Law of
Exponents
Donna G. Bautista
BSEd 4-C
ExponentsExponents
{ 3
5Power
base
exponent
3 3
means that is the exponential
form of t
Example:
he number
125 5 5
.125
=
53
means 3 factors of 5 or 5 x 5 x 5
The Laws of Exponents:The Laws of Exponents:
#1: Exponential form: The exponent of a power indicates
how many times the base multiplies itself.
n
n times
x x x x x x x x
−
= × × ×××× × × ×144424443
3
Example: 5 5 5 5= × ×
n factors of x
#2: Multiplying Powers: If you are multiplying Powers
with the same base, KEEP the BASE & ADD the EXPONENTS!
m n m n
x x x +
× =
So, I get it!
When you
multiply
Powers, you
add the
exponents!
512
2222 93636
=
==× +
#3: Dividing Powers: When dividing Powers with the
same base, KEEP the BASE & SUBTRACT the EXPONENTS!
m
m n m n
n
x
x x x
x
−
= ÷ =
So, I get it!
When you
divide
Powers, you
subtract the
exponents!
16
22
2
2 426
2
6
=
== −
Try these:
=× 22
33.1
=× 42
55.2
=× 25
.3 aa
=× 72
42.4 ss
=−×− 32
)3()3(.5
=× 3742
.6 tsts
=4
12
.7
s
s
=5
9
3
3
.8
=44
812
.9
ts
ts
=54
85
4
36
.10
ba
ba
=× 22
33.1
=× 42
55.2
=× 25
.3 aa
=× 72
42.4 ss
=−×− 32
)3()3(.5
=× 3742
.6 tsts
8133 422
==+
725
aa =+
972
842 ss =×× +
SOLUTIONS
642
55 =+
243)3()3( 532
−=−=− +
793472
tsts =++
=4
12
.7
s
s
=5
9
3
3
.8
=44
812
.9
ts
ts
=54
85
4
36
.10
ba
ba
SOLUTIONS
8412
ss =−
8133 459
==−
4848412
tsts =−−
35845
9436 abba =×÷ −−
#4: Power of a Power: If you are raising a Power to an
exponent, you multiply the exponents!
( )
nm mn
x x=
So, when I
take a Power
to a power, I
multiply the
exponents
52323
55)5( == ×
#5: Product Law of Exponents: If the product of the
bases is powered by the same exponent, then the result is a
multiplication of individual factors of the product, each powered
by the given exponent.
( )
n n n
xy x y= ×
So, when I take
a Power of a
Product, I apply
the exponent to
all factors of
the product.
222
)( baab =
#6: Quotient Law of Exponents: If the quotient of the
bases is powered by the same exponent, then the result is both
numerator and denominator , each powered by the given exponent.
n n
n
x x
y y
 
= ÷
 
So, when I take a
Power of a
Quotient, I apply
the exponent to
all parts of the
quotient.
81
16
3
2
3
2
4
44
==





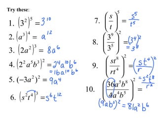
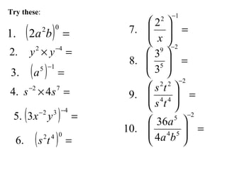
Try these:
( ) =
52
3.1
( ) =
43
.2 a
( ) =
32
2.3 a
( ) =
2352
2.4 ba
=− 22
)3(.5 a
( ) =
342
.6 ts
=





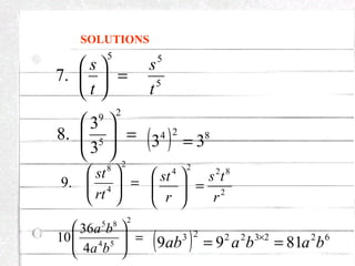
5
.7
t
s
=





2
5
9
3
3
.8
=





2
4
8
.9
rt
st
=





2
54
85
4
36
.10
ba
ba
( ) =
52
3.1
( ) =
43
.2 a
( ) =
32
2.3 a
( ) =
2352
2.4 ba
=− 22
)3(.5 a
( ) =
342
.6 ts
SOLUTIONS
10
3
12
a
6323
82 aa =×
6106104232522
1622 bababa ==×××
( ) 4222
93 aa =×− ×
1263432
tsts =××
=





5
.7
t
s
=





2
5
9
3
3
.8
=





2
4
8
.9
rt
st
=





2
54
85
4
36
10
ba
ba
SOLUTIONS
( ) 62232223
8199 babaab == ×
2
8224
r
ts
r
st
=





( ) 824
33 =
5
5
t
s
#7: Negative Law of Exponents: If the base is powered
by the negative exponent, then the base becomes reciprocal with the
positive exponent.
1m
m
x
x
−
=So, when I have a
Negative Exponent, I
switch the base to its
reciprocal with a
Positive Exponent.
Ha Ha!
If the base with the
negative exponent is in
the denominator, it
moves to the
numerator to lose its
negative sign!
93
3
1
125
1
5
1
5
2
2
3
3
==
==
−
−
and
#8: Zero Law of Exponents: Any base powered by zero
exponent equals one.
0
1x =
1)5(
1
15
0
0
0
=
=
=
a
and
a
and
So zero
factors of a
base equals 1.
That makes
sense! Every
power has a
coefficient
of 1.
Try these:
( ) =
02
2.1 ba
=× −42
.2 yy
( ) =
−15
.3 a
=×− 72
4.4 ss
( ) =
−− 432
3.5 yx
( ) =
042
.6 ts
=





