Unit 2
Information Theory and CodingInformation Theory and Coding
By 
Prof A K Nigam
9/4/2013 1Lt Col A K Nigam, ITM University
Syllabus for Unit 2
• Definition of information
• Concept of entropy• Concept of entropy
• Shannon’s theorem for channel capacity
• Shannon‐Hartley theorem
• Shannon channel capacityp y
(Reference Book Communication Systems 4Th Edition Simon Haykin)
Definition of information
We define the amount of information gained after observing 
th t S hi h ith d fi d b bilit ththe event S which occurs with a defined probability as the 
logarithmic function
( )
1
logk
k
I s
p
⎛ ⎞
⎜ ⎟
⎝ ⎠k
k k
p
Where p is probabilityof occuranceof event s
⎝ ⎠
Remember
Joint Probability P(x, Y)
di i l b biliConditional Probability 
P(A/B)= Pr. Of occurrence of A after B has occurred)
Important properties
• If we are absolutely certain of the outcome of an
event, even before it occurs, there is no information
gained.gained.
•The occurrence of an event either provides some or no
information but never brings about a loss ofinformation, but never brings about a loss of
information.
•The less probable an event is, the more information we
gain when it occurs.
•If sk and sl are statistically independent.
9/4/2013 4Lt Col A K Nigam, ITM University
Standard Practice for defining informationStandard Practice for defining information
• It is the standard practice today to use a logarithm to base 2.p y g
The resulting unit of information is called the bit
• When pk = 1/2, we have I(sk) = 1 bit. Hence, one bit is theWhen pk 1/2, we have I(sk) 1 bit. Hence, one bit is the
amount of information that we gain when one of two
possible and equally likely events occurs.
9/4/2013 5Lt Col A K Nigam, ITM University
Entropy of a discrete memoryless sourceEntropy of a discrete memoryless source
• Entropy of a discrete memory‐less source with sourcepy f y
alphabet ‘S’ is a measure of the average information content
per source symbol.
9/4/2013 6Lt Col A K Nigam, ITM University
Properties of EntropyProperties of Entropy
1. Entropy is a measure of the uncertainty of the randompy y
variable
2. H(s)=0, if and only if the probability p= 1 for some k, and the
remaining probabilities in the set are all zero; this lower
bound on entropy corresponds to no uncertainty.py p y
3. H(s)= log2K, if and only if pk = 1/K for all k (i.e., all the
symbols in the alphabet Y are equi‐probable); this upper
bound on entropy corresponds to maximum uncertainty.
9/4/2013 7Lt Col A K Nigam, ITM University
Proof of these properties of H(s)Proof of these properties of H(s)
2nd Property
• Since each probability pk is less than or equal to unity, it 
follows that each term pk Iog2(1/pk) is always nonnegativefollows that each term pk Iog2(1/pk) is always nonnegative, 
and so H(s) ≥ 0. 
• Next, we note that the product term pk Iog2(1/pk) is zero if, 
and only if pk = 0 or 1. 
• We therefore deduce that H(s) = 0 if, and only if pk= 0 or 1, 
that is pk = 1 for some k and all the rest are zero.
9/4/2013 8Lt Col A K Nigam, ITM University
Example: Entropy of Binary Memoryless Source
• We consider a binary source for which symbol 0 occurs• We consider a binary source for which symbol 0 occurs
with probability P(0) and symbol 1 with probability P(1) =
1 – P(0) We assume that the source is memory-less
• The entropy of such a source equals
H(s) = - P(0) log2 P(o) - P(1) log2 P(1)
= - P(o) log2 P(o) - {1 – P(o)} log2{l – P(o)} bits
• For P(0)=0 P(1)=1 and thus H(s)=0
• For P(0)=1 P(1)=0 and thus H(s)=0
• For P(0)=P(1)=1/2 it is maximum=1
9/4/2013 9Lt Col A K Nigam, ITM University
2 2log (1 )log (1 )
{ l l (1 ) l (1 )}
H p p p p
dH d
= + − −
2 2 2{ log log (1 ) .log (1 )}
1
log loga a
p p p p p
dp dp
d
weknowthat x e thus wecan write
dx x
= − + − − −
=
2 2 2 2 2
1 1
{log . log log ( 1) log ( 1) log (1 )}
1 1
1
dx x
dH p
p p e e e p
dp p p p
= − + + − − − − −
− −
2 2 2 2
1
{log log ( 1)log log (1
1
p e p e
p
= − + + − − −
−
2 2 2 2
)
{log log log log (1 )}
p
p e e p= − + − − −
2 2
2 2
{log log (1 )} 0
log log (1 )
(1 ) 5
p p
p p
or p P p
= − − − =
⇒ = −
= − ⇒ =
2 2
(1 ) .5
1 1
( ) log 2 log 2 1
2 2
max max
or p P p
Entropy isthus H s
Thus Entropyis whenthe probabilities areequal andwecan write valueof
= ⇒ =
= + =
max
max maxThus Entropyis whenthe probabilities areequal andwecan write valueof
Entropy H p= =
1
1 1
log log /
M
k
k k
M M bits Message
p M=
⎛ ⎞
= =⎜ ⎟
⎝ ⎠
∑9/4/2013 10Lt Col A K Nigam, ITM University
9/4/2013 11Lt Col A K Nigam, ITM University
Proof of 3rd statement:Condition for Maximum Entropy
• We know that the entropy can achieve maximum value of
log2 M where M is the number of symbols.
