Earth's Magnetism
Part 1
Class 12th
Priyanka jakhar
Physics
lecturer
MAGNETISM
1. Bar Magnet and its properties
2. Current Loop as a Magnetic Dipole and Dipole Moment
3. Current Solenoid equivalent to Bar Magnet
4. Bar Magnet and it Dipole Moment
5. Coulomb’s Law in Magnetism
6. Important Terms in Magnetism
7. Magnetic Field due to a Magnetic Dipole
8. Torque and Work Done on a Magnetic Dipole
Natural Magnet-- A natural magnet is an ore of iron (Fe3O4), which attracts small
pieces of iron, cobalt and nickel towards it.
Magnetite or lode stone is a natural magnet.
Artificial Magnet-- A magnet which is prepared artificially is called an artificial
magnet.
e.g., a bar magnet, an electromagnet, a magnetic needle, a horse-shoe magnet
etc.
According to molecular theory, every molecular of magnetic substance (whether
magnetised or not) is a complete magnet itself.
The poles of a magnet are the two points near but within the ends of the
magnet, at which the entire magnetism can be assumed to be concentrated.
The poles always occur in pairs and they are of equal strength.
Like poles repel and unlike poles attract.
Magnetic fields around planets behave in the same way as a bar magnet.
But at high temperatures, metals lose their magnetic properties.
So it’s clear that Earth’s hot iron core isn’t what creates the magnetic field around
our planet.
Instead, Earth’s magnetic field is caused by a dynamo effect.
The effect works in the same way as a dynamo light on a bicycle. Magnets in the
dynamo start spinning when the bicycle is pedalled, creating an electric current.
The electricity is then used to turn on the light.
Uniform magnetic field
Magnetic field is said to be uniform if it has same magnitude and direction at all the points
in a given region. Example, locally Earth’s magnetic field is uniform.
The magnetic field of Earth has same value over the entire area of your school.
Non-uniform magnetic field
Magnetic field is said to be non-uniform if the magnitude or direction or both
varies at all its points.
Example: magnetic field of a bar magnet.
Representation of Uniform Magnetic Field:
x x x x x
x x x x x
x x x x x
x x x x x
x x x x x
Uniform field on the plane of the
diagram
Uniform field perpendicular & into the
plane of the diagram
Uniform field perpendicular & emerging
out of the plane of the diagram
Magnetic field lines
1. Magnetic field lines are continuous closed curves.
2. The direction of magnetic field lines is from North pole to South pole outside
the magnet and from South pole to North pole inside the magnet.
3. The direction of magnetic field at any point on the curve is known by drawing
tangent to the magnetic field lines at that point.
4. Magnetic field lines never intersect each other. Otherwise, the magnetic
compass needle would point towards two different directions, which is not
possible.
5. The degree of closeness of the field lines determines the relative strength of
the magnetic field.
6. The magnetic field is strong where magnetic field lines crowd and weak
where magnetic field lines are well separated.
Magnetism: - Phenomenon of attracting magnetic substances like iron,
nickel, cobalt, etc.
•A body possessing the property of magnetism is called a
magnet.
•A magnetic pole is a point near the end of the magnet
where magnetism is concentrated.
•Earth is a natural magnet.
•The region around a magnet in which it exerts forces on
other magnets and
on objects made of iron is a magnetic field.
Properties of a bar magnet:
1. A freely suspended magnet aligns itself along North –
South direction.
2. Unlike poles attract and like poles repel each other.
3. Magnetic poles always exist in pairs. i.e. Poles can not be separated.
4. A magnet can induce magnetism in other magnetic substances.
5. It attracts magnetic substances.
Repulsion is the surest test of magnetisation:
A magnet attracts iron rod as well as opposite pole of other magnet. Therefore it
is not a sure test of magnetisation.
But, if a rod is repelled with strong force by a magnet, then the rod is surely
magnetised.
Note----
Many birds and animals have magnetic sense in their eyes using Earth’s
magnetic field for navigation.
I
B
Current Loop as a Magnetic Dipole & Dipole Moment:
Magnetic Dipole Moment is
M =
A
SI unit is A m2.
It is a vector quantity.
When we look at any one side of the loop carrying current, if the current is in anti-
clockwise direction then that side of the loop behaves like Magnetic North Pole .
If the current is in clockwise direction then that side of the loop behaves like
Magnetic South Pole.
I 𝐴
I I
x
x
x
x
x x
x
B
Current Solenoid as a Magnetic Dipole or Bar Magnet:
• Magnetic Dipole & Dipole Moment:
• A pair of magnetic poles of equal and opposite strengths separated by a finite
distance is called a magnetic dipole.
• The magnitude of dipole moment is the product of the pole strength m and the
separation 2l between the poles.
• SI unit of pole strength is A.m
• The direction of the dipole moment is from South pole to North Pole along the axis
of the magnet.
Magnetic Dipole Moment is M = m.2l. l
(i) Pole strength is a scalar quantity
(ii)with dimension [𝑴𝒐 L 𝑻𝒐 A].
(iii)Its SI unit is N 𝑻−𝟏
(newton per tesla) or A m (ampere-metre).
(iv) Like positive and negative charges in electrostatics, north pole of a magnet
experiences a force in the direction of magnetic field while south pole of a
magnet experiences force opposite to the magnetic field.
(v)Pole strength depends on the nature of materials of the magnet, area of cross
section and the state of magnetization.
(vi)If a magnet is cut into two equal halves along the length then pole strength is
reduced to half.
(vii)If a magnet is cut into two equal halves perpendicular to the length, then
pole strength remains same.
(viii)If a magnet is cut into two pieces, we will not get separate north and south
poles. Instead, we get two magnets.
(ix)In other words, isolated monopole does not exist in nature.
Pole strength --- Denoted by 𝒒𝒎 or m .
(a) a bar magnet cut into two pieces along its length:
𝒒𝒎 is pole strength .
2l is length.
𝑷𝒎 = 𝒒𝒎 × 𝟐𝒍
When the bar magnet is cut along the axis into two pieces,
new magnetic pole strength is 𝒒′𝒎 =
𝒒𝒎
2
but magnetic length does not change.
So, the magnetic moment is 𝑷′𝒎 =
𝒒𝒎
2
× 𝟐𝒍
=𝒒𝒎𝒍 =
𝑷𝒎
2
(b) a bar magnet cut into two pieces perpendicular to the axis:
When the bar magnet is cut perpendicular to the axis into two
pieces, magnetic pole strength will not change .
but magnetic length will be halved. (𝒍)
So the magnetic moment is 𝑷′𝒎 = 𝒒𝒎 ×
𝟐𝒍
2
= 𝒒𝒎𝒍 =
𝑷𝒎
2
Magnetic length ---The distance between the two poles of a bar magnet is called
the magnetic length of the magnet.
The ratio of magnetic length and geometrical length is nearly 0.84.
It is a vector.
Direction S-pole to N-pole
Magnetic length
Geometrical length
=
5
6
Magnetic length is always slightly smaller than.
Geographic length--- The distance between the ends of the magnet is called the
geometrical length of the magnet.
Axis of a magnetic dipole--- A straight line passing through magnetic poles of a
magnetic dipole is called axis of a magnetic dipole.
S N
P P
Magnetic Length
Geographic Length
M
Coulomb’s Law in Magnetism:
The force of attraction or repulsion between two magnetic poles is directly
proportional to the product of their pole strengths and inversely proportional to the
square of the distance between them.
m1 m2
r
F α m1 m2
α r2
F =
μ0 m1 m2
4π r2
F =
k m m
1 2
r2
or
(where k = μ0 / 4π is a constant and μ0 = 4π x 10-7 T mA-1)
In vector form μ0 m1 m2 r
F =
4π r2
μ0 m1 m2 r
F =
4π r3
Gauss’ law in magnetism ----
For any closed surface, the number of lines entering that surface is equal to the
number of lines leaving it. That means the net flux is zero. This is called Gauss'
s law in magnetism.
Gauss's Law for magnetism tells us that magnetic monopoles do not exist. If magnetic monopoles
existed, they would be sources and sinks of the magnetic field, and therefore the right-hand side
could differ from zero.
a) Gauss' Law for magnetism applies to the magnetic flux through a closed
surface.
In this case the area vector points out from the surface. Because magnetic field
lines are continuous loops, all closed surfaces have as many magnetic field lines
going in as coming out. Hence, the net magnetic flux through a closed surface is
zero.
Net flux ∅ = 𝑩 . 𝒅𝑨 = 𝟎
b) Gauss' Law for electrostatics is a very useful method for calculating electric
fields in highly symmetric situations.
Gauss' Law for magnetism is considerably less useful.
c) There is a difference in both laws because the magnetic field-lines behave in a
quite different manner to electric field-lines, which begin on positive charges
, end on negative charges, and never form closed loops. Incidentally, the
statement that electric field-lines never form closed loops.
The work done in taking an electric charge around a closed loop is always zero.
This clearly cannot be true if it is possible to take a charge around the path of a
closed electric field-line.
