COLUMNS
AND STRUTS
Columns and struts: Structural members subjected to
compression and which are relatively long compared to
their lateral dimensions are called columns or Struts.
Generally, the term column is used to denote vertical
members and the term strut denotes inclined members
Examples: strut in a truss, Piston rods, side links in
forging machines, connecting rods etc.
Buckling Load: The maximum load which a column can support
before becoming unstable is known as buckling load or crippling
load or critical load
The buckling takes place about the axis having
minimum radius of gyration or least moment of
inertia.
At this stage, the maximum stress in the column will be less than the
yield stress (crushing stress) of the material.
Safe load: It is the load to which a column is subjected
to and is well below the buckling load. It is obtained by
dividing the buckling load by a suitable factor of safety.
safe load = buckling load / factor of safety
Stability factor: The ratio of critical load to the
allowable load on a column is called stability Factor
MODES OF FAILURE OF THE COLUMNS
P
P
The load carrying capacity of a short column depends
only on its cross sectional area(A) and the crushing stress
of the material(σcu). The crushing load Pu for axially
loaded short column is given by Pcu =σcu × A .
The safe load on the column is obtained by dividing the crushing
load by suitable factor of safety. i.e., Psafe =Pcu/ FS
The mode of failure of columns depends upon their lengths and
depending on the mode of failure columns are classified as
a. Short columns b. Long columns
Short Columns: A short column buckles under compression as
shown in figure and fails by crushing. The load causing failure is
called crushing load.
Long columns: Long columns, which are also called
slender columns, when subjected to compression,
deflects or bends in a lateral direction as shown in the
figure. The lateral deflection of the long column is
called buckling.
The load carrying capacity of long column depends upon several
factors like the length of the column, M.I of its cross–section,
Modulus of elasticity of the material, nature of its support, in
addition to area of cross section and the crushing strength of the
material.
Critical load denotes the maximum load carrying
capacity of the long column.
The long column fails when there is excessive
buckling .ie when the load on the column exceeds critical
load.
SC – 10
Short columns fails by crushing or yielding of the material under
the load P1
Long column fails by buckling at a substantially smaller load P2
(less than P1).
P
1
P
2
The buckling load is less than the crushing
load for a long column
The value of buckling load for long column is
low whereas for short column the value of
buckling load is relatively high.
sc-11
Failure of long columns(contd)
Stress due to buckling
σb = ( M.ymax)/ I
Where e = maximum bending of the column
at the centre
Consider a long column of uniform cross sectional area A
throughout its length L subjected to an axial compressive
load P. The load at which the column just buckles is known
as buckling load or crippling load.
Stress due to axial load σc = P/A
P
L e
Sc-12
Failure of long columns(contd)
σmax = σc + σb
Extreme stress at centre of column will be the sum of direct
compressive stress and buckling stress
In case of long columns, the direct compressive
stresses are negligible when compared to buckling
stress. So always long columns fail due to buckling.
Modes of failures (contd.)
Intermediate Columns: These are columns which have
moderate length, length lesser than that of long columns
and greater than that of short columns.
sc-13
In these columns both bulging and buckling effects are
predominant. They show the behavior of both long
columns and short columns when loaded.
Euler’s Theory (For long columns)
Assumptions:
1. The column is initially straight and of uniform
lateral dimension
2. The material of the column is homogeneous,
isotropic, obeys Hookes law
3. The stresses are within elastic limit
4. The compressive load is axial and passes through
the centroid of the section
5. The self weight of the column itself is neglected.
6. The column fails by buckling alone
Euler’s Theory (For long columns)
A Bending moment which bends the
column as to present convexity
towards the initial centre line of the
member will be regarded as positive
Bending moment which bends the
column as to present concavity
towards the initial centre line of the
member will be regarded as negative
Sign convention for Bending Moments
Euler’s Formula for Pin-Ended Beams
(both ends hinged)
Consider an axially loaded long column AB of length L. Its both
ends A and B are hinged. Due to axial compressive load P, let the
deflection at distance x from A be y.
d2y
dx2
d2y
dx2
+
Py
EI
= 0
L
y x
P
P
A
B
The bending moment at the section is given
by
EI
= - P y
-ve sign on right hand side, since as x
increases curvature decreases
At x =0, y =0,we get c1=0 (from eq.1)
Also at x=L, y =0 we get
c2 .sin [L√P/(EI)] =0
If c2 = 0, then y at any section is zero, which means there is no
lateral deflection which is not true
Therefore sin [L√P/(EI)] =0
This is the linear differential equation, whose solution is
Y = c1.cos [x√P/(EI)] + c2.sin[x √P/(EI)] …(1)
Where c1 and c2 are the constants of integration. They can be
found using the boundary conditions.