If th t ll b l i b bl th• If we assume that all symbols are equiprobable then
probability of each occurring is 1/M
• The associated entropy is thereforepy
2
1
1
( ) log
M
k
k k
H s p
p=
= ∑
2
1 1
. log
1/
k kp
M
M M
=
• This is maximum value of entropy and thus it is maximum
2log M=
• This is maximum value of entropy and thus it is maximum
when all symbols have equal probability of occurrence
9/4/2013 12Lt Col A K Nigam, ITM University
EXAMPLE: Entropy of Source
9/4/2013 13Lt Col A K Nigam, ITM University
EXAMPLE: Entropy of SourceEXAMPLE: Entropy of Source
• Six messages with probabilities 0 30 0 25Six messages with probabilities 0.30, 0.25, 
0.15, 0.12, 0.10, and 0.08, respectively are 
transmitted Find the entropytransmitted. Find the entropy
2 2 2 2 2 2( ) (.30log .30 .25log .25 .15log .15 .12log .12 .10log .10 .08log .08)H x = − + + + + +
10 10 10 10 10 10
1
(.30log .30 .25log .25 .15log .15 .12log .12 .10log .10 .08log .08)
.301
1
.7292
= − + + + + +
= + ×
.301
2.422644= +
9/4/2013 14Lt Col A K Nigam, ITM University
Discrete Memoryless Channel
• A discrete memory‐less channel is a statistical model with an 
input X and an output Y that is a noisy version of X; both X 
and Y are random variables.
9/4/2013 15Lt Col A K Nigam, ITM University
Channel matrix, or transition matrix
A convenient way of describing a discrete memory-less
channel is to arrange the various transition probabilities ofg p
the channel in the form of a matrix as follows:
9/4/2013 16Lt Col A K Nigam, ITM University
Joint EntropyJoint Entropy
• Joint Entropy is defined asJoint Entropy is defined as
( )
1
( )l
m n
∑∑H(XY)= 2
1 1
1
( , )log
( , )
j k
j k j k
p x y
p x y= =
∑∑
= 2( )log ( )
m n
k kp x y p x y−∑∑ 2
1 1
( , )log ( , )j k j k
j k
p x y p x y
= =
∑∑
9/4/2013 17Lt Col A K Nigam, ITM University
Conditional EntropyConditional Entropy
• The quantity H(x/y) is called a conditional entropyThe quantity H(x/y) is called a conditional entropy.
• It represents the amount of uncertainty remaining
about the channel input after the channel output
has been observed and is given by:‐
• H(x/y)• H(x/y)
• Similarly H(y/x) can be computed which is averageSimilarly H(y/x) can be computed which is average 
uncertainty of the channel output given that x was 
transmitted.
9/4/2013 18Lt Col A K Nigam, ITM University
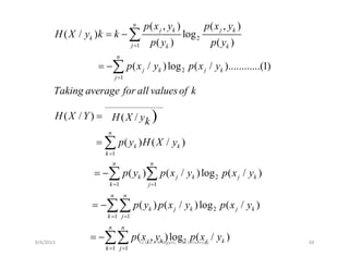
Conditional Entropy: ProofConditional Entropy: Proof
• Conditional probability is defined asp y
( , )
( / )
( )
p x y
p x y
p y
• If received symbol is yk
( )p y
m
1
( , )
( / )
( )
m
j k
j
k
k
p x y
then p X y
p y
=
=
∑
• The associated  entropy is therefore can be computed as 
( )kp y
9/4/2013 19Lt Col A K Nigam, ITM University
2
1
( , ) ( , )
( / ) log
( ) ( )
n
j k j k
k
j k k
p x y p x y
H X y k k
p y p y=
= − ∑
2
1
( / )log ( / )............(1)
n
j k j k
j
p x y p x y
=
= −∑
___________________
( / ) ( / )
Taking average for all valuesof k
H X Y H X yk
=
1
( / ) ( /
( ) ( / )
)
n
k k
k
H X Y H X yk
p y H X y
=
= ∑1
2
1 1
( ) ( / )log (
k
n n
k j k j
k j
p y p x y p x
=
= =
= −∑ ∑ / )ky
1 1k j
2
1 1
( ) ( / )log ( / )
n n
k j k j k
k j
p y p x y p x y
= =
= −∑∑
2
1 1
( , )log ( / )
j
n n
j k j k
k j
p x y p x y
= =
= −∑∑9/4/2013 20Lt Col A K Nigam, ITM University
Mutual Information
Problem statement
Mutual Information 
Given that we the channel output yk is as a noisy version of the 
channel input Xj.
Given that the entropy H(X) is a measure of the prior uncertaintyGiven that the entropy H(X) is a measure of the prior uncertainty 
about X, how can we measure the uncertainty about X after 
observing Y?
Mutual Information Defined
• Note that the entropy H(x) represents our uncertainty about the
channel input before observing the channel output, and the
conditional entropy H(x/y) represents our uncertainty about the
channel input after observing the channel output.
• It follows that the difference H(x) - H(x/y) must represent our( ) ( y) p
uncertainty about the channel input that is resolved by observing
the channel output.
• This important quantity is called the mutual information of the
channel denoted by I(x; y)
• We may thus write I(X; Y)= H(x) - H(x/y) or
= H(y) – H(y/x)
Al it b h th t I(X Y) H( ) +H( ) H( )• Also it can be shown that I(X; Y)= H(x) +H(y)- H(x,y)
9/4/2013 22Lt Col A K Nigam, ITM University
Capacity of a Discrete Memoryless Channelp y y
• Channel capacity of a discrete memoryless channel isp y y
defined as the maximum mutual information I(x; y) in any
single use of the channel where the maximization is over all
possible input probability distributions {p(xj)} on Xpossible input probability distributions {p(xj)} on X.
• The channel capacity is commonly denoted by C. We thusp y y y
write
{ ( )}
( ; )maxp x
C I X Y=
• The channel capacity C is measured in bits per channel use,
or bits per transmission
{ ( )}jp x
or bits per transmission.
