A Project Report on
Design A Plant To Manufacture
50000 TPA Of
Styrene Oxide
By
UJJWAL BAJPAI (1071110009)
ARITRA MUKHERJEE (1071110029)
Under the guidance of
Dr. K. Tamilarasan
Professor, Chemical Engineering
Production of Styrene Oxide
Stream in Kmoles/hr Temperature(K) ⌠CpdT Unit Enthalpy in
(KJ/hr)
Styrene 66.172 298.15 0.00E+00 KJ/Kmole 0
Ethyl
Benzene
0.326 298.15 0.00E+00 KJ/Kmole 0
66.498
Energy Balance for Pre-heater
Component A B D
Styrene 18.9578 -2.2959 1.01872
Ethyl Benzene 4.19845 -0.3127 0.17860
Cp/R=A+B(T/100)+C(T/100)2
Stream out Kmoles/hr Temperature(K) ⌠Cpdt Unit Enthalpy
out (KJ/hr)
Styrene 66.172 343.15 5102.19 KJ/Kmole 3.38E+05
Ethyl Benzene 0.326 343.15 8717.91 KJ/Kmole 2.84E+03
66.498 3.40E+05
Q(heat transfer rate)= Enthalpy out- Enthalpy in= 3.40E+05 KJ/hr
Mass of Steam=Q/ λs at 1 atm= 127.23 Kg/hr
Energy Balance for Reactor
Component A B D
Styrene 18.9578 -2.2959 1.01872
Ethyl Benzene 4.19845 -0.3127 0.17860
Reactants Kmoles/hr Mass Flow rate
(Kg/hr)
Temperature
(in Kelvin)
⌠CpdT unit Enthalpy in
KJ/hr
Styrene
9.93 1032.28 343.15 5102.19
KJ/Kmole
5.06E+04
Ethyl Benzene
0.33 34.58 343.15 8717.92
KJ/Kmole
2.84E+03
Styrene
dichloride 26.47 4632.04 343.15 10785.30
KJ/Kmole
2.85E+05
Styrene
Chlorohydrin 29.78 4660.16 343.15 12907.10
KJ/Kmole
3.84E+05
NaOH solut 248.72 6198.71 298.15 142.38 KJ/Kg 8.83E+05
Enthalpy
of
reactants 1.606E+06
Products Kmoles/hr Mass Flow
rate
(Kg/hr)
Temperature (in
Kelvin)
⌠Cpdt unit Enthalpy
out KJ/hr
Styrene 9.926 1032.283 343.150 5102.19 KJ/Kmole 5.06E+04
Ethyl Benzene 0.326 34.582 343.150 8717.92 KJ/Kmole 2.84E+03
Styrene
dichloride 1.429 250.147 343.150 10785.3 KJ/Kmole 1.54E+04
Styrene
Chlorohydrin 1.597 250.000 343.150 12907.1 KJ/Kmole 2.06E+04
Styrene Oxide 53.219 6386.316 343.150 8687.23 KJ/Kmole 4.62E+05
NaCl aq 245.740 5316.593 343.150 147.78 KJ/Kg 7.8E+05
NaCl solid 56.203 3287.846 343.150 2250.00 KJ/Kmole 1.26E+05
Enthalpy
of
Products
1.46E+06
Calculating Heat of Formation
Styrene
Oxide
Contribution Heat of
formation
(KJ/mole)
Heat of
formation
contributed
(KJ/mole)
Hvap
(KJ/mole)
Hvap
contributed(KJ/mole)
-O-
(ring) 1 -138.16 -138.16 4.682 4.682
-CH2- 1 -26.8 -26.8 2.398 2.398
>CH- 1 8.67 8.67 1.942 1.942
=C< 1 46.43 46.43 3.06 3.059
