Contactless Calliper
Reporter – Giga Khizanishvili
CONTACTLESS CALLIPER
Invent and construct an optical device that uses a laser pointer and
allows contactless determination of thickness, refractive index, and other
properties of a glass sheet.
25.02.2017 2Giga Khizanishvili
 Problem
 Theoretical model
 Experiments
 The margin of error
 Compare of theory and experiments
 Conclusion
25.02.2017 3Giga Khizanishvili
𝛽 𝛽
𝛼 𝛼
d
𝑠
25.02.2017 4Giga Khizanishvili
n2
n1
𝑥s = 𝑥 ∗ 𝑠𝑖𝑛𝑎
𝑠
Refractive index 1,0002926
𝒔𝒊𝒏𝜶
𝒔𝒊𝒏𝜷
=
𝒏 𝟐
𝒏 𝟏
n1 (Air) ≈ 1
25.02.2017Giga Khizanishvili 5
n1
n2
𝒔𝒊𝒏𝜶 = 𝒔𝒊𝒏𝜷 ∗ 𝒏
25.02.2017Giga Khizanishvili 6
cos 𝛼 =
𝑠
𝑙
𝑐𝑡𝑔𝛽 =
2𝑑
𝑙
𝑙 =
2𝑑
𝑐𝑡𝑔𝛽
𝑐𝑜𝑠𝛼 =
𝑠 ∗ 𝑐𝑡𝑔𝛽
2𝑑
𝑑 =
𝑠 ∗ 𝑐𝑡𝑔𝛽
2 ∗ 𝑐𝑜𝑠𝑎
=
𝑠 ∗ 𝑐𝑜𝑠𝛽
2 ∗ 𝑐𝑜𝑠𝛼 ∗ 𝑠𝑖𝑛𝛽
=
𝑠 ∗ 1 − 𝑠𝑖𝑛2 𝛽
2 ∗ 𝑐𝑜𝑠𝛼 ∗ 𝑠𝑖𝑛𝛽
𝑠𝑖𝑛𝛽 ∗ n = 𝑠𝑖𝑛𝑎 ⇒ 𝑠𝑖𝑛𝛽 =
𝑠𝑖𝑛𝑎
𝑛
𝑑 =
𝑠 ∗ 𝑛 ∗ 1 −
𝑠𝑖𝑛2 𝑎
𝑛2
𝑠𝑖𝑛2𝑎
25.02.2017Giga Khizanishvili 7
d
n
𝑠1
𝑎1 𝑎1
𝑠1
𝑎1
𝐹𝑖𝑟𝑠𝑡 𝐸𝑥𝑝𝑒𝑟𝑖𝑚𝑒𝑛𝑡
25.02.2017Giga Khizanishvili 8
d
n
𝑠2
𝑎2 𝑎2𝑠2
𝑎1
𝑎2
𝑆𝑒𝑐𝑜𝑛𝑑 𝐸𝑥𝑝𝑒𝑟𝑖𝑚𝑒𝑛𝑡
25.02.2017Giga Khizanishvili 9
𝑑 =
s1 ∗ n ∗ 1 −
𝑠𝑖𝑛2 𝑎1
𝑛2
𝑠𝑖𝑛2𝑎1
𝑑 =
s2 ∗ n ∗ 1 −
𝑠𝑖𝑛2 𝑎2
𝑛2
𝑠𝑖𝑛2𝑎2
s1 ∗ n ∗ 1 −
𝑠𝑖𝑛2 𝑎1
𝑛2
𝑠𝑖𝑛2𝑎1
=
s2 ∗ n ∗ 1 −
𝑠𝑖𝑛2 𝑎2
𝑛2
𝑠𝑖𝑛2𝑎2
𝒏 =
𝐬 𝟏
𝟐 ∗ 𝒔𝒊𝒏 𝟐 𝒂 𝟏 ∗ 𝒔𝒊𝒏 𝟐 𝟐𝒂 𝟐 − 𝐬 𝟐
𝟐 ∗ 𝒔𝒊𝒏 𝟐 𝒂 𝟐 ∗ 𝒔𝒊𝒏 𝟐 𝟐𝒂 𝟏
𝐬 𝟏
𝟐 ∗ 𝒔𝒊𝒏 𝟐 𝟐𝒂 𝟐 − 𝐬 𝟐
𝟐 ∗ 𝒔𝒊𝒏 𝟐 𝟐𝒂 𝟏
25.02.2017Giga Khizanishvili 10
𝑎
𝑎
𝑥
𝑦
𝑦 = 𝑥 ∗ 𝑠𝑖𝑛𝑎
𝑠
𝐹
𝑑
cos(90 − 𝑎)
− 𝑥 ∗ 𝑐𝑜𝑠𝑎
2 ∗ 𝐹 ∗ cos(90 − 𝑎)
𝑑 − 𝑥 ∗ 𝑠𝑖𝑛2𝑎
=
𝑠
𝑥 ∗ 𝑐𝑜𝑠𝑎
𝑠 =
2 ∗ F ∗ cos 90 − 𝑎 ∗ 𝑥 ∗ 𝑐𝑜𝑠𝑎
𝑑 − 𝑥 ∗ 𝑠𝑖𝑛2𝑎
𝑑
𝑠 =
𝐹 ∗ 𝑥 ∗ 𝑠𝑖𝑛2𝑎
𝑑 − 𝑥 ∗ 𝑠𝑖𝑛2𝑎
=
𝑠
𝑦
25.02.2017Giga Khizanishvili 11
1
𝑛 𝑎𝑖𝑟
=
1
1,0002926
= 0,9997 ⇒ 𝐸𝑟𝑟𝑜𝑟 = 1 − 0,9997 =0,03%
 The margin of error of the refractive index of the
air
25.02.2017Giga Khizanishvili 12
 The margin of the error of the angle ( 𝛼1)
𝑙
ℎ = 132 ± 0,5 cm
𝑥
𝑎
𝑥 = 126 ± 0.5 cm
ℎ
𝑡𝑔𝑎 𝑚𝑎𝑥 =
126 + 0.5
132 − 0.5
= 0,961965
𝑡𝑔𝑎 𝑚𝑖𝑛 =
126 − 0.5
132 + 0.5
= 0.94749
25.02.2017Giga Khizanishvili 13
 The margin of the error of the angle ( 𝛼1)
𝑙
𝑥
𝑎
ℎ
𝑎𝑟𝑐𝑡𝑔 0,961965 = 43.88°
𝑡𝑔𝑎 𝑚𝑖𝑛 =
126 − 0.5
132 + 0.5
= 0.94749
𝑎𝑟𝑐𝑡𝑔 0.94749 = 43.45°
𝑎 =
𝑎 𝑚𝑎𝑥 + 𝑎 𝑚𝑖𝑛
2
=
43.88 + 43.45
2
= 43.665° ± 0.215°
∆𝑎
𝑎
=
0.215°
43.665°
≈ 0.005 ≈ 0.5%
𝑡𝑔𝑎 𝑚𝑎𝑥 =
126 + 0.5
132 − 0.5
= 0,961965
25.02.2017Giga Khizanishvili 14
 The margin of the error of the angle ( 𝛼2)
𝑙
𝑥
𝑎
ℎ
ℎ = 130 ± 0,5 𝑐𝑚
𝑥 = 81 ± 0,5 𝑐𝑚
𝑎 =
𝑎 𝑚𝑎𝑥 + 𝑎 𝑚𝑖𝑛
2
=
32.44° + 31,4°
2
= 31.92° ± 0.26°
∆𝑎
𝑎
=
0.26°
31.95°
≈ 0.008 ≈ 0.8%
𝑎 𝑚𝑎𝑥 = 32.18°
𝑎 𝑚𝑖𝑛 = 31,66°
25.02.2017Giga Khizanishvili 15
𝑑 =
s ∗ n ∗ 1 −
𝑠𝑖𝑛2 𝑎
𝑛2
𝑠𝑖𝑛2𝑎
∆𝑓 𝑎, 𝑏, 𝑐, =
𝜕𝑓
𝜕𝑎
∆𝑎 +
𝜕𝑓
𝜕𝑏
∆b +
𝜕𝑓
𝜕𝑐
∆c
∆𝑑
𝑑
= 4.8 %⇒
 𝑠
 𝑛
 𝑎
 𝑠𝑖𝑛𝑎
 𝑠𝑖𝑛2𝑎
∆𝑠
𝑠
=
0.5
36
