Exponents
Exponents
 3
5
Power
base
exponent
3 3
means that is the exponential
form of t
Example:
he number
125 5 5
.
125

53
means 3 factors of 5 or 5 x 5 x 5
The Laws of Exponents:
The Laws of Exponents:
Exponential form: The exponent of a power indicates
how many times the base multiplies itself.
n
n times
x x x x x x x x

   


   
      
3
Example: 5 5 5 5
  
n factors of x
#1: Multiplying Powers (Product of Powers): If
you are multiplying Powers with the same base, KEEP the BASE
& ADD the EXPONENTS!
m n m n
x x x 
 
So, I get it!
When you
multiply
Powers, you
add the
exponents!
512
2
2
2
2 9
3
6
3
6



 
#2: Dividing Powers (Quotient of Powers):
When dividing Powers with the same base, KEEP the BASE &
SUBTRACT the EXPONENTS!
m
m n m n
n
x
x x x
x

  
So, I get it!
When you
divide
Powers, you
subtract the
exponents!
16
2
2
2
2 4
2
6
2
6


 
Try these:

 2
2
3
3
.
1

 4
2
5
5
.
2

 2
5
.
3 a
a

4
12
.
7
s
s

5
9
3
3
.
8

4
4
8
12
.
9
t
s
t
s

 2
2
3
3
.
1

 4
2
5
5
.
2

 2
5
.
3 a
a

 7
2
4
2
.
4 s
s



 3
2
)
3
(
)
3
(
.
5

 3
7
4
2
.
6 t
s
t
s
81
3
3 4
2
2



7
2
5
a
a 

9
7
2
8
4
2 s
s 

 
SOLUTIONS
6
4
2
5
5 

243
)
3
(
)
3
( 5
3
2




 
7
9
3
4
7
2
t
s
t
s 



4
12
.
7
s
s

5
9
3
3
.
8

4
4
8
12
.
9
t
s
t
s

5
4
8
5
4
36
.
10
b
a
b
a
SOLUTIONS
8
4
12
s
s 

81
3
3 4
5
9



4
8
4
8
4
12
t
s
t
s 


3
5
8
4
5
9
4
36 ab
b
a 

 

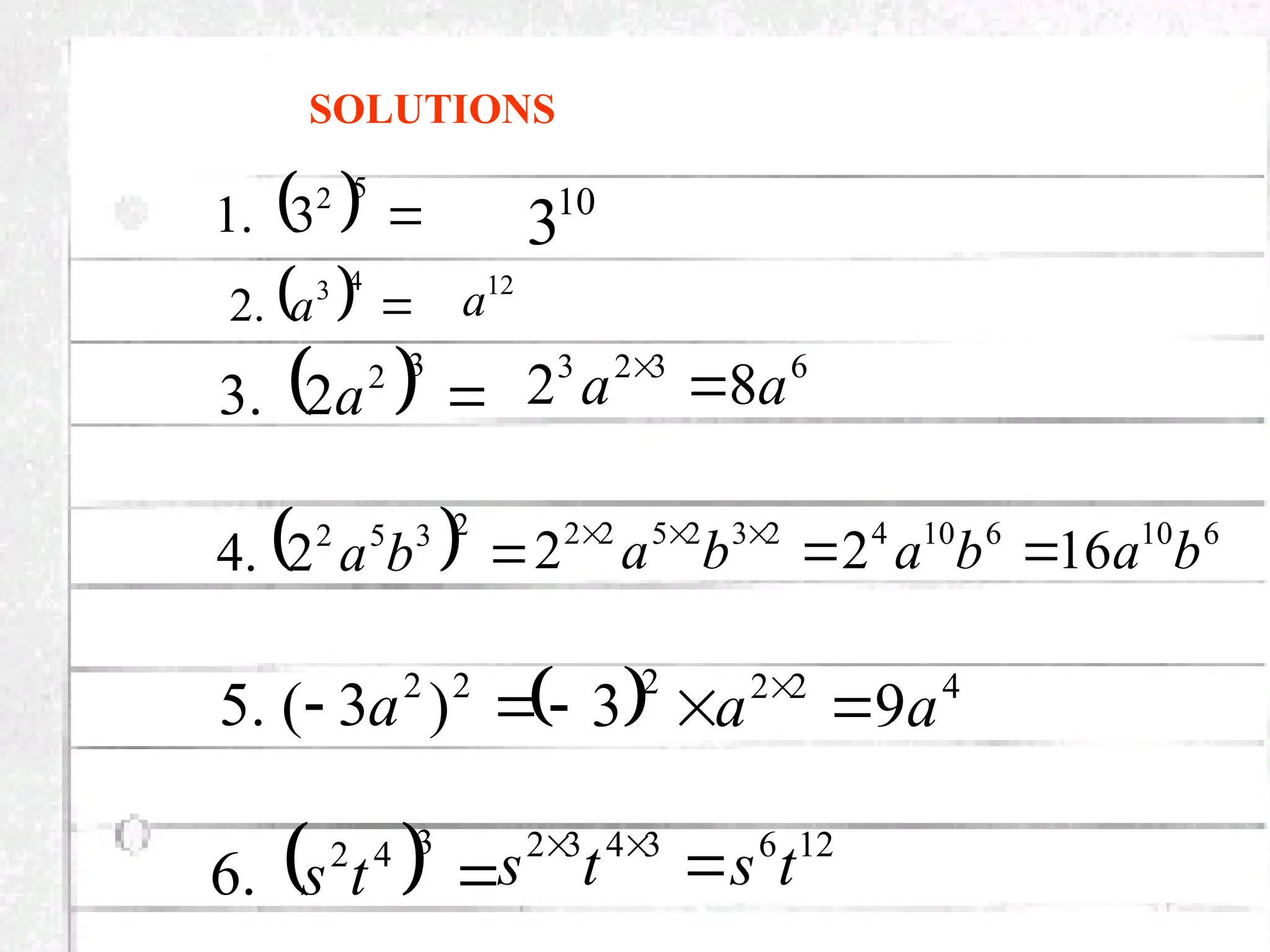
#3: Power of a Power: If you are raising a Power to an
exponent, you multiply the exponents!
 
