ECFFT
Elliptic Curves Fast Fourier Transform
David Levit
Joint work with Eli Ben-Sasson, Dan Carmon and Swastik Kopparty
https://arxiv.org/abs/2107.08473
Overview
Classical FFT requires an FFT friendly field (e.g. |K*
| divisible by 2n
)
Problem: what if K is not FFT friendly?
Overview
Classical FFT requires an FFT friendly field (e.g. |K*
| divisible by 2n
)
Problem: what if K is not FFT friendly?
Solution: replace K* with an elliptic curve group over K
(Hasse-Weil bound: q - 2√q + 1 ≤ |E| ≤ q + 2√q + 1)
https://arxiv.org/abs/2107.08473
FFT
A field: K
Algebraic group: G over K
A set of points: S of size m=2n
A function: f : G ⟶ K given as coefficients (linear combination of basis
functions whose span is L)
Evaluate f at all points of S in O(m log(m)) steps.
Classical FFT
● K is a prime field
● G = K*
● S = a coset of {group of 2n
roots of unity}
● L = RR((2n
-1)[∞]) = polynomials of degree at most 2n
-1
FFT more details
A sequence of maps: G = G0
⟶ G1
⟶ G2
⟶ … ⟶ Gn
And a point: P ∊ Gn
Such that: S = 𝜑0
-1
∘𝜑1
-1
∘𝜑2
-1
∘...∘𝜑n-1
-1
(P)
S = S0
⟶ S1
⟶ S2
⟶ … ⟶ Sn
= {P}
The maps are 2 to 1
𝜑0
𝜑1
𝜑2
𝜑n-1
𝜑0
𝜑1
𝜑2
𝜑n-1
● K is a prime field
● Gi
= G = K*
● Si
= a coset of {group of 2n-i
roots of unity}
● L = RR((2n
-1)[∞]) = polynomials of degree at most 2n
-1
● 𝜑i
: x ⟼ x2
Classical FFT
FFT last important property
(we want to evaluate f)
f(x) = g(𝜑i
(x)) + x h(𝜑i
(x))
L = L0
⟵ L1
⟵ L2
⟵ … ⟵ Ln
= K (𝜑i
*
g = g ∘ 𝜑i
)
Li
= 𝜑i
*
(Li+1
) ⊕ x 𝜑i
*
(Li+1
)
𝜑0
*
𝜑1
*
𝜑2
*
𝜑n-1
*
* Actually x could be replaced by other functions
● K is a prime field
● Gi
= G = K*
● Si
= a coset of {group of 2n-i
roots of unity}
● Li
= RR((2n-i
-1)[∞]) = polynomials of degree at most 2n-i
-1
● 𝜑i
: x ⟼ x2
Classical FFT
FFT step
f(x) = g(𝜑i
(x)) + x h(𝜑i
(x))
● Apply 𝜑i
on all elements of Si
to get Si+1
.
● Decompose f ∊ Li
= 𝜑i
*
(Li+1
) ⊕ x 𝜑i
*
(Li+1
) to get g and h. We represent f as a
linear combination of a basis of Li
, a right choice of basis is a union of the
bases of 𝜑i
*
(Li+1
) and x 𝜑i
*
(Li+1
). So this decomposition is trivial.
● Solve by recursion the smaller problems for g and h.
● Evaluate the equation to get f at all points of Si
.
Running time: T(m) = 2T(m/2) + O(m) = O(m log(m))
Reminder - Overview
Classical FFT requires an FFT friendly field (e.g. |K*
| divisible by 2n
)
Problem: what if K is not FFT friendly?
Solution: replace K* with an elliptic curve group over K
(Hasse-Weil bound: q - 2√q + 1 ≤ |E| ≤ q + 2√q + 1)
https://arxiv.org/abs/2107.08473
EC-FFT
● K can be any prime or binary field
● G = E (An elliptic curve of nice order)
Isogenies
A morphism between elliptic curves that is also a group homomorphism is called
isogeny.
𝜓 : E0
⟶ E1
Theorem:
Any finite subgroup of an elliptic curve is a kernel of some isogeny.
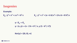
Isogenies
Example:
E0
: y2
= x3
+ a x2
+ b2
x E1
: y2
= x3
+ (a + 6 b) x2
+ (4 a b + 8 b2
) x
𝜓 : E0
⟶ E1
𝜓 : (x, y) ⟼ (x - 2 b + b2
/ x, y (1 - b2
/ x2
))
Ker(𝜓) = {(0, 0), ∞}
Isogenies
Theorem:
The x coordinate of any isogeny depends only on the x coordinate of the input.