= 0.0138 ≈ 1.4%
∆𝑎1
𝑎1
= 0.5%
∆𝑎2
𝑎2
= 0.8%
25.02.2017Giga Khizanishvili 16
𝑐 =
1
𝜇0 ∗ 𝜀0
𝑣 =
1
𝜇𝜇0 ∗ 𝜀0 𝜀
𝑐 = 𝑣 ∗ 𝑛
𝑐
𝑛
= 𝑣⇒
𝑛 ∗ 𝜇0 ∗ 𝜀0 = 𝜇𝜇0 ∗ 𝜀0 𝜀
𝑛 = 𝜀 𝑛2
= 𝜀⇒
𝜀 𝑜 − 𝑑𝑖 𝑒𝑙𝑒𝑐𝑡𝑟𝑖𝑐𝑎𝑙 𝑝𝑒𝑟𝑚𝑒𝑎𝑏𝑖𝑙𝑖𝑡𝑦
𝜇 𝑜 − 𝑚𝑎𝑔𝑛𝑒𝑡𝑖𝑐 𝑝𝑒𝑟𝑚𝑒𝑎𝑖𝑙𝑖𝑡𝑦
𝜇 − 𝑖𝑛𝑑𝑒𝑥 𝑜𝑓𝑚𝑎𝑔𝑛𝑒𝑡𝑖𝑐 𝑝𝑒𝑟𝑚𝑒𝑎𝑖𝑙𝑖𝑡𝑦
𝜀 − 𝑖𝑛𝑑𝑒𝑥 𝑜𝑓 𝑑𝑖 𝑒𝑙𝑒𝑐𝑡𝑟𝑖𝑐𝑎𝑙 𝑝𝑒𝑟𝑚𝑒𝑎𝑏𝑖𝑙𝑖𝑡𝑦
2.37
2.28
2.19
2.28
2.2
0.0001
0 0.5 1 1.5 2 2.5
I Exp
II Exp
III Exp
IV exp
V Exp
Vi asfas
I Exp II Exp III Exp IV exp V Exp Vi asfas
Di electrical permeability 2.37 2.28 2.19 2.28 2.2 0.0001
Di electrical permeability
25.02.2017Giga Khizanishvili 17
25.02.2017 18Giga Khizanishvili
 Angle of laser’s declination - 𝛼1 = 43,7°
 Angle of laser’s declination - 𝛼2= 32°
25.02.2017Giga Khizanishvili 19
25.02.2017Giga Khizanishvili 20
𝑠1 = 2.8 𝑚𝑚
𝒏 =
𝐬 𝟏
𝟐 ∗ 𝒔𝒊𝒏 𝟐 𝒂 𝟏 ∗ 𝒔𝒊𝒏 𝟐 𝟐𝒂 𝟐 − 𝐬 𝟐
𝟐 ∗ 𝒔𝒊𝒏 𝟐 𝒂 𝟐 ∗ 𝒔𝒊𝒏 𝟐 𝟐𝒂 𝟏
𝐬 𝟏
𝟐 ∗ 𝒔𝒊𝒏 𝟐 𝟐𝒂 𝟐 − 𝐬 𝟐
𝟐 ∗ 𝒔𝒊𝒏 𝟐 𝟐𝒂 𝟏
𝑠2 = 2.4 𝑚𝑚
𝑎1 = 43.7°
𝑎2 = 32°
⇒ 𝑛 = 1.53
25.02.2017Giga Khizanishvili 21
𝑑 =
s ∗ n ∗ 1 −
𝑠𝑖𝑛2 𝑎
𝑛2
𝑠𝑖𝑛2𝑎
𝑛 = 1.53
𝑠𝑖𝑛𝑎 = 0.69
𝑠𝑖𝑛2𝑎 = 0.99
𝑠 =
𝐹 ∗ 𝑥 ∗ 𝑠𝑖𝑛2𝑎
𝑑 − 𝑥 ∗ 𝑠𝑖𝑛2𝑎
25.02.2017Giga Khizanishvili 22
𝑎
𝑎
𝑥
𝑦
𝑠
𝑑
𝑑1
𝑑2
𝑑1 = 953 cm
𝑑2 = 𝐹 ∗ 𝑠𝑖𝑛𝑎
𝑑 = 𝑑1 + 𝑑2
𝑑 = 953 + 15 ∗ 0.69
𝑑 = 953 + 10.35
𝑑 = 963 cm
25.02.2017Giga Khizanishvili 23
𝑛 = 1.55
𝑠𝑖𝑛𝑎 = 0.69
𝑠𝑖𝑛2𝑎 = 0.9989
𝑠 =
𝐹 ∗ 𝑥 ∗ 𝑠𝑖𝑛2𝑎
𝑑 − 𝑥 ∗ 𝑠𝑖𝑛2𝑎
𝐹 = 15 𝑐𝑚
𝑑 = 963 𝑐𝑚
𝑑 =
s ∗ n ∗ 1 −
𝑠𝑖𝑛2 𝑎
𝑛2
𝑠𝑖𝑛2𝑎
𝑠𝑖𝑛2𝑎 = 0.99
𝑥 =
𝑠 =
15 ∗ 0.999 ∗ 6.5
172.35 ∗ 2
= 2.8 𝑚𝑚⇒
𝑥 = 36 𝑐𝑚
𝑥 = 36 𝑐𝑚
25.02.2017Giga Khizanishvili 24
𝑛 = 1.53
𝑠𝑖𝑛𝑎 = 0.69
𝑠𝑖𝑛2𝑎 = 0.9989
𝑑 =
s ∗ n ∗ 1 −
𝑠𝑖𝑛2 𝑎
𝑛2
𝑠𝑖𝑛2𝑎
𝑠 = 2.8 𝑚𝑚
𝑛 = 1.53
𝑠𝑖𝑛2𝑎 = 0.999
𝑠𝑖𝑛𝑎 = 0.69
𝑑 =
2.8 ∗ 1.55 ∗ 1 −
0.47679
2.4
0.999
= 4.39 ∗ 0.8 = 3.83 𝑚𝑚
𝑑 = 3.83𝑚𝑚 𝑛 = 1.53 𝐶𝑎𝑙𝑙𝑖𝑝𝑒𝑟
25.02.2017Giga Khizanishvili 25
1.5
4.96
1.54
5.09
0 1 2 3 4 5 6
n
d
n d
Experiment 1.54 5.09
Theory 1.5 4.96
d = 4.96mm
Experiment Theory
25.02.2017Giga Khizanishvili 26
1.5
2.39
1.51
2.44
0 0.5 1 1.5 2 2.5 3
n
d
n d
Experiment 1.51 2.44
Theory 1.5 2.39
d = 2.39mm
Experiment Theory
25.02.2017Giga Khizanishvili 27
1.5
6.21
1.48
6.14
0 1 2 3 4 5 6 7
n
d
n d
Experiment 1.48 6.14
Theory 1.5 6.21
d = 6.21mm
Experiment Theory
25.02.2017Giga Khizanishvili 28
1.5
3.24
1.51
3.28
0 0.5 1 1.5 2 2.5 3 3.5
n
d
n d
Experiment 1.51 3.28
Theory 1.5 3.24
d = 3.24mm
Experiment Theory
25.02.2017Giga Khizanishvili 29
1.5
3.91
1.485
3.85
0 0.5 1 1.5 2 2.5 3 3.5 4 4.5
n
d
n d
Experiment 1.485 3.85
Theory 1.5 3.91
d = 3.91mm
Experiment Theory
25.02.2017Giga Khizanishvili 30
 We came up with a mechanism that measures the thickness of glass sheet
 The thickness of a glass sheet depends upon 𝑎, 𝑛, 𝑥.