9/4/2013 23Lt Col A K Nigam, ITM University
Examples of Mutual Information Numericalsp
D N i l f Si h d S Ch t• Do Numerical from Singh and Sapre Chapter 
10   (10.3.1, 10.4.1, 10.4.2, 10.4.3, 10.5.2, 
10 6 2)10.6.2)
9/4/2013 24Lt Col A K Nigam, ITM University
Example: Find Mutual Information for the
h l h b lchannel shown below
.8
P(X1)=.6                                                    y1
.2            .3
P(X2)=.4                        .7                       y2( ) y
.8 .2
( / )P y x
⎡ ⎤
= ⎢ ⎥( / )
.3 .7
P y x ⎢ ⎥
⎣ ⎦
9/4/2013 25Lt Col A K Nigam, ITM University
• We know that I(x, y)=H(y)‐H(y/x)……..1
Solution
We know that I(x, y) H(y) H(y/x)……..1
• Finding H(y)
• P(y1)=0.6×0.8+.4×0.3=.6
• P(y2)=0.6×0.2+0.4×0.7=.4
• H(y)=‐3.322× [0.6log0.6+0.4log0.4]=0.971 bits/message
• Finding H(y/x)= ‐
• Finding P(x, y)
( , )log ( / )p x y p y x∑∑
48 12⎡ ⎤
• H(y/x)= ‐3 322[0 48×log0 8+0 12×log0 2+ 0 12×logo 3+0 28×log0 7]
.48 .12
( , )
.12 .28
P x y
⎡ ⎤
= ⎢ ⎥
⎣ ⎦
• H(y/x)=  ‐3.322[0.48×log0.8+0.12×log0.2+ 0.12×logo.3+0.28×log0.7]
=    0.7852
• Putting values in 1 we get   I(x, y)=0.971‐0.7852=0.1858 bitsg g ( , y)
9/4/2013 26Lt Col A K Nigam, ITM University
Types of channels and associated EntropyTypes of channels and associated Entropy
• Lossless channelLossless channel
• Deterministic channel
i l h l• Noiseless channel
• Binary symmetric channel
9/4/2013 27Lt Col A K Nigam, ITM University
General Treatment for all the channels
( , ) ( ) ( / ) ........(1)
( ) ( / ) ........(2)
WeknowI x y H x H x y
H y H y x
= −
= −( ) ( / ) ........(2)
( / ) ( )l ( / )
n n
H y H y x
Alsothat
H X Y ∑∑ 2
1 1
( / ) ( , )log ( / )
( , ) ( ) ( / ) ( ) ( / )
j k j k
k j
H X Y p x y p x y
Weknowthat p x y p x p y x p y p x y thuswecanwrite
= =
= −
= =
∑∑
2
1 1
( , ) ( ) ( ) ( ) ( )
( / ) ( ) ( / )log ( / ).
n n
k j k j k
k j
p y p p y p y p y
H X Y p y p x y p x y
= =
= −∑ ∑ .....3
j
( / ) ( ) ( / )log ( / ) 4
n n
Similarlywecanwrite
H Y X p x p y x p y x= ∑ ∑ 2
1 1
( / ) ( ) ( / )log ( / )........4j k j k j
j k
H Y X p x p y x p y x
= =
= −∑ ∑
9/4/2013 28Lt Col A K Nigam, ITM University
Lossless channel
• For a lossless channel no source information is lost in 
transmission. It has only one non zero element in each 
column For examplecolumn. For example
[ ]
3/ 4 1/ 4 0 0 0
( / ) 0 0 1/ 3 2 / 3 0P Y X
⎡ ⎤
⎢ ⎥
⎢ ⎥
• In case of lossless channel p(x/y)=0/1 as the probability of x
[ ]( / ) 0 0 1/ 3 2 / 3 0
0 0 0 0 1
P Y X = ⎢ ⎥
⎢ ⎥⎣ ⎦
• In case of lossless channel p(x/y)=0/1 as the probability of x 
given that y has occurred is 0/1
• Putting this in eq 3 we get H(x/y)=0
• Thus from eq. 1 we get
I(x, y)=H(x)
Also C=max H(x)Also C=max  H(x)
9/4/2013 29Lt Col A K Nigam, ITM University
Deterministic channel
• Channel matrix has only one non zero element in each row, for 
example
1 0 0
1 0 0
⎡ ⎤
⎢ ⎥
⎢ ⎥
[ ]
1 0 0
( / ) 0 1 0
0 1 0
0 0 1
P Y X
⎢ ⎥
⎢ ⎥=
⎢ ⎥
⎢ ⎥
⎢ ⎥⎣ ⎦
• In case of Deterministic channel p(y/x)=0/1 as the probability of y 
given that x has occurred is 0/1
0 0 1⎢ ⎥⎣ ⎦
• Putting this in eq 3 we get H(y/x)=0
• Thus from eq. 1 we get
I(x, y)=H(y)
Also C=max  H(y)
9/4/2013 30Lt Col A K Nigam, ITM University
Noiseless channel
• A channel which is both lossless and deterministic, has only one 
element in each row and column. For example
1 0 0 0⎡ ⎤
[ ]
1 0 0 0
0 1 0 0
( / )
0 0 1 0
P y x
⎡ ⎤
⎢ ⎥
⎢ ⎥=
⎢ ⎥
• Noiseless channel is both lossless and deterministic thus 
H( / ) H( / ) 0
0 0 1 0
0 0 0 1
⎢ ⎥
⎢ ⎥
⎣ ⎦
H(x/y)=H(y/x)=0
• Thus from eq. 1 we get
I(x, y)=H(y)=H(x)
Also C=max H(y)=max H(x)=log2m=log2n where m and n areAlso C=max  H(y)=max  H(x)=log2m=log2n where m and n are 
number of symbols
9/4/2013 31Lt Col A K Nigam, ITM University
Binary Symmetric Channel
α (1 )
( / )
p p
X Y
−⎡ ⎤
⎢ ⎥
1‐α
( / )
(1 )
p X Y
p p
=⎢ ⎥−⎣ ⎦
1 α
(1 )p pα α−⎡ ⎤(1 )
( , )
(1 ) (1 )(1 )
p p
p X Y
p p
α α
α α
⎡ ⎤
= ⎢ ⎥− − −⎣ ⎦
9/4/2013 32Lt Col A K Nigam, ITM University
2
1 1
( / ) ( , )log ( / )
n n
j k k j
k j
H Y Y p x y p y x
= =
= −∑∑
( / ) [ (1 )log(1 ) log (1 ) log
putting values frommatrix we get
H Y Y p p p p p pα α α= − − − + + −
(1 )(1 )log(1 )]
[ log (1 )log(1 )]
p p
p p p p
α− − −