𝜓 : E0
⟶ E1
𝜓 : (x, y) ⟼ (𝜓x
(x), 𝜓y
(x, y))
Commutative diagram: E0
⟶ E1
↓ ↓
1
(K) ⟶ 1
(K)
𝜓
𝜓x
x x
Back to EC-FFT
G0
= E0
⟶ E1
⟶ E2
⟶ ... ⟶ En-1
↓ ↓ ↓ ↓
G1
= 1
(K) ⟶ 1
(K) ⟶ 1
(K) ⟶ … ⟶ 1
(K) = Gn
x x x x
𝜓0
𝜓1
𝜓2
𝜓n-2
𝜓0,x
𝜓1,x
𝜓2,x
𝜓n-2,x
EC-FFT
● K can be any prime or binary field
● G0
= E, Gi
= 1
(K) for i > 0
● S0
= Two cosets of Ker(𝜓n-2
∘...∘𝜓1
∘𝜓0
)
Si+1
= The x coordinate of the elements of two cosets of Ker(𝜓n-2
∘...∘𝜓i+1
∘𝜓i
)
● 𝜑0
: (x, y) ⟼ x, 𝜑i+1
= 𝜓i,x
: x ⟼ x - 2 bi
+ bi
2
/x
Reminder - Overview
Classical FFT requires an FFT friendly field (e.g. |K*
| divisible by 2n
)
Problem: what if K is not FFT friendly?
Solution: replace K* with an elliptic curve group over K
(Hasse-Weil bound: q - 2√q + 1 ≤ |E| ≤ q + 2√q + 1)
https://arxiv.org/abs/2107.08473
EC-FFT
Ln
= constant functions = RR(0) Li
= 𝜑i
*
(Li+1
) ⊕ 𝜉i
𝜑i
*
(Li+1
) (𝜉i
TBD)
Theorem:
Let 𝜑 : 1
(K) ⟶ 1
(K) be a 2 to 1 morphism.
Let L = RR(D) for some D ∊ Div( 1
(K)).
Let 𝜉 be a rational function with exactly one pole, denote that pole P.
Then 𝜑*
(L) ⊕ 𝜉 𝜑*
(L) = RR(𝜑*
(D) + [P])
EC-FFT first step
In the first step:
f(x, y) = g(x) + 𝜉0
h(x) 𝜑0
: (x, y) ⟼ x
L0
= x*
(RR(D1
)) ⊕ 𝜉0
x*
(RR(D1
))
x*
(RR(D1
)) = rational functions in x only, with poles only at points that go to D1
.
EC-FFT first step
Choose: 𝜉0
= y b0
2
/x
𝜉0
has one pole at P0
= (0, 0) and one pole at P∞
A similar result for this case yields:
L0
= x*
(RR(D1
)) ⊕ 𝜉0
x*
(RR(D1
)) = RR(x*
(D1
) + [P0
] + [P∞
])
EC-FFT
● K can be any prime or binary field
● G0
= E, Gi
= 1
(K) for i > 0
● S0
= Two cosets of Ker(𝜓n-2
∘...∘𝜓1
∘𝜓0
)
Si+1
= The x coordinate of the elements of two cosets of Ker(𝜓n-2
∘...∘𝜓i+1
∘𝜓i
)
● Li
= RR(Di
), Dn
= 0, Di
= 𝜓i,x
*
(Di+1
) + [Pi
], D0
= x*
(D1
) + [P0
] + [P∞
]
● 𝜑0
: (x, y) ⟼ x, 𝜑i+1
= 𝜓i,x
: x ⟼ x - 2 bi
+ bi
2
/x
EC-FFT
Choose: 𝜉i+1
= (x + bi
) / (x - bi
)
𝜉i+1
has a pole at bi
which is the x coordinate of a point of order 4 in Ei
.
Dn
= 0, Di
= 𝜓i,x
*
(Di+1
) + [bi
], D0
= x*
(D1
) + [P0
] + [P∞
]
The result: D0
= 𝛴P∊<g>
[P] (sum over all points in a cyclic group of size
2n
)

Ecfft zk studyclub 9.9

  • 1.