 We have derived a formula for the refractive index of glass
 Experimental Errors we are measured
 Experiments have been conducted
 Thickness of glass sheet and refractive index have been determined
 Theoretical model was compared to experiments
 We have solved the problem
25.02.2017 31Giga Khizanishvili
 Baldwin, G. C.; Solem, J. C. (1997). "Recoilless gamma-ray lasers". Reviews of
Modern Physics 69 (4): 1085–1117.
 Vogel, Werner. Physics of Glass. Wiley, 1985.
 Bundschuh, Bernhard; Himmel, Jörg: Optische Informationsübertragung.
Oldenbourg Verlag, München, Wien 2003
 Baldwin, G. C.; Solem, J. C. (1982). "Is the time ripe? Or must we wait so long for
breakthroughs?". Laser Focus 18
25.02.2017 32Giga Khizanishvili
 https://www.google.com/patents/US4902902
 http://russianpatents.com/patent/242/2429447.html
 http://physics.aidio.net/index.php/18-teoria/73-geometriuli-optika-ziritadi-kanonebi
 http://www.google.com/patents/US7414740
 http://vlab.amrita.edu/?sub=1&brch=189&sim=1519&cnt=1
 https://www.google.com/patents/US5636027
25.02.2017 33Giga Khizanishvili
25.02.2017 34Giga Khizanishvili
25.02.2017 35Giga Khizanishvili
25.02.2017Giga Khizanishvili 36
სინათლის გაძლიერება იძულე-
ბული გამოსხივების მეშვეობით
მოწყობილობა, რომელიც
ენერგიას გარდაქმნის მიმარ-
თულ სინათლის სხივად.
25.02.2017 4
25.02.2017Giga Khizanishvili 38
n1
n2
25.02.2017Giga Khizanishvili 39
s1
2 ∗ (𝑛2 −𝑠𝑖𝑛2
𝑎1)
𝑠𝑖𝑛22𝑎1
=
s2
2 ∗ (𝑛2 − 𝑠𝑖𝑛2
𝑎2)
𝑠𝑖𝑛22𝑎2
s1
2 ∗ 𝑛2 −s1
2 ∗ 𝑠𝑖𝑛2 𝑎1
𝑠𝑖𝑛22𝑎1
=
s2
2 ∗ 𝑛2 − s2
2 ∗ 𝑠𝑖𝑛2 𝑎2
𝑠𝑖𝑛22𝑎2
s1
2 ∗ 𝑛2 ∗ 𝑠𝑖𝑛22𝑎2 − s1
2 ∗ 𝑠𝑖𝑛2 𝑎1 ∗ 𝑠𝑖𝑛22𝑎2 = s2
2 ∗ 𝑛2 ∗ 𝑠𝑖𝑛22𝑎1 − s2
2 ∗ 𝑠𝑖𝑛2 𝑎2 ∗ 𝑠𝑖𝑛22𝑎1
s1
2 ∗ 𝑛2 ∗ 𝑠𝑖𝑛22𝑎2 − s2
2 ∗ 𝑛2 ∗ 𝑠𝑖𝑛22𝑎1 = s1
2 ∗ 𝑠𝑖𝑛2 𝑎1 ∗ 𝑠𝑖𝑛22𝑎2 − s2
2 ∗ 𝑠𝑖𝑛2 𝑎2 ∗ 𝑠𝑖𝑛22𝑎1
𝑛2 ∗ (s1
2 ∗ 𝑠𝑖𝑛22𝑎2 − s2
2 ∗ 𝑠𝑖𝑛22𝑎1) = s1
2 ∗ 𝑠𝑖𝑛2
𝑎1 ∗ 𝑠𝑖𝑛22𝑎2 − s2
2 ∗ 𝑠𝑖𝑛2
𝑎2 ∗ 𝑠𝑖𝑛22𝑎1
𝑛2 =
s1
2 ∗ 𝑠𝑖𝑛2 𝑎1 ∗ 𝑠𝑖𝑛22𝑎2 − s2
2 ∗ 𝑠𝑖𝑛2 𝑎2 ∗ 𝑠𝑖𝑛22𝑎1
s1
2 ∗ 𝑠𝑖𝑛22𝑎2 − s2