= − + − −
.1
( , ) ( ) log (1 )log(1
Putting thisineq we get
I X Y H y p p p= + + − − )p
9/4/2013 33Lt Col A K Nigam, ITM University
CHANNEL CAPACITY OF A CONTINUOUS CHANNEL
• For a discrete random variable x the entropy H(x) was defined 
as
• H(x) for continuous random variables is obtained by using the 
integral instead of discrete summation thus
9/4/2013 34Lt Col A K Nigam, ITM University
Similarly
( , ) ( , )log ( , )H X Y p x y p x y dxdy
∞ ∞
−∞ −∞
= − ∫ ∫
( / ) ( , )log ( / )H X Y p x y p x y dxdy
∞ ∞
∞ ∞
−∞ −∞
= − ∫ ∫
( / ) ( , )log ( / )H Y X p x y p y x dxdy
−∞ −∞
∞ ∞
∞ ∞
= − ∫ ∫
( ; )
( ; )
For acontineouschannel I x y is defined as
p x y
−∞ −∞
∞ ∞
∫ ∫
( ; )
( ; ) ( , )
( ) ( )
p x y
I x y p x y dxdy
p x p y−∞ −∞
= − ∫ ∫
9/4/2013 35Lt Col A K Nigam, ITM University
Transmission Efficiency of a channelTransmission Efficiency of a channel
Actualtransinformation
M i t i f ti
η =
Maximum transinformation
( ; ) ( ; )I X Y I X Y
= =
max ( ; )I X Y C
Redundancy of a channely
( ; )
1
C I X Y
R η
−
= − =1R
C
η
9/4/2013 36Lt Col A K Nigam, ITM University
Information Capacity Theorem for band‐
limited, power‐limited Gaussian channelslimited, power limited Gaussian channels
• Consider X(t) that is band-limited to B hertz.
• Also we assume that uniform sampling of the process X(t)
at the transmitter at Nyquist rate of 2B samples per second
produces 2B samples per second which are to be
transmitted over the channel
• We also know that Mutual Information for a channel is
I(X; Y)=H(y) – H(y/x)=H(x) - H(x/y)….already done( ; ) (y) (y ) ( ) ( y) y
9/4/2013 37Lt Col A K Nigam, ITM University
Information Capacity Theorem…….
•For Gaussian channel the probability density is given by
2 21 2 2
/ 2
2
1
( )
2
x
p x e σ
πσ
−
=
•For this p(x), H(x) can be shown to be (not required to be solved)
2 21
( ) log 2 log(2 )H x e eπ σ π σ= =
………….1
•If signal power is S and noise power is N then the received signal is sum of
t itt d i l ith S d i ith N th j i t t
( ) og og( )
2
x e eπ σ π σ
transmitted signal with power S and noise with power N then joint entropy
of the source and noise is
9/4/2013 38Lt Col A K Nigam, ITM University
( , ) ( ) ( / )
( / ) ( )
H x n H x H n x
If thetransmitted signal and noiseareindependent then H n x H n
= +
=( / ) ( )
( , ) ( ) ( )............
If thetransmitted signal and noiseareindependent then H n x H n
Thus
H x n H x H n A= +
signal
( , ) ( , )
Sincethereceived is sumof signal x and noisen wemay equate
H x y H x n=
( , ) ( ) ( / )But H x y H y H x y= + using thisandeq.A weget
( ) ( / ) ( ) ( )
R i hi
H y H x y H x H n+ = +
2
Rearranging this weget
( ) ( / ) ( ) ( ) ..........2
(using ( ) 1
H x H x y H y H n Mutual Information
Now N or S N from Eq we getσ
− = − =
+(using ( ) .1
1
( ) log{2 ( )} ( )
2
Now N or S N from Eq we get
H y e S N y S N
σ
π
= +
= + = +
1
( ) log{2 ( )}
2
and H N e Nπ=
9/4/2013 39Lt Col A K Nigam, ITM University
•Putting these values in eq 2 we get
1
( ) l
S N+⎛ ⎞
Putting these values in eq. 2 we get
1
( , ) log
2
1
l
S N
I X Y
N
S
+⎛ ⎞
= ⎜ ⎟
⎝ ⎠
⎛ ⎞1
log 1
2
No.of samplespersecond×MutualInformation
S
N
C
⎛ ⎞
= +⎜ ⎟
⎝ ⎠
= p p
1
2 log 1 log 1
2
S S
B B
N N
⎛ ⎞ ⎛ ⎞
= × + = +⎜ ⎟ ⎜ ⎟
⎝ ⎠ ⎝ ⎠2 N N⎝ ⎠ ⎝ ⎠
(Note: No of samples per sec is 2B as per sampling theorem)(Note: No. of samples per sec is 2B as per sampling theorem)
9/4/2013 40Lt Col A K Nigam, ITM University
• With noise spectral density N the total noise in BW B is• With noise spectral density N0 , the total noise in BW B is 
spectral density multiplied by BW ie BN0.  Thus we can be 
write
• This is Shannon theorem for Channel capacity and is used 
widely in communication computations.
9/4/2013 41Lt Col A K Nigam, ITM University
BW and S/N trade off
0
0 0 0
log 1 log 1
BNS S S
C B
BN N S BN
⎛ ⎞ ⎛ ⎞
= + = +⎜ ⎟ ⎜ ⎟
⎝ ⎠ ⎝ ⎠
0
0
1
/
log 1 log 1
BN
S S BN
S S S S
N BN N BN
⎝ ⎠ ⎝ ⎠
⎛ ⎞ ⎛ ⎞
= + = +⎜ ⎟ ⎜ ⎟
⎝ ⎠ ⎝ ⎠0 0 0 0
1/
(1 )lim
x
N BN N BN
We know that
x e
⎝ ⎠ ⎝ ⎠
+ =
0
1
(1 )lim
x
x e
Thus for
→
+ =
→ ∞B
0
1
/
lim
0 0 0 0
( ) log 1 log 1.44
S BN
B
S S S S
C Max e
N BN N N→∞
⎛ ⎞
= + = =⎜ ⎟
⎝ ⎠
9/4/2013 42Lt Col A K Nigam, ITM University

Dcs unit 2

  • 1.