=CH- 5 2.09 10.45 2.54 12.72
-99.41 24.801
=-31.12 KJ/mole
Heat of Formation (Ideal
Gas, 298 K)
Heat of Vaporization at Normal Boiling Point=40.101 KJ/mole
Heat of Formation at liquid state = Heat of Formation- Heat of Vaporization at Normal Boiling Point
=-71.221 KJ/mole
Reactants Heat of
Formation
(KJ/mole)
Products Heat of Formation
(KJ/mole)
Styrene Chlorohydrin -201.504 Styrene Oxide 71.221
NaOH -469.15 Water -285
NaCl -407
-670.654 -620.779
ΔH°rxn1=Heat of formation of Products - Heat of formation of reactants = 49.875 KJ/mole
Calculating Standard Heat of Reaction
Reactant
Joule/mole
Product
Joule/mole
Styrene
Chlorohydrin
12907.1 Styrene Oxide
8687.23
NaOH 2684.7 NaCl 3394.71
Water
2250
-15591.8 14431.94
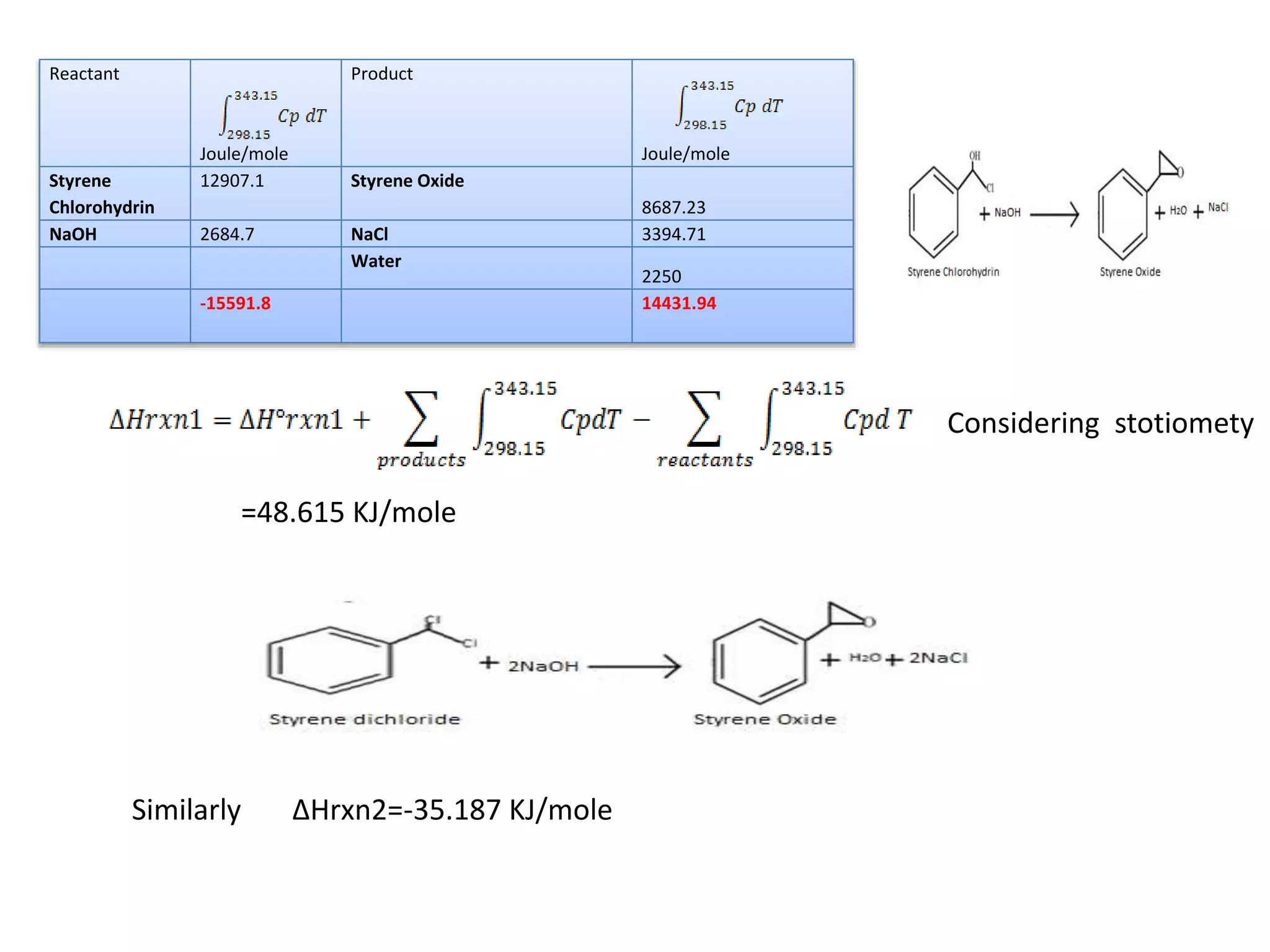
Considering stotiomety
=48.615 KJ/mole
Similarly ΔHrxn2=-35.187 KJ/mole
ΔHrxn1 48.62 KJ/mole
Heat released by reaction 1 1.37E+06 KJ/hr
ΔHrxn2 -35.19 KJ/mole
Heat released by reaction 2 -8.81E+05 KJ/hr
Heat released by reaction =
Moles Of Products formed*ΔHrxn
Q(heat transfer rate)=Enthalpy of outlet Stream - Enthalpy of inlet Stream
+ Heat released by reaction 1 + Heat released by reaction 2
= 1.606E+06 -1.46E+06 +1.37E+06 -8.81E+05
= 3.47E+5 KJ/hr (heat lost)
Thus We need to use a steam Jacket
Steam at 1 atm enters the jacket and leaves out of the jacket as water(liquid) at 100°C
Latent Heat of Vaporization of steam(λs)= 2676 KJ/Kg
Mass flowrate of Steam =(Q/ λs)= 96.21 Kg/hr
Energy Balance for Distillation Column
Mole fraction of low boiler in feed =0.1542
Mole fraction of low boiler in Top Product =0.97
Mole fraction of low boiler in Bottom Product =0.01
Pressure 60 mm of Hg
Temperature 90.5°C
60.8°C Styrene
101.8°C Styrene
Oxide
Using Clayeperon equation
find x,y
Temperature °C P1sat mm of Hg P2sat mm of Hg x1 y1
60.80 60.00 12.37 1.00 1.00
63.73 66.95 14.02 0.87 0.97
66.66 74.56 15.86 0.75 0.93
69.58 82.89 17.91 0.65 0.89
72.51 91.99 20.18 0.55 0.85
75.44 101.90 22.69 0.47 0.80
78.37 112.69 25.46 0.40 0.74
81.30 124.41 28.51 0.33 0.68
84.23 137.13 31.88 0.27 0.61
87.16 150.91 35.57 0.21 0.53
90.08 165.82 39.63 0.16 0.45
93.01 181.93 44.07 0.12 0.35
95.94 199.31 48.92 0.07 0.24
98.87 218.03 54.22 0.04 0.13
101.80 238.19 60.00 0.00 0.00
Condenser Duty