2 ∗ 𝑠𝑖𝑛22𝑎1
𝒏 =
𝐬 𝟏
𝟐 ∗ 𝒔𝒊𝒏 𝟐 𝒂 𝟏 ∗ 𝒔𝒊𝒏 𝟐 𝟐𝒂 𝟐 − 𝐬 𝟐
𝟐 ∗ 𝒔𝒊𝒏 𝟐 𝒂 𝟐 ∗ 𝒔𝒊𝒏 𝟐 𝟐𝒂 𝟏
𝐬 𝟏
𝟐 ∗ 𝒔𝒊𝒏 𝟐 𝟐𝒂 𝟐 − 𝐬 𝟐
𝟐 ∗ 𝒔𝒊𝒏 𝟐 𝟐𝒂 𝟏
25.02.2017Giga Khizanishvili 40
𝑑 =
s1 ∗ n ∗ 1 −
𝑠𝑖𝑛2 𝑎1
𝑛2
𝑠𝑖𝑛2𝑎1
𝑑 =
s2 ∗ n ∗ 1 −
𝑠𝑖𝑛2 𝑎2
𝑛2
𝑠𝑖𝑛2𝑎2
s1 ∗ n ∗ 1 −
𝑠𝑖𝑛2 𝑎1
𝑛2
𝑠𝑖𝑛2𝑎1
=
s2 ∗ n ∗ 1 −
𝑠𝑖𝑛2 𝑎2
𝑛2
𝑠𝑖𝑛2𝑎2
s1
2 ∗ n2 ∗
𝑛2 −𝑠𝑖𝑛2
𝑎1
𝑛2
𝑠𝑖𝑛22𝑎1
=
s2
2 ∗ n2 ∗
𝑛2 − 𝑠𝑖𝑛2
𝑎2
𝑛2
𝑠𝑖𝑛22𝑎2
s1
2 ∗ (𝑛2 −𝑠𝑖𝑛2
𝑎1)
𝑠𝑖𝑛22𝑎1
=
s2
2 ∗ (𝑛2 − 𝑠𝑖𝑛2
𝑎2)
𝑠𝑖𝑛22𝑎2
25.02.2017Giga Khizanishvili 41
𝒅 =
𝐬 ∗ 𝐧 ∗ 𝟏 −
𝒔𝒊𝒏 𝟐 𝒂
𝒏 𝟐
𝒔𝒊𝒏𝟐𝒂
𝒏 =
𝐬 𝟏
𝟐 ∗ 𝒔𝒊𝒏 𝟐 𝒂 𝟏 ∗ 𝒔𝒊𝒏 𝟐 𝟐𝒂 𝟐 − 𝐬 𝟐
𝟐 ∗ 𝒔𝒊𝒏 𝟐 𝒂 𝟐 ∗ 𝒔𝒊𝒏 𝟐 𝟐𝒂 𝟏
𝐬 𝟏
𝟐 ∗ 𝒔𝒊𝒏 𝟐 𝟐𝒂 𝟐 − 𝐬 𝟐
𝟐 ∗ 𝒔𝒊𝒏 𝟐 𝟐𝒂 𝟏
𝑑 =
s ∗ 𝑠1
2 ∗ 𝑠𝑖𝑛2 𝑎1 ∗ 𝑠𝑖𝑛22𝑎2 − 𝑠2
2 ∗ 𝑠𝑖𝑛2 𝑎2 ∗ 𝑠𝑖𝑛22𝑎1
𝑠1
2 ∗ 𝑠𝑖𝑛22𝑎2 − 𝑠2
2 ∗ 𝑠𝑖𝑛22𝑎1
∗ 1 −
𝑠𝑖𝑛2 𝑎
𝑠1
2 ∗ 𝑠𝑖𝑛2 𝑎1 ∗ 𝑠𝑖𝑛22𝑎2 − 𝑠2
2 ∗ 𝑠𝑖𝑛2 𝑎2 ∗ 𝑠𝑖𝑛22𝑎1
𝑠1
2 ∗ 𝑠𝑖𝑛22𝑎2 − 𝑠2
2 ∗ 𝑠𝑖𝑛22𝑎1
𝑠𝑖𝑛2𝑎
25.02.2017Giga Khizanishvili 42
𝒏 =
𝒙 𝟏
𝟐 ∗ 𝒔𝒊𝒏 𝟐 𝒂 𝟏 ∗ 𝒔𝒊𝒏 𝟐 𝒂 𝟏 ∗ 𝟒 ∗ 𝒔𝒊𝒏 𝟐 𝒂 𝟐 ∗ 𝒄𝒐𝒔 𝟐 𝒂 𝟐 − 𝒙 𝟐
𝟐 ∗ 𝒔𝒊𝒏 𝟐 𝒂 𝟐 ∗ 𝒔𝒊𝒏 𝟐 𝒂 𝟐 ∗ 𝟒 ∗ 𝒔𝒊𝒏 𝟐 𝒂 𝟏 ∗ 𝒄𝒐𝒔 𝟐 𝒂 𝟏
𝒙 𝟏
𝟐 ∗ 𝒔𝒊𝒏 𝟐 𝒂 𝟏 ∗ 𝟒 ∗ 𝒔𝒊𝒏 𝟐 𝒂 𝟐 ∗ 𝒄𝒐𝒔 𝟐 𝒂 𝟐 − 𝒙 𝟐
𝟐 ∗ 𝒔𝒊𝒏 𝟐 𝒂 𝟐 ∗ 𝟒 ∗ 𝒔𝒊𝒏 𝟐 𝒂 𝟏 ∗ 𝒔𝒊𝒏 𝟐 𝒂 𝟏
𝒏 =
𝟒 ∗ 𝒔𝒊𝒏 𝟐 𝒂 𝟏 ∗ 𝒔𝒊𝒏 𝟐 𝒂 𝟐(𝒙 𝟏
𝟐 ∗ 𝒔𝒊𝒏 𝟐 𝒂 𝟏 ∗ 𝒄𝒐𝒔 𝟐 𝒂 𝟐 − 𝒙 𝟐
𝟐 ∗ 𝒔𝒊𝒏 𝟐 𝒂 𝟐 ∗ 𝒄𝒐𝒔 𝟐 𝒂 𝟏)
𝟒 ∗ 𝒔𝒊𝒏 𝟐 𝒂 𝟏 ∗ 𝒔𝒊𝒏 𝟐 𝒂 𝟐(𝒙 𝟏
𝟐 ∗ 𝒄𝒐𝒔 𝟐 𝒂 𝟐 − 𝒙 𝟐
𝟐 ∗ 𝒄𝒐𝒔 𝟐 𝒂 𝟏)
𝒏 =
𝒙 𝟏
𝟐 ∗ 𝒔𝒊𝒏 𝟐 𝒂 𝟏 ∗ 𝒄𝒐𝒔 𝟐 𝒂 𝟐 − 𝒙 𝟐
𝟐 ∗ 𝒔𝒊𝒏 𝟐 𝒂 𝟐 ∗ 𝒄𝒐𝒔 𝟐 𝒂 𝟏
𝒙 𝟏
𝟐 ∗ 𝒄𝒐𝒔 𝟐 𝒂 𝟐 − 𝒙 𝟐
𝟐 ∗ 𝒄𝒐𝒔 𝟐 𝒂 𝟏
s = 𝑥 ∗ 𝑠𝑖𝑛𝑎⇒
25.02.2017Giga Khizanishvili 43
 დახრილი სიბრტყის ცდომილება
𝛼 𝑜
𝑠
𝑙
𝑙 =
𝑠
𝑐𝑜𝑠𝑎
∆𝑠
𝑠
=
𝑠
𝑠 ∗ 𝑐𝑜𝑠𝑎
− 1
∆𝑠
𝑠
=
𝑙
𝑠
− 1
∆𝑠
𝑠
=
1
𝑐𝑜𝑠𝑎
− 1
𝑎 = 2.5° 𝑐𝑜𝑠𝑎 = 0.999048221582
∆𝑠
𝑠
=
1
0.999048221582
− 1
∆𝑠
𝑠
= 1.0009526851631775 − 1
∆𝑠
𝑠
= 0.0009526851631775
∆𝑠
𝑠
≈ 0.01%

Contactless Calipper - English

  • 1.
  • 2.
    CONTACTLESS CALLIPER Invent andconstruct an optical device that uses a laser pointer and allows contactless determination of thickness, refractive index, and other properties of a glass sheet. 25.02.2017 2Giga Khizanishvili
  • 3.
