic.
         (Opposite angles in a cyclic                                      A
         quadrilateral sum to180 )
                                                                  F
Therefore,
    DEB =       DAB , in same segment.                                         E
                                                                      O
Therefore, we have

     FOA +      FAO ≡    DEC +    DAB
                    =    DEC +    DEB         B                           D        C
                    = 90

Therefore,      AFO = 90 (angles in triangle sum to 180 )
That is, CF is perpendicular to AB.

Hence the three perpendiculars AD, BE and CF meet at the point O. □
73


Bibliography
74
75


In order of usage:

Sixth Form Trigonometry. W. A. C. Smith. James Nisbet & Co. Ltd. [1956].

Modern Geometry. C. V. Durell. Macmillan & Co. Ltd. [1957].

Plane Trigonometry (Part 1). S. L. Loney. Macmillan & Co. Ltd. [1967].

A School Geometry (Parts I – VI) . Hall & Stevens. Macmillan & Co. Ltd. [1944].

Advanced Euclidean Geometry: An Elementary Treatise on the Geometry of the
Triangle and the Circle. Roger A. Johnson. Dover Publications Inc. [1929].

College Geometry: An Introduction to the Modern Geometry of the Triangle and
the Circle. N. Altshiller Court. Barnes & Noble Inc. [1952].
76
77

Elementary triangle goemetry

  • 1.
    Elementary Triangle Geometry Mark Dabbs The Mathematical Association Conference University of York, U.K Spring 2004 Version 1.1 April 2004 (www.mfdabbs.com)
  • 2.
  • 3.
    3 Contents Motivating Problem. 5 §1: Basic Trigonometrical Formulae. 11 §2: Further Trigonometrical Formulae. 13 §3: Ratio Theorems. 15 Theorem (3.1). Theorem (3.2). §4: Basic Triangle Formulae. 17 Cosine Rule. Sine Rule and Cicumcircle. Tangent Rule. §5: Other Triangle Formulae. 21 Area Formulae in terms of a, b and c. Sin A, sin B and sin C in terms of a, b and c. Cos A, cos B and cos C in terms of a, b and c. Tan A, tan B and tan C in terms of a, b and c. §6: Associated Circles. 25 Incircle. Excircles. Heron’s Area Formula. §7: Further Triangle Formulae. 33 Tan ( 1 A ) , tan ( 1 B ) and tan ( 1 C ) 2 2 2 in terms of a , b and c. Cos ( 1 A ) , cos ( 1 B ) and cos ( 1 C ) in terms of a , b and c. 2 2 2 Sin ( 1 A ) , sin ( 1 B ) and sin ( 1 C ) in terms of a , b and c. 2 2 2 §8: Further Triangle Relationships. 37 Relationship between r and R. Relationships between rA , rB , rC and R. The distances AI , BI and CI . The distances AI A , BI B and CI C . The distances II A , II B and II C . §9: Further Triangle Centres. 47 The Orthocentre of any Triangle ABC . The Pedal Triangle of any Triangle ABC. The Circumcircle and the Pedal Triangle. The Excentric Triangle.
  • 4.
    4 §10: Special CevianLengths. 55 The Centroid and Medians of any Triangle. Cevians Bisecting Angles Internally. Cevians Bisecting Angles Externally. Apollonius’ Theorem. A Generalisation of Apollonius’ Theorem – Stewart’s Theorem §11: Problems. 63 Appendix: Concurrences of Straight Lines in a Triangle. 67 Circumcentre. Incentre. Centroid. Orthocentre. Bibliography. 73
  • 5.
    5 Motivating Problem The motivationfor this work came from an open question to a class to find the area of a triangle whose base is known but whose perpendicular height is not known. B A typical diagram is shown in Figure MP.1 a h c P C A x b-x Figure MP.1 The area of the triangle, ∆ , is seen to be ∆ = 1 ( base ) ( ⊥ height ) 2 (MP.1) ∆ = 1 bh, 2 where b = AC and h = BP . After some discussion, two methods were proposed o Method 1: Using Trigonometry o Method 2: Using Pythagoras Method 1 is perhaps the more familiar and progresses thus: In triangle BPC we have: PB sin C = BC h sin C = a Therefore, h = a sin C (MP.2) From (MP.1) and (MP.2) we have the general area formula ∆ = 1 ab sin C 2 (MP.3)
  • 6.
    6 Method 2 wassomewhat more involved and led to quite a voyage of discovery! Note the following Pythagorean relations within the two triangles CBP and ABP. a 2 = x 2 + h2 (MP.4) c 2 = ( b − x ) + h2 . 2 and (MP.5) Eliminating h from (MP.4) and (MP.5) gives: a2 − x2 = c2 − (b − x ) 2 a2 − c2 = x2 − (b − x ) . 2 That is: Thus, by the difference of two squares formula we have a 2 − c 2 = ( x − b − x )( x + b − x ) a 2 − c 2 = ( x − b + x )( x + b − x ) a 2 − c 2 = ( 2 x − b )( b ) Hence, a2 + b2 − c2 x= . (MP.6) 2b Substituting (MP.6) into (MP.4) gives 2  a2 + b2 − c2  h = a − 2 2  .  2b  That is 4 a 2b 2 − ( a 2 + b 2 − c 2 ) 2 h = 2 (MP.7) 4b 2 Once again, by the difference of two squares formula we have the alternative form of (MP.7): h 2 = ( 2ab − a 2 )( + b2 − c 2 2ab + a 2 + b 2 − c 2 ), 4b 2 = ( 2ab − a 2 − b 2 + c 2 )( 2ab + a 2 + b2 − c 2 ) , 4b 2 = (c 2 − a 2 + 2ab − b 2 )( a 2 + 2ab + b2 − c 2 ) , 4b 2
  • 7.
    7 That is: h 2 = (c 2 − a 2 − 2ab + b2 )( a 2 + 2ab + b 2 − c 2 ), 4b 2 which, on factorising gives: h 2 = (c 2 − (a − b) 2 ) (( a + b) 2 − c2 ). 4b 2 Therefore, on using the difference of two squares formula again we have: h2 = ( c − a − b )( c + a − b )( a + b − c )( a + b + c ) 4b 2 ( c − a + b )( c + a − b )( a + b − c )( a + b + c ) h2 = . (MP.8) 4b 2 Now it’s time to ask which of the four factors in the numerator “looks” the “nicest” and hope that the answer to come back is the fourth or last one of ( a + b + c ) ! Having established this, the suggestion is then made that it is a pity that the other three factors do not have this same elegant symmetry and once agreed that we ought to insist that such symmetry exist in these other three factors. It is eventually determined that a suitable “trick” is to rewrite them in the following manner: ( c − a + b ) ≡ ( a + b + c − 2a ) ( c + a − b ) ≡ ( a + b + c − 2b ) (MP.9) ( a + b − c ) ≡ ( a + b + c − 2c ) Realising that ( a + b + c ) is just the perimeter of the original triangle ABC, say p gives (MP.8) as: ( p − 2a )( p − 2b )( p − 2c )( p ) h2 = . (MP.10) 4b 2 However, if we then let the new variable, s, be defined as the semi-perimeter then (MP.10) is re-written ( 2s − 2a )( 2s − 2b )( 2s − 2c )( 2s ) h2 = . 4b 2
  • 8.
    8 This is theneasily factorised to give: 16 ( s − a )( s − b )( s − c )( s ) h2 = 4b 2 or 4s ( s − a )( s − b )( s − c ) h2 = . b2 2 s ( s − a )( s − b )( s − c ) Hence, h= (MP.11) b Finally then, substituting (MP.11) back into (MP.1) gives  2 s ( s − a )( s − b )( s − c )  ∆ = 1 b×  2  b    or ∆ = s ( s − a )( s − b )( s − c ) (MP.12) Which is the familiar result of Heron of Alexandria (First Century A.D)
  • 9.
    9 “What a marvelthat so simple a figure as the triangle is so inexhaustible in its properties!” (A. L. Crelle, 1821)
  • 10.
  • 11.
    11 §1: Basic TrigonometricalFormulae sin θ = tan θ (1.1) cos θ sin 2 θ + cos 2 θ = 1 (1.2) θ 0 30 45 60 90 1 2 3 sin θ 0 1 2 2 2 (1.3) 3 2 1 cos θ 1 0 2 2 2 1 tan θ 0 1 3 ∞ 3 1 cosec θ = sin θ 1 sec θ = (1.4) cos θ 1 cot θ = tan θ tan 2 θ + 1 = sec 2 θ (1.5) 1 + cot 2 θ = cosec 2 θ (1.6)
  • 12.
  • 13.