Gauss’s theorem in magnetism establishes that:
•isolated magnetic poles do not exist.
•magnetic poles always exist in pairs.
•in magnetism, there is no counterpart of free charge in electricity
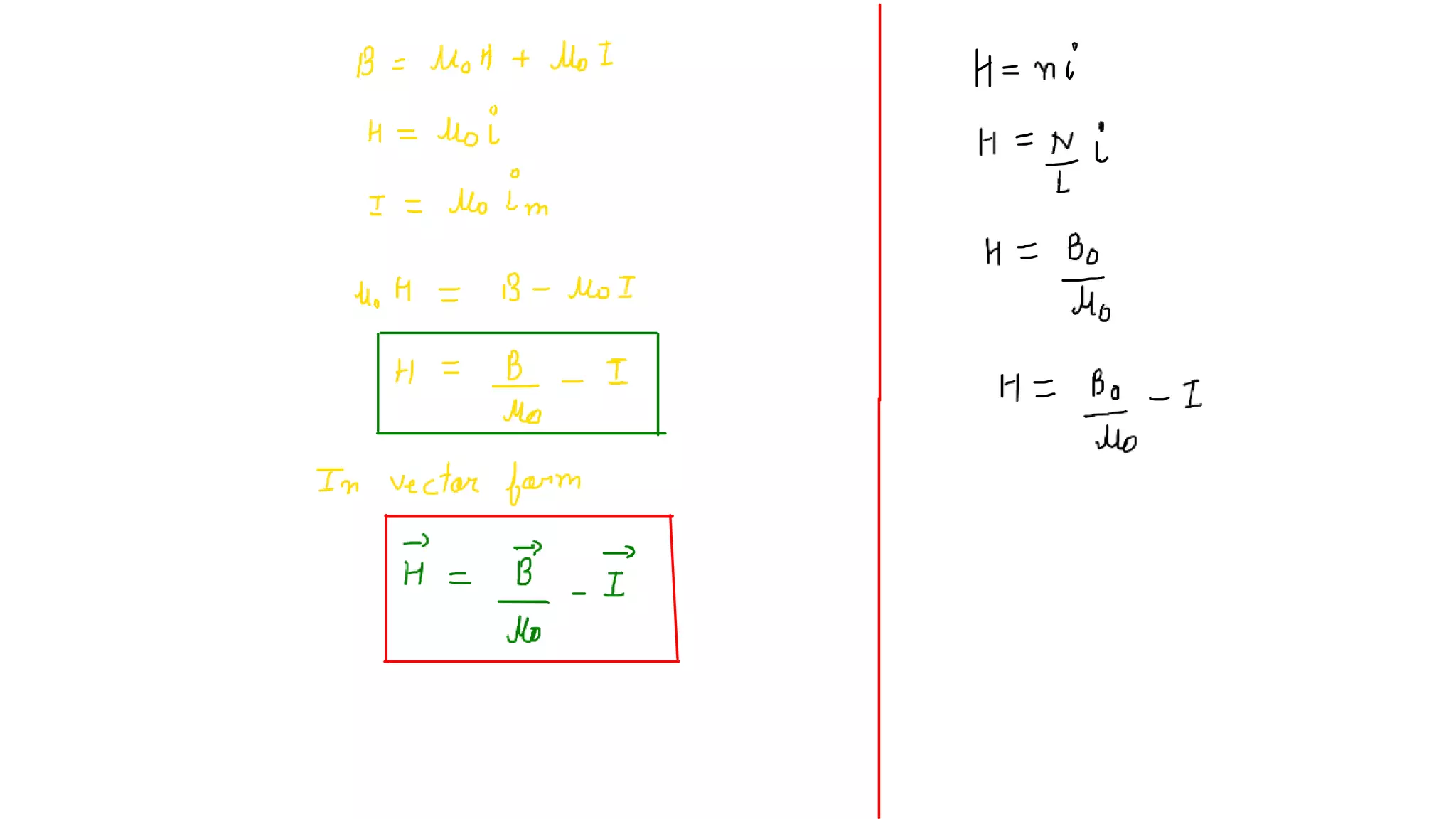
Magnetic Intensity or Magnetising force (H) or Magnetising field ----The
magnetic field which is used to magnetize a sample or specimen is called the
magnetising field.
The degree up to which a magnetic field can magnetise a material is defined in
terms of magnetic intensity.
i) Magnetic Intensity at a point is the force experienced by a north pole of unit pole strength
placed at that point due to pole strength of the given magnet.
H = B / 𝝁𝟎
ii) It is also defined as the magnetomotive force per unit length.
iii) It can also be defined as the degree or extent to which a magnetic field can magnetise a
substance.
iv) It can also be defined as the force experienced by a unit positive charge flowing with unit
velocity in a direction normal to the magnetic field.
v) It can also be defined as the product of n and I .
H = n i
iv)Its SI unit is ampere-turns per linear meter or A/m.
v) Its cgs unit is oersted.
vi)It is a vector quantity.
vii) Dimension is [M𝟎
𝑳−𝟏
𝑻𝟎
𝑨𝟏
].
viii) Also called Magnetising Force and magnetic field strength.
Magnetic Field Strength or Magnetic Field or Magnetic Induction or Magnetic Flux
Density (B):
i) Magnetic Flux Density is the number of magnetic lines of force passing
normally through a unit area of a substance.
B = 𝝁𝟎 H
ii) Its SI unit is weber-m-2 or Tesla (T).
iii)Its cgs unit is gauss.
iv)1 gauss = 10- 4 Tesla
Magnetic Flux (Φ):
i) It is defined as the number of magnetic lines of force passing normally
through a surface.
ii) Its SI unit is weber. 𝚽𝑩 = 𝑩 . 𝑨
𝚽𝑩 = BA cosθ
iii) which is denoted by symbol Wb.
iv) Dimensional formula for magnetic flux is [ M L𝟐
T−𝟐
A−𝟏
] .
v) The CGS unit of magnetic flux is maxwell.
1 weber = 1𝟎𝟖 maxwell
Special cases
(a)When 𝑩 is normal to the surface i.e., θ = 𝟎𝟎
,
the magnetic flux is 𝜱𝑩 = BA (maximum).
(b) When 𝑩 is parallel to the surface i.e., θ = 9𝟎𝟎 ,
the magnetic flux is 𝚽𝑩 = 0.
Suppose the magnetic field is not uniform over the surface,
𝚽𝑩 = 𝑩 . d 𝑨
Relation between B and H:
B = μ H (where μ is the permeability of the medium)
Magnetic Permeability (μ and μ0):
The magnetic permeability is the measure of ability of the material to allow the
passage of magnetic field lines through it .
or
measure of the capacity of the substance to take magnetization.
or
the degree of penetration of magnetic field through the substance.
In free space, the permeability (or absolute permeability) is denoted by μ0 and for
any other medium it is denoted by µ
It is the degree or extent to which magnetic lines of forcecan pass enter a substance.
For medium μ =
𝑩
𝑯
For vacuum μ0 =
𝑩𝟎
𝑯𝟎
It is a scalar quantity.
Its unit
Its dimension [ M LT−𝟐
A−𝟐
]
Total magnetic induction (B) ------Magnetic induction or total
magnetic field ---
When a substance like soft iron bar is placed in a uniform magnetising field H,
the substance gets magnetised.
The magnetic induction (total magnetic field) inside the specimen.
B is equal to the sum of the magnetic field 𝑩𝟎 produced in vacuum due to the
magnetising field and the magnetic field 𝑩𝒎 due to the induced magnetism of
Its SI unit is T m A-1 or wb A-1 m-1 or NA−𝟐
the substance.
Let us consider a solenoid with n no of turns per unit length
Carrying a current I.
Magnetic induction inside the empty solenoid B𝟎.
When the solenoid is filled by a magnetic core.
Then total magnetic field or induction is
Relative Magnetic Permeability (μr):
It is the ratio of magnetic flux density in a material to that in vacuum.
It can also be defined as the ratio of absolute permeability of the material to that
in vacuum.
μr = B / B0 or μr = μ / μ0
.
It is a scalar quantity.
It is unitless.
It is dimensionless quantity.
Value of μr is always +ve .For vacuum μr = 1
μr < 1 for diamagnetic material.
μr > 1 for paramagnetic material.
μr >> 1 for ferromagnetic material.
Intensity of Magnetisation: (I):
i) It is the degree to which a substance is magnetised when placed in a
magnetic field.
ii) It can also be defined as the magnetic dipole moment (M) acquired per unit
volume of the substance (V).
iii)It can also be defined as the pole strength (m) per unit cross-sectional
area (A) of the substance.
iv) I =
M
V
v) for a bar magnet the intensity of magnetisation can be defined as the pole strength per unit
area (face area).
vi)I =
m (2l)
A (2l)
=
m
A
vii) SI unit of Intensity of Magnetisation is Am-1.
viii) It is a vector quantity.
ix) Dimension is [M𝟎 𝑳−𝟏 𝑻𝟎 𝑨𝟏.]