    Unit 2 Information Theory andCodingInformation Theory and Coding By  Prof A K Nigam 9/4/2013 1Lt Col A K Nigam, ITM University
  • 2.
    Syllabus for Unit 2 • Definition of information • Conceptof entropy• Concept of entropy • Shannon’s theorem for channel capacity • Shannon‐Hartley theorem • Shannon channel capacityp y (Reference Book Communication Systems 4Th Edition Simon Haykin)
  • 3.
    Definition of information We define the amount of information gained after observing  th t Shi h ith d fi d b bilit ththe event S which occurs with a defined probability as the  logarithmic function ( ) 1 logk k I s p ⎛ ⎞ ⎜ ⎟ ⎝ ⎠k k k p Where p is probabilityof occuranceof event s ⎝ ⎠ Remember Joint Probability P(x, Y) di i l b biliConditional Probability  P(A/B)= Pr. Of occurrence of A after B has occurred)
  • 4.
    Important properties • If weare absolutely certain of the outcome of an event, even before it occurs, there is no information gained.gained. •The occurrence of an event either provides some or no information but never brings about a loss ofinformation, but never brings about a loss of information. •The less probable an event is, the more information we gain when it occurs. •If sk and sl are statistically independent. 9/4/2013 4Lt Col A K Nigam, ITM University
  • 5.
    Standard Practice fordefining informationStandard Practice for defining information • It is the standard practice today to use a logarithm to base 2.p y g The resulting unit of information is called the bit • When pk = 1/2, we have I(sk) = 1 bit. Hence, one bit is theWhen pk 1/2, we have I(sk) 1 bit. Hence, one bit is the amount of information that we gain when one of two possible and equally likely events occurs. 9/4/2013 5Lt Col A K Nigam, ITM University
  • 6.
    Entropy of adiscrete memoryless sourceEntropy of a discrete memoryless source • Entropy of a discrete memory‐less source with sourcepy f y alphabet ‘S’ is a measure of the average information content per source symbol. 9/4/2013 6Lt Col A K Nigam, ITM University
  • 7.
    Properties of EntropyProperties of Entropy 1.Entropy is a measure of the uncertainty of the randompy y variable 2. H(s)=0, if and only if the probability p= 1 for some k, and the remaining probabilities in the set are all zero; this lower bound on entropy corresponds to no uncertainty.py p y 3. H(s)= log2K, if and only if pk = 1/K for all k (i.e., all the symbols in the alphabet Y are equi‐probable); this upper bound on entropy corresponds to maximum uncertainty. 9/4/2013 7Lt Col A K Nigam, ITM University
  • 8.
    Proof of theseproperties of H(s)Proof of these properties of H(s) 2nd Property • Since each probability pk is less than or equal to unity, it  follows that each term pk Iog2(1/pk) is always nonnegativefollows that each term pk Iog2(1/pk) is always nonnegative,  and so H(s) ≥ 0.  • Next, we note that the product term pk Iog2(1/pk) is zero if,  and only if pk = 0 or 1.  • We therefore deduce that H(s) = 0 if, and only if pk= 0 or 1,  that is pk = 1 for some k and all the rest are zero. 9/4/2013 8Lt Col A K Nigam, ITM University
  • 9.
    Example: Entropy of Binary Memoryless Source • Weconsider a binary source for which symbol 0 occurs• We consider a binary source for which symbol 0 occurs with probability P(0) and symbol 1 with probability P(1) = 1 – P(0) We assume that the source is memory-less • The entropy of such a source equals H(s) = - P(0) log2 P(o) - P(1) log2 P(1) = - P(o) log2 P(o) - {1 – P(o)} log2{l – P(o)} bits • For P(0)=0 P(1)=1 and thus H(s)=0 • For P(0)=1 P(1)=0 and thus H(s)=0 • For P(0)=P(1)=1/2 it is maximum=1 9/4/2013 9Lt Col A K Nigam, ITM University
  • 10.
    2 2log (1)log (1 ) { l l (1 ) l (1 )} H p p p p dH d = + − − 2 2 2{ log log (1 ) .log (1 )} 1 log loga a p p p p p dp dp d weknowthat x e thus wecan write dx x = − + − − − = 2 2 2 2 2 1 1 {log . log log ( 1) log ( 1) log (1 )} 1 1 1 dx x dH p p p e e e p dp p p p = − + + − − − − − − − 2 2 2 2 1 {log log ( 1)log log (1 1 p e p e p = − + + − − − − 2 2 2 2 ) {log log log log (1 )} p p e e p= − + − − − 2 2 2 2 {log log (1 )} 0 log log (1 ) (1 ) 5 p p p p or p P p = − − − = ⇒ = − = − ⇒ = 2 2 (1 ) .5 1 1 ( ) log 2 log 2 1 2 2 max max or p P p Entropy isthus H s Thus Entropyis whenthe probabilities areequal andwecan write valueof = ⇒ = = + = max max maxThus Entropyis whenthe probabilities areequal andwecan write valueof Entropy H p= = 1 1 1 log log / M k k k M M bits Message p M= ⎛ ⎞ = =⎜ ⎟ ⎝ ⎠ ∑9/4/2013 10Lt Col A K Nigam, ITM University
  • 11.
  • 12.