    13 §2: Further TrigonometricalFormulae sin ( A + B ) = sin A cos B + cos A sin B (2.1) sin ( A − B ) = sin A cos B − cos A sin B (2.2) cos ( A + B ) = cos A cos B − sin A sin B (2.3) cos ( A − B ) = cos A cos B + sin A sin B (2.4) tan A + tan B tan ( A + B ) = (2.5) 1 − tan A tan B tan A − tan B tan ( A − B ) = (2.6) 1 + tan A tan B P+Q   P−Q  sin P + sin Q = 2 sin    cos   (2.7)  2   2  P +Q   P −Q  sin P − sin Q = 2 cos    sin   (2.8)  2   2  P+Q  P−Q  cos P + cos Q = 2 cos    cos   (2.9)  2   2  P +Q   P −Q  cos P − cos Q = − 2 sin    sin   (2.10)  2   2  sin ( 2 A ) = 2sin A cos A (2.11) cos ( 2 A ) = cos2 A − sin 2 A = 2cos2 A − 1 = 1 − 2sin 2 A (2.12) sin 2 A = 1 2 (1 − cos ( 2 A) ) (2.13) cos 2 A = 1 2 (1 + cos ( 2 A) ) (2.14) Notice further, if we define t = tan 1 θ then it can be shown that 2 2t 1 − t2 2t sin θ = , cosθ = and tan θ = . (2.15) 1 + t2 1+ t 2 1 − t2
  • 14.
  • 15.
    15 §3: Ratio Theorems Theorem(3.1) p a λ p + µ q λ a + µb If we have that = then = , for any numbers λ , µ , m and n. q b mp + nq ma + nb Proof: p a Let = ≡t q b ⇒ p = qt , a = bt . λ p + µq λ ( qt ) + µ q λt + µ Therefore, = = mp + nq m ( qt ) + nq mt + n and λ a + µb λ ( bt ) + µ q λt + µ = = □ ma + nb m ( bt ) + nq mt + n Theorem (3.2) p a λ p + µa p a If we have that = then = = , for any numbers λ and µ . q b λ q + µb q b Proof: p a Let = ≡t q b ⇒ p = qt , a = bt . λ p + µ a λ ( qt ) + µ ( bt ) t ( λ q + µ b ) p a Therefore, = = =t ≡ ≡ □ λ q + µb λ q + µb ( λ q + µb ) q b
  • 16.
  • 17.
    17 B §4: Basic Triangle Formulae Cosine Rule c h a A C b x y Figure 4.1 x y Notice that: cos A = , cos C = c a Therefore, x = c cos A, y = a cos C Hence b = x + y ≡ c cos A + a cos C Using symmetry we interchange the variables to yield the complete set of results thus: a a = b cos C + c cos B b = c cos A + a cos C (4.1) c b c = a cos B + b cos A The formulae of (4.1) are known as the Projection Formulae. If we now multiply the equations of (4.1) by a, b and c, respectively, we have: a 2 = ab cos C + ac cos B (4.2) b2 = bc cos A + ab cos C (4.3) c 2 = ac cos B + bc cos A (4.4) Now construct (4.3) + (4.4) - (4.2) to give: b2 + c 2 − a 2 = 2bc cos A Therefore, a 2 = b2 + c 2 − 2bc cos A (4.5) Equation (4.5) is known as the Cosine Rule for triangles. Symmetry yields the other forms: b2 = c 2 + a 2 − 2ca cos B and c 2 = a 2 + b2 − 2ab cos C
  • 18.
    18 Sine Rule Also fromFigure 4.1 we have the further set of relations: h h sin A = , sin C = c a Therefore, h = c sin A or h = a sin C Hence, c sin A = a sin C ≡ h sin A sin C Therefore, = a c However, the initial orientation of the triangle ABC was arbitrary sin A sin B sin C ⇒ = = (4.6) a b c Equation (4.6) is known as the Sine Rule for triangles. The Sine Rule can be extended by considering a circle through the apexes of the triangle ABC (known as the Circumcircle of the triangle ABC) B B P A C O O A C P Figure 4.2 Figure 4.3 In both Figure 4.2 and 4.3 the red lines AP and PC have been added to the original Circumcircle problem. In both cases the line segment AP is draw so as to pass through the centre of the Circumcircle and is therefore a diameter. ⇒ ACP is a Right-Angle in both figures (Angle in a Semi-Circle is a right- angle). Further, APC = ABC since angles subtended by a single chord in the same segment of a circle are equal (Euclid Book III Prop. 21). AC b Therefore, from Figure 4.2 we have: sin ( APC ) ≡ sin ( B ) = ≡ AP 2 R where R is the radius of the Circumcircle of triangle ABC.
  • 19.
    19 From Figure 4.3 APC = 180 − B (Cyclic Quadrilateral) Therefore, sin ( APC ) = sin (180 − B ) ≡ sin B Hence, as for Figure 4.2 we have b sin B 1 sin B = or = 2R b 2R Therefore, from (4.6) we have: sin A sin B sin C 1 = = = (4.7) a b c 2R Tangent Rule b sin B From (4.7) we have that = c sin C Using Theorem (3.1) with λ ≡ m ≡ n = 1 and µ = −1 this relation can be written (1) b + ( −1) c (1) sin B + ( −1) sin C = (1) b + (1) c (1) sin B + (1) sin C b − c sin B − sin C That is = b + c sin B + sin C Using (2.8) and (2.7) this can be rewritten as B +C   B −C  2 cos    sin   b−c  2   2 , = b + c 2 sin  B + C  cos  B − C       2   2  B −C  sin    b−c  2 × 1 = , b + c cos  B − C  sin  B + C       2   2  B+C  cos     2  B−C  tan    b−c  2 . = b + c tan  B + C     2 
  • 20.
    20 b−c That is tan 1 ( B − C ) = tan 1 ( B + C ) (4.8) b+c 2 2 However, A + B + C = 180 ⇒ 1 2 ( B + C ) = 90 − 1 A 2 (4.9) From (4.9) we see that tan 1 ( B + C ) = tan ( 90 − 1 A ) 2 2 tan(90 ) − tan 1 A = 2 1 + tan(90 ) tan 1 A 2 tan 2 A 1 1− tan(90 ) = 1 + tan 1 A 2 tan(90 ) 1− 0 = 0 + tan 1 A 2 ∴ tan 1 ( B + C ) = cot 1 A 2 2 Hence (4.8) can be written in its alternative form b−c tan 1 ( B − C ) = cot 1 A (4.10) b+c 2 2 Equation (4.10) is known as the Tangent Rule for triangles. Symmetry yields the other forms: c−a a tan 1 ( C − A ) = cot 1 B c+a 2 2 c b a−b tan 1 ( A − B ) = cot 1 C a+b 2 2
  • 21.
    21 §5: Other Triangle Formulae B Area Formulae in terms of a, b and c. c h a A C b Figure 5.1 The area of triangle ABC is found from h ∆ = 1 bh, where sin C = 2 , a = 1 b ( a sin C ) 2 Hence, ∆ = 1 ab sin C 2 (5.1) a By symmetry, ∆ = 1 ab sin C = 1 bc sin A = 1 ca sin B 2 2 2 c b c From (4.7) we have that sin C = 2R c  Therefore, (5.1) becomes ∆ = 1 ab  2    2R  abc That is: ∆= (5.2) 4R abc or R= . 4∆ a sin B Also, from (4.7) we have that b= sin A Therefore, (5.1) now becomes: a sin B  ∆ = 1 a 2   sin C  sin A  sin B sin C That is: ∆ = 1 a2 2 sin A Hence, a sin B sin C 1 2 sin C sin A 1 2 sin A sin B ∆ = 1 a2 2 = 2b = 2c (5.3) c b sin A sin B sin C
  • 22.
    22 Sin A interms of a, b and c, etc. From (1.2) sin 2 A = 1 − cos 2 A = (1) − ( cos A ) 2 2 = (1 − cos A )(1 + cos A ) Therefore, from (4.5) this becomes  b2 + c 2 − a 2   b2 + c 2 − a 2  sin 2 A =  1 −  1 +   2bc  2bc      2bc − b 2 + c 2 − a 2   2bc + b 2 + c 2 − a 2  =    2bc  2bc      2bc − b 2 − c 2 + a 2   2bc + b 2 + c 2 − a 2  =    2bc  2bc   a − b + 2bc − c   b + 2bc + c − a  2 2 2 2 2 2 =    2bc  2bc   a − (b − c )   (b + c ) − a  2 2 2 2 =    2bc  2bc     1 ( )( = 2 2 a2 − (b − c ) (b + c ) − a2 4b c 2 2 ) 1 = 2 2 ( a − b + c )( a + b − c )( b + c − a )( b + c + a ) 4b c 1 = 2 2 ( a + b + c − 2b )( a + b + c − 2c )( b + c + a − 2a )( b + c + a ) 4b c Now let s = 1 ( a + b + c ) , the Semi-perimeter, then we have 2 1 sin 2 A = ( 2s − 2b )( 2 s − 2c )( 2s − 2a )( 2s ) 4b 2 c 2 1 = 2 2 16 ( s − b )( s − c )( s − a )( s ) 4b c Hence 4 sin 2 A = s ( s − a )( s − b )( s − c ) bc 2 2 Therefore, 2 a sin A = s ( s − a )( s − b )( s − c ) bc 2 sin B = s ( s − a )( s − b )( s − c ) (5.4) c b ca 2 sin C = s ( s − a )( s − b )( s − c ) ab
  • 23.