Magnetic Susceptibility (χm):
The magnetic susceptibility measures how easily and how strongly a material can
be magnetized.
It is the property of the substance which shows how easily a substance can be
magnetised.
i) It can also be defined as the ratio of intensity of magnetisation (I) in a
substance to the magnetic intensity (H) applied to the substance.
ii) Χm =
I
H
iii) Susceptibility has no unit.
Iv) It is a dimensionless quantity.
v) It is a scalar quantity.
vi)The substance having I and H in same direction , value of is χ +ve.
vii)The substance having I and H in opposite direction , value of is χ -ve.
ix)In vacuum I = 0 ,therefore χ = 0
Relation between Magnetic Permeability (μr) & Susceptibility (χ ):
μr = 1 + χ
A magnetic material placed in a magnetizing field of magnetizing intensity H, the material gets
magnetized.
Total magnetic induction B in the material is the sum of the magnetic induction Bo in vacuum
produced by the magnetic intensity and magnetic induction Bm, due to magnetization of the material,
therefore, B = Bo + Bm
Now, Bo = μo H and Bm = μo I,
where I is the intensity of magnetization induced in the magnetic material.
So, B = μo (H + I)
We know that, B = μ H and I = χ H
By combining above relation
𝝁
𝝁𝒐
= 1+ χ
μr = 1+ χ
Magnetic Field due to a Magnetic Dipole (Bar Magnet):
i) At a point on the axial line of the magnet
Let NS be a bar magnet of magnetic length 2l and having each pole of magnetic
strength m .
O is the center of magnet and P is a point on axial line at a distance r from the
center O of magnet , at which magnetic field has to be measured .
The magnetic field 𝑩𝑵 at P due to N pole of magnet ,
𝑩𝑵 ​=
μ0 m
4π𝑵𝑷𝟐
or 𝑩𝑵 ​=
μ0 2m
4π(r−l)𝟐
(along PX) .......................eq1
And , the magnetic field 𝑩𝑺 at P due to S pole of magnet ,
𝑩𝑺 ​=
μ0 m
4π𝐒𝐏𝟐
or 𝑩𝑺 ​=
μ0 2m
4π(r+l)𝟐
(along PS) ......................eq2
Therefore , resultant magnetic field at point P ,
B = 𝑩𝑵 - 𝑩𝑺
l
BN
l
B = 𝑩𝑵 - 𝑩𝑺
BS
O
S N
M
r
P
o
It is clear from eq1 and eq2 that 𝑩𝑵​> 𝑩𝑺 ,therefore the direction of B will be
along PX .
or B=[
μ0 2m
4π(r−l)𝟐
​−
μ0 2m
4π(r+l)𝟐
] (alongPX)
B=
μ0 2m
4π
[
𝟏
(r−l)𝟐
​−
𝟏
(r+l)𝟐
] (along PX)
B=
μ0 2m
4π
[
(r+l)𝟐−(r−l)𝟐
(r−l)𝟐(r+l)𝟐
] (along PX)
B=
μ0 2m
4π
[
r𝟐+l𝟐+𝟐𝒓𝒍 −(r𝟐+l𝟐−𝟐𝒓𝒍 )
(r−l)𝟐(r+l)𝟐
] (along PX)
B=
μ0 2m
4π
[
𝟒𝒓𝒍
(r−l)𝟐(r+l)𝟐
] (along PX)
B=
μ0 2m
4π
[
𝟒𝒓𝒍
(r𝟐− l𝟐)𝟐
] (along PX)
(r−l)𝟐(r+l)𝟐 = (r−l) (r−l) (r+l)
(r+l)
= (r𝟐− l𝟐)𝟐
μ0 2 M r
4π (r2 – l2)2
If l << r, then
BP ≈
μ0 2 M
4πr3
BP =
Magnetic Field at a point on the axial line acts along the dipole moment vector.
(along PX)
l
BS
BN
r
P
θ
θ
ii) At a point on the equatorial line of the magnet:
NS is the bar magnet of length 2l and pole strength m. P is a point on the equatorial line at a
distance r from its mid point O
Magnetic induction (B1) at P due to north pole of the magnet,
BN =
μ02 m
4π𝑵𝑷𝟐
along NP
=
μ02 m
4π(𝒓𝟐+𝒍𝟐)
along NP
NP2 = NO2 + OP2
Magnetic induction (B2) at P due to south pole of the magnet,
BS =
μ02 m
4πPS𝟐
along PS
=
μ02 m
4π (𝒓𝟐+𝒍𝟐)
along PS
SP2 = SO2 + OP2
l l
l
θ θ
O
S M N
T
BS
BN
T
θ θ
O
S M N
Resolving BN and BS into their horizontal and vertical components.
Vertical components BN sin θ and BS sin θ are equal and opposite and therefore cancel each
other .
The horizontal components BN cos θ and BS cos θ will get added along PT.
Resultant magnetic induction at P due to the bar magnet is
B = BN cos θ + BS cos θ. (along PT)
After apply BN and BS
B =
μ0 2m
4π(𝒓𝟐+𝒍𝟐)
cos θ +
μ0 2m
4π(𝒓𝟐+𝒍𝟐)
cos θ
B =
μ0 2m
4π(𝒓𝟐+𝒍𝟐)
cos θ [ 1 + 1 ]
B =
μ0 2m
4π(𝒓𝟐+𝒍𝟐)
𝒓
(𝒓𝟐+𝒍𝟐)𝟏/𝟐
BN
θ
θ
T
BS
BN cos θ
BS cos θ
BS sin θ
BN sin θ
l
BS
BN
r
P
θ
θ
l l
l
θ θ
O
S M N
T
BS
BN
T
θ θ
O
S M N
cos θ =
𝒓
(𝒓𝟐+𝒍𝟐)𝟏/𝟐
μ0 M
4π (𝒓𝟐
+𝒍𝟐
)3/2
If l << r, then
BP ≈
μ0 M
4π r3
BP =
The direction of B is along PT parallel to NS.
Magnetic Field at a point on the equatorial line acts opposite to the dipole moment
vector.
Note----- that magnitude of Baxial is twice that of magnitude of
Bequatorial and the direction of Baxial and Bequatorial are opposite.
Torque on a Magnetic Dipole (Bar Magnet) in Uniform Magnetic Field
The force on a magnetic dipole is because of both the poles of the magnet, and
we consider the magnetic dipole of a bar magnet
•Fm = mB which is along with the magnetic field B = Force on the N-pole
•Fm = mB and this is opposite to magnetic field B = Force on the S-pole
The forces of magnitude mB act opposite to each other and hence net force
acting on the bar magnet due to external uniform magnetic field is zero.
So, there is no translational motion of the magnet.
However the forces are along different lines of action and constitute a couple.
Hence the magnet will rotate and experience torque.
Torque = Magnetic Force x distance
τ = Moment of the couple.
τ = mB × 2L sin θ
Where θ is the angle between length of the magnet and the magnetic field,
M = m x 2L
B
θ
2l mB
M
N
S
mB
B
:
θ
B
M
θ
2l
mB
mB
M
N
S
Thus, magnetic dipole moment is
τ = MB sin θ
In vector form, as
τ = 𝑴 × 𝑩
Direction of Torque is perpendicular and into the plane
containing 𝑴 and 𝑩 .
Cases :
(i) when magnet is suspended along direction of magnetic
field,
then 𝜽= 𝟎𝟎
τ = MB sin θ
τ = MB sin 𝟎𝟎
τ = 0
(ii) when magnet is suspended at angle 300 with magnetic
field,
then 𝜽 = 𝟑𝟎𝟎
τ = MB sin θ
τ = MB sin 3𝟎𝟎
Sin 𝟎𝟎 =0
Sin 𝟑𝟎𝟎
=1/2
(iii) when magnet is making 900 with magnetic field, then
𝜽 = 𝟗𝟎𝟎
τ = MB sin θ
τ = MB sin 9𝟎𝟎
τ = 𝑴𝑩
In this case torque is maximum
(iv) when magnet is making 1800 with magnetic field, then
𝜽 = 𝟏𝟖𝟎𝟎
τ = MB sin θ
τ = MB sin 1𝟖𝟎𝟎
τ = 𝟎
Units of M can be obtained from the relation
τ = MB sin θ
So, M = τ /B sin θ
Therefore, M can be measured in terms of joule per tesla (JT-1) or (NmT-1)
Since ,1 tesla = Wb/m2
Sin 𝟗𝟎𝟎 =1
Sin 𝟏𝟖𝟎𝟎 =0
Thus, Unit of M = J/(Wb/m2)
= Jm2/Wb
Since 1 J = 1 Nm
Therefore, Unit of M = 1 Nm T-1
= 1 Nm/(Wb/m2)
= 1 Nm3 Wb-1
Since unit of pole strength = Am
Thus, Unit of M = (Am) m = Am2
Note----
(a) A freely suspended bar magnet in your laboratory experiences only torque
(rotational motion) but not any translatory motion even though Earth has
non-uniform magnetic field. It is because Earth’s magnetic field is
locally(physics laboratory)uniform.