    ECFFT Elliptic Curves FastFourier Transform David Levit Joint work with Eli Ben-Sasson, Dan Carmon and Swastik Kopparty https://arxiv.org/abs/2107.08473
  • 2.
    Overview Classical FFT requiresan FFT friendly field (e.g. |K* | divisible by 2n ) Problem: what if K is not FFT friendly?
  • 3.
    Overview Classical FFT requiresan FFT friendly field (e.g. |K* | divisible by 2n ) Problem: what if K is not FFT friendly? Solution: replace K* with an elliptic curve group over K (Hasse-Weil bound: q - 2√q + 1 ≤ |E| ≤ q + 2√q + 1) https://arxiv.org/abs/2107.08473
  • 4.
    FFT A field: K Algebraicgroup: G over K A set of points: S of size m=2n A function: f : G ⟶ K given as coefficients (linear combination of basis functions whose span is L) Evaluate f at all points of S in O(m log(m)) steps.
  • 5.
    Classical FFT ● Kis a prime field ● G = K* ● S = a coset of {group of 2n roots of unity} ● L = RR((2n -1)[∞]) = polynomials of degree at most 2n -1
  • 6.
    FFT more details Asequence of maps: G = G0 ⟶ G1 ⟶ G2 ⟶ … ⟶ Gn And a point: P ∊ Gn Such that: S = 𝜑0 -1 ∘𝜑1 -1 ∘𝜑2 -1 ∘...∘𝜑n-1 -1 (P) S = S0 ⟶ S1 ⟶ S2 ⟶ … ⟶ Sn = {P} The maps are 2 to 1 𝜑0 𝜑1 𝜑2 𝜑n-1 𝜑0 𝜑1 𝜑2 𝜑n-1
  • 7.
    ● K isa prime field ● Gi = G = K* ● Si = a coset of {group of 2n-i roots of unity} ● L = RR((2n -1)[∞]) = polynomials of degree at most 2n -1 ● 𝜑i : x ⟼ x2 Classical FFT
  • 8.
    FFT last importantproperty (we want to evaluate f) f(x) = g(𝜑i (x)) + x h(𝜑i (x)) L = L0 ⟵ L1 ⟵ L2 ⟵ … ⟵ Ln = K (𝜑i * g = g ∘ 𝜑i ) Li = 𝜑i * (Li+1 ) ⊕ x 𝜑i * (Li+1 ) 𝜑0 * 𝜑1 * 𝜑2 * 𝜑n-1 * * Actually x could be replaced by other functions
  • 9.
    ● K isa prime field ● Gi = G = K* ● Si = a coset of {group of 2n-i roots of unity} ● Li = RR((2n-i -1)[∞]) = polynomials of degree at most 2n-i -1 ● 𝜑i : x ⟼ x2 Classical FFT
  • 10.
    FFT step f(x) =g(𝜑i (x)) + x h(𝜑i (x)) ● Apply 𝜑i on all elements of Si to get Si+1 . ● Decompose f ∊ Li = 𝜑i * (Li+1 ) ⊕ x 𝜑i * (Li+1 ) to get g and h. We represent f as a linear combination of a basis of Li , a right choice of basis is a union of the bases of 𝜑i * (Li+1 ) and x 𝜑i * (Li+1 ). So this decomposition is trivial. ● Solve by recursion the smaller problems for g and h. ● Evaluate the equation to get f at all points of Si . Running time: T(m) = 2T(m/2) + O(m) = O(m log(m))
  • 11.
    Reminder - Overview ClassicalFFT requires an FFT friendly field (e.g. |K* | divisible by 2n ) Problem: what if K is not FFT friendly? Solution: replace K* with an elliptic curve group over K (Hasse-Weil bound: q - 2√q + 1 ≤ |E| ≤ q + 2√q + 1) https://arxiv.org/abs/2107.08473
  • 12.
    EC-FFT ● K canbe any prime or binary field ● G = E (An elliptic curve of nice order)
  • 13.
    Isogenies A morphism betweenelliptic curves that is also a group homomorphism is called isogeny. 𝜓 : E0 ⟶ E1 Theorem: Any finite subgroup of an elliptic curve is a kernel of some isogeny.
  • 14.
    Isogenies Example: E0 : y2 = x3 +a x2 + b2 x E1 : y2 = x3 + (a + 6 b) x2 + (4 a b + 8 b2 ) x 𝜓 : E0 ⟶ E1 𝜓 : (x, y) ⟼ (x - 2 b + b2 / x, y (1 - b2 / x2 )) Ker(𝜓) = {(0, 0), ∞}
  • 15.