    23 Notice further that these three identities from (5.4) could be written 2a sin A = s ( s − a )( s − b )( s − c ) ≡ 2aK abc 2b sin B = s ( s − a )( s − b )( s − c ) ≡ 2bK (5.5) abc 2c sin C = s ( s − a )( s − b )( s − c ) ≡ 2cK abc From which, the Sine Rule can be deduced, since sin A sin B sin C ≡ 2K  ≡ 1  = =   a b c  2R  Moreover, from (5.1) and (5.4) we have that 2 ∆ = 1 ab × sin C ≡ 1 ab × 2 2 s ( s − a )( s − b )( s − c ) ab Hence ∆ = s ( s − a )( s − b )( s − c ) (5.6) This is the triangle area formula met previously in (MP.7): Heron’s Formula. We can now use the notation of (5.6) or more simply the form of (5.1) to write: Sin A, sin B, sin C in terms of a, b and c. a 2∆ 2∆ 2∆ sin A = , sin B = , sin C = (5.7) c b bc ca ab Cos A, cos B, cos C in terms of a, b and c. From (4.5) we simply rearrange to yield a b2 + c2 − a 2 c2 + a 2 − b2 a 2 + b2 − c2 cos A = , cos B = , cos C = (5.8) c b 2bc 2ca 2ab Tan A, tan B, tan C in terms of a, b and c. From (1.1), (5.5) and (5.8) we have a 4∆ 4∆ 4∆ tan A = , tan B = 2 , tan C = 2 (5.9) c b b +c −a 2 2 2 c +a −b 2 2 a + b2 − c2
  • 24.
  • 25.
    25 §6: Associated Circles A Incircle Let I be the Incentre of the F E triangle ABC, obtained by bisecting the interior angles of the triangle ABC. Then I ID = IE = IF ≡ r , where r is the radius of the incircle. ( ID, IE and IF are the ⊥ 's . C B D from I to the respective sides) Figure 6.1 We have that Area of triangle ABC = Areas of triangles ( BIC + CIA + AIB ) ∆ = 1 ar + 1 br + 1 cr 2 2 2 ∆ = 1 r (a + b + c) 2 Hence for s, the semi perimeter ∆ = rs (6.1) ∆ or r= (6.2) s Now, let AE = AF ≡ x  Tangents to a circle from  BD = BF ≡ y  a single point have equal  CD = CE = z  lengths ⇒ x+ y+ y+z+z+x= p ( perimeter ) Hence x+ y+z =s ( semi perimeter ) But BD + DC = y + z ≡ a ⇒ x+a=s Hence x = s−a. Therefore, we can show: a x=s−a y = s−b (6.3) c b z = s−c
  • 26.
    26 A From triangle ABC we see that s-a s-a IF r tan ( 1 A ) = = FA s − a 2 F Similarly E r a tan ( 1 A ) = s-b s-c s−a 2 I r tan ( 1 B ) = (6.4) s−b 2 c b D C r tan ( 1 C ) = s-c s−c B s-b 2 Figure 6.2 Moreover, from triangles AIE, BIF and CID we have AE = AF ≡ s − a = r cot ( 1 A ) a 2 BD = BF ≡ s − b = r cot ( 1 B ) 2 (6.5) c b CD = CE ≡ s − c = r cot ( 1 C ) 2 Therefore, as a = BD + DC then a = r cot ( 1 B ) + r cot ( 1 C ) 2 2 = r ( cot ( 1 B ) + cot ( 1 C ) ) 2 2  cos ( 1 B ) cos ( 1 C )  = r  sin ( 1 B ) + sin ( 1 C )  2 2   2 2   cos ( 1 B ) sin ( 1 C ) + sin ( 1 B ) cos ( 1 C )  = r  2 2 2 2    sin ( 1 B ) sin ( 1 C ) 2 2  sin ( 1 B + 1 C ) =r 2 2 sin ( 2 B ) sin ( 1 C ) 1 2 But A + B + C = 180 and therefore, 1 2 B + 1 C = 90 − 1 A , giving 2 2 sin ( 90 − 1 A ) a=r 2 sin ( 1 B ) sin ( 1 C ) 2 2 That is cos ( 1 A ) a=r 2 . sin ( 1 B ) sin ( 1 C ) 2 2 Hence sin ( 1 B ) sin ( 1 C ) r=a 2 2 (6.6) cos ( 1 A ) 2
  • 27.
    27 Together, we have sin ( 1 B ) sin ( 1 C ) r=a 2 2 a cos ( 1 A ) 2 sin ( 1 C ) sin ( 1 A ) r =b 2 2 (6.7) c b cos ( 1 B ) 2 sin ( 1 A ) sin ( 1 B ) r =c 2 2 cos ( 1 C ) 2 From (4.7) we have sin A 1 = , etc, where R is the Circumcircle. a 2R or a = 2 R sin A , etc Thus (6.6) becomes sin ( 1 B ) sin ( 1 C ) r = 2 R sin A ⋅ 2 2 cos ( 1 A ) 2 Using (2.11) gives sin ( 1 B ) sin ( 1 C ) r = 2 R × 2sin ( A ) cos ( A ) ⋅ 1 1 2 2 cos ( 1 A ) 2 2 2 Hence r = 4 R sin ( 1 A ) sin ( 1 B ) sin ( 1 C ) 2 2 2 (6.8)
  • 28.
    28 Excircles A Let I A be the centre of a circle, opposite angle A, of radius rA obtained by bisecting the angles B and C externally and A internally. I We have that: B D A' D' C Area of triangle ABC = E' Areas of triangles ( AI A B + CI A A − BI AC ) That is IA ∆ = 1 crA + 1 brA − 1 arA 2 2 2 F' = 1 rA ( c + b − a ) 2 = 1 rA ( a + b + c − 2a ) 2 Figure 6.3 Hence for s, the semi perimeter ∆ = rA ( s − a ) (6.9) Similarly, we have ∆ rA = a s−a ∆ rB = (6.10) c b s−b ∆ rC = s−c Notice further that A, I and I A are collinear as both AI and AI A lie on the bisector line of angle A Now let AE ' = AF ' ≡ x A  Tangents to a circle from  BD ' = BF ' ≡ y A  a single point have equal  CD ' = CE ' = z A  lengths Then AF '+ AE ' = AB + BF '+ AC + CE ' 2 xA = c + y A + b + z A ⇒ = b + c + ( yA + z A ) but y A + z A = BD '+ D ' C ≡ BC = a .
  • 29.
    29 Therefore: 2 xA = a + b + c xA = 1 ( a + b + c ) 2 Hence xA = s ( semi perimeter ) (6.11) A In a similar manner a xB = s and xC = s c b The three distances x A = s, xB = s and xC = s are displayed below D A' B D' C E' A IA F' IC B C Figure 6.4 Figure 6.5 IB A Figure 6.6 B C
  • 30.
    30 Notice also fromtriangle AI A F ' and from (6.11) that I A F ' rA tan ( 1 A ) = 2 = AF ' s ⇒ rA = s tan ( 1 A ) . 2 Similarly a rA = s tan ( 1 A ) 2 rB = s tan ( 1 B ) 2 (6.12) c b rC = s tan ( 1 C ) 2 Therefore, we can further show that a AE ' = AF ' ≡ s = rA cot ( 1 A ) , 2 s = rB cot ( 1 B ) , 2 (6.13) s = rC cot ( 1 C ) . c b 2 Moreover, since BF ' = BD ' = AF '− AB = s − c and CE ' = CD ' = AE '− AC = s − b then DD ' = CD ' ∼ CD = ( s − b) ∼ ( s − c) =b∼c Where D is the point of tangency of the incircle with side a, D ' is the point of tangency of the excircle with side a, and where the symbol ∼ is the positive difference between its two arguments. Namely: DD ' = b ∼ c ≡ b − c (6.14) Further, as BD ' = CD = s − c it follows that A ' is the midpoint of DD ' where A ' is also the midpoint of BC.
  • 31.
    31 Heron’s Area Formula IA C D I D' A B Figure 6.7 As BI and BI A bisect the angle B both internally and externally, it follows that IBI A = 90 . Moreover, since IDB and I A D ' B are also right angles then this implies that triangles BID and BI A D ' are similar. Namely: Triangles BID ≅ I A BD ' BI ID BD Thus = = I A B BD ' I A D ' BI r s −b that is: = = I AB s − c rA Therefore: r ⋅ rA = ( s − b )( s − c ) (6.15) On using (6.2) and (6.10) this becomes ∆ ∆ ⋅ = ( s − b )( s − c ) s s−a Hence ∆ = s ( s − a )( s − b )( s − c ) (6.16) Which is the form of the area of triangle ABC as met previously in (MP.7) and (5.6)
  • 32.
  • 33.
    33 §7: Further TriangleFormulae Y IA C I A D B X Figure 7.1 Tan ( 1 A ) , tan ( 1 B ) and tan ( 1 C ) in terms of a , b and c. 2 2 2 ID r From Figure 7.1 we have tan ( 1 A ) = ≡ AD s − a 2 On using (6.15) this becomes  ( s − b )( s − c )    tan ( 1 A ) =  rA  = ( s − b )( s − c ) s−a rA ( s − a ) 2 On using (6.9) we have ( s − b )( s − c ) ( s − b )( s − c ) tan ( 1 A ) = = 2 ∆ ∆ ( s − a) (s − a) ( s − b )( s − c ) ( s − b )( s − c ) Hence: tan ( 1 A ) = = s ( s − a )( s − b )( s − c ) s (s − a) 2 Similarly, ( s − b )( s − c ) tan ( 1 A ) = s(s − a) 2 a ( s − c )( s − a ) tan ( 1 B ) = (7.1) s ( s − b) 2 c b ( s − a )( s − b ) tan ( 1 C ) = s (s − c) 2
  • 34.