Vapor Formed=(R+1)*D=34.40 Kmoles/hr
Since q=1 feed is saturated
λ Styrene 35008.00 KJ/Kmole
λ Styrene Oxide 40101.00 KJ/Kmole
mole fraction of top product 0.97
λ Effective 35160.79 KJ/Kmole
Where λ is latent
heat of
vaporization
Energy Required= V * λ Effective
= 1.210E+06 KJ/hr
Specific heat capacity of water=4.18KJ/KgK
Inlet and outlet temperature of condenser cooling water=25°C and 50°C
Q=mCpΔT
Mass flowrate of water= 5252.63 Kg/hr
Reboiler Duty
Vapor Formed in reboiler(V’)=Vapor from the top of the column= D=34.40 Kmoles/hr
Since q=1 feed is saturated
λ Styrene 35008.00 KJ/Kmole
λ Styrene Oxide 40101.00 KJ/Kmole
mole fraction of top product 0.01
λ Effective 40050.07 KJ/Kmole
Where λ is latent
heat of
vaporization
Energy Required= V’ * λ Effective
= 1.378E+06 KJ/hr
Latent heat of Steam= λs=2676 KJ/hr
Mass flowrate of steam required = (V’ * λ Effective)/ λs=514.874 Kg/hr
Reactor Design
Let 1-Styrene Chlorohydrin
2-Styrene Dichloride
Order 2 Order 2
Since pH has to be maintained 12 thus OH- will
be in excess and both of the reactions will
behave as pseudo order 1 reaction
Where F1°= moles of feed Kmole/hr
V=Volume of reactor m3
X1
0.000 0.087
0.050 0.091
0.100 0.097
0.150 0.102
0.200 0.109
0.250 0.116
0.300 0.124
0.350 0.134
0.400 0.145
0.450 0.158
0.500 0.174
0.550 0.193
0.600 0.217
0.650 0.248
0.700 0.290
0.750 0.348
0.800 0.435
0.850 0.579
0.900 0.869
0.947 1.624
0.000
0.200
0.400
0.600
0.800
1.000
1.200
1.400
1.600
1.800
0.000 0.100 0.200 0.300 0.400 0.500 0.600 0.700 0.800 0.900 1.000
`
X 1 (Conversion )
Reactor Design
Area Under the curve = 0.264 m3/kmol
Residence time: 2.5 hours (From Literature)
Area Under the curve =
k (Rate Constant) = (Area Under the curve * C1°)/ Residence time
= 0.638 hr-1
Volume of liquid system = (Residence time * F1°)/C1°
= 12.328 m3
Actual Volume of liquid system will be calculated by giving 10% allowance=1.3893 m3
Weight of Catalyst =
=1929.405 kg /h
Actual Volume of Catalyst=1.1(Mass of Catalyst/ Density Of Catalyst)=1.3893 m3
Total Volume of reactor = Volume of Catalyst+Volume of liquid system= 14.950 m3
HEIGHT AND DIAMETER OF THE REACTOR:
Let us assume an ellipsoidal head at the top and at the bottom of the vessel
Taking H/D = 2,
Diameter of the reactor D: 2.013 m