    Proof of 3rd statement:Condition for Maximum Entropy •We know that the entropy can achieve maximum value of log2 M where M is the number of symbols. If th t ll b l i b bl th• If we assume that all symbols are equiprobable then probability of each occurring is 1/M • The associated entropy is thereforepy 2 1 1 ( ) log M k k k H s p p= = ∑ 2 1 1 . log 1/ k kp M M M = • This is maximum value of entropy and thus it is maximum 2log M= • This is maximum value of entropy and thus it is maximum when all symbols have equal probability of occurrence 9/4/2013 12Lt Col A K Nigam, ITM University
  • 13.
  • 14.
    EXAMPLE: Entropy ofSourceEXAMPLE: Entropy of Source • Six messages with probabilities 0 30 0 25Six messages with probabilities 0.30, 0.25,  0.15, 0.12, 0.10, and 0.08, respectively are  transmitted Find the entropytransmitted. Find the entropy 2 2 2 2 2 2( ) (.30log .30 .25log .25 .15log .15 .12log .12 .10log .10 .08log .08)H x = − + + + + + 10 10 10 10 10 10 1 (.30log .30 .25log .25 .15log .15 .12log .12 .10log .10 .08log .08) .301 1 .7292 = − + + + + + = + × .301 2.422644= + 9/4/2013 14Lt Col A K Nigam, ITM University
  • 15.
  • 16.
    Channel matrix, ortransition matrix A convenient way of describing a discrete memory-less channel is to arrange the various transition probabilities ofg p the channel in the form of a matrix as follows: 9/4/2013 16Lt Col A K Nigam, ITM University
  • 17.
    Joint EntropyJoint Entropy • JointEntropy is defined asJoint Entropy is defined as ( ) 1 ( )l m n ∑∑H(XY)= 2 1 1 1 ( , )log ( , ) j k j k j k p x y p x y= = ∑∑ = 2( )log ( ) m n k kp x y p x y−∑∑ 2 1 1 ( , )log ( , )j k j k j k p x y p x y = = ∑∑ 9/4/2013 17Lt Col A K Nigam, ITM University
  • 18.
    Conditional EntropyConditional Entropy • Thequantity H(x/y) is called a conditional entropyThe quantity H(x/y) is called a conditional entropy. • It represents the amount of uncertainty remaining about the channel input after the channel output has been observed and is given by:‐ • H(x/y)• H(x/y) • Similarly H(y/x) can be computed which is averageSimilarly H(y/x) can be computed which is average  uncertainty of the channel output given that x was  transmitted. 9/4/2013 18Lt Col A K Nigam, ITM University
  • 19.
    Conditional Entropy: ProofConditional Entropy: Proof •Conditional probability is defined asp y ( , ) ( / ) ( ) p x y p x y p y • If received symbol is yk ( )p y m 1 ( , ) ( / ) ( ) m j k j k k p x y then p X y p y = = ∑ • The associated  entropy is therefore can be computed as  ( )kp y 9/4/2013 19Lt Col A K Nigam, ITM University
  • 20.
    2 1 ( , )( , ) ( / ) log ( ) ( ) n j k j k k j k k p x y p x y H X y k k p y p y= = − ∑ 2 1 ( / )log ( / )............(1) n j k j k j p x y p x y = = −∑ ___________________ ( / ) ( / ) Taking average for all valuesof k H X Y H X yk = 1 ( / ) ( / ( ) ( / ) ) n k k k H X Y H X yk p y H X y = = ∑1 2 1 1 ( ) ( / )log ( k n n k j k j k j p y p x y p x = = = = −∑ ∑ / )ky 1 1k j 2 1 1 ( ) ( / )log ( / ) n n k j k j k k j p y p x y p x y = = = −∑∑ 2 1 1 ( , )log ( / ) j n n j k j k k j p x y p x y = = = −∑∑9/4/2013 20Lt Col A K Nigam, ITM University
  • 21.
    Mutual Information Problem statement Mutual Information  Given that we the channel output yk is as a noisy version of the  channel input Xj. Giventhat the entropy H(X) is a measure of the prior uncertaintyGiven that the entropy H(X) is a measure of the prior uncertainty  about X, how can we measure the uncertainty about X after  observing Y?
  • 22.
    Mutual Information Defined • Note thatthe entropy H(x) represents our uncertainty about the channel input before observing the channel output, and the conditional entropy H(x/y) represents our uncertainty about the channel input after observing the channel output. • It follows that the difference H(x) - H(x/y) must represent our( ) ( y) p uncertainty about the channel input that is resolved by observing the channel output. • This important quantity is called the mutual information of the channel denoted by I(x; y) • We may thus write I(X; Y)= H(x) - H(x/y) or = H(y) – H(y/x) Al it b h th t I(X Y) H( ) +H( ) H( )• Also it can be shown that I(X; Y)= H(x) +H(y)- H(x,y) 9/4/2013 22Lt Col A K Nigam, ITM University
  • 23.
    Capacity of a Discrete Memoryless Channelp yy • Channel capacity of a discrete memoryless channel isp y y defined as the maximum mutual information I(x; y) in any single use of the channel where the maximization is over all possible input probability distributions {p(xj)} on Xpossible input probability distributions {p(xj)} on X. • The channel capacity is commonly denoted by C. We thusp y y y write { ( )} ( ; )maxp x C I X Y= • The channel capacity C is measured in bits per channel use, or bits per transmission { ( )}jp x or bits per transmission. 9/4/2013 23Lt Col A K Nigam, ITM University
  • 24.
    Examples of Mutual Information Numericalsp D N il f Si h d S Ch t• Do Numerical from Singh and Sapre Chapter  10   (10.3.1, 10.4.1, 10.4.2, 10.4.3, 10.5.2,  10 6 2)10.6.2) 9/4/2013 24Lt Col A K Nigam, ITM University
  • 25.
    Example: Find MutualInformation for the h l h b lchannel shown below .8 P(X1)=.6                                                    y1 .2            .3 P(X2)=.4                        .7                       y2( ) y .8 .2 ( / )P y x ⎡ ⎤ = ⎢ ⎥( / ) .3 .7 P y x ⎢ ⎥ ⎣ ⎦ 9/4/2013 25Lt Col A K Nigam, ITM University
  • 26.