    34 Cos ( 1A ) , cos ( 1 B ) and cos ( 1 C ) in terms of a , b and c. 2 2 2 From Figure 7.1 we have I ACY = 1 2 (180 − C) = 90 − 1 C 2 = 1 ( A + B) 2 Also, using the construction properties of the Incircle and Excircle I A AC = 1 A 2 Hence AI AC = 180 − ( 1 A + (180 − 2 I ACY ) ) = 180 − ( 1 A + (180 − 1 ( A + B ) ) ) 2 2 = 180 − (180 − 1 B ) 2 AI AC = 1 B ≡ 2 DBI Therefore, triangles AIB and ACI A are similar, that is AIB ≅ ACI A . AI IB AB = = AC CI A AI A ⇒ AI IB c = = b CI A AI A Hence AI × AI A = bc (7.2) AX Also from Figure 7.1 cos ( 1 A ) = 2 (7.3) AI A AD and cos ( 1 A ) = 2 (7.4) AI The product of (7.3) and (7.4) gives AX AD cos ( 1 A ) × cos ( 1 A ) = 2 2 × AI A AI That is AX × AD cos2 ( 1 A ) = AI A × AI 2 On using (6.3), (6.11) and (7.2) this becomes s × (s − a) cos 2 ( 1 A ) = 2 bc Hence s(s − a) cos ( 1 A ) = 2 a bc s ( s − b) cos ( 1 B ) = 2 (7.5) c b ca s (s − c) cos ( 1 C ) = 2 ab
  • 35.
    35 Sin ( 1A ) , sin ( 1 B ) and sin ( 1 C ) in terms of a, b and c. 2 2 2 Using (1.1), (7.1) and (7.5) we have that sin ( 1 A ) = tan ( 1 A ) cos ( 1 A ) 2 2 2 Hence ( s − b )( s − c ) s(s − a) sin ( 1 A ) = × s(s − a) 2 bc Giving ( s − b )( s − c ) sin ( 1 A ) = 2 a bc ( s − c )( s − a ) sin ( 1 B ) = 2 (7.6) c b ca ( s − a )( s − b ) sin ( 1 C ) = 2 ab Notice that in each of the above three subsections the negative root is rejected if the angles, A, B and C are those of a triangle.
  • 36.
  • 37.
    37 §8: Further TriangleRelationships Relationship between r and R A Note that BIC = 180 − 1 B − 1 C 2 2 I = 180 − 1 ( B + C ) 2 r = 180 − 1 (180 − A ) 2 B C D = 90 + A1 2 Figure 8.1 ID r and that sin ( 1 B ) = 2 ≡ IB IB Hence, r = IB sin ( 1 B ) 2 (8.1) Using the Sine Rule of (4.6) we have that sin ( 1 C ) sin ( 90 + 1 A ) sin ( 1 B ) = = 2 2 2 , IB BC IC and from the first two of these fractions we have sin ( 1 C ) cos ( 1 A ) 2 = 2 . IB BC BC sin ( 1 C ) Therefore: IB = 2 , cos ( 1 A ) 2 a sin ( 1 C ) that is IB = 2 . (8.2) cos ( 1 A ) 2 Substituting (8.2) into (8.1) gives  a sin ( 1 C )  r = cos ( 1 A )  sin ( 2 B ) 2 1   2  a sin ( 2 C ) sin ( 1 B ) 1 = 2 cos ( 2 A ) 1 2 R sin A sin ( 1 B ) sin ( 1 C ) Using (4.7) a can be written as: a = 2 R sin A, giving r = 2 2 . cos ( 1 A ) 2 Using (2.11) gives 2 R × 2sin ( 1 A ) cos ( 1 A ) sin ( 1 B ) sin ( 1 C ) r= 2 2 2 2 . cos ( 1 A ) 2 Hence: r = 4 R sin ( 1 A ) sin ( 1 B ) sin ( 1 C ) 2 2 2 (8.3) as met previously in (6.8).
  • 38.
    38 Relationships between rA, rB , rC and R. From Figure 8.2 we see that C I AD ' r sin ( I A BD ') = ≡ A I AB I AB D' IA rA that is rA = I A B sin ( 90 − 1 B ) 2 (8.4) rA = I A B cos ( 1 B ) 2 A B Figure 8.2 Using the Sine Rule of (4.6) we have that sin ( 90 − 1 C ) sin ( 90 − 1 A ) sin ( 90 − 1 B ) = = 2 2 2 I AB BC I AC and from the first two of these fractions we have cos ( 1 C ) cos ( 1 A ) 2 = 2 I AB BC BC cos ( 1 C ) Therefore, I AB = 2 . cos ( 1 A ) 2 a cos ( 1 C ) that is, I AB = 2 (8.5) cos ( 1 A ) 2 Substituting (8.5) into (8.4) gives  a cos ( 1 C )   cos ( 1 A )  cos ( 2 B ) rA =  2 1   2  a cos ( 1 C ) cos ( 1 B ) = 2 2 cos ( 2 A ) 1 Using (4.7) a can be written as: a = 2 R sin A , 2 R sin A cos ( 1 C ) cos ( 1 B ) giving rA = 2 2 . cos ( 1 A ) 2 Using (2.11) gives 2 R × 2sin ( 1 A ) cos ( 1 A ) cos ( 1 C ) cos ( 1 B ) rA = 2 2 2 2 . cos ( 1 A ) 2 Hence: a rA = 4 R sin ( 1 A ) cos ( 1 B ) cos ( 1 C ) , 2 2 2 and similarly rB = 4 R cos ( 1 A ) sin ( 1 B ) cos ( 1 C ) , 2 2 2 (8.6) c b rC = 4 R cos ( 1 A ) cos ( 1 B ) sin ( 1 C ) . 2 2 2
  • 39.
    39 The distances AI, BI and CI . From Figure 8.3 notice that C ID IA sin ( 1 A ) = 2 I IA A D B X Therefore, Figure 8.3 a AI = r cosec ( 1 A ) 2 BI = r cosec ( 1 B ) 2 (8.7) c b CI = r cosec ( 1 C ) 2 If we just consider the triangle AI A X for the present and determine some of its angles from Figure 8.4 IA we find that: Clearly AIB = 180 − 1 ( A + B ) 2 I and so on using the Sine Rule of (4.6) we have from triangle AIB A D B X sin ( B ) sin ( AIB ) sin ( A ) 1 1 2 = = 2 Figure 8.4 AI AB BI Considering just the first two fractions here gives AB sin ( 1 B ) AI = 2 sin ( AIB ) Therefore c sin ( 1 B ) AI = 2 sin (180 − 1 ( A + B ) ) 2 That is on using (2.2): c sin ( 1 B ) AI = 2 sin ( 1 ( A + B ) ) 2 c sin ( 1 B ) = 2 sin ( 90 − 1 C ) 2 c sin ( 1 B ) = 2 cos ( 1 C ) 2 But on using (4.7) c can be written as: c = 2 R sin C , giving
  • 40.
    40 2 R sin C sin ( 1 B ) AI = 2 cos ( 1 C ) 2 2 R × 2sin ( 1 C ) cos ( 1 C ) sin ( 1 B ) Using (2.11) gives AI = 2 2 2 cos ( 1 C ) 2 Hence AI = 4 R sin ( 1 B ) sin ( 1 C ) a 2 2 BI = 4 R sin ( 1 C ) sin ( 1 A ) 2 2 (8.8) c b CI = 4 R sin ( 1 A ) sin ( 1 B ) 2 2 which give an alternative form of (8.7). Further, from (8.7), as it is somewhat r easier we may proceed AI = r cosec ( 1 A ) = sin ( 1 A ) 2 2 Thus, from (7.6) we have r r bc AI = = ( s − b )( s − c ) ( s − b )( s − c ) bc r s ( s − a ) bc ≡ s ( s − a )( s − b )( s − c ) r s ( s − a ) bc s ( s − a ) bc Using (5.6) and (6.1) AI = ≡ . ∆ s ( s − a ) bc (s − a) Hence, AI = = bc a s s a ( s − b) c ( s − b) similarly BI = = ca (8.9) c b s s ab ( s − c ) (s − c) CI = = ab s s Note that the relations of (8.9) can be written abc ( s − a ) (s − a) AI = ≡K , s a a abc ( s − b ) ( s − b) abc BI = ≡K , where K = (8.10) s b b s abc ( s − c ) (s − c) CI = ≡K . s c c (s − a) ( s − b) (s − c) ⇒ AI : BI : CI = : : (8.11) a b c
  • 41.
    41 The distances AIA , BI B and CI C . C IA I A D B X Figure 8.5 From Figure 8.5 notice that I AD sin ( 1 A ) = 2 IAA Therefore, AI A = rA cosec ( 1 A ) a 2 BI B = rB cosec ( 1 B ) 2 (8.12) c b CI C = rC cosec ( 1 C ) 2 C Notice also from Figure 8.6 that IA θ + θ + φ + φ = 180 θ + φ = 90 I Hence IBI A = 90 Also, since D B θ = 1 B and φ = 1 (180 − B ) = 90 − 1 B 2 2 2 Figure 8.6 then I I A B = 90 − 1 ( A + B ) 2 IA I Figure 8.7 A D B
  • 42.