    Isogenies Theorem: The x coordinateof any isogeny depends only on the x coordinate of the input. 𝜓 : E0 ⟶ E1 𝜓 : (x, y) ⟼ (𝜓x (x), 𝜓y (x, y)) Commutative diagram: E0 ⟶ E1 ↓ ↓ 1 (K) ⟶ 1 (K) 𝜓 𝜓x x x
  • 16.
    Back to EC-FFT G0 =E0 ⟶ E1 ⟶ E2 ⟶ ... ⟶ En-1 ↓ ↓ ↓ ↓ G1 = 1 (K) ⟶ 1 (K) ⟶ 1 (K) ⟶ … ⟶ 1 (K) = Gn x x x x 𝜓0 𝜓1 𝜓2 𝜓n-2 𝜓0,x 𝜓1,x 𝜓2,x 𝜓n-2,x
  • 17.
    EC-FFT ● K canbe any prime or binary field ● G0 = E, Gi = 1 (K) for i > 0 ● S0 = Two cosets of Ker(𝜓n-2 ∘...∘𝜓1 ∘𝜓0 ) Si+1 = The x coordinate of the elements of two cosets of Ker(𝜓n-2 ∘...∘𝜓i+1 ∘𝜓i ) ● 𝜑0 : (x, y) ⟼ x, 𝜑i+1 = 𝜓i,x : x ⟼ x - 2 bi + bi 2 /x
  • 18.
    Reminder - Overview ClassicalFFT requires an FFT friendly field (e.g. |K* | divisible by 2n ) Problem: what if K is not FFT friendly? Solution: replace K* with an elliptic curve group over K (Hasse-Weil bound: q - 2√q + 1 ≤ |E| ≤ q + 2√q + 1) https://arxiv.org/abs/2107.08473
  • 19.
    EC-FFT Ln = constant functions= RR(0) Li = 𝜑i * (Li+1 ) ⊕ 𝜉i 𝜑i * (Li+1 ) (𝜉i TBD) Theorem: Let 𝜑 : 1 (K) ⟶ 1 (K) be a 2 to 1 morphism. Let L = RR(D) for some D ∊ Div( 1 (K)). Let 𝜉 be a rational function with exactly one pole, denote that pole P. Then 𝜑* (L) ⊕ 𝜉 𝜑* (L) = RR(𝜑* (D) + [P])
  • 20.
    EC-FFT first step Inthe first step: f(x, y) = g(x) + 𝜉0 h(x) 𝜑0 : (x, y) ⟼ x L0 = x* (RR(D1 )) ⊕ 𝜉0 x* (RR(D1 )) x* (RR(D1 )) = rational functions in x only, with poles only at points that go to D1 .
  • 21.
    EC-FFT first step Choose:𝜉0 = y b0 2 /x 𝜉0 has one pole at P0 = (0, 0) and one pole at P∞ A similar result for this case yields: L0 = x* (RR(D1 )) ⊕ 𝜉0 x* (RR(D1 )) = RR(x* (D1 ) + [P0 ] + [P∞ ])
  • 22.
    EC-FFT ● K canbe any prime or binary field ● G0 = E, Gi = 1 (K) for i > 0 ● S0 = Two cosets of Ker(𝜓n-2 ∘...∘𝜓1 ∘𝜓0 ) Si+1 = The x coordinate of the elements of two cosets of Ker(𝜓n-2 ∘...∘𝜓i+1 ∘𝜓i ) ● Li = RR(Di ), Dn = 0, Di = 𝜓i,x * (Di+1 ) + [Pi ], D0 = x* (D1 ) + [P0 ] + [P∞ ] ● 𝜑0 : (x, y) ⟼ x, 𝜑i+1 = 𝜓i,x : x ⟼ x - 2 bi + bi 2 /x
  • 23.
    EC-FFT Choose: 𝜉i+1 = (x+ bi ) / (x - bi ) 𝜉i+1 has a pole at bi which is the x coordinate of a point of order 4 in Ei . Dn = 0, Di = 𝜓i,x * (Di+1 ) + [bi ], D0 = x* (D1 ) + [P0 ] + [P∞ ] The result: D0 = 𝛴P∊<g> [P] (sum over all points in a cyclic group of size 2n )