    • We knowthat I(x, y)=H(y)‐H(y/x)……..1 Solution We know that I(x, y) H(y) H(y/x)……..1 • Finding H(y) • P(y1)=0.6×0.8+.4×0.3=.6 • P(y2)=0.6×0.2+0.4×0.7=.4 • H(y)=‐3.322× [0.6log0.6+0.4log0.4]=0.971 bits/message • Finding H(y/x)= ‐ • Finding P(x, y) ( , )log ( / )p x y p y x∑∑ 48 12⎡ ⎤ • H(y/x)= ‐3 322[0 48×log0 8+0 12×log0 2+ 0 12×logo 3+0 28×log0 7] .48 .12 ( , ) .12 .28 P x y ⎡ ⎤ = ⎢ ⎥ ⎣ ⎦ • H(y/x)=  ‐3.322[0.48×log0.8+0.12×log0.2+ 0.12×logo.3+0.28×log0.7] =    0.7852 • Putting values in 1 we get   I(x, y)=0.971‐0.7852=0.1858 bitsg g ( , y) 9/4/2013 26Lt Col A K Nigam, ITM University
  • 27.
    Types of channelsand associated EntropyTypes of channels and associated Entropy • Lossless channelLossless channel • Deterministic channel i l h l• Noiseless channel • Binary symmetric channel 9/4/2013 27Lt Col A K Nigam, ITM University
  • 28.
    General Treatment for all the channels ( , )( ) ( / ) ........(1) ( ) ( / ) ........(2) WeknowI x y H x H x y H y H y x = − = −( ) ( / ) ........(2) ( / ) ( )l ( / ) n n H y H y x Alsothat H X Y ∑∑ 2 1 1 ( / ) ( , )log ( / ) ( , ) ( ) ( / ) ( ) ( / ) j k j k k j H X Y p x y p x y Weknowthat p x y p x p y x p y p x y thuswecanwrite = = = − = = ∑∑ 2 1 1 ( , ) ( ) ( ) ( ) ( ) ( / ) ( ) ( / )log ( / ). n n k j k j k k j p y p p y p y p y H X Y p y p x y p x y = = = −∑ ∑ .....3 j ( / ) ( ) ( / )log ( / ) 4 n n Similarlywecanwrite H Y X p x p y x p y x= ∑ ∑ 2 1 1 ( / ) ( ) ( / )log ( / )........4j k j k j j k H Y X p x p y x p y x = = = −∑ ∑ 9/4/2013 28Lt Col A K Nigam, ITM University
  • 29.
    Lossless channel • For a lossless channel no source information is lost in  transmission. It has only one non zero element in each  column Forexamplecolumn. For example [ ] 3/ 4 1/ 4 0 0 0 ( / ) 0 0 1/ 3 2 / 3 0P Y X ⎡ ⎤ ⎢ ⎥ ⎢ ⎥ • In case of lossless channel p(x/y)=0/1 as the probability of x [ ]( / ) 0 0 1/ 3 2 / 3 0 0 0 0 0 1 P Y X = ⎢ ⎥ ⎢ ⎥⎣ ⎦ • In case of lossless channel p(x/y)=0/1 as the probability of x  given that y has occurred is 0/1 • Putting this in eq 3 we get H(x/y)=0 • Thus from eq. 1 we get I(x, y)=H(x) Also C=max H(x)Also C=max  H(x) 9/4/2013 29Lt Col A K Nigam, ITM University
  • 30.
    Deterministic channel • Channel matrix has only one non zero element in each row, for  example 1 00 1 0 0 ⎡ ⎤ ⎢ ⎥ ⎢ ⎥ [ ] 1 0 0 ( / ) 0 1 0 0 1 0 0 0 1 P Y X ⎢ ⎥ ⎢ ⎥= ⎢ ⎥ ⎢ ⎥ ⎢ ⎥⎣ ⎦ • In case of Deterministic channel p(y/x)=0/1 as the probability of y  given that x has occurred is 0/1 0 0 1⎢ ⎥⎣ ⎦ • Putting this in eq 3 we get H(y/x)=0 • Thus from eq. 1 we get I(x, y)=H(y) Also C=max  H(y) 9/4/2013 30Lt Col A K Nigam, ITM University
  • 31.
    Noiseless channel • A channel which is both lossless and deterministic, has only one  element in each row and column. For example 1 00 0⎡ ⎤ [ ] 1 0 0 0 0 1 0 0 ( / ) 0 0 1 0 P y x ⎡ ⎤ ⎢ ⎥ ⎢ ⎥= ⎢ ⎥ • Noiseless channel is both lossless and deterministic thus  H( / ) H( / ) 0 0 0 1 0 0 0 0 1 ⎢ ⎥ ⎢ ⎥ ⎣ ⎦ H(x/y)=H(y/x)=0 • Thus from eq. 1 we get I(x, y)=H(y)=H(x) Also C=max H(y)=max H(x)=log2m=log2n where m and n areAlso C=max  H(y)=max  H(x)=log2m=log2n where m and n are  number of symbols 9/4/2013 31Lt Col A K Nigam, ITM University
  • 32.
    Binary Symmetric Channel α (1 ) (/ ) p p X Y −⎡ ⎤ ⎢ ⎥ 1‐α ( / ) (1 ) p X Y p p =⎢ ⎥−⎣ ⎦ 1 α (1 )p pα α−⎡ ⎤(1 ) ( , ) (1 ) (1 )(1 ) p p p X Y p p α α α α ⎡ ⎤ = ⎢ ⎥− − −⎣ ⎦ 9/4/2013 32Lt Col A K Nigam, ITM University
  • 33.
    2 1 1 ( /) ( , )log ( / ) n n j k k j k j H Y Y p x y p y x = = = −∑∑ ( / ) [ (1 )log(1 ) log (1 ) log putting values frommatrix we get H Y Y p p p p p pα α α= − − − + + − (1 )(1 )log(1 )] [ log (1 )log(1 )] p p p p p p α− − − = − + − − .1 ( , ) ( ) log (1 )log(1 Putting thisineq we get I X Y H y p p p= + + − − )p 9/4/2013 33Lt Col A K Nigam, ITM University
  • 34.