    42 On using theSine Rule of (4.6) we have from triangle ABI A sin ( 90 + 1 B ) sin ( AI A B ) sin ( 1 A ) = = 2 2 AI A AB BI A Considering just the first two fractions here gives AB sin ( 90 + 1 B ) AI A = 2 sin ( AI A B ) Therefore c cos ( 1 B ) AI A = 2 sin ( 90 − 1 ( A + B ) ) 2 That is on using (2.2): c cos ( 1 B ) AI A = 2 cos ( 1 ( A + B ) ) 2 c cos ( 1 B ) = 2 cos ( 90 − 1 C ) 2 c cos ( 1 B ) = 2 sin ( 1 C ) 2 But on using (4.7) c can be written as: c = 2 R sin C giving 2 R sin C cos ( 1 B ) AI A = 2 sin ( 2 C ) 1 Using (2.11) gives 2 R × 2sin ( 1 C ) cos ( 1 C ) cos ( 1 B ) AI A = 2 2 2 sin ( 1 C ) 2 Hence a AI A = 4 R cos ( 1 B ) cos ( 1 C ) 2 2 and similarly BI B = 4 R cos ( 1 C ) cos ( 1 A ) 2 2 (8.13) c b CI C = 4 R cos ( 1 A ) cos ( 1 B ) 2 2 which give an alternative form of (8.12) Further, from (8.12), as it is slightly easier we may proceed rA AI A = rA cosec ( 1 A ) = sin ( 1 A ) 2 2
  • 43.
    43 Thus, from (6.10)and (7.6) we have ∆ 1 AI A = ( s − a ) ( s − b )( s − c ) bc s ( s − a )( s − b )( s − c ) bc = (s − a) ( s − b )( s − c ) bc s ( s − a ) = (s − a) bc s = (s − a) bc = (s − a) s Therefore: bc or AI A = (s − a) s a ca similarly BI B = (8.14) c b ( s − b) s ab CI C = (s − c) s In a manner similar to the processes used to arrive at (8.11) we can also show that 1 1 1 AI A : BI B : CI C = : : (8.15) a(s − a) b( s − b) c(s − c) Further, if we take respective products of (8.9) and (8.14) then we quickly get the very nice results: a AI × AI A = bc BI × BI B = ca (8.16) c b CI × CI C = ab
  • 44.
    44 The distances IIA , II B and II C . IA I Y A D B X Figure 8.8 Consider the similar triangles AID and II AY , we have AI AD ID = = II A DX I AY That is AI (s − a) r = = II A AX − AD I A X − YX AI (s − a) r = = II A s − ( s − a ) rA − ID AI ( s − a ) r Hence, = = (8.17) II A a rA − r From the first two fractions we have a  II A =    AI a s−a b  similarly II B =    BI (8.18) c b  s−b c  II C =    CI s−c Therefore, on using the values from the first forms in (8.10), the results in (8.18) can be written in the manner a  abc ( s − a ) II A =   × s−a s a abc a II A = s (s − a) Hence abc a abc b abc c II A = , II B = , II C = . (8.19) s (s − a) s ( s − b) s (s − c)
  • 45.
    45 Squaring the valueof II A from (8.19) gives  abc   a  ( II A ) 2 =    s  (s − a)  Therefore, from the last two fractions of (8.17) this becomes abc  rA − r  ( II A ) = 2    (8.20)  s  r  abc From (5.2) we have ∆= 4R and from (6.1) that ∆ = rs abc Hence, 4 Rr = (8.21) s Therefore, from (8.20) and (8.21) we have that ( II A ) = 4 R ( rA − r ) , ( II B ) = 4 R ( rB − r ) , ( IIC ) = 4 R ( rC − r ) 2 2 2 (8.22) Moreover, using the half-angle formula in (7.5) we see that (8.19) can be rearranged thus: a 2bc bc 1 a II A = =a =a ≡ s(s − a) s(s − a) s ( s − a ) cos ( 1 A ) 2 bc Hence a b c II A = , II B = , II C = . (8.23) cos ( A ) 1 2 cos ( B ) 1 2 cos ( 1 C ) 2 Therefore, on using the results of (4.7), (8.23) can be rewritten in a further, alternative form II A = 4 R sin ( 1 A ) , 2 II B = 4 R sin ( 1 B ) , 2 II C = 4 R sin ( 1 C ) . 2 (8.24)
  • 46.
  • 47.
    47 §9: Further TriangleCentres The Orthocentre of any Triangle ABC The perpendiculars drawn from the vertices of a triangle ABC to the opposite sides are concurrent at a point called the Orthocentre, H. A From Figure 9.1 let AD, BE and CF be the perpendiculars F on BC, CA and AB respectively, and H the Orthocentre; then DH = BD tan ( HBD ) E H = AB cos B × tan ( 90 − C ) , = c cos B cot C Using (4.7) c can be written as: B D C Figure 9.1 c = 2 R sin C , giving DH = 2 R sin C cos B cot C Hence a DH = 2 R cos B cos C hA EH = 2 R cos C cos A hB (9.1) c b FH = 2 R cos A cos B hC DA = AB sin B Further, = c sin B = 2 R sin C sin B That is a DA = 2 R sin B sin C EB = 2 R sin C sin A (9.2) c b FC = 2 R sin A sin B Therefore, from (9.2) and (9.1) we have that HA = DA − DH = 2 R sin B sin C − 2 R cos B cos C Using (2.3) this becomes HA = −2 R cos ( B + C ) = −2 R cos (180 − A ) Hence: a HA = 2 R cos A HB = 2 R cos B (9.3) c b HC = 2 R cos C
  • 48.
    48 Notice that HA2 = ( 2 R cos A ) 2 = 4 R 2 cos 2 A = 4 R 2 (1 − sin 2 A ) = 4 R 2 − 4 R 2 sin 2 A = 4 R 2 − ( 2 R sin A ) 2 Using (4.7) a can be written as: a = 2 R sin A , giving HA2 = 4 R 2 − a 2 Hence, we have the alternative forms of (9.3) as a HA = 4 R 2 − a 2 HB = 4 R 2 − b2 (9.4) c b HC = 4 R 2 − c 2 Exercise: Establish (9.1) to (9.4) for an obtuse-angled triangle Again using Figure 9.1, note the following simply found forms of hA , hB and hC . Area of triangle ABC = 1 BC × AD 2 = 1 a × hA 2 a Therefore, 2∆ 2∆ 2∆ hA = , and similarly hB = , hC = . a b c c b
  • 49.
    49 The Pedal Triangleof any Triangle ABC By joining the feet of the perpendiculars from the vertices to the opposite sides, a new triangle is formed called the Pedal triangle. We use Figure 9.2 and call the triangle DEF the pedal triangle of triangle ABC . A Now, since BFH = BDH = 90 then the quadrilateral BFHD is cyclic. Considering the right-angled F triangle AEB we have that ABE ≡ FBH = 180 − 90 − A E H = 90 − A Next, consider the chord FH of the circle through BFHD. We have, using angles in the same B D C Figure 9.2 segment, that: FDH = FBH = 90 − A Similarly, since CEH = CDH = 90 , then the quadrilateral BHEC is also cyclic Therefore, from Figure 9.3 we see that from the right-angled triangle AFC that ACF ≡ ECH = 180 − 90 − A = 90 − A Next, consider the chord EH of the circle through CDHE. We have, using angles in same segment that: ECH = EDH = 90 − A A Thus we have shown that HD bisects EDF . Similarly, HE bisects FED and HF bisects DFE . F ⇒ The orthocentre, H, of triangle ABC is the E incentre of its associated pedal triangle. H Moreover, EDF = 180 − 2 A; (9.5) FED = 180 − 2 B; B D C Figure 9.3 DFE = 180 − 2C . Further, since BC, CA and AB are perpendicular to HD, HE and HF respectively, the sides of the fundamental triangle ABC are therefore the external bisectors of the angles of the pedal triangle. ⇒ A, B and C are the excentres of the triangle DEF. (9.6)
  • 50.
    50 A F H E B D C Figure 9.4 We also have CDE = BDF = A AEF = CED = B BFD = AFE = C Hence, from using the Sine Rule (4.6) in the triangle AFE we have: sin A sin ( FEA ) sin ( EFA ) = = EF FA EA The first two fractions lead to sin A sin B = EF AC cos A sin A sin B = EF b cos A Hence b sin A cos A b EF = = × sin A cos A sin B sin B Therefore, from (4.7) EF = 2 R × sin A cos A (9.7) Therefore, using either (2.11) or (4.7), equation (9.7) can now be written in either of two forms a EF = R sin ( 2 A ) or EF = a cos A FD = R sin ( 2 B ) or EF = b cos B (9.8) c b DE = R sin ( 2C ) or DE = c cos C
  • 51.