     Problem  Theoreticalmodel  Experiments  The margin of error  Compare of theory and experiments  Conclusion 25.02.2017 3Giga Khizanishvili
  • 4.
    𝛽 𝛽 𝛼 𝛼 d 𝑠 25.02.20174Giga Khizanishvili n2 n1 𝑥s = 𝑥 ∗ 𝑠𝑖𝑛𝑎 𝑠
  • 5.
    Refractive index 1,0002926 𝒔𝒊𝒏𝜶 𝒔𝒊𝒏𝜷 = 𝒏𝟐 𝒏 𝟏 n1 (Air) ≈ 1 25.02.2017Giga Khizanishvili 5 n1 n2 𝒔𝒊𝒏𝜶 = 𝒔𝒊𝒏𝜷 ∗ 𝒏
  • 6.
    25.02.2017Giga Khizanishvili 6 cos𝛼 = 𝑠 𝑙 𝑐𝑡𝑔𝛽 = 2𝑑 𝑙 𝑙 = 2𝑑 𝑐𝑡𝑔𝛽 𝑐𝑜𝑠𝛼 = 𝑠 ∗ 𝑐𝑡𝑔𝛽 2𝑑 𝑑 = 𝑠 ∗ 𝑐𝑡𝑔𝛽 2 ∗ 𝑐𝑜𝑠𝑎 = 𝑠 ∗ 𝑐𝑜𝑠𝛽 2 ∗ 𝑐𝑜𝑠𝛼 ∗ 𝑠𝑖𝑛𝛽 = 𝑠 ∗ 1 − 𝑠𝑖𝑛2 𝛽 2 ∗ 𝑐𝑜𝑠𝛼 ∗ 𝑠𝑖𝑛𝛽 𝑠𝑖𝑛𝛽 ∗ n = 𝑠𝑖𝑛𝑎 ⇒ 𝑠𝑖𝑛𝛽 = 𝑠𝑖𝑛𝑎 𝑛 𝑑 = 𝑠 ∗ 𝑛 ∗ 1 − 𝑠𝑖𝑛2 𝑎 𝑛2 𝑠𝑖𝑛2𝑎
  • 7.
    25.02.2017Giga Khizanishvili 7 d n 𝑠1 𝑎1𝑎1 𝑠1 𝑎1 𝐹𝑖𝑟𝑠𝑡 𝐸𝑥𝑝𝑒𝑟𝑖𝑚𝑒𝑛𝑡
  • 8.
    25.02.2017Giga Khizanishvili 8 d n 𝑠2 𝑎2𝑎2𝑠2 𝑎1 𝑎2 𝑆𝑒𝑐𝑜𝑛𝑑 𝐸𝑥𝑝𝑒𝑟𝑖𝑚𝑒𝑛𝑡
  • 9.
    25.02.2017Giga Khizanishvili 9 𝑑= s1 ∗ n ∗ 1 − 𝑠𝑖𝑛2 𝑎1 𝑛2 𝑠𝑖𝑛2𝑎1 𝑑 = s2 ∗ n ∗ 1 − 𝑠𝑖𝑛2 𝑎2 𝑛2 𝑠𝑖𝑛2𝑎2 s1 ∗ n ∗ 1 − 𝑠𝑖𝑛2 𝑎1 𝑛2 𝑠𝑖𝑛2𝑎1 = s2 ∗ n ∗ 1 − 𝑠𝑖𝑛2 𝑎2 𝑛2 𝑠𝑖𝑛2𝑎2 𝒏 = 𝐬 𝟏 𝟐 ∗ 𝒔𝒊𝒏 𝟐 𝒂 𝟏 ∗ 𝒔𝒊𝒏 𝟐 𝟐𝒂 𝟐 − 𝐬 𝟐 𝟐 ∗ 𝒔𝒊𝒏 𝟐 𝒂 𝟐 ∗ 𝒔𝒊𝒏 𝟐 𝟐𝒂 𝟏 𝐬 𝟏 𝟐 ∗ 𝒔𝒊𝒏 𝟐 𝟐𝒂 𝟐 − 𝐬 𝟐 𝟐 ∗ 𝒔𝒊𝒏 𝟐 𝟐𝒂 𝟏
  • 10.
    25.02.2017Giga Khizanishvili 10 𝑎 𝑎 𝑥 𝑦 𝑦= 𝑥 ∗ 𝑠𝑖𝑛𝑎 𝑠 𝐹 𝑑 cos(90 − 𝑎) − 𝑥 ∗ 𝑐𝑜𝑠𝑎 2 ∗ 𝐹 ∗ cos(90 − 𝑎) 𝑑 − 𝑥 ∗ 𝑠𝑖𝑛2𝑎 = 𝑠 𝑥 ∗ 𝑐𝑜𝑠𝑎 𝑠 = 2 ∗ F ∗ cos 90 − 𝑎 ∗ 𝑥 ∗ 𝑐𝑜𝑠𝑎 𝑑 − 𝑥 ∗ 𝑠𝑖𝑛2𝑎 𝑑 𝑠 = 𝐹 ∗ 𝑥 ∗ 𝑠𝑖𝑛2𝑎 𝑑 − 𝑥 ∗ 𝑠𝑖𝑛2𝑎 = 𝑠 𝑦
  • 11.
    25.02.2017Giga Khizanishvili 11 1 𝑛𝑎𝑖𝑟 = 1 1,0002926 = 0,9997 ⇒ 𝐸𝑟𝑟𝑜𝑟 = 1 − 0,9997 =0,03%  The margin of error of the refractive index of the air
  • 12.
    25.02.2017Giga Khizanishvili 12 The margin of the error of the angle ( 𝛼1) 𝑙 ℎ = 132 ± 0,5 cm 𝑥 𝑎 𝑥 = 126 ± 0.5 cm ℎ 𝑡𝑔𝑎 𝑚𝑎𝑥 = 126 + 0.5 132 − 0.5 = 0,961965 𝑡𝑔𝑎 𝑚𝑖𝑛 = 126 − 0.5 132 + 0.5 = 0.94749
  • 13.
    25.02.2017Giga Khizanishvili 13 The margin of the error of the angle ( 𝛼1) 𝑙 𝑥 𝑎 ℎ 𝑎𝑟𝑐𝑡𝑔 0,961965 = 43.88° 𝑡𝑔𝑎 𝑚𝑖𝑛 = 126 − 0.5 132 + 0.5 = 0.94749 𝑎𝑟𝑐𝑡𝑔 0.94749 = 43.45° 𝑎 = 𝑎 𝑚𝑎𝑥 + 𝑎 𝑚𝑖𝑛 2 = 43.88 + 43.45 2 = 43.665° ± 0.215° ∆𝑎 𝑎 = 0.215° 43.665° ≈ 0.005 ≈ 0.5% 𝑡𝑔𝑎 𝑚𝑎𝑥 = 126 + 0.5 132 − 0.5 = 0,961965
  • 14.