(b)Suppose we keep a freely suspended bar magnet in a non-uniform magnetic
field. It will undergo translatory motion (net force) and rotational motion
(torque).
Work done on a Magnetic Dipole (Bar Magnet) in Uniform Magnetic
Field:
When a magnetic dipole of magnetic moment M is oriented in a magnetic field of
strength, B, making an angle ‘θ’.
With its lines of force, it experiences a torque τ given by
τ = mB sinθ
(m is the magnetic dipole moment of bar magnet and B the uniform magnetic field).
Due to the torque the bar magnet will undergo rotational motion.
Let dθ be the small angular displacement given to the dipole, work done dW is
given by
mB
mB
dθ
θ1
θ2
dW = τ dθ
= M B sin θ dθ
W = ∫ M B sin θ dθ
θ1
θ2
B
mB
mB
W = M B (cosθ1 - cos θ2)
mB
Magnetic potential energy
Potential energy of a magnetic dipole, in a magnetic field, is defined as the amount of work done in
rotating the dipole from zero potential energy position to any desired position.
It is convenient to choose the zero potential energy position to be the one when the dipole is at right
angles to the lines of force of magnetic field.
So, θ1 = 90º and θ2 = θ
we get,
Potential energy = W = MB (cos 90º – cos θ)
Or, W = U = – MB cosθ
In vector form,
𝑾 = 𝑼 = – 𝑴 .B
When a magnetic dipole of magnetic moment M is oriented in a magnetic field of strength, B, making
an angle ‘θ’.
With its lines of force, it experiences a torque τ given by
τ = mB sinθ
(m is the magnetic dipole moment of bar magnet and B the uniform magnetic field).
Due to the torque the bar magnet will undergo rotational motion.
Whenever a displacement (linear or angular) is taking place, work is being done.
Such work is stored in the form of potential energy in the new position .
W = M B (cosθ1 - cos θ2)
When the electric dipole is kept in the electric field the energy stored is the electrostatic
Potential energy.
Magnetic potential energy
W = U = M B (cosθ1 - cos θ2)
If Potential Energy is arbitrarily taken zero when the dipole is at 90°, then P.E in rotating the dipole
and inclining it at an angle θ is Potential Energy = - M B cos θ
dW = τ dθ
= M B sin θ dθ
W = M B ∫ sin θ dθ
θ2
θ1
Let us consider various positions of the magnet and find the potential energy in those
positions.
Case 1- When θ = 0°, cos 0 = 1
𝑼𝒎 = -mB
This is the position when m and B are parallel and bar magnet possess minimum potential
energy and is in the most stable state.
Case 2- When θ = 180°, cos180° = -1
𝑼𝒎 = mB.
This is the position when m and B are antiparallel and bar magnet posseses maximum
potential energy and thus is in the most unstable state.
Case 3- When θ = 90° , cos 90° = 0
𝑼𝒎 = 0
This is the position when bar magnet is aligned perpendicular to the direction of magnetic
field.
Note: The potential energy of the bar magnet is minimum when it is aligned
along the external magnetic field and maximum when the bar magnet is aligned
anti-parallel to external magnetic field.
Potential Energy can be taken zero arbitrarily at any position of the dipole.
Bar Magnet as an Equivalent Solenoid
The resemblance of magnetic field lines for a bar magnet and a solenoid suggest that a bar magnet
may be thought of as a large number of circulating currents in analogy with a solenoid.
One can test this analogy by moving a small compass needle in the neighbourhood of a bar magnet
and a current-carrying finite solenoid and noting that the deflections of the needle are similar in both
cases.
Cutting a bar magnet in half is like cutting a solenoid. We get two smaller solenoids with weaker
magnetic properties.
The field lines remain continuous, emerging from one face of the solenoid and entering into the
other face.
Magnetic field due to n turns at axis of solenoid
dB=
𝛍𝐨
ndxI𝐚𝟐
2](𝐫 −𝐱)𝟐 + 𝐚𝟐]
𝟑
𝟐
Ifr>>>l so r>>> x
B=
𝛍𝐨
ndxI𝐚𝟐
𝟐𝐫𝟑
Integrating x from -l to +I to get the magnitude of the total field
B=
𝛍𝐨
nI𝐚𝟐
𝟐𝐫𝟑 −l
+l
dx
And B=
𝛍𝐨
nI𝐚𝟐
𝟐𝐫𝟑 [ x] −l
+l n =
𝐍
𝟐𝐥
Therefore, B=
𝛍𝐨
nI𝐚𝟐
𝟐𝐫𝟑 [ l – (-l) ]
B=
𝛍𝐨
nI𝐚𝟐
𝟐𝐫𝟑 2l
On multiplying by 𝛑 in NRM and in DEM
B=
𝛍𝐨
nI𝛑𝐚𝟐
𝟐𝛑𝐫𝟑 2l
B=
𝛍𝐨 𝑴
𝟐𝛑𝐫𝟑 On multiplying by 𝟐 in NRM and in DEM
B=
𝛍𝐨 𝟐𝑴
𝟒𝛑𝐫𝟑
From the above expression, it is understood that the magnetic moment of a bar magnet is equal to
the magnetic moment of a solenoid.
M = NIA
= n2l I 𝛑𝐚𝟐
Solenoid can be used as electromagnet.
It produces strong magnetic field that can be turned ON or OFF. This is
not possible in case of permanent magnet.
The strength of the magnetic field can be increased by keeping iron bar
inside the solenoid.
The magnetic field of the solenoid magnetizes the iron bar and hence
the net magnetic field is the sum of magnetic field of the solenoid and
magnetic field of magnetised iron.
Because of these properties, solenoids are useful in designing variety
of electrical appliances.
Difference between a Bar Magnet and a Solenoid
•The bar magnet is a permanent magnet whereas a solenoid is an electromagnet ie, it acts as a
magnet only when an electric current is passed through.
•When a bar magnet is cut into two halves, both the pieces act as a magnet with the same magnetic
properties whereas when a solenoid is cut into two halves, they will have weaker fields.
•The poles of the bar magnet are fixed whereas for a solenoid the poles can be altered.
•The strength of the magnetic field of a bar magnet is fixed ie, unaltered whereas the strength of the
magnetic field of a solenoid depends on the electric current that is passed through it.
Similarities between a Bar Magnet and a Solenoid
•Bar magnet and solenoid both have attractive and directive properties ie, to align itself along the
external magnetic field.
•The magnetic field at the axial point is the same for both.
•The magnetic moment is the same for both.
A compass needle in external magnetic field ------
Suppose the bar magnet is suspended using in extensible string. we observe that the magnet
rotates through angle and then becomes stationary.
This happens because of the restoring torque in the string opposite to the deflecting torque.
Restoring torque
τ=m×B
The magnitude of this torque is given by
τ= mB sin𝜽.
Here τ is the restoring torque, and Ɵ is the angle between the direction of the magnetic
moment (m) and the direction of the magnetic field (B).
Deflecting torque τ = I𝜶
where I is moment of inertia of bar magnet and 𝜶 is the angular acceleration.
In equilibrium both the torques balance.
I𝜶 = - mB sin𝜽.
-ve sign is in restoring torque because of the restoring torque in the string opposite to the
deflecting torque.
𝜶 =
𝒅𝟐𝜽
d𝒕𝟐 𝜶 is the angular acceleration
The value of 𝜽 is very small in radians, we can approximate sin θ ≈ θ.
I
𝒅𝟐𝜽
d𝒕𝟐 = - mB 𝜽
𝒅𝟐𝜽
d𝒕𝟐 = -
mB 𝜽
𝑰
𝒅𝟐𝜽
d𝒕𝟐 = - ω𝟐𝜽
𝜶 = - ω𝟐𝜽
The above equation is a representation of a simple harmonic motion and the angular
frequency can be given as,
ω𝟐
=
mB
𝑰
ω =
mB
𝑰
The time period of (SHM)angular oscillations of the bar magnet will be
T =
𝟐𝝅
ω
T =
𝟐𝝅
mB
𝑰
T = 𝟐𝝅
𝑰
mB
T𝟐
= 𝟒𝝅𝟐 𝑰
mB
B =
𝟒𝝅𝟐𝑰
mT
𝟐
If we know , magnetic moment time period and moment of inertia we can find
out the magnetic field induction using a magnetic compass needle.
The expression for magnetic potential energy is derived in the same manner as we derive the
electrostatic potential energy as can be seen below.
The magnetic potential energy Um can be given by
Um =∫τ(θ)dθ
= ∫mBsinθ
=−mBcosθ
=−m.B
Atom as Magnetic Dipole
In an atom, an electron revolves around the nucleus.
The orbit of electron behaves like a current loop of current which has a definite magnetic dipole
moment associated with it.
Let us consider an electron that is revolving around in a circle of radius r with a velocity v .