    51 The Circumcircle andthe Pedal Triangle. Let R ' be the radius of the circle circumscribing the pedal triangle DEF (Figure 9.2). Then, by the Sine Rule (4.7) EF = 2 R 'sin ( FDE ) Therefore, by (9.8) and (9.5) we have R sin ( 2 A ) = 2 R 'sin (180 − 2 A ) that is R sin ( 2 A ) = 2 R 'sin ( 2 A ) , by (2.2) Hence; R' = 1 R 2 (9.9) That is, the radius of the circumcircle of the fundamental triangle ABC is twice the radius of the circumcircle of the pedal triangle of the fundamental triangle ABC (Note: The Circumcircle of the pedal triangle of the fundamental triangle ABC is actually the Nine Point Circle of the fundamental triangle ABC) The Excentric Triangle. Returning briefly to the work of §8, which dealt with the Excircles of the fundamental triangle ABC having centres I A , I B and I C and associated radii rA , rB and rC , we make the following comparisons between these and those of the pedal triangle as discussed above. IC A IB I B C IA X Figure 9.5
  • 52.
    52 Recall from theconstruction of Incircle and Excircle that IC bisects ACB and I AC bisects the angle BCX . Therefore, ICI A = ICB + I ACB = 1 2 ACB + 1 2 XCB = 1 2 ( ACB + XCB ) = 1 2 (180 ) = 90 Similarly, ICI B is also a right angle. Hence, I ACI B is a straight line to which IC is perpendicular I B AI C is a straight line to which IA is perpendicular (9.10) I C BI A is a straight line to which IB is perpendicular Also, since AI and AI A both bisect the BAC , the three points A, I and I A all lie on the same straight line. Similarly, B I I B and C I I C are also straight lines. Hence, I A I B I C is a triangle, which is such that A, B and C are the feet of the perpendiculars drawn from its vertices upon the opposite sides, and such that I is the intersection of these perpendiculars. That is, triangle ABC is the pedal triangle and I is the Orthocentre of the Excentric triangle I A I B I C . A We also note from Figure 9.6 that I A BC = 1 2 (180 − B ) and I ACB = 1 2 (180 − C) I Therefore, BI AC = 180 − ( 90 − 1 B ) − ( 90 − 1 C ) 2 2 B C = (B + C) 1 2 = 90 − 1 A 2 But as BICI A is a cyclic quadrilateral, then IA BIC = 90 + 1 A Figure 9.6 2 Similarly, CI B A = 90 − 1 B, 2 AI C B = 90 − 1 C , 2 CIA = 90 + 1 B, 2 AIB = 90 + 1 C . 2 O I Thus, triangles I A BC , I BCA, I C AB are similar, B C each with angles 90 − 1 A, 90 − 1 B, 90 − 1 C . 2 2 2 (9.11) X From Figure 9.7, let X be the intersection of the angle bisector through A, I and I A and the circumcircle of triangle ABC. IA Figure 9.7
  • 53.
    53 Therefore, BX =XC as BAX = CAX . Moreover, BAX ≡ BCX = 1 A , 2 (from chord BX). Therefore, XCI = 1 ( A + C ) 2 but XIC = 1 ( A + C ) when taken as the exterior angle to triangle AIC . 2 Hence, XC = XI We also have XCI A = 1 B as 2 ICI A = 90 , and ACX ≡ ABC = B , (from chord AC ). Therefore, XI AC = 1 B , ⇒ 2 XC = X I A Thus XB = XC = X I = X I A = 1 II A . 2 Moreover, as I A BIC is a cyclic quadrilateral on II A as diameter, the circumference of the triangle I A BC passes through I. Similarly, the circumcircles of the triangles I BCA and I C AB also pass through I. In the triangle BI AC , using the Sine Rule from (4.7), we have that sin ( BI AC ) 1 = , where II A ≡ 2 × radius of I A BIC BC IIA a Therefore, from (9.11) II A = sin ( 90 − 1 A ) 2 a Hence a b c II A = , II B = , II C = , (9.12) c b cos ( A ) 1 2 cos ( B ) 1 2 cos ( 1 C ) 2 as met previously in (8.23) Consider now the Figure 9.8 ( 90 − 1 B ) + B = 90 + 1 B 2 2 Using (9.11) we see that BI C I BC is a cyclic quadrilateral since IC I C BC + CI B I C A = ( 90 + 1 B ) + ( 90 − 1 B ) 2 2 IB = 180 I Moreover, as IB ⊥ I C I A then I C I A is a diameter of the BIC I B C B C Therefore, in the triangle BI C C , using the Sine Rule from (4.7), 90 − 1 B sin ( BI C C ) 1 IA 2 we have that: = . BC I B IC Figure 9.8
  • 54.
    54 But BI C C = 90 − 1 A from (9.11), and I ACI = 90 from (9.10) ⇒ 2 BI C C = 1 A . 2 Therefore, we have sin ( 1 A ) 1 2 = a I B IC Hence c I AIB = , a sin ( 1 C ) 2 a I B IC = , (9.12) c b sin ( 1 A ) 2 b IC I A = . sin ( 1 B ) 2 On using (4.7) these relations can easily be shown to take the alternative forms: I A I B = 4 R cos ( 1 C ) , 2 I B I C = 4 R cos ( 1 A ) , 2 I C I A = 4 R cos ( 1 B ) . 2 (9.13) From the Excentric triangle I A I B I C we have the simple area calculation: Area I A I B I C = ( I C I A ) ( I A I B ) sin ( I C I A I B ) 1 2 = 1 ( 4 R cos ( 1 A ) ) ( 4 R cos ( 1 C ) ) sin ( 90 2 2 2 − 1 A) 2 Hence Area I A I B I C = 8 R 2 cos ( 1 A ) cos ( 1 B ) cos ( 1 C ) 2 2 2 (9.14) Notice that on using (7.5) we can rewrite (9.14) as s ( s − a) s ( s − b) s ( s − c) Area I A I B I C = 8 R 2 bc ca ab s 3 ( s − a )( s − b )( s − c ) = 8 R2 a 2b 2 c 2 8R2s = ∆ abc 4R = 2R × × s∆ abc 1 = 2R × × s∆  abc     4R  1 = 2 R × × s∆ , from (5.2) ∆ Hence Area I A I B I C = 2 Rs (9.15)
  • 55.
    55 §10: Special CevianLengths A Cevian is the name given to any line from a triangle vertex to its opposite side The Centroid and Medians of any Triangle. A In Figure 10.1 the points D, E and F are midpoints of the respective sides opposite the apexes A, B and C. F E The lines AD, BE and CF are called the Medians G of the triangle ABC, usually denoted AD = mA , BE = mB , CF = mC . B D C From page 3 of the Appendix we have Figure 10.1 proved the following results: AG = 3 AD, BG = 3 BE , CG = 3 CF . 2 2 2 The point G is called the Centroid of the triangle ABC. From the Cosine Rule of (4.5) we have, from triangle ADC, in Figure 9.10 that ( AD )2 = ( AC )2 + ( CD )2 − 2 ( AC )( CD ) cos C . 2 a a That is mA = b 2 +   − 2 ( b )   cos C . 2     2 2 a 2 Hence mA = b 2 + 2 − ab cos C . (10.1) 4 However, a second application of the Cosine Rule in the whole triangle ABC gives c 2 = b2 + a 2 − 2ba cos C . (10.2) Hence, on equating (10.1) and (10.2) we find that a2 2m A − c 2 = b 2 − 2 2 a2 Thus we have 2m A = b 2 + c 2 − 2 a 2 b2 2m = c + a − 2 B 2 2 (10.3) c b 2 c2 2m = a + b − 2 C 2 2 2
  • 56.
    56 On using theCosine Rule once again the relations of (10.3) can be written: a 4 mA = b 2 + c 2 + 2bc cos A 2 4 mB = c 2 + a 2 + 2ca cos B 2 (10.4) c b 4 mC = a 2 + b 2 + 2ab cos C 2 Notice the simply determined relation derived from adding each of the results of (10.3): mA + mA + mA = 3 ( a 2 + b 2 + c 2 ) 2 2 2 4 (10.5) In Figure 10.2 let ADC = θ AC ; draw AL ⊥ BC , then A DL BL − BD cot θ AC = = AL AL c b c cos B − 2 a 1 = K mA c sin B G 2 R sin C cos B − R sin A = 2 R sin C sin B B C D L 2sin C cos B − sin ( B + C ) = Figure 10.2 2sin B sin C sin ( C − B ) = 2sin B sin C = 2 ( cot B − cot C ) 1 That is 2cot θ AC = cot B − cot C ≡ sin ( C − B ) cosec B cosec C Also, as θ AB = 180 − θ AC then cot θ AB = cot (180 − θ AC ) 1 = tan (180 − θ AC ) 1 + tan180 tan θ AC = tan180 − tan θ AC 1+ 0 = 0 − tan θ AC = − cot θ AC Hence 2cot θ AC = cot B − cot C ≡ sin ( C − B ) cosec B cosec C (10.6) 2cot θ AB = cot C − cot B ≡ sin ( B − C ) cosec C cosec B
  • 57.