    25.02.2017Giga Khizanishvili 14 The margin of the error of the angle ( 𝛼2) 𝑙 𝑥 𝑎 ℎ ℎ = 130 ± 0,5 𝑐𝑚 𝑥 = 81 ± 0,5 𝑐𝑚 𝑎 = 𝑎 𝑚𝑎𝑥 + 𝑎 𝑚𝑖𝑛 2 = 32.44° + 31,4° 2 = 31.92° ± 0.26° ∆𝑎 𝑎 = 0.26° 31.95° ≈ 0.008 ≈ 0.8% 𝑎 𝑚𝑎𝑥 = 32.18° 𝑎 𝑚𝑖𝑛 = 31,66°
  • 15.
    25.02.2017Giga Khizanishvili 15 𝑑= s ∗ n ∗ 1 − 𝑠𝑖𝑛2 𝑎 𝑛2 𝑠𝑖𝑛2𝑎 ∆𝑓 𝑎, 𝑏, 𝑐, = 𝜕𝑓 𝜕𝑎 ∆𝑎 + 𝜕𝑓 𝜕𝑏 ∆b + 𝜕𝑓 𝜕𝑐 ∆c ∆𝑑 𝑑 = 4.8 %⇒  𝑠  𝑛  𝑎  𝑠𝑖𝑛𝑎  𝑠𝑖𝑛2𝑎 ∆𝑠 𝑠 = 0.5 36 = 0.0138 ≈ 1.4% ∆𝑎1 𝑎1 = 0.5% ∆𝑎2 𝑎2 = 0.8%
  • 16.
    25.02.2017Giga Khizanishvili 16 𝑐= 1 𝜇0 ∗ 𝜀0 𝑣 = 1 𝜇𝜇0 ∗ 𝜀0 𝜀 𝑐 = 𝑣 ∗ 𝑛 𝑐 𝑛 = 𝑣⇒ 𝑛 ∗ 𝜇0 ∗ 𝜀0 = 𝜇𝜇0 ∗ 𝜀0 𝜀 𝑛 = 𝜀 𝑛2 = 𝜀⇒ 𝜀 𝑜 − 𝑑𝑖 𝑒𝑙𝑒𝑐𝑡𝑟𝑖𝑐𝑎𝑙 𝑝𝑒𝑟𝑚𝑒𝑎𝑏𝑖𝑙𝑖𝑡𝑦 𝜇 𝑜 − 𝑚𝑎𝑔𝑛𝑒𝑡𝑖𝑐 𝑝𝑒𝑟𝑚𝑒𝑎𝑖𝑙𝑖𝑡𝑦 𝜇 − 𝑖𝑛𝑑𝑒𝑥 𝑜𝑓𝑚𝑎𝑔𝑛𝑒𝑡𝑖𝑐 𝑝𝑒𝑟𝑚𝑒𝑎𝑖𝑙𝑖𝑡𝑦 𝜀 − 𝑖𝑛𝑑𝑒𝑥 𝑜𝑓 𝑑𝑖 𝑒𝑙𝑒𝑐𝑡𝑟𝑖𝑐𝑎𝑙 𝑝𝑒𝑟𝑚𝑒𝑎𝑏𝑖𝑙𝑖𝑡𝑦
  • 17.
    2.37 2.28 2.19 2.28 2.2 0.0001 0 0.5 11.5 2 2.5 I Exp II Exp III Exp IV exp V Exp Vi asfas I Exp II Exp III Exp IV exp V Exp Vi asfas Di electrical permeability 2.37 2.28 2.19 2.28 2.2 0.0001 Di electrical permeability 25.02.2017Giga Khizanishvili 17
  • 18.
  • 19.
     Angle oflaser’s declination - 𝛼1 = 43,7°  Angle of laser’s declination - 𝛼2= 32° 25.02.2017Giga Khizanishvili 19
  • 20.
    25.02.2017Giga Khizanishvili 20 𝑠1= 2.8 𝑚𝑚 𝒏 = 𝐬 𝟏 𝟐 ∗ 𝒔𝒊𝒏 𝟐 𝒂 𝟏 ∗ 𝒔𝒊𝒏 𝟐 𝟐𝒂 𝟐 − 𝐬 𝟐 𝟐 ∗ 𝒔𝒊𝒏 𝟐 𝒂 𝟐 ∗ 𝒔𝒊𝒏 𝟐 𝟐𝒂 𝟏 𝐬 𝟏 𝟐 ∗ 𝒔𝒊𝒏 𝟐 𝟐𝒂 𝟐 − 𝐬 𝟐 𝟐 ∗ 𝒔𝒊𝒏 𝟐 𝟐𝒂 𝟏 𝑠2 = 2.4 𝑚𝑚 𝑎1 = 43.7° 𝑎2 = 32° ⇒ 𝑛 = 1.53
  • 21.
    25.02.2017Giga Khizanishvili 21 𝑑= s ∗ n ∗ 1 − 𝑠𝑖𝑛2 𝑎 𝑛2 𝑠𝑖𝑛2𝑎 𝑛 = 1.53 𝑠𝑖𝑛𝑎 = 0.69 𝑠𝑖𝑛2𝑎 = 0.99 𝑠 = 𝐹 ∗ 𝑥 ∗ 𝑠𝑖𝑛2𝑎 𝑑 − 𝑥 ∗ 𝑠𝑖𝑛2𝑎
  • 22.
    25.02.2017Giga Khizanishvili 22 𝑎 𝑎 𝑥 𝑦 𝑠 𝑑 𝑑1 𝑑2 𝑑1= 953 cm 𝑑2 = 𝐹 ∗ 𝑠𝑖𝑛𝑎 𝑑 = 𝑑1 + 𝑑2 𝑑 = 953 + 15 ∗ 0.69 𝑑 = 953 + 10.35 𝑑 = 963 cm
  • 23.
    25.02.2017Giga Khizanishvili 23 𝑛= 1.55 𝑠𝑖𝑛𝑎 = 0.69 𝑠𝑖𝑛2𝑎 = 0.9989 𝑠 = 𝐹 ∗ 𝑥 ∗ 𝑠𝑖𝑛2𝑎 𝑑 − 𝑥 ∗ 𝑠𝑖𝑛2𝑎 𝐹 = 15 𝑐𝑚 𝑑 = 963 𝑐𝑚 𝑑 = s ∗ n ∗ 1 − 𝑠𝑖𝑛2 𝑎 𝑛2 𝑠𝑖𝑛2𝑎 𝑠𝑖𝑛2𝑎 = 0.99 𝑥 = 𝑠 = 15 ∗ 0.999 ∗ 6.5 172.35 ∗ 2 = 2.8 𝑚𝑚⇒ 𝑥 = 36 𝑐𝑚 𝑥 = 36 𝑐𝑚
  • 24.
    25.02.2017Giga Khizanishvili 24 𝑛= 1.53 𝑠𝑖𝑛𝑎 = 0.69 𝑠𝑖𝑛2𝑎 = 0.9989 𝑑 = s ∗ n ∗ 1 − 𝑠𝑖𝑛2 𝑎 𝑛2 𝑠𝑖𝑛2𝑎 𝑠 = 2.8 𝑚𝑚 𝑛 = 1.53 𝑠𝑖𝑛2𝑎 = 0.999 𝑠𝑖𝑛𝑎 = 0.69 𝑑 = 2.8 ∗ 1.55 ∗ 1 − 0.47679 2.4 0.999 = 4.39 ∗ 0.8 = 3.83 𝑚𝑚
  • 25.