Height of the reactor H =2* D
=4.026 m
Reactor Design
Distillation Column Design
Mole fraction of low boiler in feed =0.1542
Mole fraction of low boiler in Top Product =0.97
Mole fraction of low boiler in Bottom Product =0.01
Pressure 60 mm of Hg
Temperature 90.5°C
60.8°C Styrene
101.8°C Styrene
Oxide
Using Clayeperon equation
find x,y
Temperature °C P1sat mm of Hg P2sat mm of Hg x1 y1
60.80 60.00 12.37 1.00 1.00
63.73 66.95 14.02 0.87 0.97
66.66 74.56 15.86 0.75 0.93
69.58 82.89 17.91 0.65 0.89
72.51 91.99 20.18 0.55 0.85
75.44 101.90 22.69 0.47 0.80
78.37 112.69 25.46 0.40 0.74
81.30 124.41 28.51 0.33 0.68
84.23 137.13 31.88 0.27 0.61
87.16 150.91 35.57 0.21 0.53
90.08 165.82 39.63 0.16 0.45
93.01 181.93 44.07 0.12 0.35
95.94 199.31 48.92 0.07 0.24
98.87 218.03 54.22 0.04 0.13
101.80 238.19 60.00 0.00 0.00
x-y diagram
Rmin was calculated from this graph
R=1.2*R
Distillation Column Design
Plate Spacing (lt): 0.6 m (assumed)
ρl = Density of styrene in liquid phase = 859.41 kg/ m3 at 70oC and 60mm of Hg
ρv = Density of styrene in gaseous phase =0.2916 Kg/ m3 70oC and 60mm of Hg
Vapor Velocity
Molar flowrate of Vapors Formed=34.402 kmole/hr
Mass of Vapors formed Vm=
kmole/hr vapor formed*Molecular wt of styrene * /3600
=0.9938 Kg/s
Column Diameter=
Diameter of column=1.2231 m
From Graph,
Nm+ 1 = 12
Where Nm = Number of theoretical plates
Nm = 11
Tray Efficiency = 0.6
Actual Number of trays = 11 / 0.6 =19
COLUMN HEIGHT = (Actual number of trays – 1 )*Tray Spacing + Top and bottom allowance
= (19 – 1)* 0.6 + 2 * 0.6
= 12 m
COLUMN HEIGHT: 12 m
COLUMN DIAMETER: 1.223 m
Reference
 I.L. Finar Organic Chemistry Volume 1 Sixth Edition Pearson page
380,616,89,569
 David M.Himmelblau, Basic principles and calculations in chemical
engineering, edition 6, Prentice Hall of India, New Delhi, 1998.
 George T. Austin Shreve’s Chemical Process Industries Fifth Edition page
661-687.
 Citation No:US2582114 ,Filing Date: JULY 07,1949,Publishing,Date: JAN
08,1952,Title: U.S. Rubber Co.,(Styrene Oxide Synthesis).
 M. Gopala Rao Marshall Sittig Dryden’s Outline of Chemical Technology
Third Edition East West Press page 518-525
Design and balance : Styrene Oxide Production

Design and balance : Styrene Oxide Production

  • 1.