    57 To find theangles which mA makes with AB, CA draw DK ⊥ AB and let DAB = α B and DAC = α C ; then AK AB − KB c KB cot α B = = = − KD KD KD KD c = − cot B a sin B 2 c 1 = 2× × − cot B a sin B sin C 1 = 2× × − cot B sin A sin B sin C = 2× − cot B sin A sin B sin ( A + B ) =2 − cot B sin A sin B = 2cot B + 2cot A − cot B Hence cot α B = 2cot A + cot B (10.7) cot α C = 2cot A + cot C Similarly symmetric relations exist for the other median lines BE and CF . Notice further, that on subtracting the results of (10.7) we have: cot α B − cot α C = cot B − cot C (10.8) Hence, from (10.8), the identities of (10.6) can be written: 2 cot θ AC = cot α B − cot α C (10.9) 2 cot θ AB = cot α C − cot α B Cevians Bisecting Angles Internally In Figure 10.3 the cevian AX bisects A internally and divides the A base BC into portions x AB and x AC By the Sine Rule in triangle AXB we have c b sin ( A ) sin ( B ) sin ( AXB ) 1 2 = = (10.10) x AB δA c B X C and in triangle AXC we have Figure 10.3 sin ( 1 A ) sin ( C ) sin ( AXC ) 2 = = (10.11) x AC δA b
  • 58.
    58 Noting that sin ( AXC ) ≡ sin (180 − AXB ) = sin ( AXB ) then we have on division of (10.11) and (10.10) that x AB c = (10.12) x AC b Therefore, on using Theorem (3.2) we have x AB x AC (1) x AB + (1) x AC x AB + x AC a = = = ≡ c b (1) b + (1) c b+c b+c Hence ac ab x AB = , x AC = (10.13) b+c b+c Also, if δ is the length of the cevian AX and ϕ AC = AXC , then we have Area ∆ AXB + Area ∆ AXC = Area ∆ ABC Therefore, 1 2 c δ sin ( 1 A ) + 1 b δ sin ( 1 A ) = 1 b c sin A 2 2 2 2  b c  sin A Giving δA =    b + c  sin ( 1 A ) 2 Hence  2b c  δA =   cos ( 2 A ) 1 (10.14)  b+c which on using (7.5) becomes 2 δA = s ( s − a ) bc (10.15) b+c Notice also that A ϕ AC = XAB + B ≡ +B 2 (10.16) A ϕ AB = XAC + C ≡ + C 2 a Clearly, the relationships of (10.12) to (10.16) can be re-written relative to the other triangle apexes B and C by the usual symmetry rule c b
  • 59.
    59 Cevians Bisecting AnglesExternally In Figure 10.4 the cevian AX ′ bisects A externally and divides the base BC extended, into portions x′ and x′ AB AC A c b B X C X' By the Sine Rule in triangle ABX ′ we have Figure 10.4 sin ( A + 90 − 1 A ) sin ( B ) sin (ϕ ′ ) = = 2 A x′ AB AX ′ c That is: sin ( 90 + 1 A ) sin ( B ) sin (ϕ ′ ) = = 2 A (10.17) x′ AB AX ′ c By the Sine Rule in triangle ACX ′ we have sin ( 90 − 1 A ) sin (180 − C ) sin (ϕ ′ ) = = 2 A x′ AC AX ′ b That is: sin ( 90 − 1 A ) sin ( A + B ) sin (ϕ ′ ) = = 2 A (10.18) x′ AC AX ′ b Thus (10.17) gives cos ( 1 A ) sin ( A + B ) sin (ϕ ′ ) 2 = = A (10.19) x′AC AX ′ b and (10.18) gives cos ( 1 A ) sin ( B ) sin (ϕ ′ ) 2 = = A (10.20) x′ AB AX ′ c (10.19) ÷ (10.20) gives  1  1  ′   x AC  b =  1  1  ′  c  x AB 
  • 60.
    60 x′ c Hence AB = (10.21) x′ AC b which is a similar relation to (10.12) Therefore, on using Theorem (3.2) once again we have x′ x′ (1) x′AB + ( −1) x′AC x′AB − x′AC a AB = AC = = ≡ c b (1) c + ( −1) b c−b c−b Hence ac ab x′ = AB , x′ = AC (10.22) c−b c−b Also, if δ A is the length of the cevian AX ′ and ϕ ′ = ′ A AX ′C , then we have Area ∆ ABX ′ − Area ∆ ACX ′ = Area ∆ ABC 1 2 c δ A sin ( A + 90 − 1 A ) + 1 b δ A sin ( 90 − 1 A ) = 1 b c sin A ′ 2 2 ′ 2 2 Therefore, δ A ( c sin ( 90 + 1 A ) + b sin ( 90 − 1 A ) ) = b c sin A ′ 2 2 δ A ( c cos ( 1 A ) + b cos ( 1 A ) ) = b c sin A ′ 2 2  b c  sin A Giving δA =  ′   c − b  cos ( 1 A ) 2 Hence  2b c  ′ δA =   sin ( 2 A ) 1 (10.23)  c−b which on using (7.6) becomes 2 ′ δA = bc ( s − b )( s − c ) (10.24) c−b Notice also that A ϕ′ = A + C − 90 2 (10.25) A 180 − ϕ ′ = + B + 90 A 2 a Clearly, the relationships of (10.21) to (10.25) can be re-written relative to the other triangle apexes B and C by the usual symmetry rule c b One further observation is that ab ab X X ′ = x AC + x′ = AC + b+c c−b 2abc Hence XX′ = (10.26) c 2 − b2
  • 61.
    61 A Apollonius’ Theorem In Figure 10.5 the point D bisects the base BC of the triangle ABC. Apollonius’ Theorem states that: ( AB )2 + ( AC )2 = 2 ( AD )2 + 2 ( BD )2 B D C Proof: Let ADB = θ ; therefore ADC = 180 − θ . Figure 10.5 Therefore, using the Cosine Rule gives ( AB )2 = ( AD )2 + ( DB )2 − 2 ( AD )( DB ) cos θ (10.27) ( AC )2 = ( AD )2 + ( DC )2 − 2 ( AD )( DC ) cos (180 − θ ) That is ( AC )2 = ( AD )2 + ( DC )2 − 2 ( AD )( DC ) cos (θ ) (10.28) Therefore, by the addition of (10.27) and (10.28), and since BD = DC we have: ( AB )2 + ( AC )2 = 2 ( AD )2 + 2 ( BD )2 A Generalisation of Apollonius’ Theorem – Stewart’s Theorem A In Figure 10.6 the base BC of the triangle ABC has been divided in the ratio BD : DC = m : n (10.29) by the foot D of the general cevian AD B D C Figure 10.6 Further, we have on multiplication of (10.27) by n and (10.28) by m to give n ( AB ) = n ( AD ) + n ( DB ) − 2n ( AD )( DB ) cos θ 2 2 2 (10.30) and m ( AC ) = m ( AD ) + m ( DC ) + 2m ( AD )( DC ) cos (θ ) 2 2 2 (10.31) From (10.29), (10.31) can be written m ( AC ) = m ( AD ) + m ( DC ) + 2n ( AD )( BD ) cos (θ ) 2 2 2 (10.32) Hence, adding (10.30) and (10.32) gives us the general form n ( AB ) + m ( AC ) = ( m + n )( AD ) + n ( BD ) + m ( DC ) 2 2 2 2 2 (10.33) which reduces to Apollonius’ form for m = n , that is for D being the midpoint of BC.
  • 62.
    62 This is perhapsmost easily remembered by first re-labelling the Figure 10.5 in the following manner. a d b Stewart’s Theorem can then be shown in a form more easily recalled, namely: c a 2 n + b2 m = c ( d 2 + mn ) m n (10.34) Figure 10.7 In the same manner we can extend the results of (10.16) for a general cevian rather than the angle bisector of that section. A Consider Figure 10.8 in which we set BD : DC = m : n That is c b m BD BD × AD = = n DC AD × DC Therefore, on using the Sine Rule we have B m D n C Figure 10.8 m BD AD = × = sin (α B ) × ( sin 180 − (180 − θ AB ) − α C , ) n AD DC sin (180 − α B − θ AB ) sin (α C ) m sin (α B ) sin (θ AB − α C ) That is = × n sin (α C ) sin (α B + θ AB ) sin (α B ) sin (θ AB ) cos (α C ) − cos (θ AB ) sin (α C ) = × sin (α C ) sin (α B ) cos (θ AB ) + cos (α B ) sin (θ AB ) = {sin (θ ) cos (α ) − cos (θ ) sin (α )} / sin (α ) AB C AB C C {sin (α ) cos (θ ) + cos (α ) sin (θ )} / sin (α ) B AB B AB B sin (θ AB ) cot (α C ) − cos (θ AB ) = cos (θ AB ) + cot (α B ) sin (θ AB ) Hence, m cos (θ AB ) + m cot (α B ) sin (θ AB ) = n sin (θ AB ) cot (α C ) − n cos (θ AB ) ( m + n ) cos (θ AB ) = n sin (θ AB ) cot (α C ) − m cot (α B ) sin (θ AB ) , giving: ( m + n ) cot (θ AB ) = n cot (α C ) − m cot (α B ) (10.35) Similarly, using the identity cot (180 − ϕ ) ≡ − cot (ϕ ) gives ( m + n ) cot (θ AC ) = m cot (α B ) − n cot (α C ) (10.36) Notice that (10.35) and (10.36) reduce to (10.9) for m = n , that is for D being the midpoint of B.
  • 63.