The charge of the electron is e and its mass is m, both of which are constant. The time period T of the
electrons’ orbit is:
T = Circumference
Velocity
T =
2πr
𝒗
T =
2π
𝝎
angular velocity ω = rv
The current i due to the motion of the electron is the charge flowing through that time period,
i =
q
T
q = -e and T =
2π
𝝎
i =
−e
2πr
𝝎
The current is in the opposite direction as the electron is negatively charged.
The magnetic moment μ𝒍 of electron due to its orbital motion is the product of current (i) and an area
A is
Magnetic moment of an electron
μ𝒍 = i A
Where i =
e
2π
𝝎
and A = 𝝅 𝒓𝟐
μ𝒍 =
e
2π
𝝎
𝝅 𝒓𝟐
μ𝒍 =
e𝝎
𝟐
𝒓𝟐
μ𝒍 =
−e𝝎
𝟐𝒎
m 𝒓𝟐
According to Bohrs theory
m 𝒓𝟐 𝝎 =
𝒏𝒉
2π
𝒓𝟐 𝝎 =
𝒏𝒉
μ𝒍 =
e
𝟐
𝒏𝒉
2πm
μ𝒍 =
e𝒏𝒉
4πm
Where n=1,2,3,4,……..
e𝒉
4πm
is the least value of the magnetic moment.
It is called the Bohr magneton μ𝑩
μ𝑩 =
e𝒉
4πm
= 9.27 × 10−27 J⁄T
μ𝒍 =
e𝝎
𝟐
𝒓𝟐
Angular momentum of electron
L =mvr
= m 𝒓𝟐 𝝎
μ𝒍 =
e
𝟐𝒎
L
μ𝒍
𝑳
=
e
𝟐𝒎
μ𝒍
𝑳
is called gyromagnetic ratio or magneto-mechanical ratio of an electron.
For an electron revolving in an atom, the angular momentum is quantized as proposed by Niels
Bohr.
The angular momentum is given by:
L = n
h
2π
, n = 0, ±1, ±2 …
μ𝑺
𝑺
=
e
𝒎
where S is spin angular momentum
gyromagnetic ratio or magneto-mechanical ratio of an electron due to its spin is twice yhat its value
due to orbital motion.
μ𝑺
𝑺
= 2
μ𝒍
𝑳
Total magnetic moment of an electron μ is the vector sum of its orbital and spin magnetic
moment.
μ = μ𝒍 + μ𝑺 μ increase with increase of v and 𝝎

Earths magnetism part 1

  • 1.
    Earth's Magnetism Part 1 Class12th Priyanka jakhar Physics lecturer
  • 2.
    MAGNETISM 1. Bar Magnetand its properties 2. Current Loop as a Magnetic Dipole and Dipole Moment 3. Current Solenoid equivalent to Bar Magnet 4. Bar Magnet and it Dipole Moment 5. Coulomb’s Law in Magnetism 6. Important Terms in Magnetism 7. Magnetic Field due to a Magnetic Dipole 8. Torque and Work Done on a Magnetic Dipole
  • 4.
    Natural Magnet-- Anatural magnet is an ore of iron (Fe3O4), which attracts small pieces of iron, cobalt and nickel towards it. Magnetite or lode stone is a natural magnet. Artificial Magnet-- A magnet which is prepared artificially is called an artificial magnet. e.g., a bar magnet, an electromagnet, a magnetic needle, a horse-shoe magnet etc. According to molecular theory, every molecular of magnetic substance (whether magnetised or not) is a complete magnet itself. The poles of a magnet are the two points near but within the ends of the magnet, at which the entire magnetism can be assumed to be concentrated. The poles always occur in pairs and they are of equal strength. Like poles repel and unlike poles attract.
  • 5.
    Magnetic fields aroundplanets behave in the same way as a bar magnet. But at high temperatures, metals lose their magnetic properties. So it’s clear that Earth’s hot iron core isn’t what creates the magnetic field around our planet. Instead, Earth’s magnetic field is caused by a dynamo effect. The effect works in the same way as a dynamo light on a bicycle. Magnets in the dynamo start spinning when the bicycle is pedalled, creating an electric current. The electricity is then used to turn on the light. Uniform magnetic field Magnetic field is said to be uniform if it has same magnitude and direction at all the points in a given region. Example, locally Earth’s magnetic field is uniform. The magnetic field of Earth has same value over the entire area of your school.
  • 6.
    Non-uniform magnetic field Magneticfield is said to be non-uniform if the magnitude or direction or both varies at all its points. Example: magnetic field of a bar magnet.
  • 7.
    Representation of UniformMagnetic Field: x x x x x x x x x x x x x x x x x x x x x x x x x Uniform field on the plane of the diagram Uniform field perpendicular & into the plane of the diagram Uniform field perpendicular & emerging out of the plane of the diagram
  • 8.
    Magnetic field lines 1.Magnetic field lines are continuous closed curves. 2. The direction of magnetic field lines is from North pole to South pole outside the magnet and from South pole to North pole inside the magnet. 3. The direction of magnetic field at any point on the curve is known by drawing tangent to the magnetic field lines at that point. 4. Magnetic field lines never intersect each other. Otherwise, the magnetic compass needle would point towards two different directions, which is not possible. 5. The degree of closeness of the field lines determines the relative strength of the magnetic field. 6. The magnetic field is strong where magnetic field lines crowd and weak where magnetic field lines are well separated.
  • 9.
    Magnetism: - Phenomenonof attracting magnetic substances like iron, nickel, cobalt, etc. •A body possessing the property of magnetism is called a magnet. •A magnetic pole is a point near the end of the magnet where magnetism is concentrated. •Earth is a natural magnet. •The region around a magnet in which it exerts forces on other magnets and on objects made of iron is a magnetic field. Properties of a bar magnet: 1. A freely suspended magnet aligns itself along North – South direction. 2. Unlike poles attract and like poles repel each other.
  • 10.
    3. Magnetic polesalways exist in pairs. i.e. Poles can not be separated. 4. A magnet can induce magnetism in other magnetic substances. 5. It attracts magnetic substances. Repulsion is the surest test of magnetisation: A magnet attracts iron rod as well as opposite pole of other magnet. Therefore it is not a sure test of magnetisation. But, if a rod is repelled with strong force by a magnet, then the rod is surely magnetised. Note---- Many birds and animals have magnetic sense in their eyes using Earth’s magnetic field for navigation.
  • 11.
    I B Current Loop asa Magnetic Dipole & Dipole Moment: Magnetic Dipole Moment is M = A SI unit is A m2. It is a vector quantity. When we look at any one side of the loop carrying current, if the current is in anti- clockwise direction then that side of the loop behaves like Magnetic North Pole . If the current is in clockwise direction then that side of the loop behaves like Magnetic South Pole. I 𝐴
  • 12.
    I I x x x x x x x B CurrentSolenoid as a Magnetic Dipole or Bar Magnet:
  • 13.
    • Magnetic Dipole& Dipole Moment: • A pair of magnetic poles of equal and opposite strengths separated by a finite distance is called a magnetic dipole. • The magnitude of dipole moment is the product of the pole strength m and the separation 2l between the poles. • SI unit of pole strength is A.m • The direction of the dipole moment is from South pole to North Pole along the axis of the magnet. Magnetic Dipole Moment is M = m.2l. l
  • 14.
    (i) Pole strengthis a scalar quantity (ii)with dimension [𝑴𝒐 L 𝑻𝒐 A]. (iii)Its SI unit is N 𝑻−𝟏 (newton per tesla) or A m (ampere-metre). (iv) Like positive and negative charges in electrostatics, north pole of a magnet experiences a force in the direction of magnetic field while south pole of a magnet experiences force opposite to the magnetic field. (v)Pole strength depends on the nature of materials of the magnet, area of cross section and the state of magnetization. (vi)If a magnet is cut into two equal halves along the length then pole strength is reduced to half. (vii)If a magnet is cut into two equal halves perpendicular to the length, then pole strength remains same. (viii)If a magnet is cut into two pieces, we will not get separate north and south poles. Instead, we get two magnets. (ix)In other words, isolated monopole does not exist in nature. Pole strength --- Denoted by 𝒒𝒎 or m .
  • 15.
    (a) a barmagnet cut into two pieces along its length: 𝒒𝒎 is pole strength . 2l is length. 𝑷𝒎 = 𝒒𝒎 × 𝟐𝒍 When the bar magnet is cut along the axis into two pieces, new magnetic pole strength is 𝒒′𝒎 = 𝒒𝒎 2 but magnetic length does not change. So, the magnetic moment is 𝑷′𝒎 = 𝒒𝒎 2 × 𝟐𝒍 =𝒒𝒎𝒍 = 𝑷𝒎 2 (b) a bar magnet cut into two pieces perpendicular to the axis: When the bar magnet is cut perpendicular to the axis into two pieces, magnetic pole strength will not change . but magnetic length will be halved. (𝒍) So the magnetic moment is 𝑷′𝒎 = 𝒒𝒎 × 𝟐𝒍 2 = 𝒒𝒎𝒍 = 𝑷𝒎 2
  • 16.