n
m mn
x x

So, when I
take a Power
to a power, I
multiply the
exponents
6
2
3
2
3
5
5
)
5
( 
 
#5: Product Law of Exponents: If the product of the
bases is powered by the same exponent, then the result is a
multiplication of individual factors of the product, each powered
by the given exponent.
 
n n n
xy x y
 
So, when I take
a Power of a
Product, I apply
the exponent to
all factors of
the product.
2
2
2
)
( b
a
ab 
#6: Quotient Law of Exponents: If the quotient of the
bases is powered by the same exponent, then the result is both
numerator and denominator , each powered by the given exponent.
n n
n
x x
y y
 

 
 
So, when I take a
Power of a
Quotient, I apply
the exponent to
all parts of the
quotient.
81
16
3
2
3
2
4
4
4








Try these:
  
5
2
3
.
1
  
4
3
.
2 a
  
3
2
2
.
3 a
  
5
2
3
.
1
  
4
3
.
2 a
  
3
2
2
.
3 a
  
2
3
5
2
2
.
4 b
a

 2
2
)
3
(
.
5 a
  
3
4
2
.
6 t
s
SOLUTIONS
10
3
12
a
6
3
2
3
8
2 a
a 

6
10
6
10
4
2
3
2
5
2
2
16
2
2 b
a
b
a
b
a 




  4
2
2
2
9
3 a
a 

 
12
6
3
4
3
2
t
s
t
s 









5
.
7
t
s









2
5
9
3
3
.
8









2
4
8
.
9
rt
st









2
5
4
8
5
4
36
10
b
a
b
a
SOLUTIONS
  6
2
2
3
2
2
2
3
81
9
9 b
a
b
a
ab 
 
2
8
2
2
4
r
t
s
r
st









  8
2
4
3
3 
5
5
t
s
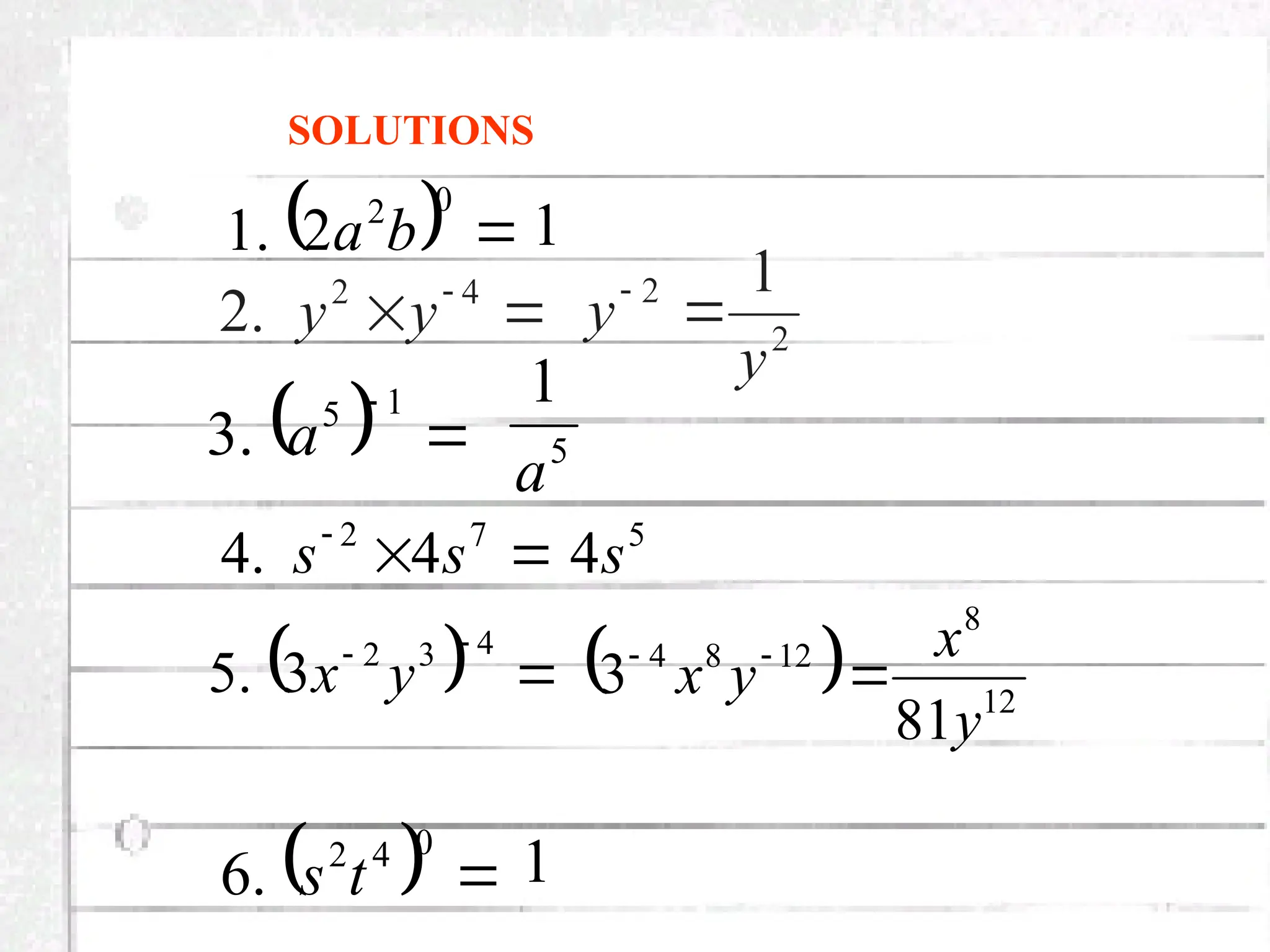
#4: Negative Law of Exponents: If the base is powered
by the negative exponent, then the base becomes reciprocal with the
positive exponent.
1
m
m
x
x


So, when I have a
Negative Exponent, I
switch the base to its
reciprocal with a
Positive Exponent.
Ha Ha!
If the base with the
negative exponent is in
the denominator, it
moves to the
numerator to lose its
negative sign!
9
3
3
1
125
1
5
1
5
2
2
3
3






and
#5: Zero Law of Exponents: Any base powered by zero
exponent equals one.
0
1
x 
1
)
5
(
1
1
5
0
0
0



a
and
a
and
So zero
factors of a
base equals 1.
That makes
sense! Every
power has a
coefficient
of 1.
Try these:
  