sin [L√P/(EI)] =0
=> [L√P/(EI)] = 0, π, 2 π ,……n π
Taking least non zero value we get
[L√P/(EI)] = π
Squaring both sides and simplifying
PE =
π2E I
L2
This load is called critical or buckling
load or crippling load
case End condition Equivalent
length(Le)
Euler’s Buckling load
1 Both ends hinged Le=L PE= (π 2E I) / Le
2
2 One end fixed, other
end free
Le=2L PE= (π 2EI) / 4L2
3 One end fixed, other
end pin jointed
Le=L / √2 PE= 2(π 2EI) / L2
4 Both ends fixed Le=L/2 PE= 4(π 2 EI) / L2
Note: L is the actual length of respective column and Le is to be
considered in calculating Euler's buckling load
Extension of Euler’s formula
Slenderness ratio: It is the Ratio of the effective length of the
column to the least radius of gyration of the cross sectional ends of
the column.
The Effective length: of a column with given end conditions is the
length of an equivalent column with both ends hinged, made up of
same material having same cross section, subjected to same
crippling load (buckling load) as that of given column.
Slenderness ratio, λ =Le /k
Least radius of gyration, k= √ Imin/A
Imin is the least of I xx and I yy
L =actual length of the column
Le=effective length of the column
A= area of cross section of the column
Based on slenderness ratio ,columns are classified as
short ,long and intermediate columns.
Generally the slenderness ratio of short column is less
than 32 ,and that of long column is greater than 120,
Intermediate columns have slenderness ratio greater than
32 and less than 120.
Limitation of Euler's theory
Pcr
= (π 2 EI) / Le
2
But I =Ak2
∴ Pcr/A= π 2E/(Le/K)2
σcr = π2E/(Le/K)2
Where σcr is crippling stress or critical stress or stress at failure
The validity of Euler’s theory is subjected to condition that
failure is due to buckling. The Euler’s formula for crippling is
The term Le/K is called slenderness ratio. As slenderness ratio
increases critical load/stress reduces. The variation of critical stress
with respect to slenderness ratio is shown in figure 1. As Le/K
approaches to zero the critical stress tends to infinity. But this
cannot happen. Before this stage the material will get crushed.
∴ σc = π 2E/(Le/K)2
Le/K= √ (π2E / σc)
For steel σc = 320N/mm2
and E =2 x 105 N/mm2
Limiting value (Le/K) is given by
(Le/K)lim =√ (π2E / σc) = √ π2 × 2 × 105/320) = 78.54
Hence, the limiting value of crippling stress is the crushing
stress. The corresponding slenderness ratio may be found by the
relation
σcr = σc
Hence if Le /k < (Le /k)lim Euler's formula will not be valid.
Empirical formula or Rankine - Gordon
formula
PR = crippling load by Rankine’s formula
Pc = crushing load = σc .A
PE = buckling load= PE= (π 2 EI) / Le
2
We know that, Euler’s formula for calculating crippling load is valid
only for long columns.
But the real problem arises for intermediate columns which fails
due to the combination of buckling and direct stress.
The Rankine suggested an empirical formula which is valid for all
types of columns. The Rankine’s formula is given by,
1
PR
1
PE
1
PC
= +
For short columns: The effective length will be small and hence the
value of PE =(π 2 EI) / Le
2 will be very large.
Hence 1/ PE is very small and can be neglected.
therefore 1/ PR= 1/ Pc or PR =Pc
For long column: we neglect the effect direct compression or
crushing and hence the term 1/ Pc can be neglected.
therefore 1/ PR= 1/ PE or PR =PE
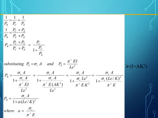
Hence Rankines formula,
1/ PR= 1/ Pc + 1/ PE is satisfactory for all types of
columns
E
a
where
K
Le
a
A
P
E
K
Le
A
K
E
Le
A
Le
AK
E
A
A
Le
EI
A
A
P
Le
EI
P
and
A
P
ng
substituti
P
P
P
P
P
P
P
P
P
P
P
P
P
P
P
P
c
c
R
c
c
c
c
c
c
c
c
R
E
c
C
E
C
C
E
C
E
C
R
E
C
E
C
R
E
C
R
2
2
2
2
2
2
2
2
2
2
2
2
2
2
)
/
(
1
)
/
(
1
1
)
(
1
1
1
1
1
1
1








































(I=AK2)
where a = Rankine’s constant =σc / π 2E
and λ = slenderness ratio = Le/ k
PR = σcA / (1+a.λ2 )
Column and Strut .ppt

Column and Strut .ppt

  • 1.