    A Project Reporton Design A Plant To Manufacture 50000 TPA Of Styrene Oxide By UJJWAL BAJPAI (1071110009) ARITRA MUKHERJEE (1071110029) Under the guidance of Dr. K. Tamilarasan Professor, Chemical Engineering
  • 2.
  • 3.
    Stream in Kmoles/hrTemperature(K) ⌠CpdT Unit Enthalpy in (KJ/hr) Styrene 66.172 298.15 0.00E+00 KJ/Kmole 0 Ethyl Benzene 0.326 298.15 0.00E+00 KJ/Kmole 0 66.498 Energy Balance for Pre-heater Component A B D Styrene 18.9578 -2.2959 1.01872 Ethyl Benzene 4.19845 -0.3127 0.17860 Cp/R=A+B(T/100)+C(T/100)2 Stream out Kmoles/hr Temperature(K) ⌠Cpdt Unit Enthalpy out (KJ/hr) Styrene 66.172 343.15 5102.19 KJ/Kmole 3.38E+05 Ethyl Benzene 0.326 343.15 8717.91 KJ/Kmole 2.84E+03 66.498 3.40E+05 Q(heat transfer rate)= Enthalpy out- Enthalpy in= 3.40E+05 KJ/hr Mass of Steam=Q/ λs at 1 atm= 127.23 Kg/hr
  • 4.
    Energy Balance forReactor Component A B D Styrene 18.9578 -2.2959 1.01872 Ethyl Benzene 4.19845 -0.3127 0.17860 Reactants Kmoles/hr Mass Flow rate (Kg/hr) Temperature (in Kelvin) ⌠CpdT unit Enthalpy in KJ/hr Styrene 9.93 1032.28 343.15 5102.19 KJ/Kmole 5.06E+04 Ethyl Benzene 0.33 34.58 343.15 8717.92 KJ/Kmole 2.84E+03 Styrene dichloride 26.47 4632.04 343.15 10785.30 KJ/Kmole 2.85E+05 Styrene Chlorohydrin 29.78 4660.16 343.15 12907.10 KJ/Kmole 3.84E+05 NaOH solut 248.72 6198.71 298.15 142.38 KJ/Kg 8.83E+05 Enthalpy of reactants 1.606E+06 Products Kmoles/hr Mass Flow rate (Kg/hr) Temperature (in Kelvin) ⌠Cpdt unit Enthalpy out KJ/hr Styrene 9.926 1032.283 343.150 5102.19 KJ/Kmole 5.06E+04 Ethyl Benzene 0.326 34.582 343.150 8717.92 KJ/Kmole 2.84E+03 Styrene dichloride 1.429 250.147 343.150 10785.3 KJ/Kmole 1.54E+04 Styrene Chlorohydrin 1.597 250.000 343.150 12907.1 KJ/Kmole 2.06E+04 Styrene Oxide 53.219 6386.316 343.150 8687.23 KJ/Kmole 4.62E+05 NaCl aq 245.740 5316.593 343.150 147.78 KJ/Kg 7.8E+05 NaCl solid 56.203 3287.846 343.150 2250.00 KJ/Kmole 1.26E+05 Enthalpy of Products 1.46E+06
  • 5.
    Calculating Heat ofFormation Styrene Oxide Contribution Heat of formation (KJ/mole) Heat of formation contributed (KJ/mole) Hvap (KJ/mole) Hvap contributed(KJ/mole) -O- (ring) 1 -138.16 -138.16 4.682 4.682 -CH2- 1 -26.8 -26.8 2.398 2.398 >CH- 1 8.67 8.67 1.942 1.942 =C< 1 46.43 46.43 3.06 3.059 =CH- 5 2.09 10.45 2.54 12.72 -99.41 24.801 =-31.12 KJ/mole Heat of Formation (Ideal Gas, 298 K) Heat of Vaporization at Normal Boiling Point=40.101 KJ/mole Heat of Formation at liquid state = Heat of Formation- Heat of Vaporization at Normal Boiling Point =-71.221 KJ/mole Reactants Heat of Formation (KJ/mole) Products Heat of Formation (KJ/mole) Styrene Chlorohydrin -201.504 Styrene Oxide 71.221 NaOH -469.15 Water -285 NaCl -407 -670.654 -620.779 ΔH°rxn1=Heat of formation of Products - Heat of formation of reactants = 49.875 KJ/mole Calculating Standard Heat of Reaction
  • 6.