    Magnetic length ---Thedistance between the two poles of a bar magnet is called the magnetic length of the magnet. The ratio of magnetic length and geometrical length is nearly 0.84. It is a vector. Direction S-pole to N-pole Magnetic length Geometrical length = 5 6 Magnetic length is always slightly smaller than. Geographic length--- The distance between the ends of the magnet is called the geometrical length of the magnet. Axis of a magnetic dipole--- A straight line passing through magnetic poles of a magnetic dipole is called axis of a magnetic dipole. S N P P Magnetic Length Geographic Length M
  • 17.
    Coulomb’s Law inMagnetism: The force of attraction or repulsion between two magnetic poles is directly proportional to the product of their pole strengths and inversely proportional to the square of the distance between them. m1 m2 r F α m1 m2 α r2 F = μ0 m1 m2 4π r2 F = k m m 1 2 r2 or (where k = μ0 / 4π is a constant and μ0 = 4π x 10-7 T mA-1) In vector form μ0 m1 m2 r F = 4π r2 μ0 m1 m2 r F = 4π r3
  • 18.
    Gauss’ law inmagnetism ---- For any closed surface, the number of lines entering that surface is equal to the number of lines leaving it. That means the net flux is zero. This is called Gauss' s law in magnetism. Gauss's Law for magnetism tells us that magnetic monopoles do not exist. If magnetic monopoles existed, they would be sources and sinks of the magnetic field, and therefore the right-hand side could differ from zero. a) Gauss' Law for magnetism applies to the magnetic flux through a closed surface. In this case the area vector points out from the surface. Because magnetic field lines are continuous loops, all closed surfaces have as many magnetic field lines going in as coming out. Hence, the net magnetic flux through a closed surface is zero. Net flux ∅ = 𝑩 . 𝒅𝑨 = 𝟎 b) Gauss' Law for electrostatics is a very useful method for calculating electric fields in highly symmetric situations.
  • 19.
    Gauss' Law formagnetism is considerably less useful. c) There is a difference in both laws because the magnetic field-lines behave in a quite different manner to electric field-lines, which begin on positive charges , end on negative charges, and never form closed loops. Incidentally, the statement that electric field-lines never form closed loops. The work done in taking an electric charge around a closed loop is always zero. This clearly cannot be true if it is possible to take a charge around the path of a closed electric field-line. Gauss’s theorem in magnetism establishes that: •isolated magnetic poles do not exist. •magnetic poles always exist in pairs. •in magnetism, there is no counterpart of free charge in electricity
  • 20.
    Magnetic Intensity orMagnetising force (H) or Magnetising field ----The magnetic field which is used to magnetize a sample or specimen is called the magnetising field. The degree up to which a magnetic field can magnetise a material is defined in terms of magnetic intensity. i) Magnetic Intensity at a point is the force experienced by a north pole of unit pole strength placed at that point due to pole strength of the given magnet. H = B / 𝝁𝟎 ii) It is also defined as the magnetomotive force per unit length. iii) It can also be defined as the degree or extent to which a magnetic field can magnetise a substance. iv) It can also be defined as the force experienced by a unit positive charge flowing with unit velocity in a direction normal to the magnetic field. v) It can also be defined as the product of n and I . H = n i
  • 21.
    iv)Its SI unitis ampere-turns per linear meter or A/m. v) Its cgs unit is oersted. vi)It is a vector quantity. vii) Dimension is [M𝟎 𝑳−𝟏 𝑻𝟎 𝑨𝟏 ]. viii) Also called Magnetising Force and magnetic field strength. Magnetic Field Strength or Magnetic Field or Magnetic Induction or Magnetic Flux Density (B): i) Magnetic Flux Density is the number of magnetic lines of force passing normally through a unit area of a substance. B = 𝝁𝟎 H ii) Its SI unit is weber-m-2 or Tesla (T). iii)Its cgs unit is gauss. iv)1 gauss = 10- 4 Tesla
  • 22.
    Magnetic Flux (Φ): i)It is defined as the number of magnetic lines of force passing normally through a surface. ii) Its SI unit is weber. 𝚽𝑩 = 𝑩 . 𝑨 𝚽𝑩 = BA cosθ iii) which is denoted by symbol Wb. iv) Dimensional formula for magnetic flux is [ M L𝟐 T−𝟐 A−𝟏 ] . v) The CGS unit of magnetic flux is maxwell. 1 weber = 1𝟎𝟖 maxwell Special cases (a)When 𝑩 is normal to the surface i.e., θ = 𝟎𝟎 , the magnetic flux is 𝜱𝑩 = BA (maximum). (b) When 𝑩 is parallel to the surface i.e., θ = 9𝟎𝟎 , the magnetic flux is 𝚽𝑩 = 0. Suppose the magnetic field is not uniform over the surface, 𝚽𝑩 = 𝑩 . d 𝑨
  • 23.
    Relation between Band H: B = μ H (where μ is the permeability of the medium) Magnetic Permeability (μ and μ0): The magnetic permeability is the measure of ability of the material to allow the passage of magnetic field lines through it . or measure of the capacity of the substance to take magnetization. or the degree of penetration of magnetic field through the substance. In free space, the permeability (or absolute permeability) is denoted by μ0 and for any other medium it is denoted by µ It is the degree or extent to which magnetic lines of forcecan pass enter a substance.
  • 24.
    For medium μ= 𝑩 𝑯 For vacuum μ0 = 𝑩𝟎 𝑯𝟎 It is a scalar quantity. Its unit Its dimension [ M LT−𝟐 A−𝟐 ] Total magnetic induction (B) ------Magnetic induction or total magnetic field --- When a substance like soft iron bar is placed in a uniform magnetising field H, the substance gets magnetised. The magnetic induction (total magnetic field) inside the specimen. B is equal to the sum of the magnetic field 𝑩𝟎 produced in vacuum due to the magnetising field and the magnetic field 𝑩𝒎 due to the induced magnetism of Its SI unit is T m A-1 or wb A-1 m-1 or NA−𝟐
  • 25.
    the substance. Let usconsider a solenoid with n no of turns per unit length Carrying a current I. Magnetic induction inside the empty solenoid B𝟎. When the solenoid is filled by a magnetic core. Then total magnetic field or induction is
  • 28.
    Relative Magnetic Permeability(μr): It is the ratio of magnetic flux density in a material to that in vacuum. It can also be defined as the ratio of absolute permeability of the material to that in vacuum. μr = B / B0 or μr = μ / μ0 . It is a scalar quantity. It is unitless. It is dimensionless quantity. Value of μr is always +ve .For vacuum μr = 1 μr < 1 for diamagnetic material. μr > 1 for paramagnetic material. μr >> 1 for ferromagnetic material.
  • 29.
    Intensity of Magnetisation:(I): i) It is the degree to which a substance is magnetised when placed in a magnetic field. ii) It can also be defined as the magnetic dipole moment (M) acquired per unit volume of the substance (V). iii)It can also be defined as the pole strength (m) per unit cross-sectional area (A) of the substance. iv) I = M V v) for a bar magnet the intensity of magnetisation can be defined as the pole strength per unit area (face area). vi)I = m (2l) A (2l) = m A vii) SI unit of Intensity of Magnetisation is Am-1. viii) It is a vector quantity. ix) Dimension is [M𝟎 𝑳−𝟏 𝑻𝟎 𝑨𝟏.]
  • 30.
    Magnetic Susceptibility (χm): Themagnetic susceptibility measures how easily and how strongly a material can be magnetized. It is the property of the substance which shows how easily a substance can be magnetised. i) It can also be defined as the ratio of intensity of magnetisation (I) in a substance to the magnetic intensity (H) applied to the substance. ii) Χm = I H iii) Susceptibility has no unit. Iv) It is a dimensionless quantity. v) It is a scalar quantity. vi)The substance having I and H in same direction , value of is χ +ve. vii)The substance having I and H in opposite direction , value of is χ -ve.
  • 31.
    ix)In vacuum I= 0 ,therefore χ = 0 Relation between Magnetic Permeability (μr) & Susceptibility (χ ): μr = 1 + χ A magnetic material placed in a magnetizing field of magnetizing intensity H, the material gets magnetized. Total magnetic induction B in the material is the sum of the magnetic induction Bo in vacuum produced by the magnetic intensity and magnetic induction Bm, due to magnetization of the material, therefore, B = Bo + Bm Now, Bo = μo H and Bm = μo I, where I is the intensity of magnetization induced in the magnetic material. So, B = μo (H + I) We know that, B = μ H and I = χ H By combining above relation 𝝁 𝝁𝒐 = 1+ χ μr = 1+ χ
  • 32.
