Fourier series of function with arbitrary period p=2L
Instead of a period of 2, many functions have an arbitrary period,
say a period of 2L. In order to convert the Fourier series defined
earlier for these functions, a change of variable is needed:
Replace the variable x by (/L)x: when x=L the new variable
equals to ; when x= -L, it equals to - . Therefore, the previous
formulas can be used by simply making the change
0
1
0
( ) [ cos( ) sin( )]
1
( ) ,
2
1
( )cos( ) , 1,2
1
( )sin( ) , 1,2
n n
n
L
L
L
n
L
L
n
L
n n
f x a a x b x
L L
a f x dx
L
n x
a f x dx n
L L
n x
b f x dx n
L L
 







  

 
 




Even and Odd Functions
A function f(x) is even when f(x) = f(-x)
On the other hand, if f(x) = -f(-x), the function is an odd function.
An even function
x
f(x)
x
f(x)
An odd function
Ex: cos(x)
Ex: sin(x)
L 0 0
-L 0 0
0
0 0
0 0
- 0
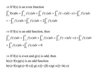
If f(x) is an even function
f(x)dx ( ) ( ) ( ) ( ) ( )
( ) ( ) 2 ( )
If f(x) is an odd function, then
( ) ( ) ( ) ( ) ( ) ( )
L L
L L
L L
L
L L
L L L
f x dx f x dx f x d x f x dx
f x dx f x dx f x dx
f x dx f x dx f x dx f x d x f x dx



     
   

     
    
  
    0
0
0
( ) ( ) 0
If f(x) is even and g(x) is odd, then
h(x)=f(x)g(x) is an odd function
h(x)=f(x)g(x)=f(-x)[-g(-x)]=-[f(-x)g(-x)]=-h(-x)
L
L
L
f x dx f x dx
  


 
Fourier cosine and sine series
0
1
0 0
1 1
The Fourier series of an even function f(x) of period 2L is
a "Fourier cosine series"
( ) [ cos( )]
( ) [ cos( )] [ cos( )] ( )
The Fourier series of an odd func
n
n
n n
n n
n
f x a a x
L
n n
f x a a x a a x f x
L L

 


 
 

 
      


 
1
1 1
tion g(x) of period 2L is
a "Fourier sine series"
( ) [ sin( )]
( ) [ sin( )] [ sin( )] ( )
n
n
n n
n n
n
g x b x
L
n n
g x b x b x g x
L L

 


 
 

      

 
Half Range Expansion
Expansion is useful when a function is defined only on a given
interval, say between 0 and L. This situation is very common in
real life: For example, the vibration of a guitar string occurs only
between its bridge and tension peg.
expansion

Fourier series 2.ppt

  • 1.
    Fourier series offunction with arbitrary period p=2L Instead of a period of 2, many functions have an arbitrary period, say a period of 2L. In order to convert the Fourier series defined earlier for these functions, a change of variable is needed: Replace the variable x by (/L)x: when x=L the new variable equals to ; when x= -L, it equals to - . Therefore, the previous formulas can be used by simply making the change 0 1 0 ( ) [ cos( ) sin( )] 1 ( ) , 2 1 ( )cos( ) , 1,2 1 ( )sin( ) , 1,2 n n n L L L n L L n L n n f x a a x b x L L a f x dx L n x a f x dx n L L n x b f x dx n L L                     
  • 2.
    Even and OddFunctions A function f(x) is even when f(x) = f(-x) On the other hand, if f(x) = -f(-x), the function is an odd function. An even function x f(x) x f(x) An odd function Ex: cos(x) Ex: sin(x)
  • 3.
    L 0 0 -L0 0 0 0 0 0 0 - 0 If f(x) is an even function f(x)dx ( ) ( ) ( ) ( ) ( ) ( ) ( ) 2 ( ) If f(x) is an odd function, then ( ) ( ) ( ) ( ) ( ) ( ) L L L L L L L L L L L L f x dx f x dx f x d x f x dx f x dx f x dx f x dx f x dx f x dx f x dx f x d x f x dx                                 0 0 0 ( ) ( ) 0 If f(x) is even and g(x) is odd, then h(x)=f(x)g(x) is an odd function h(x)=f(x)g(x)=f(-x)[-g(-x)]=-[f(-x)g(-x)]=-h(-x) L L L f x dx f x dx       
  • 4.
    Fourier cosine andsine series 0 1 0 0 1 1 The Fourier series of an even function f(x) of period 2L is a "Fourier cosine series" ( ) [ cos( )] ( ) [ cos( )] [ cos( )] ( ) The Fourier series of an odd func n n n n n n n f x a a x L n n f x a a x a a x f x L L                        1 1 1 tion g(x) of period 2L is a "Fourier sine series" ( ) [ sin( )] ( ) [ sin( )] [ sin( )] ( ) n n n n n n n g x b x L n n g x b x b x g x L L                    
  • 5.
    Half Range Expansion Expansionis useful when a function is defined only on a given interval, say between 0 and L. This situation is very common in real life: For example, the vibration of a guitar string occurs only between its bridge and tension peg. expansion