    Reactant Joule/mole Product Joule/mole Styrene Chlorohydrin 12907.1 Styrene Oxide 8687.23 NaOH2684.7 NaCl 3394.71 Water 2250 -15591.8 14431.94 Considering stotiomety =48.615 KJ/mole Similarly ΔHrxn2=-35.187 KJ/mole
  • 7.
    ΔHrxn1 48.62 KJ/mole Heatreleased by reaction 1 1.37E+06 KJ/hr ΔHrxn2 -35.19 KJ/mole Heat released by reaction 2 -8.81E+05 KJ/hr Heat released by reaction = Moles Of Products formed*ΔHrxn Q(heat transfer rate)=Enthalpy of outlet Stream - Enthalpy of inlet Stream + Heat released by reaction 1 + Heat released by reaction 2 = 1.606E+06 -1.46E+06 +1.37E+06 -8.81E+05 = 3.47E+5 KJ/hr (heat lost) Thus We need to use a steam Jacket Steam at 1 atm enters the jacket and leaves out of the jacket as water(liquid) at 100°C Latent Heat of Vaporization of steam(λs)= 2676 KJ/Kg Mass flowrate of Steam =(Q/ λs)= 96.21 Kg/hr
  • 8.
    Energy Balance forDistillation Column Mole fraction of low boiler in feed =0.1542 Mole fraction of low boiler in Top Product =0.97 Mole fraction of low boiler in Bottom Product =0.01 Pressure 60 mm of Hg Temperature 90.5°C 60.8°C Styrene 101.8°C Styrene Oxide Using Clayeperon equation find x,y Temperature °C P1sat mm of Hg P2sat mm of Hg x1 y1 60.80 60.00 12.37 1.00 1.00 63.73 66.95 14.02 0.87 0.97 66.66 74.56 15.86 0.75 0.93 69.58 82.89 17.91 0.65 0.89 72.51 91.99 20.18 0.55 0.85 75.44 101.90 22.69 0.47 0.80 78.37 112.69 25.46 0.40 0.74 81.30 124.41 28.51 0.33 0.68 84.23 137.13 31.88 0.27 0.61 87.16 150.91 35.57 0.21 0.53 90.08 165.82 39.63 0.16 0.45 93.01 181.93 44.07 0.12 0.35 95.94 199.31 48.92 0.07 0.24 98.87 218.03 54.22 0.04 0.13 101.80 238.19 60.00 0.00 0.00
  • 9.
    Condenser Duty Vapor Formed=(R+1)*D=34.40Kmoles/hr Since q=1 feed is saturated λ Styrene 35008.00 KJ/Kmole λ Styrene Oxide 40101.00 KJ/Kmole mole fraction of top product 0.97 λ Effective 35160.79 KJ/Kmole Where λ is latent heat of vaporization Energy Required= V * λ Effective = 1.210E+06 KJ/hr Specific heat capacity of water=4.18KJ/KgK Inlet and outlet temperature of condenser cooling water=25°C and 50°C Q=mCpΔT Mass flowrate of water= 5252.63 Kg/hr
  • 10.
    Reboiler Duty Vapor Formedin reboiler(V’)=Vapor from the top of the column= D=34.40 Kmoles/hr Since q=1 feed is saturated λ Styrene 35008.00 KJ/Kmole λ Styrene Oxide 40101.00 KJ/Kmole mole fraction of top product 0.01 λ Effective 40050.07 KJ/Kmole Where λ is latent heat of vaporization Energy Required= V’ * λ Effective = 1.378E+06 KJ/hr Latent heat of Steam= λs=2676 KJ/hr Mass flowrate of steam required = (V’ * λ Effective)/ λs=514.874 Kg/hr
  • 11.
    Reactor Design Let 1-StyreneChlorohydrin 2-Styrene Dichloride Order 2 Order 2 Since pH has to be maintained 12 thus OH- will be in excess and both of the reactions will behave as pseudo order 1 reaction Where F1°= moles of feed Kmole/hr V=Volume of reactor m3
  • 12.