  • 2.
    Columns and struts:Structural members subjected to compression and which are relatively long compared to their lateral dimensions are called columns or Struts. Generally, the term column is used to denote vertical members and the term strut denotes inclined members Examples: strut in a truss, Piston rods, side links in forging machines, connecting rods etc.
  • 3.
    Buckling Load: Themaximum load which a column can support before becoming unstable is known as buckling load or crippling load or critical load The buckling takes place about the axis having minimum radius of gyration or least moment of inertia. At this stage, the maximum stress in the column will be less than the yield stress (crushing stress) of the material.
  • 4.
    Safe load: Itis the load to which a column is subjected to and is well below the buckling load. It is obtained by dividing the buckling load by a suitable factor of safety. safe load = buckling load / factor of safety Stability factor: The ratio of critical load to the allowable load on a column is called stability Factor
  • 5.
    MODES OF FAILUREOF THE COLUMNS P P The load carrying capacity of a short column depends only on its cross sectional area(A) and the crushing stress of the material(σcu). The crushing load Pu for axially loaded short column is given by Pcu =σcu × A . The safe load on the column is obtained by dividing the crushing load by suitable factor of safety. i.e., Psafe =Pcu/ FS The mode of failure of columns depends upon their lengths and depending on the mode of failure columns are classified as a. Short columns b. Long columns Short Columns: A short column buckles under compression as shown in figure and fails by crushing. The load causing failure is called crushing load.
  • 6.
    Long columns: Longcolumns, which are also called slender columns, when subjected to compression, deflects or bends in a lateral direction as shown in the figure. The lateral deflection of the long column is called buckling. The load carrying capacity of long column depends upon several factors like the length of the column, M.I of its cross–section, Modulus of elasticity of the material, nature of its support, in addition to area of cross section and the crushing strength of the material. Critical load denotes the maximum load carrying capacity of the long column. The long column fails when there is excessive buckling .ie when the load on the column exceeds critical load.
  • 7.
    SC – 10 Shortcolumns fails by crushing or yielding of the material under the load P1 Long column fails by buckling at a substantially smaller load P2 (less than P1). P 1 P 2 The buckling load is less than the crushing load for a long column The value of buckling load for long column is low whereas for short column the value of buckling load is relatively high.
  • 8.
    sc-11 Failure of longcolumns(contd) Stress due to buckling σb = ( M.ymax)/ I Where e = maximum bending of the column at the centre Consider a long column of uniform cross sectional area A throughout its length L subjected to an axial compressive load P. The load at which the column just buckles is known as buckling load or crippling load. Stress due to axial load σc = P/A P L e
  • 9.
    Sc-12 Failure of longcolumns(contd) σmax = σc + σb Extreme stress at centre of column will be the sum of direct compressive stress and buckling stress In case of long columns, the direct compressive stresses are negligible when compared to buckling stress. So always long columns fail due to buckling.
  • 10.
    Modes of failures(contd.) Intermediate Columns: These are columns which have moderate length, length lesser than that of long columns and greater than that of short columns. sc-13 In these columns both bulging and buckling effects are predominant. They show the behavior of both long columns and short columns when loaded.
  • 11.
    Euler’s Theory (Forlong columns) Assumptions: 1. The column is initially straight and of uniform lateral dimension 2. The material of the column is homogeneous, isotropic, obeys Hookes law 3. The stresses are within elastic limit 4. The compressive load is axial and passes through the centroid of the section 5. The self weight of the column itself is neglected. 6. The column fails by buckling alone
  • 12.
    Euler’s Theory (Forlong columns) A Bending moment which bends the column as to present convexity towards the initial centre line of the member will be regarded as positive Bending moment which bends the column as to present concavity towards the initial centre line of the member will be regarded as negative Sign convention for Bending Moments
  • 13.
    Euler’s Formula forPin-Ended Beams (both ends hinged) Consider an axially loaded long column AB of length L. Its both ends A and B are hinged. Due to axial compressive load P, let the deflection at distance x from A be y. d2y dx2 d2y dx2 + Py EI = 0 L y x P P A B The bending moment at the section is given by EI = - P y -ve sign on right hand side, since as x increases curvature decreases
  • 14.