−12
2
.7
x
=





−2
5
9
3
3
.8
=





−2
44
22
.9
ts
ts
=





−2
54
5
4
36
.10
ba
a
SOLUTIONS
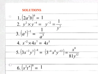
( ) =
02
2.1 ba
=× −42
.2 yy
( ) =
−15
.3 a
=×− 72
4.4 ss
( ) =
−− 432
3.5 yx
( ) =
042
.6 ts
1
2
2 1
y
y =−
5
1
a
5
4s
( ) 12
8
1284
81
3
y
x
yx =−−
1
=





−12
2
.7
x
=





−2
5
9
3
3
.8
=





−2
44
22
.9
ts
ts
=





−2
54
5
4
36
.10
ba
a
SOLUTIONS
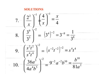
4
4
1
x
x
=





−
( ) 8
824
3
1
33 == −−
( ) 44222
tsts =
−−−
2
10
1022
81
9
a
b
ba =−−

Donna G. Bautista

  • 1.
    Law of Exponents Donna G.Bautista BSEd 4-C
  • 2.
    ExponentsExponents { 3 5Power base exponent 3 3 meansthat is the exponential form of t Example: he number 125 5 5 .125 = 53 means 3 factors of 5 or 5 x 5 x 5
  • 3.
    The Laws ofExponents:The Laws of Exponents: #1: Exponential form: The exponent of a power indicates how many times the base multiplies itself. n n times x x x x x x x x − = × × ×××× × × ×144424443 3 Example: 5 5 5 5= × × n factors of x
  • 4.
    #2: Multiplying Powers:If you are multiplying Powers with the same base, KEEP the BASE & ADD the EXPONENTS! m n m n x x x + × = So, I get it! When you multiply Powers, you add the exponents! 512 2222 93636 = ==× +
  • 5.
    #3: Dividing Powers:When dividing Powers with the same base, KEEP the BASE & SUBTRACT the EXPONENTS! m m n m n n x x x x x − = ÷ = So, I get it! When you divide Powers, you subtract the exponents! 16 22 2 2 426 2 6 = == −
  • 6.
    Try these: =× 22 33.1 =×42 55.2 =× 25 .3 aa =× 72 42.4 ss =−×− 32 )3()3(.5 =× 3742 .6 tsts =4 12 .7 s s =5 9 3 3 .8 =44 812 .9 ts ts =54 85 4 36 .10 ba ba
  • 7.
    =× 22 33.1 =× 42 55.2 =×25 .3 aa =× 72 42.4 ss =−×− 32 )3()3(.5 =× 3742 .6 tsts 8133 422 ==+ 725 aa =+ 972 842 ss =×× + SOLUTIONS 642 55 =+ 243)3()3( 532 −=−=− + 793472 tsts =++
  • 8.
  • 9.
    #4: Power ofa Power: If you are raising a Power to an exponent, you multiply the exponents! ( ) nm mn x x= So, when I take a Power to a power, I multiply the exponents 52323 55)5( == ×
  • 10.
    #5: Product Lawof Exponents: If the product of the bases is powered by the same exponent, then the result is a multiplication of individual factors of the product, each powered by the given exponent. ( ) n n n xy x y= × So, when I take a Power of a Product, I apply the exponent to all factors of the product. 222 )( baab =
  • 11.
    #6: Quotient Lawof Exponents: If the quotient of the bases is powered by the same exponent, then the result is both numerator and denominator , each powered by the given exponent. n n n x x y y   = ÷   So, when I take a Power of a Quotient, I apply the exponent to all parts of the quotient. 81 16 3 2 3 2 4 44 ==     
  • 12.
    Try these: ( )= 52 3.1 ( ) = 43 .2 a ( ) = 32 2.3 a ( ) = 2352 2.4 ba =− 22 )3(.5 a ( ) = 342 .6 ts =      5 .7 t s =      2 5 9 3 3 .8 =      2 4 8 .9 rt st =      2 54 85 4 36 .10 ba ba
  • 13.
    ( ) = 52 3.1 () = 43 .2 a ( ) = 32 2.3 a ( ) = 2352 2.4 ba =− 22 )3(.5 a ( ) = 342 .6 ts SOLUTIONS 10 3 12 a 6323 82 aa =× 6106104232522 1622 bababa ==××× ( ) 4222 93 aa =×− × 1263432 tsts =××
  • 14.
  • 15.
    #7: Negative Lawof Exponents: If the base is powered by the negative exponent, then the base becomes reciprocal with the positive exponent. 1m m x x − =So, when I have a Negative Exponent, I switch the base to its reciprocal with a Positive Exponent. Ha Ha! If the base with the negative exponent is in the denominator, it moves to the numerator to lose its negative sign! 93 3 1 125 1 5 1 5 2 2 3 3 == == − − and
  • 16.
    #8: Zero Lawof Exponents: Any base powered by zero exponent equals one. 0 1x = 1)5( 1 15 0 0 0 = = = a and a and So zero factors of a base equals 1. That makes sense! Every power has a coefficient of 1.
  • 17.
    Try these: ( )= 02 2.1 ba =× −42 .2 yy ( ) = −15 .3 a =×− 72 4.4 ss ( ) = −− 432 3.5 yx ( ) = 042 .6 ts =      −12 2 .7 x =      −2 5 9 3 3 .8 =      −2 44 22 .9 ts ts =      −2 54 5 4 36 .10 ba a
  • 18.
    SOLUTIONS ( ) = 02 2.1ba =× −42 .2 yy ( ) = −15 .3 a =×− 72 4.4 ss ( ) = −− 432 3.5 yx ( ) = 042 .6 ts 1 2 2 1 y y =− 5 1 a 5 4s ( ) 12 8 1284 81 3 y x yx =−− 1
  • 19.