    X1 0.000 0.087 0.050 0.091 0.1000.097 0.150 0.102 0.200 0.109 0.250 0.116 0.300 0.124 0.350 0.134 0.400 0.145 0.450 0.158 0.500 0.174 0.550 0.193 0.600 0.217 0.650 0.248 0.700 0.290 0.750 0.348 0.800 0.435 0.850 0.579 0.900 0.869 0.947 1.624 0.000 0.200 0.400 0.600 0.800 1.000 1.200 1.400 1.600 1.800 0.000 0.100 0.200 0.300 0.400 0.500 0.600 0.700 0.800 0.900 1.000 ` X 1 (Conversion )
  • 13.
    Reactor Design Area Underthe curve = 0.264 m3/kmol Residence time: 2.5 hours (From Literature) Area Under the curve = k (Rate Constant) = (Area Under the curve * C1°)/ Residence time = 0.638 hr-1 Volume of liquid system = (Residence time * F1°)/C1° = 12.328 m3 Actual Volume of liquid system will be calculated by giving 10% allowance=1.3893 m3 Weight of Catalyst = =1929.405 kg /h
  • 14.
    Actual Volume ofCatalyst=1.1(Mass of Catalyst/ Density Of Catalyst)=1.3893 m3 Total Volume of reactor = Volume of Catalyst+Volume of liquid system= 14.950 m3 HEIGHT AND DIAMETER OF THE REACTOR: Let us assume an ellipsoidal head at the top and at the bottom of the vessel Taking H/D = 2, Diameter of the reactor D: 2.013 m Height of the reactor H =2* D =4.026 m Reactor Design
  • 15.
    Distillation Column Design Molefraction of low boiler in feed =0.1542 Mole fraction of low boiler in Top Product =0.97 Mole fraction of low boiler in Bottom Product =0.01 Pressure 60 mm of Hg Temperature 90.5°C 60.8°C Styrene 101.8°C Styrene Oxide Using Clayeperon equation find x,y Temperature °C P1sat mm of Hg P2sat mm of Hg x1 y1 60.80 60.00 12.37 1.00 1.00 63.73 66.95 14.02 0.87 0.97 66.66 74.56 15.86 0.75 0.93 69.58 82.89 17.91 0.65 0.89 72.51 91.99 20.18 0.55 0.85 75.44 101.90 22.69 0.47 0.80 78.37 112.69 25.46 0.40 0.74 81.30 124.41 28.51 0.33 0.68 84.23 137.13 31.88 0.27 0.61 87.16 150.91 35.57 0.21 0.53 90.08 165.82 39.63 0.16 0.45 93.01 181.93 44.07 0.12 0.35 95.94 199.31 48.92 0.07 0.24 98.87 218.03 54.22 0.04 0.13 101.80 238.19 60.00 0.00 0.00
  • 16.
    x-y diagram Rmin wascalculated from this graph R=1.2*R
  • 17.
    Distillation Column Design PlateSpacing (lt): 0.6 m (assumed) ρl = Density of styrene in liquid phase = 859.41 kg/ m3 at 70oC and 60mm of Hg ρv = Density of styrene in gaseous phase =0.2916 Kg/ m3 70oC and 60mm of Hg Vapor Velocity Molar flowrate of Vapors Formed=34.402 kmole/hr Mass of Vapors formed Vm= kmole/hr vapor formed*Molecular wt of styrene * /3600 =0.9938 Kg/s
  • 18.
    Column Diameter= Diameter ofcolumn=1.2231 m From Graph, Nm+ 1 = 12 Where Nm = Number of theoretical plates Nm = 11 Tray Efficiency = 0.6 Actual Number of trays = 11 / 0.6 =19 COLUMN HEIGHT = (Actual number of trays – 1 )*Tray Spacing + Top and bottom allowance = (19 – 1)* 0.6 + 2 * 0.6 = 12 m COLUMN HEIGHT: 12 m COLUMN DIAMETER: 1.223 m
  • 19.
    Reference  I.L. FinarOrganic Chemistry Volume 1 Sixth Edition Pearson page 380,616,89,569  David M.Himmelblau, Basic principles and calculations in chemical engineering, edition 6, Prentice Hall of India, New Delhi, 1998.  George T. Austin Shreve’s Chemical Process Industries Fifth Edition page 661-687.  Citation No:US2582114 ,Filing Date: JULY 07,1949,Publishing,Date: JAN 08,1952,Title: U.S. Rubber Co.,(Styrene Oxide Synthesis).  M. Gopala Rao Marshall Sittig Dryden’s Outline of Chemical Technology Third Edition East West Press page 518-525