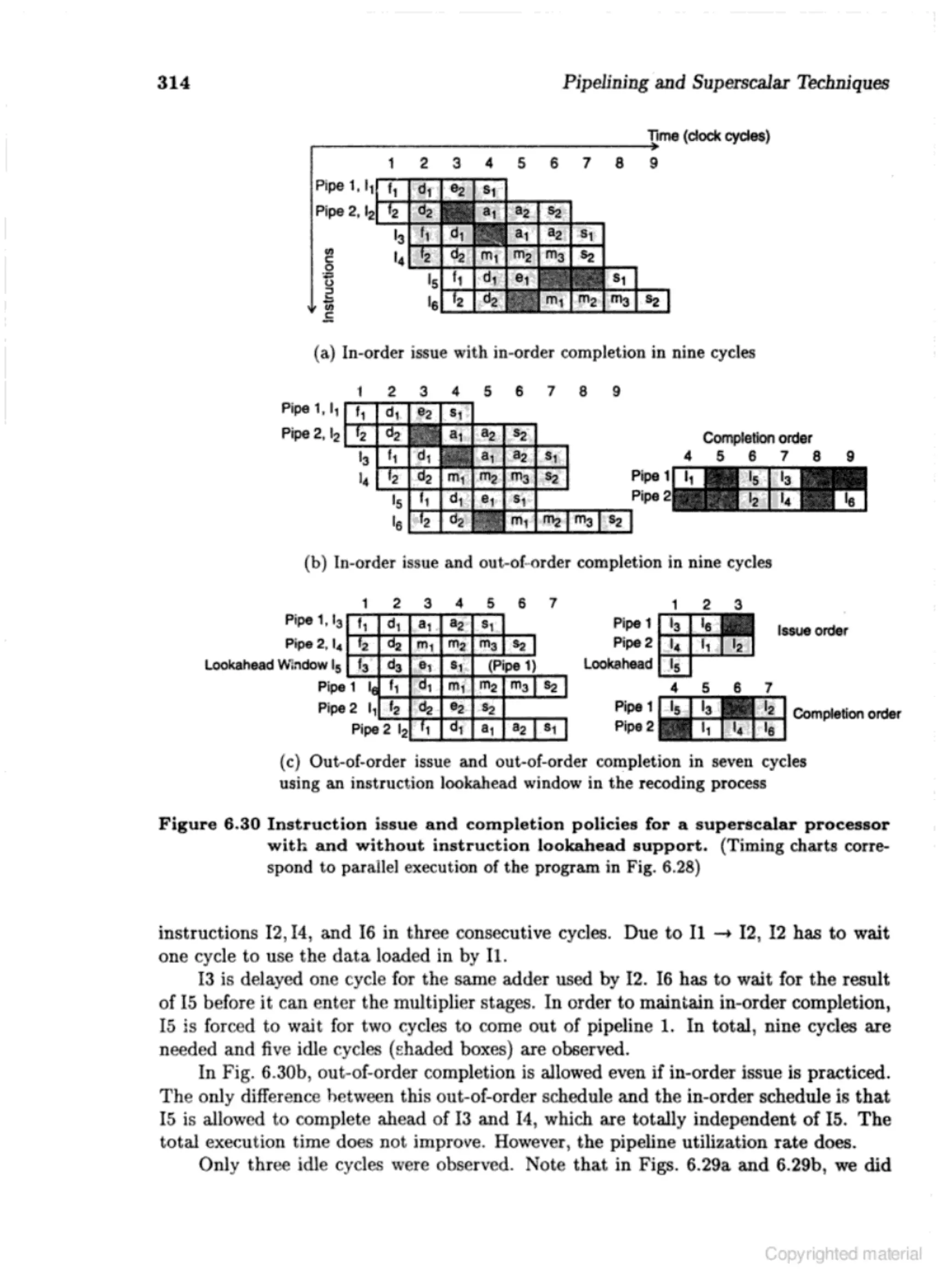
Embed presentation
Downloaded 2,200 times





































































































































































The document discusses the history and development of artificial intelligence over the past several decades. It outlines milestones such as the creation of expert systems in the 1980s, generalized AI in the 1990s, and modern advances in machine learning. Overall progress in AI has been steady as researchers continue developing new techniques to solve increasingly complex problems.




































































































































