    At x =0,y =0,we get c1=0 (from eq.1) Also at x=L, y =0 we get c2 .sin [L√P/(EI)] =0 If c2 = 0, then y at any section is zero, which means there is no lateral deflection which is not true Therefore sin [L√P/(EI)] =0 This is the linear differential equation, whose solution is Y = c1.cos [x√P/(EI)] + c2.sin[x √P/(EI)] …(1) Where c1 and c2 are the constants of integration. They can be found using the boundary conditions.
  • 15.
    sin [L√P/(EI)] =0 =>[L√P/(EI)] = 0, π, 2 π ,……n π Taking least non zero value we get [L√P/(EI)] = π Squaring both sides and simplifying PE = π2E I L2 This load is called critical or buckling load or crippling load
  • 16.
    case End conditionEquivalent length(Le) Euler’s Buckling load 1 Both ends hinged Le=L PE= (π 2E I) / Le 2 2 One end fixed, other end free Le=2L PE= (π 2EI) / 4L2 3 One end fixed, other end pin jointed Le=L / √2 PE= 2(π 2EI) / L2 4 Both ends fixed Le=L/2 PE= 4(π 2 EI) / L2 Note: L is the actual length of respective column and Le is to be considered in calculating Euler's buckling load
  • 17.
  • 18.
    Slenderness ratio: Itis the Ratio of the effective length of the column to the least radius of gyration of the cross sectional ends of the column. The Effective length: of a column with given end conditions is the length of an equivalent column with both ends hinged, made up of same material having same cross section, subjected to same crippling load (buckling load) as that of given column. Slenderness ratio, λ =Le /k Least radius of gyration, k= √ Imin/A Imin is the least of I xx and I yy L =actual length of the column Le=effective length of the column A= area of cross section of the column
  • 19.
    Based on slendernessratio ,columns are classified as short ,long and intermediate columns. Generally the slenderness ratio of short column is less than 32 ,and that of long column is greater than 120, Intermediate columns have slenderness ratio greater than 32 and less than 120.
  • 20.
    Limitation of Euler'stheory Pcr = (π 2 EI) / Le 2 But I =Ak2 ∴ Pcr/A= π 2E/(Le/K)2 σcr = π2E/(Le/K)2 Where σcr is crippling stress or critical stress or stress at failure The validity of Euler’s theory is subjected to condition that failure is due to buckling. The Euler’s formula for crippling is The term Le/K is called slenderness ratio. As slenderness ratio increases critical load/stress reduces. The variation of critical stress with respect to slenderness ratio is shown in figure 1. As Le/K approaches to zero the critical stress tends to infinity. But this cannot happen. Before this stage the material will get crushed.
  • 21.
    ∴ σc =π 2E/(Le/K)2 Le/K= √ (π2E / σc) For steel σc = 320N/mm2 and E =2 x 105 N/mm2 Limiting value (Le/K) is given by (Le/K)lim =√ (π2E / σc) = √ π2 × 2 × 105/320) = 78.54 Hence, the limiting value of crippling stress is the crushing stress. The corresponding slenderness ratio may be found by the relation σcr = σc Hence if Le /k < (Le /k)lim Euler's formula will not be valid.
  • 22.
    Empirical formula orRankine - Gordon formula PR = crippling load by Rankine’s formula Pc = crushing load = σc .A PE = buckling load= PE= (π 2 EI) / Le 2 We know that, Euler’s formula for calculating crippling load is valid only for long columns. But the real problem arises for intermediate columns which fails due to the combination of buckling and direct stress. The Rankine suggested an empirical formula which is valid for all types of columns. The Rankine’s formula is given by, 1 PR 1 PE 1 PC = +
  • 23.
    For short columns:The effective length will be small and hence the value of PE =(π 2 EI) / Le 2 will be very large. Hence 1/ PE is very small and can be neglected. therefore 1/ PR= 1/ Pc or PR =Pc For long column: we neglect the effect direct compression or crushing and hence the term 1/ Pc can be neglected. therefore 1/ PR= 1/ PE or PR =PE Hence Rankines formula, 1/ PR= 1/ Pc + 1/ PE is satisfactory for all types of columns
  • 24.
  • 25.
    where a =Rankine’s constant =σc / π 2E and λ = slenderness ratio = Le/ k PR = σcA / (1+a.λ2 )