0
2
2
.
1 b
a
  
0
4
2
.
6 t
s
SOLUTIONS
  
0
2
2
.
1 b
a
  
 1
5
.
3 a


 7
2
4
.
4 s
s
  

 4
3
2
3
.
5 y
x
  
0
4
2
.
6 t
s
1
5
1
a
5
4s
  12
8
12
8
4
81
3
y
x
y
x 


1









 1
2
2
.
7
x









 2
5
9
3
3
.
8









 2
4
4
2
2
.
9
t
s
t
s









 2
5
4
5
4
36
.
10
b
a
a
SOLUTIONS
4
4
1
x
x








  8
8
2
4
3
1
3
3 
 

  4
4
2
2
2
t
s
t
s 



2
10
10
2
2
81
9
a
b
b
a 



Laws of Exponents - Applying Properties of Exponents

  • 2.
    Exponents Exponents  3 5 Power base exponent 3 3 meansthat is the exponential form of t Example: he number 125 5 5 . 125  53 means 3 factors of 5 or 5 x 5 x 5
  • 3.
    The Laws ofExponents: The Laws of Exponents: Exponential form: The exponent of a power indicates how many times the base multiplies itself. n n times x x x x x x x x                   3 Example: 5 5 5 5    n factors of x
  • 4.
    #1: Multiplying Powers(Product of Powers): If you are multiplying Powers with the same base, KEEP the BASE & ADD the EXPONENTS! m n m n x x x    So, I get it! When you multiply Powers, you add the exponents! 512 2 2 2 2 9 3 6 3 6     
  • 5.
    #2: Dividing Powers(Quotient of Powers): When dividing Powers with the same base, KEEP the BASE & SUBTRACT the EXPONENTS! m m n m n n x x x x x     So, I get it! When you divide Powers, you subtract the exponents! 16 2 2 2 2 4 2 6 2 6    
  • 6.
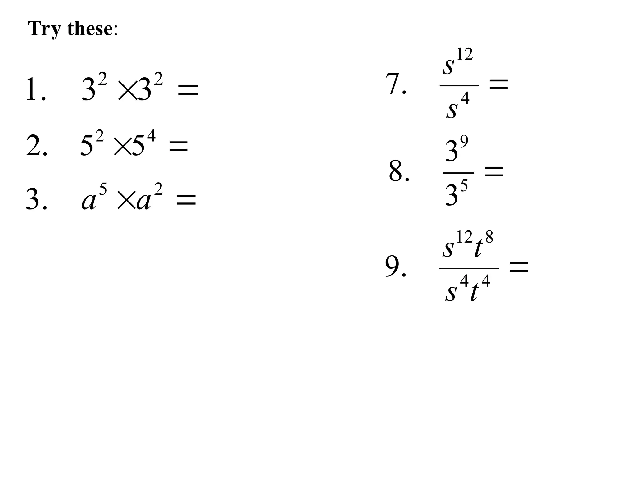
    Try these:   2 2 3 3 . 1  4 2 5 5 . 2   2 5 . 3 a a  4 12 . 7 s s  5 9 3 3 . 8  4 4 8 12 . 9 t s t s
  • 7.
      2 2 3 3 . 1   4 2 5 5 . 2  2 5 . 3 a a   7 2 4 2 . 4 s s     3 2 ) 3 ( ) 3 ( . 5   3 7 4 2 . 6 t s t s 81 3 3 4 2 2    7 2 5 a a   9 7 2 8 4 2 s s     SOLUTIONS 6 4 2 5 5   243 ) 3 ( ) 3 ( 5 3 2       7 9 3 4 7 2 t s t s   
  • 8.
  • 9.
    #3: Power ofa Power: If you are raising a Power to an exponent, you multiply the exponents!   n m mn x x  So, when I take a Power to a power, I multiply the exponents 6 2 3 2 3 5 5 ) 5 (   
  • 10.