    63 §11: Problems Problem 1.Prove: rA + rB + rC − r = 4 R Problem 2. Prove: 1 1 1 1 + + = rA rB rC r Problem 3. Prove: 1 1 1 1 + + = hA hB hC r Problem 4. Prove: rA rB rC = rs 2 r rA rB rC = ∆ 2 Problem 5. Prove: s = 4 R cos ( 1 A ) cos ( 1 B ) cos ( 1 C ) 2 2 2 ∆ = 4 Rr cos ( 1 A ) cos ( 1 B ) cos ( 1 C ) 2 2 2 Problem 6. Prove: a cos A + b cos B + c cos C = 4 R sin A sin B sin C Problem 7. Prove: rA rB + rB rC + rC rA = s 2 Problem 8. Prove: 1 1 1 1 abcs + + − = 2 rA rB rC rA + rB + rC ∆ ( 4 R + r ) Problem 9. Prove: rB + rC = 4 R cos 2 ( 1 A ) ≡ a cot ( 1 A ) 2 2 Problem 10. Prove: ( rA + rB ) ( rB + rC )( rC + rA ) = 4 R ( rArB + rB rC + rC rA ) Problem 11. Prove: ( rA − r )( rB − r ) ( rC − r ) = 4 R r 2
  • 64.
    64 Problem 12. Prove:  1 1   1 1  1 1   1 1   1 1   1 1  64 R 3 4R  +   +  +  =  −   −   − = 2 2 2 ≡ 2 2  rA rB   rB rC  rC rA   r rA   r rB   r rC  abc r s Problem 13. Prove: 1 1 1 1 + + = ( s − a ) ( s − b ) ( s − b )( s − c ) ( s − c )( s − a ) r2 Problem 14. Prove: 4b 2 c 2 = ( b2 + c 2 − a 2 ) + 16∆ 2 2 Problem 15. Prove: 4 ∆ = b 2 sin ( 2 A ) + a 2 sin ( 2 B ) Problem 16. Prove: ∆ = s 2 tan ( 1 A ) tan ( 1 B ) tan ( 1 C ) 2 2 2 Problem 17. Prove: ∆ = 2 R 2 sin A sin B sin C Problem 18. Prove: ∆ = Rr ( sin A + sin B + sin C ) Problem 19. Prove: a 2 − b 2 sin A sin B ∆= ⋅ 2 sin ( A − B ) Problem 20. Prove: 32∆ 3 = a 2b 2 c 2 ( sin ( 2 A ) + sin ( 2 B ) + sin ( 2C ) ) Problem 21. Prove: a 2 + b2 + c 2 4∆ = ( cot A + cot B + cot C ) Problem 22. Prove: rA ( rB + rC ) rA ( rB + rC ) rrA a= = = ( rB + rC ) rA rB + rB rC + rC rA s rB rC Problem 23. Prove: a 2 = ( rA − r ) ( rB + rC )
  • 65.
    65 Problem 24. Prove: rA sin ( 1 A ) = ( rA + rB ) ( rA + rC ) 2 Problem 25. Prove: 2rA rA rB + rB rC + rC rA sin A = ( rA + rB ) ( rA + rC ) Problem 26. Prove: rA rB rC = r 3 cot 2 ( 1 A ) cot 2 ( 1 B ) cot 2 ( 1 C ) 2 2 2 Problem 27. Prove: 1 1 1 1 a 2 + b2 + c2 + 2+ + = r 2 rA rB2 rC2 ∆2 Problem 28. Prove: r 2 + rA + rB2 + rC2 = 16 R 2 − a 2 − b 2 − c 2 2 Problem 29. Prove: ab = rA rB + rrC Problem 30. Prove: 1 1 1 1 + + = ab bc ca 2 Rr Problem 31. Prove: rA rB rC 1 1 + + = − bc ca ab r 2 R Problem 32. Prove: b−c c −a a −b + + =0 rA rB rC Problem 33. Prove: a ( rrA + rB rC ) = b ( rrB + rC rA ) = c ( rrC + rA rB ) Problem 34. Prove: rA rB + rB rC + rC rA + rrA + rrB + rrC = ab + bc + ca Problem 35. Prove: ( I I A ) + ( I I B ) + ( I IC ) = 8 R ( 2R − r ) 2 2 2
  • 66.
    66 Problem 36. Prove: I I A ⋅ I I B ⋅ I I C = 16 R 2 r Problem 37. Prove: ( I B IC ) = 4 R ( rB + rC ) 2 Problem 38. Prove: ( I I A ) + ( I B IC ) = ( I I B ) + ( IC I A ) = ( I IC ) + ( I A I B ) 2 2 2 2 2 2 Problem 39. Prove: I I A ⋅ I B IC I I B ⋅ IC I A I IC ⋅ I A I B = = sin A sin B sin C Problem 40. a, b and c are the radii of three circles which touch one another externally and the tangents at their points of contact meet in a point; prove that the distance of this point from either of their points of contact is abc a+b+c
  • 67.
    Appendix: Concurrences ofStraight Lines in a Triangle
  • 68.
  • 69.
    69 Circumcentre: The perpendiculars drawn to the sides of a triangle from their midpoints are concurrent Let X, Y and Z be the midpoints of the sides of the A triangle ABC. From Z and Y draw perpendiculars to AB, AC meeting at O. Join OX. Z Y Thus, it is required to show that OX is perpendicular to BC O Join OA, OB, OC. B X C Proof: Because YO bisects AC at right angles, it is therefore the locus of points that are equidistant from A and C. Therefore, OA = OC Again, because ZO bisects AB at right angles, it is therefore the locus of points that are equidistant from A and B. Therefore, OA = OB Hence: OB = OC Therefore, O is on the locus line of points equidistant from B and C; that is OX is perpendicular to BC Hence, the perpendiculars from the midpoints of the sides of the triangle ABC meet at O. □
  • 70.
    70 Incentre: The bisectors of the angles of a triangle are concurrent Bisect ABC , BCA by straight lines that meet at O. Join AO. A Thus, it is required to show that AO bisects BAC . From O draw OP, OQ, OR perpendicular to the R sides of the triangle ABC. Q Proof: O Because BO bisects BAC it is therefore equivalent to the locus B P C of points that are equidistant from BA and BC. Therefore, OP = OR Similarly, CO is the locus of points that are equidistant from CB and CA. Therefore OP = OQ Hence OR = OQ Therefore, O is on the locus of points that are equidistant from AB and AC; that is, OA is the bisector of the BAC. Hence the bisectors of the three angles of the triangle ABC meet at O. □
  • 71.
    71 Centroid: The medians of a triangle are concurrent Let BY and CZ be two of the medians of the triangle ABC, and let them intersect at O. Join AO and produce it to meet BC in X. A Thus, it is required to show that AX is the remaining median of triangle ABC. Through C draw CK, parallel to BY. Produce AX Z Y to meet CK at K. Join BK. O Proof: Because Y is the middle point of AC, B X C and YO is parallel to CK, therefore O is the middle point of AK. (By similar triangles ∆ AYO ≅ ∆ ACK ) K In the triangle ABK, since Z and O are the middle points of AB and AK we have that ZO is parallel to BK, that is, OC is parallel to BK. Therefore, the figure BKCO is a parallelogram. But the diagonals of a parallelogram bisect one another; therefore X is the middle point of BC. That is, AX is also a median of the triangle ABC. Hence, the medians of triangle ABC meet at O. □ (O is usually referred to as the Centroid of the triangle) Corollary: The three medians of a triangle cut one another at a point of trisection, the greater segment in each being towards the angular point. We have seen above that AO = OK , and that OX is half of OK; therefore OX is half of OA: that is OX is one third of AX. Similarly, OY is one third of BY, and OZ is one third of CZ. □
  • 72.
    72 Orthocentre: The perpendiculars drawn from the vertices of a triangle to the opposite sides are concurrent Let AD and BE be the perpendiculars drawn from A and B to their opposite sides; and let them intersect at O. Join CO; and produce it to meet AB at F. Thus, it is required to show that CF is perpendicular to AB. A Proof: F Join DE. E Then, because OEC and ODC are both right-angles, we have: O Points O,E,C,D are concyclic. (Opposite angles in a cyclic B D C quadrilateral sum to 180 ) E Therefore, DEC = DOC , in same segment, O ⇒ DEC = FOA , vertically opposite angles. Similarly, as AEB and ADB are both right-angles, we have: D C Points A,E,D,B are concyclic. (Opposite angles in a cyclic A quadrilateral sum to180 ) F Therefore, DEB = DAB , in same segment. E O Therefore, we have FOA + FAO ≡ DEC + DAB = DEC + DEB B D C = 90 Therefore, AFO = 90 (angles in triangle sum to 180 ) That is, CF is perpendicular to AB. Hence the three perpendiculars AD, BE and CF meet at the point O. □
  • 73.
  • 74.
  • 75.
    75 In order ofusage: Sixth Form Trigonometry. W. A. C. Smith. James Nisbet & Co. Ltd. [1956]. Modern Geometry. C. V. Durell. Macmillan & Co. Ltd. [1957]. Plane Trigonometry (Part 1). S. L. Loney. Macmillan & Co. Ltd. [1967]. A School Geometry (Parts I – VI) . Hall & Stevens. Macmillan & Co. Ltd. [1944]. Advanced Euclidean Geometry: An Elementary Treatise on the Geometry of the Triangle and the Circle. Roger A. Johnson. Dover Publications Inc. [1929]. College Geometry: An Introduction to the Modern Geometry of the Triangle and the Circle. N. Altshiller Court. Barnes & Noble Inc. [1952].
  • 76.
  • 77.