    𝑑 = 3.83𝑚𝑚𝑛 = 1.53 𝐶𝑎𝑙𝑙𝑖𝑝𝑒𝑟 25.02.2017Giga Khizanishvili 25
  • 26.
    1.5 4.96 1.54 5.09 0 1 23 4 5 6 n d n d Experiment 1.54 5.09 Theory 1.5 4.96 d = 4.96mm Experiment Theory 25.02.2017Giga Khizanishvili 26
  • 27.
    1.5 2.39 1.51 2.44 0 0.5 11.5 2 2.5 3 n d n d Experiment 1.51 2.44 Theory 1.5 2.39 d = 2.39mm Experiment Theory 25.02.2017Giga Khizanishvili 27
  • 28.
    1.5 6.21 1.48 6.14 0 1 23 4 5 6 7 n d n d Experiment 1.48 6.14 Theory 1.5 6.21 d = 6.21mm Experiment Theory 25.02.2017Giga Khizanishvili 28
  • 29.
    1.5 3.24 1.51 3.28 0 0.5 11.5 2 2.5 3 3.5 n d n d Experiment 1.51 3.28 Theory 1.5 3.24 d = 3.24mm Experiment Theory 25.02.2017Giga Khizanishvili 29
  • 30.
    1.5 3.91 1.485 3.85 0 0.5 11.5 2 2.5 3 3.5 4 4.5 n d n d Experiment 1.485 3.85 Theory 1.5 3.91 d = 3.91mm Experiment Theory 25.02.2017Giga Khizanishvili 30
  • 31.
     We cameup with a mechanism that measures the thickness of glass sheet  The thickness of a glass sheet depends upon 𝑎, 𝑛, 𝑥.  We have derived a formula for the refractive index of glass  Experimental Errors we are measured  Experiments have been conducted  Thickness of glass sheet and refractive index have been determined  Theoretical model was compared to experiments  We have solved the problem 25.02.2017 31Giga Khizanishvili
  • 32.
     Baldwin, G.C.; Solem, J. C. (1997). "Recoilless gamma-ray lasers". Reviews of Modern Physics 69 (4): 1085–1117.  Vogel, Werner. Physics of Glass. Wiley, 1985.  Bundschuh, Bernhard; Himmel, Jörg: Optische Informationsübertragung. Oldenbourg Verlag, München, Wien 2003  Baldwin, G. C.; Solem, J. C. (1982). "Is the time ripe? Or must we wait so long for breakthroughs?". Laser Focus 18 25.02.2017 32Giga Khizanishvili
  • 33.
     https://www.google.com/patents/US4902902  http://russianpatents.com/patent/242/2429447.html http://physics.aidio.net/index.php/18-teoria/73-geometriuli-optika-ziritadi-kanonebi  http://www.google.com/patents/US7414740  http://vlab.amrita.edu/?sub=1&brch=189&sim=1519&cnt=1  https://www.google.com/patents/US5636027 25.02.2017 33Giga Khizanishvili
  • 34.
  • 35.
  • 36.
  • 37.
    სინათლის გაძლიერება იძულე- ბულიგამოსხივების მეშვეობით მოწყობილობა, რომელიც ენერგიას გარდაქმნის მიმარ- თულ სინათლის სხივად. 25.02.2017 4
  • 38.
  • 39.
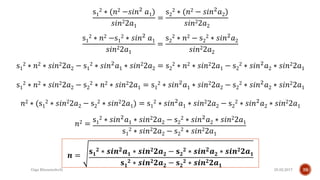
    25.02.2017Giga Khizanishvili 39 s1 2∗ (𝑛2 −𝑠𝑖𝑛2 𝑎1) 𝑠𝑖𝑛22𝑎1 = s2 2 ∗ (𝑛2 − 𝑠𝑖𝑛2 𝑎2) 𝑠𝑖𝑛22𝑎2 s1 2 ∗ 𝑛2 −s1 2 ∗ 𝑠𝑖𝑛2 𝑎1 𝑠𝑖𝑛22𝑎1 = s2 2 ∗ 𝑛2 − s2 2 ∗ 𝑠𝑖𝑛2 𝑎2 𝑠𝑖𝑛22𝑎2 s1 2 ∗ 𝑛2 ∗ 𝑠𝑖𝑛22𝑎2 − s1 2 ∗ 𝑠𝑖𝑛2 𝑎1 ∗ 𝑠𝑖𝑛22𝑎2 = s2 2 ∗ 𝑛2 ∗ 𝑠𝑖𝑛22𝑎1 − s2 2 ∗ 𝑠𝑖𝑛2 𝑎2 ∗ 𝑠𝑖𝑛22𝑎1 s1 2 ∗ 𝑛2 ∗ 𝑠𝑖𝑛22𝑎2 − s2 2 ∗ 𝑛2 ∗ 𝑠𝑖𝑛22𝑎1 = s1 2 ∗ 𝑠𝑖𝑛2 𝑎1 ∗ 𝑠𝑖𝑛22𝑎2 − s2 2 ∗ 𝑠𝑖𝑛2 𝑎2 ∗ 𝑠𝑖𝑛22𝑎1 𝑛2 ∗ (s1 2 ∗ 𝑠𝑖𝑛22𝑎2 − s2 2 ∗ 𝑠𝑖𝑛22𝑎1) = s1 2 ∗ 𝑠𝑖𝑛2 𝑎1 ∗ 𝑠𝑖𝑛22𝑎2 − s2 2 ∗ 𝑠𝑖𝑛2 𝑎2 ∗ 𝑠𝑖𝑛22𝑎1 𝑛2 = s1 2 ∗ 𝑠𝑖𝑛2 𝑎1 ∗ 𝑠𝑖𝑛22𝑎2 − s2 2 ∗ 𝑠𝑖𝑛2 𝑎2 ∗ 𝑠𝑖𝑛22𝑎1 s1 2 ∗ 𝑠𝑖𝑛22𝑎2 − s2 2 ∗ 𝑠𝑖𝑛22𝑎1 𝒏 = 𝐬 𝟏 𝟐 ∗ 𝒔𝒊𝒏 𝟐 𝒂 𝟏 ∗ 𝒔𝒊𝒏 𝟐 𝟐𝒂 𝟐 − 𝐬 𝟐 𝟐 ∗ 𝒔𝒊𝒏 𝟐 𝒂 𝟐 ∗ 𝒔𝒊𝒏 𝟐 𝟐𝒂 𝟏 𝐬 𝟏 𝟐 ∗ 𝒔𝒊𝒏 𝟐 𝟐𝒂 𝟐 − 𝐬 𝟐 𝟐 ∗ 𝒔𝒊𝒏 𝟐 𝟐𝒂 𝟏
  • 40.