    Magnetic Field dueto a Magnetic Dipole (Bar Magnet): i) At a point on the axial line of the magnet Let NS be a bar magnet of magnetic length 2l and having each pole of magnetic strength m . O is the center of magnet and P is a point on axial line at a distance r from the center O of magnet , at which magnetic field has to be measured . The magnetic field 𝑩𝑵 at P due to N pole of magnet , 𝑩𝑵 ​= μ0 m 4π𝑵𝑷𝟐 or 𝑩𝑵 ​= μ0 2m 4π(r−l)𝟐 (along PX) .......................eq1 And , the magnetic field 𝑩𝑺 at P due to S pole of magnet , 𝑩𝑺 ​= μ0 m 4π𝐒𝐏𝟐 or 𝑩𝑺 ​= μ0 2m 4π(r+l)𝟐 (along PS) ......................eq2 Therefore , resultant magnetic field at point P , B = 𝑩𝑵 - 𝑩𝑺 l BN l B = 𝑩𝑵 - 𝑩𝑺 BS O S N M r P o
  • 33.
    It is clearfrom eq1 and eq2 that 𝑩𝑵​> 𝑩𝑺 ,therefore the direction of B will be along PX . or B=[ μ0 2m 4π(r−l)𝟐 ​− μ0 2m 4π(r+l)𝟐 ] (alongPX) B= μ0 2m 4π [ 𝟏 (r−l)𝟐 ​− 𝟏 (r+l)𝟐 ] (along PX) B= μ0 2m 4π [ (r+l)𝟐−(r−l)𝟐 (r−l)𝟐(r+l)𝟐 ] (along PX) B= μ0 2m 4π [ r𝟐+l𝟐+𝟐𝒓𝒍 −(r𝟐+l𝟐−𝟐𝒓𝒍 ) (r−l)𝟐(r+l)𝟐 ] (along PX) B= μ0 2m 4π [ 𝟒𝒓𝒍 (r−l)𝟐(r+l)𝟐 ] (along PX) B= μ0 2m 4π [ 𝟒𝒓𝒍 (r𝟐− l𝟐)𝟐 ] (along PX) (r−l)𝟐(r+l)𝟐 = (r−l) (r−l) (r+l) (r+l) = (r𝟐− l𝟐)𝟐
  • 34.
    μ0 2 Mr 4π (r2 – l2)2 If l << r, then BP ≈ μ0 2 M 4πr3 BP = Magnetic Field at a point on the axial line acts along the dipole moment vector. (along PX)
  • 35.
    l BS BN r P θ θ ii) At apoint on the equatorial line of the magnet: NS is the bar magnet of length 2l and pole strength m. P is a point on the equatorial line at a distance r from its mid point O Magnetic induction (B1) at P due to north pole of the magnet, BN = μ02 m 4π𝑵𝑷𝟐 along NP = μ02 m 4π(𝒓𝟐+𝒍𝟐) along NP NP2 = NO2 + OP2 Magnetic induction (B2) at P due to south pole of the magnet, BS = μ02 m 4πPS𝟐 along PS = μ02 m 4π (𝒓𝟐+𝒍𝟐) along PS SP2 = SO2 + OP2 l l l θ θ O S M N T BS BN T θ θ O S M N
  • 36.
    Resolving BN andBS into their horizontal and vertical components. Vertical components BN sin θ and BS sin θ are equal and opposite and therefore cancel each other . The horizontal components BN cos θ and BS cos θ will get added along PT. Resultant magnetic induction at P due to the bar magnet is B = BN cos θ + BS cos θ. (along PT) After apply BN and BS B = μ0 2m 4π(𝒓𝟐+𝒍𝟐) cos θ + μ0 2m 4π(𝒓𝟐+𝒍𝟐) cos θ B = μ0 2m 4π(𝒓𝟐+𝒍𝟐) cos θ [ 1 + 1 ] B = μ0 2m 4π(𝒓𝟐+𝒍𝟐) 𝒓 (𝒓𝟐+𝒍𝟐)𝟏/𝟐 BN θ θ T BS BN cos θ BS cos θ BS sin θ BN sin θ l BS BN r P θ θ l l l θ θ O S M N T BS BN T θ θ O S M N cos θ = 𝒓 (𝒓𝟐+𝒍𝟐)𝟏/𝟐
  • 37.
    μ0 M 4π (𝒓𝟐 +𝒍𝟐 )3/2 Ifl << r, then BP ≈ μ0 M 4π r3 BP = The direction of B is along PT parallel to NS. Magnetic Field at a point on the equatorial line acts opposite to the dipole moment vector. Note----- that magnitude of Baxial is twice that of magnitude of Bequatorial and the direction of Baxial and Bequatorial are opposite.
  • 39.
    Torque on aMagnetic Dipole (Bar Magnet) in Uniform Magnetic Field The force on a magnetic dipole is because of both the poles of the magnet, and we consider the magnetic dipole of a bar magnet •Fm = mB which is along with the magnetic field B = Force on the N-pole •Fm = mB and this is opposite to magnetic field B = Force on the S-pole The forces of magnitude mB act opposite to each other and hence net force acting on the bar magnet due to external uniform magnetic field is zero. So, there is no translational motion of the magnet. However the forces are along different lines of action and constitute a couple. Hence the magnet will rotate and experience torque. Torque = Magnetic Force x distance τ = Moment of the couple. τ = mB × 2L sin θ Where θ is the angle between length of the magnet and the magnetic field, M = m x 2L B θ 2l mB M N S mB
  • 40.
    B : θ B M θ 2l mB mB M N S Thus, magnetic dipolemoment is τ = MB sin θ In vector form, as τ = 𝑴 × 𝑩 Direction of Torque is perpendicular and into the plane containing 𝑴 and 𝑩 . Cases : (i) when magnet is suspended along direction of magnetic field, then 𝜽= 𝟎𝟎 τ = MB sin θ τ = MB sin 𝟎𝟎 τ = 0 (ii) when magnet is suspended at angle 300 with magnetic field, then 𝜽 = 𝟑𝟎𝟎 τ = MB sin θ τ = MB sin 3𝟎𝟎 Sin 𝟎𝟎 =0 Sin 𝟑𝟎𝟎 =1/2
  • 41.
    (iii) when magnetis making 900 with magnetic field, then 𝜽 = 𝟗𝟎𝟎 τ = MB sin θ τ = MB sin 9𝟎𝟎 τ = 𝑴𝑩 In this case torque is maximum (iv) when magnet is making 1800 with magnetic field, then 𝜽 = 𝟏𝟖𝟎𝟎 τ = MB sin θ τ = MB sin 1𝟖𝟎𝟎 τ = 𝟎 Units of M can be obtained from the relation τ = MB sin θ So, M = τ /B sin θ Therefore, M can be measured in terms of joule per tesla (JT-1) or (NmT-1) Since ,1 tesla = Wb/m2 Sin 𝟗𝟎𝟎 =1 Sin 𝟏𝟖𝟎𝟎 =0
  • 42.
    Thus, Unit ofM = J/(Wb/m2) = Jm2/Wb Since 1 J = 1 Nm Therefore, Unit of M = 1 Nm T-1 = 1 Nm/(Wb/m2) = 1 Nm3 Wb-1 Since unit of pole strength = Am Thus, Unit of M = (Am) m = Am2 Note---- (a) A freely suspended bar magnet in your laboratory experiences only torque (rotational motion) but not any translatory motion even though Earth has non-uniform magnetic field. It is because Earth’s magnetic field is locally(physics laboratory)uniform. (b)Suppose we keep a freely suspended bar magnet in a non-uniform magnetic field. It will undergo translatory motion (net force) and rotational motion (torque).
  • 43.
    Work done ona Magnetic Dipole (Bar Magnet) in Uniform Magnetic Field: When a magnetic dipole of magnetic moment M is oriented in a magnetic field of strength, B, making an angle ‘θ’. With its lines of force, it experiences a torque τ given by τ = mB sinθ (m is the magnetic dipole moment of bar magnet and B the uniform magnetic field). Due to the torque the bar magnet will undergo rotational motion. Let dθ be the small angular displacement given to the dipole, work done dW is given by mB mB dθ θ1 θ2 dW = τ dθ = M B sin θ dθ W = ∫ M B sin θ dθ θ1 θ2 B mB mB W = M B (cosθ1 - cos θ2) mB
  • 44.
    Magnetic potential energy Potentialenergy of a magnetic dipole, in a magnetic field, is defined as the amount of work done in rotating the dipole from zero potential energy position to any desired position. It is convenient to choose the zero potential energy position to be the one when the dipole is at right angles to the lines of force of magnetic field. So, θ1 = 90º and θ2 = θ we get, Potential energy = W = MB (cos 90º – cos θ) Or, W = U = – MB cosθ In vector form, 𝑾 = 𝑼 = – 𝑴 .B When a magnetic dipole of magnetic moment M is oriented in a magnetic field of strength, B, making an angle ‘θ’. With its lines of force, it experiences a torque τ given by
  • 45.
    τ = mBsinθ (m is the magnetic dipole moment of bar magnet and B the uniform magnetic field). Due to the torque the bar magnet will undergo rotational motion. Whenever a displacement (linear or angular) is taking place, work is being done. Such work is stored in the form of potential energy in the new position . W = M B (cosθ1 - cos θ2) When the electric dipole is kept in the electric field the energy stored is the electrostatic Potential energy. Magnetic potential energy W = U = M B (cosθ1 - cos θ2) If Potential Energy is arbitrarily taken zero when the dipole is at 90°, then P.E in rotating the dipole and inclining it at an angle θ is Potential Energy = - M B cos θ dW = τ dθ = M B sin θ dθ W = M B ∫ sin θ dθ θ2 θ1
  • 46.