    #5: Product Lawof Exponents: If the product of the bases is powered by the same exponent, then the result is a multiplication of individual factors of the product, each powered by the given exponent.   n n n xy x y   So, when I take a Power of a Product, I apply the exponent to all factors of the product. 2 2 2 ) ( b a ab 
  • 11.
    #6: Quotient Lawof Exponents: If the quotient of the bases is powered by the same exponent, then the result is both numerator and denominator , each powered by the given exponent. n n n x x y y        So, when I take a Power of a Quotient, I apply the exponent to all parts of the quotient. 81 16 3 2 3 2 4 4 4        
  • 12.
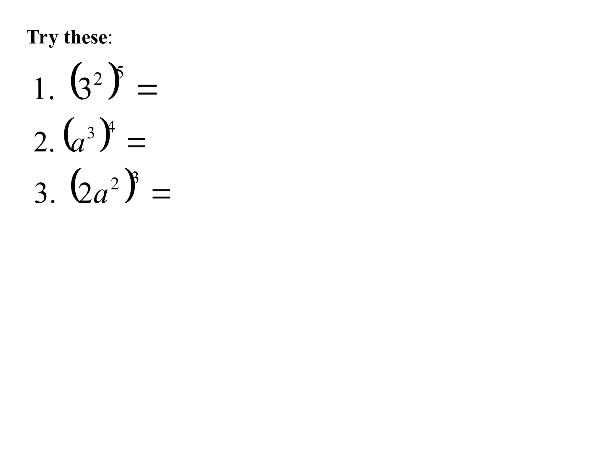
    Try these:   5 2 3 . 1    4 3 . 2 a    3 2 2 . 3 a
  • 13.
       5 2 3 . 1   4 3 . 2 a    3 2 2 . 3 a    2 3 5 2 2 . 4 b a   2 2 ) 3 ( . 5 a    3 4 2 . 6 t s SOLUTIONS 10 3 12 a 6 3 2 3 8 2 a a   6 10 6 10 4 2 3 2 5 2 2 16 2 2 b a b a b a        4 2 2 2 9 3 a a     12 6 3 4 3 2 t s t s   
  • 14.
  • 15.
    #4: Negative Lawof Exponents: If the base is powered by the negative exponent, then the base becomes reciprocal with the positive exponent. 1 m m x x   So, when I have a Negative Exponent, I switch the base to its reciprocal with a Positive Exponent. Ha Ha! If the base with the negative exponent is in the denominator, it moves to the numerator to lose its negative sign! 9 3 3 1 125 1 5 1 5 2 2 3 3       and
  • 16.
    #5: Zero Lawof Exponents: Any base powered by zero exponent equals one. 0 1 x  1 ) 5 ( 1 1 5 0 0 0    a and a and So zero factors of a base equals 1. That makes sense! Every power has a coefficient of 1.
  • 17.
    Try these:   0 2 2 . 1 b a    0 4 2 . 6 t s
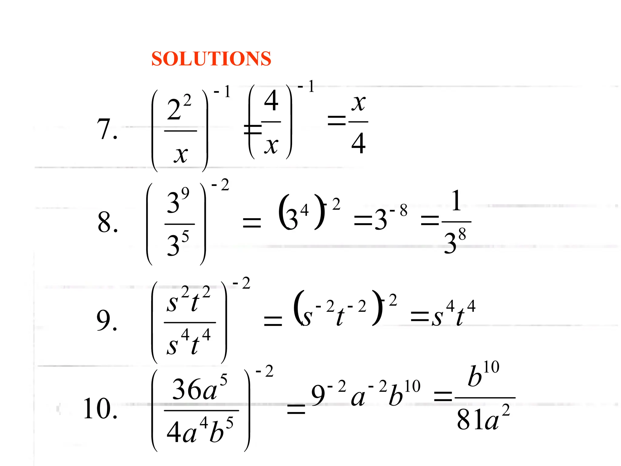
  • 18.
    SOLUTIONS    0 2 2 . 1b a     1 5 . 3 a    7 2 4 . 4 s s      4 3 2 3 . 5 y x    0 4 2 . 6 t s 1 5 1 a 5 4s   12 8 12 8 4 81 3 y x y x    1
  • 19.
              1 2 2 . 7 x           2 5 9 3 3 . 8          2 4 4 2 2 . 9 t s t s           2 5 4 5 4 36 . 10 b a a SOLUTIONS 4 4 1 x x           8 8 2 4 3 1 3 3       4 4 2 2 2 t s t s     2 10 10 2 2 81 9 a b b a   