    25.02.2017Giga Khizanishvili 40 𝑑= s1 ∗ n ∗ 1 − 𝑠𝑖𝑛2 𝑎1 𝑛2 𝑠𝑖𝑛2𝑎1 𝑑 = s2 ∗ n ∗ 1 − 𝑠𝑖𝑛2 𝑎2 𝑛2 𝑠𝑖𝑛2𝑎2 s1 ∗ n ∗ 1 − 𝑠𝑖𝑛2 𝑎1 𝑛2 𝑠𝑖𝑛2𝑎1 = s2 ∗ n ∗ 1 − 𝑠𝑖𝑛2 𝑎2 𝑛2 𝑠𝑖𝑛2𝑎2 s1 2 ∗ n2 ∗ 𝑛2 −𝑠𝑖𝑛2 𝑎1 𝑛2 𝑠𝑖𝑛22𝑎1 = s2 2 ∗ n2 ∗ 𝑛2 − 𝑠𝑖𝑛2 𝑎2 𝑛2 𝑠𝑖𝑛22𝑎2 s1 2 ∗ (𝑛2 −𝑠𝑖𝑛2 𝑎1) 𝑠𝑖𝑛22𝑎1 = s2 2 ∗ (𝑛2 − 𝑠𝑖𝑛2 𝑎2) 𝑠𝑖𝑛22𝑎2
  • 41.
    25.02.2017Giga Khizanishvili 41 𝒅= 𝐬 ∗ 𝐧 ∗ 𝟏 − 𝒔𝒊𝒏 𝟐 𝒂 𝒏 𝟐 𝒔𝒊𝒏𝟐𝒂 𝒏 = 𝐬 𝟏 𝟐 ∗ 𝒔𝒊𝒏 𝟐 𝒂 𝟏 ∗ 𝒔𝒊𝒏 𝟐 𝟐𝒂 𝟐 − 𝐬 𝟐 𝟐 ∗ 𝒔𝒊𝒏 𝟐 𝒂 𝟐 ∗ 𝒔𝒊𝒏 𝟐 𝟐𝒂 𝟏 𝐬 𝟏 𝟐 ∗ 𝒔𝒊𝒏 𝟐 𝟐𝒂 𝟐 − 𝐬 𝟐 𝟐 ∗ 𝒔𝒊𝒏 𝟐 𝟐𝒂 𝟏 𝑑 = s ∗ 𝑠1 2 ∗ 𝑠𝑖𝑛2 𝑎1 ∗ 𝑠𝑖𝑛22𝑎2 − 𝑠2 2 ∗ 𝑠𝑖𝑛2 𝑎2 ∗ 𝑠𝑖𝑛22𝑎1 𝑠1 2 ∗ 𝑠𝑖𝑛22𝑎2 − 𝑠2 2 ∗ 𝑠𝑖𝑛22𝑎1 ∗ 1 − 𝑠𝑖𝑛2 𝑎 𝑠1 2 ∗ 𝑠𝑖𝑛2 𝑎1 ∗ 𝑠𝑖𝑛22𝑎2 − 𝑠2 2 ∗ 𝑠𝑖𝑛2 𝑎2 ∗ 𝑠𝑖𝑛22𝑎1 𝑠1 2 ∗ 𝑠𝑖𝑛22𝑎2 − 𝑠2 2 ∗ 𝑠𝑖𝑛22𝑎1 𝑠𝑖𝑛2𝑎
  • 42.
    25.02.2017Giga Khizanishvili 42 𝒏= 𝒙 𝟏 𝟐 ∗ 𝒔𝒊𝒏 𝟐 𝒂 𝟏 ∗ 𝒔𝒊𝒏 𝟐 𝒂 𝟏 ∗ 𝟒 ∗ 𝒔𝒊𝒏 𝟐 𝒂 𝟐 ∗ 𝒄𝒐𝒔 𝟐 𝒂 𝟐 − 𝒙 𝟐 𝟐 ∗ 𝒔𝒊𝒏 𝟐 𝒂 𝟐 ∗ 𝒔𝒊𝒏 𝟐 𝒂 𝟐 ∗ 𝟒 ∗ 𝒔𝒊𝒏 𝟐 𝒂 𝟏 ∗ 𝒄𝒐𝒔 𝟐 𝒂 𝟏 𝒙 𝟏 𝟐 ∗ 𝒔𝒊𝒏 𝟐 𝒂 𝟏 ∗ 𝟒 ∗ 𝒔𝒊𝒏 𝟐 𝒂 𝟐 ∗ 𝒄𝒐𝒔 𝟐 𝒂 𝟐 − 𝒙 𝟐 𝟐 ∗ 𝒔𝒊𝒏 𝟐 𝒂 𝟐 ∗ 𝟒 ∗ 𝒔𝒊𝒏 𝟐 𝒂 𝟏 ∗ 𝒔𝒊𝒏 𝟐 𝒂 𝟏 𝒏 = 𝟒 ∗ 𝒔𝒊𝒏 𝟐 𝒂 𝟏 ∗ 𝒔𝒊𝒏 𝟐 𝒂 𝟐(𝒙 𝟏 𝟐 ∗ 𝒔𝒊𝒏 𝟐 𝒂 𝟏 ∗ 𝒄𝒐𝒔 𝟐 𝒂 𝟐 − 𝒙 𝟐 𝟐 ∗ 𝒔𝒊𝒏 𝟐 𝒂 𝟐 ∗ 𝒄𝒐𝒔 𝟐 𝒂 𝟏) 𝟒 ∗ 𝒔𝒊𝒏 𝟐 𝒂 𝟏 ∗ 𝒔𝒊𝒏 𝟐 𝒂 𝟐(𝒙 𝟏 𝟐 ∗ 𝒄𝒐𝒔 𝟐 𝒂 𝟐 − 𝒙 𝟐 𝟐 ∗ 𝒄𝒐𝒔 𝟐 𝒂 𝟏) 𝒏 = 𝒙 𝟏 𝟐 ∗ 𝒔𝒊𝒏 𝟐 𝒂 𝟏 ∗ 𝒄𝒐𝒔 𝟐 𝒂 𝟐 − 𝒙 𝟐 𝟐 ∗ 𝒔𝒊𝒏 𝟐 𝒂 𝟐 ∗ 𝒄𝒐𝒔 𝟐 𝒂 𝟏 𝒙 𝟏 𝟐 ∗ 𝒄𝒐𝒔 𝟐 𝒂 𝟐 − 𝒙 𝟐 𝟐 ∗ 𝒄𝒐𝒔 𝟐 𝒂 𝟏 s = 𝑥 ∗ 𝑠𝑖𝑛𝑎⇒
  • 43.
    25.02.2017Giga Khizanishvili 43 დახრილი სიბრტყის ცდომილება 𝛼 𝑜 𝑠 𝑙 𝑙 = 𝑠 𝑐𝑜𝑠𝑎 ∆𝑠 𝑠 = 𝑠 𝑠 ∗ 𝑐𝑜𝑠𝑎 − 1 ∆𝑠 𝑠 = 𝑙 𝑠 − 1 ∆𝑠 𝑠 = 1 𝑐𝑜𝑠𝑎 − 1 𝑎 = 2.5° 𝑐𝑜𝑠𝑎 = 0.999048221582 ∆𝑠 𝑠 = 1 0.999048221582 − 1 ∆𝑠 𝑠 = 1.0009526851631775 − 1 ∆𝑠 𝑠 = 0.0009526851631775 ∆𝑠 𝑠 ≈ 0.01%