  • 35.
    Similarly ( , )( , )log ( , )H X Y p x y p x y dxdy ∞ ∞ −∞ −∞ = − ∫ ∫ ( / ) ( , )log ( / )H X Y p x y p x y dxdy ∞ ∞ ∞ ∞ −∞ −∞ = − ∫ ∫ ( / ) ( , )log ( / )H Y X p x y p y x dxdy −∞ −∞ ∞ ∞ ∞ ∞ = − ∫ ∫ ( ; ) ( ; ) For acontineouschannel I x y is defined as p x y −∞ −∞ ∞ ∞ ∫ ∫ ( ; ) ( ; ) ( , ) ( ) ( ) p x y I x y p x y dxdy p x p y−∞ −∞ = − ∫ ∫ 9/4/2013 35Lt Col A K Nigam, ITM University
  • 36.
    Transmission Efficiency ofa channelTransmission Efficiency of a channel Actualtransinformation M i t i f ti η = Maximum transinformation ( ; ) ( ; )I X Y I X Y = = max ( ; )I X Y C Redundancy of a channely ( ; ) 1 C I X Y R η − = − =1R C η 9/4/2013 36Lt Col A K Nigam, ITM University
  • 37.
    Information Capacity Theorem for band‐ limited, power‐limitedGaussian channelslimited, power limited Gaussian channels • Consider X(t) that is band-limited to B hertz. • Also we assume that uniform sampling of the process X(t) at the transmitter at Nyquist rate of 2B samples per second produces 2B samples per second which are to be transmitted over the channel • We also know that Mutual Information for a channel is I(X; Y)=H(y) – H(y/x)=H(x) - H(x/y)….already done( ; ) (y) (y ) ( ) ( y) y 9/4/2013 37Lt Col A K Nigam, ITM University
  • 38.
    Information Capacity Theorem……. •For Gaussian channelthe probability density is given by 2 21 2 2 / 2 2 1 ( ) 2 x p x e σ πσ − = •For this p(x), H(x) can be shown to be (not required to be solved) 2 21 ( ) log 2 log(2 )H x e eπ σ π σ= = ………….1 •If signal power is S and noise power is N then the received signal is sum of t itt d i l ith S d i ith N th j i t t ( ) og og( ) 2 x e eπ σ π σ transmitted signal with power S and noise with power N then joint entropy of the source and noise is 9/4/2013 38Lt Col A K Nigam, ITM University
  • 39.
    ( , )( ) ( / ) ( / ) ( ) H x n H x H n x If thetransmitted signal and noiseareindependent then H n x H n = + =( / ) ( ) ( , ) ( ) ( )............ If thetransmitted signal and noiseareindependent then H n x H n Thus H x n H x H n A= + signal ( , ) ( , ) Sincethereceived is sumof signal x and noisen wemay equate H x y H x n= ( , ) ( ) ( / )But H x y H y H x y= + using thisandeq.A weget ( ) ( / ) ( ) ( ) R i hi H y H x y H x H n+ = + 2 Rearranging this weget ( ) ( / ) ( ) ( ) ..........2 (using ( ) 1 H x H x y H y H n Mutual Information Now N or S N from Eq we getσ − = − = +(using ( ) .1 1 ( ) log{2 ( )} ( ) 2 Now N or S N from Eq we get H y e S N y S N σ π = + = + = + 1 ( ) log{2 ( )} 2 and H N e Nπ= 9/4/2013 39Lt Col A K Nigam, ITM University
  • 40.
    •Putting these valuesin eq 2 we get 1 ( ) l S N+⎛ ⎞ Putting these values in eq. 2 we get 1 ( , ) log 2 1 l S N I X Y N S +⎛ ⎞ = ⎜ ⎟ ⎝ ⎠ ⎛ ⎞1 log 1 2 No.of samplespersecond×MutualInformation S N C ⎛ ⎞ = +⎜ ⎟ ⎝ ⎠ = p p 1 2 log 1 log 1 2 S S B B N N ⎛ ⎞ ⎛ ⎞ = × + = +⎜ ⎟ ⎜ ⎟ ⎝ ⎠ ⎝ ⎠2 N N⎝ ⎠ ⎝ ⎠ (Note: No of samples per sec is 2B as per sampling theorem)(Note: No. of samples per sec is 2B as per sampling theorem) 9/4/2013 40Lt Col A K Nigam, ITM University
  • 41.
    • With noisespectral density N the total noise in BW B is• With noise spectral density N0 , the total noise in BW B is  spectral density multiplied by BW ie BN0.  Thus we can be  write • This is Shannon theorem for Channel capacity and is used  widely in communication computations. 9/4/2013 41Lt Col A K Nigam, ITM University
  • 42.
    BW and S/N trade off 0 0 0 0 log1 log 1 BNS S S C B BN N S BN ⎛ ⎞ ⎛ ⎞ = + = +⎜ ⎟ ⎜ ⎟ ⎝ ⎠ ⎝ ⎠ 0 0 1 / log 1 log 1 BN S S BN S S S S N BN N BN ⎝ ⎠ ⎝ ⎠ ⎛ ⎞ ⎛ ⎞ = + = +⎜ ⎟ ⎜ ⎟ ⎝ ⎠ ⎝ ⎠0 0 0 0 1/ (1 )lim x N BN N BN We know that x e ⎝ ⎠ ⎝ ⎠ + = 0 1 (1 )lim x x e Thus for → + = → ∞B 0 1 / lim 0 0 0 0 ( ) log 1 log 1.44 S BN B S S S S C Max e N BN N N→∞ ⎛ ⎞ = + = =⎜ ⎟ ⎝ ⎠ 9/4/2013 42Lt Col A K Nigam, ITM University