    Let us considervarious positions of the magnet and find the potential energy in those positions. Case 1- When θ = 0°, cos 0 = 1 𝑼𝒎 = -mB This is the position when m and B are parallel and bar magnet possess minimum potential energy and is in the most stable state. Case 2- When θ = 180°, cos180° = -1 𝑼𝒎 = mB. This is the position when m and B are antiparallel and bar magnet posseses maximum potential energy and thus is in the most unstable state. Case 3- When θ = 90° , cos 90° = 0 𝑼𝒎 = 0 This is the position when bar magnet is aligned perpendicular to the direction of magnetic field. Note: The potential energy of the bar magnet is minimum when it is aligned along the external magnetic field and maximum when the bar magnet is aligned anti-parallel to external magnetic field. Potential Energy can be taken zero arbitrarily at any position of the dipole.
  • 47.
    Bar Magnet asan Equivalent Solenoid The resemblance of magnetic field lines for a bar magnet and a solenoid suggest that a bar magnet may be thought of as a large number of circulating currents in analogy with a solenoid. One can test this analogy by moving a small compass needle in the neighbourhood of a bar magnet and a current-carrying finite solenoid and noting that the deflections of the needle are similar in both cases. Cutting a bar magnet in half is like cutting a solenoid. We get two smaller solenoids with weaker magnetic properties. The field lines remain continuous, emerging from one face of the solenoid and entering into the other face. Magnetic field due to n turns at axis of solenoid dB= 𝛍𝐨 ndxI𝐚𝟐 2](𝐫 −𝐱)𝟐 + 𝐚𝟐] 𝟑 𝟐 Ifr>>>l so r>>> x B= 𝛍𝐨 ndxI𝐚𝟐 𝟐𝐫𝟑
  • 48.
    Integrating x from-l to +I to get the magnitude of the total field B= 𝛍𝐨 nI𝐚𝟐 𝟐𝐫𝟑 −l +l dx And B= 𝛍𝐨 nI𝐚𝟐 𝟐𝐫𝟑 [ x] −l +l n = 𝐍 𝟐𝐥 Therefore, B= 𝛍𝐨 nI𝐚𝟐 𝟐𝐫𝟑 [ l – (-l) ] B= 𝛍𝐨 nI𝐚𝟐 𝟐𝐫𝟑 2l On multiplying by 𝛑 in NRM and in DEM B= 𝛍𝐨 nI𝛑𝐚𝟐 𝟐𝛑𝐫𝟑 2l B= 𝛍𝐨 𝑴 𝟐𝛑𝐫𝟑 On multiplying by 𝟐 in NRM and in DEM B= 𝛍𝐨 𝟐𝑴 𝟒𝛑𝐫𝟑 From the above expression, it is understood that the magnetic moment of a bar magnet is equal to the magnetic moment of a solenoid. M = NIA = n2l I 𝛑𝐚𝟐
  • 49.
    Solenoid can beused as electromagnet. It produces strong magnetic field that can be turned ON or OFF. This is not possible in case of permanent magnet. The strength of the magnetic field can be increased by keeping iron bar inside the solenoid. The magnetic field of the solenoid magnetizes the iron bar and hence the net magnetic field is the sum of magnetic field of the solenoid and magnetic field of magnetised iron. Because of these properties, solenoids are useful in designing variety of electrical appliances.
  • 50.
    Difference between aBar Magnet and a Solenoid •The bar magnet is a permanent magnet whereas a solenoid is an electromagnet ie, it acts as a magnet only when an electric current is passed through. •When a bar magnet is cut into two halves, both the pieces act as a magnet with the same magnetic properties whereas when a solenoid is cut into two halves, they will have weaker fields. •The poles of the bar magnet are fixed whereas for a solenoid the poles can be altered. •The strength of the magnetic field of a bar magnet is fixed ie, unaltered whereas the strength of the magnetic field of a solenoid depends on the electric current that is passed through it. Similarities between a Bar Magnet and a Solenoid •Bar magnet and solenoid both have attractive and directive properties ie, to align itself along the external magnetic field. •The magnetic field at the axial point is the same for both. •The magnetic moment is the same for both.
  • 51.
    A compass needlein external magnetic field ------ Suppose the bar magnet is suspended using in extensible string. we observe that the magnet rotates through angle and then becomes stationary. This happens because of the restoring torque in the string opposite to the deflecting torque. Restoring torque τ=m×B The magnitude of this torque is given by τ= mB sin𝜽. Here τ is the restoring torque, and Ɵ is the angle between the direction of the magnetic moment (m) and the direction of the magnetic field (B). Deflecting torque τ = I𝜶 where I is moment of inertia of bar magnet and 𝜶 is the angular acceleration. In equilibrium both the torques balance. I𝜶 = - mB sin𝜽. -ve sign is in restoring torque because of the restoring torque in the string opposite to the deflecting torque. 𝜶 = 𝒅𝟐𝜽 d𝒕𝟐 𝜶 is the angular acceleration
  • 52.
    The value of𝜽 is very small in radians, we can approximate sin θ ≈ θ. I 𝒅𝟐𝜽 d𝒕𝟐 = - mB 𝜽 𝒅𝟐𝜽 d𝒕𝟐 = - mB 𝜽 𝑰 𝒅𝟐𝜽 d𝒕𝟐 = - ω𝟐𝜽 𝜶 = - ω𝟐𝜽 The above equation is a representation of a simple harmonic motion and the angular frequency can be given as, ω𝟐 = mB 𝑰 ω = mB 𝑰 The time period of (SHM)angular oscillations of the bar magnet will be T = 𝟐𝝅 ω
  • 53.
    T = 𝟐𝝅 mB 𝑰 T =𝟐𝝅 𝑰 mB T𝟐 = 𝟒𝝅𝟐 𝑰 mB B = 𝟒𝝅𝟐𝑰 mT 𝟐 If we know , magnetic moment time period and moment of inertia we can find out the magnetic field induction using a magnetic compass needle. The expression for magnetic potential energy is derived in the same manner as we derive the electrostatic potential energy as can be seen below. The magnetic potential energy Um can be given by Um =∫τ(θ)dθ = ∫mBsinθ =−mBcosθ =−m.B
  • 54.
    Atom as MagneticDipole In an atom, an electron revolves around the nucleus. The orbit of electron behaves like a current loop of current which has a definite magnetic dipole moment associated with it. Let us consider an electron that is revolving around in a circle of radius r with a velocity v . The charge of the electron is e and its mass is m, both of which are constant. The time period T of the electrons’ orbit is: T = Circumference Velocity T = 2πr 𝒗 T = 2π 𝝎 angular velocity ω = rv The current i due to the motion of the electron is the charge flowing through that time period, i = q T q = -e and T = 2π 𝝎 i = −e 2πr 𝝎
  • 55.
    The current isin the opposite direction as the electron is negatively charged. The magnetic moment μ𝒍 of electron due to its orbital motion is the product of current (i) and an area A is Magnetic moment of an electron μ𝒍 = i A Where i = e 2π 𝝎 and A = 𝝅 𝒓𝟐 μ𝒍 = e 2π 𝝎 𝝅 𝒓𝟐 μ𝒍 = e𝝎 𝟐 𝒓𝟐 μ𝒍 = −e𝝎 𝟐𝒎 m 𝒓𝟐 According to Bohrs theory m 𝒓𝟐 𝝎 = 𝒏𝒉 2π 𝒓𝟐 𝝎 = 𝒏𝒉
  • 56.
    μ𝒍 = e 𝟐 𝒏𝒉 2πm μ𝒍 = e𝒏𝒉 4πm Wheren=1,2,3,4,…….. e𝒉 4πm is the least value of the magnetic moment. It is called the Bohr magneton μ𝑩 μ𝑩 = e𝒉 4πm = 9.27 × 10−27 J⁄T μ𝒍 = e𝝎 𝟐 𝒓𝟐 Angular momentum of electron L =mvr = m 𝒓𝟐 𝝎 μ𝒍 = e 𝟐𝒎 L
  • 57.
    μ𝒍 𝑳 = e 𝟐𝒎 μ𝒍 𝑳 is called gyromagneticratio or magneto-mechanical ratio of an electron. For an electron revolving in an atom, the angular momentum is quantized as proposed by Niels Bohr. The angular momentum is given by: L = n h 2π , n = 0, ±1, ±2 … μ𝑺 𝑺 = e 𝒎 where S is spin angular momentum gyromagnetic ratio or magneto-mechanical ratio of an electron due to its spin is twice yhat its value due to orbital motion. μ𝑺 𝑺 = 2 μ𝒍 𝑳 Total magnetic moment of an electron μ is the vector sum of its orbital and spin magnetic moment. μ = μ𝒍 + μ𝑺 μ increase with increase of v and 𝝎